Oplysningerne På Webstedet Er Ikke Medicinsk Rådgivning. Vi Sælger Ikke Noget. Nøjagtigheden Af Oversættelsen Er Ikke Garanteret. Ansvarsfraskrivelse
Antikoagulantia, kardiovaskulær
Coumadin
Resume af lægemiddeloversigt
Hvad er coumadin?
Coumadin (warfarin) er et blodantikoagulant, der hæmmer funktionen af vitamin K -afhængig Koagulation Bruges til at hæmme blodkoagulering for at reducere eller forhindre chancen for at udvikle hjerteanfald (myokardieinfarkt) streger og venøs og andre blodpropper (dyb venøs tromboser pulmonal emboli og thrombi produceret med atrieflimmer ). Coumadin bruges også til at behandle disse forhold, hvis de udvikler sig. Coumadin fås som en generisk.
Hvad er bivirkninger af coumadin?
Almindelige bivirkninger af coumadin inkluderer
- Nem blå mærker og blødning
- kvalme
- opkast
- mavesmerter
- oppustethed
- gas eller
- Ændret smagsfølelse.
Søg medicinsk behandling eller ring 911 på én gang, hvis du har følgende alvorlige bivirkninger:
- Alvorlige øjensymptomer såsom pludseligt synstab sløret synet tunnel vision øje smerter eller hævelse eller at se haloer omkring lys;
- Alvorlige hjertesymptomer såsom hurtig uregelmæssige eller bankende hjerteslag; flagrende i brystet; åndenød; og pludselig svimmelhed letthed eller udlevering;
- Alvorlig hovedpine forvirring sløret talearm eller ben svaghed problemer med at gå tab af koordination føles ustabil meget stive muskler høj feber voldsom sved eller rysten.
Dette dokument indeholder ikke alle mulige bivirkninger, og andre kan forekomme. Kontakt din læge for yderligere oplysninger om bivirkninger.
Dosering til coumadin
Coumadin har en bred vifte af tabletter: 2 2,5 3 4 5 6 7,5 og 10 mg tabletter er tilgængelige. En injicerbar form af lægemidlet (5 mg) er også tilgængelig. Dosis coumadin bestemmes i hver enkelt person ved at administrere en forsøgsdosis og ti, der måler patientens INR (internationalt normaliseret forhold) en laboratorietest, der er standardiseret af WHO (Verdenssundhedsorganisationen) og anerkendt over hele verden. Terapeutiske intervaller for denne test er mellem 2,0 til 3,0, når en patient tager coumadin. INR -niveauer under 2 kan muliggøre lettere blodkoagulation, mens niveauer over 3 kan forårsage overdreven tendens til, at patienten blødes.
Hvilke stoffer stoffer eller kosttilskud interagerer med coumadin?
Coumadin kan interagere med andre medikamenter for at forhindre blodpropper Antibiotika Antifungals Sulfa Drugs Medicines til behandling af tuberkulose antidepressiva Herbal (Botanical) -produkter (inklusive Coenzyme Q10 Cranberry Echinacea Garlic ginkgo biloba ginseng gyldensal eller St. John's Wort) secobarbital barbiturates seizure medikationer og andre stoffer. Fortæl din læge alle medicin og kosttilskud, du bruger.
Coumadin under graviditet og amning
Gravide kvinder bør ikke få Coumadin; Amning af kvinder skal muligvis overvåges nøje, og deres ammede spædbørn skal have deres INR kontrolleret i henhold til nogle efterforskere. Selvom coumadin er blevet anvendt hos pædiatriske patienter til at forhindre koaguleringsformationer, er børn under 18 år ikke blevet undersøgt godt med dette lægemiddel, og nogle efterforskere antyder at opnå stabile INR -niveauer synes vanskeligere i den pædiatriske population.
Yderligere oplysninger
Vores coumadin -bivirkninger Drug Center giver et omfattende overblik over tilgængelige lægemiddelinformation om de potentielle bivirkninger, når du tager denne medicin.
FDA -lægemiddelinformation
- Lægemiddelbeskrivelse
- Indikationer
- Bivirkninger
- Lægemiddelinteraktioner
- Advarsler
- Overdosis
- Kontraindikationer
- Klinisk farmakologi
- Medicin vejledning
ADVARSEL
Blødningsrisiko
- Coumadin kan forårsage større eller dødelig blødning [se ADVARSELS ANd FORHOLDSREGLER ].
- Udføre regelmæssig overvågning af INR hos alle behandlede patienter [se Dosering og administration ].
- Lægemidler til lægemidler og andre faktorer påvirker INR -niveauer opnået med coumadin -terapi [se Lægemiddelinteraktioner ].
- Instruer patienter om forebyggelsesforanstaltninger for at minimere risikoen for blødning og rapportere tegn og symptomer på blødning [Se Patientinformation ].
Beskrivelse for coumadin
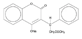
Coumadin (warfarin natrium) tabletter og coumadin (warfarin natrium) til injektion indeholder warfarin natrium et antikoagulant, der virker ved at hæmme vitamin K ⌈ -afhængige koagulationsfaktorer. Det kemiske navn på Warfarin-natrium er 3- (α-acetonylbenzyl) -4-hydroxycoumarin-natriumsalt, som er en racemisk blanding af den R - og S -enantiomerer. Krystallinsk krigsfarin -natrium er en isopropanol -clathrate. Dens empiriske formel er C 19 H 15 De 4 og dens strukturelle formel er repræsenteret af følgende:
|
Krystallinsk krigsfarin -natrium forekommer som et hvidt lugtfrit krystallinsk pulver, der er misfarvet af lys. Det er meget opløseligt i vand frit opløseligt i alkohol og meget lidt opløselig i chloroform og ether.
Coumadin -tabletter til oral brug indeholder også:
| Alle styrker: | Lactose stivelse og magnesiumstearat |
| 1 mg: | D |
| 2 mg: | Fd |
| Fd | |
| 2-1/2 mg: | D |
| Fd | |
| 3 mg: | Fd |
| Fd | |
| Fd | |
| 4 mg: | Fd |
| 5 mg: | Fd |
| 6 mg: | Fd og |
| Fd | |
| 7-1/2 mg: | D |
| Fd | |
| 10 mg: | Farvestoffrit |
Coumadin til injektion til intravenøs anvendelse leveres som et sterilt lyofiliseret pulver, som efter rekonstitution med 2,7 ml sterilt vand til injektion indeholder:
| Warfarin natrium | 2 mg pr. Ml |
| Natriumphosphatdibasisk heptahydrat | 4,98 mg pr. Ml |
| Natriumphosphat monobasisk monohydrat | 0,194 mg pr. Ml |
| Natriumchlorid | 0,1 mg pr. Ml |
| Mannitol | 38,0 mg pr. Ml |
| Natriumhydroxid efter behov for pH -justering til 8,1 til 8,3 |
Anvendelser til coumadin
Coumadin ® er angivet til:
- Profylakse og behandling af venøs thrombose og dens forlængelse af lungeemboli (PE).
- Profylakse og behandling af tromboemboliske komplikationer forbundet med atrieflimmer (AF) og/eller hjerteventiludskiftning.
- Reduktion i risikoen for tilbagevendende myokardieinfarkt (MI) og tromboemboliske begivenheder, såsom slagtilfælde eller systemisk embolisering efter myokardieinfektion.
Begrænsninger af brug
Coumadin has no direct effect on an established thrombus nor does it reverse ischemic tissue damage. Once a thrombus has occurred however the goals of anticoagulant treatment are to prevent further extension of the formed clot og to prevent secondary thromboembolic complications that may result in serious og possibly fatal sequelae.
Dosering til coumadin
Individualiseret dosering
Dosering og administration af coumadin skal individualiseres for hver patient i henhold til patientens INR -respons på lægemidlet. Juster dosis baseret på patientens INR og den tilstand, der behandles. Se de seneste evidensbaserede retningslinjer for klinisk praksis vedrørende varigheden og intensiteten af antikoagulation under de angivne betingelser.
Anbefalede mål INR -intervaller og varighed for individuelle indikationer
En INR på mere end 4,0 ser ud til at give ingen yderligere terapeutisk fordel hos MOS -patienter og er forbundet med en højere risiko for blødning.
Venøs tromboembolisme (inklusive dyb venøs trombose [DVT] og PE)
Juster Warfarin-dosis for at opretholde et mål INR på 2,5 (INR-område 2,0-3,0) for alle behandlingsvarigheder.
Behandlingsvarigheden er baseret på indikationen som følger:
- For patienter med en DVT eller PE sekundært til en kortvarig (reversibel) risikofaktorbehandling med warfarin i 3 måneder anbefales.
- For patienter med en uprovokeret DVT eller PE -behandling med warfarin anbefales i mindst 3 måneder. Efter 3 måneders terapi evaluerer forholdet mellem risiko-fordel for langvarig behandling for den enkelte patient.
- For patienter med to episoder med uprovokeret DVT eller PE-langvarig behandling med warfarin anbefales. For en patient, der får langvarig antikoagulantbehandling, reviderer med jævne mellemrum risiko-fordel-forholdet for at fortsætte en sådan behandling hos den enkelte patient.
Atrieflimmer
Hos patienter med ikke-valvulær AF-antikoagulat med warfarin til målrettet mod INR på 2,5 (område 2,0-3,0).
- Hos patienter med ikke-valvular AF, der er vedvarende eller paroxysmal og med høj risiko for slagtilfælde (dvs. at have nogen af følgende funktioner: forudgående iskæmisk slagtilfælde, forbigående iskæmisk angreb eller systemisk emboli eller 2 af følgende risikofaktorer: alder større end 75 år moderat eller alvorligt nedsat venstre ventrikel systolisk funktion og eller hjertesvindelseshistorie med hypertension eller diabetes mellitus) langvarig lange antikags-systolisk funktion og eller hjertesvindelseshistorie med hypertension eller diabetes mellitus Warfarin anbefales.
- Hos patienter med ikke-valvular AF, der er vedvarende eller paroxysmal og med en mellemliggende risiko for iskæmisk slagtilfælde (dvs. at have 1 af følgende risikofaktorer: alder større end 75 år moderat eller alvorligt nedsat venstre ventrikulær systolisk funktion og/eller hjertesvigthistorie af hypertension eller diabetes mellitus) langvarig antikoagulering med krigsfarin er anbefalet.
- For patienter med AF- og mitralstenose anbefales langvarig antikoagulation med warfarin.
- For patienter med AF- og protetiske hjerteventiler anbefales langvarig antikoagulation med warfarin; Målet INR kan øges, og aspirin tilføjes afhængigt af ventiltype og position og af patientfaktorer.
Mekaniske og bioprotetiske hjerteklapper
- For patienter med en bilaflet mekanisk ventil eller en Medtronic Hall (Minneapolis Mn) vippende diskventil i aorta-positionen, der er i sinusrytme og uden venstre atrieforstørrelsesbehandling med warfarin til et mål INR på 2,5 (interval 2,0-3,0).
- For patienter med vippende diskventiler og bilaflet mekaniske ventiler i mitral positionsterapi med warfarin til et mål INR på 3,0 (interval 2,5-3,5) anbefales.
- For patienter med bur eller buret diskventiler terapi med warfarin til et mål INR på 3,0 (interval 2,5-3,5) anbefales.
- For patienter med en bioprotetisk ventil i mitral positionsterapi med warfarin til et mål INR på 2,5 (område 2,0-3,0) i de første 3 måneder efter, at ventilindsættelsen anbefales. Hvis der er yderligere risikofaktorer for tromboembolisme (AF tidligere tromboembolisme til venstre ventrikulær dysfunktion) anbefales et mål INR på 2,5 (område 2,0-3,0).
Post-myocardial infarkt
- For højrisikopatienter med MI (f.eks. Personer med en stor anterior MI dem med betydelig hjertesvigt dem med intracardiac trombus synlig på transthoracic echocardiografi dem med AF og dem med en historie med en thromboembolisk begivenhed) terapi med kombineret moderatensitet (INR 2.0-3.0) Warfarin Plus Low-dosis Aspirin (≤ 100 MG/Day) for på mindst 3 måneder efter 3 måneder efter 3-månederne efter den lave dosis aspirin (≤ 1100 MG/Dag) for på mindst 3 måneder efter 3 måneder efter 3 måneder efter 3-månederne for den lave dosis aspirin (≤ ≤100 MG/100 MG/Dag) for ved 3 måneder for 3 måneder efter 3 måneder efter 3 måneder efter 3 måneder efter den lave dosis aspirin ( <≤ ≤ 1100 MG/100 MG/1 MI anbefales.
Tilbagevendende systemisk emboli og andre indikationer
Oral antikoagulationsterapi med warfarin er ikke blevet fuldt evalueret ved kliniske forsøg hos patienter med valvulær sygdom forbundet med AF -patienter med mitralstenose og patienter med tilbagevendende systemisk emboli af ukendt etiologi. Imidlertid kan et moderat dosisregime (INR 2.0-3.0) anvendes til disse patienter.
Indledende og vedligeholdelsesdosering
Den passende indledende dosering af coumadin varierer meget for forskellige patienter. Ikke alle faktorer, der er ansvarlige for Warfarin -dosisvariabilitet, er kendt, og den indledende dosis er påvirket af:
- Kliniske faktorer inklusive alder race kropsvægt sex Samtidig medicin og komorbiditeter
- Genetiske faktorer (CYP2C9 og VKORC1 genotyper) [se Klinisk farmakologi ].
Vælg den indledende dosis baseret på den forventede vedligeholdelsesdosis under hensyntagen til ovenstående faktorer. Rediger denne dosis baseret på overvejelse af patientspecifikke kliniske faktorer. Overvej lavere indledende og vedligeholdelsesdoser til ældre og/eller svækkede patienter og hos asiatiske patienter [se Brug i specifikke populationer og Klinisk farmakologi ]. Routine use of loading doses is not recommended as this practice may increase hemorrhagic og other complications og does not offer more rapid protection against clot formation.
Individualiser terapiens varighed for hver patient. Generelt bør antikoagulantbehandling fortsættes, indtil faren for trombose og emboli er gået [se Anbefalede mål INR -intervaller og varighed for individuelle indikationer ].
Doseringsanbefalinger uden overvejelse af genotype
Hvis patientens CYP2C9- og VKORC1 -genotyper ikke er kendt, er den indledende dosis af coumadin normalt 2 til 5 mg en gang dagligt. Bestem hver patients doseringsbehov ved tæt overvågning af INR -responsen og overvejelsen af den indikation, der behandles. Typiske vedligeholdelsesdoser er 2 til 10 mg en gang dagligt.
Doseringsanbefalinger under hensyntagen til genotype
Tabel 1 viser tre intervaller for forventet vedligeholdelsescoumadin -doser observeret i undergrupper af patienter, der har forskellige kombinationer af CYP2C9 og VKORC1 -genvarianter [se Klinisk farmakologi ]. Hvis patientens CYP2C9 og/eller VKORC1 -genotype er kendt, skal du overveje disse intervaller ved valg af den indledende dosis. Patienter med CYP2C9 *1/ *3 *2/ *2 *2/ *3 og *3/ *3 kan kræve mere langvarig tid (> 2 til 4 uger) for at opnå maksimal INR -effekt for et givet doseringsregime end patienter uden disse CYP -varianter.
Tabel 1: Tre intervaller af forventet vedligeholdelseskoumadin -daglige doser baseret på CYP2C9 og VKORC1 -genotyper †
| VKORC1 | CYP2C9 | |||||
| *1/*1 | *1/*2 | *1/*3 | *2/*2 | *2/*3 | *3/*3 | |
| Gg | 5-7 mg | 5-7 mg | 3-4 mg | 3-4 mg | 3-4 mg | 0,5-2 mg |
| På | 5-7 mg | 3-4 mg | 3-4 mg | 3-4 mg | 0,5-2 mg | 0,5-2 mg |
| Aa | 3-4 mg | 3-4 mg | 0,5-2 mg | 0,5-2 mg | 0,5-2 mg | 0,5-2 mg |
| † Områder er afledt af flere offentliggjorte kliniske studier. VKORC1 –1639G> A (RS9923231) Variant bruges i denne tabel. Andre co-inheriterede VKORC1-varianter kan også være vigtige determinanter for warfarin-dosis. |
Overvågning for at opnå optimal antikoagulation
Coumadin has a narrow therapeutic range (index) og its action may be affected by factors such as other drugs og dietary vitamin K. Therefore antiKoagulation must be carefully monitored during Coumadin therapy. Determine the INR daily after the administration of the initial dose until INR results stabilize in the therapeutic range. After stabilization maintain dosing within the therapeutic range by performing periodic INRs. The frequency of performing INR should be based on the clinical situation but generally acceptable intervals for INR determinations are 1 to 4 weeks. Perform additional INR tests when other warfarin products are interchanged with Coumadin as well as whenever other medications are initiated discontinued or taken irregularly. Heparin a common concomitant drug increases the INR [see Konvertering fra andre antikoagulantia og Lægemiddelinteraktioner ].
Bestemmelser af koagulation af fuldblod og blødningstider er ikke effektive foranstaltninger til overvågning af coumadin -terapi.
Nedskærmning af nyren
Ingen doseringsjustering er nødvendig for patienter med nyresvigt. Overvåg INR oftere hos patienter med kompromitteret nyrefunktion for at opretholde INR inden for det terapeutiske interval [se ADVARSELS ANd FORHOLDSREGLER og Brug i specifikke populationer ].
Savnet dosis
Den antikoagulerende virkning af coumadin vedvarer ud over 24 timer. Hvis en patient går glip af en dosis coumadin på det tilsigtede tidspunkt på dagen, skal patienten tage dosis så hurtigt som muligt på samme dag. Patienten skal ikke fordoble dosis den næste dag for at kompensere for en ubesvaret dosis.
Intravenøs administrationsrute
Den intravenøse dosis af coumadin er den samme som den orale dosis. Efter rekonstitution administrerer coumadin til injektion som en langsom bolusinjektion i en perifer vene over 1 til 2 minutter.
Coumadin for injection is not recommended for intramuscular administration.
Rekonstitér hætteglasset med 2,7 ml sterilt vand til injektion. Det resulterende udbytte er 2,5 ml af en 2 mg pr. Ml opløsning (5 mg i alt). Parenterale lægemiddelprodukter skal inspiceres visuelt for partikler og misfarvning inden administration hver gang løsning og containertilladelse. Brug ikke, hvis partikler eller misfarvning bemærkes.
Efter rekonstitution er coumadin til injektion stabilt i 4 timer ved stuetemperatur. Det indeholder ikke noget antimikrobielt konserveringsmiddel, og derfor skal der udvises omhu for at sikre steriliteten af den forberedte opløsning. Hætteglasset er kun til engangsbrug, der kasserer enhver ubrugt løsning.
Behandling under tandpleje og kirurgi
Nogle tand- eller kirurgiske procedurer kan kræve afbrydelse eller ændring i dosis af coumadin -terapi. Overvej fordelene og risiciene, når du ophører med coumadin, selv i en kort periode. Bestem INR umiddelbart før en tand- eller kirurgisk procedure. Hos patienter, der gennemgår minimalt invasive procedurer, der skal antikoaguleres før under eller umiddelbart efter disse procedurer, kan justering af dosering af coumadin for at opretholde INR i den lave ende af det terapeutiske interval med sikkerhed muliggøre fortsat antikoagulation.
Konvertering fra andre antikoagulantia
Heparin
Da den fulde antikoagulerende virkning af coumadin ikke opnås i flere dage, foretrækkes heparin til indledende hurtig antikoagulation. Under den indledende terapi med coumadin er interferensen med heparin -antikoagulation af minimal klinisk betydning. Konvertering til coumadin kan begynde samtidig med heparinbehandling eller kan blive forsinket 3 til 6 dage. For at sikre terapeutisk antikoagulation fortsætter den fuld dosis heparinbehandling og overlapper coumadinbehandling med heparin i 4 til 5 dage, og indtil coumadin har produceret den ønskede terapeutiske respons som bestemt af INR, på hvilket tidspunkt heparin kan afbrydes.
Da heparin kan påvirke INR -patienterne, der modtager både heparin og coumadin, skal I det mindste have INR -overvågning:
- 5 timer efter den sidste intravenøse bolusdosis af heparin eller
- 4 timer efter ophør med en kontinuerlig intravenøs infusion af heparin eller
- 24 timer efter den sidste subkutane heparininjektion.
Coumadin kan øge den aktiverede partielle thromboplastin -tid (APTT) -test, selv i fravær af heparin. En alvorlig højde (> 50 sekunder) i APTT med en INR i det ønskede interval er blevet identificeret som en indikation af øget risiko for postoperativ blødning.
Andre antikoagulantia
Se mærkning af andre antikoagulantia for instruktioner om konvertering til Coumadin.
Hvor leveret
Doseringsformularer og styrker
Tabletter
Coumadin Single-Scored Tabletter
| Styrke | Farve | Overlejret aftryk |
| 1 mg | Lyserød | 1 |
| 2 mg | Lavendel | 2 |
| 2,5 mg | Grøn | 2-1/2 |
| 3 mg | Solbrun | 3 |
| 4 mg | Blå | 4 |
| 5 mg | Fersken | 5 |
| 6 mg | Teal | 6 |
| 7,5 mg | Gul | 7-1/2 |
| 10 mg | Hvid (farvestoffrit) | 10 |
Til injektion
Til injektion: 5 mg lyofiliseret pulver i et enkeltdosis hætteglas.
Opbevaring og håndtering
Tabletter
Coumadin tablets are single-scored with one face imprinted numerically with 1 2 2-1/2 3 4 5 6 7-1/2 or 10 superimposed og inscribed with Coumadin og with the opposite face plain. Coumadin is available in bottles og hospital unit-dose blister packages with potencies og colors as follows:
| Flasker på 100 | Flasker på 1000 | Hospital enhedsdosis blis ter-pakke på 100 | |
| 1 mg pink | NDC 0056-0169-70 | NDC 0056-0169-90 | NDC 0056-0169-75 |
| 2 mg lavender | NDC 0056-0170-70 | NDC 0056-0170-90 | NDC 0056-0170-75 |
| 2-1/2 mg green | NDC 0056-0176-70 | NDC 0056-0176-90 | NDC 0056-0176-75 |
| 3 mg tan | NDC 0056-0188-70 | NDC 0056-0188-75 | |
| 4 mg blue | NDC 0056-0168-70 | NDC 0056-0168-75 | |
| 5 mg peach | NDC 0056-0172-70 | NDC 0056-0172-90 | NDC 0056-0172-75 |
| 6 mg teal | NDC 0056-0189-70 | NDC 0056-0189-90 | NDC 0056-0189-75 |
| 7-1/2 mg yellow | NDC 0056-0173-70 | NDC 0056-0173-75 | |
| 10 mg white (dye-free) | NDC 0056-0174-70 | NDC 0056-0174-75 |
Beskyt mod lys og fugt. Opbevares ved kontrolleret stuetemperatur (59 ° -86 ° F 15 ° -30 ° C). Dispens i en stram lysbestandig beholder som defineret i USP.
Opbevar hospitalets enhedsdosis blisterpakker i kartonen, indtil indholdet er blevet brugt.
Indsprøjtning
Coumadin Til injektionshætteglas giver 5 mg warfarin efter rekonstitution med 2,7 ml sterilt vand til injektion (maksimalt udbytte er 2,5 ml af en 2 mg/ml opløsning). Nettoindholdet i hætteglas er 5,4 mg lyofiliseret pulver.
5 mg hætteglas (kasse med 6) - NDC 0590-0324-35
Beskyt mod lys. Hold hætteglas i kassen, indtil den bruges. Opbevares ved kontrolleret stuetemperatur (59 ° -86 ° F 15 °- 30 ° C).
Efter rekonstitutionsbutik ved kontrolleret stuetemperatur (59 ° -86 ° F 15 ° -30 ° C) og brug inden for 4 timer.
Køl ikke ned. Kasser enhver ubrugt løsning.
Særlig håndtering
Procedurer til korrekt håndtering og bortskaffelse af potentielt farlige lægemidler bør overvejes.
Retningslinjer for dette emne er blevet offentliggjort [ Se referencer ].
Apotek og klinisk personale, der er gravide, bør undgå eksponering for knuste eller ødelagte tabletter [se Brug i specifikke populationer ].
Referencer
OSHA farlige stoffer. OSHA. https://www.osha.gov/sltc/hazardousdrugs/index.html.
Distribueret af: Bristol-Myers Squibb Company Princeton New Jersey 08543 USA. Revideret: juni 2017
Bivirkninger for Coumadin
Følgende alvorlige bivirkninger på coumadin diskuteres mere detaljeret i andre sektioner af mærkningen:
- Blødning [se Boksadvarsel ADVARSELS ANd FORHOLDSREGLER og OVERDOSIS ]
- Vævsnekrose [se ADVARSELS ANd FORHOLDSREGLER ]
- Calciphylaxis [se ADVARSELS ANd FORHOLDSREGLER ]
- Akut nyreskade [se ADVARSELS ANd FORHOLDSREGLER ]
- Systemisk atheroemboli og kolesterol mikroemboli [se ADVARSELS ANd FORHOLDSREGLER ]
- Lem iskæmi nekrose og gangren hos patienter med hit og hitter [se ADVARSELS ANd FORHOLDSREGLER ]
- Andre kliniske indstillinger med øgede risici [se ADVARSELS ANd FORHOLDSREGLER ]
Andre bivirkninger på coumadin inkluderer:
- Immunsystemforstyrrelser: Overfølsomhed/allergiske reaktioner (inklusive urticaria og anafylaktiske reaktioner)
- Vaskulære lidelser: Vasculitis
- Hepatobiliære lidelser: Hepatitis forhøjede leverenzymer. Cholestatisk hepatitis har været forbundet med samtidig administration af coumadin og ticlopidin.
- Gastrointestinale lidelser: kvalme opkast diarré smag perversion abdominal smerte flatulens oppustethed
- Hudforstyrrelser: udslæt dermatitis (inklusive bullous udbrud) kløe alopecia
- Åndedrætsforstyrrelser: tracheal eller tracheobronchial forkalkning
- Generelle lidelser: kulderystelser
Lægemiddelinteraktioner for Coumadin
Lægemidler kan interagere med coumadin gennem farmakodynamiske eller farmakokinetiske mekanismer. Farmakodynamiske mekanismer til lægemiddelinteraktioner med coumadin er synergisme (nedsat hæmostase reduceret koagulationsfaktorsyntese) konkurrencedygtig antagonisme (vitamin K) og ændring af den fysiologiske kontrolsløjfe til vitamin K metabolisme (arvelig resistens). Farmakokinetiske mekanismer til lægemiddelinteraktioner med coumadin er hovedsageligt enzyminduktionsenzyminhibering og reduceret plasmaproteinbinding. Det er vigtigt at bemærke, at nogle lægemidler kan interagere med mere end en mekanisme. Hyppigere INR-overvågning skal udføres, når man starter eller stopper andre lægemidler, herunder botanik eller når man ændrer doser af andre lægemidler, herunder lægemidler beregnet til kortvarig anvendelse (f.eks. Antibiotika antifungale kortikosteroider) [se Boksadvarsel ].
Se mærkningen af alle samtidigt anvendte lægemidler for at få yderligere information om interaktioner med coumadin eller bivirkninger, der vedrører blødning.
CYP450 -interaktioner
CYP450 isozymer involveret i metabolismen af warfarin inkluderer CYP2C9 2C19 2C8 2C18 1A2 og 3A4. Den mere potente warfarin S -enantiomer metaboliseres af CYP2C9, mens R -Enantiomer metaboliseres af CYP1A2 og 3A4.
- Inhibitorer af CYP2C9 1A2 og/eller 3A4 har potentialet til at øge effekten (forøgelse af INR) af warfarin ved at øge eksponeringen af warfarin.
- Inducerere af CYP2C9 1A2 og/eller 3A4 har potentialet til at reducere effekten (faldet INR) af warfarin ved at reducere eksponeringen af warfarin.
Eksempler på hæmmere og inducerere af CYP2C9 1A2 og 3A4 er nedenfor i tabel 2; Denne liste bør dog ikke betragtes som altomfattende. Se mærkningen af alle samtidigt anvendte lægemidler for at få yderligere information om CYP450 -interaktionspotentiale. CYP450 -inhiberings- og induktionspotentialet skal overvejes, når man begynder at stoppe eller ændre dosis af samtidig medicin. Overvåg nøje INR, hvis et samtidig lægemiddel er en CYP2C9 1A2 og/eller 3A4 -hæmmer eller inducer.
Tabel 2: Eksempler på CYP450 -interaktioner med warfarin
| Enzym | Hæmmere | Inducerere |
| CYP2C9 | amiodaron capecitabin cotrimoxazol etravirin fluconazol fluvastatin fluvoxamin metronidazol miconazol oxandrolon sulminpyrazon tigecyclin voriconazol zafirlukast | Aprepitant bosentan carbamazepin phenobarbital rifampin |
| CYP1A2 | acyclovir allopurinol koffein cimetidin ciprofloxacin disulfiram enoxacin famotidin fluvoxamin methoxsalen mexiletin norfloxacin orale prævention af phinlopiPin -propropanololololololololololololololololololololinaboxacin -ticlopidin -verapamilonononononononololololololololololololololafine thiabendazol TiclopiTin verapamileonononononononononolololololololololololololafine thiabendazol TiclopiTin verapamileonononononon | Montelukast moricizine omeprazol fenobarbital phenytoin cigaret rygning |
| CYP3A4 | Alprazolam amiodaron amlodipin amprenavir aprepitant atorvastatin atazanavir bicalutamid cilostazol cimetidin ciprofloxacin clarithromycin conivaptan cyclosporin darunavir/ritonavir diltiazem erytromycin fluconazol fluoxetine fluxamin fosampreprenavir Imatinib indinavir isoniazid itraconazol ketoconazol lopinavir/ritonavir nefazodon nelfinavir nilotinib orale prævention posaconazol ranitidin ranolazin ritonavir saquinavir telithromycin tipranavir voriconazol zileutononononononononononononononononononononononononononononononononononononononononononononononononononononononononononononononononononononononononononononononononononononononononononononzol zileutonon | armmodafinil amprenavir aprepitant bosentan carbamazepin efavirenz etravirin modafinil nafcillin phenytoin pioglitazon prednison rifampin rufinamid |
Medicin, der øger blødningsrisikoen
Eksempler på lægemidler, der vides at øge risikoen for blødning, er vist i tabel 3. fordi blødningsrisiko øges, når disse lægemidler bruges samtidig med Warfarin, overvåger nøje patienter, der får et sådant lægemiddel med warfarin.
Tabel 3: Lægemidler, der kan øge risikoen for blødning
| Lægemiddelklasse | Specifikke lægemidler |
| Antikoagulantia | Argatroban dabigatran bivalirudin desirudin heparin lipirudin |
| Antiplatelet -agenter | aspirin cilostazol clopidogrel dipyridamol prasugrel ticlopidin |
| Ikke-steroide antiinflammatoriske midler | Celecoxib diclofenac diflunisal phenoprofen ibuprofen indomethacin ketoprofen ketorolac mefenamic syre naproxen oxaprozin pyroxicam sulindac |
| Serotonin genoptagelsesinhibitorer | citalopram desvenlafaxin duloxetin escitalopram fluoxetin fluvoxamin milnacipran paroxetin sertralin venlafaxine vilazodon |
Antibiotika og antifungale
Der har været rapporter om ændringer hos INR hos patienter, der tager warfarin og antibiotika eller antifungale, men kliniske farmakokinetiske undersøgelser har ikke vist ensartede virkninger af disse midler på plasmakoncentrationer af warfarin.
Overvåg nøje INR, når du starter eller stopper noget antibiotikum eller antifungalt hos patienter, der tager warfarin.
Botaniske (urte) produkter og fødevarer
Hyppigere INR -overvågning skal udføres, når man starter eller stopper botanik.
Få tilstrækkelige godt kontrollerede undersøgelser, der evaluerer potentialet for metaboliske og/eller farmakologiske interaktioner mellem botanikaler og coumadin, findes. På grund af en mangel på fremstillingsstandardisering med botaniske medicinske præparater kan mængden af aktive ingredienser variere. Dette kan yderligere forvirre evnen til at vurdere potentielle interaktioner og virkninger på antikoagulation.
Nogle botanikaler kan forårsage blødningsbegivenheder, når de tages alene (f.eks. Hvidløg og Ginkgo Biloba) og kan have antikoagulerende antiplatelet og/eller fibrinolytiske egenskaber. Disse virkninger forventes at være additive over for de antikoagulerende virkninger af coumadin. Omvendt kan nogle botanikaler mindske virkningerne af coumadin (f.eks. Co-enzym Q 10 St. John's Wort Ginseng). Nogle botanik og fødevarer kan interagere med coumadin gennem CYP450 -interaktioner (f.eks. Echinacea grapefrugt Juice Ginkgo Goldenseal St. John's Wort).
Mængden af vitamin K i fødevarer kan påvirke terapi med coumadin. Rådgive patienter, der tager coumadin for at spise en normal afbalanceret diæt, der opretholder en konsekvent mængde vitamin K. Patienter, der tager coumadin, bør undgå drastiske ændringer i diætvaner, såsom at spise store mængder grønne bladgrøntsager.
Advarsler for Coumadin
Inkluderet som en del af 'FORHOLDSREGLER' Afsnit
Forholdsregler for coumadin
Blødning
Coumadin kan forårsage større eller dødelig blødning. Blødning er mere tilbøjelige til at forekomme inden for den første måned. Risikofaktorer for blødning inkluderer høj intensitet af antikoagulation (INR> 4,0) alder, der er større end eller lig med 65 historie med meget variabel INRs historie med gastrointestinal blødning hypertension cerebrovaskulær sygdom anæmi malignancy trauma nyre nedsat visse genetiske faktorer [se Klinisk farmakologi ] visse samtidige stoffer [se Lægemiddelinteraktioner ] og lang varighed af warfarin -terapi.
Udfør regelmæssig overvågning af INR hos alle behandlede patienter. De med høj risiko for blødning kan drage fordel af hyppigere INR -overvågning omhyggelig dosisjustering til ønsket INR og en korteste varighed af terapi, der er passende til den kliniske tilstand. Vedligeholdelse af INR i det terapeutiske interval eliminerer imidlertid ikke risikoen for blødning.
Lægemidler til lægemidler og andre faktorer påvirker INR -niveauer opnået med coumadin -terapi. Udfør hyppigere INR -overvågning, når du starter eller stopper andre lægemidler, herunder botanik eller når du ændrer doser af andre lægemidler [se Lægemiddelinteraktioner ].
5 HTP- og L Tyrosindosering
Instruer patienter om forebyggelsesforanstaltninger for at minimere risikoen for blødning og rapportere tegn og symptomer på blødning [Se Patientinformation ].
Vævsnekrose
Nekrose og/eller gangren af hud og andet væv er en ualmindelig, men alvorlig risiko ( <0.1%). Necrosis may be associated with local thrombosis og usually appears within a few days of the start of Coumadin therapy. In severe cases of necrosis treatment through debridement or amputation of the affected tissue limb breast or penis has been reported.
Omhyggelig klinisk evaluering er påkrævet for at bestemme, om nekrose er forårsaget af en underliggende sygdom. Selvom forskellige behandlinger er blevet forsøgt, er der ikke forsøgt nogen behandling af nekrose ensartet effektive. Afbryd coumadinbehandling, hvis nekrose forekommer. Overvej alternative lægemidler, hvis fortsat antikoagulationsterapi er nødvendig.
Calciphylaxis
Dødelig og alvorlig calciphylaxis eller calcium uremisk arteriolopati er rapporteret hos patienter med og uden nyresygdom i slutstadiet. Når calciphylaxis diagnosticeres hos disse patienter, afbryder coumadin og behandler calciphylaxis efter behov. Overvej alternativ antikoagulationsterapi.
Akut nyreskade
Hos patienter med ændret glomerulær integritet eller med en historie med nyresygdomme kan akut nyreskade forekomme med coumadin muligvis i forhold til episoder med overdreven antikoagulation og hæmaturi [se Brug i specifikke populationer ]. More frequent monitoring of antiKoagulation is advised in patients with compromised renal function.
Systemisk atheroemboli og kolesterol mikroemboli
Antikoagulationsterapi med coumadin kan forbedre frigivelsen af atheromatøs plaque -emboli. Systemisk atheroemboli og kolesterolmikroemboli kan præsentere med en række tegn og symptomer afhængigt af emboliseringsstedet. De mest involverede viscerale organer er nyrerne efterfulgt af bugspytkirtlen og leveren. Nogle tilfælde er gået frem til nekrose eller død. Et tydeligt syndrom, der er resultatet af mikroemboli på fødderne, er kendt som lilla tæer syndrom. Afbryd coumadinbehandling, hvis sådanne fænomener observeres. Overvej alternative lægemidler, hvis fortsat antikoagulationsterapi er nødvendig.
Lem iskæmi nekrose og gangren hos patienter med hit og hitts
Brug ikke coumadin som initial terapi hos patienter med heparin-induceret thrombocytopeni (HIT) og med heparin-induceret thrombocytopeni med thrombosis syndrom (HITTS). Tilfælde af lemmer iskæmi nekrose og gangren er forekommet hos patienter med HIT og hit, da heparinbehandling blev afbrudt, og krigsfarinbehandling blev startet eller fortsat. Hos nogle patienter har efterfølgende inkluderet amputation af det involverede område og/eller død. Behandling med coumadin kan overvejes, efter at blodpladetællingen er normaliseret.
Brug hos gravide kvinder med mekaniske hjerteklapper
Coumadin can cause fetal harm when administered to a pregnant woman. While Coumadin is contraindicated during pregnancy the potential benefits of using Coumadin may outweigh the risks for pregnant women with mechanical heart valves at high risk of thromboembolism. In those individual situations the decision to initiate or continue Coumadin should be reviewed with the patient taking into consideration the specific risks og benefits pertaining to the individual patient’s medical situation as well as the most current medical guidelines. Coumadin exposure during pregnancy causes a recognized pattern of major congenital malformations (warfarin embryopathy og fetotoxicity) fatal fetal hemorrhage og an increased risk of spontaneous abortion og fetal mortality. If this drug is used during pregnancy or if the patient becomes pregnant while taking this drug the patient should be apprised of the potential hazard to a fetus [see Brug i specifikke populationer ].
Andre kliniske indstillinger med øgede risici
I de følgende kliniske omgivelser kan risikoen for coumadin -terapi øges:
- Moderat til alvorlig nedsat leverfunktion
- Infektionssygdomme eller forstyrrelser af tarmflora (f.eks. Sprue antibiotikabehandling)
- Brug af et indbyggende kateter
- Alvorlig til moderat hypertension
- Mangel i protein C-medieret antikoagulantrespons: coumadin reducerer syntesen af det naturligt forekommende antikoagulanter protein C og protein S. arvelig eller erhvervet mangler ved protein C eller dets cofaktorprotein S har været forbundet med vævsnekrose efter Warfarin-administration. Samtidig antikoagulationsterapi med heparin i 5 til 7 dage under påbegyndelse af terapi med coumadin kan minimere forekomsten af vævsnekrose hos disse patienter.
- Øjenkirurgi: I kataraktkirurgi var brugen af coumadin forbundet med en signifikant stigning i mindre komplikationer af skarp nål- og lokalbedøvelsesblok, men ikke forbundet med potentielt synstruende operative hæmoragiske komplikationer. Da coumadin -ophør eller reduktion kan føre til alvorlige tromboemboliske komplikationer, bør beslutningen om at afbryde coumadin før en relativt mindre invasiv og kompleks øjenkirurgi, såsom linseoperation, være baseret på risikoen for antikoagulantbehandling, der vejes mod fordelene.
- Polycythemia vera
- Vasculitis
- Diabetes mellitus
Endogene faktorer, der påvirker INR
Følgende faktorer kan være ansvarlige for øget INR -respons: diarré leverforstyrrelser dårlig ernæringstilstand steatorrhea eller vitamin K -mangel.
Følgende faktorer kan være ansvarlige for nedsat INR -respons: øget vitamin K -indtagelse eller arvelig krigsfarinresistens.
Oplysninger om patientrådgivning
Rådgiv patienten om at læse den FDA-godkendte patientmærkning ( Medicin vejledning ).
Instruktioner til patienter
Rådgive patienter til:
- Overhold strengt den foreskrevne doseringsplan [se Dosering og administration ].
- Hvis den foreskrevne dosis coumadin går glip af, skal du tage dosis så hurtigt som muligt på samme dag, men ikke tage en dobbelt dosis coumadin næste dag for at kompensere for ubesvarede doser [se Dosering og administration ].
- Få Prothrombin -tidstest og foretag regelmæssige besøg hos deres læge eller klinik for at overvåge terapi [se Dosering og administration ].
- Vær opmærksom på, at hvis terapi med coumadin afbrydes, kan de antikoagulante virkninger af coumadin vedvare i cirka 2 til 5 dage [se Klinisk farmakologi ].
- Undgå aktivitet eller sport, der kan resultere i traumatisk skade [se Brug i specifikke populationer ]. And to tell their physician if they Fald ofte as this may increase their risk for complications.
- Spis en normal afbalanceret diæt for at opretholde et konsekvent indtag af vitamin K. Undgå drastiske ændringer i diætvaner såsom at spise store mængder bladgrønne grøntsager [Se Lægemiddelinteraktioner ].
- Kontakt deres læge for at rapportere enhver alvorlig sygdom, såsom svær diarréinfektion eller feber [se ADVARSELS ANd FORHOLDSREGLER og Bivirkninger ].
- Bær identifikation om, at de tager Coumadin.
Blødende risici
Rådgive patienter til
- Underret deres læge øjeblikkeligt, hvis der opstår en usædvanlig blødning eller symptomer. Tegn og symptomer på blødning inkluderer: Hævelse af smerter eller ubehag i blødning af blødninger øgede menstruationsstrømmen eller vaginal blødning af næseblødning af tandkød fra børstning af usædvanlig blødning eller blå Boksadvarsel og ADVARSELS ANd FORHOLDSREGLER ].
Samtidig medicin og botanik (urter)
Rådgive patienter til:
- Tag eller ophør ikke med noget andet lægemiddel, inklusive salicylater (f.eks. Aspirin og aktuelle smertestillende midler) andre medikamenter med køb og botaniske (urte) undtagen på råd fra din læge [se Lægemiddelinteraktioner ].
Graviditet og sygepleje
Rådgive patienter til:
- Kontakt deres læge
- straks hvis de tror, de er gravide [se Brug i specifikke populationer ]
- For at diskutere graviditetsplanlægning [se Brug i specifikke populationer ]
- Hvis de overvejer amning [se Brug i specifikke populationer ].
Ikke -klinisk toksikologi
Karcinogenese mutagenese nedskrivning af fertilitet
Karcinogenicitetsmutagenicitet eller fertilitetsundersøgelser er ikke blevet udført med warfarin.
Brug i specifikke populationer
Graviditet
Risikooversigt
Coumadin is contraindicated in women who are pregnant except in pregnant women with mechanical heart valves who are at high risk of thromboembolism og for whom the benefits of Coumadin may outweigh the risks [see ADVARSELS ANd FORHOLDSREGLER ]. Coumadin can cause fetal harm. Exposure to warfarin during the first trimester of pregnancy caused a pattern of congenital malformations in about 5% of exposed offspring. Because these data were not collected in adequate og well-controlled studies this incidence of major birth defects is not an adequate basis for comparison to the estimated incidences in the control group or the U.S. general population og may not reflect the incidences observed in practice. Consider the benefits og risks of Coumadin og possible risks to the fetus when prescribing Coumadin to a pregnant woman.
Bivirkninger i graviditeten forekommer uanset morens helbred eller brug af medicin. Den estimerede baggrundsrisiko for store fødselsdefekter og spontanabort for den angivne befolkning er ukendt. I den amerikanske generelle befolkning er den estimerede baggrundsrisiko for større fødselsdefekter og spontanabort i klinisk anerkendte graviditeter henholdsvis 2% til 4% og 15% til 20%.
Kliniske overvejelser
Føtal/neonatal bivirkninger
Hos mennesker krydser warfarin placentaen og koncentrationer i føtal plasma nærmer sig moderens værdier. Eksponering for warfarin i første trimester af graviditeten forårsagede et mønster af medfødte misdannelser hos ca. 5% af udsatte afkom. Warfarin -embryopati er kendetegnet ved nasal hypoplasi med eller uden stippede epifyses (chondrodysplasia punctata) og væksthæmning (inklusive lav fødselsvægt). Centralnervesystemet og øjeabnormaliteter er også rapporteret, herunder dorsal midtlinjedysplasi, der er kendetegnet ved agenese af corpus callosum dandy-walker-misdannelse midtlinie cerebellar atrofi og ventral midtlinie dysplasi kendetegnet ved optisk atrofi. Psykisk retardering Blindhed Schizencephaly Microcephaly Hydrocephalus og andre ugunstige graviditetsresultater er rapporteret efter krigsfarineksponering under den anden og tredje trimestere af graviditeten [se Kontraindikationer ].
Amning
Risikooversigt
Warfarin var ikke til stede i human mælk fra mødre behandlet med warfarin fra en begrænset offentliggjort undersøgelse. På grund af potentialet for alvorlige bivirkninger, herunder blødning i et ammet spædbarn, skal du overveje de udviklingsmæssige og sundhedsmæssige fordele ved amning sammen med mors kliniske behov for coumadin og eventuelle bivirkninger på det ammede spædbarn fra coumadin eller fra den underliggende moderlige tilstand, før de ordinerer coumadin til en lakterende kvinde.
Kliniske overvejelser
Overvåg ammende spædbørn til blå mærker eller blødning.
Data
Menneskelige data
Baseret på offentliggjorte data hos 15 ammende mødre blev Warfarin ikke påvist i human mælk. Blandt de 15 fuldtids nyfødte 6 sygeplejebørn havde dokumenteret protrombin-gange inden for det forventede interval. Prothrombin -tider blev ikke opnået for de andre 9 sygeplejebørn. Effekter hos for tidlige spædbørn er ikke blevet evalueret.
Kvinder og mænd med reproduktivt potentiale
Graviditet Testing
Coumadin can cause fetal harm [see Brug i specifikke populationer ].
Bekræft graviditetsstatus for hunner med reproduktivt potentiale, inden coumadin -terapi påbegyndes.
Svangerskabsforebyggelse
Hunner
Rådgive kvinder med reproduktivt potentiale til at bruge effektiv prævention under behandlingen og i mindst 1 måned efter den endelige dosis af coumadin.
Pædiatrisk brug
Tilstrækkelige og godt kontrollerede undersøgelser med coumadin er ikke blevet udført i nogen pædiatrisk population, og den optimale doseringssikkerhed og effektivitet hos pædiatriske patienter er ukendt. Pædiatrisk brug af coumadin er baseret på voksne data og anbefalinger og tilgængelige begrænsede pædiatriske data fra observationsundersøgelser og patientregistreringer. Pædiatriske patienter, der administreres coumadin, bør undgå enhver aktivitet eller sport, der kan resultere i traumatisk skade.
Det udviklende hæmostatiske system hos spædbørn og børn resulterer i en skiftende fysiologi af trombose og respons på antikoagulantia. Dosering af warfarin i den pædiatriske befolkning varierer efter patientalder med spædbørn, der generelt har de højeste og unge, der har de laveste milligram pr. Kg dosiskrav for at opretholde målet. På grund af ændrede krigsfarinbehov på grund af alderssammensætningsmedicin Diæt og eksisterende medicinsk tilstand Mål INR -intervaller kan være vanskelige at opnå og vedligeholde hos pædiatriske patienter, og hyppigere INR -bestemmelser anbefales.
Blødningshastigheder varierede efter patientpopulation og klinisk pleje i pædiatriske observationsundersøgelser og patientregistreringer.
Spædbørn og børn, der modtager vitamin K-suppleret ernæring, inklusive spædbarnsformler kan være resistente over for krigsfarinbehandling, mens human mælkefodrede spædbørn kan være følsomme over for krigsfarinbehandling.
Geriatrisk brug
Af det samlede antal patienter, der fik krigsfarin -natrium i kontrollerede kliniske forsøg, for hvilke data var tilgængelige til analyse 1885 patienter (NULL,4%) var 65 år og ældre, mens 185 patienter (NULL,4%) var 75 år og ældre. Der blev ikke observeret nogen samlede forskelle i effektivitet eller sikkerhed mellem disse patienter og yngre patienter, men større følsomhed hos nogle ældre personer kan ikke udelukkes.
Patienter 60 år eller ældre ser ud til at udvise større end forventet INR -respons på de antikoagulerende virkninger af warfarin [se Klinisk farmakologi ]. Coumadin is contraindicated in enhver unsupervised patient with senility. Observe caution with administration of Coumadin to elderly patients in enhver situation or with enhver physical condition where added risk of hemorrhage is present. Consider lower initiation og maintenance doses of Coumadin in elderly patients [see Dosering og administration ].
Nedskærmning af nyren
Nyreklarering anses for at være en mindre determinant for antikoagulantrespons på warfarin. Ingen doseringsjustering er nødvendig for patienter med nedsat nyrefunktion. Instruer patienter med nedsat nyrefunktion, der tager warfarin for at overvåge deres INR oftere [se ADVARSELS ANd FORHOLDSREGLER ].
Leverskrivning i leveren
Hepatisk svækkelse kan styrke responsen på warfarin gennem nedsat syntese af koagulationsfaktorer og nedsat metabolisme af warfarin. Vær forsigtig, når du bruger coumadin hos disse patienter.
Overdosis Information for Coumadin
Tegn og symptomer
Blødning (f.eks. Udseendet af blod i afføring eller urinhematuri overdreven menstruationsblødning melena petechiae overdreven blå mærker eller vedvarende oser fra overfladiske skader uforklarligt fald i hæmoglobin) er en manifestation af overdreven antikoagulation.
Behandling
Behandlingen af overdreven antikoagulation er baseret på niveauet for INR tilstedeværelsen eller fraværet af blødning og kliniske omstændigheder. Omvendelse af coumadin -antikoagulation kan opnås ved at afbryde coumadinbehandling og om nødvendigt ved administration af oral eller parenteral vitamin K 1 .
Brugen af vitamin K 1 Reducerer respons på efterfølgende coumadin -terapi, og patienter kan vende tilbage til en forbehandlings trombotisk status efter den hurtige reversering af en langvarig INR. Genoptagelse af coumadin -administration vender virkningen af vitamin K og en terapeutisk INR kan igen opnås ved omhyggelig doseringsjustering. Hvis hurtig re-antikoagulation er indikeret, kan heparin være at foretrække til initial terapi.
Prothrombin -kompleks koncentrat (PCC) frisk frosset plasma eller aktiveret faktor VII -behandling kan overvejes, hvis kravet om at vende virkningerne af coumadin er presserende. En risiko for hepatitis og andre virussygdomme er forbundet med brugen af blodprodukter; PCC og aktiveret faktor VII er også forbundet med en øget risiko for trombose. Derfor bør disse præparater kun bruges i usædvanlige eller livstruende blødningsepisoder, der er sekundære med overdosering af coumadin.
Kontraindikationer for Coumadin
Coumadin is contraindicated in:
- Graviditet
Coumadin is contraindicated in women who are pregnant except in pregnant women with mechanical heart valves who are at high risk of thromboembolism [see ADVARSELS ANd FORHOLDSREGLER og Brug i specifikke populationer ]. Coumadin can cause fetal harm when administered to a pregnant woman. Coumadin exposure during pregnancy causes a recognized pattern of major congenital malformations (warfarin embryopathy og fetotoxicity) fatal fetal hemorrhage og an increased risk of spontaneous abortion og fetal mortality. If Coumadin is used during pregnancy or if the patient becomes pregnant while taking this drug the patient should be apprised of the potential hazard to a fetus [see Brug i specifikke populationer ].
Coumadin is contraindicated in patients with:
- Hæmoragiske tendenser eller bloddyskrasier
- Den seneste eller overvejede operation af centralnervesystemet eller øjet eller traumatisk kirurgi, hvilket resulterer i store åbne overflader [se ADVARSELS ANd FORHOLDSREGLER ]
- Blødning tendenser forbundet med:
- Aktiv mavesår eller åbenlys blødning af mave -tarmgenitourinary eller luftvej
- Bødning i centralnervesystemet
- Cerebrale aneurismer dissekerer aorta
- Pericarditis og perikardiale effusioner
- Bakteriel endokarditis
- Truet abort eklampsi og præeklampsi
- Uovervåget patienter med tilstande forbundet med potentielt højt niveau af manglende overholdelse
- Spinal punktering og andre diagnostiske eller terapeutiske procedurer med potentiale for ukontrollerbar blødning
- Overfølsomhed over for warfarin eller over for andre komponenter i dette produkt (f.eks. Anafylaksi) [se Bivirkninger ]
- Større regionale eller lændeblokeringsanæstesi
- Ondartet hypertension
Klinisk farmakologi for Coumadin
Handlingsmekanisme
Warfarin virker ved at hæmme syntesen af vitamin K-afhængige koagulationsfaktorer, der inkluderer faktorer II VII IX og X og antikoagulantproteinerne C og S. vitamin K er en essentiel cofactor for den post ribosomale syntese af vitamin K-afhængige clotting-faktorer. C-vitamin fremmer biosyntesen af y-carboxyglutaminsyrerester i proteinerne, der er essentielle for biologisk aktivitet. Warfarin menes at forstyrre koagulationsfaktorsyntese ved inhibering af C1 -underenheden af vitamin K -epoxidreduktase (VKORC1) enzymkompleks og reducere derved regenereringen af vitamin K 1 Epoxid [se Farmakogenomik ].
Farmakodynamik
En antikoagulationseffekt forekommer generelt inden for 24 timer efter Warfarin -administration. Imidlertid kan den maksimale antikoagulerende virkning blive forsinket 72 til 96 timer. Virkningen af en enkelt dosis racemisk krigsfarin er 2 til 5 dage. Virkningerne af coumadin kan blive mere udtalt, da virkningerne af daglige vedligeholdelsesdoser overlapper hinanden. Dette er i overensstemmelse med halveringstiden for de berørte vitamin KDEPENDENT CLOLUTTING FACTORS OG ANTICOAGULATION Proteiner: Faktor II - 60 timer VII - 4 til 6 timer IX - 24 timer x - 48 til 72 timer og proteiner C og S er henholdsvis ca. 8 timer og 30 timer.
Farmakokinetik
Coumadin is a racemic mixture of the R - og S -Enantiomerer af warfarin. De S -Enantiomer udviser 2 til 5 gange mere antikoagulerende aktivitet end R-enantiomeren hos mennesker, men har generelt en hurtigere godkendelse.
Absorption
Warfarin absorberes i det væsentlige fuldstændigt efter oral administration med maksimalkoncentration, der generelt opnås inden for de første 4 timer.
Fordeling
Warfarin distribueres til et relativt lille tilsyneladende mængde distribution på ca. 0,14 L/kg. En distributionsfase, der varer 6 til 12 timer, kan skelnes efter hurtig intravenøs eller oral administration af en vandig opløsning. Cirka 99% af lægemidlet er bundet til plasmaproteiner.
Metabolisme
Eliminering af warfarin er næsten udelukkende ved stofskifte. Warfarin er stereoselektivt metaboliseret af levercytochrome P-450 (CYP450) mikrosomale enzymer til inaktive hydroxylerede metabolitter (dominerende rute) og ved reduktaser til reducerede metabolitter (Warfarinalkoholer) med minimal antikoagulant aktivitet. Identificerede metabolitter af warfarin inkluderer dehydrowarfarin to diastereoisomeralkoholer og 4'- 6- 7- 8- og 10-hydroxywarfarin. CYP450 -isozymerne involveret i metabolismen af warfarin inkluderer CYP2C9 2C19 2C8 2C18 1A2 og 3A4. CYP2C9 Et polymorf enzym er sandsynligvis den vigtigste form for human lever CYP450, der modulerer forgæves Antikoagulerende aktivitet af warfarin. Patienter med en eller flere variant CYP2C9-alleler er reduceret S-Warfarin Clearance [Se Farmakogenomik ].
Udskillelse
Den terminale halveringstid for warfarin efter en enkelt dosis er cirka 1 uge; Imidlertid spænder den effektive halveringstid fra 20 til 60 timer med et gennemsnit på ca. 40 timer. Clearance af R-warfarin er generelt halvdelen af S-Warfarin, således at fordelingsmængderne ligner halveringstiden for Rwarfarin er længere end S-Warfarin. Halveringstiden for R-Warfarin spænder fra 37 til 89 timer, mens S-Warfarin spænder fra 21 til 43 timer. Undersøgelser med radiomærket lægemiddel har vist, at op til 92% af den oralt administrerede dosis udvindes i urin. Meget lidt warfarin udskilles uændret i urin. Urinudskillelse er i form af metabolitter.
Geriatriske patienter
Patienter 60 år eller ældre ser ud til at udvise større end forventet INR -respons på de antikoagulante virkninger af warfarin. Årsagen til den øgede følsomhed over for de antikoagulante virkninger af warfarin i denne aldersgruppe er ukendt, men kan skyldes en kombination af farmakokinetiske og farmakodynamiske faktorer. Begrænset information antyder, at der ikke er nogen forskel i clearance af S-Warfarin; Der kan dog være et lille fald i clearance af R-warfarin hos ældre sammenlignet med de unge. Derfor, da patientalderen øger en lavere dosis af warfarin, kræves normalt for at producere et terapeutisk niveau af antikoagulation [se Dosering og administration ].
Asiatiske patienter
Asiatiske patienter kan kræve lavere initierings- og vedligeholdelsesdoser af warfarin. En ikke-kontrolleret undersøgelse af 151 kinesiske ambulante patienter stabiliserede sig på warfarin for forskellige indikationer rapporterede et gennemsnitligt dagligt warfarin-krav på 3,3 ± 1,4 mg for at opnå en INR på 2 til 2,5. Patientalder var den vigtigste determinant for krigsfarinbehovet hos disse patienter med et gradvis lavere krigsfarinbehov med stigende alder.
Farmakogenomik
CYP2C9 And VKORC1 Polymorphisms
S-enantiomeren af warfarin metaboliseres hovedsageligt til 7-hydroxywarfarin af CYP2C9 et polymorf enzym. Variant Alleles CYP2C9*2 og CYP2C9*3 resulterer i nedsat In vitro CYP2C9 enzymatic 7-hydroxylation of S-warfarin. The frequencies of these alleles in Caucasians are approximately 11% og 7% for CYP2C9*2 og CYP2C9*3 respectively.
Andre CYP2C9 -alleler, der er forbundet med reduceret enzymatisk aktivitet, forekommer ved lavere frekvenser inklusive *5 *6 og *11 alleler i populationer af afrikansk aner og *5 *9 og *11 alleler i kaukasiere.
Warfarin reducerer regenereringen af vitamin K fra vitamin K -epoxid i vitamin K -cyklus gennem inhibering af VKOR et multiproteinenzymkompleks. Visse enkelt nukleotidpolymorfismer i VKORC1 -genet (f.eks. .1639g> A) har været forbundet med krav til variabel krigsfarin -dosis.
VKORC1 og CYP2C9 gene variants generally explain the largest proportion of known variability in warfarin dose requirements.
CYP2C9 og VKORC1 genotype information when available can assist in selection of the initial dose of warfarin [see Dosering og administration ].
Kliniske studier
Atrieflimmer
I fem prospektive randomiserede kontrollerede kliniske forsøg, der involverede 3711 patienter med ikke-rheumatisk AF-warfarin, reducerede risikoen for systemisk tromboembolisme, inklusive slagtilfælde (se tabel 4). Risikoreduktionen varierede fra 60% til 86% i alt undtagen et forsøg (CAFA: 45%), som blev stoppet tidligt på grund af offentliggjorte positive resultater fra to af disse forsøg. Forekomsten af større blødning i disse forsøg varierede fra 0,6% til 2,7% (se tabel 4).
Tabel 4: Kliniske undersøgelser af warfarin hos ikke-rheumatiske AF-patienter *
| Studere | N | Tromboembolisme | % Større blødning | |||||
| Warfarin-behandlede patienter | Kontroller patienter | PT -forhold | INR | % Risikoreduktion | p -værdi | Warfarin-behandlede patienter | Kontroller patienter | |
| Acasak | 335 | 336 | 1,5-2,0 | 2.8-4.2 | 60 | 0.027 | 0.6 | 0.0 |
| Spaf | 210 | 211 | 1.3-1.8 | 2.0-4.5 | 67 | 0.01 | 1.9 | 1.9 |
| Baataf | 212 | 208 | 1.2-1.5 | 1,5-2,7 | 86 | <0.05 | 0.9 | 0.5 |
| Cafa | 187 | 191 | 1.3-1.6 | 2.0-3.0 | 45 | 0.25 | 2.7 | 0.5 |
| Spinaf | 260 | 265 | 1.2-1.5 | 1,4-2,8 | 79 | 0.001 | 2.3 | 1.5 |
| * Alle undersøgelsesresultater af warfarin vs. kontrol er baseret på intention-to-treat-analyse og inkluderer iskæmisk slagtilfælde og systemisk tromboembolisme eksklusive hæmoragisk slagtilfælde og kortvarige iskæmiske angreb. |
Forsøg hos patienter med både AF- og mitralstenose antyder en fordel ved antikoagulation med coumadin [se Dosering og administration ].
Mekaniske og bioprotetiske hjerteklapper
I en prospektiv randomiseret open-label-positiv-kontrolleret undersøgelse hos 254 patienter med mekaniske protesehjerteventiler viste det sig, at det tromboemboliske-frie interval var signifikant større hos patienter, der blev behandlet med warfarin alene sammenlignet med dipyridamol/aspirinbehandlede patienter (P <0.005) og pentoxifylline/aspirin-treated patients (p <0.05). The results of this study are presented in Table 5.
Tabel 5: Prospektiv randomiseret open-label Positive-kontrolleret klinisk undersøgelse af warfarin hos patienter med mekaniske protetiske hjerteventiler
| Tilfælde | Patienter behandlet med | ||
| Warfarin | Dipyridamol/ aspirin | Pentoxifylline/ aspirin | |
| Tromboembolisme | 2.2/100 PY | 8.6/100 Py | 7.9/100 PY |
| Stor blødning | 2,5/100 PY | 0,0/100 PY | 0,9/100 PY |
| PY = patientår |
I en fremtidig klinisk undersøgelse af open-label, der sammenligner moderat (INR 2,65) versus høj intensitet (INR 9.0) Warfarin-terapier hos 258 patienter med mekaniske protetiske hjerteventiler tromboembolisme forekom med lignende frekvens i de to grupper (NULL,0 og 3,7 begivenheder pr. 100 patientår år). Større blødning var mere almindelig i gruppen med høj intensitet. Resultaterne af denne undersøgelse er præsenteret i tabel 6.
Tabel 6: Prospektiv open-label klinisk undersøgelse af warfarin hos patienter med mekaniske protetiske hjerteventiler
| Tilfælde | Moderat warfarinbehandling INR 2.65 | Høj intensitet krigsfarinbehandling INR 9.0 |
| Tromboembolisme | 4.0/100 PY | 3.7/100 PY |
| Stor blødning | 0,95/100 PY | 2.1/100 PY |
| PY = patientår |
I et randomiseret forsøg hos 210 patienter, der sammenlignede to intensiteter af warfarin-terapi (INR 2,0-2,25 vs. INR 2,5-4,0) i en tre-måneders periode efter vævshjerteventiludskiftningstromboembolisme forekom med lignende frekvens i henholdsvis de to grupper (store emboliske begivenheder 2,0% mod 1,9% og mindre emboliske begivenheder 10,8% mod 10,2%). Større blødninger forekom hos 4,6% af patienterne i gruppen med højere intensitet sammenlignet med nul i den lavere intensitet INR -gruppe.
Myokardieinfarkt
Waris (Warfarin Re-Infarction-undersøgelse) var en dobbeltblind randomiseret undersøgelse af 1214 patienter 2 til 4 uger efter infarktion behandlet med warfarin til et mål INR på 2,8 til 4,8. Det primære slutpunkt var en sammensætning af total dødelighed og tilbagevendende infarkt. Et sekundært slutpunkt for cerebrovaskulære begivenheder blev vurderet. Gennemsnitlig opfølgning af patienterne var 37 måneder. Resultaterne for hvert slutpunkt separat, inklusive en analyse af vaskulær død, findes i tabel 7.
Tabel 7: Waris. Endpoint -analys er af separate begivenheder
| Tilfælde | Warfarin (N = 607) | Placebo (N = 607) | Rr (95% der) | % Risikoreduktion ( p -værdi) |
| Samlede patientår med opfølgning | 2018 | 1944 | ||
| Total dødelighed | 94 (4.7/100 PY) | 123 (6.3/100 PY) | 0,76 (NULL,60 0,97) | 24 (p = 0,030) |
| Vascular Death | 82 (4.1/100 PY) | 105 (5.4/100 PY) | 0,78 (NULL,60 1,02) | 22 (p = 0,068) |
| Tilbagevendende MI | 82 (4.1/100 PY) | 124 (6.4/100 PY) | 0,66 (NULL,51 0,85) | 34 (p = 0,001) |
| Cerebrovaskulær begivenhed | 20 (NULL,0/100 PY) | 44 (2.3/100 PY) | 0,46 (NULL,28 0,75) | 54 (p = 0,002) |
| Rr=Relative risk; Risk reduction=(1 - Rr); CI=Confidence interval; MI=Myocardial infarction; py=patient year |
Waris II (Warfarin Aspirin Re-Infarction-undersøgelse) var en åben mærket randomiseret undersøgelse af 3630 patienter, der blev indlagt på hospitalet for akut myokardieinfarkt behandlet med warfarin til et mål INR 2,8 til 4,2 aspirin 160 mg pr. Dag eller warfarin til et mål INR 2.0 til 2.5 plus aspirin 75 mg pr. Dag før hospitalets udledning. Det primære slutpunkt var en sammensat af ikke -dødelig reinfarction eller tromboembolisk slagtilfælde. Den gennemsnitlige varighed af observation var cirka 4 år. Resultaterne for Waris II findes i tabel 8.
Tabel 8: Waris II. Distribution af begivenheder ifølge behandlingsgruppen
| Tilfælde | Aspirin (N = 1206) | Warfarin (N = 1216) | Aspirin plus Warfarin (N = 1208) | Bedømningsforhold (95% der) | p -værdi |
| Antal begivenheder | |||||
| Stor blødning a | 8 | 33 | 28 | 3.35 b (ND) | Nd |
| 4.00 c (ND) | Nd | ||||
| Mindre blødning d | 39 | 103 | 133 | 3.21 b (ND) | Nd |
| 2.55 c (ND) | Nd | ||||
| Sammensatte endepunkter e | 241 | 203 | 181 | 0.81 (NULL,69-0,95) b | 0.03 |
| 0.71 (NULL,60-0,83) c | 0.001 | ||||
| Reinfarction | 117 | 90 | 69 | 0.56 (NULL,41-0,78) b | <0.001 |
| 0.74 (NULL,55-0,98) c | 0.03 | ||||
| Thromboembolic Stroke | 32 | 17 | 17 | 0.52 (NULL,28-0,98) b | 0.03 |
| 0.52 (NULL,28-0,97) c | 0.03 | ||||
| Death | 92 | 96 | 95 | 0.82 | |
| a Store blødningspisoder blev defineret som ikke -dødelig cerebral blødning eller blødning, der nødvendiggjorde kirurgisk intervention eller blodtransfusion. b Hastighedsforholdet er for aspirin plus warfarin sammenlignet med aspirin. c Hastighedsforholdet er for warfarin sammenlignet med aspirin. d Mindre blødningspisoder blev defineret som ikke-cerebral blødning, der ikke krævede kirurgisk intervention eller blodoverføring. e Inkluderer ikke -dødelig reinfarction og tromboembolisk cerebralt slagtilfælde. CI = konfidensinterval Nd=not determined |
Der var cirka fire gange så mange store blødningsepisoder i de to grupper, der modtog Warfarin end i gruppen, der modtog aspirin alene. Større blødningspisoder var ikke hyppigere blandt patienter, der fik aspirin plus warfarin end blandt dem, der modtog warfarin alene, men forekomsten af mindre blødningspisoder var højere i den kombinerede terapegruppe.
Patientinformation til coumadin
Coumadin ®
(Cou-ma-din)
(Warfarin natrium)
Hvad bruges Vanos Cream til
Hvad er de vigtigste oplysninger, jeg skal vide om Coumadin?
Coumadin can cause bleeding which can be serious og sometimes lead to death. This is because Coumadin is a blood thinner medicine that lowers the chance of blodpropper forming in your body.
- Du har muligvis en højere risiko for blødning, hvis du tager Coumadin og:
- er 65 år eller ældre
- har en historie med mave eller tarmblødning
- har højt blodtryk (hypertension)
- Har en historie med slagtilfælde eller mini-stroke (forbigående iskæmisk angreb eller TIA)
- har alvorlig hjertesygdom
- har et lavt blodantal eller kræft
- har haft traumer såsom en ulykke eller en operation
- har nyreproblemer
- Tag andre medicin, der øger din risiko for blødning, herunder:
- En medicin, der indeholder heparin
- Andre lægemidler til at forhindre eller behandle blodpropper
- Ikke-steroide antiinflammatoriske lægemidler (NSAID'er)
- Tag Warfarin -natrium i lang tid. Warfarin -natrium er den aktive ingrediens i coumadin.
Fortæl din sundhedsudbyder, hvis du tager nogen af disse medicin. Spørg din sundhedsudbyder, om du ikke er sikker på, om din medicin er en nævnt ovenfor.
Mange andre lægemidler kan interagere med coumadin og påvirke den dosis, du har brug for, eller øge coumadin -bivirkningerne. Skift ikke eller stop nogen af dine medicin, eller start nogen nye medicin, før du taler med din sundhedsudbyder.
Tag ikke andre medicin, der indeholder warfarin -natrium, mens du tager coumadin.
- Få din almindelige blodprøve for at kontrollere for dit svar på Coumadin. Denne blodprøve kaldes en INR -test. INR -testen kontrollerer for at se, hvor hurtigt dine blodpropper. Din sundhedsudbyder beslutter, hvad INR -numre er bedst for dig. Din dosis coumadin vil blive justeret for at holde din INR i et målområde for dig.
- Ring til din sundhedsudbyder med det samme, hvis du får nogle af følgende tegn eller symptomer på blødningsproblemer:
- Smerter hævelse eller ubehag
- Hovedpine svimmelhed eller svaghed
- Usædvanlig blå mærker (blå mærker, der udvikler sig uden kendt årsag eller vokser i størrelse)
- næseblod
- blødende tandkød
- Blødning fra nedskæringer tager lang tid at stoppe
- menstruationsblødning eller vaginal blødning, der er tungere end normalt
- lyserød eller brun urin
- Rød eller sort afføring
- Hoste blod
- opkast blood or material that looks like coffee grounds
- Nogle fødevarer og drikkevarer kan interagere med coumadin og påvirke din behandling og dosis.
- Spis en normal afbalanceret diæt. Tal med din sundhedsudbyder, før du foretager nogen diætændringer. Spis ikke store mængder bladgrønne grøntsager. Leafy grønne grøntsager indeholder vitamin K. Visse vegetabilske olier indeholder også store mængder vitamin K. For meget vitamin K kan sænke effekten af coumadin.
- Fortæl altid alle dine sundhedsudbydere, at du tager Coumadin.
- Bær eller bære oplysninger, som du tager coumadin.
Se hvad er de mulige bivirkninger af coumadin? For mere information om bivirkninger.
Hvad er coumadin?
Coumadin is prescription medicine used to treat blodpropper og to lower the chance of blodpropper forming in your body. Blood clots can cause a stroke heart attack or other serious conditions if they form in the legs or lungs.
Hvem skal ikke tage coumadin?
Tag ikke coumadin, hvis:
- Din risiko for at have blødningsproblemer er højere end den mulige fordel ved behandlingen. Din sundhedsudbyder beslutter, om Coumadin er det rigtige for dig.
- Du er gravid, medmindre du har en mekanisk hjerteventil. Coumadin may cause birth defects miscarriage or death of your unborn baby.
- Du er allergisk over for warfarin eller nogen af de andre ingredienser i coumadin. Se slutningen af denne indlægsseddel for en komplet lis t af ingredienser i coumadin.
Før du tager Coumadin
Fortæl din sundhedsudbyder om alle dine medicinske tilstande, herunder hvis du:
- har blødningsproblemer
- Fald ofte
- har leverproblemer
- har nyreproblemer or are undergoing dialysis
- har højt blodtryk
- har et hjerteproblem kaldet Kongestiv hjertesvigt
- har diabetes
- Planlæg at have nogen operation eller en tandprocedure
- har andre medicinske tilstande
- er gravide eller planlægger at blive gravid. Se hvem der ikke skal tage coumadin?
Din sundhedsudbyder udfører en graviditetstest, før du starter behandling med Coumadin. Kvinder, der kan blive gravide, skal bruge effektiv prævention under behandlingen og i mindst 1 måned efter den sidste dosis af Coumadin. - er amning. Du og din sundhedsudbyder skal beslutte, om du vil tage coumadin og amning. Tjek din baby for blå mærker eller blødning, hvis du tager coumadin og amning.
Fortæl alle dine sundhedsudbydere og tandlæger, at du tager Coumadin. De skulle tale med sundhedsudbyderen, der ordinerede coumadin til dig, før du har enhver kirurgi eller tandprocedure. Din coumadin skal muligvis stoppes i kort tid, eller du har muligvis brug for din dosisjusteret.
Fortæl din sundhedsudbyder om alle de medicin, du tager inklusive receptpligtige og over-counter medicin vitaminer og urtetilskud. Nogle af dine andre lægemidler kan påvirke den måde, Coumadin fungerer på. Visse lægemidler kan øge din risiko for blødning. Se Hvad er de vigtigste oplysninger, jeg skal vide om Coumadin?
Hvordan skal jeg tage coumadin?
- Tag Coumadin nøjagtigt som foreskrevet. Din sundhedsudbyder justerer din dosis fra tid til anden afhængigt af dit svar på Coumadin.
- Du skal have regelmæssig blod -tess og vis det er med din sundhedsudbyder for at overvåge din tilstand.
- Hvis du går glip af en dosis coumadin, skal du ringe til din sundhedsudbyder. Tag dosis så hurtigt som muligt på samme dag. Gør ikke Tag en dobbelt dosis coumadin næste dag for at kompensere for en ubesvaret dosis.
- Ring til din sundhedsudbyder med det samme, hvis du:
- Tag for meget coumadin
- er syge med diarré en infektion eller har feber
- Efterår eller skader dig selv, især hvis du rammer dit hoved. Din sundhedsudbyder skal muligvis tjekke dig.
Hvad skal jeg undgå, mens jeg tager Coumadin?
- Gør ikke do enhver activity or sport that may cause a serious injury.
Hvad er de mulige bivirkninger af coumadin?
Coumadin may cause serious side effects including:
- Se Hvad er de vigtigste oplysninger, jeg skal vide om Coumadin?
- Død af hudvæv (hudnekroser er eller gangren). Dette kan ske kort efter start af Coumadin. Det sker, fordi blodpropper danner og blokerer blodgennemstrømningen til et område af din krop. Ring til din sundhedsudbyder med det samme, hvis du har smertefarve eller temperaturændring til et hvilket som helst område af din krop. Du har muligvis brug for medicinsk behandling med det samme for at forhindre død eller tab (amputation) af din berørte kropsdel.
- Nyreproblemer. Nyreskade kan ske hos mennesker, der tager coumadin. Fortæl din sundhedsudbyder med det samme, hvis du udvikler blod i din urin. Din sundhedsudbyder kan muligvis udføre test oftere under behandling med Coumadin for at kontrollere, om du allerede har nyreproblemer.
- Lilla tæer syndrom. Ring til din sundhedsudbyder med det samme, hvis du har smerter i tæerne, og de ser lilla i farve eller mørk i farve.
Dette er ikke alle bivirkningerne af coumadin. For mere information, spørg din sundhedsudbyder eller apotek. Ring til din læge for medicinsk rådgivning om bivirkninger. Du kan rapportere bivirkninger til FDA på 1..800-FDA-1088.
Hvordan skal jeg opbevare coumadin?
- Opbevar coumadin ved 59 ° F til 86 ° F (15 ° C til 30 ° C).
- Opbevar coumadin i en tæt lukket beholder
- Hold Coumadin ude af lyset og fugt.
- Følg din sundhedsudbyder eller farmaceutinstruktioner om den rigtige måde at smide forældet eller ubrugt coumadin på.
- Hunner who are pregnant should not hogle crushed or broken Coumadin tablets.
Opbevar coumadin og alle medicin uden for børns rækkevidde.
Generel information om sikker og effektiv anvendelse af coumadin.
Medicin er undertiden ordineret til andre formål end dem, der er anført i en medicinguide. Brug ikke coumadin til en betingelse, som det ikke blev ordineret til. Giv ikke Coumadin til andre mennesker, selvom de har de samme symptomer, som du har. Det kan skade dem.
Du kan bede din sundhedsudbyder eller farmaceut om information om Coumadin, der er skrevet til sundhedspersonale.
Hvad er ingredienserne i coumadin -tabletter?
Aktiv ingrediens: Warfarin natrium
Inaktive ingredienser: Lactose stivelse og magnesiumstearat Derudover:
1 mg: D
2 mg: Fd Fd
2,5 mg: D Fd
3 mg: Fd Fd Fd
4 mg: Fd
5 mg: Fd
6 mg: Fd og Fd
7,5 mg: D Fd
Denne medicinguide er godkendt af U.S. Food and Drug Administration.