Oplysningerne På Webstedet Er Ikke Medicinsk Rådgivning. Vi Sælger Ikke Noget. Nøjagtigheden Af Oversættelsen Er Ikke Garanteret. Ansvarsfraskrivelse
Acne -agenter, topisk
Differin Gel .1
Resume af lægemiddeloversigt
Hvad er differin?
Differin (adapalen) gel 0,1% er en retinoid, der bruges til behandling af acne. Differin Gel fås i generisk form. Almindelige bivirkninger af Differin Gel inkluderer en kort fornemmelse af varmevikling af prikken eller irritation umiddelbart efter påføring af medicinen. Hud rødhed tørhed kløe skalering af mild forbrænding eller forværring af acne kan forekomme i løbet af de første 2-4 uger med at bruge differin gel.
Hvad er bivirkninger af differin?
Bivirkninger af differingel falder normalt med fortsat brug. Fortæl din læge, hvis du oplever usandsynlig, men seriøse bivirkninger af Differin Gel inklusive:
- Meget rød eller irriteret hud
- En intens brændende fornemmelse
- Eye Redness and Watering (Conjunctivitis)
- Hævelse af øjenlåg eller
- Misfarvning af hud
Differin Gel .1 kan forårsage alvorlige bivirkninger, herunder:
- Hud rødhed svirrende brændende eller skræl efter soleksponering
Få medicinsk hjælp med det samme, hvis du har nogen af de symptomer, der er anført ovenfor.
Bivirkninger af erythromycin oftalmisk salve
Søg medicinsk behandling eller ring 911 på én gang, hvis du har følgende alvorlige bivirkninger:
- Alvorlige øjensymptomer såsom pludseligt synstab sløret synet tunnel vision øje smerter eller hævelse eller at se haloer omkring lys;
- Alvorlige hjertesymptomer såsom hurtig uregelmæssige eller bankende hjerteslag; flagrende i brystet; åndenød; og pludselig svimmelhed lethed eller udlevering;
- Alvorlig hovedpine forvirring sløret talearm eller ben svaghed problemer med at gå tab af koordination føles ustabil meget stive muskler høj feber voldsom sved eller rysten.
Dette dokument indeholder ikke alle mulige bivirkninger, og andre kan forekomme. Kontakt din læge for yderligere oplysninger om bivirkninger.
Dosering til differin
Differin Gel skal påføres i en dosis en gang om dagen på berørte områder efter vask om aftenen, før de går på pension. En tynd film af gelen skal påføres og undgår øjne læber og slimhinder.
Hvilke stoffer stoffer eller kosttilskud interagerer med differin?
Differin kan interagere med produkter, der indeholder Alpha -hydroxy -syrer Glykolsyrealkohol / lime / menthol svovl resorcinol eller salicylsyre. Det kan også interagere med hår, der permende produkter medicinske eller slibende sæber og rensende sæber og kosmetik med en stærk tørringseffekt andre lægemidler, der kan øge følsomheden for sollys inklusive antibiotika -diuretika -sulfa -lægemidler og fenothiaziner. Fortæl din læge alle medicin og kosttilskud, du bruger.
Differin under graviditet og amning
Differin skal kun bruges, når det er ordineret under graviditet. Det er ukendt, om dette stof passerer til modermælk. Kontakt din læge inden amning.
Yderligere oplysninger
Vores Differin (Adapalene) gel bivirkninger lægemiddelcenter giver et omfattende overblik over tilgængelige lægemiddelinformation om de potentielle bivirkninger, når du tager denne medicin.
FDA -lægemiddelinformation
- Lægemiddelbeskrivelse
- Indikationer
- Bivirkninger
- Advarsler
- Overdosis
- Klinisk farmakologi
- Medicin vejledning
Beskrivelse for Differin Gel .1%
Differin® gel indeholdende adapalen bruges til den aktuelle behandling af acne vulgaris. Hvert gram Differin® -gel indeholder adapalen 0,1% (1 mg) i et køretøj, der består af carbomer 940 -edetat -disodiummethylparaben poloxamer 182 propylenglycol -oprenset vand og natriumhydroxid. Kan indeholde saltsyre til justering af pH.
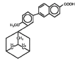
Det kemiske navn på adapalen er 6- [3- (1-adamantyl) -4-methoxyphenyl] -2-naphthoinsyre. Adapalen er en hvid til off-white pulver, der er opløselig i tetrahydrofuran sparsomt opløselig i ethanol og praktisk talt uopløselig i vand. Den molekylære formel er C 28 H 28 O 3 og molekylvægt er 412,52. Adapalen er repræsenteret af følgende strukturelle formel:
|
Anvendelser til differin gel .1%
Differin® (Adapalene Gel) gel er indikeret til den aktuelle behandling af acne vulgaris.
Dosering til differin Gel .1%
Differin® (Adapalene Gel) gel skal påføres en gang om dagen på berørte områder efter vask om aftenen, før de trak sig tilbage. En tynd film af gelen skal påføres og undgår øjne læber og slimhinder.
I de første uger af terapi kan der forekomme en tilsyneladende forværring af acne. Dette skyldes virkningen af medicinen på tidligere usete læsioner og bør ikke betragtes som en grund til at afbryde terapi. Terapeutiske resultater bør bemærkes efter otte til tolv ugers behandling.
Hvor leveret
Differin® (Adapalene Gel) gel 0,1% leveres i følgende størrelser:
45G Laminat Tube NDC 0299-5910-45
75G Laminat Tube NDC 0299-5910-75
Opbevaring: Opbevares ved kontrolleret stuetemperatur 68 ° - 77 ° F (20 ° C -udflugter, der er tilladt mellem 59 ° og 86 ° C). Beskyt mod frysning.
Markedsført af: Galderma Laboratories L.P. Fort Worth Texas 76177 USA. Mfd. Af: Galderma Production Canada Inc. Baie D'Urfe QC H9X 3S4 Canada. Lavet i Canada. Galderma er et registreret varemærke. www.differin.com P51101-0. Revideret: april 2007. FDA Rev Dato: 9/5/2007
Bivirkninger for differin gel .1%
Nogle bivirkninger, såsom erythema skalering af tørhed kløe og forbrænding, vil forekomme hos 10-40% af patienterne. Pruritus eller forbrænding umiddelbart efter påføring forekommer også hos ca. 20% af patienterne. Følgende yderligere bivirkninger blev rapporteret hos cirka 1% eller mindre af patienter: hudirritation, der brænder/stikker erythema solskoldning og acne -fakler. Disse ses oftest i løbet af den første behandlingsmåned og fald i hyppighed og sværhedsgrad derefter. Alle bivirkninger ved anvendelse af Differin® (Adapalene Gel) gel under kliniske forsøg var reversible ved seponering af terapi.
Lægemiddelinteraktioner for Differin Gel .1%
Da Differin® (Adapalene Gel) gel har potentialet til at producere lokal irritation hos nogle patienter, der samtidig brug af andre potentielt irriterende aktuelle produkter (medicinske eller slibende sæber og rengøringssæber og kosmetik, der har en stærk tørringseffekt og produkter med høje koncentrationer af alkoholræsener og lime), skal der kontaktes med forsigtighed. Der skal udvises særlig forsigtighed ved anvendelse af præparater, der indeholder svovlresorcinol eller salicylsyre i kombination med Differin® (Adapalen gel) gel. Hvis disse præparater er blevet brugt, tilrådes det ikke at starte terapi med Differin® (Adapalene Gel) gel, indtil virkningerne af sådanne præparater i huden er aftaget.
Advarsler for Differin Gel .1%
Brug af Differin® (Adapalene Gel) gel skal afbrydes, hvis overfølsomhed over for nogen af ingredienserne bemærkes. Patienter med solskoldning bør rådes til ikke at bruge produktet, indtil de er fuldt ud igen.
Forholdsregler for Differin Gel .1%
Generel
Hvis der opstår en reaktion, der antyder følsomhed eller kemisk irritation, skal brugen af medicinen afbrydes. Eksponering for sollys inklusive sollygter bør minimeres under brugen af adapalen. Patienter, der normalt oplever høje niveauer af soleksponering og patienter med iboende følsomhed over for solen, bør advares om at udvise forsigtighed. Brug af solcreme -produkter og beskyttelsesbeklædning over behandlede områder anbefales, når eksponering ikke kan undgås. Vejrekstremer, såsom vind eller kulde, kan også være irriterende for patienter under behandling med adapalen. Undgå kontakt med øjnens læbervinkler på næsen og slimhinderne. Produktet bør ikke påføres på nedskæringer af skrubbe eksematøs hud eller solskoldet hud.
Visse kutane tegn og symptomer, såsom erythema tørhedsskalering af forbrænding eller kløe, kan opleves under behandlingen. Disse forekommer sandsynligvis i løbet af de første to til fire uger og vil normalt mindske ved fortsat brug af medicinen. Afhængig af sværhedsgraden af bivirkninger, skal patienterne instrueres i at reducere anvendelsesfrekvensen eller afbryde brugen.
Karcinogenese mutagenese svækkelse af fertilitet: Karcinogenicitetsundersøgelser med adapalen er blevet udført i mus ved aktuelle doser på 0,3 0,9 og 2,6 mg/kg/dag og i rotter ved orale doser på 0,15 0,5 og 1,5 mg/kg/dag ca. 4-75 gange den maksimale daglige humane topiske dosis. I den orale undersøgelse blev der observeret positive lineære tendenser i forekomsten af follikulære celle -adenomer og carcinomer i skjoldbruskkirtlen hos hunrotter og i forekomsten af godartede og ondartede pheochromocytomer i de binenale medullas af mandlige rotter.
Der blev ikke udført nogen fotokarcinogenicitetsundersøgelser. Dyrestudier har vist en øget tumorigen risiko ved anvendelse af farmakologisk lignende lægemidler (f.eks. Retinoider), når de udsættes for UV -bestråling i laboratoriet eller for sollys. Selvom betydningen af disse undersøgelser for menneskelig brug ikke er klar, bør patienter rådes til at undgå eller minimere eksponering for enten sollys eller kunstige UV -bestrålingskilder.
I en serie af forgæves og In vitro Undersøgelser adapalen udviste ikke mutagene eller genotoksiske aktiviteter.
Graviditet: Teratogene effekter. Graviditetskategori c . Ingen teratogene virkninger blev set hos rotter ved orale doser af adapalen 0,15 til 5,0 mg/kg/dag op til 120 gange den maksimale daglige humane aktuelle dosis. Kutan rute -teratologiske undersøgelser udført i rotter og kaniner i doser på 0,6 2,0 og 6,0 mg/kg/dag op til 150 gange de maksimale daglige humane aktuelle dosis udviste ingen fetotoksicitet og kun minimale stigninger i overnumre ribben hos rotter. Der er ingen tilstrækkelige og godt kontrollerede studier hos gravide kvinder. Adapalen bør kun bruges under graviditet, hvis den potentielle fordel retfærdiggør den potentielle risiko for fosteret.
Sygeplejerske mødre: Det vides ikke, om dette stof udskilles i human mælk. Fordi mange lægemidler udskilles i menneskelig mælkens forsigtighed bør udøves, når Differin® (Adapalene Gel) gel administreres til en sygeplejekvinde.
Pædiatrisk brug: Sikkerhed og effektivitet hos pædiatriske patienter under 12 år er ikke blevet fastlagt.
Oplysninger om overdosering for Differin Gel .1%
Differin® (Adapalene Gel) Gel er kun beregnet til kutan brug. Hvis medicinen anvendes for meget hurtigere, eller bedre resultater vil blive opnået og markant rødme, kan skrælning eller ubehag forekomme. Den akutte orale toksicitet af Differin® (adapalen gel) gel i mus og rotter er større end 10 ml/kg. Kronisk indtagelse af lægemidlet kan føre til de samme bivirkninger som dem, der er forbundet med overdreven oral indtagelse af vitamin A.
Kontraindikationer for forskellige gel .1%
Differin® (Adapalene Gel) gel bør ikke administreres til personer, der er overfølsomme over for adapalen eller nogen af komponenterne i køretøjets gel.
Klinisk farmakologi for Differin Gel .1%
Adapalen er en kemisk stabil retinoidlignende forbindelse. Biokemiske og farmakologiske profilundersøgelser har vist, at adapalen er en modulator af cellulær differentieringskeratinisering og inflammatoriske processer, som alle repræsenterer vigtige træk i patologien af acne vulgaris.
Mekanisk adapalen binder til specifikke retinsyre -nukleare receptorer, men binder ikke til det cytosoliske receptorprotein. Selvom den nøjagtige virkningsmåde for adapalen er ukendt, antydes det, at topisk adapalen kan normalisere differentieringen af follikulære epitelceller, hvilket resulterer i nedsat dannelse af mikrocomedon.
Farmakokinetik: Absorption af adapalen gennem menneskelig hud er lav. Kun sporingsbeløb ( <0.25 ng/mL) of parent substance have been found in the plasma of acne patients following chronic topical application of adapalene in controlled clinical trials. Excretion appears to be primarily by the biliary route.
Patientinformation for Differin Gel .1%
Ingen oplysninger leveret. Se Advarsler og FORHOLDSREGLER sektioner.