Oplysningerne På Webstedet Er Ikke Medicinsk Rådgivning. Vi Sælger Ikke Noget. Nøjagtigheden Af Oversættelsen Er Ikke Garanteret. Ansvarsfraskrivelse
Hiv, nnrtisKø
Resume af lægemiddeloversigt
Hvad er Ziagen?
Ziagen (abacavir sulfat) er en Antiviral medicin, der bruges til behandling Hiv hvilket forårsager det erhvervede immundefektsyndrom (AIDS). Ziagen er ikke en kur mod HIV eller AIDS.
Hvad er bivirkninger af Ziagen?
Almindelige bivirkninger af Ziagen inkluderer:
- problemer med at sove
- Tab af appetit
- Mærkelige drømme
- hovedpine
- øresmerter
- kolde symptomer ( Snerpet næse nyser sinus smerter) eller
- Ændringer i formen eller placeringen af kropsfedt (især i dine arme ben står over for halsbryst og bagagerum).
Fortæl din læge, hvis du har nogen alvorlige bivirkninger af Ziagen inklusive:
- uforklarlig vægttab
- vedvarende muskelsmerter eller svaghed
- ledssmerter
- følelsesløshed eller prikken af hænder/fødder/arme/ben
- Alvorlig træthed
- Vision ændres
- alvorlig eller vedvarende hovedpine
- Tegn på infektion (såsom feber kulderystelser problemer med at trække vejret hoste ikke-helende hudsår)
- Tegn på en overaktiv skjoldbruskkirtel (såsom irritabilitet nervøsitet varmeintolerance hurtig/bankende/uregelmæssig hjerteslag svulmende øjne usædvanlig vækst i nakken/skjoldbruskkirtlen kendt som en struma)
- tegn på et bestemt nerveproblem kendt som Guillain-Barre syndrom (såsom åndedrætsbesvær/slukning/bevægende dine øjne, der hænger sammen med ansigtslammelse sløret tale) eller
- Mental/humørændringer (depression angst).
Dosering til Ziagen
Den anbefalede orale dosis af Ziagen for voksne er 600 mg dagligt administreret som enten 300 mg to gange dagligt eller 600 mg en gang dagligt i kombination med andre antiretrovirale midler. Pædiatrisk dosis bestemmes af barnets vægt.
Hvilke stoffer stoffer eller kosttilskud interagerer med Ziagen?
Ziagen kan interagere med metadon. Fortæl din læge alle medicin og kosttilskud, du bruger.
Ziagen under graviditet og amning
Under graviditet skal Ziagen kun bruges, når det er ordineret. HIV -medicin gives normalt til gravide kvinder med HIV. Behandling er vist at reducere risikoen for HIV -transmission til babyen. Dette lægemiddel kan være en del af denne behandling. Diskuter risici og fordele med din læge. Det vides ikke, om denne medicin passerer til modermælk. Fordi modermælk kan transmittere HIV ikke ammer.
Yderligere oplysninger
Vores Ziagen (Abacavir Sulfate) bivirkninger Drug Center giver et omfattende overblik over tilgængelige lægemiddelinformation om de potentielle bivirkninger, når du tager denne medicin.
FDA -lægemiddelinformation
- Lægemiddelbeskrivelse
- Indikationer
- Bivirkninger
- Advarsler
- Overdosis
- Klinisk farmakologi
- Medicin vejledning
ADVARSEL
Overfølsomhedsreaktioner og mælkesyreasis og svær hepatomegali med steatose
Overfølsomhedsreaktioner
Alvorlige og til tider dødelige overfølsomhedsreaktioner med flere organinddragelse er forekommet med Ziagen (Abacavir).
Patienter, der bærer HLA-B*5701-allelen, har en højere risiko for en overfølsomhedsreaktion på abacavir; Selvom overfølsomhedsreaktioner har fundet sted hos patienter, der ikke bærer HLA-B*5701-allelen [se advarsler og FORHOLDSREGLER ].
Ziagen er kontraindiceret hos patienter med en tidligere overfølsomhedsreaktion på abacavir og i HLA-B*5701-positive patienter [se Kontraindikationer ADVARSELS AND FORHOLDSREGLER ]. Alle patienter skal screenes for HLA-B*5701-allelen, inden de påbegyndte terapi med Ziagen eller reinitiering af terapi med Ziagen, medmindre patienter har en tidligere dokumenteret HLA-B*5701 allelevaluering. Discontinue Kø immediately if a hypersensitivity reaction is suspected regardless of HLA-B*5701 status and even when other diagnoses are possible [see Kontraindikationer ADVARSELS AND FORHOLDSREGLER ].
Efter en overfølsomhedsreaktion på Ziagen genstarter aldrig Ziagen eller noget andet abacavirholdigt produkt, fordi mere alvorlige symptomer inklusive død kan forekomme inden for få timer. Lignende alvorlige reaktioner har også forekommet sjældent efter genindførelsen af abacavir-holdige produkter hos patienter, der ikke har nogen historie med abacavir-overfølsomhed [se advarsler og FORHOLDSREGLER ].
Mælkesyreasose og svær hepatomegali med steatose
Mælkesyreose og svær hepatomegali med steatose inklusive dødelige tilfælde er rapporteret ved anvendelse af nukleosidanaloger og andre antiretrovirale midler. Afbryd Ziagen, hvis kliniske eller laboratoriefund, der tyder på mælkesyreasis eller udtalt hepatotoksicitet, forekommer [se advarsler og FORHOLDSREGLER ].
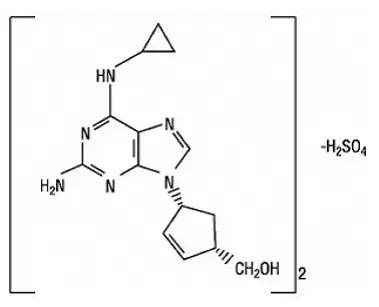
Beskrivelse for Ziagen
Ziagen er mærkenavnet for abacavir sulfat A syntetisk carbocyklisk nukleosidanalog med inhiberende aktivitet mod HIV-1. Det kemiske navn på abacavir sulfat er (1SCIS) -4- [2-amino-6- (cyclopropylamino) -9H-purin-9-yl] -2-cyclopenten-1-methanolsulfat (salt) (2: 1). Abacavir sulfat er enantiomeren med 1S 4R absolut konfiguration på cyclopentenringen. Den har en molekylær formel af (c 14 H 18 N 6 DE) 2 • H. 2 SÅ 4 og en molekylvægt på 670,76 g pr. Mol. Det har følgende strukturelle formel:
|
Abacavir sulfat er et hvidt til off-white fast stof og er opløseligt i vand.
Ziagen -tabletter er til oral administration. Hver tablet indeholder abacavirsulfat svarende til 300 mg abacavir som aktiv ingrediens og følgende inaktive ingredienser: kolloidal siliciumdioxidmagnesiumstearatmikrokrystallinsk cellulose og natriumstivelse glycolat. Tabletterne er belagt med en film, der er lavet af hypromellose -polysorbat 80 syntetisk gult jernoxid -titandioxid og triacetin.
Ziagen mundtlig opløsning er til oral administration. Hver milliliter (1 ml) af Ziagen -oral opløsning indeholder abacavir sulfat svarende til 20 mg abacavir (dvs. 20 mg pr. Ml) som aktiv ingrediens og følgende inaktive ingredienser: kunstige jordbær og banan smagscitronsyre (vandfarvet) methylparaben og propylparaben (tilføjet som præservater) Propylen Glysyre (vandfarvet) Natriumcitrat (dihydrat) sorbitolopløsning og vand.
In vivo abacavir sulfat dissocierer til sin frie base abacavir. Doseringer udtrykkes i form af abacavir.
Bruger til Ziagen
Ziagen-tabletter og oral opløsning i kombination med andre antiretrovirale midler er indikeret til behandling af human immundefektvirus (HIV-1) -infektion.
Dosering til Ziagen
Screening for HLA-B*5701-allelen inden Ziagen starter
Skærm til HLA-B*5701-allelen, inden du påbegynder terapi med Ziagen [se Boksadvarsel ADVARSELS AND FORHOLDSREGLER ].
Anbefalet dosering til voksne patienter
Den anbefalede dosering af Ziagen for voksne er 600 mg dagligt administreret oralt som enten 300 mg to gange dagligt eller 600 mg en gang dagligt i kombination med andre antiretrovirale midler.
Anbefalet dosering til pædiatriske patienter
Den anbefalede dosering af Ziagen-oral opløsning i HIV-1-inficerede pædiatriske patienter i alderen 3 måneder og ældre er 8 mg pr. Kg oralt to gange dagligt eller 16 mg pr. Kg oralt en gang dagligt (op til maksimalt 600 mg dagligt) i kombination med andre antiretrovirale midler.
Ziagen fås også som en scoret tablet til HIV-1-inficerede pædiatriske patienter, der vejer større end eller lig med 14 kg, for hvem en fast doseringsform er passende. Før ordinerer Ziagen -tabletter skal børn vurderes for evnen til at sluge tabletter. Hvis et barn ikke er i stand til pålideligt at sluge Ziagen -tabletter pålideligt, skal den orale opløsningsformulering ordineres. Den anbefalede orale dosering af Ziagen-tabletter til HIV-1-inficerede pædiatriske patienter er vist i tabel 1.
Tabel 1. Doseringsanbefalinger til Ziagen scorede tabletter hos pædiatriske patienter
| Vægt (kg) | En gang dagligt doseringsregime a | Doseringsregimen to gange dagligt | ||
| Er dosis | PM -dosis | Samlet daglig dosis | ||
| 14 til <20 | 1 tablet (300 mg) | ½ tablet (150 mg) | ½ tablet (150 mg) | 300 mg |
| ≥20 til <25 | 1½ tabletter (450 mg) | ½ tablet (150 mg) | 1 tablet (300 mg) | 450 mg |
| ≥25 | 2 tabletter (600 mg) | 1 tablet (300 mg) | 1 tablet (300 mg) | 600 mg |
| a Data vedrørende effektiviteten af dosering af en gang dagligt er begrænset til forsøgspersoner, der overgik fra dosering af to gange dagligt til dosering en gang dagligt efter 36 ugers behandling [se Kliniske studier ]. |
Anbefalet dosering til patienter med nedsat leverfunktion
Den anbefalede dosis af Ziagen hos patienter med mild leverfunktion (børne-pugh klasse A) er 200 mg to gange dagligt. For at muliggøre dosisreduktion skal Ziagen oral opløsning (10 ml to gange dagligt) bruges til behandling af disse patienter. Sikkerhedseffektiviteten og farmakokinetiske egenskaber ved abacavir er ikke blevet etableret hos patienter med moderat til alvorlig leverfunktion; Derfor er Ziagen kontraindiceret hos disse patienter.
Hvor leveret
Doseringsformularer og styrker
Ziagen -tabletter indeholder 300 mg abacavir som abacavir sulfat. Tabletterne er gule biconvex scorede kapselformet filmovertrukket og præget af GX 623 på begge sider.
Ziagen oral opløsning indeholder 20 mg pr. Ml abacavir som abacavir sulfat. Løsningen er en klar til opalescent gullig jordbær-banan-flavored væske, der kan blive brun over tid.
Opbevaring og håndtering
Ziagen -tabletter Indeholder abacavir sulfat svarende til 300 mg abacavir er gule biconvex scorede kapselformet filmovertrukket og præget af GX 623 på begge sider. De pakkes som følger:
Flasker med 60 tabletter ( NDC 49702-221-18).
Opbevares ved kontrolleret stuetemperatur på 20 ° til 25 ° C (68 ° til 77 ° F) (se USP).
Ziagen mundtlig løsning er en klar til opalescent gullig jordbær-banan-flavored væske, der kan blive brun over tid. Hver ML af opløsningen indeholder abacavir sulfat svarende til 20 mg abacavir. Det er pakket i plastflasker som følger:
Flasker på 240 ml ( NDC 49702-222-48) med børnebestandig lukning. Dette produkt kræver ikke rekonstitution.
Opbevares ved kontrolleret stuetemperatur på 20 ° til 25 ° C (68 ° til 77 ° F) (se USP). DO NOT FREEZE. May be refrigerated.
Fremstillet af: GlaxoSmithKline Research Triangle Park NC 27709. Revideret: Nov 2020
Bivirkninger for Ziagen
Følgende bivirkninger diskuteres i andre sektioner af mærkningen:
- Alvorlige og til tider dødelige overfølsomhedsreaktioner [se Boksadvarsel ADVARSELS AND FORHOLDSREGLER ].
- Mælkesyreasis og svær hepatomegali med steatosis [se ADVARSELS AND FORHOLDSREGLER ].
- Immunrekonstitutionssyndrom [se ADVARSELS AND FORHOLDSREGLER ].
- Myokardieinfarkt [se ADVARSELS AND FORHOLDSREGLER ].
Kliniske forsøg oplever hos voksne emner
Fordi kliniske forsøg udføres under vidt forskellige tilstande, kan der ikke sammenlignes bivirkninger, der er observeret i de kliniske forsøg med et lægemiddel, ikke direkte med hastigheder i de kliniske forsøg med et andet lægemiddel og afspejler muligvis ikke de hastigheder, der er observeret i klinisk praksis.
Alvorlige og dødelige abacavir-associerede overfølsomhedsreaktioner
I kliniske forsøg har alvorlige og til tider dødelige overfølsomhedsreaktioner forekommet med abacavir [se Boksadvarsel ADVARSELS AND FORHOLDSREGLER ]. These reactions have been characterized by 2 or more of the following signs or symptoms: (1) fever; (2) udslæt; (3) gastrointestinal symptoms (including kvalme opkast diarrhea or abdominal pain); (4) constitutional symptoms (including generalized malaise fatigue or achiness); (5) respiratory symptoms (including dyspnea cough or pharyngitis). Almost all abacavir hypersensitivity reactions include fever and/or udslæt as part of the syndrome.
Andre tegn og symptomer har inkluderet sløv hovedpine myalgi -ødem arthralgi og paræstesi. Anaphylaxis Liverfejl Nyresvigt Hypotension Voksen respiratorisk nød syndrom respiratorisk svigt Myolyse og død er forekommet i forbindelse med disse overfølsomhedsreaktioner. Fysiske fund har inkluderet lymfadenopati slimhinde -membranlesioner (konjunktivitis og mundsår) og makulopapulære eller urticariale udslæt (selvom nogle patienter havde andre typer udslæt, og andre ikke havde et udslæt). Der var rapporter om erythema multiforme. Laboratorie abnormiteter inkluderede forhøjede leverkemiske forhøjede kreatinphosphokinase forhøjet kreatinin og lymfopeni og unormale røntgenstråler (overvejende infiltrater, der var lokaliseret).
Yderligere bivirkninger med brug af Ziagen
Terapi-naive voksne
Treatment-emergent clinical adverse reactions (rated by the investigator as moderate or severe) with a greater than or equal to 5% frequency during therapy with ZIAGEN 300 mg twice daily lamivudine 150 mg twice daily and efavirenz 600 mg daily compared with zidovudine 300 mg twice daily lamivudine 150 mg twice daily and efavirenz 600 mg daily from CNA30024 are listed in Tabel 2.
Tabel 2.. Behandlings-opstående (alle kausalitet) bivirkninger af mindst moderat intensitet (karakterer 2-4 større end eller lig med 5% frekvens) hos terapi-naive voksne (CNA30024 a ) gennem 48 ugers behandling
| Bivirkning | Ziagen plus lamivudine plus efavirenz (n = 324) | Zidovudine plus lamivudin plus efavirenz (n = 325) |
| Drømme/søvnforstyrrelser | 10% | 10% |
| Lægemiddeloverfølsomhed | 9% | <1% b |
| Hovedpine/migræne | 7% | 11% |
| Kvalme | 7% | 11% |
| Træthed/ubehag | 7% | 10% |
| Diarre | 7% | 6% |
| Udslæt | 6% | 12% |
| Mavesmerter/gastritis/gastrointestinale tegn og symptomer | 6% | 8% |
| Depressive lidelser | 6% | 6% |
| Svimmelhed | 6% | 6% |
| Muskuloskeletalsmerter | 6% | 5% |
| Bronchitis | 4% | 5% |
| Opkast | 2% | 9% |
| a Dette forsøg anvendte dobbeltblind konstatering af mistanke om overfølsomhedsreaktioner. Under den blindede del af den mistænkte overfølsomhed over for Abacavir blev der rapporteret af efterforskere hos 9% af 324 forsøgspersoner i Abacavir -gruppen og 3% af 325 forsøgspersoner i Zidovudine -gruppen. b Ti (3%) tilfælde af mistænkt lægemiddeloverfølsomhed blev klassificeret som ikke på grund af abacavir efter ublindning. |
Treatment-emergent clinical adverse reactions (rated by the investigator as moderate or severe) with a greater than or equal to 5% frequency during therapy with ZIAGEN 300 mg twice daily lamivudine 150 mg twice daily and zidovudine 300 mg twice daily compared with indinavir 800 mg 3 times daily lamivudine 150 mg twice daily and zidovudine 300 mg twice daily from CNA3005 are listed in Table 3.
Tabel 3. Behandling-opstand (alle kausaliteter) bivirkninger af mindst moderat intensitet (klasse 2-4 større end eller lig med 5% frekvens) hos terapi-naive voksne (CNA3005) gennem 48 ugers behandling
| Bivirkning | Ziagen plus lamivudin/zidovudine (n = 262) | Indinavir plus lamivudin/zidovudine (n = 264) |
| Kvalme | 19% | 17% |
| Hovedpine | 13% | 9% |
| Malse og træthed | 12% | 12% |
| Kvalme and opkast | 10% | 10% |
| Overfølsomhedsreaktion | 8% | 2% |
| Diarre | 7% | 5% |
| Feber og/eller kulderystelser | 6% | 3% |
| Depressive lidelser | 6% | 4% |
| Muskuloskeletalsmerter | 5% | 7% |
| Hududslæt | 5% | 4% |
| Øre/næse/halsinfektioner | 5% | 4% |
| Virale luftvejsinfektioner | 5% | 5% |
| Angst | 5% | 3% |
| Nyretegn/symptomer | <1% | 5% |
| Smerter (ikke-stedspecifik) | <1% | 5% |
Fem forsøgspersoner, der modtog Ziagen i CNA3005, oplevede forværring af allerede eksisterende depression sammenlignet med ingen i Indinavir-armen. Baggrundshastighederne for den allerede eksisterende depression var ens i de 2 behandlingsarme.
Ziagen en gang dagligt mod Ziagen to gange dagligt (CNA30021)
Behandling-opstående kliniske bivirkninger (bedømt af efterforskeren som mindst moderat) med en større end eller lig med 5% frekvens under terapi med Ziagen 600 mg en gang dagligt eller Ziagen 300 mg to gange dagligt begge i kombination med lamivudin 300 mg en gang dagligt og Efavirenz 600 mg en gang dagligt fra CNA30021 var lignende. For overfølsomhedsreaktioner viste forsøgspersoner, der modtog Ziagen en gang dagligt, en sats på 9% i sammenligning med en sats på 7% for forsøgspersoner, der modtog Ziagen to gange dagligt. Personer, der modtog Ziagen 600 mg en gang dagligt, oplevede imidlertid en signifikant højere forekomst af alvorlige medikamenthypersensitivitetsreaktioner og svær diarré sammenlignet med forsøgspersoner, der modtog Ziagen 300 mg to gange dagligt. Fem procent (5%) af forsøgspersoner, der modtog Ziagen 600 mg, en gang dagligt, havde alvorlige medikamenthypersensitivitetsreaktioner sammenlignet med 2% af forsøgspersoner, der modtog Ziagen 300 mg to gange dagligt. To procent (2%) af forsøgspersoner, der modtog Ziagen 600 mg en gang dagligt, havde svær diarré, mens ingen af de forsøgspersoner, der modtog Ziagen 300 mg to gange dagligt, havde denne begivenhed.
Laboratorie abnormiteter
Laboratorie abnormiteter (klasse 3-4) hos terapi-naive voksne under terapi med Ziagen 300 mg to gange dagligt lamivudin 150 mg to gange dagligt og efavirenz 600 mg dagligt sammenlignet med Zidovudine 300 mg to gange dagligt lamivudin 150 mg to gange dagligt og efavirenz 600 mg dagligt fra CNA3000024 er listet i tabel 4.
Tabel 4. Laboratorie abnormiteter (klasse 3-4) i terapi-naive voksne (CNA30024) gennem 48 ugers behandling
| Grad 3/4 Laboratorie abnormiteter | Ziagen plus lamivudine plus efavirenz (n = 324) | Zidovudine plus lamivudin plus efavirenz (n = 325) |
| Forhøjet CPK (> 4 x Uln) | 8% | 8% |
| Forhøjet alt (> 5 x uln) | 6% | 6% |
| Forhøjet AST (> 5 x Uln) | 6% | 5% |
| Hypertriglyceridæmi (> 750 mg/dl) | 6% | 5% |
| Hyperamylasemia (> 2 x Uln) | 4% | 5% |
| Neutropeni (ANC <750/mm 3 ) | 2% | 4% |
| Anæmi (HGB ≤6,9 g/dl) | <1% | 2% |
| Thrombocytopenia (blodplader <50000/mm 3 ) | 1% | <1% |
| Leukopeni (WBC ≤1500/mm 3 ) | <1% | 2% |
| Uln = øvre grænse for normal. n = antal vurderede emner. |
Laboratorie abnormaliteter i CNA3005 er anført i tabel 5.
Tabel 5. Behandlings-opstående laboratorie abnormaliteter (klasse 3-4) i CNA3005
| Grad 3/4 Laboratorie abnormiteter | Ziagen plus lamivudin/zidovudine (n = 262) | Indinavir plus lamivudin/zidovudine (n = 264) |
| Forhøjet CPK (> 4 x Uln) | 18 (7%) | 18 (7%) |
| Alt (> 5.0 x Uln) | 16 (6%) | 16 (6%) |
| Neutropenia ( <750/mm 3 ) | 13 (5%) | 13 (5%) |
| Hypertriglyceridæmi (> 750 mg/dl) | 5 (2%) | 3 (1%) |
| Hyperamylasemia (> 2.0 x Uln) | 5 (2%) | 1 ( <1%) |
| Hyperglykæmi (> 13,9 mmol/L) | 2 ( <1%) | 2 ( <1%) |
| Anæmi (HGB ≤6,9 g/dl) | 0 (0%) | 3 (1%) |
| Uln = øvre grænse for normal. n = antal vurderede emner. |
Frekvenserne for behandling af behandlingsfremstillingslaboratorie var sammenlignelige mellem behandlingsgrupper i CNA30021.
Kliniske forsøg oplever hos pædiatriske personer
Terapi-erfarne pædiatriske personer (dosering af to gange dagligt)
Behandling-opstående kliniske bivirkninger (bedømt af efterforskeren som moderat eller svær) med en større end eller lig med 5% frekvens under terapi med Ziagen 8 mg pr. Kg to gange dagligt lamivudin 4 mg pr. Kg to gange dagligt og zidovudine 180 mg pr. M 2 To gange dagligt sammenlignet med lamivudin 4 mg pr. Kg to gange dagligt og zidovudine 180 mg pr. m 2 To gange dagligt fra CNA3006 er anført i tabel 6.
Tabel 6. Behandlings-opstående (al årsagssammenhæng) bivirkninger af mindst moderat intensitet (klasse 2-4 større end eller lig med 5% frekvens) i terapi-erfarne pædiatriske personer (CNA3006) gennem 16 ugers behandling
| Bivirkning | Ziagen plus lamivudin plus zidovudine (n = 102) | Lamivudine plus Zidovudine (n = 103) |
| Feber og/eller kulderystelser | 9% | 7% |
| Kvalme and opkast | 9% | 2% |
| Hududslæt | 7% | 1% |
| Øre/næse/halsinfektioner | 5% | 1% |
| Lungebetændelse | 4% | 5% |
| Hovedpine | 1% | 5% |
Laboratorie abnormiteter
I CNA3006 blev der observeret laboratorieafvigelser (anæmi-neutropeni-leverfunktionstest abnormaliteter og CPK-forhøjninger) med lignende frekvenser som i en undersøgelse af terapi-naive voksne (CNA30024). Mild forhøjelser af blodsukker var hyppigere hos pædiatriske personer, der modtog Ziagen (CNA3006) sammenlignet med voksne individer (CNA30024).
Andre bivirkninger
Foruden bivirkninger og laboratorieaf abnormiteter rapporteret i tabel 2 3 4 5 og 6 andre bivirkninger, der blev observeret i det udvidede adgangsprogram, var pancreatitis og øget GGT.
Pædiatriske personer en gang dagligt mod dosering af to gange dagligt (COL105677)
Sikkerheden ved en gang dagligt sammenlignet med dosering af to gange dagligt blev Ziagen vurderet i Arrow-forsøget. Primær sikkerhedsvurdering i Arrow -forsøget var baseret på bivirkninger i klasse 3 og grad 4. Hyppigheden af bivirkninger i grad 3 og 4 var den samme blandt personer, der blev randomiseret til dosering en gang dagligt sammenlignet med emner, der er randomiseret til dosering af to gange dagligt. En begivenhed med grad 4 hepatitis i den en gang daglige kohort blev betragtet som usikker årsagssammenhæng af efterforskeren, og alle andre bivirkninger i klasse 3 eller 4 blev betragtet som ikke relateret af efterforskeren.
Oplevelse af postmarketing
Følgende bivirkninger er blevet identificeret under postmarketing brug af Ziagen. Fordi disse reaktioner rapporteres frivilligt fra en population af ukendt størrelse, er det ikke altid muligt at pålideligt estimere deres frekvens eller etablere et årsagsforhold til lægemiddeleksponeringer.
Krop som helhed
Omfordeling/ophobning af kropsfedt.
Kardiovaskulær
Myokardieinfarkt.
Lever
Mælkesyreasis og lever steatosis [se ADVARSELS AND FORHOLDSREGLER ].
Hud
Mistænkte Stevens-Johnson syndrom (SJS) og toksisk epidermal nekrolyse (ti) er rapporteret hos patienter, der modtager abacavir primært i kombination med medicin, der vides at være forbundet med henholdsvis SJS og ti. På grund af overlapningen af kliniske tegn og symptomer mellem overfølsomhed over for abacavir og SJ'er og ti og muligheden for flere lægemiddelfølsomhed hos nogle patienter bør abacavir afbrydes og ikke genstartes i sådanne tilfælde.
Der har også været rapporter om erythema multiforme med abacavir brug [se Kliniske forsøg oplever hos voksne emner ].
Lægemiddelinteraktioner for Ziagen
Metadon
I et forsøg med 11 HIV-1-inficerede forsøgspersoner, der modtager metadon-vedligeholdelsesbehandling med 600 mg Ziagen to gange dagligt (to gange den aktuelt anbefalede dosis), steg oral metadonafstand [se Klinisk farmakologi ]. This alteration will not result in a metadon dose modification in the majority of patients; however an increased metadon dose may be required in a small number of patients.
Riociguat
Samtidig administration med fast dosis abacavir/dolutegravir/lamivudin resulterede i øget eksponering for riociguat, hvilket kan øge risikoen for riociguat-bivirkninger [se Klinisk farmakologi ]. The riociguat dose may need to be reduced. See full prescribing information for ADEMPAS (riociguat).
Advarsler for Ziagen
Inkluderet som en del af 'FORHOLDSREGLER' Afsnit
Forholdsregler for Ziagen
Overfølsomhedsreaktioner
Alvorlige og til tider dødelige overfølsomhedsreaktioner er forekommet med Ziagen (Abacavir). Disse overfølsomhedsreaktioner har inkluderet multi-organ-svigt og anafylaksi og forekom typisk inden for de første 6 uger efter behandlingen med Ziagen (median tid til indtræden var 9 dage); Selvom Abacavir -overfølsomhedsreaktioner har fundet sted nogen tid under behandlingen [se Bivirkninger ]. Patients who carry the HLA-B*5701 allele are at a higher risk of abacavir hypersensitivity reactions; although patients who do not carry the HLA-B*5701 allele have developed hypersensitivity reactions. Hypersensitivity to abacavir was reported in approximately 206 (8%) of 2670 patients in 9 clinical trials with abacavir-containing products where HLA-B*5701 screening was not performed. The incidence of suspected abacavir hypersensitivity reactions in clinical trials was 1% when subjects carrying the HLA-B*5701 allele were excluded. In any patient treated with abacavir the clinical diagnosis of hypersensitivity reaction must remain the basis of clinical decision making.
På grund af potentialet for alvorlige alvorlige og muligvis dødelige overfølsomhedsreaktioner med Ziagen:
- Alle patienter skal screenes for HLA-B*5701-allelen, inden de påbegyndte terapi med Ziagen eller reinitiering af terapi med Ziagen, medmindre patienter har en tidligere dokumenteret HLA-B*5701 allelevaluering.
- Ziagen er kontraindiceret hos patienter med en tidligere overfølsomhedsreaktion på abacavir og hos HLA-B*5701-positive patienter.
- Før Ziagen gennemgår medicinsk historie for forudgående eksponering for ethvert abacavircontaining -produkt. Genstart aldrig Ziagen eller noget andet Abacavir-indeholdende produkt efter en overfølsomhedsreaktion på Abacavir uanset HLA-B*5701-status.
- For at reducere risikoen for en livstruende overfølsomhedsreaktion uanset HLA-B*5701-status afbryder Ziagen øjeblikkeligt, hvis der er mistanke om en overfølsomhedsreaktion, selv når andre diagnoser er mulige (f.eks. Akutte indtræden af respirationssygdomme, såsom lungebetændelse).
- Hvis en overfølsomhedsreaktion ikke kan udelukkes, genstarter ikke Ziagen eller andre abacavir-holdige produkter, fordi mere alvorlige symptomer, der kan omfatte livstruende hypotension og død, kan forekomme inden for få timer.
- Hvis en overfølsomhedsreaktion udelukkes, kan patienter muligvis genstarte Ziagen. Sjældent patienter, der er stoppet Abacavir af andre årsager end symptomer på overfølsomhed har også oplevet livstruende reaktioner inden for timer efter at have genindført abacavir-terapi. Derfor anbefales genindførelse af Ziagen eller ethvert andet abacavir-indeholdende produkt kun, hvis der let kan fås adgang til medicinsk behandling.
- En medicinguide og advarselskort, der giver information om genkendelse af overfølsomhedsreaktioner, bør udleveres til hver ny recept og påfyldning.
Mælkesyreasose og svær hepatomegali med steatose
Mælkesyreose og svær hepatomegali med steatose inklusive dødelige tilfælde er rapporteret ved anvendelse af nukleosidanaloger inklusive Ziagen. Et flertal af disse sager har været hos kvinder. Kvindelig køn og fedme kan være risikofaktorer for udviklingen af mælkesyre acidose og svær hepatomegali med steatose hos patienter behandlet med antiretroviral nukleosidanaloger. Behandling med Ziagen bør suspenderes hos enhver patient, der udvikler kliniske eller laboratoriefund, der tyder på mælkesyreose eller udtalt hepatotoksicitet, som kan omfatte hepatomegali og steatose, selv i fravær af markante transaminaseforhøjelser.
Immunrekonstitutionssyndrom
Immunrekonstitutionssyndrom er rapporteret hos patienter behandlet med kombination af antiretroviral terapi inklusive Ziagen. I den indledende fase af kombination af antiretroviral behandlingspatienter, hvis immunsystem reagerer, kan udvikle en inflammatorisk respons på indolente eller resterende opportunistiske infektioner (såsom Mycobacterium avium infektion cytomegalovirus Pneumocystis jirovecii lungebetændelse [PCP] eller tuberkulose), hvilket kan kræve yderligere evaluering og behandling.
Autoimmune lidelser (såsom Graves 'sygdomspolymyositis og Guillain-Barré-syndrom) er også rapporteret at forekomme i indstillingen af immunrekonstitution; Dog er tiden til indtræden mere variabel og kan forekomme mange måneder efter påbegyndelse af behandlingen.
Myokardieinfarkt
Flere prospektive observationsepidemiologiske undersøgelser har rapporteret en tilknytning til brugen af abacavir og risikoen for myokardieinfarkt (MI). Meta-analyser af randomiserede kontrollerede kliniske forsøg har ikke observeret nogen overskydende risiko for MI hos abacavir-behandlede forsøgspersoner sammenlignet med kontrolpersoner. Indtil videre er der ingen etableret biologisk mekanisme til at forklare en potentiel stigning i risiko. I helhed viser de tilgængelige data fra observationsundersøgelserne og fra kontrollerede kliniske forsøg inkonsekvens; Derfor er bevis for en årsagssammenhæng mellem abacavir -behandling og risikoen for MI ikke entydig.
Som en forholdsregel bør den underliggende risiko for koronar hjertesygdom overvejes, når man ordinerer antiretrovirale terapier, herunder abacavir og handling, der er truffet for at minimere alle modificerbare risikofaktorer (f.eks. Hypertension hyperlipidæmi -diabetes mellitus rygning).
Oplysninger om patientrådgivning
Rådgiv patienten om at læse den FDA-godkendte patientmærkning ( Patientinformation ).
Overfølsomhedsreaktioner
Informer patienter:
- At en medicinguide og advarselskort, der opsummerer symptomerne på abacavir -overfølsomhedsreaktionen og anden produktinformation, udleveres af farmaceut med hver ny recept og påfyldning af Ziagen og instruerer patienten til at læse medicinalvejledningen og advarselskortet hver gang for at få nye oplysninger, der kan være til stede om Ziagen. Den komplette tekst til medicinguiden genoptrykt i slutningen af dette dokument.
- at bære advarselskortet med sig.
- Sådan identificeres en overfølsomhedsreaktion [se ADVARSELS AND FORHOLDSREGLER Patientinformation ].
- At hvis de udvikler symptomer, der er i overensstemmelse med en overfølsomhedsreaktion, skal de ringe til deres sundhedsudbyder med det samme for at afgøre, om de skulle stoppe med at tage Ziagen.
- At en overfølsomhedsreaktion kan forværres og føre til indlæggelse eller død, hvis Ziagen ikke umiddelbart afbrydes.
- At ikke genstarte Ziagen eller noget andet abacavir-holdigt produkt efter en overfølsomhedsreaktion, fordi mere alvorlige symptomer kan forekomme inden for få timer og kan omfatte livstruende hypotension og død.
- At hvis de har en overfølsomhedsreaktion, bør de bortskaffe enhver ubrugt Ziagen for at undgå genstart af abacavir.
- At en overfølsomhedsreaktion normalt er reversibel, hvis den detekteres straks, og Ziagen stoppes med det samme.
- At hvis de har afbrudt Ziagen af andre årsager end symptomer på overfølsomhed (for eksempel dem, der har en afbrydelse i lægemiddelforsyningen), kan en alvorlig eller dødelig overfølsomhedsreaktion forekomme med genindførelse af abacavir.
- For ikke at genstarte Ziagen eller noget andet abacavir-indeholdende produkt uden medicinsk konsultation og kun hvis medicinsk behandling let kan fås adgang til af patienten eller andre.
Mælkesyreasose/hepatomegali med steatosis
DVISE -patienter, som mælkesyreasis og alvorlig hepatomegali med steatose er rapporteret ved anvendelse af nukleosidanaloger og andre antiretrovirale midler. Rådgiv patienter om at stoppe med at tage Ziagen, hvis de udvikler kliniske symptomer, der tyder på mælkesyreasis eller udtalt hepatotoksicitet [se ADVARSELS AND FORHOLDSREGLER ].
Immunrekonstitutionssyndrom
Rådgive patienter om straks at informere deres sundhedsudbyder om tegn og symptomer på infektion, da betændelse fra tidligere infektion kan forekomme kort efter kombination af antiretroviral terapi, herunder når Ziagen startes [se ADVARSELS AND FORHOLDSREGLER ].
Graviditetsregister
Rådgiv patienter om, at der er et graviditetseksponeringsregister, der overvåger graviditetsresultater hos kvinder udsat for Ziagen under graviditet [se Brug i specifikke populationer ].
Amning
Instruer kvinder med HIV-1-infektion til ikke at amme, fordi HIV-1 kan overføres til babyen i modermælken [se Brug i specifikke populationer ].
Savnet dosis
Instruer patienter om, at hvis de går glip af en dosis Ziagen for at tage den, så snart de husker. Rådgive patienter om ikke at fordoble deres næste dosis eller tage mere end den foreskrevne dosis [se Dosering og administration ].
Tilgængelighed af medicinguide
Instruer patienter om at læse medicinguiden, inden de starter Ziagen, og til at læse den igen hver gang recept er fornyet. Instruer patienter om at informere deres læge eller farmaceut, hvis de udvikler et usædvanligt symptom, eller hvis et kendt symptom vedvarer eller forværres.
Combivir Epivir Triumeq og Ziagen er varemærker, der ejes af eller licenseres til VIIV Healthcare Group of Companies.
De andre nævnte mærker ejes af eller licenseres til deres respektive ejer og ejes ikke af eller licenseres til VIIV Healthcare Group of Companies. Producenterne af disse mærker er ikke tilknyttet og støtter ikke Viiv Healthcare Group of Companies eller dets produkter.
Ikke -klinisk toksikologi
Karcinogenese mutagenese nedskrivning af fertilitet
Karcinogenicitet
Abacavir blev administreret oralt ved 3 doseringsniveauer for at adskille grupper af mus og rotter i 2-årige kræftfremkaldende undersøgelser. Resultaterne viste en stigning i forekomsten af ondartede og ikke-maligne tumorer. Maligne tumorer forekom i den præputiale kirtel af mænd og klitorisekirtlen hos kvinder af begge arter og i leveren af kvindelige rotter. Derudover forekom ikke-maligne tumorer også i leveren og skjoldbruskkirtlen hos hunrotter. Disse observationer blev foretaget ved systemiske eksponeringer i området 6 til 32 gange den menneskelige eksponering ved den anbefalede dosis på 600 mg.
Mutagenicitet
Abacavir inducerede kromosomale afvigelser både i nærvær og fravær af metabolisk aktivering i en In vitro Cytogenetisk undersøgelse i humane lymfocytter. Abacavir var mutagen i fravær af metabolisk aktivering, skønt den ikke var mutagen i nærvær af metabolisk aktivering i en L5178Y muselymfomassay. Abacavir var klastogen hos mænd og ikke klastogen hos kvinder i en forgæves Mus knoglemarv Micronucleus assay.
Abacavir var ikke mutagen i bakteriel mutagenicitetsassays i nærvær og fravær af metabolisk aktivering.
Værdiforringelse af fertiliteten
Abacavir påvirkede ikke mandlig eller kvindelig fertilitet hos rotter i en dosis forbundet med eksponeringer (AUC) ca. 3,3 gange (mandlig) eller 4,1 gange (hun) dem i mennesker i den klinisk anbefalede dosis.
Brug i specifikke populationer
Graviditet
Graviditet Exposure Registry
Der er et graviditetseksponeringsregister, der overvåger graviditetsresultater hos kvinder, der udsættes for Ziagen under graviditet. Udbydere af sundhedsydelser opfordres til at registrere patienter ved at ringe til Antiretroviral Graviditetsregistret (APR) på 1-800-258-4263.
Risikooversigt
Tilgængelige data fra APR viser ingen forskel i den samlede risiko for fødselsdefekter for abacavir sammenlignet med baggrundshastigheden for fødselsdefekter på 2,7% i Metropolitan Atlanta Congenital Defects Program (MACDP) Reference Population (See Data ). The APR uses the MACDP as the U.S. reference population for birth defects in the general population. The MACDP evaluates women and infants from a limited geographic area and does not include outcomes for births that occurred at less than 20 weeks’ gestation. The rate of miscarriage is not reported in the APR. The estimated background rate of miscarriage in clinically recognized pregnancies in the U.S. general population is 15% to 20%. The background risk for major birth defects and miscarriage for the indicated population is unknown.
I dyreproduktionsundersøgelser resulterede oral administration af abacavir til gravide rotter under organogenese i føtal misdannelser og andre embryonale og føtal toksiciteter ved eksponeringer 35 gange den humane eksponering (AUC) ved den anbefalede kliniske daglige dosis. Imidlertid blev der ikke observeret nogen negative udviklingseffekter efter oral administration af abacavir til gravide kaniner under organogenese ved eksponeringer ca. 9 gange den menneskelige eksponering (AUC) ved den anbefalede kliniske dosis (se Data ).
Data
Menneskelige data
Baseret på potentielle rapporter til APR af eksponeringer til abacavir under graviditet, hvilket resulterede i levende fødsler (inklusive over 1300 udsat i første trimester og over 1300 udsat i andet/tredje trimester) var der ingen forskel mellem den samlede risiko for fødselsdefekter for abacavir sammenlignet med baggrundsfødselsdefekten på 2,7% i U.S. -referencepopulationen i MACDP. Forekomsten af defekter i levende fødsler var 3,2% (95% CI: 2,3% til 4,3%) efter første trimestereksponering for abacavir-holdige regimer og 2,9% (95% CI: 2,1% til 4,0%) efter anden/tredje trimestereksponering for abacavirholdige regimenser.
Abacavir har vist sig at krydse placenta og koncentrationer i neonatal plasma ved fødslen var i det væsentlige lig med dem i moderlig plasma ved fødslen [se Klinisk farmakologi ].
Langsigtede bivirkninger af Zoloft
Dyredata
Abacavir blev administreret oralt til gravide rotter (ved 100 300 og 1000 mg pr. Kg pr. Dag) og kaniner (ved 125 350 eller 700 mg pr. Kg pr. Dag) under organogenese (på drægtighedsdage 6 til 17 og 6 til 20 år). Føtale misdannelser (øgede forekomster af føtal anasarca og skeletmisdannelser) eller udviklingstoksicitet (nedsat føtal kropsvægt og kronetrumplængde) blev observeret i rotter i doser op til 1000 mg pr. Kg pr. Dag, hvilket resulterede i eksponeringer ca. 35 gange den menneskelige eksponering (AUC) i den anbefalede daglige dosis. Ingen udviklingseffekter blev observeret hos rotter med 100 mg pr. Kg pr. Dag, hvilket resulterede i eksponeringer (AUC) 3,5 gange den menneskelige eksponering ved den anbefalede daglige dosis. I en fertilitet og tidlig embryo-fetaludviklingsundersøgelse udført i rotter (ved 60 160 eller 500 mg pr. Kg pr. Dag), embryonale og føtale toksiciteter (øgede resorptioner faldt føtal kropsvægte) eller toksiciteter til afkom (øget forekomst af dødfødsel og nedre kropsvægte) forekom ved doser op til 500 mg pr. KG pr. Dag. Ingen udviklingseffekter blev observeret hos rotter med 60 mg pr. Kg pr. Dag, hvilket resulterede i eksponeringer (AUC) ca. 4 gange den menneskelige eksponering ved den anbefalede daglige dosis. Undersøgelser med gravide rotter viste, at abacavir overføres til fosteret gennem morkagen. Hos gravide kaniner forekom ingen udviklingstoksiciteter og ingen stigninger i føtal misdannelser forekom ved op til den højeste dosis evalueret, hvilket resulterede i eksponering (AUC) ca. 9 gange den menneskelige eksponering i den anbefalede dosis.
Amning
Risikooversigt
Centers for Disease Control and Prevention anbefaler, at HIV-1-inficerede mødre i USA ikke ammer deres spædbørn for at undgå at risikere postnatal transmission af HIV-1-infektion. Abacavir er til stede i human mælk. Der er ingen oplysninger om virkningerne af abacavir på det ammede spædbarn eller virkningerne af stoffet på mælkeproduktionen. På grund af potentialet for (1) HIV-1-transmission (hos HIV-negative spædbørn) (2) udvikler viral resistens (hos HIV-positive spædbørn) og (3) bivirkninger i et ammet spædbarn instruerer mødre om ikke at amme, hvis de modtager Ziagen.
Pædiatrisk brug
Sikkerheden og effektiviteten af Ziagen er blevet etableret hos pædiatriske patienter i alderen 3 måneder og ældre. Brug af Ziagen understøttes af farmakokinetiske forsøg og bevis fra tilstrækkelige og velkontrollerede forsøg med Ziagen hos voksne og pædiatriske personer [se Dosering og administration Bivirkninger Klinisk farmakologi Kliniske studier ].
Geriatrisk brug
Kliniske forsøg med Ziagen inkluderede ikke tilstrækkeligt antal forsøgspersoner i alderen 65 år og derover for at afgøre, om de reagerer forskelligt fra yngre emner. Generelt bør der udvises forsigtighed i administrationen af Ziagen hos ældre patienter, der afspejler den større hyppighed af nedsat leverrenal eller hjertefunktion og af samtidig sygdom eller anden lægemiddelterapi.
Patienter med nedsat leverfunktion
En dosisreduktion er påkrævet for patienter med mild leverfunktion (børne-pugh klasse A) [se Dosering og administration ]. The safety efficacy and pharmacokinetic properties of abacavir have not been established in patients with moderate or severe hepatic impairment; therefore Kø is contraindicated in these patients [see Kontraindikationer Klinisk farmakologi ].
Overdoseringsoplysninger til Ziagen
Der er ingen kendt specifik behandling af overdosering med Ziagen. Hvis overdosis forekommer, skal patienten overvåges, og standard understøttende behandling anvendes efter behov. Det vides ikke, om abacavir kan fjernes ved peritoneal dialyse eller hæmodialyse.
Kontraindikationer for Ziagen
Ziagen er kontraindiceret hos patienter:
- der har HLA-B*5701-allelen [se ADVARSELS AND FORHOLDSREGLER ].
- med forudgående overfølsomhedsreaktion på abacavir [se ADVARSELS AND FORHOLDSREGLER ].
- med moderat eller alvorlig levering af leveren [se Brug i specifikke populationer ].
Klinisk farmakologi for Ziagen
Handlingsmekanisme
Abacavir er en antiretroviral agent [se Mikrobiologi ].
Farmakokinetik
Farmakokinetik In Adults
De farmakokinetiske egenskaber af abacavir var uafhængige af dosis over området 300 til 1200 mg pr. Dag.
Absorption
Efter oral administration absorberes abacavir hurtigt og distribueres i vid udstrækning. Den geometriske gennemsnitlige absolut biotilgængelighed af tabletten var 83%. Plasma -abacavir AUC var ens efter administration af den orale opløsning eller tablets. Efter oral administration af 300 mg to gange dagligt i 20 forsøgspersoner var den stabile peak-serum-abacavir-koncentration (Cmax) 3,0 ± 0,89 mcg pr. Ml (gennemsnit ± SD) og AUC (0-12 timer) var 6,02 ± 1,73 mcg • time pr. Ml. Efter oral administration af en enkelt dosis på 600 mg abacavir hos 20 forsøgspersoner var Cmax 4,26 ± 1,19 mcg pr. Ml (gennemsnit ± SD) og AUC∞ var 11,95 ± 2,51 mcg • time pr. Ml.
Effekt af mad
Biotilgængelighed af abacavir -tabletter blev vurderet i faste- og Fed -tilstande uden nogen signifikant forskel i systemisk eksponering (AUC∞); Derfor kan Ziagen -tabletter administreres med eller uden mad. Systemisk eksponering for abacavir var sammenlignelig efter administration af Ziagen oral opløsning og Ziagen -tabletter. Derfor kan disse produkter bruges ombytteligt.
Fordeling
Den tilsyneladende fordelingsvolumen efter IV -administration af abacavir var 0,86 ± 0,15 L pr. Kg, hvilket antydede, at abacavir distribueres til ekstravaskulært rum. I 3 forsøgspersoner var CSF AUC (0-6 timer) til plasma abacavir AUC (0-6 timer) forholdet fra 27% til 33%.
Binding af abacavir til humane plasmaproteiner er ca. 50% og var uafhængig af koncentrationen. Total blod- og plasma-lægemiddelrelaterede radioaktivitetskoncentrationer er identiske, der viser, at abacavir let distribueres til erythrocytter.
Eliminering
I enkeltdosisforsøg ½ ) var 1,54 ± 0,63 timer. Efter intravenøs administration var total clearance 0,80 ± 0,24 L pr. Time pr. Kg (gennemsnit ± SD).
Metabolisme
Hos mennesker metaboliseres abacavir ikke signifikant af cytochrome P450 -enzymer. De primære ruter for eliminering af abacavir er metabolisme ved alkoholdehydrogenase til dannelse af 5'-carboxylsyre og glucuronyltransferase til dannelse af 5'-glucuronidet. Metabolitterne har ikke antiviral aktivitet. In vitro Eksperimenter afslører, at abacavir ikke hæmmer human CYP3A4 CYP2D6 eller CYP2C9 -aktivitet ved klinisk relevante koncentrationer.
Udskillelse
Eliminering of abacavir was quantified in a mass balance trial following administration of a 600-mg dose of 14 C-abacavir: 99% af radioaktiviteten blev udvundet 1,2% blev udskilt i urinen som abacavir 30% som 5'-carboxylsyremetabolit 36% som 5'-glucuronidmetabolit og 15% som uidentificerede mindre metabolitter i urinen. Fækal eliminering tegnede sig for 16% af dosis.
Specifikke populationer
Patienter med nedsat nyrefunktion
De farmakokinetiske egenskaber hos Ziagen er ikke bestemt hos patienter med nedsat nyrefunktion. Renal udskillelse af uændret abacavir er en mindre elimineringsvej hos mennesker.
Patienter med nedsat leverfunktion
Farmakokinetikken i abacavir er blevet undersøgt hos personer med mild leverfunktion (børnepugh klasse A). Resultaterne viste, at der var en gennemsnitlig stigning på 89% i Abacavir AUC og en stigning på 58% i halveringstiden for abacavir efter en enkelt dosis på 600 mg abacavir. Metabolitternes AUC'er blev ikke modificeret ved mild leversygdom; Imidlertid blev metabolitterne nedsat for dannelse og eliminering af metabolitterne [se Kontraindikationer Brug i specifikke populationer ].
Gravide kvinder
Abacavir farmakokinetik blev undersøgt hos 25 gravide kvinder i løbet af det sidste trimester af graviditet, der modtog Abacavir 300 mg to gange dagligt. Abacavir-eksponering (AUC) under graviditet svarede til dem i postpartum og i HIV-inficerede ikke-gravide historiske kontroller. I overensstemmelse med passiv diffusion af abacavir på tværs af placenta abacavir -koncentrationer i neonatal plasmaknor ved fødslen var i det væsentlige lig med dem i moderlig plasma ved fødslen.
Pædiatriske patienter
Farmakokinetikken for abacavir er blevet undersøgt efter enten enkelt- eller gentagelsesdoser af Ziagen hos 169 pædiatriske personer. Personer, der modtager abacavir oral opløsning i henhold til det anbefalede doseringsregime, opnåede plasmakoncentrationer af abacavir svarende til voksne. Personer, der modtager abacavir -orale tabletter, opnåede højere plasmakoncentrationer af abacavir end forsøgspersoner, der modtager oral opløsning.
Farmakokinetikken af abacavir doserede en gang dagligt i HIV-1-inficerede pædiatriske forsøgspersoner i alderen 3 måneder gennem 12 år blev evalueret i 3 forsøg (Penta 13 [n = 14] Penta 15 [n = 18] og pil [n = 36]). Alle 3 forsøg var 2-periode crossover open-label farmakokinetiske forsøg med to gange-mod en gang dagligt dosering af abacavir og lamivudin. Til den orale opløsning såvel som tabletformuleringen demonstrerede disse 3 forsøg, at dosering af en gang dagligt giver sammenlignelig AUC0-24 til dosering af abacavir to gange dagligt ved den samme samlede daglige dosis. Den gennemsnitlige Cmax var ca. 1,6 til 2,3 gange højere med abacavir-dosering en gang dagligt sammenlignet med dosering af to gange dagligt.
Geriatriske patienter
Farmakokinetikken for Ziagen er ikke undersøgt hos personer over 65 år.
Mandlige og kvindelige patienter
En farmakokinetisk analyse af population i HIV-1-inficeret mand (n = 304) og kvinder (n = 67) forsøgspersoner viste ingen kønsforskelle i abacavir AUC normaliseret for mager kropsvægt.
Racegrupper
Der er ingen signifikante eller klinisk relevante racemæssige forskelle mellem sorte og hvide i Abacavir farmakokinetik.
Lægemiddelinteraktionsundersøgelser
Effekt af abacavir på farmakokinetikken for andre agenter
In vitro Undersøgelser har vist, at abacavir har potentiale til at hæmme CYP1A1 og begrænset potentiale til at hæmme metabolismen medieret af CYP3A4. Abacavir inhiberede eller inducerede ikke andre CYP -enzymer (såsom CYP2C9 eller CYP2D6).
Baseret på In vitro Undersøgelsesresultater Abacavir ved terapeutiske lægemiddeleksponeringer forventes ikke at påvirke farmakokinetikken af lægemidler, der er substrater af følgende transportører: organisk aniontransporter-polypeptid (OATP) 1B1/3 Brystkræftresistensprotein (BCRP) eller PGLYCOPROTEIN (P-GP) Organisk Cation Transporter (OCT) 1 OCT2 eller MultIDRAGREP og TOXCOPROTEIN (P-GP) Organisk Cation Transporter (OCT) 1 OCT2 ELLER MultIDREP (Mate) 1 og Mate2-K.
Riociguat
Coadministration af en enkelt dosis af riociguat (NULL,5 mg) til HIV-1-inficerede personer, der modtager fast dosis abacavir/dolutegravir/lamivudin, rapporteres at øge Riociguat AUC (∞) sammenlignet med riociguat AUC (∞) rapporteret i raske emner på grund af CYP1a1-inhibition af abacavir. Den nøjagtige størrelse af stigningen i Riociguat -eksponering er ikke fuldt ud karakteriseret baseret på fund fra to undersøgelser [se Lægemiddelinteraktioner ].
Effekt af andre midler på farmakokinetikken i abacavir
In vitro Abacavir er ikke et substrat af OATP1B1 OAP1B3 OCT1 OCT2 OAT1 MATE1 MATE2-K Multidrugresistensassocieret protein (MRP) 2 eller MRP4; Derfor forventes lægemidler, der modulerer disse transportører, ikke at påvirke abacavir -plasmakoncentrationer. Abacavir er et underlag af BCRP og P-gp In vitro ; Imidlertid i betragtning af dens absolutte biotilgængelighed (83%) modulatorer af disse transportører er det usandsynligt, at de resulterer i en klinisk relevant påvirkning af abacavir -koncentrationer.
Lamivudin og/eller zidovudin
Femten HIV-1-inficerede forsøgspersoner blev indskrevet i et crossover-designet lægemiddelinteraktionsforsøg, der vurderede enkeltdoser af abacavir (600 mg) lamivudin (150 mg) og zidovudin (300 mg) alene eller i kombination. Analyse viste ingen klinisk relevante ændringer i farmakokinetikken i abacavir med tilsætning af lamivudin eller zidovudin eller kombinationen af lamivudin og zidovudin. Lamivudineksponering (AUC faldt 15%) og zidovudineksponering (AUC steg 10%) viste ikke klinisk relevante ændringer med samtidig abacavir.
Ethanol
Abacavir har ingen indflydelse på de farmakokinetiske egenskaber ved ethanol. Ethanol reducerer eliminering af abacavir, hvilket forårsager en stigning i den samlede eksponering. På grund af de almindelige metaboliske veje for abacavir og ethanol via alkoholdehydrogenase blev den farmakokinetiske interaktion mellem abacavir og ethanol undersøgt i 24 HIV-1-inficerede mandlige forsøgspersoner. Hvert individ modtog følgende behandlinger ved separate lejligheder: en enkelt 600 mg dosis abacavir 0,7 g pr. Kg ethanol (svarende til 5 alkoholholdige drikkevarer) og abacavir 600 mg plus 0,7 g pr. Kg ethanol. Samtidig administration af ethanol og abacavir resulterede i en 41% stigning i abacavir AUC∞ og en 26% stigning i abacavir t ½ . Abacavir havde ingen indflydelse på de farmakokinetiske egenskaber ved ethanol, så der forventes ingen klinisk signifikant interaktion hos mænd. Denne interaktion er ikke undersøgt hos kvinder.
Metadon
I et forsøg med 11 HIV-1-inficerede forsøgspersoner, der modtog metadon-vedligeholdelsesbehandling (40 mg og 90 mg dagligt) med 600 mg Ziagen to gange dagligt (to gange den aktuelt anbefalede dosis) steg oral metadonafstand 22% (90% CI: 6% til 42%). Denne ændring vil ikke resultere i en metadondosismodifikation hos de fleste patienter; Imidlertid kan der kræves en øget metadondosis hos et lille antal patienter [se Lægemiddelinteraktioner ]. The addition of metadon had no clinically significant effect on the pharmacokinetic properties of abacavir.
Mikrobiologi
Abacavir er en carbocyklisk syntetisk nukleosidanalog. Abacavir omdannes med cellulære enzymer til den aktive metabolitcarbovir triphosphat (CBV-TP) en analog af deoxyguanosin-5'-triphosphat (DGTP). CBV-TP inhiberer aktiviteten af HIV-1 revers transkriptase (RT) både ved at konkurrere med det naturlige substrat DGTP og ved dets inkorporering i viralt DNA.
Antiviral aktivitet
Den antivirale aktivitet af abacavir mod HIV-1 blev vurderet i et antal cellelinjer inklusive primære monocytter/makrofager og perifere mononukleære blodceller (PBMC'er). Ec 50 Værdierne varierede fra 3,7 til 5,8 mikrom (1 mikrom = 0,28 mcg pr. ml) og 0,07 til 1,0 mikrom mod henholdsvis HIV-1IIIB og HIV-1BAL og middelværdien EC 50 Værdien var 0,26 ± 0,18 mikrom mod 8 kliniske isolater. Median EC 50 Værdier for abacavir var 344 nm (rækkevidde: 14,8 til 676 nm) 16,9 nm (interval: 5,9 til 27,9 nm) 8,1 nm (interval: 1,5 til 16,7 nm) 356 nm (interval: 35,7 til 396 nm) 105 nm (interval: 28,1 til 168 nm) 47,6 nm (område: 5,2 til 200 nm) 51,4 nm (Område: 7,1 til 177 nm) og 282 nm (rækkevidde: 22,4 til 598 nm) mod HIV-1 clades A-G og gruppe O-vira (n = 3 undtagen n = 2 for clade B) henholdsvis. EC 50 Værdier mod HIV-2-isolater (n = 4) varierede fra 0,024 til 0,49 mikrom. The antiviral activity of abacavir in cell culture was not antagonized when combined with the nucleoside reverse transcriptase inhibitors (NRTIs) didanosine emtricitabine lamivudine stavudine tenofovir zalcitabine or zidovudine the non-nucleoside reverse transcriptase inhibitor (NNRTI) nevirapine or the protease inhibitor (PI) amprenavir. Ribavirin (50 mikrom) anvendt til behandling af kronisk HCV-infektion havde ingen indflydelse på anti-HIV-1-aktiviteten af abacavir i cellekultur.
Modstand
Hiv-1 isolates with reduced susceptibility to abacavir have been selected in cell culture. Genotypic analysis of isolates selected in cell culture and recovered from abacavir-treated subjects demonstrated that amino acid substitutions K65R L74V Y115F and M184V/I emerged in Hiv-1 RT. M184V or I substitutions resulted in an approximately 2-fold decrease in susceptibility to abacavir. Substitutions K65R L74M or Y115F with M184V or I conferred a 7to 8-fold reduction in abacavir susceptibility and combinations of three substitutions were required to confer more than an 8-fold reduction in susceptibility.
32 procent (7 ud af 18) af isolaterne fra forsøgspersoner, der oplevede virologisk svigt i abacaviren, en gang dagligt arm, havde et mere end 2,5 gange gennemsnitligt fald i abacavir-følsomhed med en median-fold fald på 1,3 (rækkevidde: 0,5 til 11) sammenlignet med 29% (5 af 17) af svigt isolaterne i den to gange-d-dags fald med en median-foldet faldt faldet på 0,92 (Range:
Krydsresistens
Krydsresistens er blevet observeret blandt NRTI'er. Isolater indeholdende abacavirresistensassocierede substitutioner, nemlig K65R L74V Y115F og M184V udviste krydsresistens over for didanosinemtricitabin-lamivudin og tenofovir i cellekultur og i individer. Et stigende antal thymidinanaloge mutationsstitutioner (TAM'er: M41L D67N K70R L210W T215Y/F K219E/R/H/Q/N) er forbundet med en progressiv reduktion i abacavir -følsomhed.
Dyretoksikologi og/eller farmakologi
Myocardial degeneration blev fundet hos mus og rotter efter administration af abacavir i 2 år. De systemiske eksponeringer svarede til 7 til 24 gange den forventede systemiske eksponering hos mennesker i en dosis på 600 mg. Den kliniske relevans af denne konstatering er ikke bestemt.
Kliniske studier
Voksne forsøg
Terapi-naive voksne
CNA30024 var et multicenter dobbeltblindt kontrolleret forsøg, hvor 649 HIV-1-inficerede terapi-naive voksne blev randomiseret og modtaget enten Ziagen (300 mg to gange dagligt) lamivudin (150 mg to gange dagligt) og efavirenz (600 mg en gang dagligt); eller zidovudin (300 mg to gange dagligt) lamivudin (150 mg to gange dagligt) og efavirenz (600 mg en gang dagligt). Varigheden af dobbeltblind behandling var mindst 48 uger. Forsøgsdeltagere var mandlige (81%) hvide (51%) sort (21%) og latinamerikanske (26%). Medianalderen var 35 år; Median forbehandling CD4 -celletælling var 264 celler pr. Mm 3 og median plasma HIV-1 RNA var 4,79 log 10 Kopier pr. Ml. Resultaterne af randomiseret behandling findes i tabel 7.
Tabel 7. Resultater af randomiseret behandling gennem uge 48 (CNA30024)
| Resultat | Ziagen plus lamivudine plus efavirenz (n = 324) | Zidovudine plus lamivudin plus efavirenz (n = 325) |
| Responder a | 69% (73%) | 69% (71%) |
| b | 6% | 4% |
| Ophørt på grund af bivirkninger | 14% | 16% |
| Ophørt på grund af andre grunde c | 10% | 11% |
| a Personer opnåede og vedligeholdt bekræftet HIV-1 RNA mindre end eller lig med 50 kopier pr. Ml (mindre end 400 kopier pr. Ml) gennem uge 48 (Roche Amplicor Ultrasensitive HIV-1 Monitor Standard Test 1.0 PCR). b Inkluderer viral rebound utilstrækkelig viral respons i henhold til efterforskeren og manglende opnåelse af bekræftet mindre end eller lig med 50 kopier pr. Ml i uge 48. c Inkluderer trukket samtykke tabt for at følge op på protokolovertrædelser dem med manglende klinisk progression og andet. |
Efter 48 ugers terapi var median CD4 -celletællingen fra baseline 209 celler pr. Mm 3 i gruppen, der modtager Ziagen og 155 celler pr. Mm 3 i Zidovudine -gruppen. Gennem uge 48 8 personer (2%) i gruppen, der modtog Ziagen (5 CDC -klassificering C -begivenheder og 3 dødsfald) og 5 forsøgspersoner (2%) på Zidovudine -armen (3 CDC -klassificering C -begivenheder og 2 dødsfald) oplevede klinisk sygdomsprogression.
CNA3005 var et multicenter dobbeltblindt kontrolleret forsøg, hvor 562 HIV-1-inficerede terapi-naive voksne blev randomiseret til at modtage enten Ziagen (300 mg to gange dagligt) plus combivir (Lamivudine 150 mg/zidovudine 300 mg to gange dagligt) eller indinavir (800 mg 3 gange om dagen) plus Combivir to gange dagligt. Forsøget blev stratificeret ved randomisering ved pre-entry plasma HIV-1 RNA 10000 til 100000 kopier pr. Ml og plasma HIV-1 RNA større end 100000 eksemplarer pr. Ml. Forsøgsdeltagere var mandlige (87%) hvide (73%) sort (15%) og latinamerikanske (9%). Ved baseline var medianalderen 36 år; Median baseline CD4 -celletælling var 360 celler pr. Mm 3 og median baseline plasma hiv-1 RNA var 4,8 log 10 Kopier pr. Ml. Proportioner af personer med plasma-HIV-1 RNA mindre end 400 eksemplarer pr. Ml (ved hjælp af Roche Amplicor HIV-1-skærmtest) gennem 48 ugers behandling er sammenfattet i tabel 8.
Tabel 8. Resultater af randomiseret behandling gennem uge 48 (CNA3005)
| Resultat | Ziagen plus lamivudin/ zidovudin (n = 262) | Indinavir plus lamivudin/ zidovudin (n = 265) |
| Responder a | 49% | 50% |
| Virologisk fiasko b | 31% | 28% |
| Ophørt på grund af bivirkninger | 10% | 12% |
| Ophørt på grund af andre grunde c | 11% | 10% |
| a Personer opnåede og vedligeholdt bekræftet HIV-1 RNA mindre end 400 eksemplarer pr. Ml. b Inkluderer viral rebound og manglende opnåelse af bekræftede mindre end 400 eksemplarer pr. Ml i uge 48. c Inkluderer trukket samtykke tabt for at følge op på protokolovertrædelser dem med manglende klinisk progression og andet. |
Behandlingsrespons ved plasma-HIV-1 RNA-strata er vist i tabel 9.
Tabel 9. Proportioner af respondenter gennem uge 48 ved screening af plasma HIV-1 RNA-niveauer (CNA3005)
| Screening HIV-1 RNA (kopier/ml) | Ziagen plus lamivudin /zidovudin (n = 262) | Indinavir plus lamivudin /zidovudin (n = 265) | ||
| <400 copies/mL | n | <400 copies/mL | n | |
| ≥10000 --≤100000 | 50% | 166 | 48% | 165 |
| > 100000 | 48% | 96 | 52% | 100 |
Hos personer med baseline viral belastning over 100000 eksemplarer pr. ML-procentdel af personer med HIV-1 RNA-niveauer mindre end 50 kopier pr. Ml var 31% i gruppen, der modtog abacavir mod 45% i gruppen, der modtog Indinavir.
Gennem uge 48 En samlet gennemsnitlig stigning i CD4 -celletælling på ca. 150 celler pr. Mm 3 blev observeret i begge behandlingsarme. Gennem uge 48 9 forsøgspersoner (NULL,4%) i gruppen, der modtog Abacavir (6 CDC -klassificering C -begivenheder og 3 dødsfald) og 3 forsøgspersoner (NULL,5%) i gruppen, der modtog Indinavir (2 CDC -klassificering C -begivenheder og 1 død) oplevede klinisk sygdomsprogression.
CNA30021 var et internationalt multicenter dobbeltblindt kontrolleret forsøg, hvor 770 HIV-1– inficerede terapi-naive voksne blev randomiseret og modtaget enten abacavir 600 mg en gang dagligt eller abacavir 300 mg to gange dagligt både i kombination med lamivudin 300 mg en gang dagligt og efavirenz 600 mg en gang dagligt. Den dobbeltblinde behandlingsvarighed var mindst 48 uger. Forsøgsdeltagere havde en gennemsnitlig alder på 37 år; var mandlige (81%) hvide (54%) sort (27%) og amerikansk latinamerikansk (15%). Median baseline CD4 -celletælling var 262 celler pr. Mm 3 (Område: 21 til 918 celler pr. mm 3 ) og median baseline plasma hiv-1 RNA var 4,89 log 10 Kopier pr. Ml (rækkevidde: 2,60 til 6,99 log 10 Kopier pr. Ml).
Resultaterne af randomiseret behandling findes i tabel 10.
Tabel 10. Resultater af randomiseret behandling gennem uge 48 (CNA30021)
| Resultat | Dages 600 mg q.d. plus egivir plus efavirance (n = 384) | Ziagen 300 mg B.I.D. plus epivir plus efavirenz (n = 386) |
| Responder a | 64% (71%) | 65% (72%) |
| Virologisk fiasko b | 11% (5%) | 11% (5%) |
| Ophørt på grund af bivirkninger | 13% | 11% |
| Ophørt på grund af andre grunde c | 11% | 13% |
| a Personer opnåede og vedligeholdt bekræftet HIV-1 RNA mindre end 50 eksemplarer pr. Ml (mindre end 400 eksemplarer pr. Ml) til uge 48 (Roche Amplicor ultrasensitive HIV-1 Monitor Standard Test version 1.0). |
Efter 48 ugers terapi var median CD4 -celletællingen fra baseline 188 celler pr. Mm 3 i gruppen, der modtager abacavir 600 mg en gang dagligt og 200 celler pr. mm 3 i gruppen, der modtager abacavir 300 mg to gange dagligt. Gennem uge 48 6 forsøgspersoner (2%) i gruppen, der modtog Ziagen 600 mg en gang dagligt (4 CDC -klassificering C -begivenheder og 2 dødsfald) og 10 forsøgspersoner (3%) i gruppen, der modtog Ziagen 300 mg to gange dagligt (7 CDC -klassificering C -begivenheder og 3 dødsfald) oplevede klinisk sygdomsprogression. Ingen af dødsfaldene blev tilskrevet forsøgsmedicin.
Pædiatriske forsøg
Terapi-erfarne pædiatriske personer
CNA3006 var et randomiseret dobbeltblindt forsøg, der sammenlignede ziagen 8 mg pr. Kg to gange dagligt plus lamivudin 4 mg pr. Kg to gange dagligt plus zidovudine 180 mg pr. M 2 To gange dagligt mod lamivudin 4 mg pr. Kg to gange dagligt plus zidovudine 180 mg pr. m 2 to gange dagligt. To hundrede og fem terapi-erfarne pædiatriske personer blev tilmeldt: Kvinde (56%) Hvid (17%) sort (50%) spansktalende (30%) median alder på 5,4 års baseline CD4-celle Procent større end 15%(median = 27%) og median baselineplasma HIV-1 RNA på 4,6 4 10 Kopier pr. Ml. Otte procent og 55% af forsøgspersonerne havde tidligere terapi med henholdsvis zidovudin og lamivudin oftest i kombination. Den medianvarighed af tidligere nukleosidanalogbehandling var 2 år. Efter 16 uger var andelen af forsøgspersoner, der reagerede baseret på plasma-HIV-1 RNA mindre end eller lig med 400 eksemplarer pr. Ml, signifikant højere hos forsøgspersoner, der modtog Ziagen plus lamivudin plus zidovudin sammenlignet med forsøgspersoner, der modtog lamivudin plus zidovudin 13% mod henholdsvis 2%. Median plasma HIV -1 RNA -ændringer fra baseline var -0,53 log 10 Kopier pr. Ml i gruppen, der modtager Ziagen plus lamivudin plus zidovudin sammenlignet med -0,21 log 10 Kopier pr. Ml i gruppen, der modtager lamivudin plus zidovudin. Median CD4 -celletælling stiger fra baseline var 69 celler pr. Mm 3 i gruppen, der modtager Ziagen plus lamivudin plus zidovudin og 9 celler pr. mm 3 i gruppen, der modtager lamivudin plus zidovudin.
En gang dagligt dosering
Arrow (COL105677) var et 5-årigt randomiseret multicenterforsøg, der vurderede flere aspekter af klinisk håndtering af HIV-1-infektion hos pædiatriske personer. HIV-1-inficerede behandlingsnaive forsøgspersoner i alderen 3 måneder til 17 år blev tilmeldt og behandlet med et førstelinjesegime indeholdende Ziagen og Lamivudine doserede to gange dagligt i henhold til Verdenssundhedsorganisationsanbefalinger. Efter mindst 36 ugers behandlingsemner fik emner mulighed for at deltage i randomisering 3 af piletforsøget, der sammenlignede sikkerheden og effektiviteten af dosering af en gang dagligt med dosering af to gange dagligt af Ziagen og lamivudin i kombination med et tredje antiretroviralt lægemiddel i yderligere 96 uger. Af de 1206 originale pilemner deltog 669 i randomisering 3. virologisk undertrykkelse var ikke et krav til deltagelse ved baseline for randomisering 3 (efter mindst 36 uger med to gange dagligt behandling) 75% af emner i den to-daglige kohort blev virologisk undertrykt sammenlignet med 71% af fagene i den engang daglige kohort.
Proportionerne af forsøgspersoner med HIV-1 RNA mindre end 80 eksemplarer pr. Ml gennem 96 uger er vist i tabel 11. Forskellene mellem virologiske responser i de to behandlingsarme var sammenlignelige på tværs af baselineegenskaber for køn og alder.
Tabel 11. Virologisk resultat af randomiseret behandling i uge 96 a (Arrow randomisering 3)
| Resultat | Ziagen plus lamivudin dosering to gange dagligt (n = 333) | Ziagen plus lamivudin en gang daglig dosering (n = 336) |
| Hiv-1 RNA <80 copies/mL b | 70% | 67% |
| Hiv-1 RNA ≥80 copies/mL c | 28% | 31% |
| Ingen virologiske data | ||
| 1% | <1% | |
| d | 0% | <1% |
| 1% | 1% | |
| a Analyser var baseret på de sidst observerede virale belastningsdata inden for uge 96 -vinduet. b Forudsiget forskel (95% CI) af svarprocenten er -4,5% (-11% til 2%) i uge 96. c Inkluderer forsøgspersoner, der ophørte på grund af mangel eller tab af effektivitet eller af andre årsager end en bivirkning eller død, og som havde en viral belastningsværdi på større end eller lig med 80 eksemplarer pr. Ml eller personer, der havde en switch i baggrundsregime, som ikke var tilladt af protokollen. d Andet inkluderer grunde, såsom trak samtykketab til opfølgning osv. Og den sidste tilgængelige HIV-1 RNA mindre end 80 eksemplarer pr. Ml (eller mangler). |
Patientinformation til Ziagen
Kø
(Zy-uh-jen)
(abacavir) tabletter til mundtlig brug
Kø
(Zy-uh-jen)
(Abacavir) Oral opløsning
Hvad er de vigtigste oplysninger, jeg skal vide om Ziagen?
Kø can cause serious side effects including:
Hvis du får et symptom fra 2 eller flere af følgende grupper, mens du tager Ziagen, skal du ringe til din sundhedsudbyder med det samme for at finde ud af, om du skulle stoppe med at tage Ziagen.
| Symptom (er) | |
| Gruppe 1 | Feber |
| Gruppe 2 | Udslæt |
| Gruppe 3 | Kvalme opkast diarrhea abdominal (stomach area) pain |
| Gruppe 4 | Generelt dårligt at føle ekstrem træthed eller ømme |
| Gruppe 5 | Åndenød hoste ondt i halsen |
En liste over disse symptomer er på det advarselskort, som din farmaceut giver dig. Bær dette advarselskort med dig på alle tidspunkter.
Hvis du stopper Ziagen på grund af en allergisk reaktion, skal du aldrig tage Ziagen (abacavir) eller nogen anden abacavir-holdig medicin (Epzicom Triumeq eller Trizivir) igen.
- Alvorlige allergiske reaktioner (overfølsomhedsreaktion) Det kan forårsage, at død er sket med Ziagen og andre abacavir-holdige produkter. Din risiko for denne allergiske reaktion er meget højere, hvis du har en genvariation kaldet HLA-B*5701. Din sundhedsudbyder kan bestemme med en blodprøve, hvis du har denne genvariation.
- Hvis du har en allergisk reaktion, skal du bortskaffe nogen ubrugt Ziagen. Spørg din farmaceut, hvordan du korrekt bortskaffer medicin.
- Hvis du tager Ziagen eller en anden abacavir-indeholdende medicin igen, når du har haft en allergisk reaktion inden for få timer, kan du få Livstruende symptomer der kan omfatte Meget lavt blodtryk eller død.
- Hvis du stopper Ziagen af nogen anden grund, selv i et par dage, og du er ikke allergisk over for Ziagen, skal du tale med din sundhedsudbyder, før du tager den igen. At tage Ziagen igen kan forårsage en alvorlig allergisk eller livstruende reaktion, selvom du aldrig havde en allergisk reaktion på den før.
Hvis din sundhedsudbyder fortæller dig, at du kan tage Ziagen igen begynde at tage det, når du er i nærheden af medicinsk hjælp eller personer, der kan ringe til en sundhedsudbyder, hvis du har brug for en.
Hvad er Ziagen?
Kø is a prescription Hiv-1 (Human Immunodeficiency Virus type 1) medicine used with other antiretroviral medicines to treat Hiv-1 infection. Hiv-1 is the virus that causes Acquired Immune Deficiency Syndrome (AIDS).
Sikkerheden og effektiviteten af Ziagen er ikke blevet fastlagt hos børn under 3 måneders alder.
Når det bruges sammen med andre antiretrovirale lægemidler til behandling af HIV-1-infektion, kan Ziagen hjælpe:
- Reducer mængden af HIV-1 i dit blod. Dette kaldes viral belastning.
- Forøg antallet af CD4 (t) celler i dit blod, der hjælper med at bekæmpe andre infektioner.
At reducere mængden af HIV-1 og øge cd4 (t) celler i dit blod kan hjælpe med at forbedre dit immunsystem. Dette kan reducere din risiko for død eller få infektioner, der kan ske, når dit immunsystem er svagt (opportunistiske infektioner).
Kø does not cure Hiv-1 infection or AIDS. Du skal fortsætte med at tage HIV-1-medicin for at kontrollere HIV-1-infektion og mindske HIV-relaterede sygdomme.
Hvem skal ikke tage Ziagen?
Tag ikke Ziagen, hvis du:
- Har en bestemt type genvariation kaldet HLA-B*5701-allelen. Din sundhedsudbyder vil teste dig for dette, inden du ordinerer behandling med Ziagen.
- er allergiske over for abacavir eller nogen af ingredienserne i Ziagen. Se slutningen af denne medicinvejledning for en komplet liste over ingredienser i Ziagen.
- har leverproblemer.
Hvad skal jeg fortælle min sundhedsudbyder, før jeg tager Ziagen?
Før du tager Ziagen, fortæl din sundhedsudbyder, hvis du:
Graviditetsregister. Der er et graviditetsregister for kvinder, der tager antiretrovirale medicin under graviditet. Formålet med dette register er at indsamle oplysninger om sundheden for dig og din baby. Tal med din sundhedsudbyder om, hvordan du kan deltage i dette register.
- er blevet testet og ved, om du har en bestemt genvariation kaldet HLA-B*5701.
- har eller har haft leverproblemer inklusive hepatitis B- eller C -virusinfektion.
- Har hjerteproblemer røg eller har sygdomme, der øger din risiko for hjertesygdom, såsom højt blodtryk højt kolesterol eller diabetes.
- Drik alkohol eller tag medicin, der indeholder alkohol.
- er gravide eller planlægger at blive gravid. Tal med din sundhedsudbyder, hvis du er gravid eller planlægger at blive gravid.
- er amning eller planlægger at amme. Amm ikke, hvis du tager Ziagen.
- Du bør ikke amme, hvis du har HIV-1 på grund af risikoen for at videregive HIV-1 til din baby.
Fortæl din sundhedsudbyder om alle de medicin, du tager inklusive receptpligtige og over-counter medicin vitaminer og urtetilskud.
Nogle medicin interagerer med Ziagen. Opbevar en liste over dine medicin for at vise din sundhedsudbyder og apotek. Du kan bede din sundhedsudbyder eller farmaceut om en liste over medicin, der interagerer med Ziagen. Begynd ikke at tage en ny medicin uden at fortælle din sundhedsudbyder. Din sundhedsudbyder kan fortælle dig, om det er sikkert at tage Ziagen med andre medicin.
Fortæl din sundhedsudbyder, hvis du tager:
- Enhver anden medicin til behandling af HIV-1
- metadon
- riociguat
Hvordan skal jeg tage Ziagen?
- Tag Ziagen nøjagtigt, som din sundhedsudbyder fortæller dig.
- Skift ikke din dosis eller stop med at tage Ziagen uden at tale med din sundhedsudbyder. Hvis du går glip af en dosis af Ziagen, skal du tage den, så snart du husker det. Tag ikke 2 doser på samme tid. Hvis du ikke er sikker på din dosering, skal du ringe til din sundhedsudbyder.
- Bliv under pleje af en sundhedsudbyder, mens du tager Ziagen.
- Kø may be taken with or without food.
- For børn i alderen 3 måneder og ældre vil din sundhedsudbyder ordinere en dosis Ziagen baseret på dit barns kropsvægt.
- Fortæl din sundhedsudbyder, om du eller dit barn har problemer med at sluge tabletter. Ziagen kommer som en tablet eller som en væske (oral opløsning).
- Kør ikke tør for Ziagen. Virussen i dit blod kan stige, og virussen kan blive sværere at behandle. Når din forsyning begynder at løbe tør, skal du få mere fra din sundhedsudbyder eller apotek.
- Hvis du tager for meget Ziagen, skal du ringe til din sundhedsudbyder eller gå til det nærmeste hospitalets akutrum med det samme.
Hvad er de mulige bivirkninger af Ziagen?
Det kan være mere sandsynligt, at du får mælkesyreasyre eller alvorlige leverproblemer, hvis du er kvindelig eller meget overvægtig (fede).
- Kø can cause serious side effects including:
- Se hvad er de vigtigste oplysninger, jeg skal vide om Ziagen?
- Opbygning af syre i dit blod (mælkesyreasis). Mælkesyreose kan ske hos nogle mennesker, der tager Ziagen. Lactic acidosis er en alvorlig medicinsk nødsituation, der kan forårsage død. Ring til din sundhedsudbyder med det samme, hvis du får nogen af følgende symptomer, der kan være tegn på mælkesyreose:
- Føl dig meget svag eller træt
- føler dig kold, især i dine arme og ben
- Usædvanlige (ikke normale) muskelsmerter
- Føl dig svimmel eller let
- problemer med at trække vejret
- har en hurtig eller uregelmæssig hjerteslag
- mavesmerter med kvalme og opkast
- Alvorlige leverproblemer Kan ske hos mennesker, der tager Ziagen. I nogle tilfælde kan disse alvorlige leverproblemer føre til død. Din lever kan blive stor (hepatomegaly), og du kan udvikle fedt i din lever (steatosis), når du tager Ziagen. Ring til din sundhedsudbyder med det samme, hvis du har nogen af følgende tegn på leverproblemer:
- Din hud eller den hvide del af dine øjne bliver gul ( gulsot )
- Tab af appetit for several days or longer
- kvalme
- Mørk eller te-farvet urin
- Smerter ømme eller ømhed på højre side af dit maveområde
- Lysfarvede afføring (tarmbevægelser)
- Ændringer i dit immunsystem (immunrekonstitutionssyndrom) Kan ske, når du begynder at tage HIV-1-medicin. Dit immunsystem kan blive stærkere og begynde at bekæmpe infektioner, der er skjult i din krop i lang tid. Fortæl din sundhedsudbyder med det samme, hvis du begynder at have nye symptomer, når du begynder at tage Ziagen.
- Hjerteanfald (myokardieinfarkt). Nogle HIV-1-medicin inklusive Ziagen kan øge din risiko for hjerteanfald .
De mest almindelige bivirkninger af Ziagen hos voksne inkluderer:
- kvalme
- træthed
- hovedpine
- opkast
- Generelt føles ikke godt
- Dårlige drømme eller søvnproblemer
De mest almindelige bivirkninger af Ziagen hos børn inkluderer:
- feber og kulderystelser
- udslæt
- kvalme
- øre næse eller halsinfektioner
- opkast
Fortæl din sundhedsudbyder, hvis du har nogen bivirkning, der generer dig, eller som ikke forsvinder.
Dette er ikke alle de mulige bivirkninger af Ziagen. For mere information, spørg din sundhedsudbyder eller apotek. Ring til din læge for medicinsk rådgivning om bivirkninger. Du kan rapportere bivirkninger til FDA på 1-800-FDA-1088.
Hvordan skal jeg opbevare Ziagen?
- Opbevar Ziagen ved stuetemperatur mellem 68 ° F til 77 ° F (20 ° C til 25 ° C).
- Frys ikke Ziagen -oral opløsning. Du kan opbevare Ziagen -oral opløsning i et køleskab.
Hold Ziagen og alle medicin uden for børns rækkevidde.
Generel information til sikker og effektiv brug af Ziagen
Medicin er undertiden ordineret til andre formål end dem, der er anført i en medicinguide. Brug ikke Ziagen til en betingelse, som den ikke blev ordineret til. Giv ikke Ziagen til andre mennesker, selvom de har de samme symptomer, som du har. Det kan skade dem.
Hvis du gerne vil have flere oplysninger, skal du tale med din sundhedsudbyder. Du kan bede din sundhedsudbyder eller farmaceut om informationen om Ziagen, der er skrevet til sundhedspersonale.
For mere information, gå til www.ziagen.com eller ring 1-877-844-8872.
Hvad er ingredienserne i Ziagen?
Aktiv ingrediens: Abacavir
Inaktive ingredienser:
Tabletter: Kolloidal siliciumdioxidmagnesiumstearatmikrokrystallinsk cellulose og natriumstivelse glycolat.
Tabletfilmbelægning indeholder: hypromellose polysorbat 80 syntetisk gul jernoxid titandioxid og triacetin.
Oral opløsning: Kunstig jordbær og banansmag med citronsyre (vandfri) methylparaben og propylparaben (tilsat som konserveringsmidler) propylenglycol saccharin natriumnatriumcitrat (dihydrat) sorbitolopløsning og vand.
Denne medicinguide er godkendt af U.S. Food and Drug Administration.