Oplysningerne På Webstedet Er Ikke Medicinsk Rådgivning. Vi Sælger Ikke Noget. Nøjagtigheden Af Oversættelsen Er Ikke Garanteret. Ansvarsfraskrivelse
Antineoplastics, anthracyclin
Adriamycin Pfs
Resume af lægemiddeloversigt
Hvad er Adriamycin PFS?
Adriamycin PFS (doxorubicinhydrochlorid) injektion er en kræft (antineoplastisk) medicin, der bruges til behandling af mange typer kræft. Mærkenavnet Adriamycin PFS er afbrudt i de amerikanske generiske former kan være tilgængelige.
Hvad er bivirkninger af Adriamycin PFS?
Adriamycin PFS kan forårsage alvorlige bivirkninger, herunder:
- svimmelhed
- kvalme
- Lightheadedness
- sved
- hovedpine
- brysttæthed
- Rygsmerter
- problemer blødning
- Hævelse i dit ansigt
- Smerter blærer eller hudsår, hvor injektionen blev givet
- Ubesvarede menstruationsperioder
- Let blå mærker
- Usædvanlig blødning (næsemundvagina eller endetarm)
- lilla eller røde præciser på din hud
- feber
- hævede tandkød
- Smertefulde mundsår
- Smerter ved slukning
- Hudsår
- kolde eller influenza symptomer
- hoste
- problemer med at trække vejret
- Hurtige hjerteslag
- åndenød
- svaghed og
- hævelse i dine ankler eller fødder
Få medicinsk hjælp med det samme, hvis du har nogen af de symptomer, der er anført ovenfor.
Almindelige bivirkninger af adriamycin PFS (doxorubicinhydrochlorid) inkluderer:
- kvalme og opkast (may be severe)
- diarre
- Tab af appetit
- Ubesvarede menstruationsperioder
- mørkning af din hud eller negle
- svaghed
- træthed
- øjenrødhed eller
- Puffy øjenlåg.
Adriamycin PFS (doxorubicinhydrochlorid) kan give en rødlig farve til urin tårer og sved, der kan vare op til flere dage. Dette er en normal bivirkning af Adriamycin PFS (doxorubicinhydrochlorid) og bør ikke forveksles med blod i din urin. Midlertidigt hårtab kan forekomme. Normal hårvækst skal vende tilbage efter behandling med Adriamycin PFS er afsluttet. Fortæl din læge, hvis du har alvorlige bivirkninger af Adriamycin PFS inklusive:
Hvordan fungerer et saltvand
- hoste
- heshed
- Vedvarende diarré
- rødme
- Skylning af ansigt
- Øjen kløe
- usædvanlig træthed
- ledssmerter
- Smerter i korsryggen/side/mave/mave
- Smertefuld eller vanskelig vandladning
- Sort/tarry afføring
- blodig slim eller udflod i afføring
- Hurtig eller uregelmæssig hjerteslag
- åndenød
- svimmelhed
- hævelse af ankler eller fødder eller
- nedsat vandladning.
Søg medicinsk behandling eller ring 911 på én gang, hvis du har følgende alvorlige bivirkninger:
- Alvorlige øjensymptomer såsom pludseligt synstab sløret synet tunnel vision øje smerter eller hævelse eller at se haloer omkring lys;
- Alvorlige hjertesymptomer såsom hurtig uregelmæssige eller bankende hjerteslag; flagrende i brystet; åndenød; og pludselig svimmelhed letthed eller udlevering;
- Alvorlig hovedpine forvirring sløret talearm eller ben svaghed problemer med at gå tab af koordination føles ustabil meget stive muskler høj feber voldsom sved eller rysten.
Dette dokument indeholder ikke alle mulige bivirkninger, og andre kan forekomme. Kontakt din læge for yderligere oplysninger om bivirkninger.
Dosering til Adriamycin PFS
Doxorubicin gives intravenøst under lægeovervågning. Dosis bestemmes af kliniske faktorer.
Hvilke lægemiddelstoffer eller kosttilskud interagerer med Adriamycin PFS?
Fortæl din læge, hvis du har haft tidligere behandling med doxorubicin doxorubicin liposomal daunorubicin daunorubicin liposomal idarubicin eller mitoxantron.
Adriamycin PFS under graviditet og amning
Doxorubicin kan interagere med paclitaxel progesteron verapamil cyclosporin cyclophosphamid phenobarbital phenytoin streptozocin eller 'levende' vacciner. Fortæl din læge alle medicin, du bruger. Doxorubicin anbefales ikke til brug under graviditet. Det kan skade et foster. Mænd og kvinder bør bruge to former for fødselsbekæmpelse (f.eks. Kondomer og p -piller), mens de behandles med denne medicin og i nogen tid bagefter. Konsulter din læge for at diskutere prævention. Denne medicin passerer ind i modermælk. På grund af den potentielle risiko for spædbarnets amning, mens dette lægemiddel ikke anbefales.
Yderligere oplysninger
Vores Adriamycin PFS (doxorubicinhydrochlorid) bivirkninger Drug Center giver et omfattende overblik over tilgængelige lægemiddelinformation om de potentielle bivirkninger, når du tager denne medicin.
FDA -lægemiddelinformation
- Lægemiddelbeskrivelse
- Indikationer
- Bivirkninger
- Lægemiddelinteraktioner
- Advarsler
- Overdosis
- Klinisk farmakologi
- Medicin vejledning
ADVARSEL
Kardiomyopati sekundære maligniteter ekstravasation og vævsnekrose og svær myelosuppression
- Kardiomyopati: Myokardskade kan forekomme med doxorubicin med forekomster fra 1% til 20% for kumulative doser fra 300 mg/m² til 500 mg/m², når doxorubicin administreres hver 3. uge. Risikoen for kardiomyopati øges yderligere med samtidig kardiotoksisk terapi. Vurder venstre ventrikulær ejektionsfraktion (LVEF) før og regelmæssigt under og efter behandling med doxorubicin.
- Sekundære maligniteter: Sekundær akut myelogen leukæmi (AML) og Myelodys Plastik syndrom (MDS) forekommer ved en højere forekomst hos patienter behandlet med Anthracycliner inklusive doxorubicin.
- Ekstravasation og vævsnekrose: Ekstravasation af doxorubicin kan resultere i alvorlig lokal vævsskade og nekrose, der kræver bred excision og hudtransplantation. Afslut straks lægemidlet og påfør is på det berørte område.
- Alvorlig myelosuppression, hvilket resulterer i alvorligt krav til infektion, septisk chok for transfusioner hospitalisering og død kan forekomme.
Beskrivelse til Adriamycin PFS
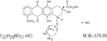
Doxorubicin er en cytotoksisk anthracyclin antibiotikum isoleret fra kulturer af Streptomyces peucetius vores. Caesius . Doxorubicin består af en naphthacenquinon -kerne knyttet gennem en glycosidisk binding ved ringatom 7 til en aminosukker daunosamin. Kemisk doxorubicinhydrochlorid IS (8S10S) -10-[(3- amino-236-trideoxy-a-l-lyxo-hexopyranosyl) -oxy] -8-glycoloyl-78910-tetrahydro- 6811-trihydroxy-1-methoxy-512-naphthenedionehydrochloHloHloid. Den strukturelle formel er som følger:
|
Doxorubicin binder til nukleinsyrer formodentlig ved specifik interkalisering af den plane anthracyclin -kerne med DNA -dobbelt helix. Anthracyclinringen er lipofil, men den mættede ende af ringsystemet indeholder rigelige hydroxylgrupper ved siden af aminosukkeret, der producerer et hydrofilt center. Molekylet er amfoterisk, der indeholder sure funktioner i ringfenolgrupperne og en grundlæggende funktion i sukkeraminogruppen. Det binder til cellemembraner såvel som plasmaproteiner.
Det leveres i hydrochloridformen som en steril rød-orange lyofiliseret pulver indeholdende laktose og som en steril parenteral isotonisk opløsning med natriumchlorid til intravenøs anvendelse.
Adriamycin (doxorubicin HCl) til injektion USP
Hver 10 mg lyofiliseret hætteglas indeholder 10 mg doxorubicinhydrochlorid USP og 50 mg lactose -monohydrat NF.
Hver 50 mg lyofiliseret hætteglas indeholder 50 mg doxorubicinhydrochlorid USP og 250 mg lactose monohydrat NF.
Bruger til Adriamycin PFS
Adjuvans brystkræft
Adriamycin (doxorubicin HCL) til injektion USP er angivet som en komponent i multi-agent adjuvans kemoterapi til behandling af kvinder med aksillær lymfeknudeinddragelse efter resektion af primær brystkræft [se Kliniske studier ].
Andre kræftformer
Doxorubicin er indikeret til behandling af
- Akut lymfoblastisk leukæmi
- Akut myeloblastisk leukæmi
- Hodgkin lymfom
- Ikke-Hodgkin lymfom (NHL)
- Metastatisk brystkræft
- Metastatiske Wilms 'tumor
- Metastatisk neuroblastom
- Metastatisk bløddelssarkom
- Metastatisk knoglesarkom
- Metastatisk ovariecarcinom
Dosering til Adriamycin PFS
Anbefalet dosis
Adjuvans brystkræft
Den anbefalede dosis doxorubicin er 60 mg/m² administreret som en intravenøs bolus på dag 1 af hver 21 dages behandlingscyklus i kombination med cyclophosphamid i alt fire cykler [se Kliniske studier ].
Metastatisk sygdom leukæmi eller lymfom
Den anbefalede dosis doxorubicin, når det bruges som enkelt middel, er 60 til 75 mg/m² intravenøst hver 21. dag.
Den anbefalede dosis doxorubicin, når den administreres i kombination med andre kemoterapimedicin, er 40 til 75 mg/m² intravenøst hver 21. til 28 dage.
Overvej anvendelse af den nedre doxorubicin -dosis i det anbefalede dosisområde eller længere intervaller mellem cyklusser for stærkt forbehandlede patienter ældre patienter eller overvægtige patienter.
Kumulative doser over 550 mg/m² er forbundet med en øget risiko for kardiomyopati [se ADVARSELS AND FORHOLDSREGLER ].
Dosisændringer
Nedskrivning af hjerte
Afbryd doxorubicin hos patienter, der udvikler tegn eller symptomer på kardiomyopati.
Leverskrivning i leveren
Doxorubicin er kontraindiceret hos patienter med alvorlig leverfunktion (børnepugh klasse C eller serum bilirubin> 5,0 mg/dl) [se Kontraindikationer ].
Reducer dosis af doxorubicin hos patienter med forhøjet serum samlede bilirubinkoncentrationer som følger:
| Serum bilirubin -koncentration | Doxorubicin -dosisreduktion |
| 1,2 til 3 mg/dl | 50 % |
| 3.1 til 5 mg/dl | 75 % |
| større end 5 mg/dl | Initier ikke doxorubicin afbryder doxorubicin |
[se ADVARSELS AND FORHOLDSREGLER og Brug i specifik befolkning ]
Forberedelse og administration
Fremstilling eller adriamycin (doxorubicin HCl) til injektion USP;
Rekonstitueret doxorubicinhydrochlorid til injektion med 0,9% natriumchloridinjektion for at opnå en slutkoncentration på 2 mg pr. Ml som følger:
- 5 ml 0,9% natriumchloridinjektion til rekonstitueret 10 mg doxorubicin HCL hætteglas
- 25 ml 0,9% natriumchloridinjektion til rekonstitueret 50 mg doxorubicin HCL hætteglas
Ryst forsigtigt hætteglas, indtil indholdet er opløst.
Beskyt rekonstitueret løsning mod lys.
Administration
Undersøg visuelt parenterale lægemiddelprodukter for partikler og misfarvning inden administration hver gang løsning og containertilladelse. Kasser, hvis opløsningen er misfarvet overskyet eller indeholder partikler.
Opbevaring af hætteglas af Adriamycin (doxorubicin HCl) til injektion USP efter rekonstitution under kølet forhold kan resultere i dannelsen af et geleret produkt. Placer geleret produkt ved stuetemperatur [15 ° til 30 ° C (59 ° til 86 ° F)] i 2 til 4 timer for at returnere produktet til en lidt viskøs mobilopløsning.
Administration By Intravenous Injection
- Administrer doxorubicin som en intravenøs injektion gennem en central intravenøs linje eller en sikker og fritflydende perifer venøs linje indeholdende 0,9% natriumchloridinjektion 0,45% natriumchloridinjektion eller 5% dextroseinjektion.
- Administrer doxorubicin intravenøst over 3 til 10 minutter. Reducer hastigheden af doxorubicin -administration, hvis erythematøs streg langs venen proximal til stedet for infusion eller ansigtsskylning forekommer.
Administration By Continuous Intravenous Infusion
- Tilfør kun gennem et centralt kateter. Reducer hastigheden af doxorubicin -administration, hvis erythematøs streg langs venen proximal til stedet for infusion eller ansigtsskylning forekommer.
- Beskyt mod lys mod forberedelse til infusion til afslutning af infusion.
Håndtering af mistænkt ekstravasation
Afbryd doxorubicin til forbrænding eller stikkende fornemmelse eller andre beviser, der indikerer perivenous infiltration eller ekstravasation. Administrer bekræftet eller mistænkt ekstravasation som følger:
- Fjern ikke nålen, før der er forsøgt at aspirere ekstravaseret væske.
- Skyl ikke linjen.
- Undgå at anvende pres på webstedet.
- Påfør is på stedet med mellemrum i 15 minutter 4 gange om dagen i 3 dage.
- Hvis ekstravasationen er i en ekstremitet, hæver ekstremiteten.
- Hos voksne overvej administration af dexrazoxan [se ADVARSELS AND FORHOLDSREGLER ].
Inkompatibilitet med andre stoffer
Bed ikke doxorubicin med andre lægemidler. Hvis doxorubicin blandes med heparin eller fluorouracil, kan et bundfald dannes. Undgå kontakt med alkaliske opløsninger, der kan føre til hydrolyse af doxorubicin.
Procedurer til korrekt håndtering og bortskaffelse
Håndtering og bortskaffelse af doxorubicin, der er i overensstemmelse med anbefalinger til håndtering og bortskaffelse af farlige stoffer. 1
Behandl utilsigtet kontakt med huden eller øjnene straks ved rigelig skylning med vand eller sæbe og vand eller natriumbicarbonatopløsning. Slam ikke huden ved at bruge en kratbørste. Søg lægehjælp.
Hvor leveret
Doseringsformularer og styrker
Adriamycin (doxorubicin HCl) til injektion USP: hætteglas indeholder 10 mg og 50 mg doxorubicinhydrochlorid som et rød-orange lyofiliseret pulver.
Opbevaring og håndtering
Adriamycin (doxorubicin HCI) til injektion USP leveres som en steril rød-orange lyofiliseret pulver i enkeltdosis flip-top hætteglas i følgende pakkestyrker:
NDC 0143-9275-01: 10 mg hætteglas; individuelt bokset.
NDC 0143-9277-01: 50 mg hætteglas; individuelt bokset.
anfaldsmedicin
Opbevar alle hætteglas ved 20 ° til 25 ° C (68 ° til 77 ° F) [Se USP -kontrolleret stuetemperatur ]. Protect from light. Retain in carton until time of use. Discard unused portion.
Rekonstitueret løsningsstabilitet
Efter tilsætning af fortyndingsmættet skal hætteglasset rystes, og indholdet får lov til at opløses. Den rekonstituerede opløsning er stabil i 7 dage ved stuetemperatur og under normalt rumlys (100 fodcandles) og 15 dage under køling (2 ° til 8 ° C). Det skal beskyttes mod udsættelse for sollys. Kasser enhver ubrugt opløsning fra 10 mg og 50 mg enkelt dosis hætteglas.
Håndtering og bortskaffelse
Håndter og bortskaffer Adriamycin (doxorubicin HCl) til injektion USP i overensstemmelse med anbefalinger til håndtering og bortskaffelse af farlige lægemidler. 1
Referencer
1. farlige stoffer. OSHA. https://www.osha.gov/sltc/hazardousdrugs/index.html
Fremstillet af: Thymoorgan Pharmazie Gmbh Schiffgraben 23 38690 Goslar Tyskland. Distribueret af: West-Ward Pharmaceuticals Eatontown NJ 07724 USA. Revideret: mar
Bivirkninger for Adriamycin PFS
Følgende bivirkninger diskuteres mere detaljeret i andre sektioner af mærkningen.
- Cardiomyopati og arytmier [se ADVARSELS AND FORHOLDSREGLER ]
- Sekundære maligniteter [se ADVARSELS AND FORHOLDSREGLER ]
- Ekstravasation og vævsnekrose [se ADVARSELS AND FORHOLDSREGLER ]
- Alvorlig myelosuppression [se ADVARSELS AND FORHOLDSREGLER ]
- Tumorlysis syndrom [se ADVARSELS AND FORHOLDSREGLER ]
- Strålingssensibilisering og tilbagekaldelse af stråling [se ADVARSELS AND FORHOLDSREGLER ]
Klinisk forsøgsoplevelse i brystkræft
Fordi kliniske forsøg udføres under vidt forskellige tilstande, kan der ikke sammenlignes bivirkninger, der er observeret i de kliniske forsøg med et lægemiddel, ikke direkte med hastigheder i de kliniske forsøg med et andet lægemiddel og afspejler muligvis ikke de hastigheder, der er observeret i klinisk praksis.
Sikkerhedsdataene nedenfor blev indsamlet fra 1492 kvinder, der modtog doxorubicin i en dosis på 60 mg/m² og cyclophosphamid i en dosis på 600 mg/m² (AC) hver 3. uge i 4 cyklusser til adjuvansbehandling af axillær lymfeknudepositiv brystkræft. Det median antal modtagne cyklusser var 4. Udvalgte bivirkninger rapporteret i denne undersøgelse er tilvejebragt i tabel 1. Der blev ikke rapporteret om behandlingsrelaterede dødsfald hos patienter på nogen af undersøgelsens arm.
Tabel 1: Valgte bivirkninger hos patienter med tidlig brystkræft, der involverer axillære lymfeknuder
| Bivirkninger % af patienterne | Og* N = 1492 | Konventionel CMF N = 739 |
| Leukopeni | ||
| Grad 3 (1000 til 1999 /mm³) | 3.4 | 9.4 |
| Grad 4 ( <1000 /mm³) | 0.3 | 0.3 |
| Thrombocytopeni | ||
| Grad 3 (25000 til 49999 /mm³) | 0 | 0 |
| Grad 4 ( <25000 /mm³) | 0.1 | 3 0 |
| Chok sepsis | 2 | 1 |
| Systemisk infektion | 2 | 1 |
| Opkast | ||
| Opkast <12 hours | 34 | 25 |
| Opkast> 12 timer | 37 | 12 |
| Ufravigelig | 5 | 2 |
| Alopecia | 92 | 71 |
| Hjertedysfunktion | ||
| Asymptomatisk | 0.2 | 0.1 |
| Forbigående | 0.1 | 0 |
| Symptomatisk | 0.1 | 0 |
| * Inkluderer samlede data fra patienter, der modtog enten AC alene i 4 cyklusser, eller som blev behandlet med AC i 4 cyklusser efterfulgt af 3 cyklusser af CMF |
Oplevelse af postmarketing
Følgende bivirkninger er blevet identificeret under anvendelse af doxorubicin efter godkendelse af doxorubicin. Fordi disse reaktioner rapporteres frivilligt fra en population af usikker størrelse, er det ikke altid muligt at pålideligt estimere deres frekvens eller etablere et årsagsforhold til eksponering for lægemidler.
Hjerte - Kardiogent chok
Kutan - Hud- og neglehyperpigmentering Oncolysis Rash Kløe Fotosensitivitet Urticaria Acral Erythema Palmar plantar erythrodysestesi
Gastrointestinal - Kvalme slimhinde stomatitis nekrotiserende colitis typhlitis gastrisk erosioner gastrointestinal kanal blødning hæmatochezia esophagitis anorexia abdominal smerte dehydrering diarré hyperpigmentering af den orale slimhinde
Overfølsomhed - Anafylaksi
Laboratorie abnormaliteter - Forøget alaninaminotransferase øgede aspartataminotransferase
Neurologisk - Perifer sensorisk og motorisk neuropati anfald koma
Okulær - Konjunktivitis keratitis lacrimation
Vaskulær - PhleBosclerosis phlebitis/thrombophlebitis hetetokter tromboembolisme
Andet - Malse/asterien feber kulderystelser vægtøgning
Lægemiddelinteraktioner for Adriamycin PFS
Effekt af CYP3A4-inhibitorera-inducere og P-gp
Doxorubicin er et vigtigt substrat af cytochrome P450 CYP3A4 og CYP2D6 og P-glycoprotein (PGP). Der er rapporteret om klinisk signifikante interaktioner med hæmmere af CYP3A4 CYP2D6 og/eller P-gp (f.eks. Verapamil), hvilket resulterer i øget koncentration og klinisk virkning af doxorubicin. Inducerere af CYP3A4 (f.eks. Phenobarbital phenytoin St. John's Wort) og P-gp-inducere kan reducere koncentrationen af doxorubicin. Undgå samtidig brug af doxorubicin med hæmmere og inducerere af CYP3A4 CYP2D6 eller P-gp.
Trastuzumab
Samtidig brug af trastuzumab og doxorubicin resulterer i en øget risiko for hjerte -dysfunktion. Undgå samtidig administration af doxorubicin og trastuzumab. Det passende interval til administration af doxorubicin efter trastuzumab -terapi er ikke bestemt [se ADVARSELS AND FORHOLDSREGLER ].
Paclitaxel
Paclitaxel when given prior to doxorubicin increases the plasma-concentrations of doxorubicin og its metabolites. Administer doxorubicin prior to paclitaxel if used concomitantly.
Dexrazoxane
Administrer ikke dexrazoxan som et kardiobeskyttelsesmiddel ved påbegyndelsen af doxorubicin indeholdende kemoterapiregimer. I et randomiseret forsøg hos kvinder med metastatisk indledning af brystkræft af dexrazoxan med doxorubicin -baseret kemoterapi resulterede i en signifikant lavere tumorresponsrate (48% mod 63%; P = 0,007) og kortere tid til progression end hos kvinder, der modtog doxorubicinbaseret kemoterapi alene.
6-mercaptopurine
Doxorubicin kan forstærke 6-mercaptopurin-induceret hepatotoksicitet. Hos 11 patienter med ildfast leukæmi behandlet med 6-mercaptopurine (500 mg/m² intravenøst dagligt i 5 dage pr. Cyklus hver 2. til 3 uger) og doxorubicin (50 mg/m² intravenøs en gang pr. Cyklus hver 2 til 3 uger) alene eller med vincristine og prednison alt udviklet hepatisk dysfunktion, der blev manifætet ved at være samlet set i totalen i totalen i samlethederummet i samlethed i samlede udbredelser Alkalisk phosphatase og aspartataminotransferase.
Advarsler for Adriamycin PFS
Inkluderet som en del af FORHOLDSREGLER afsnit.
Forholdsregler for Adriamycin PFS
Kardiomyopati og arytmier
Kardiomyopati
Doxorubicin kan resultere i myocardial skade, herunder akut venstre ventrikulær svigt. Risikoen for kardiomyopati er generelt proportional med den kumulative eksponering. Medtag tidligere doser af andre anthracycliner eller anthracenediones i beregninger af total kumulativ dosering til doxorubicin. Kardiomyopati kan udvikle sig under behandling eller op til flere år efter afslutningen af behandlingen og kan omfatte fald i LVEF og tegn og symptomer på kongestiv hjertesvigt (CHF). Sandsynligheden for at udvikle kardiomyopati estimeres til at være 1 til 2% ved en samlet kumulativ dosis på 300 mg/m² doxorubicin 3 til 5% ved en dosis på 400 mg/m² 5 til 8% i en dosis på 450 mg/m² og 6 til 20% ved en dosis på 500 mg/m², når doxorubicin administreres hver 3 uger. Der er en additiv eller potentielt synergistisk stigning i risikoen for kardiomyopati hos patienter, der har modtaget strålebehandling til mediastinum eller samtidig terapi med andre kendte kardiotoksiske midler, såsom cyclophosphamid og trastuzumab.
Pericarditis og myocarditis er også rapporteret under eller efter doxorubicin -behandling.
Vurder venstre ventrikulær hjertefunktion (f.eks. Muga eller ekkokardiogram) inden påbegyndelse af doxorubicin under behandling for at påvise akutte ændringer og efter behandling for at påvise forsinket kardiotoksicitet. Forøg frekvensen af vurderinger, når den kumulative dosis overstiger 300 mg/m². Brug den samme metode til vurdering af LVEF på alle tidspunkter [se Brug i specifik befolknings ].
Overvej brugen af dexrazoxan til at reducere forekomsten og sværhedsgraden af kardiomyopati på grund af doxorubicin -administration hos patienter, der har modtaget en kumulativ doxorubicin -dosis på 300 mg/m², og som fortsat vil modtage doxorubicin.
Arytmier
Doxorubicin kan resultere i arytmier inklusive livstruende arytmier i løbet af eller inden for få timer efter doxorubicin-administration og på ethvert tidspunkt under behandlingen. Tachyarytmier inklusive sinus takykardi For tidligt ventrikulære sammentrækninger og ventrikulær takykardi såvel som bradykardi kan forekomme. Elektrokardiografiske ændringer, herunder ikke-specifikke ST-T-bølgeændringer atrioventrikulær og bundt-gren, kan også forekomme. Disse elektrokardiografiske ændringer kan være kortvarige og selvbegrænsede og kræver muligvis ikke dosismodifikationer af doxorubicin.
Sekundære maligniteter
Risikoen for at udvikle sekundær akut myelogen leukæmi (AML) og myelodysplastisk syndrom (MDS) øges efter behandling med doxorubicin. Kumulative forekomster varierede fra 0,2% efter fem år til 1,5% efter 10 år i to separate forsøg, der involverede adjuvansbehandling af kvinder med brystkræft. Disse leukemier forekommer generelt inden for 1 til 3 år efter behandlingen.
Ekstravasation og vævsnekrose
Ekstravasation af doxorubicin kan resultere i alvorlig lokal vævsskade, der manifesterer sig som blærende ulceration og nekrose, der kræver bred excision af det berørte område og hudtransplantation. Når det gives via en perifer venøs linje, tilfører doxorubicin over 10 minutter eller mindre for at minimere risikoen for trombose eller perivenøs ekstravasation. Hvis der opstår tegn eller symptomer på ekstravasation, afsluttes injektionen eller infusionen [se Dosering og administration ]. Extravasation may be present in patients who do not experience a stinging or burning sensation or when blood return is present on aspiration of the infusion needle. If extravasation is suspected apply ice to the site intermittently for 15 minutes 4 times a day for 3 days. If appropriate administer dexrazoxane at the site of extravasation as soon as possible og within the first 6 hours after extravasation.
Alvorlig myelosuppression
Doxorubicin kan forårsage myelosuppression. I undersøgelse 1 var forekomsten af svær myelosuppression: leukopeni i grad 4 (NULL,3%) grad 3 leukopeni (3%) og grad 4 -thrombocytopeni (NULL,1%). En doseret afhængig reversibel neutropeni er den dominerende manifestation af hæmatologisk toksicitet fra doxorubicin. Når doxorubicin administreres hver 21. dag, når neutrofiltællingen sin nadir 10 til 14 dage efter administration med bedring, der normalt forekommer den 21. dag.
Wellbutrin vs generisk bupropion vægttab
Få baselinevurdering af blodtællinger og overvåger omhyggeligt patienter under behandling for mulige kliniske komplikationer på grund af myelosuppression.
Brug hos patienter med nedsat leverfunktion
Clearance af doxorubicin reduceres hos patienter med forhøjet serum bilirubin med en øget risiko for toksicitet [se Brug i specifik befolknings og Klinisk farmakologi ]. Reduce the dose of doxorubicin in patients with serum bilirubin levels of 1.2 to 5.0 mg/dL [se Dosering og administration ]. Doxorubicin is contraindicated in patients with severe hepatic impairment (defined as Child Pugh Class C or serum bilirubin level større end 5 mg/dl) [se Kontraindikationer ]. Obtain liver tests including SGOT SGPT alkaline phosphatase og bilirubin prior to og during doxorubicin therapy.
Tumorlysissyndrom
Doxorubicin kan inducere tumorlysissyndrom hos patienter med hurtigt voksende tumorer. Evaluer blodkaliumfosfat og kreatinin efter indledende behandling. Hydrering urinalkalinisering og profylakse med allopurinol for at forhindre hyperuricæmi kan minimere potentielle komplikationer af tumorlysisyndrom.
Strålingssensibilisering og tilbagekaldelse af stråling
Doxorubicin kan øge strålingsinduceret toksicitet til myocardiumslimhinden hud og lever. Strålingsindkaldelse inklusive, men ikke begrænset til kutan og lungetoksicitet, kan forekomme hos patienter, der modtager doxorubicin efter tidligere strålebehandling.
Embryofetal toksicitet
Doxorubicin kan forårsage fosterskader, når den administreres til en gravid kvinde. Doxorubicin var teratogen og embryotoksisk hos rotter og kaniner i doser lavere end den anbefalede humane dosis.
Hvis dette lægemiddel bruges under graviditet, eller hvis patienten bliver gravid, mens dette lægemiddel anvender patienten for den potentielle fare for et foster [se Brug i specifik befolknings ].
Rådgiv kvindelige patienter om reproduktivt potentiale til at bruge meget effektiv prævention under behandling med doxorubicin og i 6 måneder efter behandlingen. Rådgive patienter om at kontakte deres sundhedsudbyder, hvis de bliver gravide, eller hvis der er mistanke om graviditet, mens de tager doxorubicin [se Brug i specifik befolknings ].
Oplysninger om patientrådgivning
Se FDA-godkendt patientmærkning ( Patientinformation ). Informer patienter om følgende:
- Doxorubicin kan forårsage irreversibel myocardial skade. Rådgiv patienter om at kontakte en sundhedsudbyder for symptomer på hjertesvigt under eller efter behandling med doxorubicin HCL [se ADVARSELS AND FORHOLDSREGLER ].
- Der er en øget risiko for behandlingsrelateret leukæmi fra doxorubicin HCL [se ADVARSELS AND FORHOLDSREGLER ].
- Doxorubicin kan reducere Absolut neutrofil tælling hvilket resulterer i en øget risiko for infektion. Rådgive patienter om at kontakte en sundhedsudbyder for ny debut -feber eller symptomer på infektion [se ADVARSELS AND FORHOLDSREGLER ].
- Doxorubicin kan forårsage fosterskader, når den administreres under graviditet. Rådgive kvinder om reproduktivt potentiale til at bruge effektiv prævention under behandling med doxorubicin HCL og i 6 måneder efter behandling og kontakte deres sundhedsudbyder, hvis de bliver gravide, eller hvis der er mistanke om graviditet under behandling med doxorubicin HCL [se ADVARSELS AND FORHOLDSREGLER og Brug i specifik befolknings ].
- Doxorubicin kan inducere kromosomal skade i sædceller, hvilket kan føre til tab af fertilitet og afkom med fødselsdefekter. Rådgive patienter til at bruge effektiv prævention i løbet af og i 6 måneder efter behandling [se ADVARSELS AND FORHOLDSREGLER og Brug i specifik befolknings ].
- Doxorubicin kan forårsage for tidlig overgangsalder hos kvinder og tab af fertilitet hos mænd [se Brug i specifik befolknings ].
- Afbryd sygepleje, mens du modtager doxorubicin HCL [se Brug i specifik befolknings ].
- Doxorubicin kan forårsage kvalme af diarré mund/oral smerte og sår. Rådgive patienter om at kontakte en sundhedsudbyder, hvis de udvikler alle alvorlige symptomer, der forhindrer dem i at spise og drikke [se Bivirkninger ].
- Doxorubicin forårsager alopecia [se Bivirkninger ].
- Doxorubicin kan få deres urin til at virke rød i 1 til 2 dage efter administration.
Ikke -klinisk toksikologi
Karcinogenese mutagenese nedskrivning af fertilitet
Doxorubicin -behandling resulterer i en øget risiko for sekundære maligniteter baseret på eftermarkedsføringsrapporter [se ADVARSELS AND FORHOLDSREGLER ]. Doxorubicin was mutagenic in the in vitro Ames assay og clastogenic in multiple in vitro assays (CHO cell V79 hamster cell human lymphoblast og SCE assays) og the in vivo mouse micronucleus assay.
Doxorubicin faldt fertilitet hos hunrotter ved doserne på 0,05 og 0,2 mg/kg/dag (ca. 0,005 og 0,02 gange den anbefalede humane dosis baseret på kropsoverfladeareal)
En enkelt intravenøs dosis på 0,1 mg/kg doxorubicin (ca. 0,01 gange den anbefalede humane dosis baseret på kropsoverfladeareal) var giftigt for mandlige reproduktionsorganer i dyreforsøg, der producerede testikulær atrofi diffus degeneration af de seminiferøse tubululater og oligospermia/hypospermia i rotter. Doxorubicin inducerer DNA -skade i kanin -spermatozoer og dominerende dødelige mutationer hos mus.
Brug i specifik befolknings
Graviditet
Graviditet Category D
Risikooversigt
Doxorubicin kan forårsage fosterskader, når den administreres til en gravid kvinde. Doxorubicin var teratogen og embryotoksisk hos rotter og kaniner i doser ca. 0,07 gange (baseret på kropsoverfladeareal) den anbefalede humane dosis på 60 mg/m². Hvis dette lægemiddel bruges under graviditet, eller hvis patienten bliver gravid, mens dette lægemiddel anvender patienten for den potentielle fare for et foster.
Dyredata
Doxorubicin var teratogen og embryotoksisk ved doser på 0,8 mg/kg/dag (ca. 0,07 gange den anbefalede humane dosis baseret på kropsoverfladeareal), når de blev administreret i perioden med organogenese hos rotter. Teratogenicitet og embryotoksicitet blev også set ved anvendelse af diskrete behandlingsperioder. Den mest modtagelige var 6- til 9-dages drægtighedsperiode ved doser på 1,25 mg/kg/dag og større. Karakteristiske misdannelser inkluderede esophageal og tarmatresia tracheo-esophageal fistelhypoplasi af urinblæren og kardiovaskulære afvigelser. Doxorubicin var embryotoksisk (stigning i embryofetaldødsfald) og abortifacient ved 0,4 mg/kg/dag (ca. 0,07 gange den anbefalede humane dosis baseret på kropsoverfladeareal) hos kaniner, når de blev administreret i organogenesens periode.
Sygeplejerske mødre
Doxorubicin er blevet påvist i mælken fra mindst en ammende patient [se Klinisk farmakologi ]. Because of the potential for serious adverse reactions in nursing infants from doxorubicin a decision should be made whether to discontinue nursing or discontinue the drug taking into account the importance of the drug to the mother.
Pædiatrisk brug
Baseret på postmarkedsrapporter er pædiatriske patienter behandlet med doxorubicin i fare for at udvikle sen kardiovaskulær dysfunktion. Risikofaktorer inkluderer ung alder ved behandlingen (især <5 years) high cumulative doses og receipt of combined modality therapy. Long-term periodic cardiovascular monitoring is recommended for all pediatric patients who have received doxorubicin. Doxorubicin as a component of intensive chemotherapy regimens administered to pediatric patients may contribute to prepubertal growth failure og may also contribute to gonadal impairment which is usually temporary.
Der er ingen anbefalede dosisjusteringer baseret på alder. Doxorubicin -clearance blev øget hos patienter i alderen 2 år til 20 år sammenlignet med voksne, mens doxorubicin -clearance var ens hos børn under 2 år sammenlignet med voksne [se Klinisk farmakologi ].
quetiapine fumarat 25 mg til søvn
Geriatrisk brug
Klinisk erfaring hos patienter, der var 65 år og ældre, der modtog doxorubicin HCL-baserede kemoterapiregimer for metastatisk brystkræft, viste ingen samlede forskelle i sikkerhed og effektivitet sammenlignet med yngre patienter.
Kvinder og mænd med reproduktivt potentiale
Svangerskabsforebyggelse
Hunner
Doxorubicin kan forårsage fosterskader, når den administreres under graviditet. Rådgiv kvindelige patienter om reproduktivt potentiale til at bruge meget effektiv prævention under behandling med doxorubicin og i 6 måneder efter behandlingen. Rådgive patienter om at kontakte deres sundhedsudbyder, hvis de bliver gravide, eller hvis der er mistanke om graviditet, mens de tager doxorubicin [se Brug i specifik befolknings ].
Mænd
Doxorubicin kan skade spermatozoa og testikelvæv, hvilket resulterer i mulige genetiske føtal abnormaliteter. Mænd med kvindelige seksuelle partnere med reproduktivt potentiale bør bruge effektiv prævention under og i 6 måneder efter behandlingen [se Ikke -klinisk toksikologi ].
Infertilitet
Hunner
Hos hunner med reproduktiv potentiale kan doxorubicin forårsage infertilitet og resultere i amenoré. For tidlig overgangsalder kan forekomme. Gendannelse af menstruation og ægløsning er relateret til alder ved behandling [se Ikke -klinisk toksikologi ].
Mænd
Doxorubicin kan resultere i oligospermia azoospermia og permanent tab af fertilitet. Det er rapporteret, at sædoptællinger vender tilbage til normale niveauer hos nogle mænd. Dette kan forekomme flere år efter afslutningen af terapien.
Leverskrivning i leveren
Clearance af doxorubicin blev reduceret hos patienter med forhøjede serum bilirubinniveauer. Reducer dosis af doxorubicin hos patienter med serum bilirubinniveauer større end 1,2 mg/dl [se Dosering og administration og ADVARSELS AND FORHOLDSREGLER ].
Doxorubicin er kontraindiceret hos patienter med alvorlig leverfunktion (defineret som børnepugh klasse C eller serum bilirubinniveauer større end 5 mg/dl) [se Kontraindikationer ].
Overdoseringsoplysninger til Adriamycin PFS
Få tilfælde af overdosering er beskrevet. En 58-årig mand med akut lymfoblastisk leukæmi modtog 10 gange overdosis af doxorubicin (300 mg/m²) på en dag. Han blev behandlet med kulfiltreringshemopoietisk vækstfaktor (G-CSF) protonpumpeinhibitor og antimikrobiel profylakse. Patienten led sinus takykardi grad 4 neutropeni og thrombocytopeni i 11 dage alvorlig slimhinde og sepsis. Patienten kom sig helt 26 dage efter overdosis. En 17-årig pige med osteogen sarkom modtog 150 mg doxorubicin dagligt i 2 dage (tilsigtet dosis var 50 mg pr. Dag i 3 dage). Patienten udviklede alvorlig slimhinde på dag 4-7 efter overdosis og kulderystelser og pyrexia på dag 7. Patienten blev behandlet med antibiotika og blodplader og blev udvundet 18 dage efter overdosis.
Kontraindikationer for Adriamycin PFS
Doxorubicin er kontraindiceret hos patienter med:
- Alvorlig myocardial insufficiens [se ADVARSELS AND FORHOLDSREGLER ]
- Seneste (forekommer inden for de sidste 4 til 6 uger) myokardieinfarkt [se ADVARSELS AND FORHOLDSREGLER ]
- Alvorlig vedvarende medikamentinduceret myelosuppression [se ADVARSELS AND FORHOLDSREGLER ] Alvorlig nedskrivning i leveren (defineret som børnepugh klasse C eller serum bilirubin niveau større end 5 mg/dl) [se ADVARSELS AND FORHOLDSREGLER ]
- Alvorlig overfølsomhedsreaktion på doxorubicin inklusive anafylaksi [se Bivirkninger ]
Klinisk farmakologi for Adriamycin PFS
Handlingsmekanisme
Den cytotoksiske virkning af doxorubicin på ondartede celler og dets toksiske virkninger på forskellige organer menes at være relateret til nukleotidbasisinterkalisering og cellemembranlipidbindingsaktiviteter af doxorubicin. Interkalisering inhiberer nukleotidreplikation og virkning af DNA- og RNA -polymeraser. Interaktionen af doxorubicin og topoisomerase II til dannelse af DNA-spaltelige komplekser ser ud til at være en vigtig mekanisme for doxorubicin cytocidal aktivitet.
Farmakokinetik
Farmakokinetiske undersøgelser udført hos patienter med forskellige typer tumorer har vist, at doxorubicin følger multifasisk disposition efter intravenøs injektion. Distributionens halveringstid er cirka 5 minutter, mens den terminale halveringstid er 20 til 48 timer. Hos fire patienter demonstrerede doxorubicin dosisafhængig farmakokinetik på tværs af et dosisområde fra 30 til 70 mg/m².
Fordeling
Distributionsvolumen for stabil tilstand varierer fra 809 til 1214 L/m². Binding af doxorubicin og dets vigtigste metabolit doxorubicinol til plasmaproteiner er ca. 75% og er uafhængig af plasmakoncentration af doxorubicin op til 1,1 mcg/ml.
Doxorubicin blev målt i mælken hos en ammende patient efter terapi med 70 mg/m² doxorubicin givet som en 15-minutters intravenøs infusion. Den maksimale mælkekoncentration 24 timer efter behandlingen var 4,4 gange større end den tilsvarende plasmakoncentration. Doxorubicin var påviselig i mælken op til 72 timer.
Doxorubicin krydser ikke blodhjernebarrieren.
Metabolisme
Enzymatisk reduktion i 7 -positionen og spaltning af daunosaminsukker giver aglyconer, der er ledsaget af dannelse af fri radikal, den lokale produktion kan bidrage til den kardiotoksiske aktivitet af doxorubicin. Disponering af doxorubicinol hos patienter er dannelseshastighed begrænset med den terminale halveringstid for doxorubicinol, der ligner doxorubicin. Den relative eksponering af doxorubicinol, dvs. forholdet mellem AUC af doxorubicinol og AUC af doxorubicin, er ca. 0,5.
Udskillelse
Plasmaklarering er i området 324 til 809 ml/min/m² og er overvejende ved metabolisme og galdeudskillelse. Cirka 40% af dosis vises i galden på 5 dage, mens kun 5 til 12% af lægemidlet og dets metabolitter vises i urinen i samme tidsperiode. I urin <3% of the dose was recovered as doxorubicinol over 7 days.
Systemisk clearance af doxorubicin reduceres markant hos overvægtige kvinder med ideel kropsvægt større end 130%. Der var en signifikant reduktion i clearance uden nogen ændring i fordelingsvolumen hos overvægtige patienter sammenlignet med normale patienter med mindre end 115% ideel kropsvægt.
Pædiatriske patienter
Efter administration af doser, der spænder fra 10 til 75 mg/m² doxorubicin til 60 børn og unge, der spænder fra 2 måneder til 20 år gammel doxorubicin -clearance var i gennemsnit 1443 ± 114 ml/min/m². Yderligere analyse demonstrerede, at clearance hos 52 børn over 2 år (1540 ml/min/m²) blev forøget sammenlignet med voksne. Imidlertid blev clearance hos spædbørn, der var yngre end 2 år (813 ml/min/m²), reduceret sammenlignet med ældre børn og nærmet sig række af godkendelsesværdier, der blev bestemt hos voksne [se Brug i specifik befolknings ].
Patientens køn
Der er ingen anbefalet dosisjustering baseret på køn. En offentliggjort klinisk undersøgelse, der involverede 6 mænd og 21 kvinder uden forudgående anthracyclinbehandling, rapporterede en signifikant højere median doxorubicin -clearance hos mænd sammenlignet med kvinder (1088 ml/min/m² mod 433 ml/min/m²). Imidlertid var den terminale halveringstid for doxorubicin længere hos mænd sammenlignet med kvinder (54 mod 35 timer).
Patienter med nedsat leverfunktion
Clearance af doxorubicin og doxorubicinol blev reduceret hos patienter med højde i serum bilirubin [se Dosering og administration og ADVARSELS AND FORHOLDSREGLER ].
Kliniske studier
Den kliniske effektivitet af doxorubicin HCl-holdige regimer til den postoperative adjuvansbehandling af kirurgisk resekteret brystkræft blev evalueret i en metaanalyse udført af den tidlige samarbejdsgruppe for brystkræftforsøg (EBCTCG). EBCTCG-metaanalyser sammenlignede cyclophosphamid methotrexat og 5-fluorouracil (CMF) med ingen kemoterapi (19 forsøg med 7523 patienter) og doxorubicin HCL-holdige regimer med CMF som en aktiv kontrol (6 forsøg med 3510 patienter). Data fra metaanalysen af forsøg, der sammenlignede CMF med ingen terapi, blev anvendt til at etablere den historiske behandlingseffektstørrelse for CMF-regimer. De vigtigste effektivitetsresultatmål var sygdomsfri overlevelse (DFS) og samlet overlevelse (OS).
Af de 3510 kvinder (2157 modtog doxorubicin HCL-holdige regimer og 1353 modtog CMF-behandling) med tidlig brystkræft, der involverede axillære lymfeknuder inkluderet i de seks forsøg fra metaanalyser ca. 70% var premenopausal og 30% var postmenopausal. På tidspunktet for metaanalysen 1745 var først tilbagefald og 1348 dødsfald sket. Analyserne demonstrerede, at doxorubicin HCL-holdige regimer bevarede mindst 75% af den historiske CMF-adjuvans-effekt på DFS med et fareforhold (HR) på 0,91 (95% CI 0,8 til 1,01) og på OS med en HR på 0,91 (95% CI 0,8 til 1,03). Resultaterne af disse analyser for både DFS og OS findes i tabel 2 og figur 1 og 2.
Tabel 2: Resumé af randomiserede forsøg, der sammenligner doxorubicin, der indeholder regimer versus CMF i metaanalyse
| Undersøgelse (startår) | Regimer | Antal cyklusser | Antal patienter | Doxorubicin HCL-holdige regimer mod CMF HR ** (95% CI) | |
| DFS | DU | ||||
| NSABP B-15 (1984) | AC CMF | 4 | 1562* | 0.93 (NULL,82 til 1,06) | 0.97 (NULL,83 til 1,12) |
| 6 | 776 | ||||
| Sekt 2 (1976) | Jeg gør det | 6 | 260 | 0.86 (NULL,66 til 1,13) | 0.93 (NULL,69 til 1,26) |
| CMF | 6 | 268 | |||
| Oncofrance (1978) | Jeg gør detV | 12 | 138 | 0.71 (NULL,49 til 1,03) | 0.O5 (NULL,44 til 0,90) |
| CMF | 12 | 113 | |||
| SE Sverige BCG A (1980) | Og | 6 | 21 | 0.59 (NULL,22 til 1,61) | 0.53 (NULL,21 til 1,37) |
| CMF | 6 | 22 | |||
| NSABC Israel BR0283 (1983) | 4 | 0.91 (NULL,53 til 1,57) | 0.88 (NULL,47 til 1,63) | ||
| AVBCMF † | 6 | 55 | |||
| CMF | 6 | 50 | |||
| Østrigsk BCSG 3 (1984) | CMFVA | 6 | 121 | 1.07 (NULL,73 til 1,55) | 0.93 (NULL,04 til 1,35) |
| CMF | 8 | 124 | |||
| Kombinerede undersøgelser | Doxorubicin HCL-holdige regimer CMF | 2157 | 0.91 (NULL,82 til 1,01) | 0.91 (NULL,81 til 1,03) | |
| 1353 | |||||
| Forkortelser: DFS = sygdomsfri overlevelse; OS = samlet overlevelse; AC = doxorubicin cyclophosphamid; AVBCMF = doxorubicin vinblastin cyclophosphamid methotrexat 5- fluorouracil; CMF = cyclophosphamid methotrexat 5-fluorouracil; Cmfva = cyclophosphamid methotrexat 5-fluorouracil vincristin doxorubicin; FAC = 5-fluorouracil doxorubicin cyclophosphamid; FACV = 5-fluorouracil doxorubicin cyclophosphamid vincristine; HR = fareforhold; CI = konfidensinterval * Inkluderer samlede data fra patienter, der modtog enten AC alene i 4 cyklusser, eller som blev behandlet med AC i 4 cyklusser efterfulgt af 3 cyklusser af CMF. ** Et fareforhold på mindre end 1 indikerer, at behandlingen med doxorubicin HCL-holdige regimer er forbundet med lavere risiko for sygdomme eller død sammenlignet med behandlingen med CMF. † Patienter modtog vekslende cyklusser af AVB og CMF. |
Figur 1: Metaanalyse af sygdomsfri overlevelse
|
Figur 2: Meta-analyse af generelt
|
Patientinformation til Adriamycin PFS
Doxorubicin
(Dok-Suh-roo-Buh-SIN) Hydrochlorid til injektion til intravenøs brug
Polyethylenglycol 3350 NF vs Miralax
Hvad er de vigtigste oplysninger, jeg skal vide om doxorubicin?
Doxorubicin kan forårsage alvorlige bivirkninger, herunder:
- Hjertesvigt. Doxorubicin kan forårsage hjertemuskelskade, der kan føre til hjertesvigt, som er en tilstand, hvor hjertet ikke pumper godt. Hjertesvigt er irreversibel i nogle tilfælde og kan
- Har allerede andre hjerteproblemer
- har haft eller modtager i øjeblikket strålebehandling til dit bryst
- har haft behandling med visse andre medicinske medicin
- Tag andre medicin, der kan have alvorlige bivirkninger på dit hjerte
- Fortæl din læge, hvis du får nogen af disse symptomer på hjertesvigt under eller efter behandling med doxorubicin:
- ekstrem træthed eller
- Hurtig hjerteslag svaghed
- Hævelse af dine fødder og ankler
- åndenød
- Din læge vil lave test for at kontrollere styrken i din hjertemuskel før
- under og efter din behandling med doxorubicin.
- Risiko for nye kræftformer. Du har muligvis en øget risiko for at udvikle visse blodkræftformer kaldet akut myelogen leukæmi (AML) eller myelodysplastisk syndrom (MDS) efter behandling med doxorubicin. Tal med din læge om din risiko for at udvikle nye kræftformer, hvis du tager doxorubicin.
- Hudskader nær venen, hvor doxorubicin gives (reaktion på injektionsstedet). Doxorubicin kan skade huden, hvis den lækker ud af venen. Symptomer på infusionsreaktion inkluderer blemmer og hudsår på injektionsstedet, som kan kræve hudtransplantater.
- Nedsat blodlegemer. Doxorubicin kan forårsage et fald i neutrofiler (en type hvide blodlegemer, der er vigtige i bekæmpelse af bakterieinfektioner) og blodplader (vigtigt for koagulation og at kontrollere blødning). Dette kan føre til en alvorlig infektion behovet for behandling af blodoverførsler på et hospital og død. Din læge vil tjekke dit blodlegema under din behandling med doxorubicin, og efter at du har stoppet din behandling. Ring med din læge med det samme, hvis du får feber (temperatur på 100,4 ° F eller større) eller kulderystelser med rysten.
Hvad er doxorubicin?
Doxorubicin er en receptpligtig medicin, der bruges til at behandle visse typer kræftformer. Doxorubicin kan bruges alene eller sammen med andre medicin mod kræft.
Hvem skal ikke modtage doxorubicin?
Modtag ikke doxorubicin, hvis:
- Du har haft et nyligt hjerteanfald eller har alvorlige hjerteproblemer
- Dine blodlegemer (blodplader røde blodlegemer og hvide blodlegemer) er
- Meget lav på grund af tidligere kemoterapi
- Du har et alvorligt leverproblem
- Du har haft en alvorlig allergisk reaktion på doxorubicinhydrochlorid
Hvad skal jeg fortælle min læge, før jeg modtager doxorubicin?
Før du modtager doxorubicin, fortæl din læge, hvis du:
- Har hjerteproblemer inklusive hjertesvigt
- modtager i øjeblikket strålebehandling eller planlægger at modtage stråling til brystet
- har alvorlige leverproblemer
- har haft en allergisk reaktion på doxorubicin
- har andre medicinske tilstande
- er gravide eller planlægger at blive gravid. Doxorubicin kan skade din ufødte baby. Kvinder, der er i stand til at blive gravide, og mænd, der tager doxorubicin, bør bruge effektiv prævention (prævention) under behandlingen og i 6 måneder efter behandlingen. Tal med din læge om fødselskontrolmetoder. Hvis du eller din partner bliver gravid, fortæl din læge med det samme.
- er amning eller planlægger at amme. Doxorubicin kan passere ind i din modermælk og skade din baby. Du og din læge skal beslutte, om du vil modtage doxorubicin eller amning. Du skal ikke gøre begge dele.
Fortæl din læge om alle de medicin, du tager inklusive receptpligtige og over-the-counter medicin vitaminer og urtetilskud. Doxorubicin kan interagere med andre lægemidler. Start ikke nogen ny medicin, før du taler med lægen, der ordinerede doxorubicin.
Kend de medicin, du tager. Opbevar en liste for at vise din læge og farmaceut, hver gang du får en ny medicin.
Hvordan modtager jeg doxorubicin?
- Doxorubicin vil blive givet til dig i din vene.
Hvad er de mulige bivirkninger af doxorubicin?
Doxorubicin kan forårsage alvorlige bivirkninger, herunder:
- Se Hvad er de vigtigste oplysninger, jeg skal vide om doxorubicin?
Doxorubicin kan forårsage lavere sædtællinger og sædproblemer hos mænd.
Dette kan påvirke din evne til at far et barn og forårsage fødselsdefekter. Tal med din sundhedsudbyder, hvis dette er en bekymring for dig. Tal med din sundhedsudbyder om muligheder for familieplanlægning, der måske er rigtige for dig.
Irreversibelt amenoré eller tidlig overgangsalder. Dine perioder (menstruationscyklus) kan helt stoppe, når du modtager doxorubicin. Dine perioder kan muligvis ikke vende tilbage efter behandling. Tal med din sundhedsudbyder om muligheder for familieplanlægning, der måske er rigtige for dig.
De mest almindelige bivirkninger af doxorubicin inkluderer:
- Samlet hårtab (alopecia). Dit hår kan vokse igen efter din behandling
- kvalme
- opkast
Andre bivirkninger:
- Rødfarvet urin. Du har muligvis rødfarvet urin i 1 til 2 dage efter din infusion af doxorubicin. Dette er normalt. Fortæl din læge, hvis det ikke stopper om et par dage, eller om du ser, hvad der ligner blod- eller blodpropper i din urin.
- Mørkning af dine negle eller adskillelse af dine negle fra din neglebed.
- Let blå mærker eller blødning.
- Ring til din læge, hvis du har alvorlige symptomer, der forhindrer dig i at spise eller drikke som:
- kvalme
- opkast
- diarre
- Mundsår
Fortæl din læge eller sygeplejerske, hvis du har nogen bivirkning, der generer dig, eller som ikke forsvinder.
Dette er ikke alle de mulige bivirkninger af doxorubicin.
Ring til din læge for medicinsk rådgivning om bivirkninger. Du kan rapportere bivirkninger til FDA på 1-800- FDA-1088.
Generel information om sikker og effektiv anvendelse af doxorubicin.
Medicin er undertiden ordineret til andre formål end dem, der er anført i en patientoplysning.
Du kan bede din farmaceut eller læge om information om doxorubicin, der er skrevet til sundhedsfagfolk.
For mere information ring 1-877-845-0689.
Hvad er ingredienserne i doxorubicin?
Aktiv ingrediens: Doxorubicinhydrochlorid
Inaktive ingredienser til doxorubicinhydrochlorid til injektion: Lactose monohydrat
Denne patientinformation er godkendt af U.S. Food and Drug Administration.