Oplysningerne På Webstedet Er Ikke Medicinsk Rådgivning. Vi Sælger Ikke Noget. Nøjagtigheden Af Oversættelsen Er Ikke Garanteret. Ansvarsfraskrivelse
Tetracycliner
Atridox
Resume af lægemiddeloversigt
Hvad er Atridox?
Atridox (doxycyclinhyclat) er et antibiotikum, der bruges til behandling af kronisk periodontitis.
Hvad er bivirkninger af Atridox?
Almindelige bivirkninger af Atridox inkluderer:
- Gummi ubehag
- smerte
- ømhed
- Tandpine
- trykfølsomhed
- Periodontale problemer
- Gummiinflammation
- dårlig fordøjelse
- ked af maven og
- diarre.
Fortæl din tandlæge, hvis du har usandsynlig, men seriøse bivirkninger af Atridox, herunder:
- Tand løsner
- kæbe smerte eller
- solskoldning.
Dosering til Atridox
Tal med din læge eller tandlæge om din individuelle doseringsanbefaling.
Hvilke stoffer stoffer eller kosttilskud interagerer med Atridox?
Rifampin og rifabutin kan interagere med atridox. Fortæl din læge eller tandlæge alle medicin, du tager. Atridox kan forårsage misfarvning af tand, hvis de bruges hos børn og spædbørn under tandudvikling.
Atridox under graviditet eller amning
Brug ikke Atridox, hvis du er gravid eller ammer.
Yderligere oplysninger
Vores Atridox (doxycyclin Hyclate) bivirkninger Drug Center giver et omfattende overblik over tilgængelige lægemiddelinformation om de potentielle bivirkninger, når du tager denne medicin.
FDA -lægemiddelinformation
- Lægemiddelbeskrivelse
- Indikationer
- Bivirkninger
- Advarsler
- Forholdsregler
- Overdosis
- Klinisk farmakologi
- Medicin vejledning
Beskrivelse af Atridox
Atridox (doxycyclin Hyclate) ® -produktet er et subgingival kontrolleret frigivelse produkt sammensat af et to sprøjteblandingssystem. Sprøjte A indeholder 450 mg af Atrigel®-leveringssystemet, som er en bioabsorberbar, der flyder polymere formulering sammensat af 36,7% poly (Dllactid) (PLA) opløst i 63,3% N-methyl-2-pyrrolidon (NMP). Sprøjte B indeholder 50 mg doxycyclinhyclat, hvilket svarer til 42,5 mg doxycyclin. Det konstituerede produkt er en lysegul til gul viskøs væske med en koncentration på 10% af doxycyclinhyclat. Ved kontakt med den spaltevæske størkner væskeproduktet og giver derefter mulighed for kontrolleret frigivelse af lægemiddel i en periode på 7 dage. Doxycycline er et bredspektret antibiotikum syntetisk afledt af oxytetracyclin.
Den strukturelle formel for doxycyclinhyclat er:
|
Empirisk formel: (c 22 H 24 N 2 O 8 • HCI) 2 • C. 2 H 6 O • H. 2 O
Bruger til Atridox
Atridox (doxycyclin Hyclate) ® er indikeret til anvendelse til behandling af kronisk voksen periodontitis til en forstærkning i klinisk tilknytningsreduktion i sonderingsdybde og reduktion i blødning ved sondering.
Dosering til Atridox
Atridox (doxycyclin Hyclate) ® er et variabelt dosisprodukt afhængig af størrelsesformen og antallet af lommer, der behandles.
Forberedelse til brug
1. hvis kølet fjernes produktet fra køling mindst 15 minutter før blanding.
2. par sprøjte A (flydende leveringssystem) og sprøjte B (lægemiddelpulver).
|
3. Indsprøjt det flydende indhold i sprøjte A (angivet med rød stribe) i sprøjte B (doxycyclinpulver) og skub derefter indholdet tilbage i sprøjte A. Hele denne operation er en blandingscyklus.
4. Komplet 100 blandingscyklusser i et tempo på en cyklus pr. Sekund ved hjælp af hurtige streger.
Hvis der ønskes øjeblikkelig brug, skal du springe til trin 7.
5. Om nødvendigt kan de koblede sprøjter opbevares ved stuetemperatur i højst tre dage. Nogle af Atridox -systemerne (doxycyclinhyclat) pakkes i genlukbare poser, der kan bruges til dette formål. Hvis Atridox (doxycycline Hyclate) -systemet pakkes i en prøve, skal du bruge en lufttæt beholder.
|
6. Efter opbevaring skal du udføre yderligere ti blandingscyklusser lige inden brug.
Fortsæt med øjeblikkelig brugsinstruktioner.
7. Indholdet vil være i Sprøjte a (angivet med Red Stripe). Hold de koblede sprøjter lodret med Sprøjte a i bunden. Træk tilbage på sprøjten en stemplet, og lad indholdet flyde ned ad tønden i flere sekunder.
8. Tilslut de to sprøjter og fastgør en af de medfølgende kanyler til sprøjte A.
|
Produktet er nu klar til anvendelse.
Produktadministration
Atridox (doxycyclin Hyclate) ® kræver ikke lokalbedøvelse til placering. Bøj kanylen for at ligne en periodontal sonde og udforske den periodontale lomme på en måde, der ligner periodontal sondering. At holde kanylespidsen nær bunden af lommen udtrykke produktet i lommen, indtil formuleringen når toppen af tandkødsmargenen. Træk kanylespidsen tilbage fra lommen. For at adskille spidsen fra formuleringen drej spidsen af kanylen mod tanden, tryk spidsen mod tandoverfladen og knib med formuleringsstrengen fra spidsen af kanyen. Variationer på denne teknik kan være nødvendig for at opnå adskillelse mellem Atridox (doxycyclin Hyclate) ® og kanyle.
Hvilken type medicin er aspirin
Hvis det ønskes ved hjælp af et passende tandinstrument Atridox (doxycyclin Hyclate) ® kan pakkes i lommen. Dypning af kanten af instrumentet i vand inden pakning vil hjælpe med at holde Atridox (doxycycline Hyclate) ® fra at klæbe til instrumentet og vil hjælpe med at fremskynde koagulering af Atridox (doxycycline Hyclate) ®. Et par dråber vand dryppet på overfladen af Atridox (doxycyclinhyclat) ® En gang i lommen hjælper også med koagulation. Tilføj om nødvendigt mere atridox (doxycycline hyclate) ® som beskrevet ovenfor og pak den i lommen, indtil lommen er fuld.
Dæk lommerne, der indeholder Atridox (doxycyclin Hyclate) ® med enten CoE-PAK ™ periodontal dressing eller et cyanoacrylat-tandlim.
Anvendelse af Atridox (doxycyclin Hyclate) ® kan gentages fire måneder efter den første behandling.
Hvor leveret
Det endelige blandede produkt er 500 mg formulering indeholdende 50 mg doxycyclinhyclat (doxycyclin hyclat 10%).
Atridox (doxycycline Hyclate) ® fås som en bakke eller pose, der indeholder en doxycyclinhyclatsprøjte (50 mg) en Atrigel® -leveringssystemsprøjte (450 mg) og en stump kanyle. Det posede produkt fås i en kasse med seks ( NDC 63646-191-00) En kasse med to ( NDC 63646-191-02) eller en professionel prøvepose ( NDC 63646-191-01). Det bakkeprodukt fås i en kasse med seks ( NDC 63646-191-05) En kasse med fire ( NDC 63646-191-04) eller en professionel prøvekasse med to ( NDC 63646-191-03).
Hvert Atridox (doxycyclin Hyclate) ® sprøjte -system er kun beregnet til brug hos en patient. Brug ikke, hvis emballage tidligere er åbnet eller beskadiget.
Opbevaringsbetingelser
Opbevares ved 2 ° - 30 ° C (36 ° - 86 ° F).
Fremstillet af Tolmar Inc. Fort Collins CO 80526. Distribueret af Zila Therapeutics Inc. Rev. 02/11.
Bivirkninger for atridox
I kliniske forsøg, der involverede i alt 1436 patienter, blev ugunstige oplevelser fra alle årsagssammenhæng overvåget på tværs af behandlingsgrupper.
I kredsløbssystemet blev kategori 10 -personer (NULL,6%) i Atridox (doxycyclinhyclat) ® gruppe rapporteret som uspecificeret essentiel hypertension. Kun 1 emne (NULL,2%) i køretøjsgruppen og ingen i skalering og rodplanlægning eller orale hygiejne -grupper blev rapporteret at have uspecificeret essentiel hypertension. I alle tilfælde skete begivenheden overalt fra 13 til 134 dage efter behandling. Der er ingen kendt tilknytning af oral administration af doxycyclin med essentiel hypertension.
To patienter i polymerkøretøjsgruppen og ingen i Atridox (doxycyclin Hyclate) ® gruppe (NULL,2% for begge grupper kombinerede) rapporterede bivirkninger, der var i overensstemmelse med en lokal allergisk respons.
Sexalder race og rygestatus syntes ikke at være korreleret med bivirkninger.
Følgende tabel viser forekomsten af bivirkninger af behandlingsfremstilling fra alle årsagssammenhæng på tværs af alle behandlingsgrupper, der forekommer i ≥ 1% af hele studiepopulationen.
| Kropssystem ordrette vilkår | Doxycycline n = 609 | Køretøj n = 413 | Åh n = 204 | SRP n = 210 |
| Kredsløb | ||||
| 1,60% | 0,20% | 0,00% | 0,00% | |
| Fordøjelsesmulighed | ||||
| 18,10% | 23,00% | 20,10% | 21,00% | |
| 14,30% | 14,30% | 10,30% | 18,10% | |
| 9,90% | 10,90% | 10,30% | 8,60% | |
| 7,70% | 8,50% | 4,40% | 6,70% | |
| 4,10% | 5,80% | 5,40% | 5,70% | |
| 4,30% | 5,30% | 2,70% | 6,20% | |
| 3,60% | 4,10% | 2,90% | 3,80% | |
| 3,30% | 2,40% | 1,00% | 1,00% | |
| 2,00% | 0,70% | 0,50% | 2,40% | |
| 1,50% | 1,90% | 1,00% | 0,50% | |
| 0,70% | 1,70% | 1,00% | 1,40% | |
| 0,80% | 1,50% | 1,50% | 1,00% | |
| 1,50% | 1,50% | 0,00% | 0,50% | |
| 1,10% | 0,50% | 1,00% | 1,90% | |
| 0,80% | 1,50% | 1,50% | 0,00% | |
| 1,00% | 0,70% | 0,00% | 2,40% | |
| Genitourinary | ||||
| 4,40% | 3,10% | 2,50% | 3,30% | |
| Dårligt definerede forhold | ||||
| 27,30% | 28,10% | 23,50% | 23,80% | |
| 3,60% | 6,10% | 2,90% | 2,40% | |
| 3,40% | 1,50% | 2,00% | 2,90% | |
| 1,60% | 1,20% | 1,50% | 1,40% | |
| 1,80% | 0,70% | 2,50% | 0,50% | |
| 1,00% | 1,90% | 1,00% | 1,90% | |
| Skade | ||||
| 5,10% | 4,10% | 4,90% | 5,70% | |
| Mental | ||||
| 1,80% | 0,70% | 0,00% | 1,00% | |
| Muskuloskeletal | ||||
| 6,40% | 4,60% | 4,90% | 3,30% | |
| 3,60% | 5,30% | 2,50% | 6,20% | |
| 1,50% | 2,20% | 2,00% | 2,40% | |
| 1,60% | 1,70% | 0,50% | 2,90% | |
| 1,30% | 1,70% | 1,00% | 1,90% | |
| 1,00% | 1,00% | 1,50% | 1,00% | |
| Nervesystem | ||||
| 1,60% | 1,90% | 2,00% | 0,00% | |
| Åndedrætsværn | ||||
| 25,50% | 25,20% | 18,10% | 16,70% | |
| 6,10% | 9,00% | 3,90% | 6,70% | |
| 5,60% | 7,70% | 2,90% | 4,80% | |
| 5,70% | 6,50% | 2,00% | 3,30% | |
| 5,30% | 2,70% | 1,00% | 1,90% | |
| 2,80% | 2,90% | 2,90% | 3,30% | |
| 2,30% | 1,90% | 1,50% | 1,00% | |
| 1,00% | 1,00% | 1,00% | 1,90% | |
| Hud | ||||
| 1,30% | 1,00% | 1,00% | 1,00% |
Lægemiddelinteraktioner for Atridox
Ingen oplysninger leveret.
Bivirkninger af ginkgo biloba -kosttilskud
Advarsler for Atridox
Anvendelsen af medikamenter i tetracyclinklassen under tandudvikling (sidste halvdel af graviditetsspor og barndom til 8 år) kan forårsage permanent misfarvning af tænderne. Denne bivirkning er mere almindelig under langvarig brug af lægemidlerne, men er blevet observeret efter gentagne kortvarige kurser. Der er også rapporteret om emaljehypoplasi. Tetracycline -lægemidler bør derfor ikke bruges i denne aldersgruppe eller i gravide kvinder, medmindre andre lægemidler ikke er effektive eller er kontraindiceret.
Resultaterne af dyreforsøg indikerer, at tetracycliner krydser placenta findes i føtalvæv og kan have toksiske virkninger på det udviklende foster (ofte relateret til skeletudvikling). Bevis for embryotoksicitet er også blevet bemærket hos dyr behandlet tidligt i graviditeten.
Hvis der anvendes nogen tetracyclin under graviditeten, skal patienten vurderes af den potentielle fare for fosteret. Fotosensitivitet manifesteret af en overdrevet solskoldningsreaktion er blevet observeret hos nogle individer, der tager doxycyclin eller andre tetracycliner. Patienter, der er egnet til at blive udsat for direkte sollys eller ultraviolet lys, skal rådes om, at denne reaktion kan forekomme med tetracyclin -lægemidler.
Forholdsregler for Atridox
Generel
Atridox (doxycycline Hyclate) ® has not been clinically tested in pregnant women.
Atridox (doxycycline Hyclate) ® has not been clinically evaluated in patients with conditions involving extremely severe periodontal defects with very little remaining periodontium.
Atridox (doxycycline Hyclate) ® has not been clinically tested for use in the regeneration of alveolar bone either in preparation for or in conjunction with the placement of endosseous (dental) implants or in the treatment of failing implants.
Atridox (doxycycline Hyclate) ® has not been clinically tested in immunocompromised patients (such as patients immunocompromised by diabetes chemotherapy radiation therapy or infection with HIV).
Som med andre antibiotiske præparater kan Atridox (doxycycline hyclate) ® terapi resultere i overvækst af ikke -optagelige organismer inklusive svampe. 1 Virkningerne af langvarig behandling over 6 måneder er ikke undersøgt.
Atridox (doxycycline Hyclate) ® should be used with caution in patients with a history of or predisposition to oral cogidiasis. The safety og effectiveness of Atridox (doxycycline Hyclate) ® have not been established for the treatment of periodontitis in patients with coexistent oral cogidiasis.
Karcinogenese mutagenese nedskrivning af fertilitet
Langtidsundersøgelser hos dyr til evaluering af kræftfremkaldende potentiale for doxycyclin er ikke blevet udført. Der har imidlertid været tegn på onkogen aktivitet hos rotter i undersøgelser med de relaterede antibiotika oxytetracyclin (binyre- og hypofysetumorer) og minocyclin (skjoldbruskkirtel tumorer). Ligeledes er mutagenicitetsundersøgelser af doxycyclin ikke blevet udført positive resultater i in vitro -pattedyrcelleanalyser er rapporteret for relaterede antibiotika (tetracyclin oxytetracyclin). Doxycyclin indgivet oralt ved doseringsniveauer så højt som 250 mg/kg/dag havde ingen åbenbar effekt på fertiliteten af kvindelige rotter. Effekt på mandlig fertilitet er ikke undersøgt.
Graviditetskategori D. Se afsnittet Advarsler
Sygeplejerske mødre
Tetracycliner vises i modermælk efter oral administration. Det vides ikke, om doxycyclin udskilles i human mælk efter brug af atridox (doxycycline hyclate) ®. På grund af potentialet for alvorlige bivirkninger hos sygeplejebørn fra doxycyclin bør der træffes en beslutning om at afbryde sygeplejerske eller afbryde stoffet under hensyntagen til moren for moren. (Se Advarsler afsnit)
Pædiatri
Sikkerheden og effektiviteten af Atridox (doxycyclinhyclat) ® hos pædiatriske patienter er ikke etableret. Orale doser af doxycyclin hos børn op til 8 år har forårsaget permanent misfarvning af tænder.
Overdoseringsoplysninger til Atridox
Ingen oplysninger leveret.
Kontraindikationer for Atridox
Atridox (doxycycline Hyclate) ® should not be used in patients who are hypersensitive to doxycycline or any other drug in the tetracycline class.
Klinisk farmakologi for Atridox
Mikrobiologi
Doxycycline is a broad-spectrum semisynthetic tetracycline. 1 Doxycycline is bacteriostatic inhibiting bacterial protein synthesis due to disruption of transfer RNA og messenger RNA at ribosomal sites. 1 In vitro -test har vist det Porphyromonas gingivalis prevotella intermedia campylobacter rectus og Fusobacterium nucleatum som er forbundet med periodontal sygdom er modtagelige for doxycyclin ved koncentrationer ≤ 6,0 μg/ml. 2 En enkelt-center enkeltblind randomiseret klinisk undersøgelse hos 45 personer med periodontal sygdom demonstrerede, at en enkelt behandling med Atridox (doxycycline hyclate) ® resulterede i reduktionen i antallet af P. Gingivalis P. Intermedia C. rectus F. Nucleatum Bacteroides Forsythus og E. corrodens i subgingival plaque -prøver. Niveauer af aerobe og anaerobe bakterier blev også reduceret efter behandling med Atridox (doxycyclinhyclat) ®. Den kliniske betydning af disse fund er imidlertid ikke kendt. Under disse undersøgelser blev der ikke observeret nogen overvækst af opportunistiske organismer, såsom gram-negative baciller og gær. Men som med andre antibiotiske præparater kan Atridox (doxycyclinhyclat) ® terapi resultere i overvækst af ikke -optagelige organismer inklusive svampe. (Se FORHOLDSREGLER )
Farmakokinetik
I en klinisk farmakokinetiske undersøgelse blev personer randomiseret til at modtage enten Atridox (doxycycline Hyclate) ® dækket med CoE-PAK ™ periodontal dressing (n = 13) atridox (doxycycline hyclate) ® dækket med octyldent ™ periodontal adhesiv (n = 13) eller oral doxycycine (N = 5) (ifølge pakken Dosing). Doxycycyclin -frigørelsesegenskaberne i gingival crevikulær væske (GCF) spyt og serum blev evalueret.
Doxycycline levels in GCF peaked (~1500 μg/mL og ~2000 μg/mL for Coe-Pak™ og Octyldent™ groups respectively) 2 hours following treatment with Atridox (doxycycline Hyclate) ®. These levels remained above 1000 μg/mL through 18 hours at which time the levels began to decline gradually. However local levels of doxycycline remained well above the minimum inhibitory concentration (MIC90) for periodontal pathogens ( ≤ 6.0 μg/mL) 2 Gennem dag 7. I kontrast havde forsøgspersoner, der modtog oral doxycyclin, de maksimale GCF -niveauer på ~ 2,5 μg/ml ved 12 timer efter den indledende orale dosering med niveauer, der faldt til ~ 0,2 μg/ml om dag 7. Høj variabilitet blev observeret for doxycyclinniveauer i GCF for både oral og atridox (doxycycine) ® behandlingsgrupper.
Atridox (doxycyclin Hyclate) ® doxycyclin -frigivelsesprofil i GCF er illustreret i figuren herunder.
|
Den maksimale koncentration af doxycyclin i spyt blev opnået 2 timer efter begge behandlinger med Atridox (doxycyclin Hyclate) ® med midler på 4,05 μg/ml og 8,78 μg/ml og faldt til 0,36 μg/ml og 0,23 μg/ml på dag 7 for coe-pak ™ -gruppen og ocken ™-gruppen.
Koncentrationen af doxycyclin i serum efter behandling af atridox (doxycyclinhyclat) ® overskred aldrig 0,1 μg/ml.
Kliniske studier
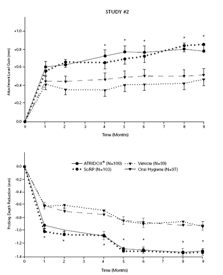
I to godt kontrollerede multicenter parallelt designer ni-måneders kliniske forsøg 831 patienter (undersøgelse 1 = 411; undersøgelse 2 = 420) med kronisk voksen periodontitis karakteriseret ved en gennemsnitlig sonderingsdybde på 5,9 til 6,0 mm blev tilmeldt. Personer modtog en af fire behandlinger: 1) atridox (doxycycline hyclate) ® 2) skalering og rodplanlægning 3) køretøjskontrol eller 4) oral hygiejne. Behandling blev administreret til steder med sonderingsdybder 5 mm eller derover, der blødede på sondering. Personer med detekterbar subgingival beregning på mere end 80% af alle tandoverflader blev udelukket fra tilmelding. Alle forsøgspersoner modtog en anden administration af den oprindeligt randomiserede behandling fire måneder efter deres baseline -behandling. Ændringer i effektivitetsparametre Fastgørelsesniveau Lommetedybde og blødning ved sondering mellem baseline og måned 9 viste, at: 1) atridox (doxycyclinhyclat) ® var overlegen i forhold til køretøjskontrol og oral hygiejne og 2) atridox (doxycycline hyclate) ® opfyldte beslutningen på mindst 75% som god som Scering og Root Planing (SRP) (ST) 75% så god som SRP er påkrævet for ethvert produkt, der er godkendt som en selvstændig terapi til periodontitis). Klinikere skal bemærke, at undersøgelserne var af ni måneders varighed. Yderligere forskning ville være nødvendig for at etablere langsigtet sammenlignelighed for SRP. Resultaterne af undersøgelser
|
|
* Betegner statistisk signifikant overlegenhed af Atridox (doxycyclin Hyclate) ® og SC/RP vs. køretøj og mundhygiejne
† Betegner statistisk signifikant overlegenhed af Atridox (doxycyclin Hyclate) ® vs. køretøj og mundhygiejne
Data blev ikke indsamlet i måneder 3 og 7
Hvad bruges byrolisk til behandling
|
* Betegner statistisk signifikant overlegenhed af Atridox (doxycyclin Hyclate) ® og SC/RP vs. køretøj og mundhygiejne
† Betegner statistisk signifikant overlegenhed af Atridox (doxycyclin Hyclate) ® vs. køretøj og mundhygiejne
Data blev ikke indsamlet i måneder 3 og 7
Et tredje klinisk forsøg blev udført for at bestemme, om produktet kan efterlades i lommen til bioabsorb eller udvises naturligt og opnå sammenlignelige kliniske resultater. I denne undersøgelse blev produktet tilbageholdt med OctyDent ™ tandlæsende snarere end Coe-Pak ™ periodontal dressing som i de tidligere nævnte undersøgelser. Dette var en 3-arm randomiseret kontrolleret parallel gruppe enkelt blind forsøg, der tilmeldte 605 emner. The patient population studied and study design were comparable to that in Studies 1 and 2. Subjects received one of three treatments: 1) ATRIDOX (doxycycline hyclate) ® with Coe-Pak™ removed after 7 days as in the pivotal trials 2) ATRIDOX (doxycycline hyclate) ® retained with Octyldent™ and left to bioabsorb or be expelled naturally or 3) Vehicle Control with OctyDent ™ overlod til bioabsorb eller udvises naturligt. Ændringer i effektivitetsparametre tilknytningsniveau Lommetedybde og blødning ved sondering var ækvivalente til dem, der blev observeret i undersøgelser 1 og 2.. Resultaterne af den tredje undersøgelse understøtter brugen af atridox (doxycyclinhyclat) ® tilbageholdt med OctyDent ™ og overlades til bioabsorb eller udvises naturligt.
Referencer
1. Stratton CW Lorian V. Mekanismer til virkning for antimikrobielle stoffer: Generelle principper og mekanismer til udvalgte klasser af antibiotika. Antibiotika i laboratoriemedicin 4. udgave Williams og Wilkins Baltimore MD 1996.
2. slots J Rams te. Antibiotika i periodontal terapi: Fordele og ulemper. J Clin Periodontol 1990; 17: 479-493.
Patientinformation til Atridox
Mekaniske orale hygiejneprocedurer (dvs. tandbørstning) bør undgås på alle behandlede områder i 7 dage.
Undgå overdreven sollys eller kunstig ultraviolet lys, mens du modtager doxycyclin.
Doxycycline may decrease the effectiveness of birth control pills .