Oplysningerne På Webstedet Er Ikke Medicinsk Rådgivning. Vi Sælger Ikke Noget. Nøjagtigheden Af ​​Oversættelsen Er Ikke Garanteret. Ansvarsfraskrivelse



Proair

Resume af lægemiddeloversigt

Hvad er Proair?

Proair ( Albuterolsulfat ) er en bronchodilator, der slapper af muskler i luftvejene og øger luftstrømmen til lungerne, der bruges til at forhindre og behandle vejrtrækning og åndenød forårsaget af åndedrætsproblemer, såsom astma og Kronisk obstruktiv lungesygdom . Proair bruges også til at forhindre træningsinduceret astma.

Hvad er bivirkninger af Proair?

Almindelige bivirkninger af Proair inkluderer:



Dosering til Proair

Proair er et tørt pulverinhalator, der leveres til 200 målte inhalationsdoser.



Hvilke stoffer stoffer eller kosttilskud interagerer med Proair?

Proair kan interagere med andre inhalerede medicin andre astmamedicin betablokkere diuretika digoxin monoamine oxidaseinhibitorer (MAOIS) og Antidepressiva . Fortæl din læge alle medicin og kosttilskud, du bruger.

Proair under graviditet og amning

Under graviditet bør ProAir kun bruges, hvis det er foreskrevet. Det er ukendt, om Proair passerer til modermælk. Kontakt din læge inden amning.



Yderligere oplysninger

Vores Proair (Albuterol Sulfate) Inhalation Powder Bivirkninger Bivirkninger Lægemiddelcenter giver et omfattende overblik over tilgængelige lægemiddelinformation om de potentielle bivirkninger, når du tager denne medicin.

FDA -lægemiddelinformation

Beskrivelse for Proair HFA

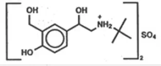
Den aktive ingrediens af Proair HFA (albuterolsulfat) inhalations aerosol er albuterolsulfat et racemisk salt af albuterol. Albuterolsulfat har det kemiske navn α -[( tert -butylamino) methyl] -4- hydroxy- m -Xylen-aa'-diolsulfat (2: 1) (salt) og har følgende kemiske struktur:

Molekylvægten af ​​albuterolsulfat er 576,7, og den empiriske formel er (C 13 H 21 INGEN 3 ) 2 • H. 2 4 . Albuterolsulfat er et hvidt til off-white krystallinsk pulver. Det er opløseligt i vand og lidt opløseligt i ethanol. Albuterolsulfat er det officielle generiske navn i USA, og Salbutamol Sulfate er Verdenssundhedsorganisationen anbefalet generisk navn. Proair HFA-inhalations aerosol er en aerosolenhed under tryk-dosis med en dosis tæller. Proair HFA er kun til oral inhalation. Den indeholder en mikrokrystallinsk suspension af albuterolsulfat i drivmiddel HFA-134A (1 1 1 2- tetrafluoroethan) og ethanol.

Prime inhalatoren, før du brugte for første gang, og i tilfælde, hvor inhalatoren ikke er blevet brugt i mere end 2 uger ved at frigive tre spray i luften væk fra ansigtet. Efter priming leverer hver aktivering 108 mcg albuterolsulfat fra aktuatorens mundstykke (svarende til 90 mcg albuterolbase). Hver dåse leverer 200 aktuationer (inhalationer).

Dette produkt indeholder ikke chlorofluorcarbons (CFC'er) som drivmiddel.

Bruger til Proair HFA

Bronchospasme

Proair HFA -inhalations aerosol er indikeret til behandling eller forebyggelse af bronchospasme hos patienter 4 år og ældre med reversibel obstruktiv luftvejssygdom.

Øvelse-induceret bronchospasme

Proair HFA-inhalations aerosol er indikeret til forebyggelse af træningsinduceret bronchospasme hos patienter 4 år og ældre.

Dosering til Proair HFA

Bronchospasme

Til behandling af akutte episoder af bronchospasme eller forebyggelse af symptomer forbundet med bronchospasme Den sædvanlige dosering for voksne og børn 4 år og ældre er to inhalationer, der gentages hver 4 til 6 time. Hyppigere administration eller et større antal inhalationer anbefales ikke. Hos nogle patienter kan en inhalation hver 4. time være tilstrækkelig.

Øvelse-induceret bronchospasme

Den sædvanlige dosering for voksne og børn 4 år eller ældre er to inhalationer 15 til 30 minutter før træning.

Administrationsoplysninger

Administrer kun Proair HFA ved oral inhalation. Ryst godt inden hver spray. For at opretholde korrekt brug af dette produkt og for at forhindre opbygning af medicin og blokering er det vigtigt at følge rengøringsretningen omhyggeligt.

Priming

Prime inhalatoren, før du brugte for første gang, og i tilfælde, hvor inhalatoren ikke er blevet brugt i mere end 2 uger ved at frigive tre spray i luften væk fra ansigtet.

Rensning

Som med alle HFA-holdige albuterolinhalatorer for at opretholde korrekt brug af dette produkt og for at forhindre opbygning af medicin og blokering er det vigtigt at rengøre plastens mundstykket regelmæssigt. Inhalatoren kan ophøre med at levere medicin, hvis plastaktuatorens mundstykke ikke rengøres korrekt og tørres. For at rengøre: Vask det plastiske mundstykke med varmt rindende vand i 30 sekunder ryster overskydende vand og lufttørre grundigt mindst en gang om ugen. Hvis patienten har mere end en Proair HFA -inhalator, skal patienten vaske hver enkelt separat for at forhindre fastgørelse af den forkerte dåse til den forkerte plastaktuator. På denne måde kan patienten sørge for altid at kende det rigtige antal resterende doser. Fastgør aldrig en beholder med medicin fra nogen anden inhalator til Proair HFA -aktuatoren og fastgør aldrig Proair HFA -dåse til en aktuator fra nogen anden inhalator. Hvis mundstykket bliver blokeret ved at vaske mundstykket, fjerner blokeringen. Hvis det er nødvendigt at bruge inhalatoren, før det er helt tørt ryster overskydende vandudskift dåse spray to gange i luften væk fra ansigtet og tag den foreskrevne dosis. Efter sådan brug skal mundstykket genvælles og får lov til at lufttørres grundigt. [se FDA-godkendt Patientmærkning ].

Dosis tæller

Proair HFA har en dosis tæller fastgjort til aktuatoren. Når patienten modtager inhalatoren, vises en sort prik i visningsvinduet, indtil den er primet 3 gange, på hvilket tidspunkt antallet 200 vises. Dosis tæller tæller hver gang en spray frigøres. Når doseringstælleren når 20, ændres farven på tallene til rød for at minde patienten om at kontakte deres farmaceut for en påfyldning af medicin eller konsultere deres læge for en receptpligtig påfyldning.

Når dosis tælleren når 0, ændres baggrunden til fast rød. Proair HFA -inhalator skal kasseres, når dosis tæller viser 0 eller efter udløbsdatoen på produktet, alt efter hvad der kommer først.

Hvor leveret

Doseringsformer

Proair HFA er en inhalations aerosol. Proair HFA leveres som en 8,5 g/200 aktuationer under tryk aluminiumsbeholder med en rød plastaktuator med en dosis tæller og hvid støvkappe hver i kasser med en. Hver aktivering leverer 120 mcg albuterolsulfat fra dåseventilen og 108 mcg albuterolsulfat fra aktuatorens mundstykket (svarende til 90 mcg albuterolbase).

Opbevaring

Proair HFA (Albuterol Sulfate) Inhalation Aerosol Leveres som en undertrykket aluminiumsbeholder med en rød plastaktuator med en dosis tæller og hvid støvkappe hver i kasser på en. Hver beholder indeholder 8,5 g af formuleringen og leverer 200 aktivering ( NDC 59310-579-22). Hver aktivering leverer 120 mcg albuterolsulfat fra dåseventilen og 108 mcg albuterolsulfat fra aktuatorens mundstykket (svarende til 90 mcg albuterolbase).

bivirkninger af gabapentin hos mennesker

Ryst godt inden brug. Opbevares mellem 15 ° og 25 ° C (59 ° og 77 ° F). Indhold under pres. Punkterer eller forbrænder ikke. Beskyt mod frysetemperaturer og langvarig eksponering for direkte sollys. Eksponering for temperaturer over 120 ° F kan forårsage sprængning. For at få de bedste resultater skal beholderen være ved stuetemperatur før brug. Undgå at sprøjte i øjnene. Hold børn uden for børn.

Se FDA-godkendt Patientmærkning Til grund og rengøringsinstruktioner.

Den røde aktuator, der leveres med Proair HFA -inhalations aerosol, bør ikke anvendes med dåse fra andre inhalations aerosolprodukter. Proair HFA -inhalations aerosolbeholderen bør ikke bruges sammen med aktuatoren fra andre inhalations aerosolprodukter.

Proair HFA -inhalator har en dosis tæller fastgjort til aktuatoren. Patienter bør aldrig forsøge at ændre tallene for doseringstælleren eller manipulere med pin -mekanismen inde i aktuatoren. Kasser Proair HFA -inhalatoren, når tælleren viser 0 eller efter udløbsdatoen på produktet, alt efter hvad der kommer først. Den mærkede mængde medicin i hver aktivering kan ikke sikres, når tælleren viser 0, selvom beholderen ikke er helt tom og vil fortsætte med at fungere. Dyber aldrig beholderen i vandet for at bestemme, hvor fuld beholderen er (float -test).

Proair HFA -inhalations aerosol indeholder ikke chlorofluorocarbons (CFC'er) som drivmiddel.

MKTD af: Teva Respiratory LLC FRAZER PA 19355. MFD Af: IVAX Pharmaceuticals Ireland Waterford Ireland.

Bivirkninger for Proair HFA

Brug af Proair HFA kan være forbundet med følgende:

Kliniske forsøg oplever

I alt 1090 forsøgspersoner blev behandlet med Proair HFA -inhalations aerosol eller med den samme formulering af albuterol som i Proair HFA -inhalations aerosol under det verdensomspændende kliniske udviklingsprogram.

Fordi kliniske forsøg udføres under vidt forskellige tilstande, kan der ikke sammenlignes bivirkninger, der er observeret i de kliniske forsøg med et lægemiddel, ikke direkte med hastigheder i de kliniske forsøg med et andet lægemiddel og muligvis ikke afspejler de satser, der er observeret i praksis.

Voksne og unge 12 år og ældre

Den bivirkning af reaktionsoplysninger, der er præsenteret i nedenstående tabel vedrørende Proair HFA-inhalations aerosol, er afledt af en 6-ugers blindet undersøgelse, der sammenlignede Proair HFA-inhalations aerosol (180 mcg fire gange dagligt) med en dobbeltblindet matchet placebo HFA-inhalation aerosol og en evaluator-blindet markedsført aktivt sammenligning HFA-134A albuterolation inhalering inhalation in 172222222222 Astmatiske patienter 12 til 76 år. Tabellen viser forekomsten af ​​alle bivirkninger (hvad enten det blev overvejet af efterforskningsmedicinrelateret eller ikke relateret til lægemiddel) fra denne undersøgelse, der forekom med en hastighed på 3% eller mere i Proair HFA -inhalations aerosolbehandlingsgruppe og hyppigere i Proair HFA -inhalations aerosolbehandlingsgruppen end i den matchede placebogruppen. Generelt var forekomsten og arten af ​​de bivirkninger, der er rapporteret for Proair HFA-inhalations aerosol og den markedsførte aktive komparator HFA-134A albuterol-inhalator, sammenlignelige.

Bivirkninger af erfaringer (% af patienterne) i et seks ugers klinisk forsøg*

Kropssystem/ bivirkning (som foretrukket udtryk) Proair HFA Inhalation Aerosol
(N = 58)
Markedsført aktiv komparator HFA-134A albuterol inhalator
(N = 56)
Matchet placebo HFA-134A Inhalation Aerosol
(N = 58)
Krop som helhed Hovedpine 7 5 2
Kardiovaskulær Takykardi 3 2 0
Muskuloskeletal Smerte 3 0 0
Nervesystem Svimmelhed 3 0 0
Åndedrætssystem Pharyngitis 14 7 9
Rhinitis 5 4 2
* Denne tabel inkluderer alle bivirkninger (hvad enten det blev overvejet af efterforskerens lægemiddelrelateret eller ikke -relateret til lægemiddel), der forekom med en forekomst på mindst 3,0% i Proair HFA -inhalations aerosolgruppen Proair HFA -inhalations aerosol end i placebo HFA -inhalationsluerosolgruppen.

Bivirkninger rapporteret af mindre end 3% af de patienter, der fik Proair HFA -inhalations aerosol, men af ​​en større andel af Proair HFA -inhalation Aerosolpatienter end de matchede placebo -patienter, der har potentialet til at være relateret til Proair HFA -inhalations aerosol, inkluderede brystsmerter infektion diarrhea glossitis utilsigtet skade (nervesystem) angst dyspnea øreforstyrrelsespmerter og urintrakt infektion.

I små kumulative dosisundersøgelser var rysten nervøsitet og hovedpine de hyppigst forekommende bivirkninger.

Pædiatriske patienter 4 til 11 år

Bivirkninger rapporteret i et 3-ugers pædiatrisk klinisk forsøg, der sammenligner den samme formulering af albuterol som i Proair HFA-inhalations aerosol (180 mcg albuterol fire gange dagligt) til en matchende placebo HFA-inhalations aerosol forekom med en lav forekomst (ikke større end 2% i den aktive behandlingsgruppe) og var ens med dem, der blev set i voksne og unge forsøg.

Oplevelse af postmarketing

Følgende bivirkninger er blevet identificeret under postapproval brug af Proair HFA. Fordi disse reaktioner rapporteres frivilligt fra en population af usikker størrelse, er det ikke altid muligt at pålideligt estimere deres frekvens eller etablere et årsagsforhold til eksponering for lægemidler. Rapporter har inkluderet sjældne tilfælde af skærpet bronchospasme Mangel på effektivitetsasstikforværring (rapporteret dødelig i et tilfælde) muskelkramper og forskellige oropharyngeale bivirkninger, såsom halsirritation ændret smag glossitis tunge ulceration og gagging.

Følgende bivirkninger er blevet observeret ved postapproval brug af inhaleret albuterol: urticaria angioedema udslæt bronchospasme heshed oropharyngeal ødemer og arytmier (inklusive atrieflimmers supraventrikulær tachycardia ekstrasystoler). Derudover kan albuterol som andre sympatomimetiske midler forårsage bivirkninger, såsom: angina -hypertension eller hypotension -hjertebanken centralnervesystemstimulering Insomnias hovedpine nervøsitet rysten muskelkramper tørring eller irritation af oropharynx hypokalæmi hyperglykæmi og metabolisk acidose.

Lægemiddelinteraktioner for Proair HFA

Andre kortvirkende sympatomimetiske aerosolbronchodilatorer bør ikke anvendes samtidig med Proair HFA-inhalations aerosol. Hvis der skal administreres yderligere adrenergiske lægemidler på enhver rute, skal de bruges med forsigtighed for at undgå skadelige kardiovaskulære effekter.

Betablokkere

Beta-adrenerg-receptorblokeringsmidler blokerer ikke kun lungeffekten af ​​beta-agonister, såsom proair HFA-inhalations aerosol, men kan producere alvorlig bronchospasme hos astmatiske patienter. Derfor bør patienter med astma normalt ikke behandles med betablokkere. Under visse omstændigheder f.eks. Som profylakse efter myokardieinfarkt er der muligvis ingen acceptable alternativer til brugen af ​​beta-adrenerg-blokerende midler hos patienter med astma. I denne indstilling skal du overveje kardioselektive betablokkere, selvom de skal administreres med forsigtighed.

Diuretika

EKG-ændringer og/eller hypokalæmi, der kan være resultatet af administration af ikke-potassium, der sparsomme diuretika (såsom loop eller thiaziddiuretika), kan forværres akut af beta-agonister, især når den anbefalede dosis af beta-agonist overskrides. Selvom den kliniske betydning af disse effekter ikke er kendt forsigtighed til rådighed i samtidig administration af beta-agonister med ikke-potassium, der sparer diuretika. Overvej overvågning af kaliumniveauer.

Digoxin

Gennemsnitlige fald på 16% og 22% i serum -digoxinniveauer blev demonstreret efter henholdsvis enkelt dosis intravenøs og oral administration af albuterol til normale frivillige, der havde modtaget digoxin i 10 dage. Den kliniske betydning af disse fund for patienter med obstruktiv luftvejssygdom, der modtager albuterol og digoxin på kronisk basis, er uklar. Ikke desto mindre ville det være forsigtigt at omhyggeligt evaluere serum -digoxinniveauerne hos patienter, der i øjeblikket modtager digoxin og proair HFA -inhalations aerosol.

Monoaminoxidaseinhibitorer eller tricykliske antidepressiva

Proair HFA Inhalation Aerosol should be administered with extreme caution to patients being treated with Monoaminoxidaseinhibitorer or Tricykliske antidepressiva or within 2 weeks of discontinuation of such agents because the action of albuterol on the cardiovascular system may be potentiated. Consider alternative therapy in patients taking MAO inhibitors or Tricykliske antidepressiva.

Advarsler for Proair HFA

Inkluderet som en del af FORHOLDSREGLER afsnit.

Forholdsregler for Proair HFA

Paradoksal bronchospasme

Proair HFA Inhalation Aerosol can produce paradoxical bronchospasm that may be life threatening. If paradoxical bronchospasm occurs Proair HFA Inhalation Aerosol should be discontinued immediately og alternative therapy instituted. It should be recognized that paradoxical bronchospasm when associated with inhaled formulations frequently occurs with the first use of a new canister.

Forringelse af astma

Astma kan forringes akut over en periode på timer eller kronisk over flere dage eller længere. Hvis patienten har brug for flere doser af Proair HFA-inhalations aerosol end normalt, kan dette være en markør for destabilisering af astma og kræver reevaluering af patienten og behandlingsregimen, der giver særlig hensyntagen til det mulige behov for antiinflammatorisk behandling f.eks. Kortikosteroider.

Brug af antiinflammatoriske midler

Brugen af ​​beta-adrenerg-agonist-bronchodilatorer alene er muligvis ikke tilstrækkelig til at kontrollere astma hos mange patienter. Tidlig overvejelse bør overvejes til tilføjelse af antiinflammatoriske midler, f.eks. Kortikosteroider til det terapeutiske regime.

Kardiovaskulær Effects

Proair HFA Inhalation Aerosol like other beta-adrenergic agonists can produce clinically significant cardiovascular effects in some patients as measured by pulse rate blood pressure og/or symptoms. Although such effects are uncommon after administration of Proair HFA Inhalation Aerosol at recommended doses if they occur the drug may need to be discontinued. In addition beta-agonists have been reported to produce ECG changes such as flattening of the T wave prolongation of the QTc interval og ST segment depression. The clinical significance of these findings is unknown. Therefore Proair HFA Inhalation Aerosol like all sympathomimetic amines should be used with caution in patients with cardiovascular disorders especially coronary insufficiency cardiac arrhythmias og hypertension.

Overskrid ikke den anbefalede dosis

Der er rapporteret om dødsfald i forbindelse med overdreven anvendelse af inhalerede sympatomimetiske lægemidler hos patienter med astma. Den nøjagtige dødsårsag er ukendt, men hjertestop efter en uventet udvikling af en alvorlig akut astmatisk krise, og der er mistanke om efterfølgende hypoxi.

Umiddelbare overfølsomhedsreaktioner

Umiddelbare overfølsomhedsreaktioner kan forekomme efter administration af albuterolsulfat som demonstreret af sjældne tilfælde af urticaria angioødemaudslæt bronchospasme -anafylaksi og oropharyngeal ødem. Potentialet for overfølsomhed skal overvejes i den kliniske evaluering af patienter, der oplever øjeblikkelige overfølsomhedsreaktioner, mens de modtager Proair HFA -inhalations aerosol.

Sameksisterende forhold

Proair HFA Inhalation Aerosol like all sympathomimetic amines should be used with caution in patients with cardiovascular disorders especially coronary insufficiency cardiac arrhythmias og hypertension; in patients with convulsive disorders hyperthyroidism or diabetes mellitus; og in patients who are unusually responsive to sympathomimetic amines. Clinically significant changes in systolic og diastolic blood pressure have been seen in individual patients og could be expected to occur in some patients after use of any beta-adrenergic bronchodilator. Large doses of intravenous albuterol have been reported to aggravate preexisting diabetes mellitus og ketoacidosis.

Hypokalæmi

Som med andre beta-agonists Proair HFA-inhalations aerosol kan give signifikant hypokalæmi hos nogle patienter muligvis gennem intracellulær shunting, som har potentialet til at producere uheldige hjerte-kar-effekter. Faldet er normalt forbigående, der ikke kræver tilskud.

Oplysninger om patientrådgivning

Se FDA-godkendt Patientmærkning

Patienter skal have følgende oplysninger:

Brugsfrekvens

Handlingen af ​​proair HFA -inhalations aerosol skal vare i 4 til 6 timer. Brug ikke Proair HFA -inhalations aerosol oftere end anbefalet. Instruer patienter om ikke at øge dosis eller hyppighed af doser af Proair HFA -inhalations aerosol uden at konsultere lægen. Hvis patienter finder, at behandling med Proair HFA -inhalations aerosol bliver mindre effektiv til symptomatiske relieffesymptomer bliver værre, og/eller de er nødt til at bruge produktet oftere end normalt, skal de straks søge lægehjælp.

Priming And Rensning

Priming

Priming is essential to ensure appropriate albuterol content in each actuation. Instruct patients to prime the inhaler before using for the first time og in cases where the inhaler has not been used for more than 2 weeks by releasing three sprays into the air away from the face.

marriott amsterdam

Rensning

For at sikre korrekt dosering og forebyggelse af blokering af aktuatoråbninger instruerer patienterne om at vaske den røde plastaktuator mundstykke og tørre grundigt mindst en gang om ugen. Instruer patienter om, at hvis de har mere end en Proair HFA -inhalator, skal de vaske hver enkelt på separate tidspunkter for at forhindre at fastgøre den forkerte dåse til den forkerte plastaktuator. På denne måde kan de være sikre på, at de altid vil kende det rigtige antal resterende doser. Patienter skal instrueres om aldrig at fastgøre en dåse med medicin fra nogen anden inhalator til Proair HFA -aktuatoren og aldrig fastgøre Proair HFA -dåse til en aktuator fra nogen anden inhalator. Patienter bør ikke fjerne dåse fra aktuatoren undtagen under rengøring, fordi reattachment kan frigive en dosis i luften, og dosis tæller tæller hver gang en spray frigøres. Detaljerede rengøringsinstruktioner er inkluderet i den illustrerede information til patientens folder.

Dosis tæller

Patienter skal informeres om, at Proair HFA har en dosis tæller knyttet til aktuatoren. Når patienten modtager inhalatoren, vises en sort prik i visningsvinduet, indtil den er primet 3 gange, på hvilket tidspunkt antallet 200 vises. Dosis tæller tæller hver gang en spray frigøres. Vinduet med dosisoptælling viser antallet af spray, der er tilbage i inhalatoren i enheder på to (f.eks. 200 198 196 osv.). Når tælleren viser 20, vil farven på tallene ændre sig til rød for at minde patienten om at kontakte deres farmaceut for en påfyldning af medicin eller konsultere deres læge for en receptpligtig genopfyldning. Når dosis tælleren når 0, ændres baggrunden til fast rød. Patienter skal informeres om at kassere Proair HFA -inhalator, når dosis tæller viser 0 eller efter udløbsdatoen på produktet, alt efter hvad der kommer først.

Paradoksal bronchospasme

Informer patienter om, at Proair HFA -inhalations aerosol kan producere paradoksal bronchospasme. Instruer patienter om at afbryde proair HFA -inhalations aerosol, hvis paradoksal bronchospasme forekommer.

Samtidig stofbrug

Mens patienter tager Proair HFA -inhalations aerosol, skal andre inhalerede lægemidler og astmamedicin kun tages som instrueret af en læge.

Almindelige bivirkninger

Almindelige bivirkninger af behandling med inhaleret albuterol inkluderer hjertebestandighed brystsmerter hurtig hjerterytme rystelse eller nervøsitet.

Graviditet

Patienter, der er gravide eller sygepleje, skal kontakte deres læge om brugen af ​​Proair HFA -inhalations aerosol.

Der er et graviditetseksponeringsregister, der overvåger graviditetsresultater hos kvinder udsat for astmamedicin under graviditet [Se Brug i specifikke populationer ].

Generel information om brug

Effektiv og sikker anvendelse af Proair HFA -inhalations aerosol inkluderer en forståelse af den måde, den skal administreres på.

Ryst godt inden hver spray.

Brug Proir HFA -inhalations aerosol kun med aktuatoren leveret med produktet. Kasser Proair HFA -inhalatoren, når dosis tæller viser 0 eller efter udløbsdatoen på produktet, uanset hvad der kommer. Dyber aldrig beholderen i vand for at bestemme, hvor fuld beholderen er (float -test).

Generelt ligner teknikken til indgivelse af Proair HFA -inhalations aerosol til børn for den for voksne. Børn skal bruge Proair HFA -inhalations aerosol under voksne tilsyn som instrueret af patientens læge.

FDA-godkendt Patientmærkning

Se tear-off illustrated Oplysninger til patienten indlægsseddel.

Ikke -klinisk toksikologi

Karcinogenese mutagenese nedskrivning af fertilitet

I en 2-årig undersøgelse i Sprague-Dawley-rotter forårsagede albuterolsulfat en dosisrelateret stigning i forekomsten af ​​godartede leiomyomer i mesovarium ved og over diætdoser på 2 mg/kg (ca. 15 gange og 6 gange det maksimale anbefalede humane daglige inhalationsdosis (MRHDID) for voksne og børn henholdsvis på et MG/mg-grundlag). I en anden undersøgelse blev denne effekt blokeret af samtidig administration af propranolol en ikke-selektiv beta-adrenerg antagonist. I en 18-måneders undersøgelse i CD-1 mus viste albuterolsulfat ingen tegn på tumorigenicitet ved diætdoser på op til 500 mg/kg (ca. 1900 gange og 740 gange MRHDID for voksne og børn på henholdsvis mg/m² basis). I en 22-måneders undersøgelse i gyldne hamstere viste albuterolsulfat ingen tegn på tumorigenicitet ved diætdoser på op til 50 mg/kg (ca. 250 gange og 100 gange MRHDID for voksne og børn på henholdsvis mg/m² basis).

Albuterolsulfat var ikke mutagen i AMES -testen eller en mutationstest i gær. Albuterolsulfat var ikke klastogen i et humant perifert lymfocytassay eller i en AH1 -stamme mus micronucleus -assay.

Reproduktionsundersøgelser hos rotter demonstrerede intet bevis for nedsat fertilitet ved orale doser op til 50 mg/kg (ca. 380 gange MRHDID for voksne på mg/m² -basis).

Brug i specifikke populationer

Graviditet

Graviditet Exposure Registry

Der er et graviditetseksponeringsregister, der overvåger graviditetsresultater hos kvinder, der udsættes for astmamedicin under graviditet. For mere information kontakt mødrene til baby graviditetsundersøgelser udført af organiseringen af ​​teratologiske informationsspecialister på 1-877-311-8972 eller besøg https://mothertobaby.org/pregnancystudies/.

Risikooversigt

Der er ingen randomiserede kliniske undersøgelser af anvendelse af albuterol under graviditet. Tilgængelige data fra offentliggjorte epidemiologiske undersøgelser og postmarketing -sagsrapporter om graviditetsresultater efter inhaleret albuterolbrug viser ikke konsekvent en risiko for store fødselsdefekter eller spontanabort. Der er kliniske overvejelser med brug af albuterol hos gravide kvinder [se Kliniske overvejelser ]. In animal reproduction studies when Albuterolsulfat was administered subcutaneously to pregnant mice there was evidence of cleft palate at less than og up to 9 times the maximum recommended human daily inhalation dose (MRHDID) [see Data ].

Den estimerede baggrundsrisiko for store fødselsdefekter og spontanabort for den (er), der er angivet, er ukendt. I den amerikanske generelle befolkning er den estimerede risiko for store fødselsdefekter og spontanabort i klinisk anerkendte graviditeter henholdsvis 2 til 4% og 15 til 20%.

Kliniske overvejelser

Sygdomsassocieret moderlig og/eller embryo/føtal risiko

Hos kvinder med dårligt eller moderat kontrolleret astma er der en øget risiko for præeklampsi hos moren og for prematuritet lav fødselsvægt og lille for svangerskabsalder i nyfødte. Gravide kvinder skal overvåges nøje, og medicin justeres efter behov for at opretholde optimal kontrol.

Arbejde eller levering

På grund af potentialet for beta-agonist-interferens med uterus kontraktilitetsanvendelse af Proair HFA-inhalations aerosol til lindring af bronchospasme under fødslen bør begrænses til de patienter, hvor fordelene tydeligt opvejer risikoen. Proair HFA-inhalations aerosol er ikke godkendt til håndtering af præ-term arbejdskraft. Der er rapporteret om alvorlige bivirkninger, herunder lungeødem under eller efter behandling af for tidligt arbejde med beta2-agonister inklusive albuterol.

Data

Dyredata

I en musegengivelsesundersøgelse producerede subkutant indgivet albuterolsulfat-dannelse af ganespalte i 5 ud af 111 (NULL,5%) fostre ved en eksponering ni tiendedele af MRHDID for voksne (på mg/m² basis i en moderlig doser på 0,25 mg/kg) og i 10 af 108 (NULL,3%) fetuser ved en mødre dosis på MR (MR på MR) et mg/m² basis til en moderlig dosis på 2,5 mg/kg). Lignende effekter blev ikke observeret ved cirka en-ellenth MRHDID for voksne (på mg/m²-basis til en moderlig dosis på 0,025 mg/kg). Spalte gane forekom også i 22 af 72 (NULL,5%) fostre fra kvinder, der blev behandlet subkutant med isoproterenol (positiv kontrol).

I en Rabbit -reproduktionsundersøgelse inducerede oralt albuterolsulfat Cranioschisis i 7 af 19 fostre (37%) ca. 750 gange MRHDID (på mg/m² -basis i en moderlig dosis på 50 mg/kg).

I en rotte-reproduktionsundersøgelse producerede en albuterolsulfat/HFA-134A-formulering, der blev administreret ved inhalation, ikke nogen teratogene virkninger ved eksponeringer ca. 80 gange MRHDID (på mg/m²-basis i en moders dosis på 10,5 mg/kg).

En undersøgelse, hvor gravide rotter blev doseret med radiomærket albuterolsulfat, demonstrerede, at lægemiddelrelateret materiale overføres fra moderens cirkulation til fosteret.

Amning

Risikooversigt

Der er ingen tilgængelige data om tilstedeværelsen af ​​albuterol i human mælk Virkningerne på det ammede barn eller virkningerne på mælkeproduktionen. Imidlertid er plasmaniveauer af albuterol efter inhaleret terapeutiske doser lave hos mennesker, og hvis de er til stede i modermælk, har albuterol en lav oral biotilgængelighed [se Klinisk farmakologi ].

De udviklingsmæssige og sundhedsmæssige fordele ved amning bør overvejes sammen med mors kliniske behov for albuterol og eventuelle bivirkninger på det ammede barn fra albuterol eller fra den underliggende moderlige tilstand.

Pædiatrisk brug

Sikkerheden og effektiviteten af ​​Proair HFA-inhalations aerosol til behandling eller forebyggelse af bronkospasme hos børn, der er 12 år og ældre med reversibel obstruktiv luftvejssygdom, er baseret på en 6-ugers klinisk undersøgelse i 116 patienter 12 år og ældre med astma og 270 mcg med placering af 180 mcg fire gange med placebo og en enkelt dosis tværundersøgelse, der sammenligner doser af 90 180 og 270 McG med placering af 58 Kliniske studier ]. The safety og effectiveness of Proair HFA Inhalation Aerosol for treatment of exercise-induced bronchospasm in children 12 years of age og older is based on one single-dose crossover study in 24 adults og adolescents with exercise-induced bronchospasm comparing doses of 180 mcg with placebo [see Kliniske studier ].

Sikkerheden ved Proair HFA-inhalations aerosol hos børn 4 til 11 år er baseret på et 3-ugers klinisk forsøg hos 50 patienter 4 til 11 år med astma ved anvendelse af den samme formulering af albuterol som i Proair HFA-inhalations aerosol, der sammenligner doser på 180 mcg fire gange dagligt med placebo. The effectiveness of PROAIR HFA Inhalation Aerosol in children 4 to 11 years of age is extrapolated from clinical trials in patients 12 years of age and older with asthma and exercise-induced bronchospasm based on data from a single-dose study comparing the bronchodilatory effect of PROAIR HFA 90 mcg and 180 mcg with placebo in 55 patients with asthma and a 3-week clinical trial using the same formulation of Albuterol som i Proair HFA Inhalation Aerosol hos 95 astmatiske børn 4 til 11 år gammel sammenligning af en dosis på 180 mcg albuterol fire gange dagligt med placebo [se Kliniske studier ].

Sikkerheden og effektiviteten af ​​Proair HFA -inhalations aerosol hos pædiatriske patienter under 4 år er ikke blevet fastlagt.

Geriatrisk brug

Kliniske undersøgelser af Proair HFA -inhalations aerosol inkluderede ikke tilstrækkeligt antal patienter i alderen 65 år og derover for at afgøre, om de reagerer forskelligt fra yngre patienter. Andre rapporterede kliniske erfaringer har ikke identificeret forskelle i responser mellem ældre og yngre patienter. Generelt skal valg af dosis for en ældre patient være forsigtig, der normalt starter ved den lave ende af doseringsområdet, der afspejler den større hyppighed af nedsat leverrenal eller hjertefunktion og af samtidig sygdom eller anden lægemiddelterapi [se Advarsler og FORHOLDSREGLER ].

Alle beta2-adrenerge agonister, inklusive albuterol, vides at være væsentligt udskilt af nyrerne, og risikoen for toksiske reaktioner kan være større hos patienter med nedsat nyrefunktion. Fordi ældre patienter er mere tilbøjelige til at have nedsat nyrefunktionspleje, bør udtages i dosisudvælgelse, og det kan være nyttigt at overvåge nyrefunktionen.

Overdoseringsoplysninger til Proair HFA

De forventede symptomer med overdosering er dem af overdreven betaadrenerg stimulering og/eller forekomst eller overdrivelse af nogen af ​​de symptomer, der er anført under bivirkninger, f.eks. anfald angina hypertension eller hypotension takykardi med satser op til 200 slag pr. minuts arytmier nervøsitet hovedpine rystelse rystelse af mundens hjertebanken kvalme svimmelhed træthed ubehag og søvnløshed.

Hypokalæmi may also occur. As with all sympathomimetic medications cardiac arrest og even death may be associated with abuse of Proair HFA Inhalation Aerosol.

Behandling består af seponering af Proair HFA -inhalations aerosol sammen med passende symptomatisk terapi. Den fornuftige anvendelse af en kardioselektiv beta-receptorblokker kan betragtes som under hensyntagen til, at sådan medicin kan producere bronchospasme. Der er utilstrækkelig dokumentation til at bestemme, om dialyse er fordelagtigt til overdosering af Proair HFA -inhalations aerosol.

Den orale median -dødelige dosis af albuterolsulfat hos mus er større end 2000 mg/kg (ca. 6800 gange den maksimale anbefalede daglige inhalationsdosis for voksne på mg/m² basis og ca. 3200 gange den maksimale anbefalede daglige inhalationsdosis for børn på mg/m² -basis). Hos modne rotter er den subkutane median -dødelige dosis af albuterolsulfat ca. 450 mg/kg (ca. 3000 gange den maksimale anbefalede daglige inhalationsdosis for voksne på mg/m² basis og ca. 1400 gange den maksimale anbefalede daglige inhalationsdosis for børn på mg/m² basis). Hos unge rotter er den subkutane median -dødelige dosis ca. 2000 mg/kg (ca. 14000 gange den maksimale anbefalede daglige inhalationsdosis for voksne på mg/m² basis og ca. 6400 gange den maksimale anbefalede daglige inhalationsdosis for børn på mg/m² basis). Inhalations median -dødelig dosis er ikke bestemt hos dyr.

Kontraindikationer for Proair HFA

Proair HFA Inhalation Aerosol is contraindicated in patients with a history of hypersensitivity to albuterol og any other Proair HFA Inhalation Aerosol components. Rare cases of hypersensitivity reactions including urticaria angioedema og udslæt have been reported after the use of Albuterolsulfat [see Advarsler og FORHOLDSREGLER ].

Klinisk farmakologi for Proair HFA

Handlingsmekanisme

Albuterolsulfat er en beta 2-adrenerg agonist. De farmakologiske virkninger af albuterolsulfat kan tilskrives aktivering af beta 2-adrenergiske receptorer på glat muskel i luftvejene. Aktivering af beta2-adrenergiske receptorer fører til aktivering af adenylcyclase og til en stigning i den intracellulære koncentration af cyklisk-3 '5'-adenosinmonophosphat (cyklisk AMP). Denne stigning i cyklisk AMP er forbundet med aktivering af proteinkinase A, som igen hæmmer phosphorylering af myosin og sænker intracellulær ioniske calciumkoncentrationer, hvilket resulterer i muskelafslapning. Albuterol slapper af den glatte muskel på alle luftveje fra luftrøret til de terminale bronchioler. Albuterol fungerer som en funktionel antagonist for at slappe af luftvejen uanset spasmogen involveret og dermed beskytte mod alle bronchokonstriktorudfordringer. Forøgede cykliske AMP -koncentrationer er også forbundet med inhibering af frigivelse af mediatorer fra mastceller i luftvejene. Mens det erkendes, at beta2adrenergiske receptorer er de dominerende receptorer på bronchiale glatte muskeldata indikerer, at der er beta-receptorer i det menneskelige hjerte 10% til 50% af dem er hjerte-beta2-adrenerge receptorer. Den nøjagtige funktion af disse receptorer er ikke blevet fastlagt [se Advarsler og FORHOLDSREGLER ].

Albuterol er blevet vist i de fleste kontrollerede kliniske forsøg for at have mere effekt på luftvejene i form af bronchial glat muskelafslapning end isoproterenol ved sammenlignelige doser, mens de producerer færre kardiovaskulære effekter. Imidlertid kan inhaleret albuterol som andre beta-adrenerge agonist-lægemidler producere en betydelig hjerte-kar-effekt hos nogle patienter målt ved pulsfrekvens Blodtrykssymptomer og/eller elektrokardiografiske ændringer [se Advarsler og FORHOLDSREGLER ].

Farmakokinetik

De systemiske niveauer af albuterol er lave efter inhalation af anbefalede doser. I en crossover -undersøgelse udført i raske mandlige og kvindelige frivillige høje kumulative doser af Proair HFA -inhalations aerosol (1080 mcg albuterolbase indgivet over en time) gav PG/ML og 28426 pg/ml*HR henholdsvis ca. 3100 pg/ml og 28426 pg/ml*. PG/ml og 28395 Pg/ml*HR efter den samme dosis af en aktiv HFA-134A albuterol-inhalator-komparator. Den terminale plasmahalveringstid for albuterol leveret ved Proair HFA-inhalations aerosol var cirka 6 timer. Sammenligning af de farmakokinetiske parametre demonstrerede ingen forskelle mellem produkterne.

Den farmakokinetiske profil af Proair HFA-inhalations aerosol blev evalueret i en tovejs tværundersøgelse i 11 sunde pædiatriske frivillige 4 til 11 år. En enkelt dosisadministration af Proair HFA-inhalations aerosol (180 mcg albuterol-base) gav et mindst kvadrat gennemsnit (SE) Cmax og AUC0-∞ på henholdsvis 1100 (NULL,18) PG/ml og 5120 (NULL,15) Pg/ml*HR. Det mindst kvadratiske gennemsnit (SE) terminal plasmahalveringstid for albuterol leveret ved Proair HFA-inhalations aerosol var 166 (NULL,8) minutter.

gode bøger om rejser
Metabolisme og eliminering

Oplysninger, der er tilgængelige i den offentliggjorte litteratur, antyder, at det primære enzym, der er ansvarligt for metabolismen af ​​albuterol hos mennesker, er Sultia3 (sulfotransferase). Når racemisk albuterol blev administreret enten intravenøst ​​eller via inhalation efter oral trækuladministration, var der en 3-til 4 gange forskel i området under koncentrationstidskurverne mellem (R) -and (S) albuterol-enantiomerer med (S) -albuterolkoncentrationer, der var konsekvent højere. Uden kulforbehandling efter enten oral eller inhalationsadministration var forskellene imidlertid 8 til 24 gange, hvilket antydede, at (R) -albuterol fortrinsvis metaboliseres i mave-tarmkanalen formodentlig af Sultia3.

Den primære rute for eliminering af albuterol er gennem renal udskillelse (80% til 100%) af enten moderforbindelsen eller den primære metabolit. Mindre end 20% af lægemidlet påvises i fæces. Efter intravenøs administration af racemisk albuterol mellem 25% og 46% af (R) -albuterolfraktionen af ​​dosis blev udskilt som uændret (R) -albuterol i urinen.

Geriatrisk pædiatrisk lever/nyre nedsat

Der er ikke udført farmakokinetiske undersøgelser for Proair HFA -inhalations aerosol hos nyfødte eller ældre personer.

Effekten af ​​leverindvinding på farmakokinetikken af ​​Proair HFA -inhalations aerosol er ikke blevet evalueret.

Effekten af ​​nedsat nyrefunktion på farmakokinetikken af ​​albuterol blev evalueret hos 5 personer med kreatininklarering på 7 til 53 ml/min, og resultaterne blev sammenlignet med dem fra raske frivillige. Nyresygdom havde ingen indflydelse på halveringstiden, men der var et fald på 67% i albuterol-clearance. Der skal anvendes forsigtighed, når man administrerer høje doser af Proair HFA -inhalations aerosol til patienter med nedsat nyrefunktion [se Brug i specifikke populationer ].

Dyretoksikologi og/eller farmakologi

Præklinisk

Intravenøse undersøgelser hos rotter med albuterolsulfat har vist, at albuterol krydser blod-hjerne-barrieren og når hjernekoncentrationer på ca. 5% af plasmakoncentrationerne. I strukturer uden for blod-hjerne-barrieren (pineal- og hypofysekirtler) viste albuterolkoncentrationer sig at være 100 gange dem i hele hjernen.

Undersøgelser i laboratoriedyr (minipigs gnavere og hunde) har vist forekomsten af ​​hjertearytmier og pludselig død (med histologisk bevis for myokardial nekrose), når ß-agonister og methylxanthiner blev administreret samtidigt. Den kliniske betydning af disse fund er ukendt.

Propellant HFA -134A er blottet for farmakologisk aktivitet undtagen ved meget høje doser hos dyr (380 -1300 gange den maksimale humane eksponering baseret på sammenligninger af AUC -værdier) primært producerer ataksi -rysten dyspnø eller spyt. Disse ligner effekter produceret af de strukturelt relaterede chlorofluorocarbons (CFC'er), som er blevet anvendt i vid udstrækning i metterede dosis inhalatorer.

Hos dyr og mennesker viste det sig, at drivmiddel HFA -134A hurtigt blev absorberet og hurtigt elimineret med en eliminationshalvering på 3-27 minutter i dyr og 5-7 minutter hos mennesker. Tid til maksimal plasmakoncentration (Tmax) og gennemsnitlig opholdstid er begge ekstremt kort, hvilket fører til et kortvarigt udseende af HFA-134A i blodet uden bevis for akkumulering.

Kliniske studier

Bronchospasme Associated With Asthma

Voksne og unge patienter 12 år og ældre

I en 6-ugers randomiseret dobbeltblind placebokontrolleret forsøgsproair HFA-inhalations aerosol (58 patienter) blev sammenlignet med en matchet placebo HFA-inhalations aerosol (58 patienter) hos astmatiske patienter 12 til 76 år i en dosis på 180 mcg albuterol fire gange dagligt. En evaluator-blind markedsført aktiv komparator HFA-134A albuterolinhalatorarm (56 patienter) blev inkluderet.

Serial Fev 1 Målinger vist nedenfor som procent ændrer sig fra testdagens baseline på dag 1 og på dag 43 demonstrerede, at to inhalationer af Proair HFA-inhalations aerosol producerede signifikant større forbedring i FEV 1 Over forbehandlingsværdien end den matchede placebo såvel som en sammenlignelig bronchodilatoreffekt med den markedsførte aktive komparator HFA-134A albuterol-inhalator.

Fev 1 Som gennemsnitlig procentdel ændres fra testdag før-dosis i et 6-ugers klinisk forsøg

Fev <sub> 1 </sub>  Som gennemsnitlig procentdel ændres fra testdag før-dosis i et 6-ugers klinisk forsøg </td>  </tr>  </tbody>  </table></div>  </center>  <p >    <b> Dag 43 </b>      <br>  </p>  <center>  <div class="table-responsive"><table class="table">  <tbody>  <tr>  <td>   <img src= (albuterol sulfat) Inhalation aerosol

Læs denne patientinformation, før du begynder at bruge Proair HFA, og hver gang du får en påfyldning. Der kan være nye oplysninger. Disse oplysninger indtager ikke stedet for at tale med din læge om din medicinske tilstand eller din behandling.

Hvad er Proair HFA?

Rød og sort pille ampi 500

Proair HFA er en receptpligtig medicin, der bruges i mennesker 4 år og ældre til:

  • Behandl eller forhindrer bronchospasme hos mennesker, der har reversibel obstruktiv luftvejssygdom
  • forhindre øvelse induceret bronchospasme

Det vides ikke, om Proair HFA er sikker og effektiv hos børn under 4 år.

Hvem skal ikke bruge Proair HFA?

Brug ikke Proair HFA, hvis du er allergiske over for albuterolsulfat eller nogen af ​​ingredienserne i Proair HFA. Se slutningen af ​​denne indlægsseddel for en komplet liste over ingredienser i Proair HFA.

Hvad skal jeg fortælle min læge, før jeg bruger Proair HFA?

Før du bruger Proair HFA, fortæl din læge, hvis du:

  • har hjerteproblemer
  • har højt blodtryk (hypertension)
  • har kramper (anfald)
  • Har skjoldbruskkirtelproblemer
  • har diabetes
  • har lave kaliumniveauer i dit blod
  • er gravide eller planlægger at blive gravid. Det vides ikke, om Proair HFA vil skade din ufødte baby. Tal med din læge, hvis du er gravid eller planlægger at blive gravid.
  • er amning eller planlægger at amme. Det vides ikke, om Proair HFA passerer ind i din modermælk. Tal med din læge om den bedste måde at fodre din baby på, hvis du bruger Proair HFA.

Fortæl din læge om alle de medicin, du tager inklusive receptpligtig medicin og receptpligtig medicin vitaminer og urtetilskud.

Proair HFA og andre lægemidler kan påvirke hinanden og forårsage bivirkninger. Proair HFA kan påvirke den måde, andre medicin fungerer på, og andre lægemidler kan påvirke den måde, ProAir HFA fungerer på.

Fortæl især din læge, hvis du tager:

  • Andre inhalerede medicin eller astmamedicin
  • Betablokkermedicin
  • diuretika
  • Digoxin
  • Monoaminoxidaseinhibitorer
  • Tricykliske antidepressiva

Bed din læge eller farmaceut om en liste over disse medicin, hvis du ikke er sikker.

Kend de medicin, du tager. Opbevar en liste over dem for at vise din læge og farmaceut, når du får en ny medicin.

Hvordan skal jeg bruge Proair HFA?

  • For detaljerede instruktioner se Brug til brug I slutningen af ​​denne patientinformation.
  • Brug ProAir HFA nøjagtigt, som din læge beder dig om at bruge den.
  • Hvis dit barn har brug for at bruge Proair HFA, se dit barn nøje for at sikre dig, at dit barn bruger inhalatoren korrekt. Din læge viser dig, hvordan dit barn skal bruge Proair HFA.
  • Hver dosis Proair HFA skal vare op til 4 timer til 6 timer.
  • Gør ikke Forøg din dosis eller tag ekstra doser Proair HFA uden først at tale med din læge.
  • Få medicinsk hjælp med det samme, hvis Proair HFA ikke længere hjælper dine symptomer.
  • Få medicinsk hjælp med det samme, hvis dine symptomer bliver værre, eller hvis du har brug for at bruge din inhalator oftere.
  • Mens du bruger ProAir HFA, bruger ikke andre inhalerede redningsmediciner og astmamedicin, medmindre din læge beder dig om at gøre det.
  • Ring til din læge, hvis dine astmasymptomer som hvæsende og problemer med at trække vejret bliver værre over et par timer eller dage. Din læge kan være nødt til at give dig en anden medicin (for eksempel kortikosteroider) for at behandle dine symptomer.

Hvad er de mulige bivirkninger af Proair HFA?

Proair HFA kan forårsage alvorlige bivirkninger, herunder:

  • Forværring af problemer med at trække vejret og hvæsende (paradoksal bronchospasme). Hvis dette sker, skal du stoppe med at bruge Proair HFA og ringe til din læge eller få nødhjælp med det samme. Paradoksal bronchospasme er mere tilbøjelige til at ske med din første brug af en ny medicinsk dåse.
  • Hjerteproblemer inklusive hurtigere hjerterytme og højere blodtryk
  • Mulig død hos mennesker med astma, der bruger for meget Proair HFA
  • Allergiske reaktioner. Ring med din læge med det samme, hvis du har følgende symptomer på en allergisk reaktion:
    • kløende hud
    • hævelse under din hud eller i halsen
    • udslæt
    • Forværring af problemer med at trække vejret
  • lave kaliumniveauer i dit blod
  • Forværring af andre medicinske problemer hos mennesker, der også bruger Proair HFA, inklusive stigninger i blodsukkeret

De mest almindelige bivirkninger af Proair HFA inkluderer:

  • Dit hjerte føles som om det banker eller racing (hjertebanken)
  • brystsmerter
  • Hurtig hjerterytme
  • Shakakess
  • nervøsitet
  • hovedpine
  • svimmelhed
  • ondt i halsen
  • løbende næse

Fortæl din læge, hvis du har nogen bivirkning, der generer dig, eller som ikke forsvinder.

Dette er ikke alle de mulige bivirkninger af Proair HFA. For mere information spørg din læge eller farmaceut.

Ring til din læge for medicinsk rådgivning om bivirkninger. Du kan rapportere bivirkninger til FDA på 1-800-FDA-1088.

Hvordan skal jeg opbevare Proair HFA?

  • Butik Proair HFA ved stuetemperatur mellem 59 ° F og 77 ° F (15 ° C og 25 ° C).
  • Undgå eksponering for ekstrem varme og kulde.
  • Ryst Proair HFA -dåsen godt inden brug.
  • Gør ikke punktering af Proair HFA -dåse.
  • Gør ikke Opbevar Proair HFA -dåse nær varme eller en flamme. Temperaturer over 120 ° F kan få beholderen til at sprænge.
  • Gør ikke Kast Proair HFA -dåse i en brand eller en forbrændingsanlæg.
  • Undgå at sprøjte Proair HFA i dine øjne.

Hold Proair HFA og alle medicin uden for børns rækkevidde.

Generel information om sikker og effektiv brug af Proair HFA

Medicin er undertiden ordineret til andre formål end dem, der er anført i en medicinguide. Brug ikke Proair HFA til en betingelse, som den ikke blev ordineret til. Giv ikke Proair HFA til andre mennesker, selvom de har de samme symptomer, som du har. Det kan skade dem.

Denne patientinformation opsummerer de vigtigste oplysninger om Proair HFA. Hvis du gerne vil have flere oplysninger, skal du tale med din læge. Du kan bede din farmaceut eller læge om information om Proair HFA, der er skrevet til sundhedsfagfolk.

For mere information, gå til www.proairhfa.com eller ring 1-888-482-9522.

Hvad er ingredienserne i Proair HFA?

Aktiv ingrediens: Albuterolsulfat

Inaktive ingredienser: drivmiddel HFA-134A og ethanol.

Brug til brug

Proair® HFA
(pro 'ar)
(albuterol sulfat) Inhalation aerosol

Læs disse instruktioner til brug, før du begynder at bruge Proair HFA, og hver gang du får en påfyldning. Der kan være nye oplysninger. Disse oplysninger indtager ikke stedet for at tale med din læge om din medicinske tilstand eller din behandling.

Delene af din Proair HFA Inhalator -enhed:

Der er 2 hoveddele af din Proair HFA -inhalatorenhed inklusive A:

  • Rød plastaktuator, der sprøjter medicinen fra beholderen. Se figur A.
  • Beskyttende støvkappe, der dækker aktivets mundstykke. Se figur A.

Der er også en metalbeholder, der holder medicinen. Se figur A.

hoteller i Sofia, Bulgarien

Der er også en dosis tæller fastgjort til bagsiden af ​​aktuatoren med et visningsvindue, der viser dig, hvor mange spray af medicin du har tilbage. Se figur B.

Du vil se en sort prik i visningsvinduet på aktuatoren, indtil enheden er primet 3 gange. Se figur B og priming af din ProAir HFA -enhed nedenfor.

Figur A og figur B

Parts of HFA - Illustration
  • Gør ikke Brug ProAir HFA -aktuatoren med en dåse med medicin fra enhver anden inhalator.
  • Gør ikke Brug en Proair HFA -dåse med en aktuator fra enhver anden inhalator inklusive en anden Proair HFA -inhalator.

Priming Your PROAIR HFA Device:

Din ProAir -enhed skal være grundet, før du bruger den for første gang, eller hvis din enhed ikke er blevet brugt i mere end 14 dage i træk. Gør ikke Prime din Proair HFA -enhed hver dag.

  • Fjern din Proair HFA -enhed fra dens pakke.
  • Fjern den beskyttende støvkappe fra mundstykket.
  • Ryst inhalatoren godt, og sprøjt den i luften væk fra dit ansigt. Se figur C.

Figur c

Shake the inhaler well and spray it into the air away from your face - Illustration
  • Ryst og sprøjt inhalatoren som denne 2 gange for at afslutte grund til det. Dosis tæller på aktuatoren skal vise nummeret 200, når du først har prime aktuatoren. Se figur D.

Figur d

Dose counter - Illustration

Hver gang du bruger din ProAir HFA -enhed:

  • Sørg for, at beholderen passer fast i plastaktuatoren.
  • Se ind i mundstykket for at sikre sig, at der ikke er fremmed genstande der, især hvis hætten ikke er blevet brugt til at dække mundstykket.

Læsning af dosis tæller på din Proair HFA -aktuator

  • Dosis tæller tæller hver gang en spray frigøres. Vinduet med dosis -tæller viser antallet af spray, der er tilbage i din inhalator i enheder på 2 spray. For eksempel er der 190 spray tilbage, hvis pilen er nøjagtigt overfor antallet 190 eller 189 spray tilbage, hvis pilen peger mellem 190 og 188. Se figur D.
  • Når dosis tælleren når 0, vil den fortsætte med at vise 0, og du skal udskifte din Proair HFA -enhed.
  • Dosis tæller kan ikke nulstilles og er permanent fastgjort til aktuatoren. Skift aldrig numrene for dosis tæller eller rør ved stiften inde i aktuatoren.
  • Gør ikke Fjern beholderen fra plastaktuatoren undtagen under rengøring. Reattaching af beholderen til aktuatoren kan ved et uheld frigive en dosis Proair HFA i luften. Dosis tæller tæller hver gang en spray frigøres.

Brug af din Proair HFA -enhed:

Trin 1. Ryst inhalatoren godt Før hver spray. Tag hætten af ​​aktuatorens mundstykke.

Trin 2.. Hold inhalatoren med mundstykket nede. Se figur E.

Figur e

Hold the inhaler with the mouthpiece down - Illustration

Trin 3. Træk vejret ud gennem din mund og push as much air from your lungs as you can. Put the mouthpiece in your mouth og close your lips around it. Se Figur f.

Trin 4. Skub toppen af ​​beholderen helt ned, mens du indånder dybt og langsomt gennem din mund. Se Figur f.

Figur f

Push the top of the canister all the way down while you breathe in deeply and slowly through your mouth - Illustration

Trin 5. Lige efter, at sprayen kommer ud, skal du tage din finger fra dåse. Når du har åndet ind hele vejen, skal du tage inhalatoren ud af din mund og lukke munden.

Trin 6. Hold vejret så længe du kan Op til 10 sekunder indånder derefter normalt.

Hvis din læge har bedt dig om at bruge flere spray Vent 1 minut, og ryst inhalatoren igen. Gentag trin 2 til trin 6.

Trin 7. Sæt hætten tilbage på mundstykket efter hver gang du bruger inhalatoren. Sørg for, at hætten klikker fast på plads.

Rensning Your PROAIR HFA Device:

Det er meget vigtigt at holde plastaktuatoren ren, så medicinen ikke opbygges og blokerer sprayen. Se Figur G og figur H.

Figur G og figur H

It is very important to keep the plastic actuator clean so the medicine will not build-up and block the spray - Illustration
  • Gør ikke try to clean the metal canister or let it get wet. Inhalatoren kan stoppe med at sprøjte, hvis det ikke rengøres korrekt.
  • Hvis du har mere end 1 Proair HFA -inhalator, vask hver enhed på separate tidspunkter for at forhindre at sætte den forkerte dåse sammen med den forkerte plastaktuator. På denne måde kan du være sikker på, at du altid vil kende det rigtige antal resterende doser af Proair HFA.
  • Vask aktuatoren mindst 1 gang hver uge som følger:
    • Tag beholderen ud af aktuatoren og tag hætten af ​​mundstykket.
    • Hold aktuatoren under vandhanen og kør varmt vand gennem det i cirka 30 sekunder. Se figur I.

Figur i

Hold the actuator under the faucet and run warm water through it for about 30 seconds - Illustration
    • Drej aktuatoren på hovedet og kør varmt vand gennem mundstykket i cirka 30 sekunder. Se figur J.

Figur j

Turn the actuator upside down and run warm water through the mouthpiece for about 30 seconds - Illustration
  • Ryst så meget vand fra aktuatoren som du kan. Se ind i mundstykket for at sikre, at enhver medicinopbygning er blevet vasket helt væk. Hvis der er nogen opbygning, gentag vaskinstruktionerne.
  • Lad aktuatoren lufttørre helt, såsom natten over. Se figur K.

Figur k

Let the actuator air-dry completely such as overnight - Illustration
  • Når aktuatoren er tør, skal du sætte beholderen i aktuatoren, og sørg for, at den passer godt. Ryst inhalatoren godt, og sprøjt den to gange i luften væk fra dit ansigt. Sæt hætten tilbage på mundstykket.

Hvis du har brug for at bruge din inhalator, før aktuatoren er helt tør:

  • Ryst så meget vand fra aktuatoren som du kan.
  • Læg beholderen i aktuatoren, og sørg for, at den passer godt.
  • Ryst inhalatoren godt og spray it twice into the air away from your face.
  • Tag din Proair HFA -dosis som foreskrevet.
  • Følg rengøringsinstruktionerne ovenfor.

Udskiftning af din Proair HFA -enhed

  • Når dosis tæller på aktuatoren siger nummer 20 Tallens farve ændres til rødt. De røde tal skal minde dig om at fylde din recept eller bede din læge om en anden recept til Proair HFA. Når dosis tælleren når 0, ændres baggrundsfarven til fast rød.
  • Kast Proair HFA -inhalatoren væk Så snart dosis tæller siger 0 eller efter udløbsdatoen på Proair HFA -emballage, alt efter hvad der kommer først. Du skal ikke fortsætte med at bruge inhalatoren efter 200 spray, selvom beholderen muligvis ikke er helt tom. Du kan ikke være sikker på, at du vil modtage medicin efter brug af 200 spray.
  • Gør ikke use the inhaler Efter udløbsdatoen på Proair HFA -emballagen.

Denne patientinformation og instruktioner til brug er godkendt af U.S. Food and Drug Administration.