Oplysningerne På Webstedet Er Ikke Medicinsk Rådgivning. Vi Sælger Ikke Noget. Nøjagtigheden Af ​​Oversættelsen Er Ikke Garanteret. Ansvarsfraskrivelse

Dobbelt

Resume af lægemiddeloversigt

Hvad er duopa?

Duopa (Carbidopa og Levodopa) er en kombination af en hæmmer af aromatisk aminosyre decarboxylering og en aromatisk aminosyre, der bruges til behandling af motoriske udsving hos patienter med avanceret Parkinsons sygdom .

Hvad er bivirkninger af Duopa?

Almindelige bivirkninger af duopa inkluderer:

  • Komplikation af enhedsindsættelse
  • kvalme
  • depression
  • Hævelse af ben og fødder
  • højt blodtryk
  • Infektion i øvre luftvejsinfektion
  • Mund og hals smerte
  • Snitstedets rødme
  • forstoppelse
  • Ufrivillige muskelbevægelser
  • forvirring
  • angst
  • svimmelhed
  • søvnproblemer
  • feber
  • udslæt
  • diarré og
  • dårlig fordøjelse

Dosering til dobbelt

Den maksimale anbefalede daglige dosis af duopa er 2000 mg af levodopa -komponenten (dvs. en kassette pr. Dag) administreret over 16 timer.



Hvilke stoffer stoffer eller kosttilskud interagerer med Duopa?

Duopa kan interagere med MAO-hæmmere med høj blodtryksmedicin Phenothiaziner Butyrophenoner Risperidons metoclopramid papaverin Isoniazid jernsalte eller multi-vitaminer indeholdende jernsalte og diæt med højt proteinindhold. Fortæl din læge alle medicin og kosttilskud, du bruger.

Duopa under graviditet og amning

Under graviditet skal duopa kun administreres, hvis det er foreskrevet. Dette lægemiddel kan passere til modermælk. Kontakt din læge inden amning.

Yderligere oplysninger

Vores Duopa (Carbidopa og Levodopa) bivirkninger Drug Center giver et omfattende overblik over tilgængelige lægemiddelinformation om de potentielle bivirkninger, når du tager denne medicin.

FDA -lægemiddelinformation


Beskrivelse for dobbelt

Duopa er en kombination af carbidopa en hæmmer af aromatisk aminosyre -dekarboxylering og levodopa en aromatisk aminosyre.

Carbidopa er en hvid krystallinsk forbindelse, der er lidt opløselig i vand med en molekylvægt på 244,2. Det betegnes kemisk som (2S) -3- (34-dihydroxyphenyl) -2-hydrazino-2-methylpropansyre monohydrat. Dens empiriske formel er C 10 H 14 N 2 O 4 • H. 2 O og dens strukturelle formel er:

The content of carbidopa in DUOPA is expressed in terms of anhydrous carbidopa which has a molecular weight of 226.3. 4,63 mg/ml vandfri carbidopa svarer til 5,0 mg/ml carbidopa.

Levodopa er en hvid krystallinsk forbindelse, der er lidt opløselig i vand med en molekylvægt på 197,2. Det betegnes kemisk som (2S) -2-amino-3- (34-dihydroxyphenyl) propansyre. Dens empiriske formel er C 9 H 11 INGEN 4 Og dens strukturelle formel er:

De inaktive ingredienser i Duopa er Carmellose Natrium og oprenset vand.

Anvendelser til Duopa

Duopa® er indikeret til behandling af motoriske udsving hos patienter med avanceret Parkinsons sygdom.

Dosering til dobbelt

Duopa daglig dosis

Duopa administreres over en 16-timers infusionsperiode. Den daglige dosis bestemmes ved individualiseret patienttitrering og sammensat af:

  • En morgendosis
  • En kontinuerlig dosis
  • Ekstra doser

Den maksimale anbefalede daglige dosis af duopa er 2000 mg af levodopa -komponenten (dvs. en kassette pr. Dag) administreret over 16 timer. Ved afslutningen af ​​de daglige 16-timers infusion vil patienter fratræde pumpen fra PEG-J og tage deres nat-dosis af oral øjeblikkelig frigivelse Carbidopa-Levodopa-tabletter.

Behandling med Duopa initieres i 3 trin [se Initiering og titreringsinstruktioner ]:

  1. Konvertering af patienter til oral carbidopa-levodopa-tabletter med øjeblikkelig frigivelse som forberedelse til duopa-behandling.
  2. Beregning og administration af duopa -startdosis (morgendosis og kontinuerlig dosis) for dag 1.
  3. Titrering af dosis efter behov baseret på individuel klinisk respons og tolerabilitet.
Ekstra doser

Duopa har en ekstra dosisfunktion, der kan bruges til at håndtere akutte off -symptomer, der ikke kontrolleres af morgendosis og den kontinuerlige dosis indgivet over 16 timer. Den ekstra dosisfunktion skal indstilles til 1 ml (20 mg levodopa), når du starter Duopa. Hvis mængden af ​​den ekstra dosis skal justeres, udføres den typisk i trin på 0,2 ml. Den ekstra dosisfrekvens skal begrænses til en ekstra dosis hver 2. time. Administration af hyppige ekstra doser kan forårsage eller forværre dyskinesier.

Når der ikke kræves yderligere justeringer til duopa morgendosis kontinuerlig dosis eller ekstra dosis, skal denne doseringsregime administreres dagligt. Over tid kan yderligere ændringer være nødvendige baseret på patientens kliniske respons og tolerabilitet.

Initiering og titreringsinstruktioner

Forbered dig på Duopa -behandling

Før du påbegyndte Duopa konverterer patienter fra alle andre former for levodopa til oral umiddelbarhedslease carbidopa-levodopa tabletter (1: 4-forhold). Patienter skal forblive på en stabil dosis af deres samtidige medicin taget til behandling af Parkinsons sygdom inden påbegyndelse af Duopa -infusion.

Udbydere af sundhedsydelser bør sikre, at patienter tager deres mundtlige Parkinsons sygdomsmedicin morgenen på PEG-J-proceduren.

Bestem duopa -startdosis for dag 1

Trinene til bestemmelse af den indledende duopa daglige dosering (morgendosis og kontinuerlig dosis) til dag 1 er beskrevet nedenfor.

Trin 1: Beregn og administrer duopa -morgendosis til dag 1
en. Bestem den samlede mængde levodopa (i milligram) i den første dosis af oral øjeblikkelig frigivelse carbidopa-levodopa, der blev taget af patienten den foregående dag.
b. Konverter den orale levodopa -dosis fra milligram til milliliter ved at multiplicere den orale dosis med 0,8 og divider med 20 mg/ml. Denne beregning vil give morgendosis af duopa i milliliter.
c. Føj 3 ml til morgendosis for at fylde (prim) tarmrøret for at opnå den samlede morgendosis.
d. Den samlede morgendosis administreres normalt over 10 til 30 minutter.
og. Programmer pumpen til at levere den samlede morgendosis.
Trin 2: Beregn og administrer duopa kontinuerlig dosis til dag 1
en. Bestem mængden af ​​oral øjeblikkelig frigivelse levodopa, som patienten modtog fra oral øjeblikkelig frigivelse carbidopa-levodopa doser gennem den foregående dag (16 vågne timer) i milligram. Inkluder ikke doserne af oral øjeblikkelig frigivelse carbidopa-levodopa taget om natten, når man beregner levodopa-beløbet.
b. Træk den første orale levodopa -dosis i milligram taget af patienten den foregående dag (bestemt i trin 1 (a)) fra den samlede orale levodopa -dosis i milligram taget over 16 vågne timer (bestemt i trin 2 (a)). Del resultatet med 20 mg/ml. Dette er dosis af duopa, der administreres som en kontinuerlig dosis (i ML) over 16 timer.
c. Time -infusionshastigheden (ml pr. Time) opnås ved at dele den kontinuerlige dosis med 16 (timer). Denne værdi vil blive programmeret til pumpen som den kontinuerlige hastighed.
d. Hvis vedvarende eller adskillige off 'perioder forekommer i den 16-timers infusion, skal du overveje at øge den kontinuerlige dosis eller bruge den ekstra dosisfunktion. Hvis dyskinesi eller duopa-relaterede bivirkninger forekommer, skal du overveje at reducere den kontinuerlige dosis eller stoppe infusionen, indtil de bivirkninger aftager.
Dobbelt titrering

Den daglige dosis af Duopa kan titreres efter behov baseret på patientens individuelle kliniske respons og tolerabilitet efter dag 1 af duopa -behandling og indtil en stabil daglig dosis opretholdes. Justeringer til samtidig Parkinsons sygdomsmedicin kan være nødvendige. I det kontrollerede forsøg kræves det gennemsnitlige antal titreringsdage for at etablere en stabil morgen og

Kontinuerlig dosis var 5 dage. Yderligere dosisjusteringer kan være nødvendige over tid baseret på patientniveauet for aktivitet og sygdomsprogression.

Anbefalingerne til justering af duopa -morgenen og kontinuerlige doser findes nedenfor.

Justering af morgendosis

Hvis der var en utilstrækkelig klinisk respons inden for 1 time fra morgendosis på den foregående dag, skal du justere morgendosis (ekskl. 3 ml for at fylde røret) som følger:

  • Hvis morgendosis på den foregående dag var mindre end eller lig med 6 ml stigning om morgendosis med 1 ml.
  • Hvis morgendosis på den foregående dag var større end 6 ml, øges morgendosis med 2 ml.

Hvis patienten oplevede dyskinesier eller duopa-relaterede bivirkninger inden for 1 time efter morgendosis på den foregående dag, falder morgendosis med 1 ml.

Kontinuerlig dosisjustering

Overvej at øge den kontinuerlige dosis baseret på antallet og volumen af ​​ekstra doser af duopa (dvs. den samlede mængde levodopa -komponent), der var nødvendig for den foregående dag og patientens kliniske respons.

Overvej at reducere den kontinuerlige dosis, hvis patienten oplevede besværlig dyskinesi eller anden besværlig duopa-relaterede bivirkninger på den foregående dag:

  • For besværlige bivirkninger, der varer i en periode på en time eller mere, reducerer den kontinuerlige dosis med 0,3 ml i timen.
  • For besværlige bivirkninger, der varer i to eller flere perioder på en time eller flere, reducerer den kontinuerlige dosis med 0,6 ml i timen.

Administrationsoplysninger

  • Duopa skal bruges ved stuetemperatur. Tag en Duopa -kassette ud af køleskabet og ud af kartonen 20 minutter før brug; Manglende brug af produktet ved stuetemperatur kan resultere i, at patienten ikke modtager den rigtige mængde medicin.
  • Duopa leveres som en 16-timers infusion gennem enten et Naso-Jejunal-rør til kortvarig administration eller gennem en PEG-J til langvarig administration.
  • Kassetterne er kun til engangsbrug og bør ikke bruges i mere end 16 timer, selvom der er tilbage noget lægemiddelprodukt.
  • En åbnet kassette bør ikke genbruges.
  • PEG-J skal kobles fra pumpen i slutningen af ​​den daglige 16-timers administrationsperiode og skylles med drikkevand med stuetemperatur med en sprøjte.

Langvarig administration af Duopa kræver placering af en PEG-J-ydre transabdominal rør og indre jejunalrør ved perkutan endoskopisk gastrostomi. Duopa er dispenseret fra medicinske kassettebeholdere, der er specifikt designet til at være forbundet til CADD®legacy 1400 -pumpen.

Etablering af den transabdominale port skal udføres af en gastroenterolog eller anden sundhedsudbyder, der opleves i denne procedure. Se tabel 1 for de anbefalede rørsæt til PEG-J-administration.

Til kortvarig midlertidig administration af Duopa før PEG-J-rørplacering kan behandling initieres af et Naso-Jejunal-rør med observation af patientens kliniske respons. Se tabel 2 for de anbefalede rørsæt til Naso-Jejunal Administration.

Tabel 1: â

Produktnavn Fabrikant
Abbvie Peg 15 og 20 fr Abbvie Inc.
Abbvie J. Abbvie Inc.

Tabel 2: Anbefalede rørsæt til kortvarige Naso-Jejunal Duopa-administration

Produktnavn Fabrikant
Abbvie NJ Abbvie Inc.
NJFT-10 Wilson-Cook Medical Inc.
Kangaroo ™ Naso-Jejunal fodringsrør Covidian
Kangaroo ™ Covidian

Seponering af duopa

Undgå pludselig seponering eller hurtig dosisreduktion hos patienter, der tager Duopa.

Hvis patienter har brug for at afbryde Duopa, skal dosis være tilspidsede, eller patienter skal skiftes til oral carbidopa-levodopa-tabletter med øjeblikkelig frigivelse [se Advarsler og forholdsregler ].

Når du bruger et PEG-J-rørduopa, kan det afbrydes ved at trække røret tilbage og lade stomien heles. Fjernelse af røret bør kun udføres af en kvalificeret sundhedsudbyder.

Hvor leveret

Doseringsformularer og styrker

Enteral ophæng : 4,63 mg carbidopa og 20 mg levodopa pr. Ml i en engangskassette. Hver kassette indeholder ca. 100 ml suspension.

Enkelt brugskassetter indeholdende 4,63 mg carbidopa (som 5 mg af monohydratet) og 20 mg levodopa pr. Ml enteral suspension. Hver kassette indeholder ca. 100 ml suspension.

Karton med 7 Duopa -kassetter: NDC 0074-3012-07

Opbevaring og håndtering

Opbevares i fryser ved -20 ° C (-4 ° F). Tø i køleskab ved 2 ° C til 8 ° C (36 ° F til 46 ° F) inden udlevering. Kassetter skal beskyttes mod lys og opbevares i kartonen inden brug.

Optøningsinstruktioner til apoteker

  • Tildel en 12 ugers brug efter dato baseret på det tidspunkt, hvor kartonerne sættes i køleskabet til optøning.
  • Fuldt optøet duopa i køleskabet inden dispensering.
  • For at sikre kontrolleret optøning af Duopa, skal du tage kartonerne, der indeholder de syv individuelle kassetter ud af transportboksen, og adskille kartonerne fra hinanden.
  • Optøning kan tage op til 96 timer, når kartonerne tages ud af transportboksen.
  • Når produktet har optøet, kan de enkelte kartoner være pakket i en nærmere konfiguration i køleskabet.

Fremstillet af Abbvie Inc. North Chicago IL 60064 USA eller af Fresenius Cabi Nange som 1788 Halden Norge for Abve Inc. North Chicago IL 60064 USA. Revideret: Maj

Bivirkninger for Duopa

Følgende alvorlige bivirkninger diskuteres nedenfor og andre steder ved mærkning:

  • Gastrointestinal og gastrointestinal procedure-relaterede risici [se Advarsler og forholdsregler ]
  • Falder i søvn under aktiviteter i dagligdagen og somnolens [se Advarsler og forholdsregler ]
  • Ortostatisk hypotension [se Advarsler og forholdsregler ]
  • Hallucinationer/ Psykose /Forvirring [se Advarsler og forholdsregler ]
  • Impulskontrol/tvangsmæssig adfærd [se Advarsler og forholdsregler ]
  • Depression og selvmord [se Advarsler og forholdsregler ]
  • Tilbagetrækning-fremkommende hyperpyrexia og forvirring [se Advarsler og forholdsregler ]
  • Dyskinesi [se Advarsler og forholdsregler ]
  • Neuropati [se Advarsler og forholdsregler ]
  • Kardiovaskulære iskæmiske begivenheder [se Advarsler og forholdsregler ]
  • Laboratorietest abnormaliteter [se Advarsler og forholdsregler ]
  • Glaukom [se Advarsler og forholdsregler ]

Kliniske forsøg oplever

Da kliniske undersøgelser køres under vidt forskellige tilstande, kan forekomsten af ​​bivirkninger, der er observeret i de kliniske forsøg med et lægemiddel, ikke sammenlignes direkte med hastigheder i de kliniske forsøg med et andet lægemiddel og muligvis ikke afspejler de hastigheder, der er observeret i praksis.

I kliniske studier modtog 416 patienter med avanceret Parkinsons sygdom duopa. 338 patienter blev behandlet med Duopa i mere end 1 år 233 patienter blev behandlet med Duopa i mere end 2 år, og 162 patienter blev behandlet med Duopa i mere end 3 år.

I et 12-ugers aktivkontrolleret klinisk forsøg (undersøgelse 1) blev i alt 71 patienter med avanceret Parkinsons sygdom tilmeldt og havde en PEG-J-procedure. Af disse 37 patienter modtog duopa og 34 modtaget oral øjeblikkelig frigivelse carbidopa-levodopa.

De mest almindelige bivirkninger for Duopa (forekomst mindst 7% større end oral umiddelbar frigivelse carbidopa-levodopa) var: komplikation af enhedsindsættelsesausa-depression perifere ødemhypertension øvre luftvejsinfektion oropharyngeal smerte atelektase og incisionssted erythema.

Tabel 3 viser forekomsten af ​​bivirkninger, der forekommer i den duopa-behandlede gruppe (kræver mindst 2 patienter i denne gruppe) i undersøgelse 1, når forekomsten var numerisk større end for oral øjeblikkelig frigivelse carbidopa-levodopa.

Tabel 3: Bivirkninger i undersøgelse 1 for duopa hos patienter med avanceret Parkinsons sygdom

Foretrukket udtryk Dobbelt
(n = 37) %
Oral øjeblikkelig frigivelse Carbidopa-Levodopa a
(n = 34) %
Komplikation af enhedsindsættelse 57 44
Kvalme 30 21
Forstoppelse 22 21
INSCIES SITE ERYTHEMA 19 12
Dyskinesi 14 12
Depression 11 3
Post procedurelafladning 11 9
Perifert ødem 8 0
Hypertension 8 0
Infektion i øvre luftvejsinfektion 8 0
Oropharyngeal smerte 8 0
Atelectasis 8 0
Forvirringstilstand 8 3
Angst 8 3
Svimmelhed 8 6
Hiatal brok 8 6
Postoperativ ileus 5 0
Søvnforstyrrelse 5 0
Pyrexia 5 0
Overdreven granuleringsvæv 5 0
Udslæt 5 0
Bakteriuria 5 0
Hvide blodlegemer urin positiv 5 0
Hallucination 5 3
Psykotisk lidelse 5 3
Diarre 5 3
Dyspepsi 5 3
a Alle patienter i det kliniske forsøg uanset behandlingsarm modtog en PEG-J.
Procedure og enhedsrelaterede bivirkninger

De mest almindelige bivirkninger, der er forbundet med komplikationer på grund af naso-jejunal (NJ) indsættelse, var: oropharyngeal smerte abdominal distention mavesmerter abdominal ubehag smerter i halsen irritation mave-tarmskade esophageal blødning angst dysfagi og opkast.

De mest almindelige bivirkninger, der er forbundet med komplikationer på grund af PEG-J-indsættelse, var: mavesmerter abdominal ubehag i abdominal distension flatulens eller pneumoperitoneum.

Yderligere bivirkninger, der blev co-rapporteret med komplikation af Naso-Jejunal og PEG-J-indsættelse, omfattede øvre abdominal smerte duodenal mavesår Duodenal mavesår Hemorrhage erosiv duodenitis erosiv gastritis gastrointestinal blødning Intussusception peritonitis postoperativ abscess og tastens tarmulcer.

Lægemiddelinteraktioner for Duopa

Monoaminoxidase (MAO) hæmmere

Brugen af ​​ikke -selektive Mao -hæmmere med Duopa er kontraindiceret [se Kontraindikationer ]. Discontinue use of any nonselective MAO inhibitors at least two weeks prior to initiating Dobbelt.

Anvendelsen af ​​selektive MAO-B-hæmmere (f.eks. Rasagilin og selegilin) ​​med Duopa kan være forbundet med ortostatisk hypotension. Overvåg patienter, der tager disse lægemidler.

Antihypertensive stoffer

Den samtidige anvendelse af duopa med antihypertensiv medicin kan forårsage symptomatisk postural hypotension. En dosisreduktion af den antihypertensive medicin kan være nødvendig efter start eller øget dosis af duopa.

Dopamin D2 -receptorantagonister og isoniazid

Dopamin D2 -receptorantagonister (f.eks. Phenothiaziner butyrophenoner risperidon metoclopramid papaverin) og isoniazid kan reducere effektiviteten af ​​levodopa. Overvåg patienter for forværring af Parkinsons symptomer.

Jernsalte

Jernsalte eller multi-vitaminer, der indeholder jernsalte, kan danne chelater med levodopa carbidopa og kan forårsage en reduktion i biotilgængeligheden af ​​Duopa. Hvis jernsalte eller multi-vitaminer, der indeholder jernsalte, co-administreres med Duopa Monitor-patienter til forværring af Parkinsons symptomer.

Diæt med højt proteinindhold

Fordi levodopa konkurrerer med visse aminosyrer til transport over tarmvæggen, kan absorptionen af ​​levodopa reduceres hos patienter på en højprotein-diæt. Rådgive patienter om, at en højprotein-diæt kan reducere effektiviteten af ​​Duopa.

Advarsler om dobbelt

Inkluderet som en del af FORHOLDSREGLER afsnit.

Forholdsregler for Duopa

Gastrointestinal og gastrointestinal procedure-relaterede risici

Fordi duopa administreres ved hjælp af en PEG-J eller naso-jejunal tube gastrointestinale komplikationer kan forekomme.

Disse komplikationer inkluderer abscess bezoar ileus implantat sted erosion/mavesår intestinal blødning tarm iskæmi tarmobstruktion tarm perforation intussusception pancreatitis peritonitis lungebetændelse (inklusive aspiration pneumonia) pneumoperitoneum postoperativ sårinfektion og sepsis. Disse komplikationer kan resultere i alvorlige resultater, såsom behovet for operation eller død.

Instruer patienter til straks at underrette deres sundhedsudbyder, hvis de oplever abdominal smerte forlænget forstoppelse kvalme opkastning feber eller melanotisk afføring [se Oplysninger om patientrådgivning ].

Falder i søvn under aktiviteter i dagligdagen og somnolens

Patienter, der blev behandlet med levodopa, en komponent i Duopa, har rapporteret, at de faldt i søvn, mens de deltog i aktiviteter i dagligdagen, herunder driften af ​​motorkøretøjer, som undertiden resulterede i ulykker. Selvom mange af disse patienter rapporterede om somnolens, mens de var på levodopa, opfattede nogle, at de ikke havde nogen advarselsskilte (søvnangreb), såsom overdreven døsighed og troede, at de var opmærksomme umiddelbart før begivenheden. Nogle af disse begivenheder er rapporteret mere end et år efter påbegyndelse af behandlingen.

At falde i søvn, mens den er involveret i aktiviteter i dagligdagen, forekommer normalt hos patienter, der oplever eksisterende eksisterende somnolens, selvom patienter muligvis ikke giver en sådan historie. Af denne grund bør ordinerende revurdere patienter for døsighed eller søvnighed hos duopa-behandlede patienter, især da nogle af begivenhederne forekommer godt efter behandlingsstart. Rekressører skal være opmærksomme på, at patienter muligvis ikke anerkender døsighed eller søvnighed, før de direkte stiller spørgsmålstegn ved døsighed eller søvnighed under specifikke aktiviteter. Patienter, der allerede har oplevet somnolens eller en episode af pludselig søvnindtræden, bør ikke deltage i disse aktiviteter, mens de tager Duopa.

Inden du påbegynder behandling med Duopa, rådgiver patienter om potentialet til at udvikle døsighed og specifikt spørge om faktorer, der kan øge risikoen for somnolens med duopa, såsom brugen af ​​samtidig beroligende medicin eller tilstedeværelsen af ​​søvnforstyrrelser. Overvej at afbryde duopa hos patienter, der rapporterer betydelig søvnighed om dagen eller episoder med at falde i søvn under aktiviteter, der kræver aktiv deltagelse (f.eks. Samtaler, der spiser). Hvis duopa fortsættes, skal de rådes til at undgå kørsel og andre potentielt farlige aktiviteter, der kan resultere i skade, hvis patienten bliver somnolent.

Ortostatisk hypotension

Dobbelt-treated patients were more likely to experience a decline in orthostatic blood pressure than patients treated with oral immediate-release carbidopa-levodopa in the controlled clinical study. Ellerthostatic systolic hypotension (≥30 mm Hg decrease) occurred in 73% of Dobbelttreated patients compared to 68% of patients treated with oral immediate-release carbidopalevodopa in the controlled clinical study. Ellerthostatic diastolic hypotension (≥20 mm Hg decrease) occurred in 70% of Dobbelt-treated patients compared to 62% of patients treated with oral immediate-release carbidopa-levodopen. Inform patients about the risk for hypotension og syncopog. Monitor patients for orthostatic hypotension especially after starting Dobbelt or increasing the dosog.

Hallucinationer/Psykose/Confusion

Der er en øget risiko for hallucinationer og psykose hos patienter, der tager Duopa. I de kontrollerede kliniske forsøg forekom hallucinationer hos 5% af duopa-behandlede patienter sammenlignet med 3% af patienterne behandlet med oral øjeblikkelig frigivelse carbidopa-levodopa. Forvirring forekom hos 8% af DUOPA-behandlede patienter sammenlignet med 3% af patienterne behandlet med oral carbidopa-levodopa og psykotisk lidelse i nærheden af ​​5% af duopa-behandlede patienter sammenlignet med 3% af patienterne, der blev behandlet med oral carbidopa-levodopa.

Hallucinations associated with levodopa may present shortly after the initiation of therapy og may be responsive to dose reduction in levodopen. Confusion insomnia og excessive dreaming may accompany hallucinations. Abnormal thinking og behavior may present with one or more symptoms including paranoid ideation delusions hallucinations forvirring psychosis disorientation aggressive behavior agitation og delirium.

På grund af risikoen for at forværre psykosepatienter med en større psykotisk lidelse bør ikke behandles med Duopa. Derudover kan medicin, der modvirker virkningerne af dopamin, der bruges til behandling af psykose, forværre symptomerne på Parkinsons sygdom og kan reducere effektiviteten af ​​Duopa [se Lægemiddelinteraktioner ].

Impulskontrol/tvangsmæssig adfærd

Patienter kan opleve intense trang til at gamble øgede seksuelle opfordringer til intense trang til at bruge penge på at binge eller tvangsspisning og/eller andre intense trang og manglende evne til at kontrollere disse trang, mens de tager en eller flere af medicinen inklusive duopa, der øger den centrale dopaminergiske tone, og som generelt bruges til behandling af Parkinsons sygdom. I nogle tilfælde blev det rapporteret, at ikke alle disse trang var stoppet, når dosis blev reduceret, eller medicinen blev afbrudt.

Fordi patienter muligvis ikke genkender denne adfærd som unormal, er det vigtigt for ordinerende at bede patienter eller deres plejere specifikt om udviklingen af ​​nye eller øgede spil trang seksuelle trang ukontrollerede udgifter til at bruge binge eller tvangsspisning eller andre trang, mens de bliver behandlet med duopa. Overvej at reducere dosis eller afbryde duopa, hvis en patient udvikler sådanne trang.

Depression And Suicidality

I det kontrollerede kliniske forsøg udviklede 11% af duopa-behandlede patienter depression sammenlignet med 3% af oral carbidopa-levodopa-behandlede patienter med øjeblikkelig frigivelse.

Overvåg patienter for udvikling af depression og samtidig selvmordstendenser.

Tilbagetrækning-fremkommende hyperpyrexi og forvirring

Et symptomkompleks, der ligner neuroleptisk malignt syndrom (kendetegnet ved forhøjet temperaturmuskelstivhed ændret bevidsthed og autonom ustabilitet) uden anden åbenlyst etiologi er rapporteret i forbindelse med hurtig doseringsreduktion af eller ændringer i dopaminerg terapi. Undgå pludselig seponering eller hurtig dosisreduktion hos patienter, der tager Duopa. Hvis duopa afbrydes, skal dosisen tilspidses for at reducere risikoen for hyperpyrexi og forvirring [se Dosering og administration ].

Dyskinesi

Dobbelt may cause or exacerbate dyskinesias. In the controlled clinical trial dyskinesia occurred in 14% of Dobbelt-treated patients compared to 12% of patients treated with oral immediaterelease carbidopa-levodopen. The occurrence of dyskinesias may require a dosage reduction of Dobbelt or other medications used to treat Parkinson’s diseasog.

Neuropati

I kliniske undersøgelser udviklede 19 af 412 (5%) patienter behandlet med Duopa en generaliseret polyneuropati. Begyndelsen af ​​neuropati kunne bestemmes hos 13 af 19 patienter. De fleste tilfælde (12/19) blev klassificeret som subakut eller kronisk i begyndelsen. Neuropati blev oftest karakteriseret som sensorisk eller sensorimotor. Elektrodiagnostisk testning udført hos 16 patienter var oftest (15/16) i overensstemmelse med en aksonal polyneuropati, og en patient blev klassificeret som at have en demyeliniserende neuropati. Der var utilstrækkelig information til at bestemme den potentielle rolle af vitaminmangel i etiologien af ​​neuropati forbundet med Duopa.

Patienter skal have kliniske vurderinger for tegn og symptomer på perifer neuropati, inden de starter Duopa. Overvåg patienter med jævne mellemrum for tegn på neuropati efter start af duopa, især hos patienter med allerede eksisterende neuropati og hos patienter, der tager medicin eller dem, der har medicinske tilstande, der også er forbundet med neuropati.

Kardiovaskulære iskæmiske begivenheder

I kliniske studier blev myokardieinfarkt og arytmi rapporteret hos patienter, der tog carbidopa-levodopa. Spørg patienter om symptomer på iskæmisk hjertesygdom og arytmi, især dem med en historie med hjerteinfarkt eller hjertearytmier.

Laboratorietest abnormaliteter

Duopa kan øge risikoen for forhøjet (over den øvre grænse for normal for referencenområdet) blodurinstofnitrogen (BUN) og kreatinphosphokinase (CPK). I det kontrollerede kliniske forsøg var skiftet fra en lav eller normal værdi ved baseline til en øget bolleværdi større for duopa-behandlede patienter (13%) end for patienter behandlet med oral carbidopalevodopa (4%). Skiftet fra en lav eller normal værdi ved baseline til en øget CPK-værdi var større for duopa-behandlede patienter (17%) end for patienter behandlet med oral øjeblikkelig frigivelse carbidopa-levodopa (7%). Forekomsten af ​​patienter med en markant forøget BUN (≥10 mmol/L; ≥28 mg/dL) var større for patienter behandlet med duopa (11%) end for patienter, der blev behandlet med oral carbidopa-levodopa (0%). Forekomsten af ​​patienter med en øget CPK (> 3 gange den øvre normalgrænse) var større for patienter behandlet med Duopa (9%) end for patienter, der blev behandlet med oral carbidopa-levodopa med øjeblikkelig frigivelse (0%).

Patienter, der tager levodopa eller carbidopa-levodopa, kan have øgede niveauer af catecholamines og deres metabolitter i plasma og urin, hvilket giver falske positive resultater, der antyder diagnosen pheochromocytoma hos patienter på levodopa og carbidopa-levodopa.

Glaukom

Carbidopa-levodopa kan forårsage øget intraokulært tryk hos patienter med glaukom. Overvåg intraokulært tryk hos patienter med glaukom efter start af duopa.

Oplysninger om patientrådgivning

Rådgiv patienten om at læse den FDA-godkendte patientmærkning ( Medicin vejledning og Brug til brug ).

Kan du overdosere på plan B
Administrationsoplysninger

Spørg patienter, om de har haft nogen tidligere operation i den øverste del af deres mave, der kan føre til vanskeligheder med at udføre gastrostomi eller jejunostomi [se Dosering og administration ].

Rådgive patienter om, at fødevarer, der er meget i protein, kan reducere effektiviteten af ​​duopa [se Lægemiddelinteraktioner og Klinisk farmakologi ].

Afbrydelse af dobbelt infusion

Hvis patienten forventer at afbryde pumpen i en kort periode (mindre end 2 timer, såsom at svømme brusebad eller kort medicinsk procedure), er der ikke behov for supplerende mundtlig medicin, men patienten kan rådes til at tage en ekstra dosis af duopa, før det afbrydes. Instruer patienten om at stoppe den kontinuerlige hastighed, sluk pumpeklemmen kassette røret afbryder røret og udskift den røde hætte på kassettøret. Duopa -kassetten kan forblive fastgjort til pumpen, indtil slangen er forbundet igen. Henvis patienten til patientinstruktionerne til brug for yderligere information (dvs. ændring af duopakassetten: Frakobling af trin 1-5 og genforbindelsestrin 10-16).

Rådgiv patienten om at kontakte deres sundhedsudbyder og tage oral carbidopa-levodopa, indtil patienten er i stand til at genoptage Duopa-infusion, hvis patienten vil have langvarig afbrydelse af terapien, der varer mere end 2 timer [se Dosering og administration ].

Gastrointestinal og gastrointestinal procedure-relaterede risici

Informer patienter om den gastrointestinale procedurrelaterede risici, herunder abscess bezoar ileus implantat sted erosion/mavesår tarm blødning tarm iskæmi tarmobstruktion tarm perforering intussusception pancreatitis peritonitis luneumoni (inklusive aspiration pneumonia) pneumoperitoneum post-operations sår infektion og sepsis. Rådgive patienter om symptomerne på de ovennævnte komplikationer og instruere dem til at kontakte deres sundhedsudbyder, hvis de oplever nogen af ​​disse symptomer [se Advarsler og forholdsregler ].

Falder i søvn under aktiviteter i dagligdagen og somnolens

Alert patienter om de potentielle beroligende effekter forårsaget af duopa inklusive somnolens og muligheden for at falde i søvn, mens de deltog i aktiviteter i dagligdagen. Fordi somnolens er en almindelig bivirkning med potentielt alvorlige konsekvenser, bør patienter ikke drive en bil til at betjene maskineri eller deltage i andre potentielt farlige aktiviteter, indtil de har fået tilstrækkelig erfaring med Duopa til at måle, om det påvirker deres mentale og/eller motoriske ydeevne negativt. Rådgiv patienter om, at hvis øget somnolens eller episoder med at falde i søvn under aktiviteter i dagligdagen (f.eks. Samtaler, der spiser et motorkøretøj osv.), Opleves når som helst under behandling, de bør ikke køre eller deltage i potentielt farlige aktiviteter, indtil de har kontaktet deres læge.

Rådgiv patienter om mulige additive effekter, når patienter tager andre beroligende medicinalkohol eller andet depressiva i centralnervesystemet (f.eks. Benzodiazepiner antipsykotika antidepressiva osv.) I kombination med Duopa eller når man tager en samtidig medicin, der øger plasmaniveauer af levodopa [se Advarsler og forholdsregler ].

Ortostatisk hypotension

Rådgiv patienter om, at de kan opleve synkope og kan udvikle hypotension med eller uden symptomer som svimmelhed kvalme synkope og undertiden svede, mens du tager Duopa. Følgelig forsigtighedspatienter mod at stå hurtigt efter at Advarsler og forholdsregler ].

Hallucinationer/Psykose/Confusion

Informer patienter om, at de kan opleve hallucinationer (uvirkelige visioner lyde eller fornemmelser) og andre symptomer på psykose kan forekomme, mens du tager Duopa. Bed patienterne om at rapportere hallucinationer unormal tænkning psykotisk opførsel eller forvirring over for deres sundhedsudbyder straks, hvis de udvikler sig [se Advarsler og forholdsregler ].

Impulskontrol/tvangsmæssig adfærd

Rådgiv patienter om, at de kan opleve impulskontrol og/eller tvangsmæssig adfærd, mens du tager Duopa. Rådgive patienter om at informere deres læge eller sundhedsudbyder, hvis de udvikler nye eller øgede spil, trang trakes seksuelle trang ud ukontrolleret udgift overforstår eller tvangsspisning eller andre trang, mens de behandles med Duopa [se Advarsler og forholdsregler ].

Depression And Suicidality

Informer patienter om, at de kan udvikle depression eller erfaring forværring af depression, mens de tager Duopa. Instruer patienter om at kontakte deres sundhedsudbyder, hvis de oplever depression forværring af depression eller selvmordstanker [se Advarsler og forholdsregler ].

Tilbagetrækning-fremkommende hyperpyrexi og forvirring

Rådgiver patienter om at kontakte deres sundhedsudbyder, før de stopper Duopa. Bed patienterne om at informere deres sundhedsudbyder, hvis de udvikler abstinenssymptomer såsom feberforvirring eller alvorlig muskelstivhed [se Advarsler og forholdsregler ].

Dyskinesi

Informer patienter om, at duopa kan forårsage eller forværre allerede eksisterende dyskinesier [se Advarsler og forholdsregler ].

Neuropati

Informer patienter om, at neuropati kan udvikle sig, eller at de kan opleve forværring af neuropati på Duopa og at kontakte deres sundhedsudbyder, hvis de udvikler symptomer eller funktioner, der antyder neuropati [se Advarsler og forholdsregler ].

Graviditet

Rådgive patienter om at underrette deres sundhedsudbyder, hvis de bliver gravide under behandling eller planlægger at blive gravide under terapi [se Brug i specifikke populationer ].

Amning

Rådgive patienter om at underrette deres sundhedsudbyder, hvis de ammer eller planlægger at amme [se Brug i specifikke populationer ].

Ikke -klinisk toksikologi

Karcinogenese mutagenese nedskrivning af fertilitet

Carcinogenese

I rotte oral administration af carbidopa-levodopa i to år resulterede ikke i bevis for kræftfremkaldende stof. Duopa indeholder hydrazin et nedbrydningsprodukt af carbidopa. I offentliggjorte undersøgelser har hydrazin vist sig at være kræftfremkaldende hos flere dyrearter.

Stigninger i lever (adenomcarcinom) og lunge (adenoma adenocarcinom) tumorer er rapporteret med oral indgivelse af hydrazin hos musens rotte og hamster.

Mutagenese

Carbidopa var positiv i in vitro Ames -testen i nærvær og fravær af metabolisk aktivering og in vitro mus -lymfom TK -assayet i fravær af metabolisk aktivering, men var negativ i in vivo mus micronucleus assay.

I offentliggjorte undersøgelser blev hydrazin rapporteret at være positiv i in vitro -genotoksicitet (Ames -kromosomal aberration i pattedyrceller og muselymfom TK) assays og i in vivo mus micronucleus assay.

Værdiforringelse af fertiliteten

I reproduktionsundersøgelser blev der ikke observeret nogen effekter på fertiliteten hos rotter, der modtog carbidopa levodopa.

Brug i specifikke populationer

Graviditet

Risikooversigt

Der er ingen tilstrækkelige data om udviklingsrisikoen forbundet med brugen af ​​duopa hos gravide kvinder. I dyreforsøg har carbidopa-levodopa vist sig at være udviklingsmæssigt giftig (inklusive teratogene effekter) ved klinisk relevante doser (se Data ).

Den estimerede baggrundsrisiko for store fødselsdefekter og spontanabort i den angivne befolkning er ukendt. I den amerikanske generelle befolkning er den estimerede baggrundsrisiko for større fødselsdefekter og spontanabort i klinisk anerkendte graviditeter henholdsvis 2% til 4% og 15% til 20%.

Data

Dyredata

Når de blev administreret til gravide kaniner i hele organogenese, forårsagede carbidopa-levodopa både viscerale og skeletmisdannelser i fostre i alle testede doser og forhold mellem carbidopa-levodopa. Ingen teratogene virkninger blev observeret, når carbidopa-levodopa blev administreret til gravide mus i hele organogenese. Der var et fald i antallet af levende hvalpe leveret af rotter, der modtog carbidopa-levodopa under organogenese.

Amning

Risikooversigt

Levodopa er påvist i human mælk efter administration af carbidopa-levodopa. Der er ingen data om tilstedeværelsen af ​​carbidopa i human mælk virkningerne af levodopa eller carbidopa på det ammede spædbarn eller virkningerne på mælkeproduktionen. Imidlertid kan inhibering af amning forekomme, fordi levodopa reducerer sekretion af prolactin hos mennesker. Carbidopa udskilles i rottemælk.

De udviklingsmæssige og sundhedsmæssige fordele ved amning bør overvejes sammen med mors kliniske behov for Duopa og eventuelle bivirkninger på det ammede spædbarn fra Duopa eller fra den underliggende moderlige tilstand.

Pædiatrisk brug

Sikkerhed og effektivitet hos pædiatriske patienter er ikke etableret.

Geriatrisk brug

I det kontrollerede kliniske forsøg var 49% af patienterne 65 år og ældre og 8% var 75 år og ældre. Hos patienter 65 år og ældre var der en øget risiko for forhøjelse af BUN og CPK (over den øvre grænse for det normale referencenområde for disse laboratorieanalyser) under behandling med Duopa sammenlignet med risikoen for patienter under 65 år.

Overdoseringsoplysninger til Duopa

Håndtering af akut overdosering med Duopa er den samme som håndtering af akut overdosering med levodopa. Pyridoxin er ikke effektiv til at vende handlingerne fra oral øjeblikkelig frigivelse carbidopa-levodopa.

I tilfælde af en overdosering med Duopa skal infusionen stoppes, og pumpen frakobles øjeblikkeligt. Administrer intravenøse væsker og vedligehold en passende luftvej. Patienter skal modtage elektrokardiografisk overvågning for arytmier og hypotension.

Kontraindikationer for Duopa

Dobbelt is contraindicated in patients who are currently taking a nonselective monoamine oxidase (MAO) inhibitor (og.g. phenelzine og tranylcypromine) or have recently (within 2 weeks) taken a nonselective MAO inhibitor. Hypertension can occur if these drugs are used concurrently [se Lægemiddelinteraktioner ].

Klinisk farmakologi for Duopa

Handlingsmekanisme

Carbidopa

Når levodopa administreres oralt, dekarboxyleres det hurtigt til dopamin i ekstracerebrale væv, så kun en lille del af en given dosis transporteres uændret til centralnervesystemet. Carbidopa inhiberer dekarboxyleringen af ​​perifer levodopa, hvilket gør mere levodopa til rådighed til levering til hjernen.

Levodopa

Levodopa is the metabolic precursor of dopamin does cross the blood-brain barrier og presumably is converted to dopamin in the brain. This is thought to be the mechanism whereby levodopa treats the symptoms of Parkinsons sygdom.

Farmakodynamik

Fordi dens dekarboxylaseinhiberende aktivitet er begrænset til ekstracerebral vævsadministration af carbidopa med levodopa gør mere levodopa til rådighed for hjernen. Tilsætningen af ​​carbidopa til levodopa reducerer de perifere virkninger (f.eks. Kvalme og opkast) på grund af dekarboxylering af levodopa; Carbidopa reducerer imidlertid ikke de bivirkninger på grund af de centrale virkninger af levodopa.

Farmakokinetik

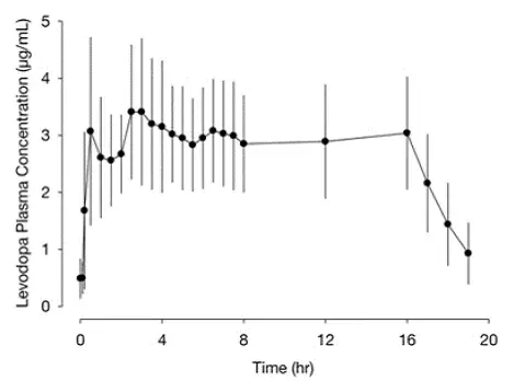
Farmakokinetikken af ​​Carbidopa og Levodopa med 16-timers intrajunal infusion af Duopa blev evalueret hos 18 patienter med avanceret Parkinsons sygdom, der havde været på duopa-terapi i 30 dage eller længere. Patienter forblev på deres individualiserede duopafordeling.

Plasmakoncentrationerne versus tidsprofil for levodopa med Duopa 16-timers intrajejunal infusion er vist i figur 1.

Figur 1: Plasmakoncentrationer (gennemsnit ± standardafvigelse) versus tidsprofil for levodopa med duopa (levodopa 1580 ± 403 mg; carbidopa 366 ± 92 mg) 16-timers infusion

Absorption og biotilgængelighed

Efter påbegyndelse af den 16-timers intrajejunal infusion af Duopa-topplasmaniveauer af levodopa nås på 2,5 timer. Absorptionen af ​​levodopa kan reduceres hos patienter på en højprotein-diæt, fordi levodopa konkurrerer med visse aminosyrer til transport over tarmvæggen. Gastrisk tømningshastighed påvirker ikke absorptionen af ​​duopa, da den administreres ved kontinuerlig tarminfusion. I en farmakokinetisk analyse på tværs af undersøgelse havde duopa sammenlignelig biotilgængelighed med de orale carbidopalevodopa (25/100 mg) tabletter (over-indkapslede tabletter). Den estimerede biotilgængelighed for levodopa fra duopa i forhold til oral øjeblikkelig frigivelse carbidopa-levodopa tabletter var 97% (95% konfidensinterval; 95% til 98%).

I det kontrollerede kliniske forsøg blev den intra-subjektvariabilitet i carbidopa og levodopa-plasmakoncentrationer lavere for patienter behandlet med Duopa (n = 33 25% og 21%) end hos patienter behandlet med oral øjeblikkelig frigivelse af carbidopa-levodopa (25/100 mg) tabletter (n = 28 39% og 67%) henholdsvis.

Fordeling

Carbidopa is approximately 36% bound to plasma proteins. Levodopa is approximately 10-30% bound to plasma proteins.

Metabolisme og eliminering

Carbidopa

Carbidopa is metabolized to two main metabolites (α-methyl-3-methoxy-4hydroxyphenylpropionic acid og α-methyl-34-dihydroxyphenylpropionic acid). These 2 metabolites are primarily eliminated in the urine unchanged or as glucuronide conjugates. Unchanged carbidopa accounts for 30% of the total urinary excretion. The elimination half-life of carbidopa is approximately 2 hours.

Levodopa

Levodopa is mainly eliminated via metabolism by the aromatic aminosyre decarboxylase (AAAD) og the catechol-O-methyl-transferase (COMT) enzymes. Other routes of metabolism are transamination og oxidation. The decarboxylation of levodopa to dopamin by AAAD is the major enzymatic pathway when no enzyme inhibitor is co-administered. O-methylation of levodopa by COMT forms 3-O-methyldopen. When administered with carbidopa the elimination half-life of levodopa is approximately 1.5 hours (see Figure 1).

Lægemiddelinteraktionsundersøgelser

COMT -hæmmere

Systemisk eksponering af levodopa forventes at stige i tilstedeværelsen af ​​entacapone.

Kliniske studier

Effektiviteten af ​​Duopa blev etableret i en randomiseret dobbeltblind dobbelt-dummy Activecontrolleret parallel gruppe 12-ugers undersøgelse (undersøgelse 1) hos patienter med avanceret Parkinsons sygdom, der var levodopa-responsive og havde vedvarende motoriske svingninger, mens de var på behandling med oral øjeblikkelig frigørelse Carbidopa-Levodopa og andre Parkinsons sygdomsmedicin. Patienterne var berettigede til deltagelse i undersøgelserne, hvis de oplevede 3 timer eller mere af off -tiden på deres nuværende Parkinsons sygdomsmedicinske behandling, og de demonstrerede en klar reaktion over for behandling med Levodopa. 72 (71) patienter, der var indskrevet i undersøgelsen, og 66 patienter afsluttede behandlingen (3 patienter afbrød behandlingen på grund af bivirkninger 1 patient på grund af manglende virkning og 1 patient til manglende overholdelse).

Patienter, der var indskrevet i denne undersøgelse, havde en gennemsnitlig alder på 64 år og sygdomsvarighed på 11 år. De fleste patienter (89%) tog mindst en samtidig medicin til Parkinsons sygdom (f.eks. Dopaminergisk agonist Comt-Inhibitor Mao-B-hæmmer) ud over oral carbidopa-levodopa med øjeblikkelig frigivelse. 30 procent af patienterne tog to eller flere af sådanne samtidige medicin.

Patienter blev randomiseret til enten Duopa og placebo-kapsler eller placebo-ophæng og oral øjeblikkelig frigivelse carbidopa-levodopa 25/100 mg kapsler. Patienter i begge behandlingsarme havde en PEG-J-enhedsplacering. Duopa eller placebo-suspension blev tilført over 16 timer dagligt gennem et PEG-J-rør via CADD®-legacy 1400 modelambulerende infusionspumpe. Den gennemsnitlige daglige levodopa-dosis var 1117 mg/dag i Duopa-gruppen og 1351 mg/dag i den orale carbidopa-levodopa-gruppe med øjeblikkelig frigivelse.

Det kliniske resultatmål i undersøgelse 1 var den gennemsnitlige ændring fra baseline til uge 12 i det samlede daglige gennemsnitlige off -tid baseret på en Parkinsons sygdomsdagbog. Off-tiden blev normaliseret til en 16-timers vågen periode baseret på en typisk persons vågne dag og den daglige infusionsvarighed på 16 timer. Den gennemsnitlige score fald (dvs. forbedring) i off-tiden fra baseline til uge 12 for Duopa var signifikant større (p = 0,0015) end for oral umiddelbar frigørelse carbidopa-levodopa. Derudover blev den gennemsnitlige score stigning (dvs. forbedring) i til tiden uden besværlig dyskinesi fra baseline til uge 12 markant større â

Tabel 4: Skift fra basislinje til uge 12 i off -tiden og til tiden uden besværlig dyskinesi hos patienter med avanceret Parkinsons sygdom

Behandlingsgruppe Baseline (timer) Ls gennemsnitlig ændring fra baseline i uge 12 (timer)
Off tid
Oral øjeblikkelig frigivelse Carbidopa-Levodopa 6.9 -2.1
Dobbelt 6.3 -4,0*
Til tiden uden besværlig dyskinesi
Oral øjeblikkelig frigivelse Carbidopa-Levodopa 8.0 2.2
Dobbelt 8.7 4.1*
LS gennemsnit ændring fra baseline baseret på analyse af covarians (ANCOVA).
*= Statistisk signifikant.

Figur 2 viser resultater over tid i henhold til behandlingen af ​​effektivitetsvariablen (ændring fra baseline i off -tid), der fungerede som det kliniske resultatmål i slutningen af ​​forsøget efter 12 uger.

Figur 2: Ændring i off -tid over 12 uger.

Patientinformation til Duopa

Dobbelt
(Do-oh-pa)
(Carbidopa og Levodopa) Enteral Suspension

Læs denne medicinguide, før du begynder at bruge Duopa, og hver gang du får en påfyldning. Der kan være nye oplysninger. Disse oplysninger indtager ikke stedet for at tale med din sundhedsudbyder om din medicinske tilstand eller behandling.

Hvad er de vigtigste oplysninger, jeg skal vide om Duopa?

Dobbelt can cause serious side effects including:

  • Mave- og tarme (gastrointestinale) problemer og problemer fra proceduren, du bliver nødt til at skulle modtage Duopa (gastrointestinal procedure-relaterede problemer). Nogle af disse problemer kan kræve operation og kan føre til død.
    • En blokering af din mave eller tarme (Bezoar)
    • Stop bevægelse gennem tarme (ileus)
    • Dræning Redness hævelse Smerter følelse af varme omkring det lille hul i din mavevæg (stomi)
    • Blødning fra mavesår eller dine tarme
    • Betændelse i din bugspytkirtel (pancreatitis)
    • infektion i dine lunger (lungebetændelse)
    • Luft eller gas i dit mavehulrum
    • Hudinfektion omkring tarmrørets infektionslomme (abscess) infektion i dit blod (sepsis) eller abdominal hulrum kan forekomme efter operation
    • Mavesmerter kvalme eller opkast
  • Fortæl din sundhedsudbyder med det samme, hvis du har nogen af ​​følgende symptomer på mave- og tarmeproblemer og gastrointestinal procedurrelaterede problemer:
    • mave (abdominal) smerte
    • forstoppelse that does not go away
    • kvalme or vomiting
    • feber
    • Blod i din afføring eller en mørk tarry afføring (melanotisk afføring)

Du bliver nødt til at have en procedure for at fremstille et lille hul (kaldet en stomi) i din mavevæg for at placere et gastro-jejunostomi-rør (kaldet et PEG-J-rør) i et område med din tyndtarme kaldet Jejunum. Duopa leveres direkte til din tyndtarme gennem dette rør. Din sundhedsudbyder vil tale med dig om Stoma -proceduren. Før Stoma -proceduren skal du fortælle din sundhedsudbyder, hvis du nogensinde har haft en operation eller problemer med din mave.

Tal med din sundhedsudbyder om, hvad du skal gøre for at pleje din stomi. Efter proceduren skal du og din sundhedsudbyder regelmæssigt kontrollere stomien for eventuelle tegn på infektion.

Hvis dit PEG-J-rør bliver knækket eller blokeret, kan dette medføre, at du har forværret din Parkinsons symptomer eller tilbagevendende bevægelsesproblemer (motoriske udsving). Ring til din sundhedsudbyder, hvis din Parkinsons symptomer bliver værre, eller du har langsom bevægelse, mens du bliver behandlet med Duopa.

Hvad er duopa?

Dobbelt is a prescription medicine used for treatment of advanced Parkinsons sygdom. Dobbelt contains 2 medicines Carbidopa og Levodopa.

Dobbelt should not be given to children (younger than 18 years).

Hvem skal ikke bruge Duopa?

Brug ikke Duopa, hvis du:

  • Tag en medicin kaldet en ikke -selektiv monoaminoxidase (MAO) -inhibitor (såsom phenelzin eller tranylcypromin) eller har taget en ikke -selektiv MAO -hæmmer inden for de sidste 14 dage.

Spørg din sundhedsudbyder eller farmaceut, om du ikke er sikker på, om du tager en MAO -hæmmer.

Hvad skal jeg fortælle min sundhedsudbyder, før jeg bruger Duopa?

Før du bruger Duopa, fortæl din sundhedsudbyder, hvis du:

  • har eller har haft mavesår eller maveoperation
  • have Lavt blodtryk (Hypotension) eller hvis du føler dig svimmel eller besvime, især når du rejser sig fra at sidde eller ligge
  • have had problems with besvimende (Synkope)
  • Føl dig søvnig eller er faldet i søvn pludselig om dagen
  • have or have had depression (feelings of hopelessness or sadness) or any mental problems
  • Drik alkohol. Alkohol kan øge chancen for, at duopa får dig til at føle dig søvnig eller falde i søvn, når du skal være vågen
  • have trouble controlling your muscles (dyskinesia)
  • have nerve problems (peripheral neuropathy)
  • have or have had heart problems an abnormal heart rate or have had a hjerteanfald Tidligere
  • have or have had højt blodtryk (hypertension)
  • have eye problems that cause increased pressure in your eye (glaucoma)
  • have a history of attacks of suddenly falling asleep og without warning
  • have any other medical conditions
  • er gravide eller planlægger at blive gravid. Det vides ikke, om duopa vil skade din ufødte baby
  • er amning eller planlægger at amme. Duopa kan passere ind i din mælk og kan skade din baby. Tal med din sundhedsudbyder om den bedste måde at fodre din baby på, hvis du tager Duopa

Fortæl din sundhedsudbyder om alle de medicin, du tager, herunder recept og medicinske medicin vitaminer.

Brug af duopa med visse andre lægemidler kan påvirke hinanden og forårsage alvorlige bivirkninger.

Fortæl især din sundhedsudbyder, hvis du tager:

  • medicin, der bruges til behandling af højt blodtryk (hypertension)
  • Lægemidler, der bruges til behandling af depression kaldet ikke -selektiv monoaminoxidase (MAO) -inhibitor (såsom phenelzin eller tranylcypromin) eller har taget en inden for de sidste 14 dage
  • dopamin D2 -receptorantagonister (antipsykotika eller metoclopramid) og isoniazid
  • Jern eller multivitaminer med jern

At spise fødevarer med højt proteinindhold kan påvirke, hvordan Duopa fungerer. Fortæl din sundhedsudbyder, hvis du ændrer din diæt.

Spørg din sundhedsudbyder eller farmaceut om en liste over disse medicin eller fødevarer, hvis du ikke er sikker.

Kend de medicin, du tager. Opbevar en liste over dem for at vise din sundhedsudbyder og apotek, når du får en ny medicin.

Hvordan skal jeg bruge Duopa?

  • Brug Duopa nøjagtigt, som din sundhedsudbyder beder dig om at bruge den.
  • Din sundhedsudbyder skal vise dig, hvordan du bruger Duopa, før du bruger den for første gang. Spørg din sundhedsudbyder eller farmaceut, hvis du har spørgsmål.
  • Din ordinerede dosis af Duopa vil blive programmeret til din pumpe af en sundhedsudbyder og skal kun ændres af din sundhedsudbyder, eller mens du er sammen med din sundhedsudbyder.
  • Gør ikke Stop med at bruge Duopa eller ændre din dosis, medmindre du får at vide det af din sundhedsudbyder. Fortæl din sundhedsudbyder, hvis du udvikler abstinenssymptomer som feberforvirring eller alvorlig muskelstivhed.
  • Opbevar en levering af oral carbidopa-levodopa øjeblikkelig udgivelse (IR) tabletter med dig, hvis du ikke er i stand til at give din Duopa-infusion.
  • Dobbelt is given continuously over 16 hours through a tube that is put into your stomach called a PEG-J. A small pump (CADD-Legacy 1400) is used to move Dobbelt from the medication cassette through your PEG-J tubog.
  • Din Duopa -dosis har tre dele:
    • En morgendosis
    • en kontinuerlig dosis
    • Ekstra doser
  • Dobbelt can also be given for a short time (short-term) through a tube put into your nose called a naso-jejunal (NJ) tubog.
  • CADD-legacy 1400 bærbar infusionspumpe skal bruges til at give Duopa gennem dit PEG-J-rør. Se instruktionerne til brug, der følger med din CADD-LAGACY 1400 bærbare infusionspumpe for komplette instruktioner om, hvordan du bruger pumpen.
  • Dobbelt comes in a small plastic container (cassette) that you connect to the pump to get your medicinog.
    • Hver kassette kan kun bruges 1 gang. En åbnet kassette bør ikke genbruges.
    • Kassetten skal ikke bruges i mere end 16 timer.
    • Kassetten skal smides væk i slutningen af ​​infusionen, selvom der stadig er noget medicin i kassetten.
  • Frakobl pumpen fra dit PEG-J-rør efter den 16 timers doseringstid er færdig. Brug en sprøjte fyldt med stuetemperaturvand til at skylle dit PEG-J-rør. Se instruktionerne til brug for mere information om, hvordan du skyller dit PEG-J-rør med en sprøjte.
  • Efter din daglige Duopa-infusion skal du tage din sædvanlige dosis om natten af ​​oral carbidopa-levodopa-tabletter som foreskrevet.
  • Hvis du stopper din Duopa-infusion i mere end 2 timer i løbet af din 16 timers doseringstid af en eller anden grund, skal du ringe til din sundhedsudbyder og tage oral carbidopa-levodopa som foreskrevet, indtil du er i stand til at genstarte din Duopa-infusion.
  • Hvis du stopper din Duopa-infusion i mindre end 2 timer, behøver du ikke at tage oral carbidopa-levodopa, men din sundhedsudbyder kan muligvis fortælle dig at tage en ekstra dosis Duopa.

Hvad skal jeg undgå, mens jeg bruger Duopa?

  • Gør ikke Driv driftsmaskineri eller udfør andre aktiviteter, indtil du ved, hvordan duopa påvirker dig. Søvnelighed og faldende i søvn pludselig forårsaget af Duopa kan ske så sent som 1 år efter, at du starter din behandling.

Hvad er de mulige bivirkninger af Duopa?

Dobbelt may cause serious side effects including:

  • Se Hvad er de vigtigste oplysninger, jeg skal vide om Duopa?
  • Falder i søvn under normale daglige aktiviteter. Dobbelt may cause you to fall asleep while you are doing daily activities such as driving talking with other people or eating.
    • Du kan falde i søvn uden nogen advarsel.
    • Nogle mennesker, der bruger Duopa, har haft bilulykker, fordi de faldt i søvn under kørsel.
      Gør ikke Kør eller betjener maskiner, indtil du er sikker på, hvordan duopa påvirker dig. Fortæl din sundhedsudbyder, hvis du tager andre medicin, der kan gøre dig søvnig, såsom søvnmedicin Antidepressiva eller antipsykotika.
  • Lavt blodtryk, når du sidder eller står op hurtigt. Når du har siddet eller ligget, skal du gå langsomt op, indtil du ved, hvordan Duopa påvirker dig. Dette kan hjælpe med at reducere følgende symptomer, mens du bruger Duopa:
    • svimmelhed
    • kvalme
    • sved
    • besvimende
  • Seing things that are not there hearing sounds or feeling sensations that are not real (hallucinations). Hallucinations can happen in people who use Dobbelt. Tell your healthcare provider if you have hallucinations.
  • Usædvanlige trang. Nogle mennesker, der tager visse lægemidler til behandling af Parkinsons sygdom, inklusive Duopa, har rapporteret om problemer såsom hasardspil, der spiser tvangssikring og øget sexlyst.
    Hvis du eller dine familiemedlemmer bemærker, at du har usædvanlige trang eller adfærd tale med din sundhedsudbyder.
  • Depression og suicidog. Dobbelt can cause depression or make your depression worsog. Pay close attention to sudden changes in your mood behavior thoughts or feelings. Call your healthcare provider right away if you feel depressed or have thoughts of suicidog.
  • Ukontrollerede pludselige bevægelser (dyskinesi). Hvis du har ny dyskinesi, eller din dyskinesi bliver værre, fortæl din sundhedsudbyder. Dette kan være et tegn på, at din dosis duopa eller andre medicin til at kontrollere din Parkinsons sygdom muligvis skal justeres.
  • Progressiv svaghed eller følelsesløshed eller tab af fornemmelse i fingrene eller fødderne (neuropati).
  • Hjerteanfald eller andre hjerteproblemer. Fortæl din sundhedsudbyder, hvis du har oplevet øget blodtryk en hurtig eller uregelmæssig hjerteslag eller brystsmerter.
  • Unormale blodprøver. Dobbelt may cause changes in certain blood tests especially certain hormone og kidney function blood tests.
  • Forværring af det øgede tryk i dine øjne (glaukom). Presset i dine øjne skal kontrolleres efter start af duopa.
  • De mest almindelige bivirkninger af duopa inkluderer:
    • Hævelse af ben og fødder
    • kvalme
    • højt blodtryk (hypertension)
    • depression
    • Mund og hals smerte

Ring til din sundhedsudbyder eller få medicinsk behandling med det samme, hvis du har nogen af ​​ovenstående symptomer. Din sundhedsudbyder fortæller dig, om du skal stoppe behandlingen med Duopa og om nødvendigt fortælle dig, hvordan du afbryder Duopa.

Fortæl din sundhedsudbyder, hvis du har nogen bivirkning, der generer dig eller ikke forsvinder.

Disse er ikke alle de mulige bivirkninger af Duopa. For mere information, spørg din sundhedsudbyder eller apotek.

Ring til din læge for medicinsk rådgivning om bivirkninger. Du kan rapportere bivirkninger til FDA på 1800- FDA-1088.

Hvordan skal jeg gemme Duopa?

  • Opbevar duopa i køleskabet mellem 36 ° F til 46 ° F (2 ° C (2 ° C). Frys ikke.
  • Brug ved stuetemperatur. Tag en Duopa -kassette ud af kartonen og ud af køleskabet 20 minutter før brug. Brug produktet ved stuetemperatur, eller du får muligvis ikke den rigtige mængde medicin.
  • Beskyt kassetten mod lys og opbevar den i kartonen, før du bruger.
  • Brug duopa inden udløbsdatoen, der er trykt på kassetten.

Hold duopa og alle medicin uden for børns rækkevidde.

Generel information om sikker og effektiv brug af Duopa.

Medicin er undertiden ordineret til andre formål end dem, der er anført i en medicinguide. Brug ikke Duopa til en betingelse, som den ikke blev ordineret til. Giv ikke Duopa til andre mennesker, selvom de har de samme symptomer, som du har. Det kan skade dem.

Denne medicinguide opsummerer de vigtigste oplysninger om Duopa. Hvis du gerne vil have flere oplysninger, skal du tale med din sundhedsudbyder. Du kan bede din sundhedsudbyder eller farmaceut om information om duopa, der blev skrevet til sundhedspersonale.

For mere information, gå til www.duopa.com eller ring 1-844-386-4968.

Hvad er ingredienserne i Duopa?

Aktive ingredienser: Carbidopa og Levodopa

Inaktive ingredienser: Carmellose natrium og oprenset vand

Denne medicinguide er godkendt af U.S. Food and Drug Administration.

Brug til brug

Dobbelt
(Carbidopa og Levodopa) Enteral Suspension

Disse instruktioner er til brug sammen med andre instruktioner, som din sundhedsudbyder giver dig.

Læs medicinguiden, før du begynder at bruge Duopa, og hver gang du får en påfyldning.

For spørgsmål eller problemer skal du ringe til Duopa-supportafgift gratis på 1-844-386-4968.

CADD-Legacy® 1400-pumpen bruges til levering af Duopa gennem et rør i din mave fastgjort til det længere lige (grønne) stik. Enteral ernæring bør kun gives af det kortere vinklede stik (hvidblå eller violet) (se figur A og tabel. Stikfarver).

Tabel: Stikfarver

Y-forbindelsesstørrelse Design Gastrisk (G) portfarve Tarm (i) portfarve
15 fr Original Hvid Grøn
Ny Blå
20 fr Original Hvid
Ny Violet

Bemærk: Det originale design af Y-forbindelsen er repræsenteret i figurerne i hele denne brugsanvisning.

Denne brugsanvisning giver kun information til CADD-Legacy® Model 1400-pumpen.

Der er andre CADD-Legacy® Pump-modeller tilgængelige. Læs etiketten på bagsiden af ​​pumpen for at sikre, at den er en model 1400 -pumpe.

Din sundhedsudbyder ordinerede duopa til dig. Dine sundhedsudbyder programmerer din recept til CADD-Legacy® 1400-pumpen. CADD-Legacy® 1400-pumpen er godkendt til brug med Duopa. Duopa leveres som medicin inde i kassetter, der opretter forbindelse til CADD-Legacy® 1400-pumpen.

Pumpen leverer duopa på 3 måder:

  • Kontinuerlig sats: stabil levering af duopa leveret hele dagen, mens pumpen er på
  • Morgendosis: En stor dosis Duopa givet hver morgen
  • Ekstra dosis: En lille dosis Duopa givet efter behov i løbet af dagen

Du har brug for følgende elementer for at gennemføre disse trin:

  • Pumpe
  • Dobbelt cassette
  • Mønt som et kvarter
  • Bærer taske
  • Sprøjte
  • Sprøjte connector
  • Vand med stuetemperatur

CADD-LEGACY®-1400 PUMP

Vise

Displayet viser programmeringsoplysninger og meddelelser. Hovedskærmen, som pumpen viser det meste af tiden, viser følgende:

Dobbelt Cassette

Enkelt-brugen Duopa-kassetten er til brug med CADD-Legacy® 1400-pumpen.

Batterirum

To AA -batterier passer ind i batterirummet.

Kassette Latch

Kassettlåsen sikrer duopakassetten til pumpen.

Advarsler og advarsler

Undladelse af at følge advarslerne og advarslerne nedenfor kan forårsage tilbagevenden af ​​dine symptomer skade på pumpen alvorlig skade eller kan føre til død i sjældne tilfælde.

Advarsler

  • Brug kun pumpen på en måde, der er beskrevet i denne brugsanvisning, efter at du har modtaget uddannelse af din sundhedsudbyder.
  • For at undgå eksplosionsfare skal du ikke bruge pumpen nær brandfarlige eksplosive gasser.
  • Brug kun udvidelsessæt, der er godkendt til brug med Duopa (se de fulde ordinerende oplysninger til Duopa), vær opmærksom på alle advarsler og advarsler, der er forbundet med deres anvendelse.
  • Har altid nye batterier til rådighed til udskiftning. Hvis strømmen går tabt Duopa vil ikke blive leveret.
  • Hvis pumpen falder, eller rammer batteridøren eller fanerne kan gå i stykker. Brug ikke pumpen, hvis batteridøren eller fanerne er beskadiget, fordi batterierne ikke er korrekt fastgjort. Dette kan forårsage tab af magt, og duopa vil ikke blive leveret.
  • Hvis pumpen falder eller rammer, skal du se på pumpen for skader. Brug ikke en pumpe, der er beskadiget eller ikke fungerer korrekt.
  • Hvis der er et hul mellem batteridøren og pumpehuset, betyder det, at døren ikke er korrekt fastgjort. Hvis batteridøren bliver løsrevet eller løs, vil batterierne ikke være korrekt sikret. Dette kan forårsage tab af magt, og duopa vil ikke blive leveret.
  • Brug kun Duopa -kassetter til pumpens nøjagtighed og for at sikre, at pumpen fungerer korrekt. Fastgør duopakassetten korrekt. En fritliggende eller forkert vedhæftet Duopa -kassette kan forårsage et problem med at få din duopa.

Advarer

Hvad er loperamidhydrochlorid, der bruges til
  • Brug kun Smiths medicinsk tilbehør og udskiftningsdele til pumpen, da brug af andre mærker kan påvirke pumpens drift negativt.
  • Gør ikke Betjen pumpen ved temperaturer under 2 ° C (40 ° C (over 104 ° F (40 ° C).
  • Gør ikke Opbevar pumpen ved temperaturer under -4 ° F (-20 ° C) eller over 140 ° F (60 ° C). Opbevar ikke pumpen med en duopakassette fastgjort. Brug den leverede beskyttende kassette, når du opbevarer pumpen.
  • Gør ikke Hold pumpen i fugtighedsniveauer under 20% eller over 90% relativ fugtighed.
  • Gør ikke Anbring pumpen i rengøringsvæske eller vand, eller lad opløsning blødgøre i pumpetastaturet eller batterirummet.
  • Gør ikke Rengør pumpen med acetone andre plastopløsningsmidler eller slibende rengøringsmidler.
  • Gør ikke Brug genopladelige NICD- eller nikkelmetalhydrid (NIMH) batterier. Brug ikke carbonzink (tunge) batterier. De giver ikke nok strøm til, at pumpen kan fungere korrekt.
  • Gør ikke Opbevar pumpen i lange perioder med batterierne installeret. Batterilækage kan skade pumpen.

Morgenprocedure

  • Tag duopakartonen, der indeholder duopa -kassetterne ud af køleskabet. Kontroller udløbsdatoen på kartonen. Gør ikke Brug en af ​​kassetterne, hvis udløbsdatoen er gået.
  • Tag en Duopa -kassette ud af kartonen. Returner kartonen med de resterende kassetter til køleskabet. Gør ikke Brug kassetten, hvis udløbsdatoen er gået, eller kassetten er beskadiget eller tom. Efterlad duopakassetten ved stuetemperatur i 20 minutter, før du bruger.
  • Hver duopakassette kan bruges i op til 16 timer efter fjernelse fra køleskabet.

ADVARSEL: Brug kun Duopa -kassetter for at sikre, at pumpen fungerer korrekt.

1) Fjern kassetteklippet (se figur B):

  • Fjern kassettøret fra dets slot i klippet.
  • Træk klippet fra kassetten for at skubbe den ud af kassetten.

Figur b

2) Fastgør duopakassetten til pumpen (se figur C):

  • Hold pumpen, så låsen vender op.
  • Hold duopakassetten, så røret peger ned.
  • Indsæt duopakassettekroge i hængselsstifterne ved bunden af ​​pumpen.

Figur c

3) Latch duopakassetten i pumpen:

  • Hold pumpen og Duopa -kassetten lodret mod en plan overflade.
  • Tryk ned på pumpen, indtil duopakassetten passer tæt mod pumpen (se figur D).
  • Brug en mønt til at dreje låsen mod uret, indtil låsen steg lige op med pilen (se figur E).

Figur D og E

ADVARSEL: Fastgør duopakassetten korrekt. En løsrevet eller forkert fastgjort kassette kan forårsage et problem med at få din duopa.

4) Fjern den røde hætte på enden af ​​kassettøret (se figur F). Gem den røde hætte til brug, når du smider kassetten væk.

ADVARSEL: Tilslut ikke den røde hætte til maverøret. Det vil blokere Duopa Flow.

Figur f

5) Tilslut mavrøret til kassettøret:

  • Mens du holder maverøret stabilt drej af den hvide hætte på enden af ​​det længere lige (grønne) stik (se figur G). ADVARSEL: Vend ikke maverøret.
  • Tilslut kassettøret til slutningen af ​​det længere lige (grønne) stik (se figur H). Gør ikke connect to the shorter angled connector (Hvidblå eller violet).

Figur G og figur H

6) Tænd for pumpen:

  • Tryk og hold, indtil skærmen tændes.
  • Vent cirka 30 sekunder på, at pumpen gennemgår indstillinger.
  • Kontroller for på skærmen.

Pumpestatus: Pumpen er nu tændt, men leverer endnu ikke Duopa.

7) Undersøg slangen for kinks eller lukkede klemmer. Om nødvendigt retknækks eller åbne klemmer (se figur I).

Figur i

8) Start pumpen:

  • Tryk og hold, indtil 3 streger vises, og forsvind derefter fra skærmen.
  • Vent cirka 15 sekunder på, at pumpen begynder at løbe.
  • Kontroller på displayet.

Pumpestatus: Pumpen kører nu. DUOPA -levering begynder som programmeret af din sundhedsudbyder. Hvis pumpen ikke starter, skal der vises en meddelelse på displayet. Se Alarmer og meddelelser afsnit.

It will take between 10 minutes and 30 minutes to deliver your morning dose. For at starte levering af din morgendosis skal du trykke på morgendosisnøglen 2 gange.

INGENTE: Hvis du ikke er i stand til at levere din morgendosis, kan det være for tidligt siden sidste morgen dosis til at levere en anden dosis. Du skal muligvis vente længere. Tiden mellem morgendoser afgøres af din sundhedsudbyder.

9) Den første nøglepress viser morgendosis på displayet.

  • Trykke
  • Kontroller på displayet. The number on your display is the Morning Dose of Dobbelt your healthcare provider prescribed for you.

10) Den anden nøglepresseâ

  • Trykke a second time to deliver the Morning Dosog.
  • Displayet viser en nedtælling af din morgendosis.

Pumpestatus: Efter morgendosis er pumpen automatisk begyndt at levere den kontinuerlige sats. Run vises på displayet. Dette afslutter levering af duopa til din morgenprocedure.

11) Indsæt pumpe i bæreposen (se figur J).

Andre bæresager er også tilgængelige. Se de specifikke instruktioner til brug, der ledsager din bæretaske.

Figur j

12) Bær posen over din skulder eller nakke:

  • Placer posestroppen over din skulder eller nakke (se figur K).
  • Sørg for, at pumpen er i korrekt position (se figur L).

Figur K og L

Ekstra dosis

1) Giv en ekstra dosis Duopa:

INGENTE: Hvis du ikke er i stand til at levere den ekstra dosis, kan det være for tidligt siden den sidste ekstra dosis til at levere en anden, og du skal muligvis vente længere. Tiden mellem ekstra doser og mængden af ​​duopa i den ekstra dosis afgøres af din sundhedsudbyder.

  • Kontroller på displayet.
  • Trykke
  • Lyt efter 2 bip.
  • Displayet viser

Pumpestatus: Pumpen leverer nu den ekstra dosis. Når det er afsluttet, vises Run på displayet, og den kontinuerlige sats fortsætter med at køre.

For instruktioner om ændring af en Duopa -kassette, se ændring af kassetten.

Aftenprocedure

Du har brug for:

  • 1 sprøjte
  • 1 sprøjte connector
  • Vand med stuetemperatur
  • 1 mønt som et kvarter

1) Fjern pumpen fra bæreposen (se figur M).

Figur m

2) Stop den kontinuerlige sats:

  • Trykke og hold until 3 dashes appear og then disappear from the display.
  • Kontroller på displayet.

3) Sluk pumpen:

  • Trykke og hold until 3 sets of dots appear og then disappear from the display og the display turns off.
  • Kontroller, at skærmen er slukket.

4) Klem kassettøret (se figur n).

Figur n

5) Frakobl slangen:

  • Drej kassettøret for at afbryde det fra det længere lige (grønne) stik (se figur O). ADVARSEL: Vend ikke maverøret.
  • Udskift den røde hætte på kassettøret.

Figur o

6) Skyl det længere lige (grønne) stik:

  • Tilslut sprøjtestikket til det længere lige (grønne) stik.
  • Fyld en sprøjte med stuetemperaturhaner eller drikkevand. Gør ikke use hot water as it could burn the wall of your stomach or intestinog.
  • Tilslut sprøjten til sprøjteknap (se figur P). Gør ikke Svitt sprøjteforbindelsen, eller det kan gå i stykker.
  • Gør ikke Brug sprøjtestikket, hvis det er revnet eller ødelagt.
  • Skub sprøjten stemplet for at skylle røret. Gør ikke Tving sprøjten, hvis det er vanskeligt at skylle røret. Ring til din sundhedsudbyder, hvis du ikke er i stand til eller har svært ved at skylle dit rør.
  • Fjern sprøjten og sprøjtestikket.
  • Udskift den hvide hætte på det længere lige (grønne) stik (se figur Q).

Figur q

7) Skyl det kortere vinklede stik (hvidblå eller violet):

  • Drej den hvide hætte fra det kortere vinklede stik (hvidblå eller violet).
  • Tilslut sprøjtekontrollen til det kortere vinklede stik (hvidblå eller violet).
  • Fyld en sprøjte med stuetemperaturhaner eller drikkevand. Gør ikke use hot water as it could burn the wall of your stomach or intestinog.
  • Tilslut sprøjten til sprøjteknap (se figur R). Gør ikke Svitt sprøjteforbindelsen, eller det kan gå i stykker. Gør ikke Brug sprøjtestikket, hvis den er revnet eller ødelagt.
  • Skub sprøjten stemplet for at skylle røret.
  • Fjern sprøjten og sprøjtestikket. Replace the white cap on the shorter angled connector (white blue or violet) (see Figure S).

Figur R og S

8) Fjern duopakassetten fra pumpen:

  • Hold pumpen og Duopa -kassetten lodret mod en flad overflade (se figur T).
  • Brug en mønt til at dreje låsen med uret, indtil låsen dukker ud (se figur U).
  • Fjern duopakassetten fra pumpen.

Figur T og U

Ændring af duopakassetten

  • Tag duopakartonen, der indeholder duopakassetten ud af køleskabet. Kontroller udløbsdatoen på kartonen. Gør ikke Brug en af ​​kassetterne, hvis udløbsdatoen er gået.
  • Tag en Duopa -kassette ud af kartonen. Returner kartonen med de resterende kassetter til køleskabet. Gør ikke Brug kassetten, hvis udløbsdatoen er gået, eller kassetten er beskadiget eller tom. Efterlad duopakassetten ved stuetemperatur i 20 minutter, før du bruger.
  • Hver duopakassette kan bruges i op til 16 timer efter fjernelse fra køleskabet.

ADVARSEL: Brug kun Duopa -kassetter for at sikre, at pumpen fungerer korrekt.

1) Fjern pumpen fra bæreposen (se figur V).

Figur v

2) Stop den kontinuerlige sats:

  • Trykke og hold until 3 dashes appear og then disappear from the display.
  • Kontroller på displayet.

3) Sluk pumpen:

  • Trykke og hold until 3 sets of dots appear og then disappear from the display og the display turns off.
  • Kontroller, at skærmen er slukket.

4) Klem kassettøret (se figur W).

Figur w

5) Frakobl slangen:

  • Drej kassettøret for at afbryde det fra det længere lige (grønne) stik (se figur X). ADVARSEL: Vend ikke maverøret.
  • Udskift den røde hætte på kassettøret.

Figur x

6) Fjern duopakassetten fra pumpen:

  • Hold pumpen og Duopa -kassetten lodret mod en plan overflade (se figur Y).
  • Brug en mønt til at dreje låsen med uret, indtil låsen dukker ud (se figur Z).
  • Fjern duopakassetten fra pumpen.

Figur Y og Z

7) Fjern kassetteklippet på den nye Duopa -kassette (se figur AA):

  • Fjern kassettøret fra dets sikrede slot i klippet.
  • Træk klippet fra kassetten for at skubbe den ud af kassettoppen.

Figur AA

8) Sæt den nye Duopa -kassette til pumpen (se figur BB):

  • Hold pumpen, så låsen vender op.
  • Hold duopakassetten, så røret peger ned.
  • Indsæt duopakassettekroge i hængselsstifterne ved bunden af ​​pumpen.

Figur bB

9) Latch den nye Duopa -kassette i pumpen:

  • Hold pumpen og Duopa -kassetten lodret mod en plan overflade.
  • Trykke down on the pump until the Dobbelt cassette fits tightly against the pump (see Figur cC).
  • Brug en mønt til at dreje låsen mod uret, indtil låsen steg lige op med pilen (se figur DD).

Figur cC og DD

ADVARSEL: Fastgør duopakassetten korrekt. En løsrevet eller forkert fastgjort kassette kan forårsage et problem med at få din duopa.

10) Fjern den røde hætte på enden af ​​kassettøret (se figur EE).

Gem den røde hætte, der skal bruges, når kassering af kassetten.

ADVARSEL: Tilslut ikke den røde hætte til maverøret, da det blokerer Duopa -strømmen.

Figur af

11) Tilslut mavrøret til kassettøret:

  • Mens du holder maverøret, drejer den hvide hætte fra det længere lige (grønne) stik (se figur FF).
  • ADVARSEL: Vend ikke maverøret.
  • Tilslut kassettøret til slutningen af ​​det længere lige (grønne) stik (se figur GG). Gør ikke connect to the shorter angled connector (Hvidblå eller violet).

Figur fF og GG

12) Tænd for pumpen:

  • Tryk og hold, indtil skærmen tændes.
  • Vent cirka 30 sekunder på, at pumpen gennemgår indstillinger.
  • Kontroller på displayet.

Pumpestatus: Pumpen er nu tændt, men leverer ikke Duopa.

13) Undersøg slangen for kinks eller lukkede klemmer. Om nødvendigt retknækks eller åbne klemmer (se figur HH).

Figur HH

14) Start pumpen:

  • Trykke og hold until 3 dashes appear og then disappear from the display.
  • Vent cirka 15 sekunder på, at pumpen begynder at løbe.
  • Kontroller på displayet.

Pumpestatus: Pumpen kører nu.

15) Indsæt pumpen i bæreposen (se figur II).

Figur iI

16) Bær posen på din skulder eller nakke:

  • Placer posestroppen over din skulder eller nakke (se figur JJ).
  • Sørg for, at pumpen er i korrekt position (se figur KK).

Figur jJ og KK

Ændring af batterierne:

Hvis du ser Lavt flagermus eller batteri udtømt Skift batterierne på displayet. Brug 2 nye AA -alkaliske batterier såsom Duracell® eller Everady® Energizer®. Pumpen holder alle de vigtige oplysninger, når batterierne fjernes.

ADVARSEL:

  • Har altid nye batterier til rådighed til udskiftning. Hvis strømmen går tabt Duopa vil ikke blive leveret.
  • Hvis pumpen falder, eller rammer batteridøren eller fanerne kan gå i stykker. Gør ikke Brug pumpen, hvis batteridøren eller fanerne er beskadiget, fordi batterierne ikke er korrekt fastgjort. Dette kan føre til tab af magt, og duopa vil ikke blive leveret.
  • Hvis der er et hul, er der et sted mellem batteridøren og pumpen, der huser døren, ikke er korrekt fastgjort. Hvis batteridøren bliver løsrevet eller løs, vil batterierne ikke være korrekt sikret. Dette kan forårsage tab af magt, og duopa vil ikke blive leveret.

FORSIGTIGHED:

  • Gør ikke use rechargeable NiCd or nickel metal hydride (NiMH) batteries. Gør ikke use carbon zinc (heavy duty) batteries. De giver ikke nok strøm til, at pumpen kan fungere korrekt.
  • Gør ikke store the pump for prolonged periods of time with the batteries installed. Batterilækage kan skade pumpen.

1) Sørg for, at pumpen er stoppet.

2) Tryk på og hold pileknappen, mens den glider batteridøren, indtil den kommer helt ud af pumpen (se figur LL).

Figur ll

3) Fjern de brugte batterier (se figur MM).

Figur mM

4) Installer nye batterier i batterirummet.

INGENTE: Indsæt batterierne korrekt baseret på billedet i batterirummet. Hvis du indsætter batterierne baglæns, forbliver displayet tomt. Sæt batterierne igen, og sørg for at matche og â € markeringer med batterirummet.

5) Lyt efter et bip.

Pumpestatus: Pumpen er nu drevet. Power-up-sekvensen starter pumpen vil gennemgå en elektronisk selvtest, og derefter vil pumpen bippe 6 gange i slutningen af ​​power-up-sekvensen. Alle displayindikatorer Software -revisionen og hver indstilling vises kort.

Hvis du ikke hører et bip, og displayet er fra pumpen er ikke drevet. Kontroller, at batterierne er korrekt indsat.

6) Skub batteridøren tilbage på pumpen ind i sin oprindelige lukkede position (se figur NN).

Figur nN

Skift morgendosis

Din sundhedsudbyder kan have indstillet din pumpe for at give mulighed for dosisændringer til din morgendosis og kontinuerlig sats (låsniveau 1). Gør ikke Skift din medicindosis uden godkendelse og uddannelse fra din sundhedsudbyder.

Tal med din sundhedsudbyder for at beslutte, hvornår du skal ændre din morningsdosis og kontinuerlig sats. Gør ikke Skift din ekstra dosis, medmindre din sundhedsudbyder fortæller dig det. Hvis din ekstra dosis kræver ændringer, vil din sundhedsudbyder give instruktioner.

Skift morgendosis

ADVARSEL: Gør ikke use the Prime button. Priming is for use by your healthcare provider only.

1) Tænd for pumpen:

  • Tryk og hold, indtil skærmen tændes.
  • Vent cirka 30 sekunder på, at pumpe gennemgår indstillinger.
  • Kontroller på displayet.

Pumpestatus: Pumpen er nu tændt, men leverer endnu ikke Duopa.

2) Undersøg slangen for kinks eller lukkede klemmer. Om nødvendigt retknækks eller åbne klemmer (se figur OO).

Figur oO

3) Start pumpen:

  • Trykke og hold until 3 dashes appear og then disappear from the display.
  • Vent cirka 15 sekunder på, at pumpen begynder at løbe.
  • Kontroller på displayet.

Pumpestatus: Pumpen kører nu.

4) Skift morgendosis:

en. Trykke 1 timog.

b. Kontroller på displayet.

c. Trykke

Eller

For at vælge den ønskede morgendosis.

d. Trykke to store the Morning Dosog.

og. Make sure you see the correct Morning Dose on the display. If not repeat Steps 4c to 4og.

5) Lever morgendosis:

  • Trykke 1 timog.

INGENTE: Hvis du ser Value not saved on the display press NÆSTE og then repeat Steps 4c to 4og.

  • Displayet viser en nedtælling af din morgendosis.

Pumpestatus: Efter morgendosis vil pumpen begynde at levere den kontinuerlige sats. Run vises på displayet.

INGENTE: Hvis du ikke er i stand til at levere en morgendosis, kan det være for tidligt siden sidste morgen dosis til at levere en anden, og du skal muligvis vente længere. Tiden mellem morgendoser afgøres af din sundhedsudbyder.

Skift den kontinuerlige sats

1) Stop den kontinuerlige sats:

  • Trykke og hold until 3 dashes appear og then disappear from the display.
  • Kontroller på displayet.

2) Skift den kontinuerlige sats:

en. Trykke 2 times.

b. Kontroller på displayet.

c. Trykke

Eller

For at vælge den ønskede kontinuerlige sats.

d. Trykke to store the Continuous Ratog.

og. Make sure you see the desired Continuous  Rate on the display. If not repeat Steps 2c to 2og.

3) Start pumpen:

  • Trykke og hold until 3 dashes appear og then disappear from the display.

INGENTE: Hvis du ser Value not saved on the display press NÆSTE og then repeat Steps 2c to 2og.

  • Vent cirka 15 sekunder på, at pumpen begynder at løbe.
  • Displayet viser

Pumpestatus: Pumpen kører nu.

Alarmer og meddelelser

jeg vil rejse

Tabellen nedenfor viser nogle af de almindelige alarmer, som du måske hører fra pumpen. Læs skærmen med alle alarmer, før du trykker på for at dæmpe alarmen.

Hvad du ser: Hvad du hører: Mening Svar
Fejl To-tone alarm Der er opstået en fejl med pumpen. Kontakt din sundhedsudbyder.
Højt tryk To-tone alarm Der er tryk, der er sikkerhedskopieret i slangen. Kontroller slange for klemmer kinks eller blokeringer. Sørg for, at den røde hætte er blevet fjernet fra duopakassettøret. Skylcknikker om nødvendigt. Hvis det ikke er muligt at skylle rørene, skal du kontakte din sundhedsudbyder, da dit rør kan blokeres.
Lowbat 3 to-tone bip hvert 5. minut Pumpebatterierne er lave. Skift batterierne med det samme.
Opstrøms okklusion To-tone alarm Hvis din sundhedsudbyder har den opstrøms okklusionssensor indstillet til ON, og en blokering i Duopa -kassetten påvises, vil denne alarm lyde. Fjern duopakassetten. Kontroller, om duopakassetten er tom. Hvis ikke tom genmagter duopa -kassetten. Genstart pumpen for at fortsætte leveringen. Kontakt din sundhedsudbyder, hvis alarmen fortsætter.
Ingen besked på skærmen To-tone alarm Batterier blev fjernet inden for cirka 15 sekunder efter stoppet pumpen. Installer nye batterier for at dæmpe alarmen. Ellers stopper alarmen inden for en kort periode.
Vise shows current pump status 2 bip (lang-kor) Duopa -kassetten er ikke indrettet med pumpen, eller duopa flyder ikke fra duopakassetten til pumpemekanismen. Meget kold eller ekstremt tyk duopa kan også forårsage denne alarm. Trykke NÆSTE at dæmpe alarmen. The pump continues to run. Make sure the Dobbelt cassette is correctly lined up with the pump og Dobbelt is flowing.
Tag duopakassetten ud af køleskabet i 20 minutter, før du fastgøres til pumpen.
Batteri udtømt To-tone alarm Batterier er døde. Installer nye batterier. For at fortsætte levering genstart pumpen, når den er afsluttet.
Tast presset venligst frigivelse To-tone alarm Nøglen holdes nede. Stop med at trykke på nøglen. Hvis alarmen fortsætter med at lukke kassettørsklemmen og fjerne pumpen fra brug. Kontakt din sundhedsudbyder.
Ingen engangsklemdrør To-tone alarm Engang henviser til duopakassetten. Ingen Engang Betyder, at duopakassetten blev fjernet. Pumpen senser ikke korrekt kassettefastgørelse. Klem kassettøret og afbryd det fra dit mavrør. En duopakassette skal fastgøres korrekt for at pumpen skal køre. Trykke NÆSTE at dæmpe alarmen.
Ingen engangspumpe kører ikke To-tone alarm DIS POS -stand henviser til Duopa -kassetten. Du har forsøgt at starte pumpen uden en engangsduopa -kassette vedhæftet. Trykke NÆSTE at dæmpe alarmen. A Dobbelt cassette must be correctly attached for the pump to run.
Service på grund af manual To-tone alarm Pumpen er planlagt til service. Trykke NÆSTE at dæmpe alarmen. The pump is still working but contact your healthcare provider for further instructions.

Ofte stillede spørgsmål

Hvad hvis jeg slipper pumpen eller rammer den mod en hård overflade?

Gør følgende med det samme:

  • Kontroller Duopa -kassettlåsen på siden af ​​pumpen, og sørg for, at linjen på låsen stiller op med pilen på siden af ​​pumpen.
  • Drej forsigtigt skub og træk på duopakassetten for at sikre, at den stadig er fast fastgjort.
  • Kontroller batteridøren for at sikre, at den stadig er fastgjort.

Hvis duopakassetten eller batteridøren er løs eller beskadiget, skal du ikke bruge pumpen. Stop pumpen med det samme Luk rørklemmen, og kontakt din sundhedsudbyder.

Hvad skal jeg gøre, hvis jeg slipper pumpen i vand?

Hvis du ved et uheld slipper pumpen i vand, skal du hurtigt tørre den op med et håndklæde og ringe til din sundhedsudbyder.

ADVARSEL: If the pump is dropped or hit look at the pump for damagog. Gør ikke use a pump that is damaged or is not working correctly.

Hvad skal jeg gøre, hvis jeg har brug for at bade, mens jeg bærer pumpen?

Du har brug for at løsne pumpen, før du bruser bade eller svømmer. Sæt pumpen igen til maveslangen bagefter og genstart den.

Hvad skal jeg gøre, hvis jeg har brug for en medicinsk test, mens jeg bærer pumpen?

Pumpen skal muligvis fjernes inden visse medicinske tests. Sørg for at tale med din læge om din Duopa -pumpe, før du tager disse test.

Opbevaring og bortskaffelse

Opbevaring

  • Opbevar duopa i køleskabet med temperaturen mellem 36 ° F til 46 ° C (2 ° C (2 ° C).
  • Når duopa -kassetten er blevet fjernet fra køleskabet, skal duopa bruges inden for 16 timer.
  • Duopa -kassetterne er kun til engangsbrug og bør ikke bruges i mere end 16 timer, selvom noget af medicinen forbliver. En åbnet kassette bør ikke genbruges.
  • Beskyt kassetten mod lys og opbevar den i kartonen, før du bruger.

Kast din duopakassette eller batterier væk

  • Kast duopa -kassetten væk, som din sundhedsudbyder fortæller dig at gøre det.
  • Kast brugte batterier på en måde, der er sikker for miljøet og i henhold til eventuelle regler, der gælder.

Denne brugsanvisning er godkendt af U.S. Food and Drug Administration.