Oplysningerne På Webstedet Er Ikke Medicinsk Rådgivning. Vi Sælger Ikke Noget. Nøjagtigheden Af ​​Oversættelsen Er Ikke Garanteret. Ansvarsfraskrivelse

Epzicom

Resume af lægemiddeloversigt

Hvad er Epzicom?

Epzicom (abacavir sulfat og lamivudin) er en type Antiviral Medicin kaldet en omvendt transkriptaseinhibitor, der bruges til behandling af HIV, der forårsager det erhvervede immundefektsyndrom (AIDS). Epzicom er ikke en kur mod HIV eller AIDS.

Hvad er bivirkninger af EPZICOM?

Almindelige bivirkninger af EPZICOM inkluderer:

  • hovedpine
  • kvalme
  • diarre
  • svimmelhed
  • træthed
  • problemer med at sove
  • Mærkelige drømme
  • depression
  • angst eller
  • Ændringer i formen eller placeringen af ​​kropsfedt (især i dine arme ben står over for halsbryst og bagagerum).

Fortæl din læge, hvis du har seriøse bivirkninger af EPZICOM inklusive:



  • uforklarlig vægttab
  • vedvarende muskelsmerter eller svaghed
  • ledssmerter
  • følelsesløshed eller prikken af ​​hænder/fødder/arme/ben
  • Alvorlig træthed
  • Vision ændres
  • alvorlig eller vedvarende hovedpine
  • Tegn på infektion (såsom feber kulderystelser problemer med at trække vejret hoste ikke-helende hudsår)
  • Tegn på en overaktiv skjoldbruskkirtel (såsom irritabilitet nervøsitet varmeintolerance hurtig/bankende/uregelmæssig hjerteslag svulmende øjne usædvanlig vækst i nakken/skjoldbruskkirtlen kendt som en struma)
  • Tegn på et bestemt nerveproblem kendt som Guillain-Barre syndrom (såsom vanskeligheder med at trække vejret/sluge/bevæge dine øjne, der hænger sammen ansigtslammelse sløret tale)
  • Mental/humørændringer (såsom depression angst)
  • let blå mærker eller blødning eller
  • tegn på Anæmi (såsom usædvanlig træthed Hurtig åndedrætsbeklædning Hud hurtigt hjerteslag).

Epzicom

  • elveblest
  • Besvær
  • Hævelse af dine ansigtslæber tunge eller hals
  • uforklarlig vægttab
  • Alvorlig træthed
  • Muskelsmerter
  • svaghed
  • Alvorlig hovedpine
  • ledssmerter
  • følelsesløshed eller prikken af ​​hænderne fødder arme ben
  • Vision ændres
  • feber
  • kulderystelser
  • hævede lymfeknuder
  • hoste
  • Ikke-helende hudsår
  • irritabilitet
  • nervøsitet
  • varmeintolerance
  • Hurtig dunkende eller uregelmæssig hjerteslag
  • svulmende øjne
  • Usædvanlig vækst i nakken eller skjoldbruskkirtlen (Goiter)
  • problemer med at sluge
  • Vanskeligheder med at bevæge dine øjne
  • hængende ansigt
  • lammelse
  • vanskeligheder med at tale
  • Mental eller humørændringer
  • depression
  • angst
  • Let blå mærker
  • Usædvanlig blødning
  • usædvanlig træthed
  • Hurtig vejrtrækning
  • Bleg hud
  • kvalme
  • opkast
  • mavesmerter
  • Rygsmerter
  • feber
  • Tab af appetit
  • Gulning af øjne og hud (gulsot)
  • Mørk urin
  • dyb eller hurtig vejrtrækning og
  • døsighed

Få medicinsk hjælp med det samme, hvis du har nogen af ​​de symptomer, der er anført ovenfor.

Søg medicinsk behandling eller ring 911 på én gang, hvis du har følgende alvorlige bivirkninger:

  • Alvorlige øjensymptomer såsom pludseligt synstab sløret synet tunnel vision øje smerter eller hævelse eller at se haloer omkring lys;
  • Alvorlige hjertesymptomer såsom hurtig uregelmæssige eller bankende hjerteslag; flagrende i brystet; åndenød; og pludselig svimmelhed lethed eller udlevering;
  • Alvorlig hovedpine forvirring sløret talearm eller ben svaghed problemer med at gå tab af koordination føles ustabil meget stive muskler høj feber voldsom sved eller rysten.

Dette dokument indeholder ikke alle mulige bivirkninger, og andre kan forekomme. Kontakt din læge for yderligere oplysninger om bivirkninger.

Dosering til EPZICOM

Den anbefalede orale dosis af EPZICOM for voksne er en tablet dagligt i kombination med andre antiretrovirale midler.

Hvilke stoffer stoffer eller kosttilskud interagerer med EPZICOM?

EPZICOM kan interagere med methadon ribavirin interferon eller andre medicin, der indeholder abacavir eller lamivudin. Fortæl din læge alle medicin og kosttilskud, du bruger.

Epzicom under graviditet og amning

Under graviditet bør EPZICOM kun bruges, når det er ordineret. HIV -medicin gives normalt til gravide kvinder med HIV. Behandling har vist sig at mindske risikoen for HIV -transmission til babyen. Dette lægemiddel kan være en del af denne behandling. Kontakt din læge. Det er ukendt, om abacavir passerer til modermælk. Lamivudin passerer ind i modermælk. Fordi modermælk kan transmittere HIV ikke ammer.

Yderligere oplysninger

Vores EPZICOM (Abacavir Sulfate and Lamivudine) bivirkninger Drug Center giver et omfattende overblik over tilgængelige lægemiddelinformation om de potentielle bivirkninger, når du tager denne medicin.

FDA -lægemiddelinformation

ADVARSEL

Overfølsomhedsreaktioner og forværringer af hepatitis B

Overfølsomhedsreaktioner

Alvorlige og til tider dødelige overfølsomhedsreaktioner med flere organinddragelse har forekommet med abacavir en komponent af EPZICOM (abacavir og lamivudin). Patienter, der bærer HLA B*5701 -allelen, har en højere risiko for en overfølsomhedsreaktion på abacavir; Selvom overfølsomhedsreaktioner har fundet sted hos patienter, der ikke bærer HLA B*5701 -allelen [se ADVARSELS AND FORHOLDSREGLER ].

Epzicom er kontraindiceret hos patienter med en tidligere overfølsomhedsreaktion på abacavir og i HLA B*5701-positive patienter [se Kontraindikationer ADVARSELS AND FORHOLDSREGLER ]. All patients should be screened for the HLA B*5701 allele prior to initiating therapy with Epzicom or reinitiation of therapy with Epzicom unless patients have a previously documented HLA B*5701 allele assessment. Discontinue Epzicom immediately if a hypersensitivity reaction is suspected regardless of HLA-B*5701 status and even when other diagnoses are possible [see Kontraindikationer ADVARSELS AND FORHOLDSREGLER ].

Efter en overfølsomhedsreaktion på EPZICOM genstarter aldrig EPZICOM eller nogen anden abacavir, der indeholder produkt, fordi mere alvorlige symptomer inklusive død kan forekomme inden for få timer. Lignende alvorlige reaktioner har også forekommet sjældent efter genindførelsen af ​​abacavir-holdige produkter hos patienter, der ikke har nogen historie med abacavir-overfølsomhed [se advarsler og FORHOLDSREGLER ].

Forværringer af hepatitis B

Der er rapporteret om alvorlige akutte forværringer af hepatitis B hos patienter, der er CO -inficeret med hepatitis B -virus (HBV) og human immundefektvirus (HIV 1) og har ophørt med lamivudin, hvilket er en komponent i EPZICOM. Leverfunktion skal overvåges tæt med både klinisk og laboratorieopfølgning i mindst flere måneder hos patienter, der afbryder EPZICOM og er co-inficeret med HIV 1 og HBV. Hvis det er relevant påbegyndelse af anti hepatitis B -terapi, kan det være berettiget [se ADVARSELS AND FORHOLDSREGLER ].

Beskrivelse for EPZICOM

Epzicom

Epzicom -tabletter indeholder følgende 2 syntetiske nukleosidanaloger: abacavir (Ziagen også en komponent i trizivir) og lamivudin (også kendt som Epivir eller 3TC) med inhiberende aktivitet mod HIV 1.

Epzicom -tabletter er til oral administration. Hver orange filmovertrukket tablet indeholder de aktive ingredienser 600 mg abacavir som abacavir sulfat og 300 mg lamivudin og de inaktive ingredienser magnesiumstearatmikrokrystallinsk cellulose og natriumstivelsesglycolat. Tabletterne er belagt med en film (Opadry Orange YS-1-13065-A), der er lavet af FD

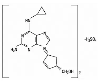
Abacavir sulfat

Det kemiske navn på abacavir sulfat er (1 S cis ) -4- [2-amino-6- (cyclopropylamino) -9 H -Purin-9-yl] -2-cyclopenten-1-methanolsulfat (salt) (2: 1). Abacavir sulfat er enantiomeren med 1s 4R Absolut konfiguration på cyclopentenringen. Den har en molekylær formel af (c 14 H 18 N 6 DE) 2 • H. 2 4 og en molekylvægt på 670,76 g pr. Mol. Det har følgende strukturelle formel:

Abacavir -sulfat er et hvidt til af hvidt fast stof og er opløseligt i vand.

Forgæves Abacavir sulfat dissocieres til sin frie base abacavir. Doseringer udtrykkes i form af abacavir.

Lamivudin

Det kemiske navn på lamivudin er (2RCIS) -4-amino-1- (2-hydroxymethyl-13-oxathiolan-5-yl)-(1H)-pyrimidin-2-en. Lamivudin er () enantiomer af en dideoxy -analog af cytidin. Lamivudin er også blevet omtalt som () 2'3'-dideoxy 3'-thiacytidin. Det har en molekylær formel af C 8 H 11 N 3 O 3 S og en molekylvægt på 229,3 g pr. Mol. Det har følgende strukturelle formel:

Lamivudin is a white to off white crystalline solid and is soluble in water.

Anvendelser til EPZICOM

EPZICOM i kombination med andre antiretrovirale midler er indikeret til behandling af human immundefektvirus type 1 (HIV-1) infektion.

Dosering til EPZICOM

Screening for HLA-B*5701-allel inden EPZICOM

Skærm til HLA-B*5701-allelen inden den startede terapi med Epzicom [Se Boksadvarsel ADVARSELS AND FORHOLDSREGLER ].

Anbefalet dosering til voksne patienter

Den anbefalede dosering af EPZICOM for voksne er en tablet taget oralt en gang dagligt i kombination med andre antiretrovirale midler med eller uden mad.

Anbefalet dosering til pædiatriske patienter

Den anbefalede orale dosis af EPZICOM til pædiatriske patienter, der vejer mindst 25 kg, er en tablet dagligt i kombination med andre antiretrovirale midler [se Kliniske studier ]. Before prescribing Epzicom tablets pediatric patients should be assessed for the ability to swallow tablets.

Anbefales ikke på grund af mangel på doseringsjustering

Fordi EPZICOM er en fast-dosis tablet og ikke kan dosisjusteret EPZICOM anbefales ikke til:

  • Patienter med kreatinin -clearance mindre end 30 ml pr. Minut [se Brug i specifikke populationer ].
  • Patienter med mild nedskrivning i leveren. EPZICOM er kontraindiceret hos patienter med moderat eller alvorlig leverfunktion [se Kontraindikationer Brug i specifikke populationer ].

Anvendelse af epivir (lamivudin) oral opløsning eller tablets og Ziagen (abacavir) oral opløsning kan overvejes.

Hvor leveret

Doseringsformularer og styrker

Epzicom -tabletter indeholder 600 mg abacavir som abacavir sulfat og 300 mg lamivudin. Tabletterne er modificeret kapselformet orange filmovertrukket og nedfældet med GS FC2 på den ene side uden markeringer på bagsiden.

Opbevaring og håndtering

Epzicom er tilgængelig som tabletter. Hver tablet indeholder 600 mg abacavir som abacavir sulfat og 300 mg lamivudin. Tabletterne er orange filmovertrukne modificerede kapselformede og nedfældet med GS FC2 på den ene side uden markeringer på bagsiden. De pakkes som følger:

Flasker med 30 tabletter ( NDC 49702-206-13).

Opbevares ved 25 ° C (77 ° F); Udflugter tilladt til 15 ° til 30 ° C (59 ° til 86 ° F) (se USP -kontrolleret stuetemperatur).

Fremstillet til: Viiv Healthcare Research Triangle Park NC 27709. Revideret: Dec 2021

Bivirkninger for Epzicom

Følgende bivirkninger diskuteres i andre sektioner af mærkningen:

  • Alvorlige og til tider dødelige overfølsomhedsreaktioner [se Boksadvarsel ADVARSELS AND FORHOLDSREGLER ].
  • Forværringer af hepatitis B [se Boksadvarsel ADVARSELS AND FORHOLDSREGLER ].
  • Mælkesyreasis og svær hepatomegali med steatosis [se ADVARSELS AND FORHOLDSREGLER ].
  • Immunrekonstitutionssyndrom [se ADVARSELS AND FORHOLDSREGLER ].
  • Myokardieinfarkt [se ADVARSELS AND FORHOLDSREGLER ].

Kliniske forsøg oplever hos voksne emner

Fordi kliniske forsøg udføres under vidt forskellige tilstande, kan der ikke sammenlignes bivirkninger, der er observeret i de kliniske forsøg med et lægemiddel, ikke direkte med hastigheder i de kliniske forsøg med et andet lægemiddel og afspejler muligvis ikke de hastigheder, der er observeret i klinisk praksis.

Alvorlige og dødelige abacavir-associerede overfølsomhedsreaktioner

I kliniske forsøg har alvorlige og til tider dødelige overfølsomhedsreaktioner forekommet med abacavir en komponent af EPZICOM [se Boksadvarsel ADVARSELS AND FORHOLDSREGLER ]. These reactions have been characterized by 2 or more of the following signs or symptoms: (1) feber; (2) rash; (3) gastrointestinal symptoms (including kvalme opkast diarre or abdominal pain); (4) constitutional symptoms (including generalized malaise fatigue or achiness); (5) respiratory symptoms (including dyspnea hoste or pharyngitis). Almost all abacavir hypersensitivity reactions include feber and/or rash as part of the syndrome.

Andre tegn og symptomer har inkluderet sløv hovedpine myalgi -ødem arthralgi og paræstesi. Anaphylaxis Liverfejl Nyresvigt Hypotension Voksen respiratorisk nød syndrom respiratorisk svigt Myolyse og død er forekommet i forbindelse med disse overfølsomhedsreaktioner. Fysiske fund har inkluderet lymfadenopati slimhinde -membranlesioner (konjunktivitis og mundsår) og makulopapulære eller urticariale udslæt (selvom nogle patienter havde andre typer udslæt, og andre ikke havde et udslæt). Der var rapporter om erythema multiforme. Laboratorie abnormiteter inkluderede forhøjede leverkemiske forhøjede kreatinphosphokinase forhøjet kreatinin og lymfopeni og unormale røntgenstråler (overvejende infiltrater, der var lokaliseret).

Yderligere bivirkninger med brug af EPZICOM

Terapi-naive voksne

Behandling-opstående kliniske bivirkninger (bedømt af efterforskeren som moderat eller svær) med større end eller lig med 5% frekvens under terapi med Ziagen 600 mg en gang dagligt eller Ziagen 300 mg to gange dagligt både i kombination med lamivudin 300 mg en gang dagligt og efavirenz 600 mg en gang dagligt er anført i tabel 1.

Tabel 1. Behandlings-opstående (al årsagssammenhæng) bivirkninger af mindst moderat intensitet (klasse 2-4 større end eller lig med 5% frekvens) hos terapi-naive voksne (CNA30021) gennem 48 ugers behandling

Bivirkning Ziagen 600 mg q.d.
Mere Epivir mere
Efavirenz
(n = 384)
Ziagen 300 mg B.I.D.
Mere Epivir mere
Efavirenz
(n = 386)
Lægemiddeloverfølsomhed ab 9% 7%
Søvnløshed 7% 9%
Depression/deprimeret humør 7% 7%
Hovedpine/migræne 7% 6%
Træthed/ubehag 6% 8%
Svimmelhed/svimmelhed 6% 6%
Kvalme 5% 6%
Diarre a 5% 6%
Udslæt 5% 5%
Pyrexia 5% 3%
Abdominal smerte/gastritis 4% 5%
Unormale drømme 4% 5%
Angst 3% 5%
a Personer, der modtog Ziagen 600 mg en gang dagligt, oplevede en signifikant højere forekomst af alvorlige medikamentets overfølsomhedsreaktioner og svær diarré sammenlignet med forsøgspersoner, der modtog Ziagen 300 mg to gange dagligt. Fem procent (5%) af forsøgspersoner, der modtog Ziagen 600 mg, en gang dagligt, havde alvorlige medikamenthypersensitivitetsreaktioner sammenlignet med 2% af forsøgspersoner, der modtog Ziagen 300 mg to gange dagligt. To procent (2%) af forsøgspersoner, der modtog Ziagen 600 mg en gang dagligt, havde svær diarré, mens ingen af ​​de forsøgspersoner, der modtog Ziagen 300 mg to gange dagligt, havde denne begivenhed. b CNA30024 var et multicenter dobbeltblindt kontrolleret forsøg, hvor 649 HIV-1-inficeret terapi-naive voksne blev randomiseret og modtaget enten Ziagen (300 mg to gange dagligt) epivir (150 mg to gange dagligt) og efavirenz (600 mg en gang dagligt); eller zidovudin (300 mg to gange dagligt) epivir (150 mg to gange dagligt) og efavirenz (600 mg en gang dagligt). CNA30024 anvendte dobbeltblind konstatering af mistanke om overfølsomhedsreaktioner. Under den blindede del af den mistænkte overfølsomhed over for Abacavir blev der rapporteret af efterforskere hos 9% af 324 forsøgspersoner i Abacavir -gruppen og 3% af 325 forsøgspersoner i Zidovudine -gruppen.
Laboratorie abnormiteter

Laboratorie abnormiteter observeret i kliniske forsøg med Ziagen var anæmi neutropeni leverfunktionstest abnormaliteter og forhøjninger af CPK -blodglukose og triglycerider. Yderligere laboratorie abnormaliteter observeret i kliniske forsøg med epivir var thrombocytopeni og forhøjede niveauer af bilirubin amylase og lipase.

Frekvenserne for behandling af behandlingsfremstillingslaboratorie var sammenlignelige mellem behandlingsgrupper i CNA30021.

Andre bivirkninger

Foruden bivirkninger, der er anført ovenfor andre bivirkninger, der blev observeret i det udvidede adgangsprogram for Abacavir, var pancreatitis og øget GGT.

Kliniske forsøg oplever hos pædiatriske personer

Sikkerheden ved en gang dagligt sammenlignet med dosering af to gange dagligt af abacavir og lamivudin indgivet som enten enkeltprodukter eller som EPZICOM blev vurderet i piletforsøget (n = 336). Primær sikkerhedsvurdering i pilen (COL105677) var baseret på bivirkninger i grad 3 og grad 4. Hyppigheden af ​​bivirkninger i grad 3 og 4 var den samme blandt personer, der blev randomiseret til dosering en gang dagligt sammenlignet med emner, der er randomiseret til dosering af to gange dagligt. En begivenhed med grad 4 hepatitis i den en gang daglige kohort blev betragtet som usikker årsagssammenhæng af efterforskeren, og alle andre bivirkninger i klasse 3 eller 4 blev betragtet som ikke relateret af efterforskeren. Der blev ikke identificeret yderligere sikkerhedsproblemer hos pædiatriske personer, der modtog abacavir og lamivudin en gang dagligt sammenlignet med historiske data hos voksne [se Kliniske forsøg oplever hos voksne emner ].

Hvad bruges Trintellix til behandling

Oplevelse af postmarketing

Følgende bivirkninger er blevet identificeret under brug af postmarketing. Fordi disse reaktioner rapporteres frivilligt fra en population af ukendt størrelse, er det ikke altid muligt at pålideligt estimere deres frekvens eller etablere et årsagsforhold til eksponering for lægemidler.

Abacavir

Kardiovaskulær

Myokardieinfarkt.

Hud

Mistænkte Stevens-Johnson syndrom (SJS) og toksisk epidermal nekrolyse (ti) er rapporteret hos patienter, der modtager abacavir primært i kombination med medicin, der vides at være forbundet med henholdsvis SJS og ti. På grund af overlapningen af ​​kliniske tegn og symptomer mellem overfølsomhed over for abacavir og SJ'er og ti og muligheden for flere lægemiddelfølsomhed hos nogle patienter bør abacavir afbrydes og ikke genstartes i sådanne tilfælde. Der har også været rapporter om erythema multiforme med abacavir brug [se Kliniske forsøg oplever hos voksne emner ].

Abacavir And Lamivudin

Krop som helhed: Omfordeling/ophobning af kropsfedt.

Fordøjelsesmulighed: Stomatitis.

Endokrin og metabolisk: Hyperglykæmi.

Generel: Svaghed.

Hemisk og lymfatisk: Aplastisk anæmi -anæmi (inklusive ren rød celle aplasi og alvorlige anemier, der skrider frem på terapi) lymfadenopati splenomegaly.

Lever: Mælkesyreasis og lever steatosis [se ADVARSELS AND FORHOLDSREGLER ] efterbehandling forværring af hepatitis B [se ADVARSELS AND FORHOLDSREGLER ].

Overfølsomhed: Sensibiliseringsreaktioner (inklusive anafylaksi) urticaria.

Muskuloskeletal: Muskelsvaghed Creatinine Phosphokinase (CPK) Elevation Rhabdomyolysis.

Nervøs: Paræstesi perifere neuropati -anfald.

Respiratorisk: Unormal åndedræt lyde/hvæsende.

Hud: Alopecia erythema multiforme Stevens-Johnson syndrom.

Lægemiddelinteraktioner for Epzicom

Metadon

I et forsøg med 11 HIV-1-inficerede forsøgspersoner, der modtager metadon-vedligeholdelsesbehandling med 600 mg Ziagen to gange dagligt (to gange den aktuelt anbefalede dosis), steg oral metadonafstand [se Klinisk farmakologi ]. This alteration will not result in a methadone dose modification in the majority of patients; however an increased methadone dose may be required in a small number of patients.

Sorbitol

Samtidig administration af enkeltdoser af lamivudin og sorbitol resulterede i en sorbitol-dosisafhængig reduktion i lamivudineksponeringer. Når det er muligt, skal du undgå brug af sorbitolholdige medicin med lamivudinholdige medicin [se Klinisk farmakologi ].

Riociguat

Samtidig administration med fast dosis abacavir/dolutegravir/lamivudin resulterede i øget eksponering for riociguat, hvilket kan øge risikoen for riociguat-bivirkninger [se Klinisk farmakologi ]. The riociguat dose may need to be reduced. See full prescribing information for ADEMPAS (riociguat).

Advarsler for Epzicom

Inkluderet som en del af 'FORHOLDSREGLER' Afsnit

Forholdsregler for EPZICOM

Overfølsomhedsreaktioner

Alvorlige og til tider dødelige overfølsomhedsreaktioner har forekommet med abacavir en komponent af EPZICOM. Disse overfølsomhedsreaktioner har inkluderet multi-organ-svigt og anafylaksi og forekom typisk inden for de første 6 uger efter behandling med abacavir (median tid til indtræden var 9 dage); Selvom Abacavir -overfølsomhedsreaktioner har fundet sted nogen tid under behandlingen [se Bivirkninger ]. Patients who carry the HLA-B*5701 allele are at a higher risk of abacavir hypersensitivity reactions; although patients who do not carry the HLA-B*5701 allele have developed hypersensitivity reactions. Hypersensitivity to abacavir was reported in approximately 206 (8%) of 2670 patients in 9 clinical trials with abacavir-containing products where HLA-B*5701 screening was not performed. The incidence of suspected abacavir hypersensitivity reactions in clinical trials was 1% when subjects carrying the HLA-B*5701 allele were excluded. In any patient treated with abacavir the clinical diagnosis of hypersensitivity reaction must remain the basis of clinical decision making.

På grund af potentialet for alvorlige alvorlige og muligvis dødelige overfølsomhedsreaktioner med abacavir:

  • Alle patienter skal screenes for HLA-B*5701-allelen, inden de initierer terapi med EPZICOM eller geninitiering af terapi med EPZICOM, medmindre patienter har en tidligere dokumenteret HLA-B*5701 allelevurdering.
  • Epzicom is contraindicated in patients with a prior hypersensitivity reaction to abacavir and in HLA-B*5701-positive patients.
  • Før EPZICOM gennemgår medicinsk historie for forudgående eksponering for ethvert abacavircontaining -produkt. Genstart aldrig EPZICOM eller noget andet Abacavir-indeholdende produkt efter en overfølsomhedsreaktion på Abacavir uanset HLA-B*5701-status.
  • For at reducere risikoen for en livstruende overfølsomhedsreaktion uanset HLA-B*5701-status, afbryd EPZICOM med det samme, hvis der er mistanke om en overfølsomhedsreaktion, selv når andre diagnoser er mulige (f.eks. Akutte indtræden af ​​respirationssygdomme, såsom lungebetændelse).
  • Hvis en overfølsomhedsreaktion ikke kan udelukkes, genstarter ikke EPZICOM eller andre abacavir-holdige produkter, fordi mere alvorlige symptomer, der kan omfatte livstruende hypotension og død, kan forekomme inden for få timer.
  • Hvis en overfølsomhedsreaktion udelukkes, kan patienter muligvis genstarte EPZICOM. Sjældent patienter, der er stoppet Abacavir af andre årsager end symptomer på overfølsomhed har også oplevet livstruende reaktioner inden for timer efter at have genindført abacavir-terapi. Derfor anbefales genindførelse af EPZICOM eller ethvert andet abacavir-holdigt produkt kun, hvis der let kan fås adgang til medicinsk behandling.
  • En medicinguide og advarselskort, der giver information om genkendelse af overfølsomhedsreaktioner, bør udleveres til hver ny recept og påfyldning.

Patienter med hepatitis B-virus-co-infektion

Forværring af hepatitis

Klinisk og laboratorie bevis for forværring af hepatitis er forekommet efter seponering af lamivudin. Se fuld ordineringsoplysninger for Epivir (Lamivudine). Patienter skal overvåges nøje med både klinisk og laboratorieopfølgning i mindst flere måneder efter at have stoppet behandlingen.

Fremkomst af lamivudin-resistent HBV

Sikkerhed og effektivitet af lamivudin er ikke etableret til behandling af kronisk hepatitis B hos personer, der er dobbelt inficeret med HIV-1 og HBV. Fremkomst af hepatitis B-virusvarianter, der er forbundet med resistens over for lamivudin, er rapporteret i HIV-1-inficerede forsøgspersoner, der har modtaget lamivudinholdige antiretrovirale regimer i nærvær af samtidig infektion med hepatitis B-virus. Se fuld ordineringsoplysninger for Epivir (Lamivudine).

Mælkesyreasose og svær hepatomegali med steatose

Mælkesyreose og svær hepatomegali med steatose inklusive dødelige tilfælde er rapporteret ved anvendelse af nukleosidanaloger inklusive abacavir og lamivudin (komponenter i EPZICOM). Et flertal af disse sager har været hos kvinder. Kvindelig køn og fedme kan være risikofaktorer for udviklingen af ​​mælkesyre acidose og svær hepatomegali med steatose hos patienter behandlet med antiretroviral nukleosidanaloger. Se fuld ordineringsoplysninger til Ziagen (Abacavir) og Epivir (Lamivudine). Behandling med EPZICOM bør suspenderes hos enhver patient, der udvikler kliniske eller laboratoriefund, der antyder mælkesyreose eller udtalt hepatotoksicitet, som kan omfatte hepatomegali og steatose, selv i fravær af markante transaminaseforhøjelser.

Immunrekonstitutionssyndrom

Immunrekonstitutionssyndrom er rapporteret hos patienter behandlet med kombination af antiretroviral terapi inklusive EPZICOM. I den indledende fase af kombination af antiretroviral behandlingspatienter, hvis immunsystem reagerer, kan udvikle en inflammatorisk respons på indolente eller resterende opportunistiske infektioner (såsom Mycobacterium avium infektion cytomegalovirus Pneumocystis jirovecii lungebetændelse [PCP] eller tuberkulose), hvilket kan kræve yderligere evaluering og behandling.

Autoimmune lidelser (såsom Graves 'sygdomspolymyositis og Guillain-Barré-syndrom) er også rapporteret at forekomme i indstillingen af ​​immunrekonstitution; Dog er tiden til indtræden mere variabel og kan forekomme mange måneder efter påbegyndelse af behandlingen.

Myokardieinfarkt

Flere prospektive observationsepidemiologiske undersøgelser har rapporteret en tilknytning til brugen af ​​abacavir og risikoen for myokardieinfarkt (MI). Meta-analyser af randomiserede kontrollerede kliniske forsøg har ikke observeret nogen overskydende risiko for MI hos abacavir-behandlede forsøgspersoner sammenlignet med kontrolpersoner. Indtil videre er der ingen etableret biologisk mekanisme til at forklare den potentielle stigning i risikoen. I helhed viser de tilgængelige data fra observationsundersøgelserne og fra kontrollerede kliniske forsøg inkonsekvens; Derfor er bevis for en årsagssammenhæng mellem abacavir -behandling og risikoen for MI ikke entydig.

Som en forholdsregel bør den underliggende risiko for koronar hjertesygdom overvejes, når man ordinerer antiretrovirale terapier, herunder abacavir og handling, der er truffet for at minimere alle modificerbare risikofaktorer (f.eks. Hypertension hyperlipidæmi -diabetes mellitus rygning).

Oplysninger om patientrådgivning

Rådgiv patienten om at læse den FDA-godkendte patientmærkning ( Medicin vejledning ).

Overfølsomhedsreaktioner Inform Patients
  • At en medicinguide og advarselskort, der opsummerer symptomerne på abacavir -overfølsomhedsreaktionen og anden produktinformation, udleveres af farmaceut med hver ny recept og påfyldning af EPZICOM og instruerer patienten til at læse medicinalvejledningen og advarselskortet hver gang for at få nye oplysninger, der kan være til stede om EPZICOM. Den komplette tekst til medicinguiden genoptrykt i slutningen af ​​dette dokument.
  • at bære advarselskortet med sig.
  • Sådan identificeres en overfølsomhedsreaktion [se ADVARSELS AND FORHOLDSREGLER Patientinformation ].
  • At hvis de udvikler symptomer, der er i overensstemmelse med en overfølsomhedsreaktion, skal de kalde deres sundhedsudbyder med det samme for at afgøre, om de skulle stoppe med at tage Epzicom.
  • At en overfølsomhedsreaktion kan forværres og føre til indlæggelse eller død, hvis EPZICOM ikke umiddelbart ophører.
  • At ikke genstarte EPZICOM eller noget andet abacavir-holdigt produkt efter en overfølsomhedsreaktion, fordi mere alvorlige symptomer kan forekomme inden for få timer og kan omfatte livstruende hypotension og død.
  • At hvis de har en overfølsomhedsreaktion, bør de bortskaffe ethvert ubrugt EPZICOM for at undgå genstart af abacavir.
  • At en overfølsomhedsreaktion normalt er reversibel, hvis den detekteres hurtigt, og EPZICOM stoppes med det samme.
  • At hvis de har afbrudt EPZICOM af andre årsager end symptomer på overfølsomhed (for eksempel dem, der har en afbrydelse i lægemiddelforsyningen), kan en alvorlig eller dødelig overfølsomhedsreaktion forekomme med genindførelse af abacavir.
  • For ikke at genstarte EPZICOM eller noget andet abacavir-indeholdende produkt uden medicinsk konsultation og kun hvis medicinsk behandling let kan fås adgang til af patienten eller andre.
Patienter med hepatitis B eller C-co-infektion

Rådgive patienter, der blev inficeret med HIV-1 og HBV om, at forværring af leversygdom har fundet sted i nogle tilfælde, når behandling med lamivudin blev afbrudt. Rådgive patienter om at diskutere eventuelle ændringer i regime med deres læge [se ADVARSELS AND FORHOLDSREGLER ].

Mælkesyreasose/hepatomegali med steatosis

Rådgive patienter om, at mælkesyre acidose og alvorlig hepatomegali med steatose er rapporteret ved anvendelse af nukleosidanaloger og andre antiretrovirale midler. Rådgiv patienter om at stoppe med at tage EPZICOM, hvis de udvikler kliniske symptomer, der antyder mælkesyreasis eller udtalt hepatotoksicitet [se ADVARSELS AND FORHOLDSREGLER ].

Immunrekonstitutionssyndrom

Rådgive patienter om straks at informere deres sundhedsudbyder om tegn og symptomer på infektion, da betændelse fra tidligere infektion kan forekomme kort efter kombination af antiretroviral terapi, herunder når Epzicom startes [se ADVARSELS AND FORHOLDSREGLER ].

Graviditetsregister

Rådgiv patienter om, at der er et graviditetseksponeringsregister, der overvåger graviditetsresultater hos kvinder, der udsættes for EPZICOM under graviditet [se Brug i specifikke populationer ].

Amning

Instruer kvinder med HIV-1-infektion til ikke at amme, fordi HIV-1 kan overføres til babyen i modermælken [se Brug i specifikke populationer ].

Savnet dosis

Instruer patienter om, at hvis de går glip af en dosis EPZICOM for at tage den, så snart de husker. Rådgive patienter om ikke at fordoble deres næste dosis eller tage mere end den foreskrevne dosis [se Dosering og administration ].

Tilgængelighed af medicinguide

Instruer patienter om at læse medicinguiden, inden de starter EPZICOM, og til at læse den igen hver gang recept er fornyet. Instruer patienter om at informere deres læge eller farmaceut, hvis de udvikler et usædvanligt symptom, eller hvis et kendt symptom vedvarer eller forværres.

Epivir Epzicom Trizivir og Ziagen er varemærker, der ejes af eller licenseres til Viiv Healthcare Group of Companies.

De andre nævnte mærker er varemærker, der ejes af eller licenseres til deres respektive ejere og ejes ikke af eller licenseres til VIIV Healthcare Group of Companies. Producenterne af disse mærker er ikke tilknyttet og støtter ikke Viiv Healthcare Group of Companies eller dets produkter.

Ikke -klinisk toksikologi

Karcinogenese mutagenese nedskrivning af fertilitet

Karcinogenicitet

Abacavir

Abacavir was administered orally at 3 dosage levels to separate groups of mice and rats in 2-year carcinogenicity studies. Results showed an increase in the incidence of malignant and non-malignant tumors. Malignant tumors occurred in the preputial gland of males and the clitoral gland of females of both species and in the liver of female rats. In addition non-malignant tumors also occurred in the liver and thyroid gland of female rats. These observations were made at systemic exposures in the range of 6 to 32 times the human exposure at the recommended dose of 600 mg.

Lamivudin

Botox for smertelindring bivirkninger

Langtidscarcinogenicitetsundersøgelser med lamivudin hos mus og rotter viste ingen bevis for kræftfremkaldende potentiale ved eksponeringer op til 10 gange (mus) og 58 gange (rotter) de humane eksponeringer ved den anbefalede dosis på 300 mg.

Mutagenicitet

Abacavir

Abacavir induced chromosomal aberrations both in the presence and absence of metabolic activation in an In vitro Cytogenetisk undersøgelse i humane lymfocytter. Abacavir var mutagen i fravær af metabolisk aktivering, skønt den ikke var mutagen i nærvær af metabolisk aktivering i en L5178Y muselymfomassay. Abacavir var klastogen hos mænd og ikke klastogen hos kvinder i en forgæves Mus knoglemarv Micronucleus assay. Abacavir var ikke mutagen i bakteriel mutagenicitetsassays i nærvær og fravær af metabolisk aktivering.

Lamivudin

Lamivudin was mutagenic in an L5178Y mouse lymphoma assay and clastogenic in a cytogenetic assay using cultured human lymphocytes. Lamivudin was not mutagenic in a microbial mutagenicity assay in an In vitro Celletransformationsassay i en rotte -mikronukleus -test i en rotte -knoglemarvscytogenetisk assay og i et assay for ikke -planlagt DNA -syntese i rottelever.

Værdiforringelse af fertiliteten

Abacavir

Abacavir did not affect male or female fertility in rats at a dose associated with exposures (AUC) approximately 3.3 times (male) or 4.1 times (female) those in humans at the clinically recommended dose.

Lamivudin

Lamivudin did not affect male or female fertility in rats at doses up to 4000 mg per kg per day associated with concentrations approximately 42 times (male) or 63 times (female) higher than the concentrations (Cmax) in humans at the dose of 300 mg.

Brug i specifikke populationer

Graviditet

Graviditet Exposure Registry

Der er et graviditetseksponeringsregister, der overvåger graviditetsresultater hos kvinder, der udsættes for EPZICOM under graviditet. Udbydere af sundhedsydelser opfordres til at registrere patienter ved at ringe til Antiretroviral Graviditetsregistret (APR) på 1-800-258-4263.

Risikooversigt

Tilgængelige data fra APR viser ingen forskel i den samlede risiko for fødselsdefekter for abacavir eller lamivudin sammenlignet med baggrundshastigheden for fødselsdefekter på 2,7% i Metropolitan Atlanta medfødte defekter (MACDP) referencepopulation (se Data ). The APR uses the MACDP as the U.S. reference population for birth defects in the general population. The MACDP evaluates women and infants from a limited geographic area and does not include outcomes for births that occurred at less than 20 weeks’ gestation. The rate of miscarriage is not reported in the APR. The estimated background rate of miscarriage in clinically recognized pregnancies in the U.S. general population is 15% to 20%. The background risk for major birth defects and miscarriage for the indicated population is unknown.

I dyreproduktionsundersøgelser resulterede oral administration af abacavir til gravide rotter under organogenese i føtal misdannelser og andre embryonale og føtal toksiciteter ved eksponeringer 35 gange den humane eksponering (AUC) ved den anbefalede kliniske daglige dosis. Imidlertid blev der ikke observeret nogen negative udviklingseffekter efter oral administration af abacavir til gravide kaniner under organogenese ved eksponeringer ca. 9 gange den menneskelige eksponering (AUC) ved den anbefalede kliniske dosis. Oral administration af lamivudin til gravide kaniner under organogenese resulterede i embryoletalitet ved systemisk eksponering (AUC) svarende til den anbefalede kliniske dosis; Imidlertid blev der ikke observeret nogen negative udviklingseffekter med oral administration af lamivudin til gravide rotter under organogenese ved plasmakoncentrationer (Cmax) 35 gange den anbefalede kliniske dosis (se Data ).

Data

Menneskelige data

Abacavir

Baseret på potentielle rapporter til APR for eksponeringer til abacavir under graviditet, hvilket resulterede i levende fødsler (inklusive over 1300 udsat i første trimester og over 1300 udsat i det andet/tredje trimester) var der ingen forskel mellem den samlede risiko for fødselsdefekter for abacavir sammenlignet med baggrundsfødselsdefekten på 2,7% i den

U.S. referencepopulation af MACDP. Forekomsten af ​​defekter i levende fødsler var 3,2% (95% CI: 2,3% til 4,3%) efter første trimestereksponering for abacavir-holdige regimer og 2,9% (95% CI: 2,1% til 4,0%) efter anden/tredje/tredje trimestereksponering for abacavirholdige regimenser.

Abacavir has been shown to cross the placenta and concentrations in neonatal plasma at birth were essentially equal to those in maternal plasma at delivery [see Klinisk farmakologi ].

Lamivudin

Baseret på potentielle rapporter til APR for eksponeringer til lamivudin under graviditet, hvilket resulterede i levende fødsler (inklusive over 5300 udsat i første trimester og over 7400 eksponeret i anden/tredje trimester) var der ingen forskel mellem den samlede risiko for fødselsdefekter for lamivudin sammenlignet med baggrundsfødselsdefekten på 2,7% i den amerikanske referencepopulation af MACDP. Forekomsten af ​​fødselsdefekter i levende fødsler var 3,1% (95% CI: 2,7% til 3,6%) efter første trimestereksponering for lamivudinholdige regimer og 2,9% (95% CI: 2,5% 3,3%) efter anden/tredje trimestereksponering for lamivudinecontaining-regimenser.

Lamivudin pharmacokinetics were studied in pregnant women during 2 clinical trials conducted in South Africa. The trials assessed pharmacokinetics in 16 women at 36 weeks’ gestation using 150 mg lamivudine twice daily with zidovudine 10 women at 38 weeks’ gestation using 150 mg lamivudine twice daily with zidovudine and 10 women at 38 weeks’ gestation using lamivudine 300 mg twice daily without other antiretrovirals. These trials were not designed or powered to provide efficacy information. Lamivudin concentrations were generally similar in maternal neonatal and umbilical cord serum samples. In a subset of subjects amniotic fluid specimens were collected following natural rupture of membranes and confirmed that lamivudine crosses the placenta in humans. Based on limited data at delivery median (range) amniotic fluid concentrations of lamivudine were 3.9 (1.2 to 12.8)–fold greater compared with paired maternal serum concentration (n = 8).

Dyredata

Abacavir

Abacavir was administered orally to pregnant rats (at 100 300 and 1000 mg per kg per day) and rabbits (at 125 350 or 700 mg per kg per day) during organogenesis (on Gestation Days 6 through 17 and 6 through 20 respectively). Fetal malformations (increased incidences of fetal anasarca and skeletal malformations) or developmental toxicity (decreased fetal body weight and crown-rump length) were observed in rats at doses up to 1000 mg per kg per day resulting in exposures approximately 35 times the human exposure (AUC) at the recommended daily dose. No developmental effects were observed in rats at 100 mg per kg per day resulting in exposures (AUC) 3.5 times the human exposure at the recommended daily dose. In a fertility and early embryo-fetal development study conducted in rats (at 60 160 or 500 mg per kg per day) embryonic and fetal toxicities (increased resorptions decreased fetal body weights) or toxicities to the offspring (increased incidence of stillbirth and lower body weights) occurred at doses up to 500 mg per kg per day. No developmental effects were observed in rats at 60 mg per kg per day resulting in exposures (AUC) approximately 4 times the human exposure at the recommended daily dose. Studies in pregnant rats showed that abacavir is transferred to the fetus through the placenta. In pregnant rabbits no developmental toxicities and no increases in fetal malformations occurred at up to the highest dose evaluated resulting in exposures (AUC) approximately 9 times the human exposure at the recommended dose.

Lamivudin

Lamivudin was administered orally to pregnant rats (at 90 600 and 4000 mg per kg per day) and rabbits (at 90 300 and 1000 mg per kg per day and at 15 40 and 90 mg per kg per day) during organogenesis (on Gestation Days 7 through 16 [rat] and 8 through 20 [rabbit]). No evidence of fetal malformations due to lamivudine was observed in rats and rabbits at doses producing plasma concentrations (Cmax) approximately 35 times higher than human exposure at the recommended daily dose. Evidence of early embryolethality was seen in the rabbit at systemic exposures (AUC) similar to those observed in humans but there was no indication of this effect in the rat at plasma concentrations (Cmax) 35 times higher than human exposure at the recommended daily dose. Studies in pregnant rats showed that lamivudine is transferred to the fetus through the placenta. In the fertility/pre-and postnatal development study in rats lamivudine was administered orally at doses of 180 900 and 4000 mg per kg per day from prior to mating through postnatal Day 20). In the study development of the offspring including fertility and reproductive performance were not affected by the maternal administration of lamivudine.

Amning

Risikooversigt

Centers for Disease Control and Prevention anbefaler, at HIV-1-inficerede mødre i USA ikke ammer deres spædbørn for at undgå at risikere postnatal transmission af HIV-1-infektion. Abacavir og lamivudin er til stede i human mælk. Der er ingen oplysninger om virkningerne af abacavir og lamivudin på det ammede spædbarn eller virkningerne af stoffet på mælkeproduktionen. På grund af potentialet for (1) HIV-1-transmission (hos HIV-negative spædbørn) (2) udvikler viral modstand (hos HIV-positive spædbørn) og (3) bivirkninger i et ammet spædbarn, der ligner dem, der ses hos voksne, instruerer mødre om ikke at amme, hvis de modtager Epzicom.

Pædiatrisk brug

Doseringsanbefalingerne i denne population er baseret på sikkerheden og effektiviteten, der er fastlagt i et kontrolleret forsøg, der udføres ved hjælp af enten kombinationen af ​​Epivir og Ziagen eller Epzicom [se Dosering og administration Bivirkninger Kliniske studier ].

Hos pædiatriske patienter, der vejer mindre end 25 kg brug af abacavir og lamivudin som enkeltprodukter, anbefales enkeltprodukter for at opnå passende dosering.

Geriatrisk brug

Kliniske forsøg med abacavir og lamivudin inkluderede ikke tilstrækkeligt antal forsøgspersoner i alderen 65 år og derover for at afgøre, om de reagerer forskelligt fra yngre forsøgspersoner. Generelt bør der udvises forsigtighed i administrationen af ​​EPZICOM hos ældre patienter, der afspejler den større hyppighed af nedsat leverrenal eller hjertefunktion og af samtidig sygdom eller anden lægemiddelterapi [Se Dosering og administration Patienter med nedsat nyrefunktion Patienter med nedsat leverfunktion ].

Patienter med nedsat nyrefunktion

Epzicom is not recommended for patients with creatinine clearance less than 30 mL per min because Epzicom is a fixed-dose combination and the dosage of the individual components cannot be adjusted. If a dose reduction of lamivudine a component of Epzicom is required for patients with creatinine clearance less than 30 mL per min then the individual components should be used [see Klinisk farmakologi ].

Patienter med en kreatinin-clearance mellem 30 og 49 ml pr. Minut, der modtager EPZICOM, kan opleve en 1,6 til 3,3 gange højere lamivudineksponering (AUC) end patienter med en kreatinin-clearance ≥50 ml pr. Minut. Der er ingen sikkerhedsdata fra randomiserede kontrollerede forsøg, der sammenligner EPZICOM med de individuelle komponenter hos patienter med en kreatinin-clearance mellem 30 og 49 ml pr. Minut, der modtog dosisjusteret lamivudin. I de originale lamivudinregistreringsforsøg i kombination med zidovudin var højere lamivudineksponeringer forbundet med højere hæmatologiske toksiciteter (neutropeni og anæmi), skønt ophør på grund af neutropeni eller anæmi hver især forekom i <1% of subjects. Patients with a sustained creatinine clearance between 30 and 49 mL per min who receive Epzicom should be monitored for hematologic toxicities. If new or worsening neutropenia or Anæmi develop dose adjustment of lamivudine per lamivudine prescribing information is recommended. If lamivudine dose adjustment is indicated Epzicom should be discontinued and the individual components should be used to construct the treatment regimen.

Patienter med nedsat leverfunktion

Epzicom is a fixed-dose combination and the dosage of the individual components cannot be adjusted. If a dose reduction of abacavir a component of Epzicom is required for patients with mild hepatic impairment (Child-Pugh Class A) then the individual components should be used [see Klinisk farmakologi ].

Sikkerhedseffektiviteten og farmakokinetiske egenskaber ved abacavir er ikke blevet etableret hos patienter med moderat (børne-pugh klasse B) eller alvorlig (børnepugh klasse C) leverfunktion; Derfor er Epzicom kontraindiceret hos disse patienter [se Kontraindikationer ].

Overdoseringsoplysninger til EPZICOM

Der er ingen kendt specifik behandling af overdosering med EPZICOM. Hvis overdosis forekommer, skal patienten overvåges, og standard understøttende behandling anvendes efter behov.

Abacavir

Det vides ikke, om abacavir kan fjernes ved peritoneal dialyse eller hæmodialyse.

Lamivudin

Fordi en ubetydelig mængde lamivudin blev fjernet via (4-timers) hæmodialyse kontinuerlig ambulant peritoneal dialyse og automatiseret peritoneal dialyse, vides det ikke, om kontinuerlig hæmodialyse ville tilvejebringe klinisk fordel i en lamivudin overdosishændelse.

Kontraindikationer for EPZICOM

Epzicom is contraindicated in patients:

  • der har HLA-B*5701-allelen [se ADVARSELS AND FORHOLDSREGLER ].
  • med forudgående overfølsomhedsreaktion på abacavir [se ADVARSELS AND FORHOLDSREGLER ] eller lamivudin.
  • med moderat eller alvorlig levering af leveren [se Brug i specifikke populationer ].

Klinisk farmakologi for Epzicom

Handlingsmekanisme

Epzicom is an antiretroviral agent with activity against HIV-1 [see Mikrobiologi ].

Farmakokinetik

Farmakokinetik In Voksne

I et enkeltdosis 3-vejs crossover-biotilgængelighedsforsøg med 1 Epzicom-tablet versus 2 Ziagen-tabletter (2 x 300 mg) og 2 Epivir-tabletter (2 x 150 mg) administreret samtidig i sunde emner (n = 25) var der ingen forskel i omfanget af absorption som målt ved området under plasma-koncentrationstidskurve (en maksimal toppekoncentre komponent.

Abacavir

Efter oral administration absorberes abacavir hurtigt og distribueres i vid udstrækning. Efter oral administration af en enkelt dosis på 600 mg abacavir hos 20 forsøgspersoner var Cmax 4,26 ± 1,19 mcg pr. Ml (gennemsnit ± SD) og AUC∞ var 11,95 ± 2,51 mcg • time pr. Ml. Binding af abacavir til humane plasmaproteiner er ca. 50% og var uafhængig af koncentrationen. Total blod- og plasma-lægemiddelrelaterede radioaktivitetskoncentrationer er identiske, der viser, at abacavir let distribueres til erythrocytter. De primære ruter for eliminering af abacavir er metabolisme ved alkoholdehydrogenase til dannelse af 5'-carboxylsyre og glucuronyltransferase til dannelse af 5'-glucuronid.

Lamivudin

Efter oral administration absorberes lamivudin hurtigt og distribueres i vid udstrækning. Efter mundtlig dosis oral administration af lamivudin 300 mg en gang dagligt i 7 dage til 60 raske forsøgspersoner var steady-state Cmax (CMAXSS) 2,04 ± 0,54 mcg pr. Ml (middelværdi ± SD) og 24-timers stabil tilstand AUC (AUC24SS) var 8,87 ± 1,83 mcg • time pr. ML. Binding til plasmaprotein er lavt. Cirka 70% af en intravenøs dosis lamivudin udvindes som uændret lægemiddel i urinen. Metabolisme af lamivudin er en mindre elimineringsvej. Hos mennesker er den eneste kendte metabolit den trans-sulfoxidmetabolit (ca. 5% af en oral dosis efter 12 timer).

Hos mennesker metaboliseres abacavir og lamivudin ikke signifikant af cytochrome P450 (CYP) enzymer.

De farmakokinetiske egenskaber ved abacavir og lamivudin hos fastende forsøgspersoner er sammenfattet i tabel 2.

Tabel 2. Farmakokinetiske parametre a til abacavir og lamivudin hos voksne

Parameter Abacavir Lamivudin
Oral biotilgængelighed (%) 86 ± 25 n = 6 86 ± 16 n = 12
Tilsyneladende distributionsvolumen (L/kg) 0,86 ± 0,15 n = 6 1,3 ± 0,4 n = 20
Systemisk clearance (l/h/kg) 0,80 ± 0,24 n = 6 0,33 ± 0,06 n = 20
Renal clearance (l/h/kg) 0,007 ± 0,008 n = 6 0,22 ± 0,06 n = 20
Elimination Half-Life (H) 1,45 ± 0,32 n = 20 13 til 19 b
a Data presented as mean ± standard deviation except where noted.
b Omtrentlig rækkevidde.
Effekt af mad på absorption af EPZICOM

Epzicom may be administered with or without food. Administration with a high-fat meal in a single-dose bioavailability trial resulted in no change in AUClast AUC∞ and Cmax for lamivudine. Food did not alter the extent of systemic exposure to abacavir (AUC∞) but the rate of absorption (Cmax) was decreased approximately 24% compared with fasted conditions (n = 25). These results are similar to those from previous trials of the effect of food on abacavir and lamivudine tablets administered separately.

Specifikke populationer

Patienter med nedsat nyrefunktion

Farmakokinetikken for den individuelle lamivudinkomponent i EPZICOM er blevet evalueret hos patienter med nedsat nyrefunktion (se USA, der ordinerer information til den individuelle lamivudinkomponent).

Patienter med nedsat leverfunktion

Farmakokinetikken for de individuelle komponenter i EPZICOM er blevet evalueret hos patienter med forskellige grader af leverfunktion (se de amerikanske ordinerende oplysninger til de individuelle abacavir- og lamivudinkomponenter).

Gravide kvinder

Abacavir

Abacavir pharmacokinetics were studied in 25 pregnant women during the last trimester of pregnancy receiving abacavir 300 mg twice daily. Abacavir exposure (AUC) during pregnancy was similar to those in postpartum and in HIV-infected non-pregnant historical controls. Consistent with passive diffusion of abacavir across the placenta abacavir concentrations in neonatal plasma cord samples at birth were essentially equal to those in maternal plasma at delivery.

Lamivudin

Lamivudin pharmacokinetics were studied in 36 pregnant women during 2 clinical trials conducted in South Africa. Lamivudin pharmacokinetics in pregnant women were similar to those seen in non-pregnant adults and in postpartum women. Lamivudin concentrations were generally similar in maternal neonatal and umbilical cord serum samples.

Pædiatriske patienter

Abacavir and Lamivudin

De farmakokinetiske data for abacavir og lamivudin efter administration af EPZICOM hos pædiatriske personer, der vejer 25 kg og derover, er begrænset. Doseringsanbefalinger i denne population er baseret på sikkerheden og effektiviteten etableret i et kontrolleret forsøg udført ved hjælp af enten kombinationen af ​​EPIVIR og Ziagen eller EPZICOM. Se Epivir og Ziagen USPI for farmakokinetisk information om de individuelle produkter hos pædiatriske patienter [se Dosering og administration Bivirkninger Kliniske studier ].

Geriatriske patienter

Farmakokinetikken for abacavir og lamivudin er ikke blevet undersøgt hos forsøgspersoner over 65 år.

Mandlige og kvindelige patienter

Der er ingen signifikante eller klinisk relevante kønsforskelle i farmakokinetikken for de individuelle komponenter (abacavir eller lamivudin) baseret på de tilgængelige oplysninger, der blev analyseret for hver af de individuelle komponenter.

Racegrupper

Der er ingen signifikante eller klinisk relevante racemæssige forskelle i farmakokinetik for de individuelle komponenter (abacavir eller lamivudin) baseret på de tilgængelige oplysninger, der blev analyseret for hver af de individuelle komponenter.

Lægemiddelinteraktionsundersøgelser

De beskrevne lægemiddelinteraktioner er baseret på forsøg udført med abacavir eller lamivudin som enkelt enheder; Der er ikke gennemført nogen lægemiddelinteraktionsforsøg med EPZICOM.

Effekt af abacavir og lamivudin på farmakokinetikken for andre midler:

In vitro Undersøgelser har vist, at abacavir har potentiale til at hæmme CYP1A1 og begrænset potentiale til at hæmme metabolismen medieret af CYP3A4. Lamivudin hæmmer ikke eller inducerer CYP3A4. Abacavir og lamivudin hæmmer ikke eller inducerer andre CYP -enzymer (såsom CYP2C9 eller CYP2D6). Baseret på In vitro Undersøgelsesresultater Abacavir og lamivudin ved terapeutiske lægemiddeleksponeringer forventes ikke at påvirke farmakokinetikken for lægemidler, der er underlag af følgende transportører: organisk aniontransportørpolypeptid (OATP) 1B1/3 Brystkræftresistensprotein (BCRP) eller P-Glycoprotein (P-GP) organisk orgationstransporter (OCT) 1 OCT3 (lamudtingin (P-GP) Organisk kationstransporter (OCT) 1 OCT3 Kun) eller multidrug og toksisk ekstruderingsprotein (MATE) 1 og MATE2-K.

Riociguat

Coadministration af en enkelt dosis af riociguat (NULL,5 mg) til HIV-1-inficerede personer, der modtager fast dosis abacavir/dolutegravir/lamivudin, rapporteres at øge Riociguat AUC (∞) sammenlignet med riociguat AUC (∞) rapporteret i raske emner på grund af CYP1a1-inhibition af abacavir. Den nøjagtige størrelse af stigningen i Riociguat -eksponering er ikke fuldt ud karakteriseret baseret på fund fra to undersøgelser [se Lægemiddelinteraktioner ].

Effekt af andre midler på farmakokinetikken i abacavir eller lamivudin

Abacavir and lamivudine are not significantly metabolized by CYP enzymes; therefore CYP enzyme inhibitors or inducers are not expected to affect their concentrations. In vitro abacavir is not a substrate of OATP1B1 OATP1B3 OCT1 OCT2 OAT1 MATE1 MATE2-K multidrug resistance-associated protein 2 (MRP2) or MRP4; therefore drugs that modulate these transporters are not expected to affect abacavir plasma concentrations. Abacavir is a substrate of BCRP and P-gp In vitro ; Imidlertid i betragtning af dens absolutte biotilgængelighed (83%) modulatorer af disse transportører er usandsynligt, at de resulterer i en klinisk relevant påvirkning af abacavir -koncentrationer.

Lamivudin is a substrate of MATE1 MATE2-K and OCT2 In vitro . Trimethoprim (en hæmmer af disse lægemiddeltransportører) har vist sig at øge lamivudinplasmakoncentrationer. Denne interaktion betragtes ikke som klinisk signifikant, da der ikke er behov for nogen dosisjustering af lamivudin.

Lamivudin is a substrate of P-gp and BCRP; however considering its absolute bioavailability (87%) it is unlikely that these transporters play a significant role in the absorption of lamivudine. Therefore coadministration of drugs that are inhibitors of these efflux transporters is unlikely to affect the disposition and elimination of lamivudine.

Abacavir

Lamivudin and/or Zidovudine

Femten HIV-1-inficerede forsøgspersoner blev indskrevet i et crossover-designet lægemiddelinteraktionsforsøg, der vurderede enkeltdoser af abacavir (600 mg) lamivudin (150 mg) og zidovudin (300 mg) alene eller i kombination. Analyse viste ingen klinisk relevante ændringer i farmakokinetikken i abacavir med tilsætning af lamivudin eller zidovudin eller kombinationen af ​​lamivudin og zidovudin. Lamivudineksponering (AUC faldt 15%) og zidovudineksponering (AUC steg 10%) viste ikke klinisk relevante ændringer med samtidig abacavir.

Lamivudin

Zidovudine

Ingen klinisk signifikante ændringer i lamivudin eller zidovudin farmakokinetik blev observeret i 12 asymptomatiske HIV-1-inficerede voksne personer, der fik en enkelt dosis zidovudin (200 mg) i kombination med flere doser lamivudin (300 mg hver 12. time).

Andre interaktioner

Ethanol

Abacavir has no effect on the pharmacokinetic properties of ethanol. Ethanol decreases the elimination of abacavir causing an increase in overall exposure.

Interferon Alfa

Der var ingen signifikant farmakokinetisk interaktion mellem lamivudin og interferon alfa i et forsøg med 19 raske mandlige forsøgspersoner.

Metadon

I et forsøg med 11 HIV-1-inficerede personer, der modtager metadon-vedligeholdelsesbehandling (40 mg og 90 mg dagligt) med 600 mg Ziagen to gange dagligt (to gange den aktuelt anbefalede dosis) steg oral metadonafstand 22% (90% CI: 6% til 42%) [se Lægemiddelinteraktioner ]. The addition of methadone has no clinically significant effect on the pharmacokinetic properties of abacavir.

Ribavirin

In vitro Data indikerer, at ribavirin reducerer phosphorylering af lamivudin -stavudin og zidovudin. Ingen farmakokinetiske (f.eks. Plasmakoncentrationer eller intracellulær triphosphorylerede aktive metabolitkoncentrationer) eller farmakodynamisk (f.eks. Tab af HIV-1/HCV-virologisk undertrykkelse) blev observeret, når ribavirin og lamivudin (n = 18) stavudin (n = 10) eller zidovuDin (n = 6) blev coadministerieret som en del af en multi-drug-drug Regime til HIV-1/HCV co-inficerede personer.

Sorbitol (Excipient)

Lamivudin and sorbitol solutions were coadministered to 16 healthy adult subjects in an open-label randomized-sequence 4-period crossover trial. Each subject received a single 300-mg dose of lamivudine oral solution alone or coadministered with a single dose of 3.2 grams 10.2 grams or 13.4 grams of sorbitol in solution. Coadministration of lamivudine with sorbitol resulted in dose-dependent decreases of 20% 39% and 44% in the AUC(0-24); 14% 32% and 36% in the AUC(∞); and 28% 52% and 55% in the Cmax; of lamivudine respectively.

Virkningerne af andre coadministerede lægemidler på abacavir eller lamivudin er tilvejebragt i tabel 3.

Tabel 3. Effekt af coadministerede lægemidler på abacavir eller lamivudin

Coadministeret stof og dosis Lægemiddel og dosis n Koncentrationer af abacavir eller lamivudin Koncentration af coadministerede lægemiddel
AUC Variabilitet
Ethanol 0.7 g/kg Abacavir Single 600 mg 24 ↑ 41% 90% der:
35% til 48%
a
Nelfinavir 750 mg hver 8. time 7 til 10 dage Lamivudin Single 150 mg 11 ↑ 10% 95% der:
1% til 20%
Trimethoprim 160 mg/ sulfamethoxazol 800 mg daglig x 5 dage Lamivudin Single 300 mg 14 ↑ 43% 90% der:
32% til 55%
↑ = Forøg; ↔ = ingen signifikant ændring; AUC = område under koncentrationen versus tidskurve; CI = konfidensinterval.
a Interaktionen med lægemiddel-lægemidler blev kun evalueret hos mænd.

Mikrobiologi

Handlingsmekanisme

Abacavir

Abacavir is a carbocyclic synthetic nucleoside analogue. Abacavir is converted by cellular enzymes to the active metabolite carbovir triphosphate (CBV-TP) an analogue of deoxyguanosine-5′-triphosphate (dGTP). CBV-TP inhibits the activity of HIV-1 reverse transcriptase (RT) both by competing with the natural substrate dGTP and by its incorporation into viral DNA.

Lamivudin

Lamivudin is a synthetic nucleoside analogue. Intracellularly lamivudine is phosphorylated to its active 5′-triphosphate metabolite lamivudine triphosphate (3TC-TP). The principal mode of action of 3TC-TP is inhibition of RT via DNA chain termination after incorporation of the nucleotide analogue.

Antiviral aktivitet

Abacavir

Den antivirale aktivitet af abacavir mod HIV-1 blev vurderet i et antal cellelinjer inklusive primære monocytter/makrofager og perifere mononukleære blodceller (PBMC'er). Ec 50 Værdier varierede fra 3700 til 5800 nm (1 nm = 0,28 ng pr. Ml) og 70 til 1000 nm mod henholdsvis HIV-1IIIB og HIV-1BAL og gennemsnittet EC 50 Værdien var 260 ± 180 nm mod 8 kliniske isolater. Median EC 50 Værdier for abacavir var 344 nm (rækkevidde: 14,8 til 676 nm) 16,9 nm (interval: 5,9 til 27,9 nm) 8,1 nm (interval: 1,5 til 16,7 nm) 356 nm (interval: 35,7 til 396 nm) 105 nm (interval: 28,1 til 168 nm) 47,6 nm (område: 5,2 til 200 nm) 51,4 nm (Område: 7,1 til 177 nm) og 282 nm (rækkevidde: 22,4 til 598 nm) mod HIV-1 clades A-G og gruppe O-vira (n = 3 undtagen n = 2 for clade B) henholdsvis. EC 50 Værdier mod HIV-2-isolater (n = 4) varierede fra 24 til 490 nm.

Lamivudin

Den antivirale aktivitet af lamivudin mod HIV-1 blev vurderet i et antal cellelinjer inklusive monocytter og PBMC'er under anvendelse af standardfølsomhedsassays. Ec 50 Værdier var i området fra 3 til 15000 nm (1 nm = 0,23 ng pr. ml). Median EC 50 Værdier af lamivudin var 60 nm (rækkevidde: 20 til 70 nm) 35 nm (rækkevidde: 30 til 40 nm) 30 nm (række A-G og gruppe O-vira (n = 3 undtagen n = 2 for clade b) henholdsvis. EC 50 Værdier mod HIV-2-isolater (n = 4) varierede fra 3 til 120 nm i PBMC'er. Ribavirin (50000 nm) anvendt til behandling af kronisk HCV-infektion reducerede anti-HIV-1-aktiviteten af ​​lamivudin med 3,5 gange i MT-4-celler.

Kombinationen af ​​abacavir og lamivudin har vist antiviral aktivitet i cellekultur mod ikke-subtype B-isolater og HIV-2-isolater med tilsvarende antiviral aktivitet som for subtype B-isolater. Hverken abacavir eller lamivudin var antagonistiske over for alle testede anti-HIV-midler. Se fuld ordineringsoplysninger til Ziagen (Abacavir) og Epivir (Lamivudine). Ribavirin anvendt til behandling af HCV-infektion reducerede anti-HIV-1-styrken af ​​abacavir/lamivudin reproducerbart med 2 til 6 gange i cellekultur.

Modstand

HIV-1-isolater med reduceret modtagelighed for kombinationen af ​​abacavir og lamivudin er blevet valgt i cellekultur med aminosyresubstitutioner K65R L74V Y115F og M184V/I dukker op i HIV-1 RT. M184V eller I-substitutioner resulterede i resistens på højt niveau over for lamivudin og et cirka 2 gange fald i modtageligheden for abacavir. Substitutioner K65R L74M eller Y115F med M184V eller jeg tildelte en 7-til 8-fold reduktion i abacavir-følsomhed og kombinationer af tre substitutioner blev påkrævet for at give mere end en 8-fold reduktion i følsomheden.

Krydsresistens

Krydsresistens er blevet observeret blandt nukleosid revers transkriptaseinhibitorer (NRTIS). Kombinationen af ​​abacavir/lamivudin har vist nedsat modtagelighed for vira med en K65R -substitution med eller uden en M184V/I -substitutionsvirus med L74V plus M184V/I -substitutionen og vira med thymidinanalog mutationsstatning (TAMS: M41L D67N K70R L210W T215Y/FE K219E/R/H/Q/N) plus M184V. Et stigende antal TAM'er er forbundet med en progressiv reduktion i abacavir -følsomhed.

Dyretoksikologi og/eller farmakologi

Myocardial degeneration blev fundet hos mus og rotter efter administration af abacavir i 2 år. De systemiske eksponeringer svarede til 7 til 24 gange den forventede systemiske eksponering hos mennesker i en dosis på 600 mg. Den kliniske relevans af denne konstatering er ikke bestemt.

Kliniske studier

Voksne

En EPZICOM -tablet, der gives en gang dagligt, er et alternativt regime til Epivir -tabletter 300 mg en gang dagligt plus Ziagen -tabletter 2 x 300 mg en gang dagligt som en komponent i antiretroviral terapi.

Følgende forsøg blev udført med de individuelle komponenter i EPZICOM.

Terapi-naive voksne

CNA30021 var et internationalt multicenter dobbeltblindt kontrolleret forsøg, hvor 770 HIV-1-inficeret terapi-naive voksne blev randomiseret og modtaget enten Ziagen 600 mg en gang dagligt eller Ziagen 300 mg to gange dagligt både i kombination med EPIVIR 300 mg en gang dagligt og Efavirenz 600 mg en gang dagligt. Den dobbeltblinde behandlingsvarighed var mindst 48 uger. Forsøgsdeltagere havde en gennemsnitlig alder på 37 år; var mandlige (81%) hvide (54%) sort (27%) og amerikansk latinamerikansk (15%). Median baseline CD4 -celletælling var 262 celler pr. Mm 3 (Område: 21 til 918 celler pr. mm 3 ) og median baseline-plasma-HIV-1 RNA var 4,89 log10-kopier pr. Ml (interval: 2,60 til 6,99 log10-kopier pr. Ml).

Resultaterne af randomiseret behandling findes i tabel 4.

Tabel 4. Resultater af randomiseret behandling gennem uge 48 (CNA30021)

Resultat Ziagen 600 mg q.d. Mere Epivir mere
Efavirenz
(n = 384)
Ziagen 300 mg B.I.D. Mere Epivir mere
Efavirenz
(n = 386)
Responder a 64% (71%) 65% (72%)
Virologisk fiasko b 11% (5%) 11% (5%)
Ophørt på grund af bivirkninger 13% 11%
Ophørt på grund af andre grunde c 11% 11%
a Personer opnåede og vedligeholdt bekræftet HIV-1 RNA mindre end 50 eksemplarer pr. Ml (mindre end 400 eksemplarer pr. Ml) til uge 48 (Roche Amplicor ultrasensitive HIV-1 Monitor Standard Test version 1.0).
b Inkluderer viral rebound -manglende opnåelse af bekræftede mindre end 50 kopier pr. Ml (mindre end 400 eksemplarer pr. Ml) i uge 48 og utilstrækkelig viral belastningsrespons.
c Inkluderer trukket samtykke tabt tabt til opfølgningsprotokolovertrædelser klinisk progression og andet.

Efter 48 ugers terapi var median CD4 -celletællingen fra baseline 188 celler pr. Mm 3 i gruppen, der modtager Ziagen 600 mg en gang dagligt og 200 celler pr. Mm 3 i gruppen, der modtager Ziagen 300 mg to gange dagligt. Gennem uge 48 6 forsøgspersoner (2%) i gruppen, der modtog Ziagen 600 mg en gang dagligt (4 CDC -klassificering C -begivenheder og 2 dødsfald) og 10 forsøgspersoner (3%) i gruppen, der modtog Ziagen 300 mg to gange dagligt (7 CDC -klassificering C -begivenheder og 3 dødsfald) oplevede klinisk sygdomsprogression. Ingen af ​​dødsfaldene blev tilskrevet forsøgsmedicin.

Pædiatriske personer

Arrow (COL105677) var et 5-årigt randomiseret multicenterforsøg, der vurderede flere aspekter af klinisk håndtering af HIV-1-infektion hos pædiatriske personer. HIV-1-inficerede behandlingsnaive forsøgspersoner i alderen 3 måneder til 17 år blev tilmeldt og behandlet med et førstelinjesegime indeholdende Abacavir og Lamivudine doserede to gange dagligt i henhold til Verdenssundhedsorganisationsanbefalinger. Efter mindst 36 ugers behandlingsemner fik emner mulighed for at deltage i randomisering 3 af piletforsøget, der sammenlignede sikkerheden og effektiviteten af ​​dosering af en gang dagligt med dosering af to gange dagligt af abacavir og lamivudin i kombination med et tredje antiretroviralt lægemiddel i yderligere 96 uger. Virologisk undertrykkelse var ikke et krav til deltagelse ved baseline for randomisering 3. ved baseline til randomisering 3 (efter mindst 36 ugers behandling to gange dagligt) blev 75% af emner i den to-daglige kohort virologisk undertrykt sammenlignet med 71% af emner i den en gang-daglige kohort.

Af de 1206 originale pile deltog personer 669 i randomisering 3. Emner randomiseret til at modtage dosering af en gang dagligt (n = 336), og som vejede mindst 25 kg modtog abacavir 600 mg og lamivudin 300 mg som enten de enkelte enheder eller som Epzicom.

Proportionerne af forsøgspersoner med HIV-1 RNA mindre end 80 eksemplarer pr. Ml gennem 96 uger er vist i tabel 5. Forskellene mellem virologiske responser i de to behandlingsarme var sammenlignelige på tværs af baselineegenskaber for køn og alder.

Tabel 5. Virologisk resultat af randomiseret behandling i uge 96 a (Arrow randomisering 3)

Resultat Abacavir plus Lamivudin Twice-Daily Dosing
(n = 333)
Abacavir plus Lamivudin Once-Daily Dosing
(n = 336)
HIV-1 RNA <80 copies/mL b 70% 67%
HIV-1 RNA ≥80 copies/mL c 28% 31%
Ingen virologiske data 28% 31%
Discontinued due to adverse event or death 1% <1%
Discontinued study for other reasons d 0% <1%
Missing data during window but on study 1% 1%
a Analyser var baseret på de sidst observerede virale belastningsdata inden for uge 96 -vinduet.
b Risikoforskel (95% CI) af svarprocenten er -2,4% (-9% til 5%) i uge 96.
c Inkluderer forsøgspersoner, der ophørte på grund af mangel eller tab af effektivitet eller af andre årsager end en bivirkning eller død og havde en viral belastningsværdi på større end eller lig med 80 eksemplarer pr. Ml eller forsøgspersoner, der havde en switch i baggrundsregime, som ikke var tilladt af protokollen.
d Andet inkluderer grunde, såsom trak samtykketab til opfølgning osv. Og den sidste tilgængelige HIV-1 RNA mindre end 80 eksemplarer pr. Ml (eller mangler).

Patientinformation til EPZICOM

Epzicom
(Ep 'Jein
(abacavir og lamivudin tabletter)

Hvad er de vigtigste oplysninger, jeg burde vide om Epzicom?

Epzicom can cause serious side effects including:

  • Alvorlige allergiske reaktioner (overfølsomhedsreaktion) Det kan forårsage, at død er sket med EPZICOM og andre abacavir-holdige produkter. Din risiko for denne allergiske reaktion er meget højere, hvis du har en genvariation kaldet HLA-B*5701. Din sundhedsudbyder kan bestemme med en blodprøve, hvis du har denne genvariation.

Hvis du får et symptom fra 2 eller flere af følgende grupper, mens du tager EPZICOM, skal du ringe til din sundhedsudbyder med det samme for at finde ud af, om du skulle stoppe med at tage Epzicom.

Symptom (er)
Gruppe 1 Feber
Gruppe 2 Udslæt
Gruppe 3 Kvalme opkast diarre abdominal (stomach area) pain
Gruppe 4 Generelt dårligt at føle ekstrem træthed eller ømme
Gruppe 5 Åndenød hoste ondt i halsen

En liste over disse symptomer er på det advarselskort, som din farmaceut giver dig. Bær dette advarselskort med dig på alle tidspunkter.

Hvis du stopper EPZICOM på grund af en allergisk reaktion, skal du aldrig tage Epzicom (Abacavir og Lamivudine) eller enhver anden abacavir-holdig medicin (TriCeq Trizivir eller Ziagen) igen.

    • Hvis du har en allergisk reaktion, skal du bortskaffe nogen ubrugt EPZICOM. Spørg din farmaceut, hvordan du korrekt bortskaffer medicin.
    • Hvis du tager EPZICOM eller en anden abacavir-holdig medicin igen, når du har haft en allergisk reaktion inden for få timer, kan du få livstruende symptomer, der kan omfatte meget lavt blodtryk eller død.
    • Hvis du stopper EPZICOM af anden grund, selv i et par dage, og du er ikke allergisk over for Epzicom -tale med din sundhedsudbyder, før du tager den igen. At tage Epzicom igen kan forårsage en alvorlig allergisk eller livstruende reaktion, selvom du aldrig havde en allergisk reaktion på den før.

Hvis din sundhedsudbyder fortæller dig, at du kan tage Epzicom igen begynde at tage det, når du er i nærheden af ​​medicinsk hjælp eller folk, der kan ringe til en sundhedsudbyder, hvis du har brug for en.

  • Forværring af hepatitis B -virus (HBV) infektion. Hvis du har HBV-infektion og tager EPZICOM, kan din HBV blive værre (opblussen), hvis du holder op med at tage Epzicom. En opblussen er, når din HBV-infektion pludselig vender tilbage på en værre måde end før.
    • Kør ikke tør for Epzicom. Genopfyld din recept, eller tal med din sundhedsudbyder, før din EPZICOM er væk.
    • Stop ikke Epzicom uden først at tale med din sundhedsudbyder.
    • Hvis du holder op med at tage EPZICOM, skal din sundhedsudbyder ofte kontrollere dit helbred og udføre blodprøver regelmæssigt i flere måneder for at kontrollere din leverfunktion og overvåge din HBV -infektion. Det kan være nødvendigt at give dig en medicin til behandling af HBV. Fortæl din sundhedsudbyder om nye eller usædvanlige symptomer, du måtte have, når du holder op med at tage Epzicom.
  • Resistent HBV. Hvis du har human immundefektvirus-1 (HIV-1) og HBV, kan HBV ændres (muteres) under din behandling med EPZICOM og bliver sværere at behandle (resistent).
  • For mere information om bivirkninger, se hvad er de mulige bivirkninger af EPZICOM?

Hvad er Epzicom?

Epzicom is a prescription medicine used with other HIV-1 medicines to treat HIV-1 infection.

HIV-1 er den virus, der forårsager erhvervet immunmangelsyndrom (AIDS).

Epzicom contains the prescription medicines abacavir and lamivudine .

Epzicom should not be used in children weighing less than 55 pounds (25 kg).

Tag ikke Epzicom, hvis du:

  • Har en bestemt type genvariation kaldet HLA-B*5701-allelen. Din sundhedsudbyder vil teste dig for dette, før du ordinerer behandling med EPZICOM.
  • er allergiske over for abacavir lamivudin eller nogen af ​​ingredienserne i Epzicom. Se slutningen på denne medicinvuide for en komplet liste over ingredienser i EPZICOM.
  • har visse leverproblemer.

Før du tager EPZICOM, fortæl din sundhedsudbyder om alle dine medicinske tilstande, herunder hvis du:

  • er blevet testet og ved, om du har en bestemt genvariation kaldet HLA-B*5701.
  • har eller har haft leverproblemer inklusive hepatitis B- eller C -virusinfektion.
  • har nyreproblemer.
  • Har hjerteproblemer røg eller har sygdomme, der øger din risiko for hjertesygdom, såsom højt blodtryk højt kolesterol eller diabetes.
  • er gravide eller planlægger at blive gravid.

Graviditetsregister. Der er et graviditetsregister for kvinder, der tager HIV-1-medicin under graviditet. Formålet med dette register er at indsamle oplysninger om sundheden for dig og din baby. Tal med din sundhedsudbyder om, hvordan du kan deltage i dette register.

  • er amning eller planlægger at amme. Amm ikke, hvis du tager epzicom .
    • Du bør ikke amme, hvis du har HIV-1 på grund af risikoen for at videregive HIV-1 til din baby.

Fortæl din sundhedsudbyder om alle de medicin, du tager inklusive receptpligtige og over-counter medicin vitaminer og urtetilskud.

Nogle medicin interagerer med EPZICOM. Opbevar en liste over dine medicin for at vise din sundhedsudbyder og apotek, når du får en ny medicin.

  • Du kan bede din sundhedsudbyder eller farmaceut om en liste over medicin, der interagerer med EPZICOM.
  • Begynd ikke at tage en ny medicin uden at fortælle din sundhedsudbyder. Din sundhedsudbyder kan fortælle dig, om det er sikkert at tage EPZICOM med andre medicin.

Hvordan skal jeg tage Epzicom?

  • Tag Epzicom nøjagtigt, som din sundhedsudbyder fortæller dig at tage det.
  • Skift ikke din dosis eller stop med at tage EPZICOM uden at tale med din sundhedsudbyder.
  • Hvis du går glip af en dosis Epzicom, skal du tage den, så snart du husker. Tag ikke 2 doser på samme tid, eller tag mere end din sundhedsudbyder fortæller dig at tage.
  • Bliv under pleje af en sundhedsudbyder under behandling med EPZICOM.
  • Epzicom may be taken with or without food.
  • Fortæl din sundhedsudbyder, om dit barn har problemer med at sluge Epzicom -tabletter.
  • Kør ikke tør for Epzicom. Virussen i dit blod kan stige, og virussen kan blive sværere at behandle. Når din forsyning begynder at køre lavt, skal du få mere fra din sundhedsudbyder eller apotek
  • Hvis du tager for meget EPZICOM, skal du ringe til din sundhedsudbyder eller gå til det nærmeste hospitalets akutrum med det samme.

Hvad er de mulige bivirkninger af EPZICOM?

  • Epzicom can cause serious side effects including:
  • Se hvad er de vigtigste oplysninger, jeg burde vide om Epzicom?
  • For meget mælkesyre i dit blod (mælkesyreasis). Lactic acidosis er en alvorlig medicinsk nødsituation, der kan forårsage død. Ring til din sundhedsudbyder med det samme, hvis du får nogen af ​​følgende symptomer, der kan være tegn på mælkesyreose:
    • Føl dig meget svag eller træt
    • Usædvanlige (ikke normale) muskelsmerter
    • problemer med at trække vejret
    • mavesmerter with kvalme and opkast
    • føler dig kold, især i dine arme og ben
    • Føl dig svimmel eller let
    • har en hurtig eller uregelmæssig hjerteslag
  • Alvorlige leverproblemer. I nogle tilfælde kan alvorlige leverproblemer føre til død. Din lever kan blive stor (hepatomegaly), og du kan udvikle fedt i din lever (steatosis). Ring til din sundhedsudbyder med det samme, hvis du får nogen af ​​følgende tegn eller symptomer på leverproblemer:
    • Din hud eller den hvide del af dine øjne bliver gul (gulsot)
    • Mørk eller te-farvet urin
    • Lysfarvede afføring (tarmbevægelser)
    • Tab af appetit for several days or longer
    • kvalme
    • Smerter ømme eller ømhed på højre side af dit maveområde

Det kan være mere sandsynligt, at du får mælkesyreasyre eller alvorlige leverproblemer, hvis du er kvindelig eller meget overvægtig (fede).

  • Ændringer i dit immunsystem (immunrekonstitutionssyndrom) Kan ske, når du begynder at tage HIV-1-medicin. Dit immunsystem kan blive stærkere og begynde at bekæmpe infektioner, der er skjult i din krop i lang tid. Fortæl din sundhedsudbyder med det samme, hvis du begynder at have nye symptomer, når du begynder at tage Epzicom.
  • Hjerteanfald. Nogle HIV-1-medicin inklusive EPZICOM kan øge din risiko for hjerteanfald.

De mest almindelige bivirkninger af EPZICOM inkluderer:

hvordan man besøger japan billigt
  • Allergiske reaktioner
  • problemer med at sove
  • depression
  • hovedpine or migraine
  • træthed or svaghed
  • svimmelhed
  • kvalme
  • diarre

Fortæl din sundhedsudbyder, hvis du har nogen bivirkning, der generer dig, eller som ikke forsvinder.

Dette er ikke alle de mulige bivirkninger af EPZICOM. Ring til din læge for medicinsk rådgivning om bivirkninger. Du kan rapportere bivirkninger til FDA på 1-800-FDA-1088.

Hvordan skal jeg opbevare EPZICOM?

  • Opbevar EPZICOM ved stuetemperatur.

Hold Epzicom og alle medicin uden for børns rækkevidde.

Generel information til sikker og effektiv brug af EPZICOM.

Medicin er undertiden ordineret til andre formål end dem, der er anført i en medicinguide. Brug ikke EPZICOM til en betingelse, som den ikke blev ordineret til. Giv ikke Epzicom til andre mennesker, selvom de har de samme symptomer, som du har. Det kan skade dem. Du kan bede din sundhedsudbyder eller farmaceut om informationen om EPZICOM, der er skrevet til sundhedspersonale.

Hvad er ingredienserne i Epzicom?

Aktive ingredienser: Abacavir og lamivudin

Inaktive ingredienser: Magnesiumstearatmikrokrystallinsk cellulose natriumstivelse glycolat.

Tabletfilmbelægning indeholder: Opadry Orange YS-1-13065-A lavet af FD

Denne medicinguide er godkendt af U.S. Food and Drug Administration.