Oplysningerne På Webstedet Er Ikke Medicinsk Rådgivning. Vi Sælger Ikke Noget. Nøjagtigheden Af Oversættelsen Er Ikke Garanteret. Ansvarsfraskrivelse
Analgetika, opioidkombinationer
Lortab 2.5
Resume af lægemiddeloversigt
Hvad er Lortab 2.5?
Lortab 2.5 (hydrocodon bitartrat og acetaminophen) er en kombination af smerteaflastning, der indeholder et opiat (narkotisk) smerteaflastning og en ikke-narkotisk smerteaflastning, der bruges til at lindre moderat til svær smerte.
Hvad er bivirkninger af Lortab 2.5?
Almindelige bivirkninger af lortab 2.5 inkluderer:
- døsighed
- kvalme
- opkast
- ked af maven
- forstoppelse
- uklar tænkning
- angst
- svimmelhed
- hovedpine
- humør ændres
- sløret vision
- ringer i ørerne eller
- tør mund
Søg medicinsk behandling eller ring 911 på én gang, hvis du har følgende alvorlige bivirkninger:
- Alvorlige øjensymptomer såsom pludseligt synstab sløret synet tunnel vision øje smerter eller hævelse eller at se haloer omkring lys;
- Alvorlige hjertesymptomer såsom hurtig uregelmæssige eller bankende hjerteslag; flagrende i brystet; åndenød; og pludselig svimmelhed lethed eller udlevering;
- Alvorlig hovedpine forvirring sløret tale arm eller ben svaghed problemer med at gå tab af koordination føles ustabil meget stive muskler høj feber voldsom sved eller rysten.
Dette dokument indeholder ikke alle mulige bivirkninger, og andre kan forekomme. Kontakt din læge for yderligere oplysninger om bivirkninger.
Dosering til Lortab 2.5
Den sædvanlige voksne dosering af Lortab 2.5 er en eller to tabletter hver fjerde til seks time efter behov for smerter.
Hvilke stoffer stoffer eller kosttilskud interagerer med Lortab 2.5?
Lortab 2.5 kan interagere med alkohol andre narkotiske smertemedicin Sedativer Regenskaber Sovende piller Muskelafslappere Andre lægemidler, der kan gøre dig søvnig eller bremse dine åndedrætsmæssige antidepressiva blære eller urinmedicin bronchodilatorer eller irritabel tarmmedicin. Fortæl din læge alle medicin og kosttilskud, du bruger.
Lortab 2.5 under graviditet eller amning
Denne medicin bør kun bruges, når det klart er nødvendigt under graviditet. Det anbefales ikke til brug i lange perioder eller i høje doser i nærheden af den forventede leveringsdato på grund af potentialet for skade på en ufødt baby. Diskuter risici og fordele med din læge. Baseret på information fra relaterede lægemidler kan dette lægemiddel muligvis passere til modermælk. På grund af den potentielle risiko for spædbarnet, skal du konsultere din læge inden amning. Narkotiske smertestillende midler har potentialet til at blive vanedannende og arbejde mindre effektivt, når de overtages over lange perioder.
Yderligere oplysninger
Vores Lortab 2.5 (Hydrocodon Bitartrate og Acetaminophen) bivirkninger Drug Center giver et omfattende overblik over tilgængelige lægemiddelinformation om de potentielle bivirkninger, når du tager denne medicin.
Hvor længe varer IV -morfin
FDA -lægemiddelinformation
- Lægemiddelbeskrivelse
- Indikationer
- Bivirkninger
- Advarsler
- Forholdsregler
- Overdosis
- Klinisk farmakologi
- Medicin vejledning
Beskrivelse til Lortab 2.5
Hydrocodon bitartrat og acetaminophen leveres i tabletform til oral administration.
ADVARSEL : Kan være vaneformning (se FORHOLDSREGLER Information til patienter og Stofmisbrug og afhængighed ).
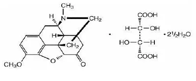
Hydrocodon bitartrat er et opioid smertestillende og antitussiv og forekommer som fine hvide krystaller eller som et krystallinsk pulver. Det påvirkes af lys. Det kemiske navn er 45a-epoxy-3-methoxy-17-methylmorphinan-6-en-tartrat (1: 1) hydrat (2: 5). Det har følgende strukturelle formel:
|
C 18 H 21 INGEN 3 • c 4 H 6 0 6 • 2 ½ h 2 0
Acetaminophen 4'-hydroxyacetanilid En lidt bitter hvid lugtfrit krystallinsk pulver er et ikke-opiatisk ikke-salicylat smertestillende og antipyretisk. Det har følgende strukturelle formel:
|
C 8 H 9 INGEN 2
Hver lortab 2.5 (Hydrocodon bitartrat og acetaminophen -tabletter) /500 tablet indeholder:
Hydrocodon bitartrat ............................ 2,5 mg
Acetaminophen ..................................... 500 mg
Derudover indeholder hver tablet følgende inaktive ingredienser: kolloidal siliciumdioxid croscarmellose natrium crospovidon mikrokrystallinsk cellulose povidon pregelatiniseret stivelse stearic acid og sukker sfærer, der er sammensat af stivelse, der er afledt fra majsusrose og FD
Anvendelser til Lortab 2.5
LortAB 2.5 (hydrocodon bitartrat og acetaminophen -tabletter) /500 tabletter (hydrocodon bitartrat og acetaminophen tabletter USP 2,5 mg /500 mg) er indikeret til lindring af moderat til moderat alvorlig smerte.
Dosering til Lortab 2.5
Dosering skal justeres i henhold til sværhedsgraden af smerten og patientens respons. Det skal dog huskes, at tolerance over for hydrocodon kan udvikle sig ved fortsat anvendelse, og at forekomsten af uheldige effekter er dosisrelateret.
Den sædvanlige dosering af voksne er en eller to tabletter hver fjerde til seks time efter behov for smerter. Den samlede daglige dosering bør ikke overstige 8 tabletter.
Hvor leveret
LortAB ® 2.5/500 tabletter (hydrocodon bitartrat og acetaminophen tabletter USP 2,5 mg/500 mg) indeholder hydrocodon bitartrat 2,5 mg og acetaminophen 500 mg. De leveres som hvide med lyserøde pletter kapselformet halverede tabletter, der blev aftalt 'UCB' på den ene side og '901' på den anden side i containere på 100 tabletter NDC 50474-925-01 og 500 tabletter NDC 50474-925-50.
Opbevaring: Opbevares ved kontrolleret stuetemperatur 15 ° -30 ° C (59 ° -86 ° F).
Dispens i en stram lysbestandig beholder med en børnebestandig lukning.
En tidsplan CIII narkotisk
Fremstillet til: UCB Pharma Inc. Smyrna GA 30080. Fremstillet af: Mikart Inc. Atlanta GA 30318. FDA Rev Dato: 8/3/2000.
Bivirkninger til Lortab 2.5
De hyppigst rapporterede bivirkninger er fyrtårdhed svimmelhed sedation kvalme og opkast. Disse virkninger synes at være mere fremtrædende i ambulant end hos ikke-ambulante patienter, og nogle af disse bivirkninger kan afhjælpes, hvis patienten ligger ned.
Andre bivirkninger inkluderer:
Centralnervesystem : Døsighed mental skyende sløvhed svækkelse af mental og fysisk præstation angst frygter dysfori psykisk afhængighed humør ændringer.
Gastrointestinalt system : Langvarig administration af LortAB 2.5 (Hydrocodon bitartrat og acetaminophen -tabletter) /500 tabletter kan producere forstoppelse.
Genitourinary System : Ureteral spasmerkv.
Luftvejsdepression : Hydrocodon bitartrat kan producere dosisrelateret respirationsdepression ved at handle direkte på hjernestamens åndedrætscentre (se Overdosering ).
Særlige sanser : Tilfælde af hørselsnedsættelse eller permanent tab er overvejende rapporteret hos patienter med kronisk overdosis.
Dermatologisk : Skinudslæt udskrivning.
Følgende bivirkninger kan huskes som potentielle virkninger af acetaminophen: allergiske reaktioner udslæt thrombocytopenia agranulocytose.
Potentielle effekter af høj dosering er anført i Overdosering afsnit.
Stofmisbrug og afhængighed:
Kontrolleret stof : Lortab 2.5 (hydrocodon bitartrat og acetaminophen tabletter) /500 tabletter (hydrocodon bitartrat og acetaminophen tabletter USP 2,5 mg /500 mg) klassificeres som et skema III -kontrolleret stof.
Misbrug og afhængighed : Psykisk afhængighed Fysisk afhængighed og tolerance kan udvikle sig ved gentagen administration af narkotika; Derfor skal dette produkt ordineres og administreres med forsigtighed. Imidlertid er det usandsynligt, at psykisk afhængighed udvikler sig, når hydrocodon -bitartrat- og acetaminophen -tabletter bruges i kort tid til behandling af smerter.
Fysisk afhængighed Den tilstand, i hvilken fortsat administration af lægemidlet er påkrævet for at forhindre udseendet af et tilbagetrækningssyndrom, antager klinisk signifikante proportioner først efter flere uger med fortsat narkotisk anvendelse, skønt en mild grad af fysisk afhængighed kan udvikle sig efter et par dage med narkotisk terapi. Tolerance, hvor stadig større doser er påkrævet for at producere den samme grad af analgesi, manifesteres oprindeligt ved en forkortet varighed af smertestillende virkning og derefter ved fald i intensiteten af analgesi. Udviklingshastigheden af tolerance varierer mellem patienter.
Lægemiddelinteraktioner for Lortab 2.5
Patienter, der modtager narkotika antihistaminer antipsykotika antianxiety -midler eller andre CNS -depressiva (inklusive alkohol) samtidig med hydrocodon bitartrat og acetaminophen -tabletter kan udvise en additiv CNS -depression. Når kombineret terapi overvejes, skal dosis af en eller begge midler reduceres.
Anvendelsen af MAO -hæmmere eller tricykliske antidepressiva med hydrocodonpræparater kan øge effekten af enten antidepressiva eller hydrocodon.
Advarsler for Lortab 2.5
Luftvejsdepression : Ved høje doser eller hos følsomme patienter kan hydrocodon producere dosisrelateret respirationsdepression ved at virke direkte på hjernestamens respiratoriske center. Hydrocodon påvirker også det centrum, der kontrollerer respiratorisk rytme og kan producere uregelmæssig og periodisk vejrtrækning.
Hovedskade og øget intrakranielt tryk : De respiratoriske depressive virkninger af narkotika og deres kapacitet til at hæve cerebrospinalvæsketryk kan være markant overdrevet i nærvær af hovedskade andre intrakranielle læsioner eller en forudgående stigende stigning i intrakranielt tryk. Endvidere producerer narkotika bivirkninger, der kan skjule det kliniske forløb for patienter med hovedskader.
Akutte abdominale forhold : Administration af narkotika kan skjule diagnosen eller klinisk forløb for patienter med akutte abdominale tilstande.
Forholdsregler for Lortab 2.5
Generel : Særlige risikopatienter : Som med ethvert narkotisk smertestillende middel Lortab 2.5 (Hydrocodon Bitartrate og Acetaminophen -tabletter) /500 tabletter skal anvendes med forsigtighed hos ældre eller svækkede patienter og dem med alvorlig svækkelse af lever- eller nyrefunktionshypothyreoidism Addisons sygdomsprostatisk hypertrofi eller ilethral strengure. De sædvanlige forholdsregler skal observeres, og muligheden for respirationsdepression skal huskes.
Hoste refleks : Hydrocodon undertrykker hostrefleksen; Som med alle narkotika skal der udøves forsigtighed, når LortAB 2.5 (hydrocodon bitartrat og acetaminophen -tabletter) /500 tabletter anvendes postoperativt og hos patienter med lungesygdom.
Interaktioner om lægemiddel/laboratorieprøve : Acetaminophen kan producere falske-positive testresultater for urin 5-hydroxyindoleacetdikesyre.
Karcinogenese mutagenese nedskrivning af fertilitet : Der er ikke udført tilstrækkelige undersøgelser hos dyr for at bestemme, om hydrocodon eller acetaminophen har et potentiale for carcinogenese -mutagenese eller forringelse af fertiliteten.
Graviditet:
Teratogene effekter: Graviditetskategori C: Der er ingen tilstrækkelige og godt kontrollerede studier hos gravide kvinder. Lortab 2.5 (Hydrocodon bitartrat- og acetaminophen -tabletter) /500 tabletter skal kun bruges under graviditet, hvis den potentielle fordel berettiger den potentielle risiko for fosteret.
Ikke -teratogene effekter : Babyer født af mødre, der har taget opioider regelmæssigt inden levering, vil være fysisk afhængige. Tilbagetrækningsskiltene inkluderer irritabilitet og overdreven grædende rysten Hyperaktive reflekser øgede åndedrætsfrekvensen øgede afføring af afføring nyser gabende opkast og feber. Intensiteten af syndromet korrelerer ikke altid med varigheden af moderlig opioidbrug eller dosis. Der er ingen konsensus om den bedste metode til styring af tilbagetrækning.
Har sucralfate sulfa i det
Arbejde og levering : Som med al narkotikadministration af dette produkt til moderen kort før levering kan resultere i en vis grad af åndedrætsdepression hos de nyfødte, især hvis der anvendes højere doser.
Sygeplejerske mødre : Acetaminophen udskilles i modermælk i små mængder, men betydningen af dens virkninger på sygeplejebørn er ikke kendt. Det vides ikke, om hydrocodon udskilles i human mælk. Fordi mange medikamenter udskilles i human mælk, og på grund af potentialet for alvorlige bivirkninger hos sygeplejebørn fra hydrocodon og acetaminophen bør der træffes en beslutning om at afbryde sygepleje eller til at afbryde stoffet under hensyntagen til stoffets betydning for moren.
Pædiatrisk brug : Sikkerhed og effektivitet i den pædiatriske befolkning er ikke fastlagt.
Overdoseringsoplysninger til Lortab 2.5
Efter en akut overdoseringstoksicitet kan være resultatet af hydrocodon eller acetaminophen.
Tegn og symptomer:
Hydrocodon : Alvorlig overdosis med hydrocodon er kendetegnet ved respirationsdepression (et fald i åndedrætsfrekvens og/eller tidevandsvolumen Cheyne-Stokes-respiration cyanose) ekstrem somnolens, der skrider frem til stupor eller koma-skeletmuskel-flacciditet kold og klam hud og undertiden bradykardi og hypotension. Ved alvorlig overdoseringsapnø kan kredsløbskollaps hjertestop og død forekomme.
Acetaminophen : I acetaminophen overdosering: dosisafhængig potentielt dødelig levernekrose er den mest alvorlige bivirkning. Nyretørformet nekrose hypoglykæmisk koma og thrombocytopeni kan også forekomme.
Tidlige symptomer efter en potentielt hepatotoksisk overdosis kan omfatte kvalme af kvalme opkastning og generel ubehag. Klinisk og laboratoriebevis for lever toksicitet er muligvis ikke synlige før 48 til 72 timer efter indtagelse.
Hos voksne er lever toksicitet sjældent rapporteret med akutte overdoser på mindre end 10 gram eller dødsfald med mindre end 15 gram.
Behandling : En enkelt eller multiple overdosis med hydrocodon og acetaminophen er en potentielt dødelig overdosis af polydrug og konsultation med et regionalt giftkontrolcenter anbefales.
Øjeblikkelig behandling inkluderer støtte til kardiorespiratorisk funktion og foranstaltninger til at reducere lægemiddelabsorption. Opkast skal induceres mekanisk eller med sirup af IPECAC, hvis patienten er opmærksom (tilstrækkelig faryngeal og laryngeale reflekser). Oral aktiveret kul (1 g/kg) skal følge gastrisk tømning. Den første dosis skal ledsages af en passende katartik. Hvis der anvendes gentagne doser, kan katartikken være inkluderet i alternative doser efter behov. Hypotension er normalt hypovolemisk og bør reagere på væsker. Vasopressorer og andre understøttende foranstaltninger bør anvendes som angivet. Et mansjett endo-trachealrør skal indsættes inden gastrisk skylning af den ubevidste patient og når det er nødvendigt for at tilvejebringe assisteret respiration.
Der skal gives omhyggelig opmærksomhed på at opretholde tilstrækkelig lungeventilation. I alvorlige tilfælde af beruselse kan peritoneal dialyse eller fortrinsvis hæmodialyse overvejes. Hvis hypoprothrothbinæmi forekommer på grund af acetaminophen overdosis vitamin K, skal administreres intravenøst.
Naloxon En narkotisk antagonist kan vende respirationsdepression og koma forbundet med overdosis af opioid. Naloxonhydrochlorid 0,4 mg til 2 mg gives parenteralt. Da varigheden af hydrocodonens virkning kan overstige den for naloxon, skal patienten holdes under kontinuerlig overvågning, og gentagne doser af antagonisten skal administreres efter behov for at opretholde tilstrækkelig respiration. En narkotisk antagonist bør ikke administreres i fravær af klinisk signifikant respiratorisk eller kardiovaskulær depression.
Hvis dosis af acetaminophen kan have overskredet 140 mg/kg acetylcystein bør administreres så tidligt som muligt. Serumacetaminophen -niveauer skal opnås, da niveauer fire eller flere timer efter indtagelse hjælper med at forudsige acetaminophen -toksicitet. Vent ikke på acetaminophen -assayresultater, før behandlingen påbegyndes. Hepatiske enzymer skal opnås oprindeligt og gentages med 24-timers intervaller.
Methemoglobinæmi over 30% bør behandles med methylenblå ved langsom intravenøs administration.
Den giftige dosis for voksne til acetaminophen er 10 g.
Kontraindikationer for Lortab 2.5
Dette produkt bør ikke administreres til patienter, der tidligere har udviste overfølsomhed over for hydrocodon eller acetaminophen.
Patienter, der vides at være overfølsomme over for andre opioider, kan udvise tværfølsomhed over for hydrocodon.
Klinisk farmakologi for Lortab 2.5
Hydrocodon is a semisynthetic narcotic analgesic og antitussive with multiple actions qualitatively similar to those of codeine. Most of these involve the central nervous system og smooth muscle. The precise mechanism of action of hydrocodone og other opiates is not known although it is believed to relate to the existence of opiate receptors in the central nervous system. In addition to analgesia narcotics may produce døsighed changes in mood og mental clouding.
Den smertestillende virkning af acetaminophen involverer perifere påvirkninger, men den specifikke mekanisme er endnu ikke fastlagt. Antipyretisk aktivitet formidles gennem hypothalamiske varmereguleringscentre. Acetaminophen inhiberer prostaglandinsyntetase. Terapeutiske doser af acetaminophen har ubetydelige virkninger på de kardiovaskulære eller åndedrætssystemer; Imidlertid kan giftige doser forårsage kredsløbssvigt og hurtig lav vejrtrækning.
Farmakokinetik : Opførelsen af de enkelte komponenter er beskrevet nedenfor.
Hydrocodon : Efter en 10 mg oral dosis af hydrocodon indgivet til fem voksne mandlige forsøgspersoner var den gennemsnitlige topkoncentration 23,6 ± 5,2 ng/ml. Maksimale serumniveauer blev opnået ved 1,3 ± 0,3 timer, og halveringstiden blev bestemt til at være 3,8 ± 0,3 timer. Hydrocodon udviser et komplekst mønster af metabolisme, herunder o-demethylering N-demethylering og 6-keto-reduktion til de tilsvarende 6-a- og 6-p-hydroxymetabolitter.
Se Overdosering til toksicitetsinformation.
Acetaminophen : Acetaminophen absorberes hurtigt fra mave -tarmkanalen og distribueres gennem de fleste kropsvæv. Plasmahalveringstiden er 1,25 til 3 timer, men kan øges med leverskade og efter overdosering. Eliminering af acetaminophen er hovedsageligt ved levermetabolisme (konjugering) og efterfølgende renal udskillelse af metabolitter. Cirka 85% af en oral dosis forekommer i urinen inden for 24 timer efter indgivelsen mest som glucuronidkonjugatet med små mængder andre konjugater og uændret lægemiddel.
Se Overdosering til toksicitetsinformation.
Patientinformation til Lortab 2.5
Hydrocodon like all narcotics may impair mental og/or physical abilities required for the performance of potentially hazardous tasks such as driving a car or operating machinery; patients should be cautioned accordingly.
Er Aviane en god prævention
Alkohol og andre CNS -depressiva kan producere en additiv CNS -depression, når det tages med dette kombinationsprodukt og bør undgås.
Hydrocodon may be habit-forming. Patients should take the drug only for as long as it is prescribed in the amounts prescribed og no more frequently than prescribed.
Laboratorieundersøgelser : Hos patienter med svær lever- eller nyresygdomseffekter af terapi bør overvåges med seriel lever og/eller nyrefunktionstest.