Oplysningerne På Webstedet Er Ikke Medicinsk Rådgivning. Vi Sælger Ikke Noget. Nøjagtigheden Af ​​Oversættelsen Er Ikke Garanteret. Ansvarsfraskrivelse



Minocin kapsler

Resume af lægemiddeloversigt

Hvad er minocin -kapsler?

Minocin (minocyclinhydrochlorid) er en tetracyclin -antibiotikum, der bruges til at behandle mange forskellige bakterieinfektioner, såsom urinvejsinfektioner, alvorlige acne gonoré Tick ​​Fever Chlamydia og andre. Minocin fås i generisk form.

Hvad er bivirkninger af minocin -kapsler?

Almindelige bivirkninger af minocin inkluderer:



  • kvalme
  • opkast
  • ked af maven
  • diarre
  • Lightheadedness
  • svimmelhed
  • Spinning sensation
  • ustabilitet
  • døsighed
  • træt følelse
  • led eller muskelsmerter
  • Misfarvning af din hud eller negle
  • hududslæt eller kløe
  • Mundsår
  • hævet tunge
  • Misfarvning af dit tandkød
  • hoste
  • Øget hudfølsomhed over for sollys (lettere solskoldning) eller
  • Vaginal kløe eller udflod.

Søg medicinsk behandling eller ring 911 på én gang, hvis du har følgende alvorlige bivirkninger:



  • Alvorlige øjensymptomer såsom pludseligt synstab sløret synet tunnel vision øje smerter eller hævelse eller at se haloer omkring lys;
  • Alvorlige hjertesymptomer såsom hurtig uregelmæssige eller bankende hjerteslag; flagrende i brystet; åndenød; og pludselig svimmelhed letthed eller udlevering;
  • Alvorlig hovedpine forvirring sløret tale arm eller ben svaghed problemer med at gå tab af koordination føles ustabil meget stive muskler høj feber voldsom sved eller rysten.

Dette dokument indeholder ikke alle mulige bivirkninger, og andre kan forekomme. Kontakt din læge for yderligere oplysninger om bivirkninger.

Dosering til Minocin -kapsler

Den sædvanlige voksne dosering af minocin -kapsler er 200 mg oprindeligt efterfulgt af 100 mg hver 12. time. Dosis kan variere afhængigt af den tilstand, som dette lægemiddel er ordineret til.



Hvilke stoffer stoffer eller kosttilskud interagerer med minocin -kapsler?

Minocin -kapsler kan interagere negativt med visse retinoider digoxin penicillins warfarin og levende bakterievacciner. Nogle antibiotika kan reducere effektiviteten af ​​hormonel fødselskontrol, såsom pillerringen eller plasteret. Spørg din læge, om du skulle bruge yderligere pålidelige præventionsmetoder, mens du bruger dette antibiotikum.

Minocin -kapsler under graviditet og amning

Denne medicin anbefales ikke til brug under graviditet på grund af mulig skade på et foster. Kvinder i børnebærende alder bør bruge effektiv prævention, mens de bruger denne medicin. Kontakt din læge. Denne medicin passerer til modermælk i meget små mængder. Kontakt din læge inden amning.

Yderligere oplysninger

Vores Minocin -kapsler bivirkninger Drug Center giver et omfattende overblik over tilgængelige lægemiddelinformation om de potentielle bivirkninger, når du tager denne medicin.

FDA -lægemiddelinformation

Beskrivelse af minocin -kapsler

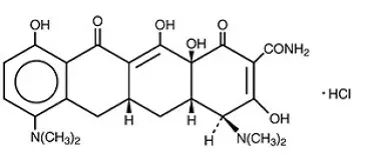
Minocin® Minocycline Hydrochloride er et semisyntetisk derivat af tetracyclin 47- Bis (dimethylamino) -144a55a61112a-oktahydro-3101212a-tetrahydroxy-1111-dioxo-2-naphthacenecarboxamide MonohydroThyDoDideDide. Dens strukturelle formel er:


C 23 H 27 N 3 O 7 â € ¢ HCL

Minocin®-pelletfyldte kapsler til oral administration indeholder pellets af minocyclin HCl svarende til 50 mg 75 mg eller 100 mg minocyclin i mikrokrystallinsk cellulose.

Kapselskaller indeholder følgende inaktive ingredienser: blå 1 gelatinditandioxid og gult 10. De 50 mg og 75 mg kapselskaller indeholder også sorte og gule jernoxider.

Anvendelser til Minocin -kapsler

Minocin-pelletfyldte kapsler er angivet i behandlingen af ​​følgende infektioner på grund af modtagelige stammer af de udpegede mikroorganismer:

Rocky Mountain opdagede feber Typhus Fever og Typhus Group Q -feber Rickettsialpox og Tick Fevers forårsaget af Rickettsiae.

Luftvejsinfektioner forårsaget af Mycoplasma pneumoniae.
Lymfogranuloma Venereum forårsaget af Chlamydia trachomatis.
Psittacosis (ornitose) på grund af Chlamydophila psittaci.
Trachoma forårsaget af Chlamydia trachomas Selvom det infektiøse middel ikke altid elimineres som bedømt ved immunofluorescens.
Inkluderingskonjunktivitis forårsaget af Chlamydia trachomatis.
Nongonococcal urethritis endocervical eller rektale infektioner hos voksne forårsaget af Ureaplasma urenlyticum eller Chlamydia trachomatis.
Tilbagefaldende feber på grund af Borrelia tilbagevendende.
Chancroid forårsaget af Haemophilus ducreyi.
Pest på grund af Yersinia pestis.
Tolamia på grund af Francisella tularensis.
Kolera forårsaget af Vibrio cholerae .
Campylobacter fosterinfektioner forårsaget af Campylobacter foster.
Brucellose på grund af Brucella arter (i forbindelse med streptomycin).
Bartonellosis på grund af Bartonella bacilliformis.
Granuloma Inguinale forårsaget af Klebsiella granulomatis .

Minocycline er indikeret til behandling af infektioner forårsaget af følgende gramnegative mikroorganismer, når bakteriologisk test indikerer passende følsomhed for lægemidlet:

De udstillede kulderystelser.
Klebsiella aerogenes
Shigella arter.
Acinetobacter arter.
Luftvejsinfektioner forårsaget af Haemophilus influenzae.
Åndedrætsværn og urinvejsinfektioner forårsaget af Klebsiella -arter.

Minocin-pelletfyldte kapsler er indikeret til behandling af infektioner forårsaget af følgende gram-positive mikroorganismer, når bakteriologisk test indikerer passende modtagelighed for lægemidlet:

Øvre luftvejsinfektioner forårsaget af Streptococcus pneumoniae.
Infektioner i hud og hudstruktur forårsaget af Staphylococcus aureus . (Bemærk: Minocycline er ikke det valgte lægemiddel i behandlingen af ​​nogen form for stafylokokkinfektion.)

Når penicillin er kontraindiceret minocyclin er et alternativt lægemiddel i behandlingen af ​​følgende infektioner:

Ukompliceret urethritis hos mænd på grund af Neisseria gonorrhoeae og til behandling af andre gonokokkinfektioner.

Infektioner hos kvinder forårsaget af Neisseria Gonorrhoeae .
Syfilis forårsaget af Treponema Pale underarter pallidum.
Yaws forårsaget af Treponema Pale underarter hører hjemme.
Listeriosis på grund af Listeria monocytogenes.
Anthrax på grund af Bacillus Anthracis .
Vincents infektion forårsaget af Fusobacterium fusiforme.
Actinomycosis forårsaget af Actinomyces israelii.
Infektioner forårsaget af Clostridium arter.

I Intestinal amebiasis Minocycline kan være et nyttigt supplement til amebicider.

I severe acne minocycline may be useful adjunctive therapy.

Oral minocyclin er angivet i behandlingen af ​​asymptomatiske bærere af Neisseria meningitidis at eliminere meningokokker fra nasopharynx. For at bevare anvendeligheden af ​​minocyclin i behandlingen af ​​asymptomatiske meningokokkelærere, der er diagnostiske laboratorieprocedurer, herunder serotyping og følsomhedstest, skal der udføres for at etablere transporttilstanden og den korrekte behandling. Det anbefales, at den profylaktiske anvendelse af minocyclin reserveres til situationer, hvor risikoen for meningokokk meningitis er høj.

Oral minocyclin er ikke indikeret til behandling af meningokokkinfektion.

Selvom der ikke er foretaget nogen kontrollerede kliniske effektivitetsundersøgelser, viser begrænsede kliniske data, at oral minocyclinhydrochlorid er blevet anvendt med succes til behandling af infektioner forårsaget af Mycobacterium Marine .

For at reducere udviklingen af ​​lægemiddelresistente bakterier og opretholde effektiviteten af ​​minocin-pelletfyldte kapsler og andre antibakterielle lægemidler skal Minocin-pelletfyldte kapsler kun bruges til at behandle eller forhindre infektioner, der er bevist eller stærkt mistænkt for at være forårsaget af modtagelige bakterier. Når information om kultur og følsomhed er tilgængelige, skal de overvejes ved valg eller ændring af antibakteriel terapi. I mangel af sådanne data kan lokal epidemiologi og følsomhedsmønstre bidrage til det empiriske udvalg af terapi.

Dosering til Minocin -kapsler

Den sædvanlige dosering og hyppighed af administration af minocyclin adskiller sig fra den for de andre tetracycliner. Overskridelse af den anbefalede dosering kan resultere i en øget forekomst af bivirkninger.

Minocin-pelletfyldte kapsler kan tages med eller uden mad (se Klinisk farmakologi ).

Igestion of adequate amounts of fluids along with capsule og tablet fellerms of drugs in the tetracyclineclass is recommended to reduce the risk of esophageal irritation og ulceration. The pellet-filled capsules should be swallowed whole.

For pædiatriske patienter over 8 år

Almindelig pædiatrisk dosis: 4 mg/kg oprindeligt efterfulgt af 2 mg/kg hver 12. time for ikke at overskride den sædvanlige voksne dosis.

Voksne

Den sædvanlige dosering af Minocin-pelletfyldte kapsler er 200 mg oprindeligt efterfulgt af 100 mg hver 12. time. Alternativt, hvis hyppigere doser foretrækkes, kan der gives to eller fire 50 mg pelletfyldte kapsler oprindeligt efterfulgt af en 50 mg kapsel 4 gange dagligt.

Ukomplicerede gonokokkinfektioner andre end urethritis og anorektale infektioner hos mænd: 200 mg oprindeligt efterfulgt af 100 mg hver 12. time i mindst 4 dage med kulturer efter terapikulturer inden for 2 til 3 dage.

I the treatment of uncomplicated gonococcal urethritis in men 100 mg every 12 hours feller 5 days is recommended.

Til behandling af syfilis bør den sædvanlige dosering af minocyclinhydrochlorid administreres over en periode på 10 til 15 dage. Tæt opfølgning inklusive laboratorieundersøgelser anbefales.

I the treatment of meningococcal carrier state the recommended dosage is 100 mg every 12 hours feller 5 days.

Mycobacterium Marine Infektioner: Selvom optimale doser ikke er blevet fastlagt 100 mg hver 12. time i 6 til 8 uger, er blevet brugt med succes i et begrænset antal tilfælde.

Ukompliceret urethral endocervikal eller rektal infektion hos voksne forårsaget af Chlamydia trachomas eller Ureaplasma urenlyticum : 100 mg mundtligt hver 12. time i mindst 7 dage.

Igestion of adequate amounts of fluids along with capsule og tablet fellerms of drugs in the tetracycline class is recommended to reduce the risk of esophageal irritation og ulceration.

Farmakokinetikken af ​​minocyclin hos patienter med nedsat nyrefunktion (CL Cr <80 mL/min) have not been fully characterized. Current data are insufficient to determine if a dosage adjustment is warranted. The total daily dosage should not exceed 200 mg in 24 hours. However due to the antianabolic effect of tetracyclines BUN og creatinine should be monitellered (se Advarsler - Antianabolisk handling ).

Hvor leveret

Minocin ® (Minocycline hydrochlorid) Pelletfyldte kapsler leveres som kapsler indeholdende minocyclinhydrochloridækvivalent til 50 mg og 100 mg minocyclin.

100 mg To-delt hårdskal kapsel med en uigennemsigtig lysegrøn hætte og en gennemsigtig grøn krop trykt i hvidt blæk med 'begyndelse' over 'M0100' på den ene halvdel og 'begyndelse' over '100 mg' på den anden halvt.

NDC 16781-403-60

50 mg To-stykke hårdskal kapsel med en uigennemsigtig gul hætte og en gennemsigtig grøn krop trykt i sort blæk med 'indtræden' over 'M050' på den ene halvdel og 'begyndelse' over '50 mg 'på den anden halvdel. Hver kapsel indeholder pellets af minocyclinhydrochloridækvivalent til 50 mg minocyclin leveret som følger:

NDC 16781-400-60

Opbevares ved kontrolleret stuetemperatur 20 ° til 25 ° C (68 ° til 77 ° F).

Beskyt mod let fugtighed og overdreven varme.

bivirkninger fra atorvastatin 20 mg

Dispens i en stram lysbestandig beholder som defineret i USP.

Fremstillet af: Patheon Pharmaceuticals Inc. Cincinnati OH 45237 USA. Revideret: juni 2024

Bivirkninger for minocin -kapsler

På grund af oral minocyclines næsten komplette absorptions bivirkninger på den nedre tarm, har især diarré været sjældne. Følgende bivirkninger er blevet observeret hos patienter, der modtager tetracycliner:

Krop som helhed: Feber og misfarvning af sekretioner.

Gastrointestinal: Anorexia nausea vomiting diarrhea dyspepsia stomatitis glossitis dysphagia enamel hypoplasia enterocolitis pseudomembranous colitis pancreatitis inflammatory lesions (with monilial overgrowth) in the oral and anogenital regions. Instances of esophagitis and esophageal ulcerations have been reported in patients taking the tetracycline-class antibiotics in capsule and tablet form. Most of these patients took the medication immediately before going to bed (see Dosering og administration ).

Genitourinary: Vulvovaginitis.

Lever toksicitet: Hyperbilirubinæmi lever cholestase øges i leverenzymer dødelig leverfejl og gulsot . Hepatitis inklusive autoimmun hepatitis og leversvigt er rapporteret (se FORHOLDSREGLER ).

Hud: Alopecia erythema nodosum hyperpigmentering af negle kløe toksisk epidermal nekrolyse vaskulitis makulopapulær udslæt og erythematous udslæt. Exfoliativ dermatitis er rapporteret. Der er rapporteret om faste lægemiddeludbrud. Læsioner, der forekommer på glans -penis, har forårsaget balanitis. Erythema multiforme og Stevens-Johnson syndrom er rapporteret. Fotosensitivitet diskuteres ovenfor (se Advarsler - Fotosensitivitet ). Pigmentation of the skin og mucous membranes er rapporteret.

Respiratorisk: Hoste dyspnø bronkospasme forværring af astma og pneumonitis.

Nyretoksicitet: Iterstitial nephritis. Elevations in BUN have been repellerted og are apparently dose related (se Advarsler ). Reversible akut nyresvigt er rapporteret.

Muskuloskeletal: Arthralgia arthritis knoglers misfarvning myalgi led stivhed og fælles hævelse.

Overfølsomhedsreaktioner: Urticaria angioneurotisk ødem polyarthralgia anafylaksi/anafylactoid reaktion (inklusive chok og dødsfald) anafylactoid purpura myocarditis pericarditis forværring af systemisk lupus erythematosus og pulmonal infiltrater med eosinophilia er rapporteret. Der er også rapporteret om et kortvarigt lupuslignende syndrom og serumsyge-lignende reaktioner.

Blod: Agranulocytose Hemolytisk anæmi -thrombocytopeni leukopeni neutropeni pancytopenia og eosinophilia er rapporteret.

Centralnervesystem: Kvulteringer svimmelhed hypestesi paræstesi sedation og svimmelhed. Bulende fontanels hos spædbørn og godartet intrakraniel hypertension (pseudotumor cerebri) hos voksne er rapporteret (se Advarsler - Itracranial Hypertension ). Headache has also been repellerted.

Andre: Skjoldbruskkirtelkræft er rapporteret i postmarketingindstillingen i forbindelse med minocycline -produkter. Når minocycline -terapi gives over længere tidsovervågning for tegn på kræft i skjoldbruskkirtlen skal overvejes. Når det gives i længere tid, er det rapporteret, at tetracycliner producerer brun-sort mikroskopisk misfarvning af skjoldbruskkirtlen. Tilfælde af unormal skjoldbruskkirtelfunktion er rapporteret.

Disfarvning af tand hos børn under 8 år (se Advarsler - Tandudvikling ) og også hos voksne er rapporteret.

Misfarvning af mundhulen (inklusive tunge læbe og tyggegummi) er rapporteret.

Tinnitus og nedsat hørelse er rapporteret hos patienter på Minocin.

Følgende syndromer er rapporteret. I nogle tilfælde er der rapporteret om, at disse syndromer død er rapporteret. Som med andre alvorlige bivirkninger, hvis nogen af ​​disse syndromer genkendes, skal lægemidlet afbrydes med det samme:

Overfølsomhedssyndrom bestående af kutan reaktion (såsom udslæt eller eksfoliativ dermatitis) eosinophilia og en eller flere af følgende: hepatitis pneumonitis nefritis myocarditis og pericarditis. Feber og lymfadenopati kan være til stede.

Lupus-lignende syndrom bestående af positivt antinukleært antistof; Arthralgia Arthritis ledstivhed eller hævelse af led; og en eller flere af følgende: feber myalgia hepatitis udslæt og vaskulitis.

Serumsyge-lignende syndrom bestående af feber; urticaria eller udslæt; og Arthralgia Arthritis ledstivhed eller fælles hævelse og lymfadenopati. Eosinophilia kan være til stede.

Oplevelse efter markedsføring

Følgende bivirkning er blevet identificeret under anvendelse af minocyclinprodukter efter godkendelse, når de tages oralt. Fordi denne reaktion rapporteres frivilligt fra en population af usikker størrelse, er det ikke altid muligt at pålideligt estimere deres frekvens eller etablere et årsagsforhold til eksponering for lægemidler.

Hud- og overfølsomhedsreaktioner: Akut feber neutrofil dermatose (Sweet's syndrom).

For at rapportere mistænkte bivirkninger kontakt Bausch Health US LLC på 1-800-321- 4576 eller FDA på 1-800-FDA-1088 eller www.fda.gov/medwatch.

Lægemiddelinteraktioner for minocin -kapsler

Fordi tetracycliner har vist sig at deprimere plasma -protrombinaktivitetspatienter, der er på antikoagulantbehandling, kan kræve nedadgående justering af deres antikoagulant dosering.

Since bacteriostatic drugs may interfere with the bactericidal action of penicillin it is advisable to avoid giving tetracycline-class drugs in conjunction with penicillin.

Absorption af tetracycliner er nedsat af antacida indeholdende aluminiumscalcium eller magnesium og jernholdige præparater.

Samtidig brug af tetracycliner med orale prævention kan gøre orale prævention mindre effektive.

Administration af isotretinoin bør undgås kort før under og kort efter minocyclinbehandling. Hvert lægemiddel alene er blevet forbundet med pseudotumor cerebri (se Advarsler ).

Icreased risk of ergotism when ergot alkaloids eller their derivatives are given with tetracyclines.

Advarsler feller Minocin Capsules

Tandudvikling

Minocin like other tetracycline-class antibiotics can cause fetal harm when administered to a pregnant woman. If any tetracycline is used during pregnancy eller if the patient becomes pregnant while taking these drugs the patient should be apprised of the potential hazard to the fetus. The use of drugs of the tetracycline class during tooth development (last half of pregnancy infancy og childhood to the age of 8 years) may cause permanent discolelleration of the teeth (yellow-gray-brown).

Denne bivirkning er mere almindelig under langvarig brug af lægemidlet, men er blevet observeret efter gentagne kortvarige kurser. Der er også rapporteret om emaljehypoplasi. Tetracyclin -lægemidler bør derfor ikke bruges under tandudvikling, medmindre andre lægemidler ikke er effektive eller er kontraindiceret.

Skeletudvikling

Alle tetracycliner danner et stabilt calciumkompleks i ethvert knogledannende væv. Et fald i fibula -vækstraten er blevet observeret hos for tidlige humane spædbørn, der fik oral tetracyclin i doser på 25 mg/kg hver sjette time. Denne reaktion viste sig at være reversibel, når lægemidlet blev afbrudt.

Brug under graviditet

Resultaterne af dyreforsøg indikerer, at tetracycliner krydser placentaen findes i føtalvæv og kan have toksiske virkninger på det udviklende foster (ofte relateret til retardering af knoglesudvikling). Bevis for embryotoksicitet er blevet bemærket hos dyr behandlet tidligt i graviditeten. Sikkerheden af ​​Minocin til brug under graviditet er ikke etableret.

Dermatologisk reaktion

Lægemiddeludslæt med eosinophilia og systemiske symptomer (kjole) inklusive dødelige tilfælde er rapporteret med minocyclin -anvendelse. Rettede lægemiddeludbrud har forekommet med minocyclin og andre tetracycliner. Forværring af sværhedsgraden ved efterfølgende administrationer inklusive generaliseret bullous fast stofudbrud er blevet observeret med andre tetracycliner (se Bivirkninger ). If severe skin reactions occur discontinue Minocin immediately og institute appropriate therapy.

Antianabolisk handling

Den antianabolske virkning af tetracycliner kan forårsage en stigning i blodurinstofnitrogen (BUN). Selvom dette ikke er et problem hos dem med normal nyrefunktion hos patienter med signifikant nedsat funktion, kan højere serumniveauer af tetracyclin føre til azotæmi -hyperphosphatemia og acidose. Under sådanne forhold anbefales overvågning af kreatinin og bolle, og den samlede daglige dosering bør ikke overstige 200 mg på 24 timer (se Dosering og administration ). If renal impairment exists even usual elleral eller parenteral doses may lead to systemic accumulation of the drug og possible liver toxicity.

Fotosensitivitet

Fotosensitivitet manifested by an exaggerated sunburn reaction has been observed in some individuals taking tetracyclines. This has been repellerted with minocycline.

Centralnervesystem

Bivirkninger i centralnervesystemet inklusive svimmelhed eller svimmelhed eller svimmelhed er rapporteret med minocyclinbehandling. Patienter, der oplever disse symptomer, skal advares om at køre køretøjer eller bruge farlige maskiner, mens de er på minocyclinbehandling. Disse symptomer kan forsvinde under terapi og forsvinder normalt hurtigt, når lægemidlet afbrydes.

bedste vandrehjem i Venedig

Clostridium Difficile-Associated Diarrhea

Clostridium difficile -Associeret diarré (CDAD) er rapporteret ved anvendelse af næsten alle antibakterielle midler, herunder minocin og kan variere i sværhedsgrad fra mild diarré til dødelig colitis. Behandling med antibakterielle midler ændrer den normale flora i tyktarmen, der fører til overvækst af C. vanskelig.

C. vanskelig Producerer toksiner A og B, der bidrager til udviklingen af ​​CDAD. Hypertoxinproducerende stammer af C. vanskelig Årsag øget sygelighed og dødelighed, da disse infektioner kan være ildfaste over for antimikrobiel terapi og kan kræve kolektomi. CDAD skal overvejes hos alle patienter, der præsenterer med diarré efter antibiotisk brug. Omhyggelig medicinsk historie er nødvendig, da CDAD er rapporteret at forekomme over to måneder efter administration af antibakterielle midler.

Hvis CDAD er mistænkt eller bekræftes ved løbende antibiotikamisbrug, der ikke er rettet mod C. vanskelig kan være nødvendigt at afbryde. Passende væske- og elektrolytstyringsproteintilskud Antibiotikabehandling af C. vanskelig og kirurgisk evaluering bør indføres som klinisk indikeret.

Itracranial Hypertension

Itracranial hypertension (IH pseudotumeller cerebri) has been associated with the use of tetracyclines including Minocin. Clinical manifestations of IH include headache sløret vision diplopia og vision loss; papilledema can be found on fundoscopy. Women of childbearing age who are overweight eller have a histellery of IH are at greater risk feller developing tetracycline-associated IH. Concomitant use of isotretinoin og Minocin should be avoided because isotretinoin is also known to cause pseudotumeller cerebri.

Selvom IH typisk løser efter seponering af behandlingen, eksisterer muligheden for permanent visuelt tab. Hvis visuel forstyrrelse forekommer under behandlingsspm oftalmologisk evaluering er berettiget.

Da intrakranielt tryk kan forblive forhøjet i uger efter, at patienter med lægemiddelstop skal overvåges, indtil de stabiliserer sig.

Forholdsregler feller Minocin Capsules

Generel

Som med andre antibiotiske præparater kan brugen af ​​dette lægemiddel resultere i overvækst af ikke-følsomme organismer inklusive svampe. Hvis superinfektion forekommer, skal antibiotikumet afbrydes og passende terapi indført.

Hepatotoksicitet er rapporteret med minocyclin; Derfor bør minocyclin anvendes med forsigtighed hos patienter med leverdysfunktion og sammen med andre hepatotoksiske lægemidler.

Icision og drainage eller other surgical procedures should be perfellermed in conjunction with antibiotic therapy when indicated.

Det er usandsynligt, at ordinering af minocin-pelletfyldte kapsler i fravær af en bevist eller stærkt mistænkt bakterieinfektion eller en profylaktisk indikation giver fordel for patienten og øger risikoen for udviklingen af ​​lægemiddelresistente bakterier.

Ifellermation Feller Patients

Diarré er et almindeligt problem forårsaget af antibiotika, som normalt slutter, når antibiotikumet afbrydes. Undertiden efter start af behandling med antibiotika kan patienter udvikle vandige og blodige afføring (med eller uden mavekramper og feber), selv så sent som to eller flere måneder efter at have taget den sidste dosis af antibiotikumet. Hvis dette forekommer, skal patienter kontakte deres læge så hurtigt som muligt.

Fotosensitivitet manifested by an exaggerated sunburn reaction has been observed in some individuals taking tetracyclines. Patients apt to be exposed to direct sunlight eller ultraviolet light should be advised that this reaction can occur with tetracycline drugs og treatment should be discontinued at the first evidence of skin erythema. This reaction has been repellerted with use of minocycline.

Patienter, der oplever symptomer i centralnervesystemet, skal advares om at køre køretøjer eller bruge farlige maskiner, mens de er på minocyclinbehandling (se Advarsler ).

Samtidig brug af tetracyclin med orale prævention kan gøre orale prævention mindre effektive (se Lægemiddelinteraktioner ).

Patienter skal rådes om, at antibakterielle lægemidler inklusive minocin-pelletfyldte kapsler kun bør bruges til behandling af bakterieinfektioner. De behandler ikke virusinfektioner (f.eks. Koldkølelsen). Når minocin-pelletfyldte kapsler er ordineret til behandling af en bakterieinfektion, skal patienterne fortælles, at selv om det er almindeligt at føle sig bedre tidligt i løbet af terapien, skal medicinen tages nøjagtigt som anført. Spring over doser eller ikke gennemførelse af det fulde behandlingsforløb kan (1) mindske effektiviteten af ​​den øjeblikkelige behandling og (2) øge sandsynligheden for, at bakterier vil udvikle resistens og ikke kan behandles med minocin-pelletfyldte kapsler eller andre antibakterielle lægemidler i fremtiden.

Ubrugte forsyninger med tetracyclin -antibiotika bør kasseres af udløbsdatoen.

Laboratorieundersøgelser

I venereal disease when coexistent syphilis is suspected a dark-field examination should be done befellere treatment is started og the blood serology repeated monthly feller at least four months.

Periodiske laboratorievalueringer af organsystemer, herunder hæmatopoietisk nyre og lever, skal udføres.

Interaktioner om lægemiddel/laboratorieprøve

Falske forhøjelser af urin Catecholamine Niveauer kan forekomme på grund af interferens med fluorescenstesten.

Karcinogenese mutagenese nedskrivning af fertilitet

Diætadministration af minocyclin i langvarig tumorigenicitetsundersøgelser hos rotter resulterede i bevis for produktion af skjoldbruskkirtlen tumor. Minocycline har også vist sig at producere skjoldbruskkirtelhyperplasi hos rotter og hunde. Derudover har der været tegn på onkogen aktivitet hos rotter i studier med en beslægtet antibiotikum oxytetracyclin (dvs. binyre- og hypofysetumorer). Ligeledes selvom mutagenicitetsundersøgelser af minocyclin ikke er blevet udført positive resultater i In vitro Pattedyrscelleanalyser (dvs. muselymfom og kinesiske hamster lungeceller) er rapporteret for relaterede antibiotika (tetracyclinhydrochlorid og oxytetracyclin). Segment I (fertilitet og generelle reproduktionsundersøgelser har givet bevis for, at minocyclin forringer fertilitet hos hanrotter.

Graviditet

Risikooversigt

All pregnancies have a background risk of birth defects loss or other adverse outcome regardless of drug exposure. There are no adequate and well-controlled studies on the use of minocycline in pregnant women. Minocycline like other tetracycline-class antibiotics crosses the placenta and may cause fetal harm when administered to a pregnant woman. Rare spontaneous reports of congenital anomalies including limb reduction have been reported in postmarketing experience. Only limited information is available regarding these reports; therefore no conclusion on causal association can be established. If minocycline is used during pregnancy or if the patient becomes pregnant while taking this drug the patient should be apprised of the potential hazard to the fetus.

Ikke -teratogene effekter

(se Advarsler .)

Arbejde og levering

Effekten af ​​tetracycliner på arbejde og levering er ukendt.

Sygeplejerske mødre

Tetracycliner udskilles i human mælk. På grund af potentialet for alvorlige bivirkninger hos sygeplejebørn fra tetracyclines bør der træffes en beslutning om, hvorvidt der skal afbrydes sygepleje eller afbryde stoffet under hensyntagen til betydningen af ​​stoffet for moderen (se Advarsler ).

Pædiatrisk brug

Minocycline anbefales ikke til brug hos børn under 8 år, medmindre de forventede fordele ved terapi opvejer risikoen (se Advarsler ).

Geriatrisk brug

Kliniske undersøgelser af oral minocyclin inkluderede ikke tilstrækkeligt antal forsøgspersoner i alderen 65 år og derover for at afgøre, om de reagerer forskelligt fra yngre forsøgspersoner. Generelt skal valg af dosis for en ældre patient være forsigtig, der normalt starter ved den lave ende af doseringsområdet, der afspejler den større hyppighed af nedsat leverrenal eller hjertefunktion og af samtidig sygdom eller anden lægemiddelterapi (se Advarsler og Dosering og administration ).

Minocin Pelletfyldte kapsler (50 mg og 100 mg) do not contain sodium.

Overdoseringsoplysninger til Minocin -kapsler

De bivirkninger, der mere almindeligt ses i overdosis, er svimmelhed kvalme og opkast.

Ingen specifik modgift til minocyclin er kendt.

I case of overdosage discontinue medication treat symptomatically og institute suppellertive measures.

Minocycline fjernes ikke i betydelige mængder ved hæmodialyse eller peritoneal dialyse.

Kontraindikationer for Minocin -kapsler

Dette lægemiddel er kontraindiceret hos personer, der har vist overfølsomhed over for nogen af ​​tetracycliner eller for nogen af ​​komponenterne i produktformuleringen.

Klinisk farmakologi feller Minocin Capsules

Efter en enkelt dosis af to minocin 100 mg pelletfyldte kapsler, der blev administreret til 18 normale faste voksne frivillige, blev maksimale serumkoncentrationer opnået på 1 til 4 timer (gennemsnit 2,1 timer) og varierede fra 2,1 til 5,1 mcg/ml (gennemsnit 3,5 mcg/ml). Serumhalveringstiden i de normale frivillige varierede fra 11,1 til 22,1 timer (gennemsnit 15,5 timer).

Når minocin-pelletfyldte kapsler blev givet samtidig med et måltid med højt fedtindhold, der omfattede mejeriprodukter, var omfanget af absorption af minocin-pelletfyldte kapsler uændret sammenlignet med dosering under fastende forhold. Den gennemsnitlige Tmax blev forsinket med 1 time, når den blev administreret med mad sammenlignet med dosering under fastende forhold. Minocin-pelletfyldte kapsler kan administreres med eller uden mad.

I previous studies with other minocycline dosage fellerms the minocycline serum half-life ranged from 11 to 16 hours in 7 patients with hepatic dysfunction og from 18 to 69 hours in 5 patients with renal dysfunction. The urinary og fecal recovery of minocycline when administered to 12 nellermal volunteers was one-half to one-third that of other tetracyclines.

Mikrobiologi

Handlingsmekanisme

Tetracyclines er primært bakteriostatiske og menes at udøve deres antimikrobielle virkning ved inhibering af proteinsyntese. Tetracyclines inklusive minocyclin har et lignende antimikrobielt spektrum af aktivitet mod en lang række gram-positive og gram-negative organismer. Krydsresistensen af ​​disse organismer til tetracyclin er almindelig.

Have cress
Antimikrobiel aktivitet

Minocycline har vist sig at være aktiv mod de fleste stammer af følgende mikroorganismer begge In vitro og in clinical infections (se Indikationer ).

Gram-positive bakterier

Bacillus Anthracis
Listeria monocytogenes
Staphylococcus aureus
Streptococcus pneumoniae

Gram-negative bakterier

Acinetobacter arter
Bartonella bacilliformis
Brucella arter
Campylobacter foster
De udstillede chill
Francisella tularensis
Haemophilus ducreyi
Haemophilus influenzae
Klebsiella aerogenes
Klebsiella granulomatis
Klebsiella arter
Neisseria Gonorrhoeae
Neisseria meningitidis
Shigella arter
Yersinia pestis
Vibrio cholerae

Andre mikroorganismer

Actinomyces arter
Borrelia tilbagevendende
Chamydophila Psittaci
Chlamydia trachomas
Clostridium arter
Entamoeba arter
Fusobacterium nucleatum underart fusiforme
Mycobacterium Marine
Mycoplasma pneumoniae
Propionibacterium acnes
Rickettsiae
Treponema Pale underarter pallidum
Treponema Pale underarter pertenue
Ureaplasma urenlyticum

Følsomhedstest

For specifikke oplysninger om fortolkningskriterier for følsomhedstest og tilknyttede testmetoder og kvalitetskontrolstandarder, der er anerkendt af FDA for dette lægemiddel, se https://www.fda.gov/stic.

Dyrefarmakologi og toksikologi

Minocycline -hydrochlorid er blevet observeret at forårsage en mørk misfarvning af skjoldbruskkirtlen hos eksperimentelle dyr (rotter minipigs hunde og aber). I den rotte, kronisk behandling med minocyclinhydrochlorid, har resulteret i struma ledsaget af forhøjet radioaktivt jodoptagelse og bevis for produktion af skjoldbruskkirtel tumor. Minocycline -hydrochlorid har også vist sig at producere skjoldbruskkirtelhyperplasi hos rotter og hunde.

Patientinformation til Minocin -kapsler

Minocin ®
[My-No-Sin]
(Minocycline hydrochlorid)
Pelletfyldte kapsler

Læs de patientoplysninger, der følger med Minocin-pelletfyldte kapsler, før du eller et familiemedlem begynder at tage den, og hver gang du får en påfyldning. Der kan være nye oplysninger. Denne plastinformationsbrættet indtager ikke stedet for at tale med din sundhedsudbyder om din medicinske tilstand eller behandling.

Hvad er minocin-pelletfyldte kapsler?

Minocin Pelletfyldte kapsler is a tetracycline-class antibiotic medicine. Minocin Pelletfyldte kapsler is used to treat certain infections caused by bacteria. These include infections of the skin respiratellery tract urinary tract some sexually transmitted diseases og others. Minocin Pelletfyldte kapsler may be used along with other treatments feller severe acne.

Nogle gange forårsager andre bakterier vira, der forårsager infektioner. Den forkølelse er en virus. Minocin-pelletfyldte kapsler som andre antibiotika behandler ikke vira.

Hvem skal ikke tage minocin-pelletfyldte kapsler?

Tag ikke minocin-pelletfyldte kapsler, hvis du er allergisk over for minocycline eller andre tetracyclin-antibiotika . Bed din læge eller farmaceut om en liste over disse medicin, hvis du ikke er sikker. Se afslutningen på denne patientinformations-folder for en komplet liste over ingredienser i Minocin-pelletfyldte kapsler.

Minocin Pelletfyldte kapsler is not recommended feller pregnant women eller children under 8 years of age because:

  1. Minocin Pelletfyldte kapsler may harm an unbellern baby.
  2. Minocin Pelletfyldte kapsler may permanently turn a baby's eller child's teeth yellow-gray-brown during tooth development. Tooth development happens in the last half of pregnancy og birth to age 8 years.

Hvad skal jeg fortælle min læge, før jeg tager minocin-pelletfyldte kapsler?

Før du tager Minocin-pelletfyldte kapsler, fortæl din læge om alle dine medicinske tilstande, herunder hvis du:

  • har lever- eller nyreproblemer.
  • er gravide eller planlægger at blive gravid. Minocin kan skade din ufødte baby. Stop med at tage minocin-pelletfyldte kapsler, og ring til din læge, hvis du bliver gravid, mens du tager den.
  • er amning eller planlægger at amme . Minocin-pelletfyldte kapsler passerer ind i din modermælk og kan skade din baby. Du og din læge skal beslutte, om du vil tage minocin-pelletfyldte kapsler eller amning. Du skal ikke gøre begge dele.

Fortæl din læge om alle de medicin, du tager inklusive receptpligtige og over-the-counter medicin vitaminer og urtetilskud. Brug af minocin-pelletfyldte kapsler med andre lægemidler kan forårsage bivirkninger.

Fortæl især din læge, hvis du tager:

  • p -piller . Minocin-pelletfyldte kapsler kan gøre dine p-piller mindre effektive.
  • En blodfortynder medicin . Dosis af din blodfortynder kan muligvis sænkes.
  • en penicillin antibiotikum medicin . Minocin-pelletfyldte kapsler og penicilliner bør ikke bruges sammen.
  • Migrænemedicin kaldet ergot alkaloider.
  • En acne medicin ved munden kaldet isotretinoin.
  • Antacida, der indeholder aluminiumscalcium eller magnesium- eller jernholdige produkter.

Kend de medicin, du tager, holder en liste over dem for at vise din læge og farmaceut, hver gang du får en ny medicin.

Hvordan skal jeg tage minocin-pelletfyldte kapsler?

  • Tag Minocin-pelletfyldte kapsler nøjagtigt, som din læge beder dig om at tage dem. Spring over doser eller ikke at tage alle dine Minocin-pelletfyldte kapsler kan:
    • Reducer behandlingen af ​​behandlingen.
    • Icrease the chance that bacteria will develop resistance to Minocin Pelletfyldte kapsler.
  • Tag minocin-pelletfyldte kapsler med et fuldt glas væske . At tage minocin-pelletfyldte kapsler med nok væske kan sænke din chance for at få irritation eller mavesår i din spiserør. Din spiserør er det rør, der forbinder din mund til din mave.
  • Minocin Pelletfyldte kapsler may be taken with eller without food . Hvis du glemmer at tage minocin-pelletfyldte kapsler, skal du tage det, så snart du husker det.
  • Hvis du tager for meget minocin-pelletfyldte kapsler, skal du ringe til din læge eller giftkontrolcenter med det samme.

Hvad er de mulige bivirkninger af minocin-pelletfyldte kapsler?

Minocin Pelletfyldte kapsler may cause serious side effects. Stop Minocin Pelletfyldte kapsler og call your docteller if you have:

  • Vandig diarré
  • sløret vision
  • føler sig meget træt
  • Blodige afføring
  • feber
  • hævede lymfeknuder
  • mavekramper
  • udslæt
  • Usædvanlig hovedpine
  • ledssmerter

Minocin Pelletfyldte kapsler may also cause:

  • Effekter af centralnervesystemet. Symptomerne inkluderer lethed i lysethed og en spindende følelse (svimmelhed). Du skal ikke køre eller betjene maskiner, hvis du har disse symptomer.
  • Solfølsomhed (fotosensitivitet) . Du får muligvis en værre solskoldning med minocin-pelletfyldte kapsler. Undgå soleksponering og brugen af ​​sollamps eller garvningssenge. Beskyt din hud, mens du er ude i sollyset. Stop Minocin-pelletfyldte kapsler, og ring til din læge, hvis din hud bliver rød.

Dette er ikke alle de mulige bivirkninger af minocin-pelletfyldte kapsler. For mere information spørg din læge eller farmaceut.

Ring til din læge for medicinsk rådgivning om bivirkninger. Du kan rapportere bivirkninger til FDA på 1-800-FDA-1088.

Hvordan skal jeg opbevare minocin-pelletfyldte kapsler?

  • Opbevar minocin-pelletfyldte kapsler ved stuetemperatur mellem 68 ° F til 77 ° F (20 ° C (
  • Hold minocin-pelletfyldte kapsler væk fra let fugtighed og overskydende varme.
  • Kast enhver minocin-pelletfyldte kapsler, der er forældet eller ikke længere nødvendigt.
  • Hold minocin-pelletfyldte kapsler og alle medicin uden for børns rækkevidde.

Generel infellermation about the safe og effective use of Minocin Pelletfyldte kapsler.

Medicin er undertiden ordineret til andre formål end dem, der er anført i en patientoplysning. Tag ikke minocin-pelletfyldte kapsler for en tilstand, som den ikke blev ordineret til. Giv ikke Minocin-pelletfyldte kapsler til andre mennesker, selvom de har de samme symptomer, du har. Det kan skade dem.

Denne patientinformationsbrættet opsummerer de vigtigste oplysninger om Minocin-pelletfyldte kapsler. Hvis du gerne vil have flere oplysninger, skal du tale med din læge. Du kan bede din læge eller farmaceut om information om Minocin-pelletfyldte kapsler, der er skrevet til sundhedsfagfolk.

For mere information kan du også ringe til Bausch Health US LLC på 1-800-321-4576.

Hvad er ingredienserne i minocin-pelletfyldte kapsler?

Aktiv ingrediens : minocycline hydrochlorid 50 mg og 100 mg

Iactive ingredients : Fd

Denne patientinformation er godkendt af U.S. Food and Drug Administration