Oplysningerne På Webstedet Er Ikke Medicinsk Rådgivning. Vi Sælger Ikke Noget. Nøjagtigheden Af ​​Oversættelsen Er Ikke Garanteret. Ansvarsfraskrivelse



Pyridium

Resume af lægemiddeloversigt

Hvad er pyridium?

Pyridium (phenazopyridinhydrochlorid) er en smertestillende smertestillende, der bruges til at behandle smerter, der brænder øget vandladning og øget trang til at urinere. Disse symptomer er normalt forårsaget af:

  • infektion
  • skade
  • kirurgi
  • Kateter
  • eller andre tilstande, der irriterer den nedre urinvej.
Pyridium behandler symptomerne på en urinvejsinfektion, men behandler ikke den faktiske infektion. Pyridium fås i generisk form.

Hvad er bivirkninger af pyridium?

Pyridium kan forårsage alvorlige bivirkninger, herunder:



Hvor ofte skal du tage flonase
  • lidt eller ingen vandladning
  • hævelse
  • Hurtig vægtøgning
  • forvirring
  • Tab af appetit
  • Smerter i din side eller korsryggen
  • feber
  • Bleg eller gulnet hud
  • mavesmerter
  • kvalme
  • opkast
  • Blåt eller lilla udseende af din hud

Få medicinsk hjælp med det samme, hvis du har nogen af ​​de symptomer, der er anført ovenfor.



Almindelige bivirkninger af pyridium inkluderer:

  • hovedpine
  • svimmelhed
  • Hud kløe
  • mavesmerter
  • eller mave forstyrret.
Fortæl din læge, hvis du oplever alvorlige bivirkninger af pyridium inklusive:
  • Bleg hud
  • feber
  • forvirring
  • svaghed
  • gulsot (gulning af din hud eller øjne)
  • tisser mindre end normalt eller slet ikke
  • døsighed
  • humør ændres
  • øget tørst
  • Tab af appetit
  • kvalme
  • opkast
  • hævelse
  • vægtøgning
  • åndenød
  • eller blå eller lilla farvelægning i din hud.

Søg medicinsk behandling eller ring 911 på én gang, hvis du har følgende alvorlige bivirkninger:



  • Alvorlige øjensymptomer såsom pludseligt synstab sløret synet tunnel vision øje smerter eller hævelse eller at se haloer omkring lys;
  • Alvorlige hjertesymptomer såsom hurtig uregelmæssige eller bankende hjerteslag; flagrende i brystet; åndenød; og pludselig svimmelhed letthed eller udlevering;
  • Alvorlig hovedpine forvirring sløret talearm eller ben svaghed problemer med at gå tab af koordination føles ustabil meget stive muskler høj feber voldsom sved eller rysten.

Dette dokument indeholder ikke alle mulige bivirkninger, og andre kan forekomme. Kontakt din læge for yderligere oplysninger om bivirkninger.

Dosering til pyridium

Den voksne dosering af pyridium er to 200 mg tabletter 3 gange om dagen efter måltider.

Hvilke stoffer stoffer eller kosttilskud interagerer med pyridium?

Andre lægemidler kan interagere med pyridium. Fortæl din læge alle receptpligtige og over-the-counter medicin og kosttilskud, du bruger.

Pyridium under graviditet og amning

Under graviditet bør pyridium kun bruges, hvis det er ordineret. Det vides ikke, om dette stof passerer til modermælk. Kontakt din læge inden amning.

Yderligere oplysninger

Vores pyridium (phenazopyridinhydrochlorid) bivirkninger medikamentcenter giver et omfattende overblik over tilgængelige lægemiddelinformation om de potentielle bivirkninger, når man tager denne medicin.

FDA -lægemiddelinformation

Beskrivelse for pyridium

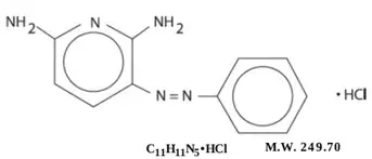
Pyridium® (phenazopyridinhydrochlorid) er let eller mørkerød til mørk violet lugtfri lidt bitter krystallinsk pulver. Det har en specifik lokal smertestillende virkning i urinvejene, der straks lindrer forbrænding og smerter. Det har følgende strukturelle formel:

Pyridium (phenazopyridin HCl -tabletter USP) indeholder følgende inaktive ingredienser: carnauba -vokskroskarmellose -natriumhypromellosemagnesiumstyremikrokrystallinsk cellulosepolyethylenglycolpovidon og pregelatiniseret stivelse.

Anvendelser til pyridium

Pyridium er indikeret for den symptomatiske lindring af smerter, der brænder hastighedsfrekvens og andre ubehag, der opstår som følge af irritation af den nedre urinvejsslimhinde forårsaget af endoskopiske procedurer for infektionstraumerkirurgi eller passage af lyde eller katetre. Anvendelsen af ​​phenazopyridin HCI til lindring af symptomer bør ikke forsinke den definitive diagnose og behandling af forårsagende tilstande. Fordi det kun tilvejebringer symptomatisk lindring, der er passende behandling af årsagen til smerter, skal indføres, og phenazopyridin -HCl skal afbrydes, når symptomerne kontrolleres.

Den smertestillende handling kan reducere eller eliminere behovet for systemiske smertestillende midler eller narkotika. Det er dog kompatibelt med antibakteriel terapi og kan hjælpe med at lindre smerter og ubehag i intervallet, før antibakteriel terapi kontrollerer infektionen. Behandling af en urinvejsinfektion med phenazopyridin -HCI bør ikke overstige to dage, fordi der mangler bevis for, at den kombinerede administration af phenazopyridin HCI og en antibakteriel giver større fordel end administration af det antibakterielle alene efter to dage. (Se Dosering og administration afsnit.)

Dosering til pyridium

100 mg tabletter : Gennemsnitlig voksen dosering er to tabletter 3 gange om dagen efter måltider.

200 mg tabletter : Gennemsnitlig voksen dosering er en tablet 3 gange om dagen efter måltider.

Når det anvendes samtidig med et antibakterielt middel til behandling af en urinvejsinfektion, bør administrationen af ​​phenazopyridin HCl ikke overstige 2 dage.

Hvor leveret

100 mg tabletter : Leveres i flasker på 100 ( NDC 60846-517-01) tæller.

Udseende : Deep Brown til Maroon Colored Round Film Coated Tablets debossede en over 1 på den ene side og slette på den anden.

200 mg tabletter : Leveres i flasker på 100 ( NDC 60846-520-01) tæller.

Udseende : Deep Brown til Maroon Colored Round Film Coated Tablets debossede en over 2 på den ene side og slette på den anden.

Dispensere Indhold med en børneafvisende lukning (efter behov) og i en stram beholder som defineret i USP.

Opbevares ved 20 ° til 25 ° C (68 ° til 77 ° F); Udflugter tilladt til 15 ° til 30 ° C (59 ° til 86 ° F) [Se USP -kontrolleret stuetemperatur ].

Fremstillet til: Gemini Laboratories LLC Bridgewater NJ 08807. Rev. februar 2014

Bivirkninger for pyridium

Hovedpine udslæt kløe og lejlighedsvis gastrointestinal forstyrrelse. En anafylactoidlignende reaktion er beskrevet. Methemoglobinæmi Hemolytisk anæmi nyre- og lever -toksicitet er blevet rapporteret normalt på overdoseringsniveauer (se Overdosering afsnit).

Lægemiddelinteraktioner for pyridium

Ingen oplysninger leveret.

Advarsler om pyridium

Ingen oplysninger leveret.

Forholdsregler for pyridium

Generel

Et gulligt skær af huden eller scleraen kan indikere akkumulering på grund af nedsat renal udskillelse og behovet for at afbryde terapi. Faldet i nyrefunktion, der er forbundet med avanceret alder, skal huskes.

NOTE: Patienter skal informeres om, at phenazopyridin HCl producerer en rødlig-orange misfarvning af urinen og kan plette stof. Farvning af kontaktlinser er rapporteret.

Laboratorietestinteraktion

På grund af dets egenskaber som et Azo -farvestoffenazopyridin HCI kan forstyrre urinalyse baseret på spektrometri eller farvereaktioner.

Karcinogenese mutagenese nedskrivning af fertilitet

Langvarig administration af phenazopyridin HCl har induceret neoplasi hos rotter (stor tarm) og mus (lever). Selvom der ikke er rapporteret nogen sammenhæng mellem phenazopyridin HCI og human neoplasi, er der ikke blevet udført tilstrækkelige epidemiologiske undersøgelser i disse linjer.

Graviditetskategori b

Reproduktionsundersøgelser er blevet udført i rotter i doser op til 50 mg/kg/dag og har ikke afsløret noget bevis for nedsat fertilitet eller skade på fosteret på grund af phenazopyridin HCI. Der er dog ingen tilstrækkelige og godt kontrollerede studier hos gravide kvinder. Fordi dyreproduktionsundersøgelser ikke altid er forudsigelige for menneskelig respons, skal dette lægemiddel kun bruges under graviditet, hvis det er klart nødvendigt.

Sygeplejerske mødre

Der er ingen information tilgængelig om udseendet af phenazopyridin HCI eller dets metabolitter i human mælk.

Overdoseringsoplysninger til pyridium

Overskridelse af den anbefalede dosis hos patienter med god nyrefunktion eller administration af den sædvanlige dosis til patienter med nedsat nyrefunktion (almindelig hos ældre patienter) kan føre til øgede serumniveauer og toksiske reaktioner. Methemoglobinæmi følger generelt en massiv akut overdosis. Methylenblå 1 til 2 mg/kg/kropsvægt intravenøst ​​eller ascorbinsyre 100 til 200 mg givet oralt skal forårsage hurtig reduktion af methemoglobinæmi og forsvinden af ​​cyanosen, hvilket er en hjælp til diagnose. Oxidativt heinz -kropshemolytisk anæmi kan også forekomme, og bideceller (degmacytes) kan være til stede i en kronisk overdoseringssituation. Røde blodlegemer G-6-PD-mangel kan disponere for hæmolyse. Nyresnatning og livsvirkning og lejlighedsvis fiasko normalt på grund af overfølsomhed kan også forekomme.

Kontraindikationer for pyridium

Phenazopyridin HCI bør ikke bruges til patienter, der tidligere har udviste overfølsomhed over for det. Anvendelsen af ​​phenazopyridin HCI er kontraindiceret hos patienter med nyreinsufficiens.

Klinisk farmakologi for Pyridium

Phenazopyridin HCl udskilles i urinen, hvor den udøver en aktuel smertestillende virkning på slimhinden i urinvejene. Denne handling hjælper med at lindre smerter, der brænder hastighed og hyppighed. Den nøjagtige virkningsmekanisme er ikke kendt.

De farmakokinetiske egenskaber af phenazopyridin HCI er ikke bestemt. Phenazopyridin HCl udskilles hurtigt af nyrerne med op til 66% af en oral dosis, der udskilles uændret i urinen.

Patientinformation til pyridium

Ingen oplysninger leveret. Please refer to the FORHOLDSREGLER afsnit.