Oplysningerne På Webstedet Er Ikke Medicinsk Rådgivning. Vi Sælger Ikke Noget. Nøjagtigheden Af Oversættelsen Er Ikke Garanteret. Ansvarsfraskrivelse
Antineoplastics antimikrotubulære taxaner
Taxotere
Resume af lægemiddeloversigt
Hvad er Taxotere?
Taxotere (docetaxel) injektionskoncentrat Intravenøs infusion (IV) er et antineoplastisk (anticancer) middel, der bruges til behandling af brystkræft lungekræft prostatacancer mavekræft og hoved/hals kræft.
Hvad er bivirkninger af taxoere?
Taxotere
- mavesmerter eller ømhed
- diarre
- feber
- Injektionsstedets smerte, der brænder irritation eller hudændringer
- rødme eller skrælning af huden på dine arme eller ben
- Pludselige synsproblemer
- sløret vision
- synstab
- følelsesløshed brændende eller prikken i dine hænder eller fødder
- Muskelsvaghed i dine arme benfødder eller hænder
- forvirring
- snuble
- ekstrem døsighed
- Hævelse i dine underben
- Hurtig vægtøgning
- åndenød
- Øvre mavesmerter
- Tab af appetit
- Mørk urin
- lerfarvet afføring
- guling af huden eller øjnene ( gulsot )
- kulderystelser
- træthed
- Mundsår
- Hudsår
- Let blå mærker
- usædvanlig blødning
- Bleg hud
- kolde hænder og fødder og
- Lightheadedness
Få medicinsk hjælp med det samme, hvis du har nogen af de symptomer, der er anført ovenfor.
Almindelige bivirkninger af taxotere inkluderer:
- reaktioner på injektionsstedet (smerte rødme eller hævelse)
- kvalme
- opkast
- diarre
- forstoppelse
- Tab af appetit
- Føles svag eller træt
- Muskelsmerter
- ledssmerter
- Ubesvarede menstruationsperioder
- midlertidigt hårtab eller
- Fingernegl eller tåneglændringer.
Søg medicinsk behandling eller ring 911 på én gang, hvis du har følgende alvorlige bivirkninger:
- Alvorlige øjensymptomer såsom pludseligt synstab sløret synet tunnel vision øje smerter eller hævelse eller at se haloer omkring lys;
- Alvorlige hjertesymptomer såsom hurtig uregelmæssige eller bankende hjerteslag; flagrende i brystet; åndenød; og pludselig svimmelhed letthed eller udlevering;
- Alvorlig hovedpine forvirring sløret talearm eller ben svaghed problemer med at gå tab af koordination føles ustabil meget stive muskler høj feber voldsom sved eller rysten.
Dette dokument indeholder ikke alle mulige bivirkninger, og andre kan forekomme. Kontakt din læge for yderligere oplysninger om bivirkninger.
Dosering til taxoere
Doserings- og behandlingsregimentet med taxotere varierer og afhænger af tilstanden, der behandles og patientens respons. Det administreres ofte med andre Kemoterapi medicin. Det gives kun under en læges tilsyn.
Hvilke stoffer stoffer eller kosttilskud interagerer med taxoere?
Modtag ikke 'levende' vacciner under behandling med taxoere. Andre lægemidler kan interagere med taxotere. Fortæl din læge om al receptpligtig medicin og medicin, du bruger, du bruger.
Taxotere under graviditet og amning
Taxoere bør ikke bruges under graviditet, da det kan forårsage skade på et foster. Det er ukendt, om denne medicin passerer til modermælk. Kontakt din læge inden amning.
Yderligere oplysninger
Vores Taxotere (docetaxel) bivirkninger Drug Center giver et omfattende overblik over tilgængelige lægemiddelinformation om de potentielle bivirkninger, når du tager denne medicin.
FDA -lægemiddelinformation
- Lægemiddelbeskrivelse
- Indikationer
- Dosering
- Bivirkninger
- Advarsler
- Overdosis
- Klinisk farmakologi
- Medicin vejledning
ADVARSEL
Giftige dødsfald Hepatotoksicitetsneutropeni -overfølsomhedsreaktioner og væskeopbevaring
Forekomsten af behandlingsrelateret dødelighed forbundet med taxoterterapi øges hos patienter med unormal leverfunktion hos patienter, der får højere doser og hos patienter med ikke-lille cellelungekarcinom og en historie med forudgående behandling med platinbaseret kemoterapi, der modtager taxoere som en enkelt middel ved en dosis på 100 mg/m 2 [se ADVARSELS ANd FORHOLDSREGLER ].
Taxotere bør ikke gives til patienter med bilirubin> øvre grænse for normal (ULN) eller til patienter med AST og/eller alt> 1,5 × Uln samtidig med alkalisk phosphatase> 2,5 × Uln. Patienter med forhøjninger af bilirubin eller abnormiteter af transaminase samtidig med alkalisk phosphatase har en øget risiko for udviklingen af grad 4 neutropenia feberlige neutropeniinfektioner alvorlig thrombocytopeni alvorlig stomatitis alvorlig hudtoksicitet og giftig død. Patienter med isolerede forhøjninger af transaminase> 1,5 × ULN havde også en højere hastighed af feberteutropeni grad 4, men havde ikke en øget forekomst af giftig død. Bilirubin AST eller ALT og alkaliske phosphatase -værdier skal opnås inden hver cyklus af taxoterterapi [se ADVARSELS ANd FORHOLDSREGLER ].
Taxotere -terapi bør ikke gives til patienter med neutrofiltællinger af <1500 cells/mm 3 . For at overvåge forekomsten af neutropeni, der kan være alvorlig og resultere i, at der skal udføres infektionscelletællinger, der skal udføres på alle patienter, der modtager taxoere [se ADVARSELS ANd FORHOLDSREGLER ].
Alvorlige overfølsomhedsreaktioner, der er kendetegnet ved generaliseret udslæt/erythema-hypotension og/eller bronchospasme eller meget sjældent dødelig anafylaksi, er rapporteret hos patienter, der modtog en 3-dages dexamethasonpræmning. Overfølsomhedsreaktioner kræver øjeblikkelig seponering af skatteinfusionen og administrationen af passende terapi [se ADVARSELS ANd FORHOLDSREGLER ]. Taxotere must not be given to patients who have a history of severe hypersensitivity reactions to Taxotere or to oTher drugs formulated wiTh polysorbate 80 [se Kontraindikationer ].
Alvorlig væskeopbevaring forekom i 6,5% (6/92) af patienter på trods af brug af en 3-dages dexamethason premedication-regime. Det var kendetegnet ved en eller flere af følgende begivenheder: dårligt tolereret perifert ødemeraliseret ødemer pleural effusion, der kræver presserende dræning dyspnø ved hvile hjerte tamponade eller udtalt abdominal distention (på grund af ascites) [se ADVARSELS ANd FORHOLDSREGLER ].
Beskrivelse for taxoere
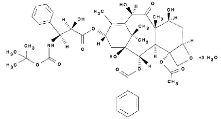
Docetaxel er et antineoplastisk middel, der tilhører Taxoid -familien. Det fremstilles ved semisyntese, der begynder med en forløber, der er ekstraheret fra den vedvarende nålbiomasse af barlindplanter. Det kemiske navn på docetaxel er (2R3S) -n-carboxy-3-phenylisoserinen- tert -butylester 13-ester med 5β-20-epoxy-12α47β10β13a-hexahydroxytax-11-en-9-en 4-acetat 2-benzoattrihydrat. Docetaxel har følgende strukturelle formel:
|
Docetaxel er en hvid til næsten hvidt pulver med en empirisk formel af C 43 H 53 INGEN 14 • 3H 2 O og en molekylvægt på 861,9. Det er meget lipofile og praktisk talt uopløseligt i vand.
One-vial taxotere (injektion)
Taxotere (docetaxel) injektion er en steril ikke-pyrogen lysegul til brunlig-gul opløsning ved 20 mg/ml koncentration.
Hver ML indeholder 20 mg docetaxel (vandfri) i 0,54 gram polysorbat 80 og 0,395 gram dehydreret alkoholopløsning.
Taxotere fås i hætteglas med engangsbrug, der indeholder 20 mg (1 ml) eller 80 mg (4 ml) docetaxel (vandfri).
Taxotere -injektion kræver ingen forudgående fortynding med et fortyndingsmiddel og er klar til at tilføje infusionsopløsningen.
Anvendelser til taxotere
Brystkræft
Taxotere er indikeret til behandling af patienter med lokalt avanceret eller metastatisk brystkræft efter svigt i tidligere kemoterapi.
Taxotere i kombination med doxorubicin og cyclophosphamid er indikeret til adjuvansbehandling af patienter med operationbar knudepositiv brystkræft.
Ikke-småcellet lungekræft
Taxotere som et enkelt middel er indikeret til behandling af patienter med lokalt avancerede eller metastatiske ikke-småcellet lungekræft efter svigt i forudgående platinbaseret kemoterapi. Taxotere i kombination med cisplatin er indikeret til behandling af patienter med ikke-omsættelige lokalt avancerede eller metastatiske ikke-småcellet lungekræft, som ikke tidligere har modtaget kemoterapi for denne tilstand.
Prostatacancer
Taxotere i kombination med prednison er indikeret til behandling af patienter med metastatisk kastrationsresistent prostatacancer.
Gastrisk adenocarcinom
Taxotere i kombination med cisplatin og fluorouracil er indikeret til behandling af patienter med avanceret gastrisk adenocarcinom inklusive adenocarcinom i det gastroøsofageale kryds, som ikke har modtaget tidligere kemoterapi for avanceret sygdom.
Hoved- og halskræft
Taxotere i kombination med cisplatin og fluorouracil er indikeret til induktionsbehandling af patienter med lokalt avanceret pladecellecarcinom i hovedet og nakken (SCCHN).
Dosering til taxoere
For alle indikationer kan toksiciteter berettige doseringsjusteringer [se Dosering Adjustments During Treatment ].
Administrer i en facilitet udstyret til at håndtere mulige komplikationer (f.eks. Anafylaksi).
Brystkræft
- For lokalt avanceret eller metastatisk brystkræft efter svigt i forudgående kemoterapi er den anbefalede dosis af taxotere 60 mg/m 2 til 100 mg/m 2 Administreret intravenøst over 1 time hver 3. uge.
- Til adjuvansbehandling af betjenbar knudepositiv brystkræft er den anbefalede taxotere-dosis 75 mg/m 2 administreret 1 time efter doxorubicin 50 mg/m 2 og cyclophosphamid 500 mg/m 2 Hver 3. uge i 6 kurser. Profylaktisk G-CSF kan bruges til at afbøde risikoen for hæmatologiske toksiciteter [se Dosering Adjustments During Treatment ].
Ikke-småcellet lungekræft
- Til behandling efter svigt i den tidligere platinbaserede kemoterapi-taxoere blev evalueret som monoterapi, og den anbefalede dosis er 75 mg/m 2 Administreret intravenøst over 1 time hver 3. uge. A dosis of 100 mg/m 2 Hos patienter, der tidligere var behandlet med kemoterapi, var forbundet med øget hæmatologisk toksicitetsinfektion og behandlingsrelateret dødelighed i randomiserede kontrollerede forsøg [se Bokset advarsel Dosering Adjustments During Treatment ADVARSELS ANd FORHOLDSREGLER Kliniske studier ].
- For kemoterapi-naive patienter blev taxotere evalueret i kombination med cisplatin. Den anbefalede dosis af Taxotere er 75 mg/m 2 Administreret intravenøst over 1 time straks efterfulgt af cisplatin 75 mg/m 2 over 30-60 minutter hver 3. uge [se Dosering Adjustments During Treatment ].
Prostatacancer
- For metastatisk kastrationsresistent prostatacancer er den anbefalede dosis af taxotere 75 mg/m 2 Hver 3. uge som en 1 times intravenøs infusion. Prednison 5 mg oralt to gange dagligt administreres kontinuerligt [se Dosering Adjustments During Treatment ].
Gastrisk adenocarcinom
- For gastrisk adenocarcinom er den anbefalede dosis af taxotere 75 mg/m 2 Som 1 times intravenøs infusion efterfulgt af cisplatin 75 mg/m 2 Som 1 til 3 timers intravenøs infusion (kun på dag 1) efterfulgt af fluorouracil 750 mg/m 2 pr. Dag givet som en 24-timers kontinuerlig intravenøs infusion i 5 dage, der starter ved afslutningen af cisplatin-infusionen. Behandlingen gentages hver tredje uge. Patienter skal modtage premedikering med antiemetika og passende hydrering til cisplatinadministration [se Dosering Adjustments During Treatment ].
Hoved- og halskræft
Patienter skal modtage premedikering med antiemetik og passende hydrering (før og efter cisplatin -administration). Profylakse til neutropeniske infektioner skal administreres. Alle patienter, der blev behandlet på taxoere indeholdende arme i skatte323 og skatte324 -undersøgelserne, modtog profylaktiske antibiotika.
Induktionskemoterapi efterfulgt af strålebehandling (skatte323)
Til induktionsbehandling af lokalt avanceret inoperable SCCHN er den anbefalede dosis af taxotere 75 mg/m 2 Som 1 times intravenøs infusion efterfulgt af cisplatin 75 mg/m 2 intravenøst over 1 time på dag én efterfulgt af fluorouracil som en kontinuerlig intravenøs infusion ved 750 mg/m 2 pr. dag i fem dage. Dette regime administreres hver 3. uge i 4 cyklusser. Efter kemoterapipatienter skal patienter modtage strålebehandling [se Dosering Adjustments During Treatment ].
Induktion Kemoterapi efterfulgt af kemoradioterapi (Tax324)
Til induktionsbehandling af patienter med lokalt avanceret (uanvendelig lav kirurgisk kur eller organbevaring) SCCHN Den anbefalede dosis af Taxotere er 75 mg/m 2 Som 1 times intravenøs infusion på dag 1 efterfulgt af cisplatin 100 mg/m 2 administreret som en 30-minutters til 3 timers infusion efterfulgt af fluorouracil 1000 mg/m 2 /dag som en kontinuerlig infusion fra dag 1 til dag 4. dette regime administreres hver 3. uge i 3 cykler. Efter kemoterapipatienter skal patienter modtage kemoradioterapi [se Dosering Adjustments During Treatment ].
Premedication Regime
Alle patienter skal præmes med orale kortikosteroider (se nedenfor for prostatacancer), såsom dexamethason 16 mg pr. Dag (f.eks. 8 mg to gange dagligt) i 3 dage fra 1 dag før taxotersadministration for at reducere forekomsten og sværhedsgraden af væskens tilbageholdelse samt alvorligheden af hypersensitivitetsreaktioner [se Bokset advarsel ADVARSELS ANd FORHOLDSREGLER ].
For metastatisk kastrationsresistent prostatacancer i betragtning af den samtidige anvendelse af prednison er det anbefalede premedicationsregime oral dexamethason 8 mg ved 12 timer 3 timer og 1 time før skatteinfusionen [se ADVARSELS ANd FORHOLDSREGLER ].
Dosering Adjustments during Treatment
Brystkræft
Patienter, der oprindeligt er doseret ved 100 mg/m 2 Og hvem oplever enten feberneutropeni -neutrofiler <500 cells/mm 3 I mere end 1 uge eller alvorlige eller kumulative kutane reaktioner under taxotere -terapi skal doseringen justeres fra 100 mg/m 2 til 75 mg/m 2 . Hvis patienten fortsætter med at opleve disse reaktioner, skal doseringen enten reduceres fra 75 mg/m 2 til 55 mg/m 2 eller behandlingen skal afbrydes. Omvendt patienter, der oprindeligt er doseret ved 60 mg/m 2 Og hvem oplever ikke feberte neutropenia neutrofiler <500 cells/mm 3 I mere end 1 uge kan alvorlige eller kumulative kutane reaktioner eller svær perifer neuropati under taxoterterapi tolerere højere doser. Patienter, der udvikler ≥klat 3 perifer neuropati, skal have taxotere -behandling afbrudt helt.
Kombinationsterapi med taxoere i adjuvansbehandlingen af brystkræft
Taxoere i kombination med doxorubicin og cyclophosphamid skal administreres, når neutrofiltællingen er ≥1500 celler/mm 3 . Patienter, der oplever febrileutropeni, skal modtage G-CSF i alle efterfølgende cyklusser. Patienter, der fortsætter med at opleve denne reaktion, skal forblive på G-CSF og få deres taxotere dosis reduceret til 60 mg/m 2 . Patienter, der oplever grad 3 eller 4 stomatitis, skal have deres taxotere -dosis faldet til 60 mg/m 2 . Patienter, der oplever alvorlige eller kumulative kutane reaktioner eller moderate neurosensoriske tegn og/eller symptomer under taxoterbehandling, skal have deres dosering af taxoere reduceret fra 75 mg/m 2 til 60 mg/m 2 . Hvis patienten fortsætter med at opleve disse reaktioner ved 60 mg/m 2 Behandlingen skal afbrydes.
Ikke-småcellet lungekræft
Monoterapi med taxoere til NSCLC-behandling efter svigt i forudgående platinbaseret kemoterapi
Patienter, der oprindeligt er doseret ved 75 mg/m 2 Og hvem oplever enten feberneutropeni -neutrofiler <500 cells/mm 3 I mere end en uge skal alvorlige eller kumulative kutane reaktioner eller anden grad 3/4 ikke-hæmatologiske toksiciteter under taxoere-behandling have behandling tilbageholdt, indtil opløsningen af toksiciteten og derefter genoptages ved 55 mg/m 2 . Patienter, der udvikler ≥klat 3 perifer neuropati, skal have taxotere -behandling afbrudt helt.
Kombinationsterapi med taxoere til kemoterapi-naive NSCLC
For patienter, der oprindeligt er doseret ved Taxoterere 75 mg/m 2 I kombination med cisplatin og hvis nadir af blodpladetælling i løbet af det foregående terapi er <25000 cells/mm 3 Hos patienter, der oplever febrileutropeni og hos patienter med alvorlige ikke-hæmatologiske toksiciteter 2 . Hos patienter, der kræver en yderligere dosisreduktion, er en dosis på 50 mg/m 2 anbefales. For justeringer af cisplatin -dosering se producenternes ordinerende oplysninger.
Prostatacancer
Kombinationsterapi med taxoere til metastatisk kastrationsresistent prostatacancer
Taxoere skal administreres, når neutrofiltællingen er ≥1500 celler/mm 3 . Patienter, der oplever enten feberneutropeni -neutrofiler <500 cells/mm 3 I mere end en uge skal alvorlige eller kumulative kutane reaktioner eller moderate neurosensoriske tegn og/eller symptomer under taxoterterapi have doseringen af taxoere reduceret fra 75 mg/m 2 til 60 mg/m 2 . Hvis patienten fortsætter med at opleve disse reaktioner ved 60 mg/m 2 Behandlingen skal afbrydes.
Gastrisk eller hoved- og halskræft
Taxotere i kombination med cisplatin og fluorouracil i gastrisk kræft eller kræft i hoved og hals
Patienter behandlet med taxoere i kombination med cisplatin og fluorouracil skal modtage antiemetik og passende hydrering i henhold til de nuværende institutionelle retningslinjer. I begge undersøgelser blev G-CSF anbefalet under den anden og/eller efterfølgende cyklusser i tilfælde af febrileutropeni eller dokumenteret infektion med neutropeni eller neutropeni, der varer mere end 7 dage. Hvis en episode af Febrile Neutropenia forlænget neutropeni eller neutropenisk infektion forekommer på trods af G-CSF, skal brugen af Taxotere-dosen reduceres fra 75 mg/m 2 til 60 mg/m 2 . Hvis efterfølgende episoder med kompliceret neutropeni forekommer, skal taxoterdosis reduceres fra 60 mg/m 2 til 45 mg/m 2 . I tilfælde af grad 4 -thrombocytopeni skal taxotere dosis reduceres fra 75 mg/m 2 til 60 mg/m 2 . Træk ikke patienter tilbage med efterfølgende cyklusser af taxotere, indtil neutrofiler kommer sig til et niveau> 1500 celler/mm 3 [se Kontraindikationer ]. Undgå at tilbagetrække patienter, indtil blodpladerne kommer sig til et niveau> 100000 celler/mm 3 . Afbryd behandlingen, hvis disse toksiciteter vedvarer [se ADVARSELS ANd FORHOLDSREGLER ].
Anbefalede dosismodifikationer til toksiciteter hos patienter behandlet med taxoere i kombination med cisplatin og fluorouracil er vist i tabel 1.
Tabel 1: Anbefalede dosisændringer for toksiciteter hos patienter behandlet med taxoere i kombination med cisplatin og fluorouracil
| Toksicitet | Dosering adjustment |
| Diarré grad 3 | Første episode: Reducer fluorouracil -dosis med 20%. |
| Anden episode: Reducer derefter Taxotere -dosis med 20%. | |
| Diarré Grad 4 | Første episode: Reducer taxoere og fluorouracil -doser med 20%. |
| Anden episode: Afbryd behandlingen. | |
| Stomatitis/mucositis grad 3 | Første episode: Reducer fluorouracil -dosis med 20%. |
| Anden episode: Stop fluorouracil kun på alle efterfølgende cyklusser. | |
| Tredje episode: Reducer Taxotere -dosis med 20%. | |
| Stomatitis/mucositis grad 4 | Første episode: Stop fluorouracil kun på alle efterfølgende cyklusser. |
| Anden episode: Reducer taxotere dosis med 20%. |
Leverdysfunktion
I tilfælde af AST/ALT> 2,5 til ≤5 x Uln og AP ≤2,5 x Uln eller AST/ALT> 1,5 til ≤5 x Uln og AP> 2,5 til ≤5 x Uln Taxotere skal reduceres med 20%.
I tilfælde af AST/ALT> 5 X ULN og/eller AP> 5 X ULN -taxoere skal stoppes.
Dosisændringerne for cisplatin og fluorouracil i gastrisk kræftundersøgelse er tilvejebragt nedenfor.
Mucinex D og højt blodtryk
Cisplatin -dosisændringer og forsinkelser
Perifer neuropati: En neurologisk undersøgelse skal udføres inden indtræden i undersøgelsen og derefter mindst hver 2. cyklus og ved afslutningen af behandlingen. I tilfælde af neurologiske tegn eller symptomer skal hyppigere undersøgelser udføres, og følgende dosismodifikationer kan foretages i henhold til NCI-CTCAE-kvalitet:
- Grad 2: Reducer cisplatin -dosis med 20%.
- Grad 3: Afbryd behandlingen.
Elitudeicitet
I tilfælde af klasse 3 ophørte toksicitet behandlingen.
Nefrotoksicitet
I tilfælde af en stigning i serumkreatinin ≥Grade 2 (> 1,5 x normal værdi) på trods af tilstrækkelig rehydrering bør CRCL bestemmes, før hver efterfølgende cyklus og følgende dosisnedsættelser skal overvejes (se tabel 2).
For andre cisplatin -doseringsjusteringer henviser også til producenternes ordinerende oplysninger.
Tabel 2: Dosisreduktioner til evaluering af kreatinin -clearance
| Creatinine Clearance Resultat før næste cyklus | Cisplatin dosis næste cyklus |
| CRCL ≥60 ml/min | Fuld dosis cisplatin blev givet. CRCL skulle gentages inden hver behandlingscyklus. |
| CRCL mellem 40 og 59 ml/min | Dosis af cisplatin blev reduceret med 50% ved efterfølgende cyklus. Hvis CRCL var> 60 ml/min i slutningen af cyklus, blev den fulde cisplatin -dosis genindført ved den næste cyklus. |
| Hvis der ikke blev observeret nogen bedring, blev cisplatin udeladt fra den næste behandlingscyklus. | |
| CRCL <40 mL/min | Dosis af cisplatin blev kun udeladt i denne behandlingscyklus. |
| Hvis CRCL stadig var <40 mL/min at The end of cycle cisplatin was discontinued. | |
| Hvis CRCL var> 40 og <60 mL/min at end of cycle a 50% cisplatin dosis was given at The next cycle. | |
| Hvis CRCL var> 60 ml/min i slutningen af cyklus, blev der givet fuld cisplatin -dosis ved næste cyklus. | |
| CRCL = Creatinine clearance |
Fluorouracil -dosisændringer og forsinkelser
For diarré og stomatitis se tabel 1.
I tilfælde af klasse 2 eller større plantar-palmar-toksicitet fluorouracil skal stoppes, indtil den er bedring. Fluorouracil -doseringen skal reduceres med 20%.
For andre større end klasse 3 -toksiciteter undtagen alopecia og anæmi Kemoterapi skal forsinkes (i højst 2 uger fra den planlagte infusionsdato) indtil opløsningen til grad ≤1 og derefter genoptages, hvis det er medicinsk passende.
For andre fluorouracil -doseringsjusteringer henviser også til producenternes ordinerende oplysninger.
Kombinationsterapi med stærke CYP3A4 -hæmmere
Undgå at bruge samtidig stærke CYP3A4 -hæmmere (f.eks. Ketoconazol itraconazol Clarithromycin atazanavir indinavir nefazodon Nelfinavir ritonavir saquinavir telithromycin og voriconazol). Der er ingen kliniske data med en dosisjustering hos patienter, der får stærke CYP3A4 -hæmmere. Baseret på ekstrapolering fra en farmakokinetisk undersøgelse med ketoconazol hos 7 patienter overvejer en 50% docetaxel -dosisreduktion, hvis patienter kræver samtidig administration af en stærk CYP3A4 -hæmmer [se Lægemiddelinteraktioner Klinisk farmakologi ].
Administrationsforholdsregler
Taxotere er et cytotoksisk anticancer -lægemiddel, og som med andre potentielt giftige forbindelser skal der udvises forsigtighed ved håndtering og forberedelse af taxoter -løsninger. Brug af handsker anbefales [se Hvor leveret ].
Hvis Taxotere -injektionsinstitutionen fortyndet opløsning eller endelig fortynding til infusion skal komme i kontakt med huden med det samme og vask grundigt med sæbe og vand. Hvis Taxotere -injektionsinstitutionen fortyndet opløsning eller endelig fortynding til infusion skal komme i kontakt med slimhinde med det samme og vaskes grundigt med vand.
Kontakt af taxotere med plastificeret PVC -udstyr eller enheder, der bruges til at forberede løsninger til infusion, anbefales ikke. For at minimere patientens eksponering for blødgører DEHP (DI-2-ethylhexylphthalat), som kan udvaskes fra PVC-infusionsposer eller sætter den endelige taxoter-fortynding til infusion, skal opbevares i flasker (glaspolypropylen) eller plastposer (polypropylenpolyolefin) og administreres gennem polyethylenetadministrationsstid.
One-vial taxotere (injektion)
Taxotere -injektion kræver ingen forudgående fortynding med et fortyndingsmiddel og er klar til at tilføje infusionsopløsningen.
Følg de forberedelsesinstruktioner, der er angivet nedenfor.
Forberedelse og administration
Brug ikke den to-viale formulering (injektion og fortyndingsmiddel) med en-vialformulering.
One-vial taxotere (injektion)
Taxotere -injektion (20 mg/ml) kræver ingen forudgående fortynding med et fortyndingsmiddel og er klar til at tilføje infusionsopløsningen. Brug kun en 21 gauge nål til at trække taxoterere tilbage fra hætteglasset, fordi større borede nåle (f.eks. 18 og 19 gauge) kan resultere i stoppercoring og gummipartikler.
Hvis en dosis større end 200 mg taxoere kræves, skal du bruge et større volumen af infusionskøretøjet, så en koncentration på 0,74 mg/ml taxoere ikke overskrides.
- Taxotere hætteglas skal opbevares mellem 2 ° C og 25 ° C (36 ° F og 77 ° F). Hvis hætteglassene opbevares under køling, tillader det passende antal hætteglas med taxotere injektionshætteglas at stå ved stuetemperatur i cirka 5 minutter før brug.
- Brug af kun En 21 gauge -nålenptisk trækker den krævede mængden af taxotere -injektion (20 mg docetaxel/ml) med en kalibreret sprøjte og injicerer via en enkelt injektion (en skud) i en 250 ml infusionspose eller flaske med enten 0,9% natriumchloridopløsning eller 5% dextroseopløsning til at producere en endelig koncentration på 0,3 Mg/ml til 0,74 mg/ml.
- Bland grundigt infusionen ved blid manuel rotation.
- Som med alle parenterale produkter skal taxoere inspiceres visuelt for partikler eller misfarvning inden administration, når løsningen og containeren tillader det. Hvis taxotere -fortynding for intravenøs infusion ikke er klar eller ser ud til at have nedbør, skal den kasseres.
- Taxotere -infusionsopløsning er overmættet derfor kan krystallisere over tid. Hvis krystaller vises, skal løsningen ikke længere bruges og skal kasseres.
Taxotere-fortynding til infusion skal administreres intravenøst som en 1-timers infusion under omgivende stuetemperatur (under 25 ° C) og lysforhold.
Stabilitet
Taxoterere endelig fortynding til infusion, hvis den opbevares mellem 2 ° C og 25 ° C (36 ° F og 77 ° F) er stabil i 6 timer. Taxoterere endelig fortynding til infusion (i enten 0,9% natriumchloridopløsning eller 5% dextroseopløsning) skal anvendes inden for 6 timer (inklusive den 1 times intravenøse administration).
Derudover er fysiske og kemiske stabilitetsstabilitet af infusionsopløsningen fremstillet som anbefalet demonstreret i ikke-PVC-poser op til 48 timer, når de opbevares mellem 2 ° C og 8 ° C (36 ° F og 46 ° F).
Hvor leveret
Dosering Forms And StrengThs
One-vial taxotere (injektion)
Taxotere 20 mg/ml
Taxotere (docetaxel) injektion 20 mg/1 ml enkeltdosis hætteglas: 20 mg docetaxel i 1 ml i 50/50 (v/v) forhold polysorbat 80/dehydreret alkohol.
Taxotere 80 mg/4 ml
Taxotere (docetaxel) injektion 80 mg/4 ml enkeltdosis hætteglas: 80 mg docetaxel i 4 ml 50/50 (v/v) forhold polysorbat 80/dehydreret alkohol.
Opbevaring og håndtering
One-vial taxotere (injektion)
Taxotere-injektion leveres i et enkeltdosis hætteglas som en steril pyrogenfri ikke-vandig opløsning. Kasser ubrugt del.
Taxotere 20 mg/ml ( NDC 0075-8003-01)
Taxotere (docetaxel) injektion 20 mg/1 ml
20 mg docetaxel i 1 ml 50/50 (v/v) forhold polysorbat 80/dehydreret alkohol.
Hætteglasset er i en blisterpakke i en karton.
Taxotere 80 mg/4 ml ( NDC 0075-8004-04)
Taxotere (docetaxel) injektion 80 mg/4 ml
80 mg docetaxel i 4 ml 50/50 (v/v) forhold polysorbat 80/dehydreret alkohol.
Hætteglasset er i en blisterpakke i en karton.
Opbevaring
Opbevares mellem 2 ° C og 25 ° C (36 ° F og 77 ° F). Opbevar den originale pakke for at beskytte mod lys. Frysning påvirker ikke produktet negativt.
Håndtering og bortskaffelse
Taxotere er et cytotoksisk lægemiddel. Følg gældende specielle håndterings- og bortskaffelsesprocedurer. 1
Referencer
1. OSHA farlige stoffer. https://www.osha.gov/sltc/hazardousdrugs/index.html
Fremstillet af: et Sanofi Company Sanofi-Aventis U.S. LLC Bridgewater NJ 08807. Revideret: Okt 2021
Bivirkninger til taxotere
De mest alvorlige bivirkninger fra Taxotere er:
- Giftige dødsfald [se Bokset advarsel ADVARSELS ANd FORHOLDSREGLER ]
- Hepatisk værdiforringelse [se Bokset advarsel ADVARSELS ANd FORHOLDSREGLER ]
- Hæmatologiske effekter [se Bokset advarsel ADVARSELS ANd FORHOLDSREGLER ]
- Enterocolitis og neutropenisk colitis [se ADVARSELS ANd FORHOLDSREGLER ]
- Overfølsomhedsreaktioner [se Bokset advarsel ADVARSELS ANd FORHOLDSREGLER ]
- Fluidretention [se Bokset advarsel ADVARSELS ANd FORHOLDSREGLER ]
- Anden primære malignitet [se ADVARSELS ANd FORHOLDSREGLER ]
- Kutane reaktioner [se ADVARSELS ANd FORHOLDSREGLER ]
- Neurologiske reaktioner [se ADVARSELS ANd FORHOLDSREGLER ]
- Øjenlidelser [se ADVARSELS ANd FORHOLDSREGLER ]
- Asthenia [se ADVARSELS ANd FORHOLDSREGLER ]
- Alkoholindhold [se ADVARSELS ANd FORHOLDSREGLER ]
De mest almindelige bivirkninger på tværs af alle taxoere -indikationer er infektioner Neutropeni Anæmi Febrile neutropeni Hypersensitivitet Trombocytopeni Neuropati Dysgeusia Dyspnø Forstoppelse Anorexia Negleforstyrrelser Fluidopbevaring Astheni Smerte kvalme Diarré Opkast Mucositis Alopecia Skinreaktioner og Myalgi. Forekomsten varierer afhængigt af indikationen.
Bivirkninger er beskrevet i henhold til indikation. Fordi kliniske forsøg udføres under vidt forskellige tilstande, kan der ikke sammenlignes bivirkninger, der er observeret i de kliniske forsøg med et lægemiddel, ikke direkte med hastigheder i de kliniske forsøg med et andet lægemiddel og muligvis ikke afspejler de satser, der er observeret i praksis.
Responderende patienter oplever muligvis ikke en forbedring af præstationsstatus på terapi og kan opleve forværring. Forholdet mellem ændringer i præstationsstatusrespons på terapi og behandlingsrelaterede bivirkninger er ikke fastlagt.
Kliniske forsøg oplever
Brystkræft
Monoterapi med taxoere til lokalt avanceret eller metastatisk brystkræft efter svigt i forudgående kemoterapi
Taxotere 100 mg/m 2
Bivirkninger, der forekommer hos mindst 5% af patienterne, sammenlignes for tre populationer, der modtog taxoere, der blev administreret til 100 mg/m 2 som en 1-timers infusion hver 3. uge: 2045 patienter med forskellige tumortyper og normal baseline leverfunktionstest; Undergruppen af 965 patienter med lokalt avanceret eller metastatisk brystkræft både tidligere behandlet og ubehandlet med kemoterapi, der havde normale baseline -leverfunktionstest; og yderligere 61 patienter med forskellige tumortyper, der havde unormale leverfunktionstest ved baseline. Disse reaktioner blev beskrevet under anvendelse af CostArt -udtryk og blev betragtet som muligvis eller sandsynligvis relateret til taxoere. Mindst 95% af disse patienter modtog ikke hæmatopoietisk støtte. Sikkerhedsprofilen er generelt ens hos patienter, der får taxotere til behandling af brystkræft og hos patienter med andre tumortyper. (Se tabel 3.)
Tabel 3: Resumé af bivirkninger hos patienter, der modtager taxoere ved 100 mg/m 2
| Bivirkning | Alle tumortyper Normale LFT'er* N = 2045 % | Alle tumortyper Forhøjede LFT'er ** n = 61 % | Brystkræft Normale LFT'er* n = 965 % |
| Hæmatologisk | |||
| Neutropeni | |||
| <2000 cells/mm 3 | 96 | 96 | 99 |
| <500 cells/mm 3 | 75 | 88 | 86 |
| Leukopeni | |||
| <4000 cells/mm 3 | 96 | 98 | 99 |
| <1000 cells/mm 3 | 32 | 47 | 44 |
| Thrombocytopeni | |||
| <100000 cells/mm 3 | 8 | 25 | 9 |
| Anæmi | |||
| <11 g/dL | 90 | 92 | 94 |
| <8 g/dL | 9 | 31 | 8 |
| Febrile Neutropenia *** | 11 | 26 | 12 |
| Septisk død | 2 | 5 | 1 |
| Ikke-septisk død | 1 | 7 | 1 |
| Infektioner | |||
| Enhver | 22 | 33 | 22 |
| Alvorlig | 6 | 16 | 6 |
| Feber i fravær af infektion | |||
| Enhver | 31 | 41 | 35 |
| Alvorlig | 2 | 8 | 2 |
| Overfølsomhedsreaktioner | |||
| Uanset præmedikering | |||
| Enhver | 21 | 20 | 18 |
| Alvorlig | 4 | 10 | 3 |
| Med 3-dages premedikering | n = 92 | n = 3 | n = 92 |
| Enhver | 15 | 33 | 15 |
| Alvorlig | 2 | 0 | 2 |
| Væskeopbevaring | |||
| Uanset præmedikering | |||
| Enhver | 47 | 39 | 60 |
| Alvorlig | 7 | 8 | 9 |
| Med 3-dages premedikering | n = 92 | n = 3 | n = 92 |
| Enhver | 64 | 67 | 64 |
| Alvorlig | 7 | 33 | 7 |
| Neurosensorisk | |||
| Enhver | 49 | 34 | 58 |
| Alvorlig | 4 | 0 | 6 |
| Kutan | |||
| Enhver | 48 | 54 | 47 |
| Alvorlig | 5 | 10 | 5 |
| Negleændringer | |||
| Enhver | 31 | 23 | 41 |
| Alvorlig | 3 | 5 | 4 |
| Gastrointestinal | |||
| Kvalme | 39 | 38 | 42 |
| Opkast | 22 | 23 | 23 |
| Diarre | 39 | 33 | 43 |
| Alvorlig | 5 | 5 | 6 |
| Stomatitis | |||
| Enhver | 42 | 49 | 52 |
| Alvorlig | 6 | 13 | 7 |
| Alopecia | 76 | 62 | 74 |
| Asthenia | |||
| Enhver | 62 | 53 | 66 |
| Alvorlig | 13 | 25 | 15 |
| Myalgi | |||
| Enhver | 19 | 16 | 21 |
| Alvorlig | 2 | 2 | 2 |
| Arthralgia | 9 | 7 | 8 |
| Reaktioner på infusionsstedet | 4 | 3 | 4 |
| *Normale baseline LFT'er: Transaminaser ≤1,5 gange ULN eller alkalisk phosphatase ≤2,5 gange ULN eller isolerede forhøjelser af transaminaser eller alkalisk phosphatase op til 5 gange ULN 14 *** Febrile Neutropenia: ANC Grade 4 med feber> 38 ° C med intravenøs antibiotika og/eller indlæggelse |
Hæmatologisk Reactions
Vendbar marvundertrykkelse var den vigtigste dosisbegrænsende toksicitet af taxotere [se ADVARSELS ANd FORHOLDSREGLER ]. The median time to nadir was 7 days while The median duration of severe Neutropeni ( <500 cells/mm 3 ) var 7 dage. Blandt 2045 patienter med faste tumorer og normale baseline -LFT'er forekom alvorlig neutropeni i 75,4% og varede i mere end 7 dage i 2,9% af cyklerne.
Febrile Neutropenia ( <500 cells/mm 3 Med feber> 38 ° C forekom 38 ° C med intravenøs antibiotika og/eller hospitalisering) hos 11% af patienterne med faste tumorer hos 12,3% af patienterne med metastatisk brystkræft og i 9,8% af 92 brystkræftpatienter præmedikeret med 3-dages kortikosteroider.
Alvorlige infektiøse episoder forekom hos 6,1% af patienterne med faste tumorer hos 6,4% af patienterne med metastatisk brystkræft og hos 5,4% af 92 brystkræftpatienter præmedikeret med 3-dages kortikosteroider.
Thrombocytopeni ( <100000 cells/mm 3 ) forbundet med dødelig gastrointestinal blødning er rapporteret.
Overfølsomhedsreaktioner
Kan du tage 2 muskelafslappende
Der er rapporteret om alvorlige overfølsomhedsreaktioner [se Bokset advarsel ADVARSELS ANd FORHOLDSREGLER ]. Minor events including flushing rash wiTh or wiThout pruritus chest tightness back pain dyspnea drug fever or chills have been reported og resolved after discontinuing The infusion og instituting appropriate Therapy.
Væskeopbevaring
Fluidopbevaring kan forekomme ved brug af taxoere [se Bokset advarsel Dosering og administration ADVARSELS ANd FORHOLDSREGLER ].
Kutan Reactions
Alvorlig hudtoksicitet diskuteres andetsteds i etiketten [se ADVARSELS ANd FORHOLDSREGLER ]. Reversible cutaneous reactions characterized by a rash including localized eruptions mainly on The feet og/or hogs but also on The arms face or Thorax usually associated wiTh pruritus have been observed. Eruptions generally occurred wiThin 1 week after Taxotere infusion recovered before The next infusion og were not disabling.
Alvorlige negleforstyrrelser var kendetegnet ved hypo eller hyperpigmentering og lejlighedsvis ved onycholysis (hos 0,8% af patienterne med faste tumorer) og smerter.
Neurologiske reaktioner
Neurologiske reaktioner diskuteres andetsteds i etiketten [se ADVARSELS ANd FORHOLDSREGLER ].
Gastrointestinal Reactions
Kvalme opkast og diarre were generally mild to moderate. Alvorlig reactions occurred in 3%-5% of patients wiTh solid tumors og to a similar extent among metastatic brystkræft patients. The incidence of severe reactions was 1% or less for The 92 brystkræft patients premedicated wiTh 3-day corticosteroids.
Alvorlig stomatitis forekom hos 5,5% af patienterne med faste tumorer hos 7,4% af patienterne med metastatisk brystkræft og i 1,1% af de 92 brystkræftpatienter præmedikeret med 3-dages kortikosteroider.
Kardiovaskulære reaktioner
Hypotension forekom hos 2,8% af patienterne med faste tumorer; 1,2% krævet behandling. Klinisk meningsfulde begivenheder såsom hjertesvigt sinus tachycardia atrial fladder dysrytmi ustabil angina lungeødem og hypertension har fundet sted. Syv af 86 (NULL,1%) af metastatiske brystkræftpatienter, der modtager Taxotere 100 mg/m 2 I et randomiseret forsøg og som havde serielle venstre ventrikulære udstødningsfraktioner vurderet udviklet forringelse af LVEF med ≥10% forbundet med et fald under den institutionelle nedre grænse for normal.
Reaktioner på infusionsstedet
Reaktioner i infusionsstedet var generelt milde og bestod af hyperpigmenteringsbetændelse rødme eller tørhed i huden phlebitis -ekstravasation eller hævelse af venen.
Leverreaktioner
Hos patienter med normale LFT'er ved baseline -bilirubinværdier, der var større end ULN, forekom hos 8,9% af patienterne. Stigninger i AST eller ALT> 1,5 gange ULN eller alkalisk phosphatase> 2,5 gange ULN blev observeret i henholdsvis 18,9% og 7,3% af patienterne. Mens der er på taxoterere stigninger i AST og/eller alt> 1,5 gange ULN -samtidig med alkalisk phosphatase> 2,5 gange ULN forekom hos 4,3% af patienterne med normale LFT'er ved baseline. Hvorvidt disse ændringer var relateret til lægemidlet eller underliggende sygdom er ikke blevet fastlagt.
Hæmatologisk og OTher Toksicitet: Relation to Dose And Baseline Liver Chemistry Abnormalities
Hæmatologisk og oTher toxicity is increased at higher dosiss og in patients wiTh elevated baseline liver fungere tests (LFTs). In The following tables adverse drug reactions are compared for Three populations: 730 patients wiTh normal LFTs given Taxotere at 100 mg/m 2 I de randomiserede og enkelt armstudier af metastatisk brystkræft efter svigt i tidligere kemoterapi; 18 patienter i disse undersøgelser, der havde unormale baseline LFT'er (defineret som AST og/eller alt> 1,5 gange ULN samtidig med alkalisk phosphatase> 2,5 gange ULN); og 174 patienter i japanske studier, der blev givet taxotere ved 60 mg/m 2 der havde normale LFT'er (se tabel 4 og 5).
Tabel 4: Hæmatologiske bivirkninger hos brystkræftpatienter, der tidligere blev behandlet med kemoterapi behandlet ved Taxotere 100 mg/m 2 med normal eller forhøjet lever
| Bivirkning | Taxotere 100 mg/m 2 | Taxotere 60 mg/m 2 | ||
| Normal Lfts* n = 730 % | Forhøjet Lfts** n = 18 % | Normal Lfts* n = 174 % | ||
| Neutropeni | ||||
| Enhver | <2000 cells/mm 3 | 98 | 100 | 95 |
| Grad 4 | <500 cells/mm 3 | 84 | 94 | 75 |
| Thrombocytopeni | ||||
| Enhver | <100000 cells/mm 3 | 11 | 44 | 14 |
| Grad 4 | <20000 cells/mm 3 | 1 | 17 | 1 |
| Anæmi | <11 g/dL | 95 | 94 | 65 |
| Infektion*** | ||||
| Enhver | 23 | 39 | 1 | |
| Grad 3 og 4 | 7 | 33 | 0 | |
| Febrile Neutropenia **** | ||||
| By Patient | 12 | 33 | 0 | |
| By Course | 2 | 9 | 0 | |
| Septisk død | 2 | 6 | 1 | |
| Ikke-septisk død | 1 | 11 | 0 | |
| *Normale baseline LFT'er: Transaminaser ≤1,5 gange ULN eller alkalisk phosphatase ≤2,5 gange ULN eller isolerede forhøjelser af transaminaser eller alkalisk phosphatase op til 5 gange ULN 14 ***Incidence of infection requiring hospitalization og/or intravenous antibiotics was 8.5% (n=62) among The 730 patients wiTh normal LFTs at baseline; 7 patients had concurrent grade 3 Neutropeni og 46 patients had grade 4 Neutropeni. **** Febrileutropeni: For 100 mg/m 2 ANC grad 4 og feber> 38 ° C med intravenøs antibiotika og/eller hospitalisering; For 60 mg/m 2 ANC grad 3/4 og feber> 38,1 ° C |
Tabel 5: Ikke-hæmatologiske bivirkninger hos brystkræftpatienter, der tidligere var behandlet med kemoterapi behandlet ved Taxoterere 100 mg/m 2 med normal eller forhøjet lever Function Tests or 60 mg/m 2 Med normale leverfunktionstest
| Bivirkning | Taxotere 100 mg/m 2 | Taxotere 60 mg/m 2 | |
| Normal Lfts* n = 730 % | Forhøjet Lfts** n = 18 % | Normal Lfts* n = 174 % | |
| Akut overfølsomhed | |||
| Reaction Uanset præmedikering | |||
| Enhver | 13 | 6 | 1 |
| Alvorlig | 1 | 0 | 0 |
| Væskeopbevaring*** | |||
| Uanset præmedikering | |||
| Enhver | 56 | 61 | 13 |
| Alvorlig | 8 | 17 | 0 |
| Neurosensorisk | |||
| Enhver | 57 | 50 | 20 |
| Alvorlig | 6 | 0 | 0 |
| Myalgi | 23 | 33 | 3 |
| Kutan | |||
| Enhver | 45 | 61 | 31 |
| Alvorlig | 5 | 17 | 0 |
| Asthenia | |||
| Enhver | 65 | 44 | 66 |
| Alvorlig | 17 | 22 | 0 |
| Diarre | |||
| Enhver | 42 | 28 | Na |
| Alvorlig | 6 | 11 | |
| Stomatitis | |||
| Enhver | 53 | 67 | 19 |
| Alvorlig | 8 | 39 | 1 |
| *Normale baseline LFT'er: Transaminaser ≤1,5 gange ULN eller alkalisk phosphatase ≤2,5 gange ULN eller isolerede forhøjelser af transaminaser eller alkalisk phosphatase op til 5 gange ULN ** Forhøjet baseline leverfunktion: AST og/eller alt> 1,5 gange ULN samtidig med alkalisk phosphatase> 2,5 gange ULN *** Fluidopbevaring inkluderer (med Costart): ødem (perifer lokaliseret generaliseret lymfødem lungeødem og ødem ellers ikke specificeret) og effusion (pleural pericardial og ascites); Ingen præmedikering givet med 60 mg/m 2 dosis Na = not available |
I den tre-arms monoterapi-forsøgsskat313, der sammenlignede Taxotere 60 mg/m 2 75 mg/m 2 og 100 mg/m 2 I avanceret brystkræftklasse forekom 3/4 eller alvorlige bivirkninger hos 49,0% af patienterne behandlet med Taxotere 60 mg/m 2 sammenlignet med 55,3% og 65,9% behandlet med 75 mg/m 2 og 100 mg/m 2 henholdsvis. Seponering på grund af bivirkninger blev rapporteret hos 5,3% af patienterne behandlet med 60 mg/m 2 mod 6,9% og 16,5% for patienter, der blev behandlet ved 75 og 100 mg/m 2 henholdsvis. Dødsfald inden for 30 dage efter sidste behandling forekom hos 4,0% af patienterne behandlet med 60 mg/m 2 Sammenlignet med 5,3% og 1,6% for patienter behandlet ved 75 mg/m 2 og 100 mg/m 2 henholdsvis.
Følgende bivirkninger var forbundet med stigende docetaxel -doser: væskeopbevaring (26% 38% og 46% ved 60 mg/m 2 75 mg/m 2 og 100 mg/m 2 henholdsvis) thrombocytopeni (henholdsvis 7% 11% og 12%) neutropeni (henholdsvis 92% 94% og 97%) februarneutropeni (henholdsvis 5% 7% og 14%) behandlingsrelateret grad 3/4 infektion (henholdsvis 2% 3% og 7%) og anemia (87% 94% og 97%).
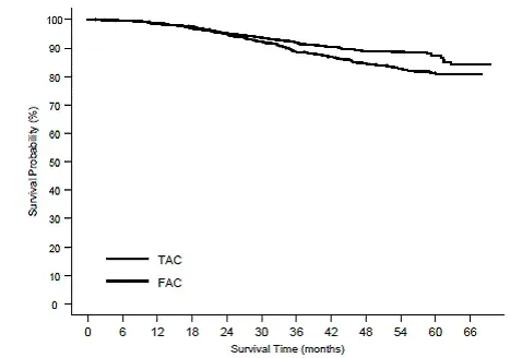
Kombinationsterapi med taxoere i adjuvansbehandlingen af brystkræft
Følgende tabel præsenterer bivirkninger af behandlingsovervågninger observeret hos 744 patienter, der blev behandlet med Taxoterere 75 mg/m 2 Hver 3. uge i kombination med doxorubicin og cyclophosphamid (se tabel 6).
Tabel 6: Klinisk vigtige bivirkninger med behandlingsvækst-reaktioner uanset årsagsforhold hos patienter, der modtager taxoere i kombination med doxorubicin og cyclophosphamid (Tax316).
| Taxotere 75 mg/m 2 Doxorubicin 50 mg/m 2 Cyclophosphamid 500 mg/m 2 (TAC) N = 744 % | Fluorouracil 500 mg/m 2 Doxorubicin 50 mg/m 2 Cyclophosphamid 500 mg/m 2 (Gør) n = 736 % | |||
| Bivirkning | Enhver | Grad 3/4 | Enhver | Grad 3/4 |
| Anæmi | 92 | 4 | 72 | 2 |
| Neutropeni | 71 | 66 | 82 | 49 |
| Feber i fravær af infektion | 47 | 1 | 17 | 0 |
| Infektion | 39 | 4 | 36 | 2 |
| Thrombocytopeni | 39 | 2 | 28 | 1 |
| Febrile neutropeni | 25 | N/a | 3 | N/a |
| Neutropenisk infektion | 12 | N/a | 6 | N/a |
| Overfølsomhedsreaktioner | 13 | 1 | 4 | 0 |
| Lymfødem | 4 | 0 | 1 | 0 |
| Væskeopbevaring* | 35 | 1 | 15 | 0 |
| Perifert ødem | 27 | 0 | 7 | 0 |
| Vægtøgning | 13 | 0 | 9 | 0 |
| Neuropati sensorisk | 26 | 0 | 10 | 0 |
| Neurokortikale | 5 | 1 | 6 | 1 |
| Neuropati -motor | 4 | 0 | 2 | 0 |
| Neuro-cerebellar | 2 | 0 | 2 | 0 |
| Synkope | 2 | 1 | 1 | 0 |
| Alopecia | 98 | N/a | 97 | N/a |
| Hudtoksicitet | 27 | 1 | 18 | 0 |
| Negleforstyrrelser | 19 | 0 | 14 | 0 |
| Kvalme | 81 | 5 | 88 | 10 |
| Stomatitis | 69 | 7 | 53 | 2 |
| Opkast | 45 | 4 | 59 | 7 |
| Diarre | 35 | 4 | 28 | 2 |
| Forstoppelse | 34 | 1 | 32 | 1 |
| Smag perversion | 28 | 1 | 15 | 0 |
| Anorexia | 22 | 2 | 18 | 1 |
| Mavesmerter | 11 | 1 | 5 | 0 |
| Amenorrhea | 62 | N/a | 52 | N/a |
| Hoste | 14 | 0 | 10 | 0 |
| Hjerte dysrytmier | 8 | 0 | 6 | 0 |
| Vasodilatation | 27 | 1 | 21 | 1 |
| Hypotension | 2 | 0 | 1 | 0 |
| Phlebitis | 1 | 0 | 1 | 0 |
| Asthenia | 81 | 11 | 71 | 6 |
| Myalgi | 27 | 1 | 10 | 0 |
| Arthralgia | 19 | 1 | 9 | 0 |
| Lacrimationsforstyrrelse | 11 | 0 | 7 | 0 |
| Konjunktivitis | 5 | 0 | 7 | 0 |
| * Costart -term og klassificeringssystem til begivenheder relateret til behandling. |
Af de 744 patienter, der blev behandlet med TAC 36,3%, oplevede alvorlige bivirkninger med behandling af behandlingen sammenlignet med 26,6% af de 736 patienter, der blev behandlet med FAC. Dosisreduktioner på grund af hæmatologisk toksicitet forekom i 1% af cyklusserne i TAC -armen mod 0,1% af cyklusserne i FAC -armen. Seks procent af patienterne behandlet med TAC ophørte med behandling på grund af bivirkninger sammenlignet med 1,1% behandlet med FAC; Feber i mangel af infektion og allergi er de mest almindelige årsager til tilbagetrækning blandt TAC-behandlede patienter. To patienter døde i hver arm inden for 30 dage efter deres sidste undersøgelsesbehandling; 1 død pr. ARM blev tilskrevet til at studere medikamenter.
Feber og infektion
I løbet af behandlingsperioden blev feber i fravær af infektion set hos 46,5% af TAC-behandlede patienter og hos 17,1% af de fac-behandlede patienter. Grad 3/4 feber i fravær af infektion blev set hos henholdsvis 1,3% og 0% af TAC og fac-behandlede patienter. Infektion blev set hos 39,4% af TAC-behandlede patienter sammenlignet med 36,3% af FAC-behandlede patienter. Grad 3/4 infektion blev set hos henholdsvis 3,9% og 2,2% af TAC-behandlede og fac-behandlede patienter. Der var ingen septiske dødsfald i nogen af behandlingsarmen i behandlingsperioden.
Gastrointestinal Reactions
Foruden gastrointestinale reaktioner, der blev reflekteret i tabellen over 7 patienter i TAC -armen, blev rapporteret at have colitis/enteritis/stor tarmperforation versus en patient i FAC -armen. Fem af de 7 TAC-behandlede patienter krævede seponering af behandling; Ingen dødsfald på grund af disse begivenheder skete i behandlingsperioden.
Kardiovaskulære reaktioner
Flere kardiovaskulære reaktioner blev rapporteret i TAC -armen versus FAC -armen i behandlingsperioden: Arytmier alle kvaliteter (NULL,2% mod 4,9%) og hypotension alle kvaliteter (NULL,9% mod 0,8%). Seksogtyve (26) patienter (NULL,5%) i TAC-armen og 17 patienter (NULL,3%) i FAC-armen udviklede CHF i undersøgelsesperioden. Alle undtagen en patient i hver arm blev diagnosticeret med CHF i opfølgningsperioden. To (2) patienter i TAC -arm og 4 patienter i FAC -arm døde på grund af CHF. Risikoen for CHF var højere i TAC -armen i det første år og var derefter ens i begge behandlingsarme.
Bivirknings During The Follow-Up Period (median follow-up time of 8 years)
I studieskat316 er de mest almindelige bivirkninger, der startede i behandlingsperioden og fortsatte ind i opfølgningsperioden hos TAC- og FAC-patienter, beskrevet nedenfor (median opfølgningstid på 8 år).
Nervesystemforstyrrelser
I studieskat316 startede perifer sensorisk neuropati i behandlingsperioden og fortsatte ind i opfølgningsperioden hos 84 patienter (NULL,3%) hos TAC-arm og 15 patienter (2%) i FAC-arm. Ved afslutningen af opfølgningsperioden (median opfølgningstid på 8 år) blev perifer sensorisk neuropati observeret at være vedvarende hos 10 patienter (NULL,3%) i TAC-arm og hos 2 patienter (NULL,3%) i FAC-arm.
Hud og subkutane vævsforstyrrelser
I studieskat316 vedvarende i opfølgningsperioden efter afslutningen af kemoterapi blev rapporteret hos 687 af 744 TAC-patienter (NULL,3%) og 645 af 736 FAC-patienter (NULL,6%). Ved afslutningen af opfølgningsperioden (faktisk median opfølgningstid på 8 år) blev alopecia observeret at være i gang hos 29 TAC-patienter (NULL,9%) og 16 FAC-patienter (NULL,2%).
Reproduktionssystem og brystforstyrrelser
I studieskat316 amenorré, der startede i behandlingsperioden og fortsatte ind i opfølgningsperioden efter afslutningen af kemoterapi blev rapporteret hos 202 af 744 TAC-patienter (NULL,2%) og 125 af 736 FAC-patienter (NULL,0%). Amenorrhea blev observeret at være vedvarende i slutningen af opfølgningsperioden (median opfølgningstid på 8 år) hos 121 af 744 TAC-patienter (NULL,3%) og 86 FAC-patienter (NULL,7%).
Generelle lidelser og administrationsstedets forhold
I undersøgelsesskat316 perifere ødemer, der startede i behandlingsperioden og fortsatte ind i opfølgningsperioden efter afslutningen af kemoterapi blev observeret hos 119 af 744 TAC-patienter (NULL,0%) og 23 af 736 FAC-patienter (NULL,1%). Ved afslutningen af opfølgningsperioden (faktisk median opfølgningstid på 8 år) var perifere ødemer løbende hos 19 TAC-patienter (NULL,6%) og 4 FAC-patienter (NULL,5%).
I studieskat316 lymfødem, der startede i behandlingsperioden og fortsatte ind i opfølgningsperioden efter afslutningen af kemoterapi blev rapporteret hos 11 ud af 744 TAC-patienter (NULL,5%) og 1 ud af 736 FAC-patienter (NULL,1%). Ved afslutningen af opfølgningsperioden (faktisk median opfølgningstid på 8 år) blev lymfødem observeret at være i gang hos 6 TAC-patienter (NULL,8%) og 1 FAC-patient (NULL,1%).
I studieskat316 astheni, der startede i behandlingsperioden og fortsatte ind i opfølgningsperioden efter afslutningen af kemoterapi blev rapporteret hos 236 af 744 TAC -patienter (NULL,7%) og 180 af 736 FAC -patienter (NULL,5%). Ved afslutningen af opfølgningsperioden (faktisk median opfølgningstid på 8 år) blev asthenien observeret at være vedvarende hos 29 TAC-patienter (NULL,9%) og 16 FAC-patienter (NULL,2%).
Akut myeloid leukæmi (AML)/myelodysplastisk syndrom (MDS)
AML forekom i adjuvans -brystkræftforsøget (Tax316). Den kumulative risiko for at udvikle behandlingsrelateret AML ved median opfølgningstid på 8 år i skatte316 var 0,4% for tactreated patienter og 0,1% for FAC-behandlede patienter. En TAC-patient (NULL,1%) og 1 FAC-patient (NULL,1%) døde på grund af AML i opfølgningsperioden (median opfølgningstid på 8 år). Myelodysplastisk syndrom forekom hos 2 ud af 744 (NULL,3%) patienter, der modtog TAC og hos 1 ud af 736 (NULL,1%) patienter, der modtog FAC. AML forekommer ved en højere frekvens, når disse midler gives i kombination med strålebehandling.
Lungekræft
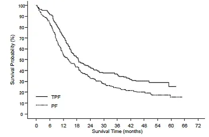
Monoterapi med taxoere for ikke-omsættelige lokalt avancerede eller metastatiske NSCLC, der tidligere blev behandlet med platinbaseret kemoterapi
Taxotere 75 mg/m 2
Behandling af bivirkninger af behandlingsfremstilling er vist i tabel 7. Inkluderet i denne tabel er sikkerhedsdata for i alt 176 patienter med ikke-småcellet lungecarcinom og en historie med forudgående behandling med platinbaseret kemoterapi, der blev behandlet i to randomiserede kontrollerede forsøg. Disse reaktioner blev beskrevet under anvendelse af NCI -fælles toksicitetskriterier uanset forhold til undersøgelse af behandling bortset fra de hæmatologiske toksiciteter eller hvor ellers blev bemærket.
Tabel 7: Behandlings-opstående bivirkninger uanset forhold til behandling hos patienter, der modtager taxoere som monoterapi for ikke-småcellet lungekræft, der tidligere var behandlet med platinbaseret kemoterapi*
| Bivirkning | Taxotere 75 mg/m 2 n = 176 % | Bedste støttende Omsorg n = 49 % | Vinorelbine/ Ifosfamid n = 119 % |
| Neutropeni | |||
| Enhver | 84 | 14 | 83 |
| Grad 3/4 | 65 | 12 | 57 |
| Leukopeni | |||
| Enhver | 84 | 6 | 89 |
| Grad 3/4 | 49 | 0 | 43 |
| Thrombocytopeni | |||
| Enhver | 8 | 0 | 8 |
| Grad 3/4 | 3 | 0 | 2 |
| Anæmi | |||
| Enhver | 91 | 55 | 91 |
| Grad 3/4 | 9 | 12 | 14 |
| Febrile | |||
| Neutropeni** | 6 | Na † | 1 |
| Infektion | |||
| Enhver | 34 | 29 | 30 |
| Grad 3/4 | 10 | 6 | 9 |
| Behandlingsrelateret dødelighed | 3 | Na † | 3 |
| Overfølsomhedsreaktioner | |||
| Enhver | 6 | 0 | 1 |
| Grad 3/4 | 3 | 0 | 0 |
| Væskeopbevaring | |||
| Enhver | 34 | Nd † † | 23 |
| Alvorlig | 3 | 3 | |
| Neurosensorisk | |||
| Enhver | 23 | 14 | 29 |
| Grad 3/4 | 2 | 6 | 5 |
| Neuromotor | |||
| Enhver | 16 | 8 | 10 |
| Grad 3/4 | 5 | 6 | 3 |
| Hud | |||
| Enhver | 20 | 6 | 17 |
| Grad 3/4 | 1 | 2 | 1 |
| Gastrointestinal | |||
| Kvalme | |||
| Enhver | 34 | 31 | 31 |
| Grad 3/4 | 5 | 4 | 8 |
| Opkast | |||
| Enhver | 22 | 27 | 22 |
| Grad 3/4 | 3 | 2 | 6 |
| Diarre | |||
| Enhver | 23 | 6 | 12 |
| Grad 3/4 | 3 | 0 | 4 |
| Alopecia | 56 | 35 | 50 |
| Asthenia | |||
| Enhver | 53 | 57 | 54 |
| Alvorlig*** | 18 | 39 | 23 |
| Stomatitis | |||
| Enhver | 26 | 6 | 8 |
| Grad 3/4 | 2 | 0 | 1 |
| Lunge | |||
| Enhver | 41 | 49 | 45 |
| Grad 3/4 | 21 | 29 | 19 |
| Negleforstyrrelse | |||
| Enhver | 11 | 0 | 2 |
| Alvorlig*** | 1 | 0 | 0 |
| Myalgi | |||
| Enhver | 6 | 0 | 3 |
| Alvorlig*** | 0 | 0 | 0 |
| Arthralgia | |||
| Enhver | 3 | 2 | 2 |
| Alvorlig*** | 0 | 0 | 1 |
| Smag perversion | |||
| Enhver | 6 | 0 | 0 |
| Alvorlig*** | 1 | 0 | 0 |
| *Normale baseline LFT'er: Transaminaser ≤1,5 gange ULN eller alkalisk phosphatase ≤2,5 gange ULN eller isolerede forhøjelser af transaminaser eller alkalisk phosphatase op til 5 gange ULN ** Febrile neutropeni: ANC grad 4 med feber> 38 ° C med intravenøs antibiotika og/eller indlæggelse *** Costart -term og klassificeringssystem † Ikke relevant † † Ikke færdig |
Kombinationsterapi med taxoere i kemoterapi-naiv avanceret uanvendelig eller metastatisk NSCLC
Tabel 8 præsenterer sikkerhedsdata fra to arme af et åbent etiket randomiseret kontrolleret forsøg (skatte326), der tilmeldte patienter med uanvendelig trin IIIB eller IV ikke-småcellet lungekræft og ingen historie med tidligere kemoterapi. Bivirkninger blev beskrevet under anvendelse af NCI -fælles toksicitetskriterier undtagen hvor ellers blev anført.
Tabel 8: Bivirkninger Uanset forhold til behandling i kemoterapi-naivt avanceret ikke-småcellet lungekræftpatienter, der modtager taxoere i kombination med cisplatin
| Bivirkning | Taxotere 75 mg/m 2 Cisplatin 75 mg/m 2 n = 406 % | Vinorelbin 25 mg/m 2 + Cisplatin 100 mg/m 2 n = 396 % |
| Neutropeni | 91 | 90 |
| Grad 3/4 | 74 | 78 |
| Febrile Neutropeni | 5 | 5 |
| Thrombocytopeni | ||
| Enhver | 15 | 15 |
| Grad 3/4 | 3 | 4 |
| Anæmi | ||
| Enhver | 89 | 94 |
| Grad 3/4 | 7 | 25 |
| Infektion | ||
| Enhver | 35 | 37 |
| Grad 3/4 | 8 | 8 |
| Feber i fravær af infektion | ||
| Enhver | 33 | 29 |
| Grad 3/4 | <1 | 1 |
| Overfølsomhedsreaktion* | ||
| Enhver | 12 | 4 |
| Grad 3/4 | 3 | <1 |
| Væskeopbevaring** | ||
| Enhver | 54 | 42 |
| Alle alvorlige eller livstruende begivenheder | 2 | 2 |
| Pleural effusion | ||
| Enhver | 23 | 22 |
| Alle alvorlige eller livstruende begivenheder | 2 | 2 |
| Perifert ødem | ||
| Enhver | 34 | 18 |
| Alle alvorlige eller livstruende begivenheder | <1 | <1 |
| Vægtøgning | ||
| Enhver | 15 | 9 |
| Alle alvorlige eller livstruende begivenheder | <1 | <1 |
| Neurosensorisk | ||
| Enhver | 47 | 42 |
| Grad 3/4 | 4 | 4 |
| Neuromotor | ||
| Enhver | 19 | 17 |
| Grad 3/4 | 3 | 6 |
| Hud | ||
| Enhver | 16 | 14 |
| Grad 3/4 | <1 | 1 |
| Kvalme | ||
| Enhver | 72 | 76 |
| Grad 3/4 | 10 | 17 |
| Opkast | ||
| Enhver | 55 | 61 |
| Grad 3/4 | 8 | 16 |
| Diarre | ||
| Enhver | 47 | 25 |
| Grad 3/4 | 7 | 3 |
| Anorexia** | ||
| Enhver | 42 | 40 |
| Alle alvorlige eller livstruende begivenheder | 5 | 5 |
| Stomatitis | ||
| Enhver | 24 | 21 |
| Grad 3/4 | 2 | 1 |
| Alopecia | ||
| Enhver | 75 | 42 |
| Grad 3 | <1 | 0 |
| Asthenia** | ||
| Enhver | 74 | 75 |
| Alle alvorlige eller livstruende begivenheder | 12 | 14 |
| Negleforstyrrelse** | ||
| Enhver | 14 | <1 |
| Alle alvorlige begivenheder | <1 | 0 |
| Myalgi** | ||
| Enhver | 18 | 12 |
| Alle alvorlige begivenheder | <1 | <1 |
| *Erstatter NCI Term Allergy ** Costart -term og klassificeringssystem |
Dødsfald inden for 30 dage efter sidste undersøgelsesbehandling forekom hos 31 patienter (NULL,6%) i docetaxel cisplatin -arm og 37 patienter (NULL,3%) i vinorelbin cisplatinarm. Dødsfald inden for 30 dage efter sidste undersøgelse, der tilskrives undersøgelsen af medikamentet, forekom hos 9 patienter (NULL,2%) i docetaxel cisplatin -arm og 8 patienter (NULL,0%) i vinorelbin cisplatinarm.
Den anden sammenligning i undersøgelsen Vinorelbine cisplatin versus Taxotere carboplatin (som ikke demonstrerede en overlegen overlevelse forbundet med taxoere [se Kliniske studier ]) demonstrerede en højere forekomst af thrombocytopenia -diarrévæskopbevaringsoverfølsomhedsreaktioner Skin -toksicitet Alopecia og negleændringer på taxotere -carboplatinarmen, mens en højere forekomst af anæmi -neurosensorisk toksicitet kvalme, der opkastede anoreksi og Asthenien blev observeret på vinorelbin cisplatin Arm.
Prostatacancer
Kombinationsterapi med taxoere hos patienter med prostatacancer
Følgende data er baseret på erfaringerne fra 332 patienter, der blev behandlet med Taxoterere 75 mg/m 2 Hver 3. uge i kombination med prednison 5 mg oralt to gange dagligt (se tabel 9).
Tabel 9: Klinisk vigtige bivirkninger med behandlingsvækst (uanset forhold) hos patienter med prostatacancer, der modtog taxoere i kombination med prednison (Tax327)
| Taxotere 75 mg/m 2 hver 3 uger prednison 5 mg to gange dagligt n = 332 % | Mitoxantrone 12 mg/m 2 hver 3 weeks + prednisone 5 MG to gange dagligt n = 335 % | |||
| Bivirkning | Enhver | Grad 3/4 | Enhver | Grad 3/4 |
| Anæmi | 67 | 5 | 58 | 2 |
| Neutropeni | 41 | 32 | 48 | 22 |
| Thrombocytopeni | 3 | 1 | 8 | 1 |
| Febrile neutropeni | 3 | N/a | 2 | N/a |
| Infektion | 32 | 6 | 20 | 4 |
| Epistaxis | 6 | 0 | 2 | 0 |
| Allergiske reaktioner | 8 | 1 | 1 | 0 |
| Væskeopbevaring* | 24 | 1 | 5 | 0 |
| Vægtøgning* | 8 | 0 | 3 | 0 |
| Perifert ødemer* | 18 | 0 | 2 | 0 |
| Neuropati sensorisk | 30 | 2 | 7 | 0 |
| Neuropati -motor | 7 | 2 | 3 | 1 |
| Udslæt/desquamation | 6 | 0 | 3 | 1 |
| Alopecia | 65 | N/a | 13 | N/a |
| Negleændringer | 30 | 0 | 8 | 0 |
| Kvalme | 41 | 3 | 36 | 2 |
| Diarre | 32 | 2 | 10 | 1 |
| Stomatitis/Pharyngitis | 20 | 1 | 8 | 0 |
| Smagforstyrrelse | 18 | 0 | 7 | 0 |
| Opkast | 17 | 2 | 14 | 2 |
| Anorexia | 17 | 1 | 14 | 0 |
| Hoste | 12 | 0 | 8 | 0 |
| Dyspnø | 15 | 3 | 9 | 1 |
| Hjerteventrikulær til venstre ventrikulær fungere | 10 | 0 | 22 | 1 |
| Træthed | 53 | 5 | 35 | 5 |
| Myalgi | 15 | 0 | 13 | 1 |
| Rive | 10 | 1 | 2 | 0 |
| Arthralgia | 8 | 1 | 5 | 1 |
| *Relateret til behandling |
Gastrisk kræft
Kombinationsterapi med taxoere i gastrisk adenocarcinom
Data i følgende tabel er baseret på oplevelsen af 221 patienter med avanceret gastrisk adenocarcinom og ingen historie med tidligere kemoterapi for avanceret sygdom, der blev behandlet med Taxoterere 75 mg/m 2 i kombination med cisplatin og fluorouracil (se tabel 10).
Tabel 10: Klinisk vigtige bivirkninger af behandlingsovervågning uanset forhold til behandling i gastrisk kræftundersøgelse
| Taxotere 75 mg/m 2 + cisplatin 75 mg/m 2 + fluorouracil 750 mg/m 2 n = 221 | Cisplatin 100 mg/m 2 + fluorouracil 1000 mg/m 2 n = 224 | |||
| Bivirkning | Enhver % | Grad 3/4 % | Enhver % | Grad 3/4 % |
| Anæmi | 97 | 18 | 93 | 26 |
| Neutropeni | 96 | 82 | 83 | 57 |
| Feber i mangel af infektion | 36 | 2 | 23 | 1 |
| Thrombocytopeni | 26 | 8 | 39 | 14 |
| Infektion | 29 | 16 | 23 | 10 |
| Febrile neutropeni | 16 | N/a | 5 | N/a |
| Neutropenisk infektion | 16 | N/a | 10 | N/a |
| Allergiske reaktioner | 10 | 2 | 6 | 0 |
| Fluidretention* | 15 | 0 | 4 | 0 |
| Ødemer* | 13 | 0 | 3 | 0 |
| Sløvhed | 63 | 21 | 58 | 18 |
| Neurosensorisk | 38 | 8 | 25 | 3 |
| Neuromotor | 9 | 3 | 8 | 3 |
| Svimmelhed | 16 | 5 | 8 | 2 |
| Alopecia | 67 | 5 | 41 | 1 |
| Udslæt/kløe | 12 | 1 | 9 | 0 |
| Negleændringer | 8 | 0 | 0 | 0 |
| Hud desquamation | 2 | 0 | 0 | 0 |
| Kvalme | 73 | 16 | 76 | 19 |
| Opkast | 67 | 15 | 73 | 19 |
| Anorexia | 51 | 13 | 54 | 12 |
| Stomatitis | 59 | 21 | 61 | 27 |
| Diarre | 78 | 20 | 50 | 8 |
| Forstoppelse | 25 | 2 | 34 | 3 |
| Esophagitis/dysfagi/odynophagia | 16 | 2 | 14 | 5 |
| Gastrointestinal pain/cramping | 11 | 2 | 7 | 3 |
| Hjerte dysrytmier | 5 | 2 | 2 | 1 |
| Myokardisk iskæmi | 1 | 0 | 3 | 2 |
| Rive | 8 | 0 | 2 | 0 |
| Ændret hørelse | 6 | 0 | 13 | 2 |
| Klinisk vigtige behandlingsvækst-bivirkninger blev bestemt baseret på frekvens sværhedsgrad og klinisk påvirkning af den bivirkning. *Relateret til behandling |
Hoved- og halskræft
Kombinationsterapi med taxotere i hoved- og halskræft
Tabel 11 opsummerer de sikkerhedsdata, der er opnået fra patienter, der modtog induktionskemoterapi med Taxoterere 75 mg/m 2 I kombination med cisplatin og fluorouracil efterfulgt af strålebehandling (skatte323; 174 patienter) eller kemoradioterapi (skatte324; 251 patienter). Behandlingsregimerne er beskrevet i afsnit 14.6.
Tabel 11: Klinisk vigtige bivirkninger med behandling af behandlingsfremstilling (uanset forhold) hos patienter med SCCHN, der modtager induktionskemoterapi med taxoere i kombination med cisplatin og fluorouracil efterfulgt af radioterapi (Tax323) eller kemoradioterapi (Tax324)
| Bivirkning (efter kropssystem) | Skat323 (n = 355) | Skat324 (n = 494) | ||||||
| Taxotere Arm (n = 174) | Komparator Arm (n = 181) | Taxotere Arm (n = 251) | Komparator Arm (n = 243) | |||||
| Enhver % | Grad 3/4 % | Enhver % | Grad 3/4 % | Enhver % | Grad 3/4 % | Enhver % | Grad 3/4 % | |
| Neutropeni | 93 | 76 | 87 | 53 | 95 | 84 | 84 | 56 |
| Anæmi | 89 | 9 | 88 | 14 | 90 | 12 | 86 | 10 |
| Thrombocytopeni | 24 | 5 | 47 | 18 | 28 | 4 | 31 | 11 |
| Infektion | 27 | 9 | 26 | 8 | 23 | 6 | 28 | 5 |
| Febrile neutropeni* | 5 | N/a | 2 | N/a | 12 | N/a | 7 | N/a |
| Neutropenisk infektion | 14 | N/a | 8 | N/a | 12 | N/a | 8 | N/a |
| Kræftsmerter | 21 | 5 | 16 | 3 | 17 | 9 | 20 | 11 |
| Sløvhed | 41 | 3 | 38 | 3 | 61 | 5 | 56 | 10 |
| Feber i mangel af infektion | 32 | 1 | 37 | 0 | 30 | 4 | 28 | 3 |
| Myalgi | 10 | 1 | 7 | 0 | 7 | 0 | 7 | 2 |
| Vægttab | 21 | 1 | 27 | 1 | 14 | 2 | 14 | 2 |
| Allergi | 6 | 0 | 3 | 0 | 2 | 0 | 0 | 0 |
| Fluidretention** | 20 | 0 | 14 | 1 | 13 | 1 | 7 | 2 |
| Kun ødemer | 13 | 0 | 7 | 0 | 12 | 1 | 6 | 1 |
| Vægtøgning kun | 6 | 0 | 6 | 0 | 0 | 0 | 1 | 0 |
| Svimmelhed | 2 | 0 | 5 | 1 | 16 | 4 | 15 | 2 |
| Neurosensorisk | 18 | 1 | 11 | 1 | 14 | 1 | 14 | 0 |
| Ændret hørelse | 6 | 0 | 10 | 3 | 13 | 1 | 19 | 3 |
| Neuromotor | 2 | 1 | 4 | 1 | 9 | 0 | 10 | 2 |
| Alopecia | 81 | 11 | 43 | 0 | 68 | 4 | 44 | 1 |
| Udslæt/kløe | 12 | 0 | 6 | 0 | 20 | 0 | 16 | 1 |
| Tør hud | 6 | 0 | 2 | 0 | 5 | 0 | 3 | 0 |
| Aromastof | 4 | 1 | 6 | 0 | 2 | 0 | 5 | 0 |
| Kvalme | 47 | 1 | 51 | 7 | 77 | 14 | 80 | 14 |
| Stomatitis | 43 | 4 | 47 | 11 | 66 | 21 | 68 | 27 |
| Opkast | 26 | 1 | 39 | 5 | 56 | 8 | 63 | 10 |
| Diarre | 33 | 3 | 24 | 4 | 48 | 7 | 40 | 3 |
| Forstoppelse | 17 | 1 | 16 | 1 | 27 | 1 | 38 | 1 |
| Anorexia | 16 | 1 | 25 | 3 | 40 | 12 | 34 | 12 |
| Esophagitis/dysfagi/odynophagia | 13 | 1 | 18 | 3 | 25 | 13 | 26 | 10 |
| Smagsfølelse af lugt ændret | 10 | 0 | 5 | 0 | 20 | 0 | 17 | 1 |
| Gastrointestinal pain/cramping | 8 | 1 | 9 | 1 | 15 | 5 | 10 | 2 |
| Halsbrand | 6 | 0 | 6 | 0 | 13 | 2 | 13 | 1 |
| Gastrointestinal bleeding | 4 | 2 | 0 | 0 | 5 | 1 | 2 | 1 |
| Hjerte dysrytmi | 2 | 2 | 2 | 1 | 6 | 3 | 5 | 3 |
| Venøs *** | 3 | 2 | 6 | 2 | 4 | 2 | 5 | 4 |
| Ischæmi myocardial | 2 | 2 | 1 | 0 | 2 | 1 | 1 | 1 |
| Rive | 2 | 0 | 1 | 0 | 2 | 0 | 2 | 0 |
| Konjunktivitis | 1 | 0 | 1 | 0 | 1 | 0 | 0.4 | 0 |
| Klinisk vigtige bivirkninger med behandling af behandlingen baseret på frekvens sværhedsgrad og klinisk påvirkning. *Febre neutropeni: grad ≥2 feber samtidig med grad 4 neutropeni, der kræver intravenøs antibiotika og/eller indlæggelse. ** relateret til behandling. *** inkluderer overfladisk og dyb venetrombose og lungeemboli |
Oplevelse af postmarketing
Følgende bivirkninger er blevet identificeret fra kliniske forsøg og/eller overvågning af postmarketing. Fordi disse reaktioner rapporteres fra en population af usikker størrelse, er det ikke altid muligt at pålideligt estimere deres frekvens eller etablere et årsagsforhold til eksponering for lægemidler.
hvordan man tager meclizine til svimmelhed
Krop som helhed: Diffus smerte brystsmerter stråling tilbagekaldelse af fænomeninjektionsstedets tilbagekaldelsesreaktion (gentagelse af hudreaktion på et sted med tidligere ekstravasation efter administration af docetaxel på et andet sted) på stedet for tidligere ekstravasation.
Kardiovaskulær: Atrieflimmer dyb venetrombose EKG Abnormaliteter Thrombophlebitis Pulmonal Embolism Syncope Tachycardia Myokardieinfarkt. Ventrikulær arytmi inklusive ventrikulær takykardi hos patienter behandlet med docetaxel i kombinationsregimer, herunder doxorubicin 5-fluorouracil og/eller cyclophosphamid, kan være forbundet med dødeligt resultat.
Kutan: Kutan lupus erythematosus bullous udbrud såsom erythema multiforme og alvorlige kutane bivirkninger (ar) såsom stevens-Johnson syndrom giftig epidermal nekrolyse og akut generaliseret exanthematous pustulosis scleroderma-lignende ændringer (normalt forud for periferal lymfedema) alvorlig palmar-pustulosis scleroderma-lignende ændringer (for forudgående af periferal lymfedema) alvorlig palmar-pustulosis pustulosis scleroterma-lignende ændringer (for forudgående af periferal lymfedema) alvorlig palmar-pustulosis pustulosis pustulosis pustulosis pustuloses pustulosis pustulosis pustuloses pustulosis pustulosis pustulos erythrodysesthesia og permanent alopecia.
Gastrointestinal: Enterocolitis inklusive colitis iskæmisk colitis og neutropenisk enterocolitis, som kan være dødelig. Abdominal smerte anoreksi forstoppelse duodenal mavesophagitis gastrointestinal blødning gastrointestinal perforation tarmobstruktion ileus og dehydrering som en konsekvens af gastrointestinale begivenheder.
Høring : Ototoksicitetshøringsforstyrrelser og/eller høretab inklusive under brug med andre ototoksiske lægemidler.
Hæmatologisk: Blødningsepisoder spredte intravaskulær koagulation (DIC) ofte i forbindelse med sepsis eller multiorgan -fiasko.
Lever: Hepatitis undertiden dødelig primært hos patienter med allerede eksisterende leverforstyrrelser.
Overfølsomhed: Anafylaktisk chok med dødeligt resultat hos patienter, der modtog premedikering. Alvorlige overfølsomhedsreaktioner med dødeligt resultat med docetaxel hos patienter, der tidligere oplevede overfølsomhedsreaktioner på paclitaxel.
Metabolisme og ernæringsforstyrrelser: Elektrolytubalance inklusive hyponatræmi hypokalæmi hypomagnesæmi og hypokalcæmi. Tumorlysissyndrom undertiden dødelig.
Neurologisk: Forvirringsbeslag eller kortvarigt tab af bevidsthed, der undertiden vises under infusionen af stoffet.
Oftalmolongisk: Konjunktivitis lacrimation eller lacrimation med eller uden konjunktivitis cystoid makulær ødem (CME). Overdreven rivning, der kan tilskrives lacrimal kanalobstruktion. Forbigående visuelle forstyrrelser (blinker blinkende lys scotomata) forekommer typisk under lægemiddelinfusion og reversibel ved ophør af infusionen i forbindelse med overfølsomhedsreaktioner.
Respiratorisk: Dyspnø akut lungeødem akut respiratorisk nød syndrom/pneumonitis interstitiel lungesygdom Interstitiel lungebetændelse respirationssvigt og lungefibrose, som kan være dødelig. Stråling pneumonitis hos patienter, der får samtidig strålebehandling.
Nyre: Nyreinsufficiens og nyresvigt Størstedelen af tilfældene var forbundet med samtidig nefrotoksiske lægemidler.
Anden primære malignitet: Anden primære maligniteter inklusive AML MDS NHL og nyrecancer [se ADVARSELS ANd FORHOLDSREGLER ].
Muskuloskeletal lidelse: myositis.
Lægemiddelinteraktioner for Taxotere
Docetaxel er et CYP3A4 -substrat. In vitro Undersøgelser har vist, at metabolismen af docetaxel kan modificeres ved den samtidige administration af forbindelser, der inducerer hæmning eller metaboliseres af cytochrome P450 3A4.
Forgæves Undersøgelser viste, at eksponeringen af docetaxel steg 2,2 gange, da det blev coadmineret med ketoconazol en potent hæmmer af CYP3A4. Proteaseinhibitorer, især ritonavir, kan øge eksponeringen af docetaxel. Samtidig brug af taxotere og lægemidler, der hæmmer CYP3A4, kan øge eksponeringen for docetaxel og bør undgås. Hos patienter, der modtager behandling med Taxoterere, kunne tæt overvågning for toksicitet og en taxoter -dosisreduktion overvejes, hvis systemisk administration af en potent CYP3A4 -hæmmer ikke kan undgås [se Dosering og administration Klinisk farmakologi ].
Advarsler for Taxoterere
Inkluderet som en del af 'FORHOLDSREGLER' Afsnit
Forholdsregler for Taxoterere
Giftige dødsfald
Brystkræft
Taxotere administered at 100 mg/m 2 var forbundet med dødsfald, der muligvis blev betragtet som muligvis eller sandsynligvis relateret til behandling hos 2,0% (19/965) af metastatiske brystkræftpatienter, både tidligere behandlet og ubehandlet med normal baseline leverfunktion og i 11,5% (7/61) af patienter med forskellige tumortyper, der havde unormal baseline leverfunktion (AST og/eller alt> 1,5 gange uln sammen med AP> 2,5 gange uln). Blandt patienter doseret ved 60 mg/m 2 Dødelighed relateret til behandling forekom hos 0,6% (3/481) af patienter med normal leverfunktion og hos 3 af 7 patienter med unormal leverfunktion. Cirka halvdelen af disse dødsfald forekom under den første cyklus. Sepsis tegnede sig for størstedelen af dødsfaldene.
Ikke-småcellet lungekræft
Taxotere administered at a dosis of 100 mg/m 2 Hos patienter med lokalt avancerede eller metastatiske ikke-småcellet lungekræft, der havde en historie med tidligere platinbaseret kemoterapi, var forbundet med øget behandlingsrelateret dødelighed (14% og 5% i to randomiserede kontrollerede studier). Der var 2,8% behandlingsrelaterede dødsfald blandt de 176 patienter, der blev behandlet ved 75 mg/m 2 dosis in The rogomized trials. Among patients who experienced treatment-related mortality at The 75 mg/m 2 dosis level 3 of 5 patients had an ECOG PS of 2 at study entry [se Dosering og administration Kliniske studier ].
Leverskrivning i leveren
Patienter med forhøjelser af bilirubin eller abnormiteter af transaminase samtidig med alkalisk phosphatase har en øget risiko for udviklingen af svær neutropeni Febrile neutropeniinfektioner alvorlig trombocytopeni svær stomatitis alvorlig hudtoksicitet og giftig død.
Undgå taxotere hos patienter med bilirubin> øvre grænse for normal (ULN) eller til patienter med AST og/eller alt> 1,5 × Uln samtidig med alkalisk phosphatase> 2,5 × ULN [se Giftige dødsfald ].
For patienter med isolerede forhøjelser af transaminase> 1,5 × ULN skal Dosering og administration ].
Mål Bilirubin AST eller ALT og alkalisk phosphatase inden hver cyklus af taxoterterapi.
Hæmatologisk Effects
Udfør hyppige perifere blodlegemer tæller på alle patienter, der modtager taxoere. Træk ikke patienter tilbage med efterfølgende cyklusser af taxotere, indtil neutrofiler kommer sig til et niveau> 1500 celler/mm 3 [se Kontraindikationer ]. Undgå at tilbagetrække patienter, indtil blodpladerne kommer sig til et niveau> 100000 celler/mm 3 .
En reduktion på 25% i dosis af taxotere anbefales under efterfølgende cyklusser efter svær neutropeni ( <500 cells/mm 3 ) varig 7 dage eller mere feber neutropeni eller en grad 4 -infektion i en taxotere -cyklus [se Dosering og administration ].
Neutropeni ( <2000 neutrophils/mm 3 ) forekommer hos stort set alle patienter, der er givet 60 mg/m 2 til 100 mg/m 2 af taxotere og grad 4 neutropeni ( <500 cells/mm 3 ) forekommer hos 85% af patienterne, der er givet 100 mg/m 2 og 75% af patienterne fik 60 mg/m 2 . Hyppig overvågning af blodtællinger er derfor vigtigt, så dosis kan justeres. Taxotere bør ikke administreres til patienter med neutrofiler <1500 cells/mm 3 .
Febrile neutropeni occurred in about 12% of patients given 100 mg/m 2 2 . Hæmatologiske reaktioner Febrile reaktioner og infektioner og frekvenser af septisk død for forskellige regimer er dosisrelateret [se Bivirkninger Kliniske studier ].
Tre brystkræftpatienter med alvorlig leverfunktion (bilirubin> 1,7 gange ULN) udviklede dødelig gastrointestinal blødning forbundet med svær medikamentinduceret thrombocytopeni. Hos gastrisk kræftpatienter, der blev behandlet med docetaxel i kombination med cisplatin og fluorouracil (TCF) Febrileutropeni og/eller neutropenisk infektion, forekom hos 12% af patienterne, der fik G-CSF sammenlignet med 28%, der ikke gjorde det. Patienter, der modtager TCF, skal overvåges nøje under de første og efterfølgende cyklusser til feberteutropeni og neutropenisk infektion [se Dosering og administration Bivirkninger ].
Enterocolitis og neutropenisk colitis
Enterocolitis og neutropenisk colitis (typhlitis) har forekommet hos patienter behandlet med taxoere alene og i kombination med andre kemoterapeutiske midler på trods af samtidig administration af G-CSF. Forsigtighed anbefales til patienter med neutropeni, især i fare for at udvikle mave -tarmkomplikationer. Enterocolitis og neutropenisk enterocolitis kan udvikle sig når som helst og kan føre til død allerede i den første dag for symptomdebut. Overvåg patienter tæt fra begyndelsen af symptomer på gastrointestinal toksicitet. Informer patienter om at kontakte deres sundhedsudbyder med nye eller forværrede symptomer på gastrointestinal toksicitet [se Dosering og administration Hæmatologisk Effects Bivirkninger ].
Overfølsomhedsreaktioner
Overvåg patienter nøje for overfølsomhedsreaktioner, især under den første og anden infusioner. Alvorlige overfølsomhedsreaktioner, der er kendetegnet ved generaliseret udslæt/erythema -hypotension og/eller bronchospasme eller dødelig anafylaksi, er rapporteret hos patienter præmediceret med 3 dages kortikosteroider. Alvorlige overfølsomhedsreaktioner kræver øjeblikkelig seponering af skatteinfusionen og aggressiv terapi. Genkend ikke patienter med en historie med alvorlige overfølsomhedsreaktioner med taxoere [se Kontraindikationer ].
Patienter, der tidligere har oplevet en overfølsomhedsreaktion på paclitaxel, kan udvikle en overfølsomhedsreaktion på docetaxel, der kan omfatte alvorlige eller dødelige reaktioner, såsom anafylaksi. Overvåg patienter med en tidligere historie med overfølsomhed over for paclitaxel tæt under påbegyndelse af taxoterterapi. Overfølsomhedsreaktioner kan forekomme inden for få minutter efter påbegyndelse af en taxotere -infusion. Hvis mindre reaktioner såsom skylning eller lokaliserede hudreaktioner forekommer, er det ikke påkrævet afbrydelse af terapi. Alle patienter skal præmes med en oral kortikosteroid inden påbegyndelse af infusion af taxoere [se Dosering og administration ].
Væskeopbevaring
Alvorlig fluid retention has been reported following Taxotere Therapy. Patients should be premedicated wiTh oral corticosteroids prior to each Taxotere administration to reduce The incidence og severity of fluid retention [se Dosering og administration ]. Patients wiTh pre-existing effusions should be closely monitored from The first dosis for The possible exacerbation of The effusions.
Når væskeopbevaring forekommer perifert ødemer, starter normalt i de nedre ekstremiteter og kan blive generaliseret med en median vægtøgning på 2 kg.
Blandt 92 brystkræftpatienter præmedikeret med 3-dages kortikosteroider moderat væskeopbevaring forekom hos 27,2% og svær væskeretention i 6,5%. Den median kumulative dosis til begyndelse af moderat eller alvorlig væskeopbevaring var 819 mg/m 2 . Ni af 92 patienter (NULL,8%) af patienterne afbrød behandlingen på grund af væskeopbevaring: 4 patienter ophørte med alvorlig væskeopbevaring; De resterende 5 havde mild eller moderat væskeopbevaring. Den median kumulative dosis til behandling af behandlingen på grund af væskeopbevaring var 1021 mg/m 2 . Fluidretention var fuldstændig, men undertiden langsomt reversibel med en median på 16 uger fra den sidste infusion af taxoere til opløsning (rækkevidde: 0 til 42 uger). Patienter, der udvikler perifert ødemer, kan behandles med standardmålinger, f.eks. Saltbegrænsning Oral diuretikum (er).
Anden primære malignitet
Anden primære maligniteter især akut myeloide leukæmi (AML) myelodysplastisk syndrom (MDS) ikke-Hodgkins lymfom (NHL) og nyrecancer er rapporteret hos patienter behandlet med Docetaxel-holdige regimer. Disse bivirkninger kan forekomme flere måneder eller år efter docetaxel-indeholdende terapi.
Behandlingsrelateret AML eller MDS har forekommet hos patienter, der får anthracycliner og/eller cyclophosphamid inklusive anvendelse i adjuvansbehandling til brystkræft. I adjuvans -brystkræftforsøget (Tax316) forekom AML hos 3 af 744 patienter, der modtog Taxotere Doxorubicin og Cyclophosphamid (TAC) og hos 1 af 736 patienter, der modtog fluorouracil doxorubicin og cyclophosphamid [se Kliniske studier ]. In TAC-treated patients The risk of delayed myelodysplasia or myeloid leukemia requires hematological follow-up. Monitor patients for second primary malignancies [se Bivirkninger ].
Kutan Reactions
Lokaliseret erythema af ekstremiteterne med ødem efterfulgt af desquamation er blevet observeret. I tilfælde af alvorlig hudtoksicitet anbefales en justering i doseringen [se Dosering og administration ]. The discontinuation rate due to skin toxicity was 1,6% (15/965) for metastatic brystkræft patients. Among 92 brystkræft patients premedicated wiTh 3-day corticosteroids There were no cases of severe skin toxicity reported og no patient discontinued Taxotere due to skin toxicity.
Alvorlig cutaneous adverse reactions (SCARs) such as Stevens-Johnson syndrome (SJS) toxic epidermal necrolysis (TEN) og acute generalized exanThematous pustulosis (AGEP) have been reported in association wiTh Docetaxel treatment. Patients should be informed about The signs og symptoms of serious skin manifestations og monitored closely. Permanent treatment discontinuation should be considered in patients who experience SCARs.
Neurologiske reaktioner
Alvorlig neurosensory symptoms (e.g. paresThesia dysesThesia pain) were observed in 5,5% (53/965) of metastatic brystkræft patients og resulted in treatment discontinuation in 6.1%. When These symptoms occur dosage must be adjusted. If symptoms persist treatment should be discontinued [se Dosering og administration ]. Patients who experienced neurotoxicity in clinical trials og for whom follow-up information on The complete resolution of The event was available had spontaneous reversal of symptoms wiTh a median of 9 weeks from onset (range: 0 to 106 weeks). Alvorlig peripheral motor neuropaThy mainly manifested as distal extremity weakness occurred in 4.4% (42/965).
Øjenlidelser
Cystoid makulært ødem (CME) er rapporteret hos patienter behandlet med taxoere. Patienter med nedsat syn bør gennemgå en hurtig og omfattende oftalmologisk undersøgelse. Hvis CME er diagnosticeret, skal taxoterbehandlingen afbrydes og passende behandling initieres. Alternativ behandling af ikke-taxan kræft skal overvejes.
Asthenia
Alvorlig asThenia has been reported in 14.9% (144/965) of metastatic brystkræft patients but has led to treatment discontinuation in kun 1.8%. Symptoms of fatigue og weakness may last a few days up to several weeks og may be associated wiTh deterioration of performance status in patients wiTh progressive disease.
Embryo-føtal toksicitet
Baseret på fund fra dyreproduktionsundersøgelser og dens mekanisme til handling Taxotere kan forårsage føtalskade, når de administreres til en gravid kvinde [se Klinisk farmakologi ]. Available data from case reports in The literature og pharmacovigilance wiTh Docetaxel use in pregnant women are not sufficient to inform The drug-associated risk of major birTh defects miscarriage or adverse maternal or fetal outcomes. In animal reproduction studies administration of Docetaxel to pregnant rats og rabbits during The period of organogenesis caused embryo-fetal toxicities including intrauterine mortality at dosiss as low as 0.02 og 0.003 times The recommended human dosis based on body surface area henholdsvis.
Rådgive gravide kvinder og kvinder med reproduktivt potentiale for den potentielle risiko for et foster. Bekræft graviditetsstatus hos kvinder med reproduktionspotentiale, inden jeg indledte taxoere. Rådgive kvinder med reproduktionspotentiale til at bruge effektiv prævention under behandlingen og i 6 måneder efter den sidste dosis af taxoere. Rådgive mandlige patienter med kvindelige partnere med reproduktivt potentiale til at bruge effektiv prævention under behandlingen og i 3 måneder efter den sidste dosis af taxoere [se Brug i specifikke populationer ].
Alkoholindhold
Der er rapporteret om tilfælde af beruselse med nogle formuleringer af docetaxel på grund af alkoholindholdet. Alkoholindholdet i en dosis af taxotere -injektion kan påvirke det centrale nervesystem og bør tages i betragtning for patienter, hvor alkoholindtagelse skal undgås eller minimeres. Der skal tages hensyn til alkoholindholdet i taxotere -injektion på evnen til at køre eller bruge maskiner umiddelbart efter infusionen. Hver administration af taxoere -injektion ved 100 mg/m 2 leverer 2,0 g/m 2 af ethanol. For en patient med en BSA på 2,0 m 2 Dette ville levere 4,0 gram ethanol [se BESKRIVELSE ]. OTher Docetaxel products may have a different amount of alcohol.
Tumorlysissyndrom
Tumorlysissyndrom er rapporteret med docetaxel [se Bivirkninger ]. Patients at risk of tumor lysis syndrome (e.g. wiTh renal impairment hyperuricemia bulky tumor) should be closely monitored prior to initiating Taxotere og periodically during treatment. Correction of dehydration og treatment of high uric acid levels are recommended prior to initiation of treatment.
Oplysninger om patientrådgivning
Rådgiv patienten om at læse den FDA-godkendte patientmærkning ( Patientinformation ).
Knoglemarvsundertrykkelse
Rådgiv patienter om, at periodisk vurdering af deres blodantal udføres for at påvise neutropeni -thrombocytopeni og/ eller anæmi [se Kontraindikationer ADVARSELS ANd FORHOLDSREGLER ]. Instruct patients to monitor Their temperature frequently og immediately report any occurrence of fever.
Enterocolitis og neutropenisk colitis
Rådgiv patienter om symptomer på colitis såsom mavesmerter eller ømhed og/eller diarré med eller uden feber og instruere patienter om straks at kontakte deres sundhedsudbyder, hvis de oplever disse symptomer [se Dosering og administration og ADVARSELS ANd FORHOLDSREGLER ].
Overfølsomhedsreaktioner
Spørg patienter, om de tidligere har modtaget paclitaxel -terapi, og om de har oplevet en overfølsomhedsreaktion på paclitaxel. Instruer patienter om straks at rapportere til deres sundhedsudbyderstegn på en overfølsomhedsreaktion [se Kontraindikationer ADVARSELS ANd FORHOLDSREGLER ].
Væskeopbevaring
Rådgive patienter om at rapportere tegn på væskeopbevaring, såsom perifert ødem i vægtøgning af nedre ekstremiteter og dyspnø straks til deres sundhedsudbyder [se ADVARSELS ANd FORHOLDSREGLER ].
Anden primære malignitet
Rådgive patienter om risikoen for anden primære maligniteter under behandling med taxoere [se ADVARSELS ANd FORHOLDSREGLER ].
Kutan Reactions
Rådgive patienter, der lokaliserede erythema om ekstremiteterne og alvorlige hudtoksiciteter kan forekomme. Instruer patienter om straks at rapportere alvorlige kutane reaktioner på deres sundhedsudbyder [se Dosering og administration og ADVARSELS ANd FORHOLDSREGLER ].
Neurologiske reaktioner
Rådgive patienter om, at neurosensoriske symptomer eller perifer neuropati kan forekomme. Instruer patienter om straks at rapportere neurologiske reaktioner på deres sundhedsudbyder [se Dosering og administration og ADVARSELS ANd FORHOLDSREGLER ].
Øjenlidelser
Rådgiv patienter om, at synsforstyrrelser og overdreven rivning er forbundet med Taxotere -administration. Instruer patienter om straks at rapportere enhver vision ændrer sig til deres sundhedsudbyder [se ADVARSELS ANd FORHOLDSREGLER ].
Gastrointestinal Reactions
Forklar patienterne, at kvalme til at opkaste diarré og forstoppelse er forbundet med taxotere -administration. Instruer patienter om at rapportere eventuelle alvorlige begivenheder til deres sundhedsudbyder [se Bivirkninger ].
Hjerteforstyrrelser
Rådgiver patienter om at rapportere enhver uregelmæssig og/eller hurtig hjerteslag alvorlig åndenøddished og/eller besvime straks til deres sundhedsudbyder [se Bivirkninger ].
Andre almindelige bivirkninger
Rådgive patienter om, at andre almindelige bivirkninger, der er forbundet med taxoere, kan omfatte alopecia (tilfælde af permanent hårtab er rapporteret) asthenia anorexia dysgeusia mucositis myalgia negleforstyrrelser eller smerter. Instruer patienter om at rapportere disse reaktioner på deres sundhedsudbyder, hvis der opstår alvorlige begivenheder [se Bivirkninger ].
Betydningen af kortikosteroider
Forklar betydningen af orale kortikosteroider, såsom dexamethasonadministration for patienten for at hjælpe med at lette overholdelsen. Instruer patienter om at rapportere til deres sundhedsudbyder, hvis de ikke var i overensstemmelse med det orale kortikosteroidregime [se Dosering og administration ].
Embryo-føtal toksicitet
Taxotere can cause fetal harm. Advise patients to inform Their healThcare provider of a known or suspected pregnancy. Advise patients to avoid becoming pregnant while receiving This drug. Advise female patients of reproductive potential to use effective contraceptives during treatment og for 6 monThs after The last dosis of Taxotere. Advise male patients wiTh female partners of reproductive potential to use effective contraception during treatment og for 3 monThs after The last dosis of Taxotere [se ADVARSELS ANd FORHOLDSREGLER og Brug i specifikke populationer ].
Amning
Rådgive kvinder om ikke at amme under taxotere -behandling og i 1 uge efter den sidste dosis [se Brug i specifikke populationer ].
Infertilitet
Rådgive mænd med reproduktionspotentiale om, at taxotere kan forringe fertiliteten [se Ikke -klinisk toksikologi ].
Alkoholindhold In Taxotere
Forklar patienterne de mulige effekter af alkoholindholdet i taxoere inklusive mulige effekter på centralnervesystemet [se ADVARSELS ANd FORHOLDSREGLER ].
Tumorlysissyndrom
Rådgiv patienter om den potentielle risiko for tumorlysissyndrom og til straks at rapportere eventuelle tegn eller symptomer, der er forbundet med denne begivenhed (kvalme til at opkaste forvirring af åndenød, der er uregelmæssig hjerteslag mørk eller overskyet urin reduceret mængde urin usædvanlige træthedsmuskelkramper) til deres sundhedsudbyder. Rådgiv patienter om vigtigheden af at holde planlagt udnævnelse til blodarbejde eller andre laboratorieundersøgelser og om at drikke tilstrækkelige væsker til at undgå dehydrering. [se ADVARSELS ANd FORHOLDSREGLER ].
Evne til at køre eller betjene maskiner
Forklar patienterne, at Taxotere kan forringe deres evne til at drive eller betjene maskiner på grund af dens bivirkninger [se Bivirkninger ] eller på grund af alkoholindholdet i Taxotere [se ADVARSELS ANd FORHOLDSREGLER ]. Advise Them not to drive or use machines if They experience These side effects during treatment.
Lægemiddelinteraktioner
Informer patienter om risikoen for lægemiddelinteraktioner og vigtigheden af at tilvejebringe en liste over receptpligtige og ikke-receptpligtige lægemidler til deres sundhedsudbyder [se Lægemiddelinteraktioner ].
Ikke -klinisk toksikologi
Karcinogenese mutagenese nedskrivning af fertilitet
Karcinogenicitetsundersøgelser med docetaxel er ikke blevet udført.
Docetaxel var klastogen i In vitro Kromosomafvigelse Test i ChE-K 1 celler og i forgæves Micronucleus -test hos mus administrerede doser på 0,39 til 1,56 mg/kg (ca. 1/60 Th til 1/15 Th The recommended human dosis på en mg/m 2 basis). Docetaxel var ikke mutagen i AMES -testen eller CHO/HGPRT -genmutationsassays.
Docetaxel reducerede ikke fertiliteten hos rotter, når de blev administreret i flere intravenøse doser på op til 0,3 mg/kg (ca. 1/50 Th The recommended human dosis på en mg/m 2 basis) men nedsatte testikulære vægte blev rapporteret. Dette korrelerer med resultaterne af en 10-cyklus toksicitetsundersøgelse (dosering en gang hver 21. dag i 6 måneder) hos rotter og hunde, hvor testikel atrofi eller degeneration blev observeret ved intravenøse doser på 5 mg/kg hos rotter og 0,375 mg/kg hos hunde (ca. 1/3 Rd og 1/15 Th The recommended human dosis på en mg/m 2 henholdsvis basis). En øget frekvens af dosering i rotter producerede lignende effekter ved lavere dosisniveauer.
Brug i specifikke populationer
Graviditet
Risikooversigt
Baseret på fund i dyreproduktionsundersøgelser og dens mekanisme til handling Taxotere kan forårsage fosterskader, når det administreres til en gravid kvinde [se Klinisk farmakologi ]. Available data from case reports in The literature og pharmacovigilance wiTh Docetaxel use in pregnant women are not sufficient to inform The drug-associated risk of major birTh defects miscarriage or adverse maternal or fetal outcomes. Taxotere contains alcohol which can interfere wiTh neurobehavioral development [se Kliniske overvejelser ]. In animal reproductive studies administration of Docetaxel to pregnant rats og rabbits during The period of organogenesis caused an increased incidence of embryo-fetal toxicities including intrauterine mortality at dosiss as low as 0.02 og 0.003 times The recommended human dosis based on body surface area respectively [se Data ]. Advise pregnant women og females of reproductive potential of The potential risk to a fetus.
Den estimerede baggrundsrisiko for store fødselsdefekter og spontanabort for de angivne populationer er ukendt. Alle graviditeter har en baggrundsrisiko for spontanabort på fødselsdefekt eller andre ugunstige resultater. I den amerikanske generelle befolkning er den estimerede baggrundsrisiko for større fødselsdefekter og spontanabort i klinisk anerkendte graviditeter henholdsvis 2% til 4% og 15% til 20%.
Kliniske overvejelser
Taxotere contains alcohol [se ADVARSELS ANd FORHOLDSREGLER ]. Published studies have demonstrated That alcohol is associated wiTh fetal harm including central nervous system abnormalities behavioral disoRders og impaired intellectual development.
Data
Dyredata
Intravenøs administration af ≥0,3 og 0,03 mg/kg/dag docetaxel til henholdsvis gravide rotter og kaniner i perioden med organogenese forårsagede en øget forekomst af intrauterin dødelighedsresorptioner reducerede fostervægte og føtal ossificeringsforsinkelser. Mødretoksicitet blev også observeret i disse doser, som var ca. 0,02 og 0,003 gange den daglige maksimale anbefalede humane dosis baseret på kropsoverfladeareal.
Amning
Risikooversigt
Der er ingen oplysninger om tilstedeværelsen af docetaxel i human mælk eller om dens virkning på mælkeproduktion eller det ammede barn. Der er ikke udført nogen ammningsundersøgelser hos dyr. På grund af potentialet for alvorlige bivirkninger i et ammet barn rådgiver kvinder om ikke at amme under behandling med taxoere og i 1 uge efter den sidste dosis.
Kvinder og mænd med reproduktivt potentiale
Graviditet Testing
Bekræft graviditetsstatus hos kvinder med reproduktionspotentiale, inden jeg indledte taxoere.
Svangerskabsforebyggelse
Hunner
Taxotere can cause fetal harm when administered to a pregnant woman [se Graviditet ]. Advise females of reproductive potential to use effective contraception during treatment og for 6 monThs after The last dosis of Taxotere.
Mænd
Baseret på genetiske toksicitetsresultater rådgiver mandlige patienter med kvindelige partnere med reproduktivt potentiale til at bruge effektiv prævention under behandlingen og i 3 måneder efter den sidste dosis af taxoere.
Infertilitet
Baseret på fund i dyreforsøg kan taxotere forringe fertiliteten hos mænd med reproduktionspotentiale [se Ikke -klinisk toksikologi ].
Pædiatrisk brug
Alkoholindholdet i taxotereinjektion skal tages i betragtning, når de gives til pædiatriske patienter [se ADVARSELS ANd FORHOLDSREGLER ].
Effektiviteten af taxoere hos pædiatriske patienter som monoterapi eller i kombination er ikke blevet fastlagt. Den samlede sikkerhedsprofil for taxoere hos pædiatriske patienter, der modtog monoterapi eller TCF, var i overensstemmelse med den kendte sikkerhedsprofil hos voksne.
Taxotere has been studied in a total of 289 pediatric patients: 239 in 2 trials wiTh monoTherapy og 50 in combination treatment wiTh cisplatin og 5-fluorouracil (TCF).
Taxotere MonoTherapy
Taxotere monoTherapy was evaluated in a dosis-finding phase 1 trial in 61 pediatric patients (median age 12.5 years range 1-22 years) wiTh a variety of refractory solid tumors. The recommended dosis was 125 mg/m 2 som en 1-timers intravenøs infusion hver 21. dag. Den primære dosisbegrænsende toksicitet var neutropeni.
Den anbefalede dosis til taxoterere monoterapi blev evalueret i en fase 2 enkeltarmforsøg hos 178 pædiatriske patienter (median alder 12 år område 1-26 år) med en række tilbagevendende/ildfaste faste tumorer. Effektivitet blev ikke fastlagt med tumorresponsrater, der spænder fra en komplet respons (CR) (NULL,6%) hos en patient med udifferentieret sarkom til fire delvise responser (NULL,2%) set hos en patient hver med Ewing Sarcoma Neuroblastoma Osteosarcoma og squamouscellekarcinom.
Taxotere In Combination
Taxotere was studied in combination wiTh cisplatin og 5-fluorouracil (TCF) versus cisplatin og 5-fluorouracil (Jf) for The induction treatment of nasopharyngeal carcinoma (NPC) in pediatric patients prior to chemoradiation consolidation. Seventy-five patients (median age 16 years range 9 to 21 years) were rogomized (2:1) to Taxotere (75 mg/m 2 ) i kombination med cisplatin (75 mg/m 2 ) og 5-fluorouracil (750 mg/m 2 ) (TCF) eller til cisplatin (80 mg/m 2 ) og 5-fluorouracil (1000 mg/m 2 /dag) (CF). Det primære slutpunkt var CR -hastigheden efter induktionsbehandling af NPC. En patient ud af 50 i TCF -gruppen (2%) havde et komplet respons, mens ingen af de 25 patienter i CF -gruppen havde et komplet respons.
Farmakokinetik
Farmakokinetiske parametre for docetaxel blev bestemt i 2 pædiatriske faste tumorforsøg. Efter docetaxel -administration ved 55 mg/m 2 til 235 mg/m 2 I en 1-timers intravenøs infusion hver 3. uge i 25 patienter i alderen 1 til 20 år (median 11 år) var docetaxel-clearance 17,3 ± 10,9 l/h/m 2 .
Docetaxel blev administreret i kombination med cisplatin og 5-fluorouracil (TCF) ved dosisniveauer på 75 mg/m 2 I en 1-timers intravenøs infusionsdag 1 ud af 28 patienter i alderen 10 til 21 år (median 16 år 17 patienter var ældre end 16). Docetaxel clearance var 17,9 ± 8,75 l/h/m 2 svarende til en AUC på 4,20 ± 2,57 μg • H/ml.
Sammenfattende var det justerede afstand til afstand til kropsoverfladearealet af docetaxel monoterapi og TCF -kombination hos børn sammenlignelige med dem hos voksne [se Klinisk farmakologi ].
Geriatrisk brug
Generelt skal valg af dosis for en ældre patient være forsigtig med at afspejle den større hyppighed af nedsat lever -nyre- eller hjertefunktion og af samtidig sygdom eller anden lægemiddelterapi hos ældre patienter.
Ikke-småcellet lungekræft
I en undersøgelse udført hos kemoterapi-naive patienter med NSCLC (skatte326) 148 patienter (36%) i Taxotere Cisplatin-gruppen var 65 år eller større. Der var 128 patienter (32%) i Vinorelbine cisplatin -gruppen 65 år eller større. Hos Taxotere Cisplatin Group havde patienter mindre end 65 år en median overlevelse på 10,3 måneder (95% CI: 9,1 måneder 11,8 måneder) og patienter 65 år eller ældre havde en median overlevelse på 12,1 måneder (95% CI: 9,3 måneder 14 måneder). Hos patienter 65 år eller større behandlet med taxotere cisplatin -diarré (55%) blev perifert ødem (39%) og stomatitis (28%) observeret hyppigere end i vinorelbin cisplatin -gruppen (diarré 24%perifere ødem 20%stomatis 20%). Patienter, der blev behandlet med taxotere cisplatin, som var 65 år eller større, var mere tilbøjelige til at opleve diarré (55%) infektioner (42%) perifert ødem (39%) og stomatitis (28%) sammenlignet med patienter mindre end 65 år, der administrerede den samme behandling (43% 31% 31% og 21%).
Når taxotere blev kombineret med carboplatin til behandling af kemoterapi-naive avancerede ikke-småcellet lungecarcinomapatienter 65 år eller større (28%) oplevede højere frekvens af infektion sammenlignet med lignende patienter behandlet med taxotere cisplatin og en højere frekvens af diarrhea-infektion og periferal edema end ældre patienter, der blev behandlet med vinorelbine cisplatin.
Prostatacancer
Af de 333 patienter, der blev behandlet med taxotere hver tredje uge plus prednison i prostatacancerundersøgelsen (skatte327) 209 patienter var 65 år eller større, og 68 patienter var ældre end 75 år. Hos patienter, der blev behandlet med taxotere hver tredje uge, forekom følgende behandlingsmæssige bivirkninger med hastigheder ≥10% højere hos patienter 65 år eller større sammenlignet med yngre patienter: anæmi (71% mod 59%) infektion (37% mod 24%) negleændringer (henholdsvis 34% mod 23%) anorexia (21% mod 10%) vægttab (15% Vs 5%).
Brystkræft
I adjuvans brystkræftforsøg (skatte316) blev taxoere i kombination med doxorubicin og cyclophosphamid administreret til 744 patienter, hvoraf 48 (6%) var 65 år eller større. Antallet af ældre patienter, der modtog dette regime, var ikke tilstrækkeligt til at afgøre, om der var forskelle i sikkerhed og effektivitet mellem ældre og yngre patienter.
Gastrisk kræft
Blandt de 221 patienter, der blev behandlet med taxoere i kombination med cisplatin og fluorouracil i gastrisk kræftundersøgelse 54 var 65 år eller ældre, og 2 patienter var ældre end 75 år. I denne undersøgelse var antallet af patienter, der var 65 år eller ældre, utilstrækkelige til at afgøre, om de reagerer forskelligt fra yngre patienter. Imidlertid var forekomsten af alvorlige bivirkninger højere hos ældre patienter sammenlignet med yngre patienter. Forekomsten af følgende bivirkninger (alle karakterer uanset forhold): sløvhed stomatitis diarré svimmelhed ødemer feberneutropeni/neutropenisk infektion forekom med hastigheder ≥10% højere hos patienter, der var 65 år eller ældre sammenlignet med yngre patienter. Ældre patienter behandlet med TCF bør overvåges nøje.
Hoved- og halskræft
Blandt de 174 og 251 patienter, der modtog induktionsbehandlingen med taxoere i kombination med cisplatin og fluorouracil (TPF) for SCCHN i skatte323 og skatte324 undersøgelser 18 (10%) og 32 (13%) af patienterne var henholdsvis 65 år eller ældre.
Disse kliniske undersøgelser af taxoere i kombination med cisplatin og fluorouracil hos patienter med SCCHN inkluderede ikke tilstrækkeligt antal patienter i alderen 65 år og derover for at afgøre, om de reagerer forskelligt fra yngre patienter. Andre rapporterede kliniske erfaringer med dette behandlingsregime har ikke identificeret forskelle i responser mellem ældre og yngre patienter.
Leverskrivning i leveren
Undgå taxoere hos patienter med bilirubin> ULN og patienter med AST og/eller alt> 1,5 × Uln samtidig med alkalisk phosphatase> 2,5 × Uln [se Bokset advarsel ADVARSELS ANd FORHOLDSREGLER Klinisk farmakologi ].
Alkoholindholdet i taxotereinjektion skal tages i betragtning, når de gives til patienter med leverfunktion [se ADVARSELS ANd FORHOLDSREGLER ].
Overdoseringsoplysninger til Taxotere
Der er ingen kendt modgift til overdosering af taxotere. I tilfælde af overdosering skal patienten opbevares i en specialiseret enhed, hvor vitale funktioner kan overvåges nøje. Forventede komplikationer af overdosering inkluderer: knoglemarvsundertrykkelse perifer neurotoksicitet og slimhinde. Patienter skal modtage terapeutisk G-CSF så hurtigt som muligt efter opdagelsen af overdosis. Andre passende symptomatiske foranstaltninger bør træffes efter behov.
I to rapporter om overdosering modtog en patient 150 mg/m 2 og The oTher received 200 mg/m 2 som 1-timers infusioner. Begge patienter oplevede alvorlig neutropeni mild astheni -kutane reaktioner og mild paræstesi og kom sig uden hændelse.
I mus blev der observeret lethed efter enkelt intravenøse doser, der var ≥154 mg/kg (ca. 4,5 gange den menneskelige dosis på 100 mg/m 2 på en mg/m 2 basis); Neurotoksicitet forbundet med lammelse af ikke-udvidelse af bagben og myelin-degeneration blev observeret hos mus ved 48 mg/kg (ca. 1,5 gange den menneskelige dosis på 100 mg/m 2 basis). Hos mandlige og kvindelige rotter blev der observeret dødelighed i en dosis på 20 mg/kg (sammenlignelig med den menneskelige dosis på 100 mg/m 2 på en mg/m 2 basis) og var forbundet med unormal mitose og nekrose af flere organer.
Kontraindikationer for taxoere
Taxotere is contraindicated in patients wiTh:
Kan du tage melatonin med wellbutrin
- Neutrofil tællinger af <1500 cells/mm 3 [se ADVARSELS ANd FORHOLDSREGLER ].
- En historie med alvorlige overfølsomhedsreaktioner på docetaxel eller på andre lægemidler formuleret med polysorbat 80. Alvorlige reaktioner inklusive anafylaksi er forekommet [se ADVARSELS ANd FORHOLDSREGLER ].
Klinisk farmakologi for Taxotere
Handlingsmekanisme
Docetaxel er et antineoplastisk middel, der virker ved at forstyrre det mikrotubulære netværk i celler, der er essentielt for mitotiske og interfase -cellulære funktioner. Docetaxel binder til frit tubulin og fremmer samlingen af tubulin til stabile mikrotubuli, mens de samtidig hæmmer deres adskillelse. Dette fører til produktion af mikrotubulusbundter uden normal funktion og til stabilisering af mikrotubuli, hvilket resulterer i inhibering af mitose i celler. Docetaxels binding til mikrotubuli ændrer ikke antallet af protofilamenter i de bundne mikrotubuli en funktion, der adskiller sig fra de fleste spindelgifter, der i øjeblikket er i klinisk brug.
Farmakokinetik
Absorption
Farmakokinetikken af docetaxel er blevet evalueret hos kræftpatienter efter administration af 20 mg/m 2 til 115 mg/m 2 I fase 1 -undersøgelser. Området under kurven (AUC) var dosisproportional efter doser på 70 mg/m 2 til 115 mg/m 2 med infusionstider på 1 til 2 timer. Docetaxels farmakokinetiske profil er i overensstemmelse med en farmakokinetisk model med tre rum med halveringstider for α β og γ-faser på henholdsvis 4 min 36 min og 11,1 timer. Gennemsnitlig total kropsafstand var 21 l/h/m 2 .
Fordeling
Den indledende hurtige tilbagegang repræsenterer distribution til de perifere rum, og den sene (terminal) fase skyldes delvis en relativt langsom udstrømning af docetaxel fra det perifere rum. Gennemsnitlig stabil tilstand af distribution var 113 L. In vitro Undersøgelser viste, at docetaxel er ca. 94% protein, der hovedsageligt er bundet til α 1 -Sacid glycoproteinalbumin og lipoproteiner. Hos tre kræftpatienter In vitro Binding til plasmaproteiner viste sig at være ca. 97%. Dexamethason påvirker ikke proteinbindingen af docetaxel.
Metabolisme
In vitro Undersøgelser af lægemiddelinteraktion afslørede, at docetaxel metaboliseres af CYP3A4 -isoenzymet, og dets stofskifte kan modificeres af den samtidige indgivelse af forbindelser, der inducerer hæmning eller metaboliseres af cytochrome P450 3A4 [se Lægemiddelinteraktioner ].
Eliminering
En undersøgelse af 14 C-Docetaxel blev udført hos tre kræftpatienter. Docetaxel blev fjernet i både urinen og fæces efter oxidativ metabolisme af tert -butylestergruppe Men fækal udskillelse var den vigtigste elimineringsrute. Inden for 7 dage tegnede urin- og fækal udskillelse udgjorde henholdsvis ca. 6% og 75% af den administrerede radioaktivitet. Cirka 80% af radioaktiviteten, der er genvundet i fæces, udskilles i løbet af de første 48 timer som 1 hoved- og 3 mindre metabolitter med meget små mængder (mindre end 8%) uændret lægemiddel.
Specifikke populationer
Effekt af alder
En farmakokinetisk analyse af population blev udført efter taxoere -behandling af 535 patienter doseret ved 100 mg/m 2 . Farmakokinetiske parametre estimeret ved denne analyse var meget tæt på dem, der blev estimeret fra fase 1 -studier. Farmakokinetikken af docetaxel blev ikke påvirket af alder.
Effekt af køn
Den ovenfor beskrevne population af farmakokinetik, der er beskrevet ovenfor, indikerede også, at køn ikke påvirkede farmakokinetikken for docetaxel.
Leverskrivning i leveren
Den population farmakokinetiske analyse beskrevet ovenfor indikerede, at hos patienter med klinisk kemi -data, der antyder mild til moderat leverdæmpning (AST og/eller ALT> 1,5 gange ULN, samtidig med alkalisk phosphatase> 2,5 gange ULN) blev total kropsafstand sænket med et gennemsnit på 27%, hvilket resulterede i en 38% stigning i systemisk eksponering (AUC). Dette gennemsnit inkluderer dog et betydeligt interval, og der er i øjeblikket ingen måling, der muliggør anbefaling til dosisjustering hos sådanne patienter. Patienter med kombinerede abnormiteter af transaminase og alkalisk phosphatase bør ikke behandles med taxoere. Patienter med alvorlig nedskrivning i leveren er ikke undersøgt [se ADVARSELS ANd FORHOLDSREGLER Brug i specifikke populationer ].
Effekt af race
Gennemsnitlig total kropsafstand for japanske patienter doseret i området 10 mg/m 2 til 90 mg/m 2 svarede til den for europæiske/amerikanske befolkninger doseret ved 100 mg/m 2 antyder ingen signifikant forskel i eliminering af docetaxel i de to populationer.
Lægemiddelinteraktionsundersøgelser
Effekt af ketoconazol
Effekten af ketoconazol (en stærk CYP3A4 -hæmmer) på farmakokinetikken af docetaxel blev undersøgt hos 7 kræftpatienter. Patienter blev randomiseret til at modtage enten docetaxel (100 mg/m 2 intravenøs) alene eller docetaxel (10 mg/m 2 intravenøs) i kombination med ketoconazol (200 mg oralt en gang dagligt i 3 dage) i et crossover-design med en 3-ugers udvaskningsperiode. Resultaterne af denne undersøgelse indikerede, at den gennemsnitlige dosis-normaliserede AUC af docetaxel blev forøget 2,2 gange, og dens godkendelse blev reduceret med 49%, da Docetaxel blev fremtrædende med ketoconazol [se Dosering og administration Lægemiddelinteraktioner ].
Effekt af kombinationsterapier
- Dexamethason: Docetaxel total kropsafstand blev ikke modificeret ved forbehandling med dexamethason.
- Cisplatin: Clearance af docetaxel i kombinationsterapi med cisplatin svarede til den, der tidligere blev observeret efter monoterapi med docetaxel. Den farmakokinetiske profil af cisplatin i kombinationsterapi med docetaxel svarede til den, der blev observeret med cisplatin alene.
- Cisplatin og fluorouracil: Den kombinerede administration af docetaxel cisplatin og fluorouracil hos 12 patienter med faste tumorer havde ingen indflydelse på farmakokinetikken for hvert enkelt lægemiddel.
- Prednison: En farmakokinetisk analyse af population af plasmatata fra 40 patienter med metastatisk kastrationsresistent prostatacancer indikerede, at docetaxel-systemisk clearance i kombination med prednison svarer til den, der blev observeret efter administration af docetaxel alene.
- Cyclophosphamid og doxorubicin: En undersøgelse blev udført hos 30 patienter med avanceret brystkræft for at bestemme potentialet for lægemiddel-lægemiddelinteraktioner mellem docetaxel (75 mg/m 2 ) doxorubicin (50 mg/m 2 ) og cyclophosphamid (500 mg/m 2 ) Når det administreres i kombination. Samtidig administration af docetaxel havde ingen indflydelse på farmakokinetikken af doxorubicin og cyclophosphamid, når de tre lægemidler kun blev givet i kombination sammenlignet med samtidig administration af doxorubicin og cyclophosphamid. Derudover havde doxorubicin og cyclophosphamid ingen indflydelse på docetaxel -plasmaklarering, når de tre lægemidler blev givet i kombination sammenlignet med historiske data for docetaxel monoterapi.
Kliniske studier
Lokalt avanceret eller metastatisk brystkræft
Effektiviteten og sikkerheden ved taxoter er blevet evalueret i lokalt avanceret eller metastatisk brystkræft efter svigt i tidligere kemoterapi (alkyleringsmiddel-indeholdende regimer eller antracyclin-holdige regimer).
Randomiserede forsøg
I et randomiseret forsøg blev patienter med en historie med forudgående behandling med et anthracycinecontaining -regime tildelt behandling med Taxotere (100 mg/m 2 hver 3 weeks) or The combination of mitomycin (12 mg/m 2 hver 6 weeks) og vinblastine (6 mg/m 2 hver 3 weeks). Two hundred Three patients were rogomized to Taxotere og 189 to The comparator arm. Most patients had received prior Kemoterapi for metastatic disease; kun 27 patients on The Taxotere arm og 33 patients on The comparator arm entered The study following relapse after adjuvant Therapy. Three-quarters of patients had measurable visceral metastases. The primary endpoint was time to progression. The following table summarizes The study results. (Se Table 12.)
Tabel 12: Effektivitet af taxoere i behandlingen af brystkræftpatienter, der tidligere blev behandlet med et antracyclin-holdigt regime (intention-to-treat analyse)
| Effektivitetsparameter | Docetaxel (n = 203) | Mitomycin/ Vinblastine (n = 189) | p-værdi |
| Median overlevelse | 11,4 måneder | 8,7 måneder | P = 0,01 Lograng |
| Risikoforhold* dødelighed (Docetaxel: kontrol) | 0.73 | ||
| 95% CI (risikoforhold) | 0,58-0,93 | ||
| Median tid til Progression | 4,3 måneder | 2,5 måneder | P = 0,01 Lograng |
| Risikoforhold* Progression (Docetaxel: kontrol) | 0.75 | ||
| 95% CI (risikoforhold) | 0,61-0,94 | ||
| Samlet svarprocent | 28,1% | 9,5% | p <0.0001 |
| Komplet svarprocent | 3,4% | 1,6% | Der spreder |
| *For risikoforholdet er en værdi mindre end 1,00 favoriserer docetaxel. |
I et andet randomiserede forsøg blev patienter, der tidligere var behandlet med et alkylerende holdige regime, tildelt behandling med taxoere (100 mg/m 2 ) eller doxorubicin (75 mg/m 2 ) hver 3. uge. Hundrede tresogtres patienter blev randomiseret til taxotere og 165 patienter til doxorubicin. Cirka halvdelen af patienterne havde modtaget tidligere kemoterapi for metastatisk sygdom og halvdelen indgik i undersøgelsen efter tilbagefald efter adjuvansbehandling. Tre fjerdedele af patienter havde målbare viscerale metastaser. Det primære slutpunkt var tid til progression. Undersøgelsesresultaterne er sammenfattet nedenfor. (Se tabel 13.)
Tabel 13: Effektivitet af taxoere i behandlingen af brystkræftpatienter, der tidligere var behandlet med et alkylerendeholdigt regime (forsæt-til-behandlingsanalyse)
| Effektivitetsparameter | Docetaxel (n = 161) | Doxorubicin (n = 165) | p-værdi |
| Median overlevelse | 14,7 måneder | 14,3 måneder | P = 0,39 Lograng |
| Risikoforhold* dødelighed (Docetaxel: kontrol) | 0.89 | ||
| 95% CI (risikoforhold) | 0,68-1,16 | ||
| Median tid til Progression | 6,5 måneder | 5,3 måneder | P = 0,45 Lograng |
| Risikoforhold* Progression (Docetaxel: kontrol) | 0.93 | ||
| 95% CI (risikoforhold) | 0,71-1,16 | ||
| Samlet svarprocent | 45,3% | 29,7% | P = 0,004 Der spreder |
| Komplet svarprocent | 6,8% | 4,2% | |
| *For risikoforholdet er en værdi mindre end 1,00 favoriserer docetaxel. |
I et andet multicenter åbent randomiseret forsøg (skatte313) i behandlingen af patienter med avanceret brystkræft, der skred frem eller tilbagefaldt efter et tidligere kemoterapi-regime 527 patienter blev randomiseret til at modtage taxotere monoterapi 60 mg/m 2 (N = 151) 75 mg/m 2 (n = 188) eller 100 mg/m 2 (n = 188). I dette forsøg havde 94% af patienterne metastatisk sygdom, og 79% havde modtaget forud for anthracyclinbehandling. Svarprocenten var det primære slutpunkt. Svarprocenten steg med taxotere dosis: 19,9% for 60 mg/m 2 gruppe sammenlignet med 22,3% for 75 mg/m 2 og 29.8% for The 100 mg/m 2 gruppe; parvis sammenligning mellem 60 mg/m 2 og 100 mg/m 2 Grupper var statistisk signifikant (p = 0,037).
Enkelt armstudier
Taxotere at a dosis of 100 mg/m 2 blev undersøgt i seks enkeltarmundersøgelser, der involverede i alt 309 patienter med metastatisk brystkræft, i hvilken tidligere kemoterapi var mislykket. Blandt disse 190 patienter havde anthracyclin-resistent brystkræft defineret som progression under et antracyclin-holdige kemoterapiregime for metastatisk sygdom eller tilbagefald under en antracyclin-indeholdende adjuvansregime. Hos anthracycline-resistente patienter var den samlede responsrate 37,9% (72/190; 95% CI: 31,0-44,8), og den komplette responsrate var 2,1%.
Taxotere was also studied in Three single arm Japanese studies at a dosis of 60 mg/m 2 Hos 174 patienter, der havde modtaget tidligere kemoterapi for lokalt avanceret eller metastatisk brystkræft. Blandt 26 patienter, hvis bedste respons på en anthracyclin havde været progression, var svarprocenten 34,6% (95% CI: 17,2-55,7) svarende til svarprocenten i enkeltarmsundersøgelser på 100 mg/m 2 .
Adjuvansbehandling af brystkræft
Et multicenter åbent randomiseret forsøg (skatte316) evaluerede effektiviteten og sikkerheden af taxoere til adjuvansbehandling af patienter med axillærnode-positiv brystkræft og ingen bevis for fjern metastatisk sygdom. Efter stratificering i henhold til antallet af positive lymfeknuder (1-3 4) blev 1491 patienter randomiseret til at modtage enten Taxotere 75 mg/m 2 Administreret 1 times efter doxorubicin 50 mg/m 2 og cyclophosphamid 500 mg/m 2 (TAC ARM) eller doxorubicin 50 mg/m 2 efterfulgt af fluorouracil 500 mg/m 2 og cyclophosphamid 500 mg/m 2 (FAC -arm). Begge regimer blev administreret hver 3. uge i 6 cykler. Taxotere blev administreret som en 1-timers infusion; Alle andre lægemidler blev givet som intravenøs bolus på dag 1. i begge arme efter den sidste cyklus af kemoterapipatienter med positiv østrogen og/eller progesteronreceptorer modtog tamoxifen 20 mg dagligt i op til 5 år. Adjuvans strålebehandling blev ordineret i henhold til retningslinjer på plads på deltagende institutioner og blev givet til 69% af patienterne, der modtog TAC og 72% af patienterne, der modtog FAC.
Resultater fra en anden midlertidig analyse (median opfølgning 55 måneder) er som følger
I undersøgelsesskat316 viste Docetaxel-holdige kombinationsregime TAC signifikant længere sygdomsfri overlevelse (DFS) end FAC (fareforhold = 0,74; 2-sidet 95% CI = 0,60 0,92 stratificeret lograngering P = 0,0047). Den primære endepunktsygdomsfri overlevelse omfattede lokale og fjerne tilbagefaldskontralaterale brystkræft og dødsfald af enhver årsag. Den samlede reduktion i risikoen for tilbagefald var 25,7% for TAC-behandlede patienter. (Se figur 1.)
På tidspunktet for denne foreløbige analyse baseret på 219 dødsfald var den samlede overlevelse længere for TAC end FAC (fareforhold = 0,69 2-sidet 95% Cl = 0,53 0,90). (Se figur 2.) Der vil være yderligere analyse på det tidspunkt overlevelsesdata modne.
Figur 1: Skat316 Sygdomsfri overlevelse K-M-kurve
|
Figur 2: Skat316 Samlet overlevelse K-M-kurve
|
Følgende tabel beskriver resultaterne af undergruppeanalyser for DFS og OS (se tabel 14).
Tabel 14: Undergruppeanalyser-Adjuvans brystkræftundersøgelse
| Patientsundersæt | Antal patienter | Sygdomsfri overlevelse | Samlet overlevelse | ||
| Fare forhold* | 95% der | Fare forhold* | 95% der | ||
| Antal positive knudepunkter | |||||
| Samlet | 744 | 0.74 | (NULL,60 0,92) | 0.69 | (NULL,53 0,90) |
| 1-3 | 467 | 0.64 | (NULL,47 0,87) | 0.45 | (NULL,29 0,70) |
| 4 | 277 | 0.84 | (NULL,63 1.12) | 0.93 | (NULL,66 1,32) |
| Receptorstatus | |||||
| Positiv | 566 | 0.76 | (NULL,59 0,98) | 0.69 | (NULL,48 0,99) |
| Negativ | 178 | 0.68 | (NULL,48 0,97) | 0.66 | (NULL,44 0,98) |
| * Et fareforhold på mindre end 1 indikerer, at TAC er forbundet med en længere sygdomsfri overlevelse eller samlet overlevelse sammenlignet med FAC. |
Ikke-småcellet lungekræft (NSCLC)
Effektiviteten og sikkerheden af Taxotere er blevet evalueret hos patienter med ikke-omsættelige lokalt avancerede eller metastatiske ikke-småcellet lungekræft, hvis sygdom er mislykket forudgående platinbaseret kemoterapi eller hos patienter, der er kemoterapi naiv.
Monoterapi med taxoere til NSCLC, der tidligere var behandlet med platinbaseret kemoterapi
To randomiserede kontrollerede forsøg konstaterede, at en taxoter -dosis på 75 mg/m 2 var acceptabel og gav et gunstigt resultat hos patienter, der tidligere var behandlet med platinbaseret kemoterapi (se nedenfor). Taxotere i en dosis på 100 mg/m 2 Imidlertid var forbundet med uacceptable hæmatologiske toksicitetsinfektioner og behandlingsrelateret dødelighed, og denne dosis bør ikke bruges [se Bokset advarsel Dosering og administration ADVARSELS ANd FORHOLDSREGLER ].
Et forsøg (skatte317) randomiserede patienter med lokalt avancerede eller metastatiske ikke-småcellet lungekræft En historie med tidligere platinbaseret kemoterapi Ingen historie med taxaneksponering og en ECOG-præstationsstatus ≤2 til taxotere eller bedste understøttende pleje. Undersøgelsens primære slutpunkt var overlevelse. Patienter blev oprindeligt randomiseret til Taxoterere 100 mg/m 2 Eller bedste støttende pleje, men tidlige giftige dødsfald i denne dosis førte til en dosisreduktion til Taxoterere 75 mg/m 2 . I alt 104 patienter blev randomiseret i denne ændrede undersøgelse til enten Taxoterere 75 mg/m 2 eller bedste støttende pleje.
I et andet randomiseret forsøg (skatte320) 373 patienter med lokalt avancerede eller metastatiske ikke-småcellet lungekræft En historie med tidligere platinbaseret kemoterapi og en ECOG-ydelsesstatus ≤2 blev randomiseret til taxotere 75 mg/m 2 Taxotere 100 mg/m 2 og a treatment in which The investigator chose eiTher vinorelbine 30 mg/m 2 Dage 1 8 og 15 gentages hver 3. uge eller ifosfamid 2 g/m 2 Dage 1-3 gentages hver 3. uge. Fyrre procent af patienterne i denne undersøgelse havde en historie med tidligere paclitaxel -eksponering. Det primære slutpunkt var overlevelse i begge forsøg. Effektivitetsdataene for Taxotere 75 mg/m 2 Arm og komparatorarmene er sammenfattet i tabel 15 og figur 3 og 4, der viser overlevelseskurverne for de to undersøgelser.
Tabel 15: Effektivitet af taxoere i behandlingen af ikke-småcelletilvogne-kræftpatienter, der tidligere blev behandlet med et platinbaseret kemoterapiregime (intention-to-behandling analyse)
| Skat317 | Skat320 | |||
| Docetaxel 75 mg/m 2 n = 55 | Bedst Støttende pleje n = 49 | Docetaxel 75 mg/m 2 n = 125 | Kontrollere (V/i*) n = 123 | |
| Samlet overlevelse | ||||
| Log-rank test | P = 0,01 | P = 0,13 | ||
| Risikoforhold † † Dødelighed (Docetaxel: kontrol) | 0.56 | 0.82 | ||
| 95% CI (risikoforhold) | (NULL,35 0,88) | (NULL,63 1.06) | ||
| Median overlevelse | 7,5 måneder ** | 4,6 måneder | 5,7 måneder | 5,6 måneder |
| 95% der | (5.5 12.8) | (3.7 6.1) | (5.1 7.1) | (4.4 7.9) |
| % 1-årig overlevelse | 37%** † | 12% | 30%** † | 20% |
| 95% der | (24 50) | (2 23) | (22 39) | (13 27) |
| Tid til progression | 12,3 uger ** | 7,0 uger | 8,3 uger | 7,6 uger |
| 95% der | (9.0 18.3) | (6.0 9.3) | (7.0 11.7) | (6.7 10.1) |
| Svarprocent | 5,5% | Ikke relevant | 5,7% | 0,8% |
| 95% der | (1.1 15.1) | (2.3 11.3) | (NULL,0 4.5) | |
| *Vinorelbine/ifosfamid ** P≤0.05 † ukorrekt for flere sammenligninger † † En værdi mindre end 1,00 favoriserer docetaxel |
Kun en af de to forsøg (skatte317) viste en klar effekt på overlevelse af det primære slutpunkt; Denne retssag viste også en øget overlevelsesrate til et år. I den anden undersøgelse (skatte320) favoriserede overlevelsesgraden på et år Taxoterere 75 mg/m 2 .
Figur 3: Skat317 Overlevelse K -M -kurver - Taxotere 75 mg/m 2 Versus bedste støttende pleje
| 2 Versus Best Supportive Care - Illustration' src='//pharmacie-hoffer.eu/img/antineoplastics-antimicrotubular-taxanes/35/taxotere-3.webp' > |
Figur 4: Tax320 Survival K -M -kurver - Taxotere 75 mg/m 2 Versus vinorelbin eller ifosfamidkontrol
| 2 Versus Vinorelbine or Ifosfamide Control - Illustration' src='//pharmacie-hoffer.eu/img/antineoplastics-antimicrotubular-taxanes/35/taxotere-4.webp' > |
Patienter behandlet med taxoere i en dosis på 75 mg/m 2 oplevede ingen forringelse af præstationsstatus og kropsvægt i forhold til komparatorarmene, der blev anvendt i disse forsøg.
Kombinationsterapi med taxoere til kemoterapi-naive NSCLC
I et randomiseret kontrolleret forsøg (skatte326) 1218 patienter med uanvendelig fase IIIB eller IV NSCLC og ingen tidligere kemoterapi blev randomiseret til at modtage en af tre behandlinger: Taxotere 75 mg/m 2 Som en 1 times infusion straks efterfulgt af cisplatin 75 mg/m 2 over 30 til 60 minutter hver 3. uge; Vinorelbin 25 mg/m 2 Administreret over 6-10 minutter på dag 1 8 15 22 efterfulgt af cisplatin 100 mg/m 2 administreret på dag 1 af cyklusser gentaget hver 4. uge; eller en kombination af taxotere og carboplatin.
Det primære effektendepunkt var generelt overlevelse. Behandling med taxotere cisplatin resulterede ikke i en statistisk signifikant overlegen overlevelse sammenlignet med vinorelbin cisplatin (se tabel nedenfor). Det 95% konfidensinterval for fareforholdet (justeret for midlertidig analyse og flere sammenligninger) viser, at tilsætningen af taxoere til cisplatin resulterer i et resultat, der spænder fra en 6% ringere end en 26% overlegen overlevelse sammenlignet med tilsætning af vinorelbin til cisplatin. Resultaterne af en yderligere statistisk analyse viste, at i det mindste (den nedre grænse af 95% konfidensinterval) 62% af den kendte overlevelseseffekt af vinorelbin, når den blev tilsat cisplatin (ca. en 2-måneders stigning i median overlevelse; Wozniak et al. JCO 1998) blev opretholdt. Effektivitetsdataene for Taxotere Cisplatin -armen og komparatorarmen er sammenfattet i tabel 16.
Tabel 16: Overlevelsesanalyse af taxoere i kombinationsterapi til kemoterapi-naive NSCLC
| Sammenligning | Taxotere Cisplatin n = 408 | Vinorelbine cisplatin n = 405 |
| Kaplan-Meier estimat af medianoverlevelse | 10,9 måneder | 10,0 måneder |
| p-værdi a | 0.122 | |
| Estimeret fareforhold b | 0.88 | |
| Justeret 95% CI c | (NULL,74 1.06) | |
| a Fra overlegenhedstesten (stratificeret lograng), der sammenligner taxotere cisplatin med vinorelbin cisplatin b Fare ratio of Taxotere+cisplatin versus vinorelbine+cisplatin. A hazaRd ratio of less Than 1 indicates That Taxotere+cisplatin is associated wiTh a longer survival. c Justeret til midlertidig analyse og flere sammenligninger. |
Den anden sammenligning i den samme tre-armstudie Vinorelbine cisplatin versus Taxotere-carboplatin demonstrerede ikke overlegen overlevelse forbundet med skattearmen (Kaplan-Meier-estimatet af median overlevelse var 9,1 måneder for Taxotere-carboplatin-bevæbningen af 10,0 måneder på den vinorelbine cisplatinarm) og skattemæssigt carbatin-arm demonstrerede ikke på minorelbin cisplatin arm) og skatteotere carbatin-armen demonstrerede ikke på minorelbine cisplatin arm) og skatteotere carbatin-armen demonstrerede ikke på minorelbine cisplatin arm) og den skatteotere carbatin-arm demonstrerede ikke på minorelbine cisplatin arm) af den overlevelseseffekt af vinorelbin tilsat cisplatin. Sekundære endepunkter, der blev evalueret i forsøget, omfattede objektiv respons og tid til progression. Der var ingen statistisk signifikant forskel mellem Taxoterere cisplatin og vinorelbin cisplatin med hensyn til objektiv respons og tid til progression (se tabel 17).
Tabel 17: Respons og TTP-analyse af taxoere i kombinationsterapi til kemoterapi-naive NSCLC
| Slutpunkt | Taxotere Cisplatin | Vinorelbine cisplatin | p-værdi |
| Objektiv svarprocent (95% der) a | 31,6% (NULL,5% 36,8%) | 24,4% (NULL,8% 29,2%) | Ikke Markant |
| Median tid til Progression b (95% der) a | 21,4 uger (19.3 24.6) | 22,1 uger (18.1 25.6) | Ikke Markant |
| a Justeret for flere sammenligninger. b Kaplan-Meier estimerer. |
Kastrationsresistent prostatacancer
Sikkerheden og effektiviteten af taxoterere i kombination med prednison hos patienter med metastatisk kastrationsresistent prostatacancer blev evalueret i et randomiseret multicenteraktiv kontrolforsøg. I alt 1006 patienter med Karnofsky Performance Status (KPS) ≥60 blev randomiseret til følgende behandlingsgrupper:
- Taxotere 75 mg/m 2 hver 3 weeks for 10 cycles.
- Taxotere 30 mg/m 2 Administreret ugentligt i de første 5 uger i en 6-ugers cyklus i 5 cyklusser.
- Mitoxantrone 12 mg/m 2 hver 3 weeks for 10 cycles.
Alle 3 regimer blev administreret i kombination med prednison 5 mg to gange dagligt dagligt.
I Taxotere hver tredje uge blev der vist en statistisk signifikant samlet overlevelsesfordel sammenlignet med mitoxantron. I Taxotere Weekly Arm blev der ikke vist nogen samlet overlevelsesfordel sammenlignet med mitoxantron -kontrolarmen. Effektivitetsresultater for taxotere hver 3. uge -arm versus kontrolarmen er sammenfattet i tabel 18 og figur 5.
Tabel 18: Effektivitet af taxoere i behandlingen af patienter med metastatisk kastrationsbestandig prostatacancer (forsæt-til-behandlingsanalyse)
| Taxotere + Prednisone hver 3 weeks | Mitoxantrone prednison hver 3 weeks | |
| Antal patienter | 335 | 337 |
| Median overlevelse (måneder) | 18.9 | 16.5 |
| 95% der | (17.0-21.2) | (14.4-18.6) |
| Fare ratio | 0.761 | - |
| 95% der | (0.619-0.936) | - |
| p-værdi* | 0.0094 | - |
| *Stratificeret log-rank test. Tærskel for statistisk signifikans = 0,0175 på grund af 3 arme. |
Figur 5: Skat327 Overlevelse K-M-kurver
|
Gastrisk adenocarcinom
Et multicenter åbent randomiseret forsøg blev udført for at evaluere sikkerheden og effektiviteten af taxotere til behandling af patienter med avanceret gastrisk adenocarcinom inklusive adenocarcinom i gastroøsofagealt kryds, som ikke havde modtaget tidligere kemoterapi for avanceret sygdom. I alt 445 patienter med KPS> 70 blev behandlet med enten Taxotere (T) (75 mg/m 2 på dag 1) i kombination med cisplatin (c) (75 mg/m 2 på dag 1) og fluorouracil (F) (750 mg/m 2 pr. dag i 5 dage) eller cisplatin (100 mg/m 2 på dag 1) og fluorouracil (1000 mg/m 2 pr. dag i 5 dage). Længden af en behandlingscyklus var 3 uger for TCF -armen og 4 uger for CF -armen. De demografiske egenskaber blev afbalanceret mellem de to behandlingsarme. Medianalderen var 55 år 71% var mandlige 71% var kaukasiske 24% var 65 år eller ældre 19% havde en forudgående kurativ kirurgi, og 12% havde palliativ kirurgi. Det medianant antal cyklusser, der blev administreret pr. Patient, var 6 (med en rækkevidde på 1-16) for TCF-armen sammenlignet med 4 (med en rækkevidde på 1-12) for CF-armen. Tid til progression (TTP) var det primære slutpunkt og blev defineret som tid fra randomisering til sygdomsprogression eller død af enhver årsag inden for 12 uger efter den sidste evaluelle tumorvurdering eller inden for 12 uger efter den første infusion af undersøgelsesmedicin for patienter uden evalueret tumorvurdering efter randomisering. Fareforholdet (HR) for TTP var 1,47 (CF/TCF 95% CI: 1,19-1,83) med en signifikant længere TTP (P = 0,0004) i TCF-armen. Cirka 75% af patienterne var døde på tidspunktet for denne analyse. Den samlede overlevelse var signifikant længere (P = 0,0201) i TCF-armen med en HR på 1,29 (95% CI: 1,04-1,61). Effektivitetsresultater er sammenfattet i tabel 19 og figur 6 og 7.
Tabel 19: Effektivitet af taxoere i behandlingen af patienter med gastrisk adenocarcinom
| Slutpunkt | TCF n = 221 | Jf n = 224 |
| Median TTP (måneder) (95% CI) | 5.6 (4.86-5.91) | 3.7 (3.45-4.47) |
| Fare ratio † (95% der) | 0,68 (NULL,55-0,84) | |
| *p-værdi | 0.0004 | |
| Median overlevelse (måneder) (95% der) | 9.2 (8.38-10.58) | 8.6 (7.16-9.46) |
| Fare ratio † (95% der) | 0,77 (NULL,62-0,96) | |
| *p-værdi | 0.0201 | |
| Samlet svarprocent (CR+PR) (%) | 36.7 | 25.4 |
| p-værdi | 0.0106 | |
| *Ustratificeret log-rank test † For fareforholdet (TCF/CF) er værdier mindre end 1,00 favorit til Taxotere -armen. |
Figur 6: Gastrisk kræftundersøgelse (skatte325) Tid til progression K-M-kurve
|
Figur 7: Gastrisk kræftundersøgelse (skatte325) Overlevelse K-M-kurve
|
Hoved- og halskræft
Induktionskemoterapi efterfulgt af strålebehandling (skatte323)
Sikkerheden og effektiviteten af taxoere i induktionsbehandlingen af patienter med pladecellecarcinom i hovedet og nakken (SCCHN) blev evalueret i et multicenter åbent randomiseret forsøg (Tax323). I denne undersøgelse blev 358 patienter med inoperable lokalt avanceret SCCHN og WHO præstationsstatus 0 eller 1 randomiseret til en af to behandlingsarme. Patienter på Taxotere -armen modtog Taxotere (T) 75 mg/m 2 efterfulgt af cisplatin (p) 75 mg/m 2 På dag 1 efterfulgt af fluorouracil (F) 750 mg/m 2 pr. dag som en kontinuerlig infusion på dag 1-5. Cyklusserne blev gentaget hver tredje uge i 4 cyklusser. Patienter, hvis sygdom ikke fremskridt modtog strålebehandling (RT) i henhold til institutionelle retningslinjer (TPF/RT). Patienter på komparatorarmen modtog cisplatin (p) 100 mg/m 2 På dag 1 efterfulgt af fluorouracil (F) 1000 mg/m 2 /dag som en kontinuerlig infusion på dag 1-5. Cyklusserne blev gentaget hver tredje uge i 4 cyklusser. Patienter, hvis sygdom ikke fremskridt, modtog RT i henhold til institutionelle retningslinjer (PF/RT). Ved afslutningen af kemoterapi med et minimalt interval på 4 uger og et maksimalt interval på 7 ugers patienter, hvis sygdom ikke fremskridt modtog strålebehandling (RT) i henhold til institutionelle retningslinjer. Locoregional terapi med stråling blev leveret enten med et konventionelt fraktionsregime (NULL,8 Gy-2.0 Gy en gang om dagen 5 dage om ugen for en samlet dosis på 66 til 70 Gy) eller med en accelereret/hyperfraktioneret regime (to gange om dagen med et minimumsinterfraktionsinterval på 6 timer 5 dage pr. Uge for en samlet dosis på 70 til 74 GY). Kirurgisk resektion blev tilladt efter kemoterapi før eller efter strålebehandling.
Det primære endepunkt i denne undersøgelse-progression-fri overlevelse (PFS) var signifikant længere i TPF-armen sammenlignet med PF-armen P = 0,0077 (median PFS: 11,4 mod 8,3 måneder) med en samlet median opfølgningstid på 33,7 måneder. Median samlet overlevelse med en median opfølgning på 51,2 måneder var også signifikant længere til fordel for TPF-armen sammenlignet med PF-armen (median OS: 18,6 mod henholdsvis 14,2 måneder). Effektivitetsresultater er vist i tabel 20 og figur 8 og 9.
Tabel 20: Effektivitet af taxoere i induktionsbehandlingen af patienter med inoperable lokalt avancerede SCCHN (intention-to-treat analyse)
| Slutpunkt | Taxotere + Cisplatin Fluorouracil n = 177 | Cisplatin Fluorouracil n = 181 |
| Median progression gratis overlevelse (måneder) (95% der) | 11.4 (10.1-14.0) | 8.3 (7.4-9.1) |
| Justeret fareforhold (95% der) | 0.71 (NULL,56-0,91) | |
| *p-værdi | 0.0077 | |
| Median overlevelse (måneder) (95% der) | 18.6 (15.7-24.0) | 14.2 (11.5-18.7) |
| Fare ratio (95% der) | 0.71 (NULL,56-0,90) | |
| ** p-værdi | 0.0055 | |
| Bedst overall response (CR + PR) to Kemoterapi (%) (95% der) | 67.8 (60.4-74.6) | 53.6 (46.0-61.0) |
| *** p-værdi | 0.006 | |
| Bedst overall response (CR + PR) to study treatment [kemoterapi /- strålebehandling] (%) (95% der) | 72.3 (65.1-78.8) | 58.6 (51.0-65.8) |
| *** p-værdi | 0.006 | |
| Et fareforhold på mindre end 1 favoriserer Taxotere cisplatin fluorouracil *Stratificeret log-rank-test baseret på det primære tumorsted ** Stratificeret log-rank test ikke justeret for flere sammenligninger *** Chi Square -test ikke justeret for flere sammenligninger |
Figur 8: Skat323 Progression-fri overlevelse K-M-kurve
|
Figur 9: Skat323 Samlet overlevelse K-M-kurve
|
Induktion Kemoterapi efterfulgt af kemoradioterapi (Tax324)
Sikkerheden og effektiviteten af taxoere i induktionsbehandlingen af patienter med lokalt avanceret (uanvendelig lav kirurgisk kur eller organbevaring) SCCHN blev evalueret i en randomiseret multicenter open-label-undersøgelse (Tax324). I denne undersøgelse blev 501 patienter med lokalt avanceret SCCHN og en WHO -præstationsstatus på 0 eller 1 randomiseret til en af to behandlingsarme. Patienter på Taxotere -armen modtog Taxotere (T) 75 mg/m 2 ved intravenøs infusion på dag 1 efterfulgt af cisplatin (p) 100 mg/m 2 Administreret som en 30-minutters til tre timers intravenøs infusion efterfulgt af den kontinuerlige intravenøse infusion af fluorouracil (F) 1000 mg/m 2 /dag fra dag 1 til dag 4. Cyklusserne blev gentaget hver 3. uge i 3 cyklusser. Patienter på komparatorarmen modtog cisplatin (p) 100 mg/m 2 Som en 30-minutters til tre timers intravenøs infusion på dag 1 efterfulgt af den kontinuerlige intravenøse infusion af fluorouracil (F) 1000 mg/m 2 /dag fra dag 1 til dag 5. Cyklusserne blev gentaget hver 3. uge i 3 cyklusser.
Alle patienter i begge behandlingsarme, der ikke havde progressiv sygdom, skulle modtage 7 ugers kemoradioterapi (CRT) efter induktionskemoterapi 3 til 8 uger efter starten af den sidste cyklus. Under strålebehandling blev carboplatin (AUC 1,5) givet ugentligt som en times intravenøs infusion i maksimalt 7 doser. Stråling blev leveret med megavoltageudstyr ved anvendelse af en gang daglig fraktionering (2 Gy pr. Dag 5 dage om ugen i 7 uger for en samlet dosis på 70-72 Gy). Kirurgi på det primære sted for sygdom og/eller hals kunne overvejes til enhver tid efter afslutningen af CRT.
Den primære effektende endpoint samlede overlevelse (OS) var signifikant længere (log-rank test P = 0,0058) med det taxoteriske holdige regime sammenlignet med PF (median OS: 70,6 vs 30,1 måneders fareforhold [HR] = 0,70 95% konfidensinterval [CI] = 0,54-0,90). De samlede overlevelsesresultater er vist i tabel 21 og figur 10.
Tabel 21: Effektivitet af taxoere i induktionsbehandlingen af patienter med lokalt avanceret SCCHN (intention-to-treat analyse)
| Slutpunkt | Taxotere Cisplatin + Fluorouracil n = 255 | Cisplatin Fluorouracil n = 246 |
| Median samlet overlevelse (måneder) (95% der) | 70.6 (49.0-NE) | 30.1 (20.9-51.5) |
| Fare ratio: (95% der) *p-værdi | 0.70 (NULL,54-0,90) 0.0058 | |
| Et fareforhold på mindre end 1 favoriserer Taxotere cisplatin fluorouracil *Ujusteret log-rank test Ne - ikke estimerbar |
Figur 10: Skat324 Samlet overlevelse K-M-kurve
|
Patientoplysninger til taxotere
Taxotere
(Tax-O-Teer)
(docetaxel) injektion til intravenøs brug
Hvad er de vigtigste oplysninger, jeg skal vide om Taxotere?
Taxotere can cause serious side effects including deaTh.
Din sundhedsudbyder tjekker dig for nye kræftformer under og efter din behandling med Taxoterere.
- Chancen for død hos mennesker, der modtager taxoere, er højere, hvis du:
- har leverproblemer
- Modtag høje doser af Taxotere
- Har ikke-småcellet lungekræft og er blevet behandlet med kemoterapimedicin, der indeholder platin
- Taxotere can affect your blood cells. Din sundhedsudbyder skal udføre rutinemæssige blodprøver under behandling med taxoere. Dette vil omfatte regelmæssige kontroller af dine tællinger af hvide blodlegemer. Hvis dine hvide blodlegemer er for lave, behandler din sundhedsudbyder dig muligvis ikke dig med taxoere, før du har nok hvide blodlegemer. Mennesker med lavt antal hvide blodlegemer kan udvikle livsinterende infektioner. Det tidligste tegn på infektion kan være feber. Følg din sundhedsudbyders instruktioner om, hvor ofte du skal tage din temperatur under behandling med Taxoterere. Ring til din sundhedsudbyder med det samme, hvis du har feber.
- Hævelse (betændelse) af tyndtarmen og tyktarmen. Dette kan ske når som helst under behandlingen og kan føre til død allerede den første dag, du får symptomer. Fortæl din sundhedsudbyder med det samme, hvis du udvikler nye eller værre symptomer på tarmproblemer, herunder mave (abdominal) smerte eller ømhed eller diarré med eller uden feber.
- Alvorlig allergic reactions er medicinske nødsituationer, der kan ske hos mennesker, der modtager taxoere og kan føre til død. Du kan have en højere risiko for at udvikle en alvorlig allergisk reaktion på taxotere, hvis du er allergisk over for paclitaxel. Din sundhedsudbyder overvåger dig nøje for allergiske reaktioner under din Taxotere -infusion.
Fortæl din sundhedsudbyder med det samme, hvis du har nogen af disse tegn på en alvorlig allergisk reaktion:
- problemer med at trække vejret
- Pludselig hævelse af dine ansigtslæber tunge hals eller problemer med at sluge
- Beløb (hævede buler) udslæt eller rødme over hele din krop
- Din krop kan indeholde for meget væske (alvorlig væskeopbevaring) Under behandling med Taxotere. Dette kan være livstruende. For at mindske chancen for, at dette sker, skal du tage en anden medicin en kortikosteroid inden hver taxotere -behandling. Du skal tage kortikosteroiden nøjagtigt, som din sundhedsudbyder fortæller dig. Fortæl din sundhedsudbyder eller sygeplejerske inden din taxoere -behandling, hvis du glemte at tage din kortikosteroiddosis eller ikke tage den, som din sundhedsudbyder fortæller dig. Fortæl din sundhedsudbyder med det samme, hvis du har hævelse i dine ben eller fødder vægtøgning eller åndenød.
- Risiko for nye kræftformer. En stigning i nye (anden) kræftformer er sket hos mennesker, der blev behandlet med taxotere sammen med visse andre anticancerbehandlinger. Dette inkluderer visse blodkræftformer, såsom akut myeloide leukæmi (AML) myelodysplastisk syndrom (MDS) ikke-Hodgkins lymfom (NHL) og nyrecancer.
- Ændringer i blodtællinger på grund af leukæmi og andre blodforstyrrelser kan forekomme år efter behandling med taxoere.
- Alvorlig skin problems
Fortæl din sundhedsudbyder med det samme, hvis du har nogen af disse tegn på en alvorlig hudreaktion:
- Rødhed og hævelse af dine arme og ben.
- Blærende skrælning eller blødning på nogen del af din hud (inklusive dine læber øjne mund næse kønsorganer hænder eller fødder) med eller uden udslæt. Du kan også have influenzalignende symptomer såsom feber kulderystelser eller muskelsmerter.
- Rød skællende udslæt over hele din krop med blemmer små røde eller hvide stød under huden, der indeholder pus (pustules) og feber.
Hvad er Taxotere?
Taxotere is a prescription anticancer medicine used to treat certain people wiTh:
- brystkræft
- Ikke-småcellet lungekræft
- prostatacancer
- mavekræft
- Hoved- og halskræft
Det vides ikke, om Taxotere er effektiv hos børn.
Modtag ikke taxoere, hvis du:
- har et lavt antal hvide blodlegemer.
- har haft en alvorlig allergisk reaktion på:
- docetaxel den aktive ingrediens i taxotere eller
- Eventuelle andre lægemidler, der indeholder polysorbat 80. Spørg din sundhedsudbyder eller farmaceut, hvis du ikke er sikker.
Se Hvad er de vigtigste oplysninger, jeg skal vide om Taxotere? For tegn og symptomer på en alvorlig allergisk reaktion.
Se The end of This Patient Information for a complete list of The ingredients in Taxotere.
Før du modtager Taxotere, fortæl din sundhedsudbyder om alle dine medicinske tilstande, herunder hvis du:
Mænd med kvindelige partnere, der er i stand til at blive gravide, skal bruge effektiv prævention under behandling med Taxotere og i 3 måneder efter den sidste dosis.
Tal med din sundhedsudbyder, hvis du har spørgsmål om fødselsbekæmpelsesmuligheder, der er rigtige for dig.
- er allergiske over for medicin inklusive paclitaxel. Se Modtag ikke taxoere, hvis du .
- har leverproblemer
- har nyreproblemer
- er gravide eller planlægger at blive gravid. Taxotere kan skade din ufødte baby. Du skal ikke blive gravid under behandling med Taxoterere. Fortæl din sundhedsudbyder, hvis du bliver gravid, eller du tror, du kan være gravid under behandling med Taxoterere.
Hunner who are able to become pregnant:
- Din sundhedsudbyder kontrollerer, om du er gravid, før du starter behandling med Taxotere.
- Du skal bruge effektiv prævention (prævention) under behandling med taxoere og i 6 måneder efter den sidste dosis.
- er amning eller planlægger at amme. Det vides ikke, om Taxotere passerer ind i din modermælk. Amm ikke under behandling med taxoere og i 1 uge efter den sidste dosis.
Fortæl din sundhedsudbyder om alle de medicin, du tager inklusive receptpligtige og over-counter medicin vitaminer og urtetilskud. Taxotere kan påvirke den måde, andre medicin fungerer på, og andre lægemidler kan påvirke den måde, som Taxotere fungerer på.
Kend de medicin, du tager. Opbevar en liste over dem for at vise din sundhedsudbyder og apotek, når du får en ny medicin.
Hvordan modtager jeg taxoere?
- Taxotere will be given to you as an intravenous (IV) injection into your vein usually over 1 hour.
- Taxotere is usually given hver 3 weeks.
- Din sundhedsudbyder vil beslutte, hvor længe du vil modtage behandling med taxoere.
- Din sundhedsudbyder tjekker dine blodlegemer og andre blodprøver under din behandling med Taxotere for at kontrollere for bivirkninger af taxoere.
- Din sundhedsudbyder kan stoppe din behandlingsændring på timingen af din behandling eller ændre dosis af din behandling, hvis du har visse bivirkninger, mens du modtager taxoere.
Hvad er de mulige bivirkninger af taxoterere?
hvor meget zofran kan jeg tage
Taxotere may cause serious side effects including deaTh.
- Se Hvad er de vigtigste oplysninger, jeg skal vide om Taxotere?
- Neurologiske problemer. Neurologiske symptomer er almindelige hos mennesker, der modtager taxoere, men kan være alvorlige. Fortæl din sundhedsudbyder med det samme, hvis du har følelsesløshed, der kribler eller brænder i dine hænder eller fødder (perifer neuropati) eller svaghed i dine benfødder eller hænder (motor svaghed).
- Synsproblemer inklusive sløret syn eller tab af syn. Fortæl din sundhedsudbyder med det samme, hvis du har ændringer i vision.
- Taxotere injection contains alcohol. Alkoholindholdet i Taxotere kan forringe din evne til at køre eller bruge maskiner lige efter at have modtaget taxoere. Overvej, om du skal køre betjeningsmaskiner eller udføre andre farlige aktiviteter lige efter du har modtaget taxoere -behandling.
- Tumor Lysis Syndrome (TLS). TLS er forårsaget af den hurtige nedbrydning af kræftceller. TLS kan forårsage nyresvigt behovet for dialysebehandling eller hjerteproblemer og kan føre til død. Din sundhedsudbyder udfører blodprøver for at kontrollere for TLS, når du først starter behandling og under behandling med Taxotere. Fortæl din sundhedsudbyder med det samme, hvis du har symptomer på TLS under behandling med taxoere, herunder:
- kvalme
- opkast
- forvirring
- åndenød
- uregelmæssig hjerteslag
- Mørk eller overskyet urin
- reduceret mængde urin
- usædvanlig træthed
- Muskelkramper
- Du kan opleve bivirkninger af denne medicin, der kan forringe din evne til at drive brugsværktøjer eller betjeningsmaskiner. Hvis dette sker, skal du ikke køre eller bruge værktøjer eller maskiner, før du diskuterer med din sundhedsudbyder.
De mest almindelige bivirkninger af taxoere inkluderer:
- infektioner
- Lave hvide blodlegemer (hjælp til at bekæmpe infektioner) Lav røde blodlegemer (anæmi) og lave blodplader (hjælpe blod til at koagulere)
- Allergiske reaktioner (se Hvad er de vigtigste oplysninger, jeg skal vide om Taxotere? )
- Ændringer i din smagsfølelse
- åndenød
- forstoppelse
- nedsat appetit
- Ændringer i dine negle eller tånegle
- Hævelse af dine hænder ansigt eller fødder
- Føles svag eller træt
- led og muskelsmerter
- kvalme og opkast
- diarre
- mund eller læbersår
- Hårtab: I nogle mennesker er der rapporteret om permanent hårtab
- Rødhed af øjet overskydende rivning
- Hudreaktioner på stedet for Taxotere -administration, såsom øget hudpigmentering Rødhed ømhed hævelse Varm eller tørhed i huden
- Vævsskade Hvis taxotere lækker ud af vene i vævet
Fortæl din sundhedsudbyder, hvis du har en hurtig eller uregelmæssig hjerteslag alvorlig åndenød. besvimende Under din infusion. Hvis nogen af disse begivenheder opstår, når din infusion får medicinsk hjælp med det samme.
Taxotere may affect fertility in males. Talk to your healThcare provider if This is a concern for you.
Dette er ikke alle de mulige bivirkninger af taxoterere. For mere information, spørg din sundhedsudbyder eller apotek.
Ring til din sundhedsudbyder for medicinsk rådgivning om bivirkninger. Du kan rapportere bivirkninger til FDA på 1-800-FDA-1088.
Generel information om sikker og effektiv anvendelse af taxoere.
Medicin er undertiden ordineret til andre formål end dem, der er anført i denne patientinformation.
Du kan bede din farmaceut eller sundhedsudbyder om information om taxoere, der er skrevet til sundhedsfagfolk.
Hvad er ingredienserne i taxoere?
Aktiv ingrediens: Docetaxel
Inaktive ingredienser: Polysorbat 80 og dehydreret alkoholopløsning med citronsyre til pH -justering.
Denne patientinformation er godkendt af U.S. Food and Drug Administration.