Oplysningerne På Webstedet Er Ikke Medicinsk Rådgivning. Vi Sælger Ikke Noget. Nøjagtigheden Af Oversættelsen Er Ikke Garanteret. Ansvarsfraskrivelse
Neuromuskulære blokkeere, ikke -depolariserende
Vecuronium bromid
Resume af lægemiddeloversigt
Hvad er vecuroniumbromid?
Vecuroniumbromid til injektion er et ikke -depolariserende neuromuskulært blokerende middel indikeret som et supplement til generel anæstesi for at lette endotracheal intubation og for at tilvejebringe skeletmuskelafslapning under operation eller mekanisk ventilation. Vecuronium bromid fås i generisk form.
Hvad er bivirkninger af vecuroniumbromid?
Vecuronium bromid
- elveblest
- Besvær
- Hævelse af dine ansigtslæber tunge eller hals
- Langvarig muskelsvaghed
- usædvanligt hurtig eller langsom hjerterytme
- svimmelhed og
- feber
Få medicinsk hjælp med det samme, hvis du har nogen af de symptomer, der er anført ovenfor.
Hvilken klasse af narkotika er seroquel
Almindelige bivirkninger af vecuroniumbromid inkluderer:
- Langvarig skeletmuskelsvaghed til dybtgående og langvarig skeletmuskellammelse, hvilket resulterer i åndedrætsbesvær
Søg medicinsk behandling eller ring 911 på én gang, hvis du har følgende alvorlige bivirkninger:
- Alvorlige øjensymptomer såsom pludseligt synstab sløret synet tunnel vision øje smerter eller hævelse eller at se haloer omkring lys;
- Alvorlige hjertesymptomer såsom hurtig uregelmæssige eller bankende hjerteslag; flagrende i brystet; åndenød; Og pludselig svimmelhed Lightheadedness eller gå ud;
- Alvorlig hovedpine forvirring sløret tale arm eller ben svaghed problemer med at gå tab af koordination føles ustabil meget stive muskler høj feber voldsom sved eller rysten.
Dette dokument indeholder ikke alle mulige bivirkninger, og andre kan forekomme. Kontakt din læge for yderligere oplysninger om bivirkninger.
Dosering til vecuroniumbromid
Den anbefalede indledende dosis vecuroniumbromid er 0,08 til 0,1 mg/kg (NULL,4 til 1,75 gange ED) givet som en intravenøs bolusinjektion.
Hvilke stoffer stoffer eller kosttilskud interagerer med vecuroniumbromid?
Vecuronium bromid kan interagere med Succinylcholin Andre ikke -depolariserende neuromuskulære blokerende midler inhalationsanæstetika høje doser af visse antibiotika alkaliske opløsninger quinidin og magnesiumsalte. Fortæl din læge alle medicin og kosttilskud, du bruger.
Vecuronium bromid under graviditet og amning
Fortæl din læge, hvis du er gravid eller planlægger at blive gravid, før du bruger vecuroniumbromid; Det er ukendt varmt, det ville påvirke et foster. Det er ukendt, om vecuroniumbromid passerer til modermælk. Kontakt din læge inden amning.
Yderligere oplysninger
Vores Vecuronium -bromid til injektions bivirkninger lægemiddelcenter giver et omfattende overblik over tilgængelige lægemiddelinformation om de potentielle bivirkninger, når du tager denne medicin.
FDA -lægemiddelinformation
- Lægemiddelbeskrivelse
- Indikationer
- Bivirkninger
- Advarsler
- Forholdsregler
- Overdosis
- Klinisk farmakologi
- Medicin vejledning
ADVARSEL
Dette stof skal administreres af tilstrækkeligt uddannede personer, der er bekendt med dets handlinger og farer.
Beskrivelse til vecuroniumbromid
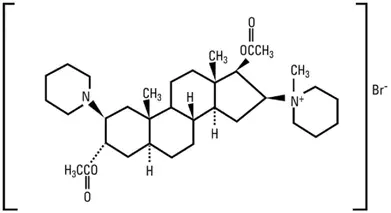
Vecuroniumbromid til injektion er et ikke-depolariserende neuromuskulært blokeringsmiddel for mellemvarighed kemisk betegnet som 1- (3a17β-dihydroxy-2β-piperidino-5a-androstan-16β5a-yl) -1-methylpiperidiniumbrom-diacetate. Vecuroniumbromid til injektion fremstilles som en opløsning og lyofiliseres i sin endelige beholder. Den strukturelle formel er:
|
Dens kemiske formel er C 34 H 57 Brn 2 O 4 med molekylvægt 637,73.
Vecuroniumbromid leveres som en steril ikke-pyrogen frysetørret bufret kage af meget fine mikroskopiske krystallinske partikler til intravenøs injektion. Hvert 10 ml hætteglas indeholder 10 mg vecuroniumbromid 20,75 mg citronsyre vandfri 16,25 mg natriumphosphatdibasisk vandfri 97 mg mannitol (for at justere tonicitet) natriumhydroxid og/eller fosforsyre til buffer og justere til en pH på 4 (3.5 til 4.5). Hvert 20 ml hætteglas indeholder 20 mg vecuroniumbromid 41,5 mg citronsyre vandfri 32,5 mg natriumphosphatdibasisk vandfri 194 mg mannitol (for at justere tonicitet) natriumhydroxid og/eller fosforsyre til puffer og justere til en pH på 4 (NULL,5 til 4.5). Bakteriostatisk vand til injektion USP, når det bruges, indeholder benzylalkohol, som ikke er til brug hos nyfødte.
Bruger til vecuroniumbromid
Vecuroniumbromid er indikeret som et supplement til generel anæstesi for at lette endotracheal intubation og for at tilvejebringe skeletmuskelafslapning under operation eller mekanisk ventilation.
Dosering til vecuroniumbromid
Vecuroniumbromid til injektion er kun til intravenøs brug. Dette lægemiddel skal administreres af eller under opsyn af erfarne klinikere, der er bekendt med brugen af neuromuskulære blokeringsmidler. Dosering skal individualiseres i hvert tilfælde. Doseringsoplysningerne, der følger, er afledt af undersøgelser baseret på enheder med lægemiddel pr. Enhed af kropsvægt og er beregnet til kun Lægemiddelinteraktioner ).
At opnå maksimale kliniske fordele ved vecuroniumbromid og at minimere muligheden for overdosering af overvågning af muskeltræk respons på perifer nervestimulering anbefales.
Den anbefalede indledende dosis vecuroniumbromid er 0,08 til 0,1 mg/kg (NULL,4 til 1,75 gange ED90), der blev givet som en intravenøs bolusinjektion. Denne dosis kan forventes at producere gode eller fremragende ikke -nødsintubationsbetingelser på 2,5 til 3 minutter efter injektion. Under afbalanceret anæstesi krævede klinisk neuromuskulær blokade ca. 25 til 30 minutter med bedring til 25% af kontrol opnået ca. 25 til 40 minutter efter injektion og bedring til 95% af kontrollen opnåede ca. 45 til 65 minutter efter injektion. I nærvær af potent inhalationsanæstetika forbedres den neuromuskulære blokeringseffekt af vecuroniumbromid. Hvis vecuroniumbromid først administreres mere end 5 minutter efter starten af inhalationsmidlet, eller når stabil tilstand er opnået, kan den indledende vecuroniumbromiddosis reduceres med ca. 15%, dvs. 0,06 til 0,085 mg/kg.
Tidligere administration af succinylcholin kan forbedre den neuromuskulære blokeringseffekt og virkning af vecuroniumbromid. Hvis intubation udføres under anvendelse af succinylcholin, er der en reduktion af den indledende dosis af vecuroniumbromid til 0,04 til 0,06 mg/kg med inhalationsanæstesi og 0,05 til 0,06 mg/kg med afbalanceret anæstesi.
Under langvarige kirurgiske procedurer anbefales vedligeholdelsesdoser på 0,01 til 0,015 mg/kg vecuroniumbromid; Efter den indledende vecuroniumbromidinjektion kræves den første vedligeholdelsesdosis generelt inden for 25 til 40 minutter. Kliniske kriterier bør dog bruges til at bestemme behovet for vedligeholdelsesdoser.
Da vecuroniumbromid mangler klinisk vigtige kumulative effekter, kan efterfølgende vedligeholdelsesdoser om nødvendigt administreres med relativt regelmæssige intervaller for hver patient, der spænder ca. 12 til 15 minutter under afbalanceret anæstesi lidt længere under inhalationsmidler. (Hvis der ønskes mindre hyppig administration, kan der administreres højere vedligeholdelsesdoser.)
Skulle der være grund til valg af større doser hos individuelle patienters indledende doser, der spænder fra 0,15 mg/kg til 0,28 mg/kg, er blevet administreret under operationen under halothanbedøvelse uden dårlige effekter på det kardiovaskulære system, der bemærkes, så længe ventilation opretholdes korrekt (se Klinisk farmakologi - Farmakokinetik ).
Brug ved kontinuerlig infusion
Efter en intuberende dosis på 80 til 100 mcg/kg kan en kontinuerlig infusion på 1 mcg/kg/min initieres ca. 20 til 40 minutter senere. Infusion af vecuroniumbromid bør kun initieres efter tidlig bevis for spontan bedring fra bolusdosis. Langvarig intravenøs infusion til understøttelse af mekanisk ventilation i intensivafdelingen er ikke undersøgt tilstrækkeligt til at understøtte doseringsanbefalinger. (Se FORHOLDSREGLER Langsigtet brug i I.C.U. ).
Infusionen af vecuroniumbromid skal individualiseres for hver patient. Administrationshastigheden skal justeres i henhold til patientens trækrespons som bestemt ved perifer nervestimulering. En indledende hastighed på 1 mcg/kg/min anbefales med hastigheden af infusionsjusteret derefter for at opretholde en 90% undertrykkelse af trækrespons. Gennemsnitlige infusionshastigheder kan variere fra 0,8 til 1,2 mcg/kg/min.
Inhalationsanæstetika, især enfluran og isofluran, kan forbedre den neuromuskulære blokerende virkning af ikke -depolariserende muskelafslappende stoffer. I nærvær af stabilitetskoncentrationer af enfluran eller isofluran kan det være nødvendigt at reducere infusionshastigheden 25 til 60 procent 45 til 60 minutter efter den intuberende dosis. Under halothanbedøvelse er det muligvis ikke nødvendigt at reducere infusionshastigheden.
Spontan bedring og reversering af neuromuskulær blokade efter seponering af vecuroniumbromidinfusion kan forventes at fortsætte med satser, der kan sammenlignes med det efter en enkelt bolusdosis (se Klinisk farmakologi ).
Infusionsløsninger af vecuroniumbromid kan fremstilles ved at tilføje vecuroniumbromid med et â â
Ubrugte dele af infusionsløsninger skal kasseres.
Infusionshastigheder for vecuroniumbromid kan individualiseres for hver patient ved hjælp af følgende tabel:
| Lægemiddelafgivelseshastighed (MCG/kg/min) | Infusionsleveringshastighed (ml/kg/min) | |
| 0,1 mg/ml* | 0,2 mg/ml † | |
| 0.7 | 0.007 | 0.0035 |
| 0.8 | 0.008 | 0.004 |
| 0.9 | 0.009 | 0.0045 |
| 1 | 0.01 | 0.005 |
| 1.1 | 0.011 | 0.0055 |
| 1.2 | 0.012 | 0.006 |
| 1.3 | 0.013 | 0.0065 |
| * 10 mg vecuroniumbromid i 100 ml opløsning † 20 mg vecuroniumbromid i 100 ml opløsning |
Følgende tabel er en retningslinje for levering af ml/min til en opløsning på 0,1 mg/ml (10 mg i 100 ml) med en infusionspumpe.
Vecuronium bromidinfusionshastighed - ml/min
| Mængde af medikament mcg/kg/min | Patientvægt -kg | ||||||
| 40 | 50 | 60 | 70 | 80 | 90 | 100 | |
| 0.7 | 0.28 | 0.35 | 0.42 | 0.49 | 0.56 | 0.63 | 0.7 |
| 0.8 | 0.32 | 0.4 | 0.48 | 0.56 | 0.64 | 0.72 | 0.8 |
| 0.9 | 0.36 | 0.45 | 0.54 | 0.63 | 0.72 | 0.81 | 0.9 |
| 1 | 0.4 | 0.5 | 0.6 | 0.7 | 0.8 | 0.9 | 1 |
| 1.1 | 0.44 | 0.55 | 0.66 | 0.77 | 0.88 | 0.99 | 1.1 |
| 1.2 | 0.48 | 0.6 | 0.72 | 0.84 | 0.96 | 1.08 | 1.2 |
| 1.3 | 0.52 | 0.65 | 0.78 | 0.91 | 1.04 | 1.17 | 1.3 |
Bemærk: Hvis der anvendes en koncentration på 0,2 mg/ml (20 mg i 100 ml), skal hastigheden reduceres med enhalf.
Brug i pædiatri
Pædiatriske patienter (10 til 16 år) har omtrent de samme doseringskrav (mg/kg) som voksne og kan styres på samme måde. Yngre pædiatriske patienter (1 til 10 år) kan kræve en lidt højere indledende dosis og kan også kræve tilskud lidt oftere end voksne.
Spædbørn under 1 års alder, men ældre end 7 uger er moderat mere følsomme over for vecuroniumbromid på mg/kg -basis end voksne og tager ca. 1,5 gange så lang tid at komme sig. Se også underafsnit FORHOLDSREGLER titlet pædiatrisk brug. Oplysninger, der i øjeblikket er tilgængelige, tillader ikke anbefaling om brug hos pædiatriske patienter under 7 uger (se FORHOLDSREGLERPEDIATRIC USE ). There are insufficient data concerning continuous infusion of vecuronium in pediatric patients therefore no dosing recommendations can be made.
Kompatibilitet
Vecuronium bromid er kompatibel i opløsning med:
Natriumchlorid 0,9% injektion
Dextrose 5% injektion
Sterilt vand til injektion
Dextrose 5% i natriumchlorid 0,9% injektion
Lacterated Ringer's injektion
Brug inden for 24 timer efter blanding med ovenstående løsninger.
Vecuronium bromid er også kompatibel i opløsning med: bakteriostatisk vand til injektion (ikke til brug i nyfødte) brug inden for 5 dage efter blanding med ovenstående opløsning.
Rekonstitueret vecuroniumbromid, der har en syre pH, bør ikke blandes med alkaliske opløsninger (f.eks. Barbituratopløsninger, såsom thiopental) i den samme sprøjte eller administreres samtidig under intravenøs infusion gennem den samme nål eller gennem den samme intravenøse linje.
Efter rekonstitution
Se Dosering og administration - Kompatibilitet Til fortyndingsmidler, der er kompatible med vecuroniumbromid til injektion.
Enkelt dosisbrug : Når det er rekonstitueret med kompatible IV -opløsninger, der ikke indeholder et antimikrobielt konserveringsmiddel (f.eks. Sterilt vand til injektion) køleskab og brug inden for 24 timer. Kasser ubrugt del.
Brug af flere dosis : (Ikke til brug hos nyfødte.) Når det er rekonstitueret med bakteriostatisk vand til injektionsbrug inden for 5 dage. Den rekonstituerede opløsning kan opbevares ved stuetemperatur eller køles.
Parenterale lægemiddelprodukter skal inspiceres visuelt for partikler og misfarvning inden administration hver gang løsning og containertilladelse.
Risiko for medicinfejl
Utilsigtet administration af neuromuskulære blokeringsmidler kan være dødelig. Opbevar vecuroniumbromid til injektion med hætten og ferrulen intakt og på en måde, der minimerer muligheden for at vælge det forkerte produkt.
Hvor leveret
Vecuronium bromid til injektion leveres som følger:
| NDC | Pakket | |
| 10 mg vecuronium bromid | 0143-9234-10 | Kasse med 10 hætteglas |
| 20 mg vecuronium bromid | 0143-9232-10 | Kasse med 10 hætteglas |
Opbevar tørt pulver ved 20 ° til 25 ° C (68 ° til 77 ° F) [Se USP -kontrolleret stuetemperatur ]. Beskyt mod lys. Bevar i karton indtil tidspunktet for os e.
Fremstillet af: Hikma Pharmaceutical (Portugal) S.A. Rio da Mo 8a Estrada 8a og 8b â € 2705-906 Terrugem SNT Portugal. Distribueret af: Eatontown NJ 07724 USA. Revideret: juni 2019
Bivirkninger til vecuroniumbromid
Der har været postmarketingrapporter om alvorlige allergiske reaktioner (anafylaktiske og anafylaktoidreaktioner) forbundet med anvendelse af neuromuskulære blokerende midler, herunder vecuroniumbromid. Disse reaktioner har i nogle tilfælde været livstruende og dødelige. Fordi disse reaktioner blev rapporteret frivilligt fra en population af usikker størrelse, er det ikke muligt at pålideligt estimere deres frekvens (se ADVARSELS AND FORHOLDSREGLER ).
The most frequent adverse reaction to nondepolarizing blocking agents as a class consists of an extension of the drug's pharmacological action beyond the time period needed. This may vary from skeletal muscle weakness to profound and prolonged skeletal muscle paralysis resulting in respiration insufficiency or apnea.
Utilstrækkelig reversering af den neuromuskulære blokade er mulig med vecuroniumbromid som med alle curariforme lægemidler. Disse bivirkninger styres af manuel eller mekanisk ventilation, indtil bedring bedømmes tilstrækkelig. Lidt eller ingen stigning i intensiteten af blokade eller virkningstid med vecuroniumbromid bemærkes ud fra brugen af thiobarbiturater narkotiske smertestillende nitrogenoxid eller droperidol. Se Overdosering Til diskussion af andre lægemidler, der bruges i anæstetisk praksis, som også forårsager luftvejsdepression.
Forlænget til dybe udvidelser af lammelse og/eller muskelsvaghed samt muskelatrofi er rapporteret efter langvarig anvendelse til understøttelse af mekanisk ventilation i intensivafdelingen (se FORHOLDSREGLER Langsigtet brug i I.C.U. ). The administration of vecuronium bromide has been associated with rare instances of hypersensitivity reactions (bronchospasm hypotension og/or tachycardia sometimes associated with acute urticaria or erythema); (see also Klinisk farmakologi ).
Lægemiddelinteraktioner for vecuroniumbromid
Interaktioner om lægemiddel/laboratorieprøve
Ingen kendt
Advarsler for Vecuronium Bromide
Anafylaksi
Severe anaphylactic reactions to neuromuscular blocking agents including VECURONIUM BROMIDE have been reported. These reactions have in some cases been life-threatening and fatal. Due to the potential severity of these reactions the necessary precautions such as the immediate availability of appropriate emergency treatment should be taken. Precautions should also be taken in those individuals who have had previous anaphylactic reactions to other neuromuscular blocking agents since cross-reactivity between neuromuscular blocking agents both depolarizing and non-depolarizing has been reported in this class of drugs.
Vecuronium skal administreres i omhyggeligt justeret dosering af eller under opsyn af erfarne klinikere, der er bekendt med dens handlinger og de mulige komplikationer, der kan forekomme efter dens anvendelse. Lægemidlet bør ikke administreres, medmindre faciliteter til intubation kunstig respiration iltbehandling og reverseringsmidler er umiddelbart tilgængelige. Klinikeren skal være parat til at hjælpe eller kontrollere respiration. For at reducere muligheden for langvarig neuromuskulær blokade og andre mulige komplikationer, der kan forekomme efter langvarig anvendelse i I.C.U. Vecuronium eller ethvert andet neuromuskulært blokeringsmiddel skal administreres i omhyggeligt justerede doser ved eller under opsyn af erfarne klinikere, der er bekendt med dens handlinger, og som er bekendt med passende perifere nervestimulatormuskelovervågningsteknikker (se FORHOLDSREGLER Langsigtet brug i I.C.U. ).
Hos patienter, der er kendt for at have myasthenia gravis eller den myastheniske (Eaton-Lambert) syndrom, kan små doser af vecuronium have dybe effekter. Hos sådanne patienter kan en perifer nervestimulator og anvendelse af en lille testdosis være af værdi ved overvågning af responsen på administration af muskelafslappende stoffer.
Risiko for død på grund af medicinfejl
Administration af vecuroniumbromid til injektion resulterer i lammelse, hvilket kan føre til respiratorisk arrestation og død; Denne progression kan være mere tilbøjelig til at forekomme hos en patient, som den ikke er beregnet til. Bekræft korrekt valg af tilsigtet produkt og undgå forvirring med andre injicerbare løsninger, der er til stede i kritisk pleje og andre kliniske omgivelser. Hvis en anden sundhedsudbyder administrerer produktet, skal du sikre dig, at den tilsigtede dosis tydeligt er mærket og kommunikeret.
Forholdsregler for Vecuronium Bromide
Since allergic cross-reactivity has been reported in this class request information from your patients about previous anaphylactic reactions to other neuromuscular blocking agents. In addition inform your patients that severe anaphylactic reactions to neuromuscular blocking agents including VECURONIUM BROMIDE have been reported.
Nyresvigt
Vecuronium tolereres godt uden klinisk signifikant forlængelse af neuromuskulær blokeringseffekt hos patienter med nyresvigt, som er blevet optimalt forberedt til operation ved dialyse. Under nødforhold hos anephriske patienter kan der forekomme nogle forlængelse af neuromuskulær blokade; Derfor, hvis anepriske patienter ikke kan være forberedt på ikke-elektrisk kirurgi, bør en lavere initial dosis vecuronium overvejes.
Ændret cirkulationstid
Betingelser forbundet med langsommere cirkulationstid i hjerte -kar -sygdomme gammeldags ødematiske tilstande, hvilket resulterer i øget distributionsvolumen, kan bidrage til forsinkelse i begyndelsestiden, derfor bør dosering ikke øges.
Lever sygdom
Erfaring hos patienter med cirrose eller kolestase har afsløret langvarig genopretningstid i overensstemmelse med den rolle, som leveren spiller i vecuroniummetabolisme og udskillelse (se Klinisk farmakologi Farmakokinetik ). Data currently available do not permit dosage recommendations in patients with impaired liver function.
Langvarig brug i I.C.U.
I intensivafdelingen kan langvarig anvendelse af neuromuskulære blokerende lægemidler for at lette mekanisk ventilation være forbundet med langvarig lammelse og/eller knoglemuskelsvaghed, der kan først bemærkes under forsøg på at fravænne sådanne patienter fra ventilatoren. Typisk får sådanne patienter andre lægemidler, såsom bredspektret antibiotika narkotika og/eller steroider, og kan have elektrolytubalance og sygdomme, der fører til elektrolytubalance hypoxiske episoder med varierende varighed syre-base-ubalance og ekstrembilitation, som enhver kan forbedre handlingerne i et neuromusculært blokeringsmiddel. Derudover udvikler patienter, der er immobiliseret i længere perioder, ofte symptomer, der er i overensstemmelse med misbrugsmuskelatrofi. Gendannelsesbilledet kan variere fra at genvinde bevægelse og styrke i alle muskler til den første genopretning af bevægelse af ansigts- og små muskler i ekstremiteterne til de resterende muskler. I sjældne tilfælde kan genopretning være over en længere periode og kan endda lejlighedsvis involvere rehabilitering. Derfor, når der er behov for langvarig mekanisk ventilation, skal fordelene-til-risiko-forholdet for neuromuskulær blokade overvejes.
Kontinuerlig infusion eller intermitterende bolus -dosering til understøttelse af mekanisk ventilation er ikke undersøgt tilstrækkeligt til at understøtte doseringsanbefalinger. I intensivafdelingsenheden anbefales passende overvågning med brugen af en perifer nervestimulator til at vurdere graden af neuromuskulær blokade for at hjælpe med at forhindre mulig forlængelse af blokaden. Hver gang brugen af vecuronium eller ethvert neuromuskulært blokeringsmiddel overvejes i I.C.U. Det anbefales, at neuromuskulær transmission overvåges kontinuerligt under administration og bedring ved hjælp af en nervestimulator. Yderligere doser af vecuronium eller ethvert andet neuromuskulært blokeringsmiddel bør ikke gives, før der er et klart respons på T1 eller på den første træk. Hvis der ikke er fremkaldt noget svar, skal infusionsadministration afbrydes, indtil et svar vender tilbage.
Alvorlig fedme eller neuromuskulær sygdom
Patienter med alvorlig fedme eller neuromuskulær sygdom kan udgøre luftvej og/eller ventilationsproblemer, der kræver særlig omhu før under og efter brugen af neuromuskulære blokerende midler såsom vecuronium.
Ondartet hypertermi
Mange medikamenter, der bruges i anæstetisk praksis, er mistænkt for at være i stand til at udløse en potentielt dødelig hypermetabolisme af knoglemuskler kendt som malign hypertermi. Der er utilstrækkelige data, der stammer fra screening i modtagelige dyr (svin) til at fastslå, om vecuronium er i stand til at udløse malign hypertermi eller ej.
C.N.S.
Vecuronium har ingen kendt effekt på bevidstheden Smertestærsklen eller cerebration. Administration skal ledsages af tilstrækkelig anæstesi eller sedation.
Lægemiddelinteraktioner
Tidligere administration af succinylcholin kan forbedre den neuromuskulære blokeringseffekt af vecuronium og dens virkning. Hvis succinylcholin anvendes før vecuronium, skal administrationen af vecuronium blive forsinket, indtil succinylcholineffekten viser tegn på at bære af. Med succinylcholin som den intuberende middel kan de indledende doser på 0,04 til 0,06 mg/kg vecuronium administreres for at producere komplet neuromuskulær blok med klinisk virkning på 25 til 30 minutter (se Klinisk farmakologi ).
Anvendelsen af vecuronium før succinylcholin for at dæmpe nogle af bivirkningerne af succinylcholin er ikke blevet undersøgt tilstrækkeligt.
Andre ikke-depolariserende neuromuskulære blokeringsmidler (pancuronium d-tubocurarin-metocurin og gallamin) virker på samme måde som vecuronium, derfor kan disse lægemidler og vecuronium manifestere en additiv effekt, når de bruges sammen. Der er utilstrækkelige data til understøttelse af samtidig brug af vecuronium og andre konkurrencedygtige muskelafslappende stoffer hos den samme patient.
Inhalationsanæstetika
Anvendelse af flygtige inhalationsanæstetika, såsom enfluran -isofluran og halothan med vecuronium, vil forbedre neuromuskulær blokade. Potentiering er mest fremtrædende med brug af enfluran og isofluran. Med ovenstående midler kan den indledende dosis af vecuronium være den samme som den afbalancerede anæstesi, medmindre den inhalationsbedøvelse er blevet administreret i tilstrækkelig tid i en tilstrækkelig dosis til at have nået klinisk ligevægt (se Klinisk farmakologi ).
Antibiotika
Parenteral/intraperitoneal administration af høje doser af visse antibiotika kan intensivere eller producere neuromuskulær blok på egen hånd. Følgende antibiotika er blevet forbundet med forskellige lammelse: aminoglycosider (såsom neomycin streptomycin kanamycin gentamicin og dihydrostreptomycin); tetracycliner; Bacitracin; polymyxin B; colistin; og natriumkolistimethat. Hvis disse eller andre nyligt introducerede antibiotika anvendes i forbindelse med Vecuronium, skal uventet forlængelse af neuromuskulær blok betragtes som en mulighed.
Thiopental
Rekonstitueret vecuronium, som har en syre pH, bør ikke blandes med alkaliske opløsninger (f.eks. Barbituratopløsninger såsom thiopental) i den samme sprøjte eller administreres samtidig under intravenøs infusion gennem den samme nål eller gennem den samme intravenøse linje (se Dosering og administration-COMPATIBILITY ).
Andre
Erfaring vedrørende injektion af quinidin under bedring fra anvendelse af andre muskelafslappende stoffer antyder, at der kan forekomme tilbagevendende lammelse. Denne mulighed skal også overvejes for Vecuronium. Vecuronium -induceret neuromuskulær blokade er blevet modvirket af alkalose og forbedret ved acidose hos eksperimentelle dyr (CAT). Elektrolytubalance og sygdomme, der fører til elektrolytubalance, såsom binyre kortikal insufficiens, har vist sig at ændre neuromuskulær blokade. Afhængig af arten af ubalancen kan enten forbedring eller hæmning forventes. Magnesiumsalte, der administreres til håndtering af toksæmi af graviditeten, kan forbedre den neuromuskulære blokade.
Ikke -klinisk toksikologi
Karcinogenese mutagenese nedskrivning af fertilitet
Langtidsundersøgelser hos dyr er ikke blevet udført for at evaluere kræftfremkaldende eller mutagene potentiale eller forringelse af fertiliteten.
Graviditet
Teratogene effekter
Graviditet Category C
Dyreproduktionsundersøgelser er ikke blevet udført med Vecuronium. Det vides heller ikke, om Vecuronium kan forårsage fosterskade, når den administreres til en gravid kvinde eller kan påvirke reproduktionskapaciteten. Vecuronium skal kun gives til en gravid kvinde, hvis det er klart nødvendigt
Arbejde og levering
Anvendelsen af vecuronium hos patienter, der gennemgår kejsersnit, er rapporteret i litteraturen. Efter trakeal intubation med succinylcholin vecuronium -doser på 0,04 mg/kg (n = 11) og 0,06 til 0,08 mg/kg (n = 20) blev administreret. Umbilical Venous plasmakoncentrationerne var 11% af moderens koncentrationer ved levering og gennemsnitlige nyfødte Apgar -scoringer på 5 minutter var ≥ 9 i begge rapporter. Handlingen af neuromuskulære blokeringsmidler kan forbedres af magnesiumsalte, der administreres til håndtering af toksæmi af graviditet.
Sygeplejerske mødre
Det vides ikke, om dette stof udskilles i human mælk. Fordi mange medikamenter udskilles i menneskelig mælkeforsyning bør udøves, når Vecuronium administreres til en sygeplejekvinde.
Pædiatrisk brug
Spædbørn under 1 års alder, men ældre end 7 uger, der også er testet under halothananæstesi, er moderat mere følsomme over for vecuronium på mg/kg basis end voksne og tager cirka 1,5 gange så lang tid at komme sig. Se Dosering og administration : Brug i pædiatri Underafsnit til henstillinger til brug hos pædiatriske patienter 7 uger til 16 år. Sikkerheden og effektiviteten af vecuronium hos pædiatriske patienter mindre end 7 uger er ikke blevet fastlagt.
Geriatrisk brug
Kliniske undersøgelser af Vecuronium inkluderede ikke tilstrækkeligt antal forsøgspersoner i alderen 65 år og derover for at afgøre, om de reagerer forskelligt fra yngre forsøgspersoner. Der er nogle rapporter i den peer -gennemgåede litteratur om øget virkning og længere varighed af virkningen af vecuronium hos ældre sammenlignet med yngre patienter. Imidlertid har andre rapporter ikke fundet nogen signifikante forskelle mellem raske ældre og yngre voksne. Avanceret alder eller andre betingelser forbundet med langsommere cirkulationstid kan være forbundet med en forsinkelse i begyndelsestiden (se FORHOLDSREGLER-ALTERED CIRCULATION TIME ). Nevertheless recommended doses of vecuronium should not be increased in these patients to reduce onset time as higher doses produce a longer duration of action (see Klinisk farmakologi ). Dose selections for an elderly patient should be cautious usually starting at the low end of the dosing range reflecting the greater frequency of decreased hepatic renal or cardiac function og of concomitant disease or other drug therapy. Close monitoring of neuromuscular function is recommended
Overdoseringsoplysninger til vecuroniumbromid
Muligheden for iatrogen overdosering kan minimeres ved omhyggeligt at overvåge muskeltræk respons på perifer nervestimulering.
Overdreven doser af vecuronium producerer forbedrede farmakologiske virkninger. Rest neuromuskulær blokade ud over den nødvendige tidsperiode kan forekomme med vecuronium som med andre neuromuskulære blokkeere. Dette kan manifesteres ved skeletmuskelsvaghed nedsat åndedrætsreservat med lav tidevandsvolumen eller apnø. En perifer nervestimulator kan anvendes til at vurdere graden af resterende neuromuskulær blokade fra andre årsager til nedsat åndedrætsreserve.
Åndedrætsdepression kan skyldes enten helt eller delvis til andre lægemidler, der blev brugt under udførelsen af generel anæstesi, såsom narkotika thiobarbiturater og andre depressiva i centralnervesystemet.
Under sådanne omstændigheder er den primære behandling vedligeholdelse af en patentluftvej og manuel eller mekanisk ventilation, indtil fuldstændig bedring af normal respiration er sikret. Pyridostigmin neostigmin eller edrophonium i forbindelse med atropin eller glycopyrrolat vil normalt modvirke skeletmuskelafslappende virkning af vecuronium. Tilfredsstillende reversering kan bedømmes ved tilstrækkelighed af knoglemuskeltone og ved tilstrækkelighed af respiration. En perifer nervestimulator kan også bruges til at overvåge restaurering af trækhøjde. Svigt i hurtig reversering (inden for 30 minutter) kan forekomme i nærvær af ekstrem svækkelse carcinomatosis og med samtidig anvendelse af visse bredspektrumantibiotika eller bedøvelsesmidler og andre lægemidler, der forbedrer neuromuskulær blokade eller forårsager respiratorisk depression af deres egne. Under sådanne omstændigheder er ledelsen den samme som for langvarig neuromuskulær blokade. Ventilation skal understøttes af kunstige midler, indtil patienten har genoptaget kontrollen over hans respiration. Før brugen af reverseringsmidler skal der henvises til den specifikke pakkeindsats af reverseringsmidlet.
Virkningerne af hæmodialyse og peritoneal dialyse på plasmaniveauer af vecuronium og dens metabolit er ukendt.
Kontraindikationer for vecuroniumbromid
Vecuroniumbromid er kontraindiceret hos patienter, der vides at have en overfølsomhed over for det.
Klinisk farmakologi for Vecuronium Bromide
Vecuronium is a nondepolarizing neuromuscular blocking agent possessing all of the characteristic pharmacological actions of this class of drugs (curariform). It acts by competing for cholinergic receptors at the motor end-plate. The antagonism to acetylcholine is inhibited and neuromuscular block is reversed by acetylcholinesterase inhibitors such as neostigmine edrophonium and pyridostigmine. Vecuronium is about 1/3 more potent than pancuronium; the duration of neuromuscular blockade produced by vecuronium is shorter than that of pancuronium at initially equipotent doses. The time to onset of paralysis decreases and the duration of maximum effect increases with increasing vecuronium doses. The use of a peripheral nerve stimulator is recommended in assessing the degree of muscular relaxation with all neuromuscular blocking drugs. The ED90 (dose required to produce 90% suppression of the muscle twitch response with balanced anesthesia) has averaged 0.057 mg/kg (0.049 to 0.062 mg/kg in various studies). An initial vecuronium bromide dose of 0.08 to 0.1 mg/kg generally produces first depression of twitch in approximately 1 minute good or excellent intubation conditions within 2.5 to 3 minutes and maximum neuromuscular blockade within 3 to 5 minutes of injection in most patients.
Under afbalanceret anæstesi er tiden til bedring til 25% af kontrol (klinisk varighed) ca. 25 til 40 minutter efter injektion og bedring er normalt 95% fuldstændig ca. 45 til 65 minutter efter injektion af intuberende dosis. Den neuromuskulære blokerende virkning af vecuronium forbedres let i nærvær af potent inhalationsanæstetika. Hvis vecuronium først administreres mere end 5 minutter efter starten af indåndingen af enfluran -isofluran eller halothan, eller når stabil tilstand er opnået, kan den intuberende dosis af vecuronium reduceres med ca. 15% (se Dosering og administration ). Prior administration of Succinylcholin may enhance the neuromuscular blocking effect of vecuronium og its duration of action. With Succinylcholin as the intubating agent initial doses of 0.04 to 0.06 mg/kg of vecuronium bromide will produce complete neuromuscular block with clinical duration of action of 25 to 30 minutes. If Succinylcholin is used prior to vecuronium the administration of vecuronium should be delayed until the patient starts recovering from Succinylcholin induced neuromuscular blockade. The effect of prior use of other nondepolarizing neuromuscular blocking agents on the activity of vecuronium has not been studied (see Lægemiddelinteraktioner ).
Gentagen administration af vedligeholdelsesdoser af vecuronium har ringe eller ingen kumulativ effekt på varigheden af neuromuskulær blokade. Derfor kan gentagne doser administreres med relativt regelmæssige intervaller med forudsigelige resultater. Efter en indledende dosis på 0,08 til 0,1 mg/kg under afbalanceret anæstesi kræves den første vedligeholdelsesdosis (foreslået vedligeholdelsesdosis 0,01 til 0,015 mg/kg) generelt inden for 25 til 40 minutter; Efterfølgende vedligeholdelsesdoser kan om nødvendigt administreres med cirka 12 til 15 minutters intervaller. Halothan -anæstesi øger den kliniske varighed af vedligeholdelsesdosis kun lidt. Under enfluran er en vedligeholdelsesdosis på 0,01 mg/kg omtrent lig med 0,015 mg/kg dosis under afbalanceret anæstesi.
Gendannelsesindekset (tid fra 25% til 75% gendannelse) er ca. 15 til 25 minutter under afbalanceret eller halothanbedøvelse. Når bedring fra vecuronium neuromuskulær blokeringseffekt begynder, fortsætter den hurtigere end bedring fra pancuronium. Når spontan bedring er startet, er den neuromuskulære blok produceret af vecuronium let vendt med forskellige antikolinesterase -midler, f.eks. Pyridostigmin neostigmin eller edrophonium i forbindelse med et antikolinergisk middel, såsom atropin eller glycopyrrolat. Hurtig bedring er en konstatering, der er i overensstemmelse med Vecuronium kort eliminering halveringstid, selvom der lejlighedsvis har været rapporter om langvarig neuromuskulær blokade hos patienter i intensivafdelingen (se FORHOLDSREGLER Langsigtet brug i I.C.U. ).
Administrationen af kliniske doser af vecuronium er ikke kendetegnet ved laboratorie- eller kliniske tegn på kemisk medieret histaminfrigivelse. Dette udelukker ikke muligheden for sjældne overfølsomhedsreaktioner (se Bivirkninger ).
Farmakokinetik
Ved kliniske doser på 0,04 til 0,1 mg/kg 60 til 80% af vecuroniumbromid er normalt bundet til plasmaprotein. Distributionens halveringstid efter en enkelt intravenøs dosis (område 0,025 til 0,28 mg/kg) er ca. 4 minutter. Eliminering af halveringstiden over dette prøvedoseringsområde er ca. 65 til 75 minutter hos sunde kirurgiske patienter og hos nyresvigt, der gennemgår transplantationskirurgi.
I sen graviditet kan eliminering af halveringstid forkortes til ca. 35 til 40 minutter. Distributionsvolumen i stabil tilstand er ca. 300 til 400 ml/kg; Systemisk afstandshastighed er ca. 3 til 4,5 ml/kg/minut. Hos mennesket er uringenvinding af vecuronium fra 3 til 35% inden for 24 timer. Data afledt af patienter, der kræver indsættelse af et T-rør i det fælles endog duct suggests that 25 to 50% of a total intravenous dose of vecuronium may be excreted in bile within 42 hours. Only unchanged vecuronium has been detected in human plasma following use during surgery. In addition one metabolite 3-desacetyl vecuronium has been rarely detected in human plasma following prolonged clinical use in the I.C.U. (Se FORHOLDSREGLER : Langsigtet brug i I.C.U. ). The 3-desacetyl vecuronium metabolite has been recovered in the urine of some patients in quantities that account for up to 10% of injected dose; 3-desacetyl vecuronium has also been recovered by T-tube in some patients accounting for up to 25% of the injected dose.
Denne metabolit er blevet bedømt ved animalsk screening (hunde og katte) til at have 50% eller mere af styrken af vecuronium; Equipotente doser er af omtrent den samme varighed som vecuronium hos hunde og katte. Biliær udskillelse tegner sig for cirka halvdelen af dosis af vecuronium inden for 7 timer i den bedøvede rotte. Cirkulationsbypass af leveren (CAT -præparat) forlænger genvinding fra Vecuronium. Begrænsede data, der stammer fra patienter med cirrose eller kolestase, antyder, at nogle målinger af bedring kan fordobles hos sådanne patienter. Hos patienter med nyresvigt målinger af bedring adskiller sig ikke signifikant fra lignende målinger hos raske patienter.
Undersøgelser, der involverer rutinemæssig hæmodynamisk overvågning hos gode risikokirurgiske patienter, afslører, at administrationen af vecuronium i doser op til tre gange, hvilket var nødvendigt for at producere klinisk afslapning (NULL,15 mg/kg) ikke producerede klinisk signifikante ændringer i systolisk diastolisk eller gennemsnitligt arterielt tryk. Hjertefrekvensen under lignende overvågning forblev uændret i nogle undersøgelser og blev sænket med et gennemsnit på op til 8% i andre undersøgelser. En stor dosis på 0,28 mg/kg, der blev administreret i en periode uden stimulering, mens patienter blev forberedt til coronary-bypass-podning, var ikke forbundet med ændringer i hastighedstryk-produkt eller pulmonal kapillær kiletryk. Systemisk vaskulær resistens blev sænket lidt, og hjerteproduktionen blev øget ubetydeligt. (Lægemidlet er ikke undersøgt hos patienter med hæmodynamisk dysfunktion sekundært til hjertevalvulær sygdom.) Begrænset klinisk erfaring med anvendelse af vecuroniumbromid under operationen til pheochromocytoma har vist, at administration af dette lægemiddel ikke er forbundet med ændringer i blodtryk eller hjerterytme.
I modsætning til andre ikke -depolariserende skeletmuskelafslappende stoffer har Vecuronium ingen klinisk signifikante effekter på hæmodynamiske parametre. Vecuronium vil ikke modvirke de hæmodynamiske ændringer eller kendte bivirkninger produceret af eller forbundet med anæstetiske midler andre lægemidler eller forskellige andre faktorer, der vides at ændre hæmodynamik.
Patientinformation til vecuroniumbromid
Ingen oplysninger leveret. Se ADVARSELS og FORHOLDSREGLER sektioner.