Oplysningerne På Webstedet Er Ikke Medicinsk Rådgivning. Vi Sælger Ikke Noget. Nøjagtigheden Af Oversættelsen Er Ikke Garanteret. Ansvarsfraskrivelse
Bisphosphonate derivater
Actonel med calcium
Resume af lægemiddeloversigt
Hvad er Actonel med calcium?
Actonel Med calcium (Risedronate natrium med calciumcarbonat) er en kombination af et bisphosphonat med det mineralcalcium, der anvendes til behandling eller forhindrer postmenopausal og steroidinduceret osteoporose. Risedronate bruges også til behandling af Pagets knoglesygdom. Calciumcarbonat bruges til at forhindre og til behandling af calciummangel. Mærkenavnet Actonel med calcium er afbrudt, men generiske versioner kan være tilgængelige.
Hvad er bivirkninger af Actonel med calcium?
Actonel with Kalciummay cause serious side effects including:
- elveblest
- Besvær
- Hævelse af dine ansigtslæber tunge eller hals
- feber
- ondt i halsen
- Brændende i dine øjne
- hudsmerter
- Rød eller lilla hududslæt, der spreder sig og forårsager blærende og skrælning
- brystsmerter
- Ny eller forværring af halsbrand
- vanskeligheder eller smerter, når man sluger
- Smerter eller brændende under ribbenene eller bagpå
- Alvorlig halsbrand
- brændende smerter i din øvre mave
- Hoste blod
- ny eller usædvanlig smerte i låret eller hoften
- kæbe smerte
- følelsesløshed
- hævelse
- Alvorlig led knogler eller muskelsmerter
- muskelspasmer eller sammentrækninger og
- følelsesløshed or tingly feeling (around your mouth or in your fingers og toes)
Få medicinsk hjælp med det samme, hvis du har nogen af de symptomer, der er anført ovenfor.
Almindelige bivirkninger af Actonel med calcium (Risedronate natrium med calciumcarbonat) inkluderer:
- ked af maven
- kvalme
- halsbrand
- forstoppelse
- gas
- diarre
- oppustethed
- hovedpine
- Muskel- eller ledssmerter
- Rygsmerter
- Smerter eller brændende med vandladning
- hududslæt eller
- Deprimeret humør
Søg medicinsk behandling eller ring 911 på én gang, hvis du har følgende alvorlige bivirkninger:
- Alvorlige øjensymptomer såsom pludseligt synstab sløret synet tunnel vision øje smerter eller hævelse eller at se haloer omkring lys;
- Alvorlige hjertesymptomer såsom hurtig uregelmæssige eller bankende hjerteslag; flagrende i brystet; åndenød; og pludselig svimmelhed letthed eller udlevering;
- Alvorlig hovedpine forvirring sløret talearm eller ben svaghed problemer med at gå tab af koordination føles ustabil meget stive muskler høj feber voldsom sved eller rysten.
Dette dokument indeholder ikke alle mulige bivirkninger, og andre kan forekomme. Kontakt din læge for yderligere oplysninger om bivirkninger.
Dosering til Actonel med calcium
Dosis Actonel er en 35 mg Actonel-tablet oralt taget en gang om ugen (dag 1 af 7-dages behandlingscyklus) og en 1250 mg calciumcarbonattablet (500 mg elementær calcium) oralt taget med mad dagligt på hver af de resterende seks dage (dage 2 til 7 af 7-dages behandlingscyklus).
Hvilke stoffer stoffer eller kosttilskud interagerer med Actonel med calcium?
Actonel with Kalcium may interact with levothyroxine diuretics steroids Antibiotika or aspirin or other NSAIDs (nonsteroidal anti-inflammatory drugs). Tell your doctor all medications og supplements you use.
Actonel with Kalcium During Graviditet or Breastfeeding
Der anbefales forsigtighed, hvis du er gravid eller planlægger at blive gravid i fremtiden. Risedronate kan forblive i din krop i mange år. Dets virkninger på et foster er ukendt. Diskuter risici og fordele med din læge, inden du starter behandlingen. Det er ukendt, om Risedronate passerer til modermælk. Kontakt din læge inden amning.
Yderligere oplysninger
Vores Actonel med calcium (Risedronate natrium med calciumcarbonat) bivirkninger medikamentcenter giver et omfattende overblik over tilgængelige lægemiddelinformation om de potentielle bivirkninger, når du tager denne medicin.
FDA -lægemiddelinformation
- Lægemiddelbeskrivelse
- Indikationer
- Dosering
- Bivirkninger
- Lægemiddelinteraktioner
- Advarsler
- Overdosis
- Klinisk farmakologi
- Medicin vejledning
Beskrivelse til Actonel med calcium
Actonel® with Kalcium (risedronate sodium with calcium carbonate) is a co-package product containing Actonel® (risedronate sodium tablets 35 mg) for once weekly dosing og calcium carbonate tablets USP (1250 mg equivalent to 500 mg elemental calcium) for daily dosing for the remaining 6 days of the week. Each package contains a 28-day course of therapy.
Langsigtede bivirkninger af Neulasta
Actonel
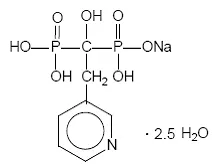
Actonel (risedronate sodium tablets) is a pyridinyl bisphosphonate that inhibits osteoclast-mediated bone resorption og modulates bone metabolism. Each Actonel tablet in the Actonel with Kalcium (risedronate sodium with calcium carbonate) co-package contains the equivalent of 35 mg of anhydrous risedronate sodium in the form of the hemi-pentahydrate with small amounts of monohydrate. The empirical formula for risedronate sodium hemi-pentahydrate is C 7 H 10 INGEN 7 P 2 Til • 2,5 timer 2 O. Det kemiske navn på Risedronate natrium er [1-hydroxy-2- (3-pyridinyl) ethyliden] bis [phosphonsyre] monosodiumsalt. Den kemiske struktur af Risedronate natrium hemi-pentahydrat er følgende:
|
Molekylvægt:
Vandfri: 305.10
Hemi-Pentahydrat: 350.13
Risedronate natrium er en fin hvid til off-white lugtfrit krystallinsk pulver. Det er opløseligt i vand og i vandige opløsninger og i det væsentlige uopløselige i almindelige organiske opløsningsmidler.
Kalcium
Den empiriske formel for calciumcarbonat er CACO3, og molekylvægten er 100,09.
Kalcium carbonate is supplied as a calcium carbonate tablet USP containing 1250 mg calcium carbonate (equivalent to 500 mg elemental calcium). Kalcium carbonate is a fine white odorless tasteless powder. It is stable og non-hygroscopic.
Kalcium carbonate is formulated per USP stogards to meet disintegration or dissolution weight purity og potency requirements.
Inaktive ingredienser
Actonel
Crospovidon ferroxid Rød ferrisk oxid gul hydroxypropylcellulose hydroxypropylmethylcellulose lactose monohydratmagnesiumstyremikrokrystallinsk cellulosepolyethylenglycol silicondioxid titandioxid.
Kalcium
Pregelatiniseret stivelse Natriumstivelsesglycolat FD
Bruger til Actonel med calcium
Postmenopausal osteoporose
Actonel with Kalcium (risedronate sodium with calcium carbonate) is indicated for the treatment og prevention of osteoporosis in postmenopausal women.
Behandling af osteoporose
Hos postmenopausale kvinder med osteoporose øger Actonel BMD og reducerer forekomsten af rygsøjlefrakturer og et sammensat slutpunkt for ikke-vertebral osteoporose-relaterede brud (se Kliniske studier ). Osteoporose kan bekræftes af tilstedeværelsen eller historien af osteoporotisk brud eller ved fundet af lav knoglemasse (for eksempel mindst 2 SD under det premenopausale middelværdi).
Forebyggelse af osteoporose
Actonel may be considered in postmenopausal women who are at risk of developing osteoporosis og for whom the desired clinical outcome is to maintain bone mass og to reduce the risk of fracture.
Faktorer såsom familiehistorie med osteoporose Tidligere brud på rygning af BMD (mindst 1 SD under den premenopausale middelværdi) høje knogler omsætning tynd kropsramme kaukasisk eller asiatisk race og tidlig overgangsalder er forbundet med en øget risiko for at udvikle osteoporose og brud. Tilstedeværelsen af disse risikofaktorer kan være vigtige, når man overvejer brugen af Actonel til forebyggelse af osteoporose.
Sikkerheden og effektiviteten af Actonel med calcium (Risedronate natrium med calciumcarbonat) til behandling af osteoporose er baseret på kliniske data på tre års varighed. Den optimale brugsvarighed er ikke bestemt. Alle patienter på bisphosphonatbehandling bør have behov for fortsat terapi revurderet med periodisk grundlag.
Dosering til Actonel med calcium
Behandling og forebyggelse af postmenopausal osteoporose (se Indikationer og brug )
En 35 mg Actonel-tablet oralt taget en gang om ugen (dag 1 af 7-dages behandlingscyklus)
Actonel should be taken at least 30 minutes før the first food or drink of the day other than water. Actonel should ikke be taken at the same time as other medications including calcium.
For at lette levering til maven skal Actonel sluges, mens patienten er i en opretstående position og med et fuldt glas almindeligt vand (6 til 8 oz). Patienter bør ikke lægge sig i 30 minutter efter at have taget medicinen (se FORHOLDSREGLER Generel ). Actonel anbefales ikke til brug hos patienter med alvorlig nedsat nyrefunktion (creatinine clearance <30 mL/min). No dosage adjustment is necessary in patients with a creatinine clearance ≥ 30 mL/min or in the elderly.
En 1250 mg calciumcarbonattablet (500 mg elementær calcium) oralt taget med mad dagligt på hver af de resterende seks dage (dage 2 til 7 af 7-dages behandlingscyklus)
Den anbefalede samlede (diæt og ellers) daglige calciumindtag hos postmenopausale kvinder er 1200 mg elementært calcium. Hvis patienter har brug for calcium over det, der leveres af Actonel med calcium (Risedronate natrium med calciumcarbonat), skal dette tages med mad på et separat tidspunkt på dagen.
Patienter skal modtage yderligere D -vitamin, hvis diætindtagelse er utilstrækkeligt (se FORHOLDSREGLER Generel ). Samtidig administration af calciumtabletter og calciumaluminium- og magnesiumholdige medicin kan forstyrre absorptionen af Actonel (se Lægemiddelinteraktioner ).
Actonel with Kalcium (risedronate sodium with calcium carbonate) is ikke recommended for use in patients with severe renal impairment (creatinine clearance <30 mL/min). No dosage adjustment is necessary in patients with a creatinine clearance ≥ 30 mL/min or in the elderly.
Hvor leveret
Actonel® with Kalcium (risedronate sodium with calcium carbonate) is supplied in blister packages containing a 28-day course of therapy.
Fire Actonel -tabletter :
35 mg filmbelagte ovale orange tabletter med RSN på 1 ansigt og 35 mg på den anden
Fireogtyve calciumcarbonattabletter USP :
1250 mg calciumcarbonat (svarende til 500 mg elementær calcium) filmovertrukne ovale lyseblå tabletter med NE 2 indgraveret på begge ansigter
NDC 0430-0475-14
Opbevares ved 20 ° - 25 ° C (68 ° - 77 ° F); Udflugter tilladt mellem 15 ° - 30 ° C (59 ° - 86 ° F) [Se USP -kontrolleret stuetemperatur ].
Actonel manufactured by: Warner Chilcott Puerto Rico LLC Manati Puerto Rico 00674 or Norwich Pharmaceuticals Inc. North Norwich NY 13814. Kalcium manufactured by: Norwich Pharmaceuticals Inc. North Norwich NY 13814. Marketed by: Warner Chilcott (US) LLC Rockaway NJ 07866 1-800-521-8813. . Revised January 2011
Bivirkninger for Actonel with Kalcium
Actonel
Osteoporose
Actonel has been studied in over 5700 patients enrolled in the Phase 3 glucocorticoid-induced osteoporosis clinical trials og in postmenopausal osteoporosis trials of up to 3-years duration. The overall adverse event profile of Actonel 5 mg in these studies was similar to that of placebo. Most adverse events were either mild or moderate og did ikke lead to discontinuation from the study. The incidence of serious adverse events in the placebo group was 24.9% og in the Actonel 5 mg group was 26.3%. The percentage of patients who withdrew from the study due to adverse events was 14.4% og 13.5% for the placebo og Actonel 5 mg groups respectively. Table 4 lists adverse events from the Phase 3 osteoporosis trials reported in ≥ 2% of patients og in more Actonel-treated patients than placebo-treated patients. Adverse events are shown without attribution of causality.
Tabel 4: Bivirkninger, der forekommer ved en frekvens ≥ 2% og hos flere Actonel-behandlede patienter end placebo-behandlede patienter kombinerede fase 3 osteoporoseforsøg
| Kropssystem | Placebo % (N = 1914) | Actonel 5 mg % (N = 1916) |
| Krop som helhed | ||
| 29.7 | 29.9 | |
| 23.6 | 26.1 | |
| 13.1 | 13.6 | |
| 9.4 | 11.6 | |
| 4.5 | 5.3 | |
| 4.3 | 5.1 | |
| 4.9 | 5.0 | |
| 3.0 | 3.3 | |
| 2.5 | 2.9 | |
| Kardiovaskulær | ||
| 9.0 | 10.0 | |
| 1.7 | 2.5 | |
| 2.4 | 2.5 | |
| Fordøjelsesmulighed | ||
| 10.7 | 10.9 | |
| 9.6 | 10.6 | |
| 4.2 | 4.6 | |
| 2.3 | 2.5 | |
| 2.1 | 2.3 | |
| 1.9 | 2.2 | |
| 2.0 | 2.1 | |
| Hemisk og lymfatisk | ||
| 4.0 | 4.3 | |
| 1.9 | 2.4 | |
| Muskuloskeletal | ||
| 21.1 | 23.7 | |
| 5.4 | 6.8 | |
| 6.3 | 6.6 | |
| 4.3 | 4.6 | |
| 3.2 | 4.0 | |
| 2.6 | 3.5 | |
| 2.9 | 3.0 | |
| 2.5 | 3.0 | |
| Nervøs | ||
| 6.2 | 6.8 | |
| 5.4 | 6.4 | |
| 4.5 | 4.7 | |
| 3.0 | 4.3 | |
| 3.5 | 3.8 | |
| 3.2 | 3.3 | |
| 2.1 | 2.2 | |
| 1.8 | 2.1 | |
| Åndedrætsværn | ||
| 5.0 | 5.8 | |
| 5.0 | 5.7 | |
| 3.2 | 3.8 | |
| 2.6 | 3.1 | |
| Hud og vedhæng | ||
| 7.2 | 7.7 | |
| 2.2 | 3.0 | |
| 1.8 | 2.0 | |
| Særlige sanser | ||
| 5.4 | 5.9 | |
| 2.8 | 3.1 | |
| 2.4 | 2.5 | |
| Urogenital | ||
| 9.7 | 10.9 | |
| 3.5 | 4.1 |
Duodenitis og glossitis er rapporteret usædvanligt (NULL,1% til 1%). Der har været sjældne rapporter ( <0.1%) of abnormal liver function tests.
Laboratorietestresultater
Asymptomatiske og små fald blev observeret i serumkalcium- og fosforniveauer. Generelt gennemsnitlige fald på 0,8% i serumcalcium og på 2,7% i fosfor blev observeret efter 6 måneder hos patienter, der fik Actonel. Gennem fase 3 -undersøgelserne blev serumkalciumniveauer under 8 mg/dL observeret hos 18 patienter 9 (NULL,5%) i hver behandlingsarm (Actonel og placebo). Serumphosphorniveauer under 2 mg/dL blev observeret hos 14 patienter 11 (NULL,6%) behandlet med Actonel og 3 (NULL,2%) behandlet med placebo.
Endoskopiske fund
Actonel clinical studies enrolled over 5700 patients many with pre-existing gastrointestinal disease og concomitant use of NSAIDs or aspirin. Investigators were encouraged to perform endoscopies in any patients with moderate-to-severe gastrointestinal complaints while maintaining the blind. These endoscopies were ultimately performed on equal numbers of patients between the treated og placebo groups [75 (14.5%) placebo; 75 (11.9%) Actonel]. Across treatment groups the percentage of patients with normal esophageal gastric og duodenal mucosa on endoscopy was similar (20% placebo; 21% Actonel). The number of patients who withdrew from the studies due to the event prompting endoscopy was similar across treatment groups. Positive findings on endoscopy were also generally comparable across treatment groups. There was a higher number of reports of mild duodenitis in the Actonel group however there were more duodenal ulcers in the placebo group. Clinically important findings (perforations ulcers or bleeding) among this symptomatic population were similar between groups (51% placebo; 39% Actonel).
En gang om ugen dosering
I en 1-årig dobbeltblind multicenterundersøgelse, der sammenligner Actonel 5 mg dagligt og Actonel 35 mg en gang om ugen i postmenopausale kvinder, var de samlede sikkerheds- og tolerabilitetsprofiler for de 2 orale doseringsregimer ens. Tabel 5 viser de bivirkninger hos ≥ 2% af patienterne fra denne undersøgelse. Begivenheder vises uden tilskrivning af kausalitet.
Tabel 5: Bivirkninger, der forekommer hos ≥ 2% af patienterne i begge behandlingsgrupper i den daglige vs. ugentlige osteoporosebehandlingsundersøgelse hos postmenopausale kvinder
| Kropssystem | 5 mg daglig Actonel % (N = 480) | 35 mg ugentlig Actonel % (N = 485) |
| Krop som helhed | ||
| 19.0 | 20.6 | |
| 10.6 | 10.7 | |
| 7.7 | 9.9 | |
| 9.2 | 8.7 | |
| 7.1 | 8.5 | |
| 7.3 | 7.6 | |
| 7.3 | 7.2 | |
| 6.9 | 6.8 | |
| 3.5 | 5.4 | |
| 2.3 | 2.7 | |
| 1.9 | 2.5 | |
| 0.8 | 2.1 | |
| 2.7 | 1.2 | |
| Kardiovaskulær System | ||
| 5.8 | 4.9 | |
| 0.6 | 2.1 | |
| 2.3 | 1.4 | |
| Fordøjelsesmulighed System | ||
| 12.5 | 12.2 | |
| 6.9 | 7.6 | |
| 8.5 | 6.2 | |
| 6.3 | 4.9 | |
| 3.8 | 3.5 | |
| 3.3 | 3.1 | |
| 0.8 | 2.5 | |
| 1.9 | 2.5 | |
| 1.9 | 2.5 | |
| 2.5 | 1.4 | |
| Metaboliske og ernæringsmæssige lidelser | ||
| 4.2 | 1.6 | |
| Muskuloskeletal System | ||
| 11.5 | 14.2 | |
| 5.0 | 6.4 | |
| 4.6 | 6.2 | |
| 4.8 | 4.1 | |
| 1.3 | 2.5 | |
| 2.9 | 1.4 | |
| Nervøs System | ||
| 5.8 | 4.9 | |
| 0.6 | 2.7 | |
| 2.3 | 2.3 | |
| 2.1 | 1.6 | |
| Åndedrætsværn System | ||
| 2.3 | 4.9 | |
| 4.6 | 4.5 | |
| 4.6 | 2.9 | |
| 3.1 | 2.5 | |
| 0.8 | 2.5 | |
| 2.3 | 2.1 | |
| Hud og vedhæng | ||
| 3.1 | 4.1 | |
| 1.9 | 2.3 | |
| Særlige sanser | ||
| 2.9 | 1.9 | |
| Urogenital System | ||
| 2.9 | 5.2 |
Osteoporose Prevention
Der var ingen dødsfald i en 1-årig dobbeltblind placebokontrolleret undersøgelse af Actonel 35 mg en gang om ugen for forebyggelse af knogletab hos 278 postmenopausale kvinder uden osteoporose. Flere behandlede forsøgspersoner på Risedronate oplevede arthralgi (Risedronate 13,9%; placebo 7,8%) myalgi (Risedronate 5,1%; placebo 2,1%) og kvalme (Risedronate 7,3%; placebo 4,3%) end emner på placebo.
Oplevelse efter markedsføring
Meget sjælden overfølsomhed og hudreaktioner er rapporteret, herunder angioødems generaliserede udslæt og bullous hudreaktioner nogle alvorlige.
Muskuloskeletal: bone joint or muscle pain rarely described as severe or incapacitating (see FORHOLDSREGLER Muskuloskeletal Pain ).
Der er rapporteret om meget sjældne reaktioner af øjenbetændelse inklusive iritis og uveitis. Osteonecrosis af kæben er rapporteret meget sjældent (se FORHOLDSREGLER Generel ).
Kalcium
Kalcium carbonate may cause gastrointestinal adverse effects such as forstoppelse flatulence kvalme abdominal pain og oppustethed. Administration of calcium may increase the risk of kidney stones particularly in patients with a history of this condition (see FORHOLDSREGLER ).
Lægemiddelinteraktioner for Actonel with Kalcium
Actonel
Der blev ikke udført nogen specifikke lægemiddel-lægemiddelinteraktionsundersøgelser. Risedronat metaboliseres ikke og inducerer ikke eller hæmmer levermikrosomale medikamentmetaboliserende enzymer (cytochrome P450).
Kalcium Supplements/Antacids
Samtidig administration af Actonel og calciumantacida eller orale medikamenter, der indeholder divalente kationer, vil forstyrre absorptionen af Actonel.
Hormonudskiftningsterapi
En undersøgelse af omkring 500 tidlige postmenopausale kvinder er blevet gennemført til dato, hvor behandling med Actonel (5 mg/dag) plus østrogenerstatningsterapi blev sammenlignet med østrogenerstatningsterapi alene. Eksponering for undersøgelsesmedicin var cirka 12 til 18 måneder, og det primære slutpunkt var ændring i BMD. Hvis det betragtes som passende Actonel, kan anvendes samtidig med hormonudskiftningsterapi.
Aspirin/ikke-steroide antiinflammatoriske lægemidler (NSAIDS)
Af over 5700 patienter, der var indskrevet i Actonel -fase 3 -osteoporoseundersøgelser aspirinbrug blev rapporteret af 31% af patienterne, hvoraf 24% var almindelige brugere (3 eller flere dage om ugen). 42 procent af patienterne rapporterede, at NSAID brugte 21% af de almindelige brugere. Blandt regelmæssige aspirin- eller NSAID-brugere var forekomsten af øvre gastrointestinale negative oplevelser hos actoneltreated patienter (NULL,5%) svarende til den hos placebo-behandlede patienter (NULL,8%).
H 2 Blokkere og protonpumpeinhibitorer (PPI'er)
Af over 5700 patienter, der var indskrevet i Actonel -fase 3 -osteoporoseundersøgelser 21% anvendte H2 -blokkeere og/eller PPI'er. Blandt disse patienter var forekomsten af øvre gastrointestinale negative oplevelser hos de actonel-behandlede patienter svarende til den hos placebo-behandlede patienter.
Kalcium
Bisphosphonater
Orale bisphosphonater (såsom risedronat alendronat etidronat ibandronat): Nedsat absorption af bisphosphonatet kan forekomme, når bisphosphonatet og calcium er samlet.
Skjoldbruskkirtelhormoner
Levothyroxin: Samtidig indtagelse af levothyroxin og calciumcarbonat viste sig at reducere levothyroxinabsorption og øge serum -thyrotropinniveauer.
Fluoroquinoloner
Fluoroquinoloner (such as ciprofloxacin moxifloxacin og ofloxacin): Concomitant administration of a fluoroquinolone og calcium carbonate may decrease the absorption of the fluoroquinolone.
Systemiske glukokortikoider
Kalcium absorption is reduced when calcium carbonate is taken concomitantly with systemic glucocorticoids.
Tetracycliner
Tetracycliner (such as doxycycline minocycline tetracycline): Concomitant administration of a tetracycline og calcium carbonate may decrease the absorption of the tetracycline.
Thiaziddiuretika
Nedsat urinudskillelse af calcium er rapporteret under samtidig anvendelse af calciumcarbonat og thiaziddiuretika.
D -vitamin
D -vitamin og vitamin D analogues (such as calcitriol doxercalciferol og paricalcitol): Absorption of calcium may be increased when calcium carbonate is given concomitantly with vitamin D analogues.
Jern
Kalcium may interfere with the absorption of jern. Patients being treated for jern deficiency should take jern og calcium at different times of the day.
Interaktioner om lægemiddel/laboratorieprøve
Actonel
Bisphosphonater are known to interfere with the use of bone-imaging agents. Specific studies with Actonel have ikke been performed.
Advarsler for Actonel med calcium
Actonel
Bisphosphonater may cause upper gastrointestinal disorders such as dysphagia esophagitis og esophageal or gastric ulcer (see FORHOLDSREGLER ).
Kalcium
Se FORHOLDSREGLER
Forholdsregler for Actonel med calcium
Generel
Actonel
Hypocalcæmi og andre forstyrrelser af knogler og mineralmetabolisme bør behandles effektivt, før Actonel -terapi startes. Tilstrækkelig indtagelse af calcium og D -vitamin er vigtigt hos alle patienter. Actonel anbefales ikke til brug hos patienter med alvorlig nedsat nyrefunktion (creatinine clearance <30 mL/min).
Bisphosphonater have been associated with gastrointestinal disorders such as dysphagia esophagitis og esophageal or gastric ulcers. This association has been reported for bisphosphonates in postmarketing experience but has ikke been found in most pre-approval clinical trials including those conducted with Actonel. Patients should be advised that taking the medication according to the instructions is important to minimize the risk of these events. They should take Actonel with sufficient plain water (6 to 8 oz) to facilitate delivery to the stomach og should ikke lie down for 30 minutes after taking the drug.
Osteonecrosis primært i kæben er rapporteret hos patienter behandlet med bisphosphonater. De fleste tilfælde har været i kræftpatienter, der gennemgik tandprocedurer, såsom tandekstraktion, men nogle har forekommet hos patienter med postmenopausal osteoporose eller andre diagnoser. De fleste rapporterede tilfælde har været hos patienter behandlet med bisphosphonater intravenøst, men nogle har været hos patienter behandlet oralt.
For patienter, der kræver tandprocedurer, er der ingen tilgængelige data for at antyde, om seponering af bisphosphonatbehandling inden proceduren reducerer risikoen for osteonecrose af kæben. Klinisk vurdering bør vejlede styringsplanen for hver patient baseret på individuel fordel/risikovurdering.
Muskuloskeletal Pain
I eftermarkedsoplevelse har der været sjældne rapporter om alvorlige og lejlighedsvis ude af stand til knogleled og/eller muskelsmerter hos patienter, der tager bisphosphonater (se Bivirkninger ). The time to onset of symptoms varied from one day to several months after starting the drug. Most patients had relief of symptoms after stopping medication. A subset had recurrence of symptoms when rechallenged with the same drug or aikkeher bisphosphonate.
Atypiske subtrochanteriske og diaphyseale lårbensfrakturer:
Atypiske lavenergi eller lave traumefrakturer af lårbensakslen er rapporteret hos bisphosphonatbehandlede patienter. Disse brud kan forekomme overalt i lårbensakslen fra lige under den mindre trochanter til over den supracondylære bluss og er krydse eller korte skrå i orientering uden bevis for findeling. Kausalitet er ikke etableret, da disse brud også forekommer hos osteoporotiske patienter, der ikke er blevet behandlet med bisphosphonater.
Atypiske lårbenfrakturer forekommer oftest med minimale eller ingen traumer til det berørte område. De kan være bilaterale, og mange patienter rapporterer prodromale smerter i det berørte område, der normalt præsenterer som kedelige ømme lår smerter uger til måneder, før der opstår en komplet brud. En række rapporter bemærker, at patienter også modtog behandling med glukokortikoider (f.eks. Prednison) på brudstidspunktet.
Enhver patient med en historie med bisphosphonateksponering, der præsenterer med lår- eller lyskesmerter, skal mistænkes for at have et atypisk brud og bør evalueres for at udelukke en ufuldstændig lårbensbrud. Patienter, der præsenterer med et atypisk brud, bør også vurderes for symptomer og tegn på brud i den kontralaterale lem. Afbrydelse af bisphosphonatbehandling bør overvejes i afventning af en risiko/fordelevurdering på individuelt grundlag.
Kalcium
Actonel with Kalcium (risedronate sodium with calcium carbonate) should ikke be used to treat hypocalcemia. Total daily intake of calcium above 1500 mg has ikke demonstrated additional bone benefits while daily intake above 2000 mg has been associated with increased risk of adverse effects including hypercalcemia og kidney stones.
Administration af calcium er blevet forbundet med en lille stigning i risikoen for nyresten.
Hos patienter med en historie med nyresten eller hypercalciuria metabolisk vurdering for at søge behandlingsbare årsager til disse tilstande er berettiget. Hvis administration af calciumtabletter skal være nødvendigt hos disse patienters udskillelse af urincalcium og anden passende test bør overvåges med jævne mellemrum.
Patienter med achlorhydria kan have reduceret absorptionen af calcium. At tage calcium med mad forbedrer absorptionen.
Samtidig brug af calciumholdige antacida bør overvåges for at undgå overdreven indtagelse af calcium.
Information til patienter
Actonel
Patienten skal informeres om at være særlig opmærksom på doseringsinstruktionerne, da kliniske fordele kan blive kompromitteret af manglende overtagelse af lægemidlet i henhold til instruktioner. Specielt skal Actonel tages mindst 30 minutter før den første mad eller drikke på dagen end vand.
For at lette levering til maven og dermed reducere potentialet for esophageal irritationspatienter bør patienter tage Actonel, mens de er i en opretstående position (sidder eller står) med et fuldt glas almindeligt vand (6 til 8 oz). Patienter bør ikke lægge sig i 30 minutter efter at have taget medicinen (se FORHOLDSREGLER Generel ). Patients should ikke chew or suck on the tablet because of a potential for oropharyngeal irritation.
Patienter skal instrueres, at hvis de udvikler symptomer på spiserørssygdom (såsom vanskeligheder eller smerter ved at sluge retrosternsmerter eller alvorlige vedvarende eller forværre halsbrand), bør de konsultere deres læge, før de fortsætter Actonel.
Patienter skal instrueres, at hvis de går glip af en dosis Actonel 35 mg en gang om ugen, skulle de tage 1 tablet om morgenen, efter at de huskede og vender tilbage til at tage 1 tablet en gang om ugen som oprindeligt planlagt på deres valgte dag. Patienter bør ikke tage 2 tabletter på samme dag.
Patienter skal modtage supplerende calcium og D -vitamin, hvis diætindtagelse er utilstrækkeligt (se FORHOLDSREGLER Generel ). Kalcium supplements or calcium- aluminum- og magnesium-containing medications may interfere with the absorption of Actonel og should be taken at a different time of the day as with food.
Vægtbærende øvelse skal overvejes sammen med ændringen af visse adfærdsfaktorer, såsom overdreven cigaretrygning og/eller alkoholforbrug, hvis disse faktorer findes.
Læger skal instruere deres patienter til at læse Patientinformation Før du starter terapi med Actonel 35 mg og for at læse den igen hver gang recept er fornyet.
Patienter skal mindes om at give alle deres sundhedsudbydere en nøjagtig medicinhistorie. Instruer patienter om at fortælle alle deres sundhedsudbydere, at de tager Actonel. Patienter skal instrueres i, at de hver gang har et medicinsk problem, de mener kan være fra Actonel, skal de tale med deres læge.
Kalcium
Kalcium should be used as an adjunct to osteoporosis therapies.
Patienten skal informeres om at tage calciumtabletterne med mad for at lette calciumabsorption.
Karcinogenese mutagenese nedskrivning af fertilitet
Carcinogenese
I en 104-ugers carcinogenicitetsundersøgelsesrotter blev rotter administreret daglige orale doser af risedronat op til 24 mg/kg/dag (ca. 50 gange den systemiske eksponering efter en 35 mg/uge human dosis baseret på overfladeareal mg/m²). Der var ingen signifikante medikamentinducerede tumorfund hos mandlige eller hunrotter. Den høje dosis mandlige gruppe på 24 mg/kg/dag blev afsluttet tidligt i undersøgelsen (uge 93) på grund af overdreven toksicitet og data fra denne gruppe var ikke inkluderet i den statistiske evaluering af undersøgelsesresultaterne. I en 80-ugers carcinogenicitetsundersøgelsesmus blev der administreret daglige orale doser op til 32 mg/kg/dag (ca. 30 gange den systemiske eksponering efter en 35 mg/uge human dosis baseret på overfladeareal mg/m²). Der var ingen signifikante medikamentinducerede tumorfund i han- eller hunmus.
Mutagenese
Risedronat udviste ikke genetisk toksicitet i de følgende assays: In vitro Bakteriel mutagenese i Salmonella og E. coli (AMES Assay) Mammalske celle -mutagenese i CHO/HGPRT -assay -uplanlagt DNA -syntese i rottehepatocytter og en vurdering af kromosomale afvigelser in vivo i rotte -knoglemarv.
Værdiforringelse af fertiliteten
Hos kvindelige rotter blev ægløsning inhiberet ved en oral dosis af Risedronate på 16 mg/kg/dag (ca. 30 gange den systemiske eksponering efter en 35 mg/uge human dosis baseret på overfladeareal mg/m²). Nedsat implantation blev bemærket i hunrotter behandlet med doser ≥ 7 mg/kg/dag (14 gange den systemiske eksponering efter en 35 mg/uge human dosis baseret på overfladeareal Mg/m²). Hos hanrotter blev testikulær og epididymal atrofi og betændelse bemærket ved 40 mg/kg/dag (80 gange den systemiske eksponering efter en 35 mg/uge human dosis baseret på overfladeareal mg/m²). Testikulær atrofi blev også bemærket i hanrotter efter 13 ugers behandling ved orale doser på 16 mg/kg/dag (ca. 30 gange den systemiske eksponering efter en 35 mg/uge human dosis baseret på overfladeareal mg/m²). Der var moderat-tosevere spermatid modningsblok efter 13 uger hos mandlige hunde ved en oral dosis på 8 mg/kg/dag (ca. 50 gange den systemiske eksponering efter en 35 mg/uge human dosis baseret på overfladeareal mg/m²).
Graviditet
Graviditet Category C
Overlevelse af nyfødte blev reduceret i rotter behandlet under drægtighed med orale doser af risedronat ≥ 16 mg/kg/dag (ca. 30 gange den systemiske eksponering efter en 35 mg/uge human dosis baseret på overfladeareal mg/m²). Kropsvægt blev reduceret i nyfødte fra dæmninger behandlet med 80 mg/kg (ca. 160 gange den 35 mg/uges humane dosis baseret på overfladeareal Mg/m²). Hos rotter behandlet under drægtighed blev antallet af fostre, der udviste ufuldstændig ossifikation af sternebrae eller kraniet, statistisk signifikant forøget ved 7,1 mg/kg/dag (ca. 14 gange den 35 mg/uges humane dosis baseret på overfladeareal mg/m²). Både ufuldstændig ossificering og ikke -uddelt sterne blev forøget hos rotter behandlet med orale doser ≥ 16 mg/kg/dag (ca. 30 gange den 35 mg/uge human dosis baseret på overfladeareal Mg/m²). En lav forekomst af spalte ganen blev observeret i fostre fra hunrotter behandlet med orale doser ≥ 3,2 mg/kg/dag (ca. 20 gange den 35 mg/uge human dosis baseret på overfladeareal mg/m²). Relevansen af dette fund til menneskelig brug af Actonel er uklar. Der blev ikke set nogen signifikante føtal ossificeringseffekter hos kaniner behandlet med orale doser op til 10 mg/kg/dag under drægtighed (40 gange den 35 mg/uge human dosis baseret på overfladeareal mg/m²). Hos kaniner, der blev behandlet med 10 mg/kg/dag 1 af 14 kuld blev imidlertid aborteret, og 1 ud af 14 kuld blev leveret for tidligt.
I lighed med andre bisphosphonater -behandling under parring og drægtighed med doser så lave som 3,2 mg/kg/dag (ca. 20 gange den 35 mg/uge, som human dosis baseret på overfladeareal mg/m²) har resulteret i periparturient hypokalcæmi og dødelighed hos gravide rotter, der er tilladt at levere.
Bisphosphonater are incorporated into the bone matrix from which they are gradually released over periods of weeks to years. The amount of bisphosphonate incorporation into adult bone og hence the amount available for release back into the systemic circulation is directly related to the dose og duration of bisphosphonate use. There are no data on fetal risk in humans. However there is a theoretical risk of fetal harm predominantly skeletal if a woman becomes pregnant after completing a course of bisphosphonate therapy. The impact of variables such as time between cessation of bisphosphonate therapy to conception the particular bisphosphonate used og the route of administration (intravenous versus oral) on this risk has ikke been studied.
Der er ingen tilstrækkelige og godt kontrollerede undersøgelser af Actonel hos gravide kvinder. Actonel bør kun bruges under graviditet, hvis den potentielle fordel retfærdiggør den potentielle risiko for moderen og fosteret.
Sygeplejerske kvinder
Risedronat blev påvist i fodring af hvalpe udsat for ammende rotter i en 24-timers periode efter dosering, hvilket indikerer en lille grad af lacteloverførsel. Det vides ikke, om risedronat udskilles i human mælk. Fordi mange medikamenter udskilles i human mælk, og på grund af potentialet for alvorlige bivirkninger hos sygeplejebørn fra bisphosphonater bør der træffes en beslutning om at afbryde sygeplejerske eller afbryde stoffet under hensyntagen til betydningen af stoffet for moren.
Pædiatrisk brug
Actonel
Sikkerhed og effektivitet hos pædiatriske patienter er ikke etableret.
Geriatrisk brug
Actonel
Af de patienter, der modtager Actonel i postmenopausal osteoporose -studier (se Kliniske studier ) 47% var mellem 65 og 75 år og 17% var over 75. Der blev ikke observeret nogen samlede forskelle i effektivitet eller sikkerhed mellem disse patienter og yngre patienter, men større følsomhed for nogle ældre kan ikke udelukkes.
Kalcium
Der er ingen offentliggjorte data, der specifikt sammenligner effektiviteten og sikkerheden mellem postmenopausale kvinder over og under 65 år.
Brug hos mænd
Actonel
Sikkerheden og effektiviteten hos mænd til behandling af primær osteoporose er ikke blevet fastlagt.
Overdoseringsoplysninger til Actonel med calcium
Actonel
Fald i serumcalcium og fosfor efter betydelig overdosis kan forventes hos nogle patienter. Tegn og symptomer på hypokalcæmi kan også forekomme hos nogle af disse patienter. Mælk eller antacida, der indeholder calcium, skal gives for at binde Actonel og reducere absorptionen af lægemidlet.
I tilfælde af betydelig overdosering kan gastrisk skylning anses for at fjerne uabsorberet lægemiddel. Standardprocedurer, der er effektive til behandling af hypokalcæmi, herunder administration af calcium intravenøst, forventes at gendanne fysiologiske mængder af ioniseret calcium og for at lindre tegn og symptomer på hypokalcæmi.
Letalitet efter enkelt orale doser blev set hos hunrotter ved 903 mg/kg og hanrotter ved 1703 mg/kg. Den minimale dødelige dosis hos mus og kaniner var 4000 mg/kg og 1000 mg/kg. Disse værdier repræsenterer> 1000 gange den 35 mg/uges menneskelige dosis baseret på overfladeareal (mg/m²).
Kalcium
På grund af dens begrænsede tarmabsorption er overdosering med calciumcarbonat usandsynlig. Imidlertid kan langvarig anvendelse af meget høje doser føre til hypercalcæmi. Kliniske manifestationer af hypercalcæmi kan omfatte anorexia tørst kvalme opkastning af forstoppelse abdominal smerte muskel svaghed træthed mental forstyrrelser polydipsia polyuria knoglesmerter nefrokalcinose nyre beregning og i alvorlige tilfælde hjertearytmier.
Behandling: Calcium skal afbrydes. Andre terapier, der kan bidrage til tilstanden, såsom thiaziddiuretika lithium vitamin A -vitamin og hjerte -glycosider, bør også afbrydes. Gastrisk tømning af ethvert resterende calcium skal overvejes. Rehydrering og i henhold til alvorlighed isoleret eller kombineret behandling med loop -diuretika bisphosphonater calcitonin og kortikosteroider bør også overvejes. Serumelektrolytter nyrefunktion og vitale tegn skal overvåges.
Kontraindikationer for Actonel med calcium
Actonel
- Hypocalcæmi (se FORHOLDSREGLER Generel )
- Kendt overfølsomhed over for enhver komponent i dette produkt
- Manglende evne til at stå eller sidde oprejst i mindst 30 minutter
Kalcium
- Hypercalcæmi fra enhver årsag, herunder men ikke begrænset til hyperparathyreoidisme hypercalcæmi af malignitet eller sarkoidose.
- Kendt overfølsomhed over for enhver komponent i produktet.
Klinisk farmakologi for Actonel with Kalcium
Actonel
Handlingsmekanisme
Actonel has an affinity for hydroxyapatite crystals in bone og acts as an antiresorptive agent. At the cellular level Actonel inhibits osteoclasts. The osteoclasts adhere normally to the bone surface but show evidence of reduced active resorption (e.g. lack of ruffled border). Histomorphometry in rats dogs og minipigs showed that Actonel treatment reduces bone turnover (activation frequency i.e. the rate at which bone remodeling sites are activated) og bone resorption at remodeling sites.
Farmakokinetik
Absorption
Absorption after an oral dose is relatively rapid (tmax ~1 hour) og occurs throughout the upper gastrointestinal tract. The fraction of the dose absorbed is independent of dose over the range studied (single dose 2.5 to 30 mg; multiple dose 2.5 to 5 mg). Steady-state conditions in the serum are observed within 57 days of daily dosing. Mean absolute oral bioavailability of the 30 mg tablet is 0.63% (90% CI: 0.54% to 0.75%) og is comparable to a solution. The extent of absorption of a 30 mg dose (three 10 mg tablets) when administered 0.5 hours før breakfast is reduced by 55% compared to dosing in the fasting state (no food or drink for 10 hours prior to or 4 hours after dosing). Gørsing 1 hour prior to breakfast reduces the extent of absorption by 30% compared to dosing in the fasting state. Gørsing either 0.5 hours prior to breakfast or 2 hours after dinner (evening meal) results in a similar extent of absorption. Actonel is effective when administered at least 30 minutes før breakfast.
Fordeling
Det gennemsnitlige steady-state-volumen af distribution er 6,3 l/kg hos mennesker. Human plasmaproteinbinding af lægemiddel er ca. 24%. Prækliniske undersøgelser hos rotter og hunde doseret intravenøst med enkeltdoser af [ 14 C] Risedronat indikerer, at ca. 60% af dosis fordeles til knogler. Resten af dosis udskilles i urinen. Efter flere orale doseringer hos rotter var optagelsen af Risedronate i blødt væv i området 0,001% til 0,01%.
Metabolisme
Der er ingen bevis for systemisk metabolisme af Risedronate.
Eliminering
Cirka halvdelen af den absorberede dosis udskilles i urin inden for 24 timer, og 85% af en intravenøs dosis udvindes i urinen over 28 dage. Gennemsnitlig renal clearance er 105 ml/min (CV = 34%), og gennemsnitlig total clearance er 122 ml/min (CV = 19%) med forskellen, der primært reflekterer ikke -renal clearance eller clearance på grund af adsorption til knogler. Nyreklarering er ikke koncentrationsafhængig, og der er et lineært forhold mellem renal clearance og kreatininklarering. Uabsorberet lægemiddel elimineres uændret i fæces. Når Risedronate er absorberet, er serumkoncentrationstidsprofilen multi-fasisk med en indledende halveringstid på ca. 1,5 timer og en terminal eksponentiel halveringstid på 480 timer. Denne terminale halveringstid antages at repræsentere dissocieringen af Risedronate fra knoglens overflade.
Kalcium
Kalcium is a major substrate for mineralization og has an antiresorptive effect on bone. Kalcium suppresses PTH secretion og decreases bone turnover. Increased levels of PTH are known to contribute to age-related bone loss especially at cortical sites while increased bone turnover is an independent risk factor of fractures.
Farmakokinetik
Absorption
Kalcium is released from calcium complexes during digestion in a soluble ionized form for absorption from the small intestine. Absorption can be by both passive og active mechanisms. Active absorption of calcium is highly dependent on vitamin D og vitamin D deficiency decreases the absorption of calcium. As calcium intake increases the active transfer mechanism becomes saturated og an increasing proportion of calcium is absorbed via passive diffusion. Absorption of calcium carbonate is dose-dependent with fractional absorption being highest when at doses up to 500 mg. Absorption of calcium is also dependent on pH with reduced absorption in alkaline conditions. The absorption of calcium from calcium carbonate is increased when taken with food.
Fordeling
Cirka 50% af calcium i serumet er i den fysiologisk aktive ioniserede form; Cirka 10% er komplekseret til phosphatcitrat eller andre anioner. De resterende 40% er bundet til proteiner primært albumin.
Eliminering
Uabsorberet calcium fra tyndtarmen udskilles i fæces. Renal udskillelse afhænger i vid udstrækning af glomerulær filtrering og calciumrørformet reabsorption med mere end 98% af calciumgenabsorberet fra det glomerulære filtrat. Denne proces er reguleret af aktivt vitamin D og PTH.
Særlige befolkninger
Actonel
Pædiatrisk
Risedronate farmakokinetik er ikke undersøgt hos patienter <18 years of age.
Køn
Biotilgængelighed og farmakokinetik efter mundtlig administration er ens hos mænd og kvinder.
Geriatrisk
Biotilgængelighed og disposition er ens hos ældre (> 60 år) og yngre forsøgspersoner. Ingen doseringsjustering er nødvendig.
Race
Farmakokinetiske forskelle på grund af race er ikke undersøgt.
Nyreinsufficiens
Risedronat udskilles uændret primært via nyren. Sammenlignet med personer med normal nyrefunktion blev renal clearance af Risedronat reduceret med ca. 70% hos patienter med kreatininklarering på ca. 30 ml/min. Actonel anbefales ikke til brug hos patienter med alvorlig nedsat nyrefunktion (creatinine clearance <30 mL/min) because of lack of clinical experience. No dosage adjustment is necessary in patients with a creatinine clearance ≥ 30 mL/min.
Leverinsufficiens
Der er ikke udført nogen undersøgelser for at vurdere Risedronats sikkerhed eller effektivitet hos patienter med leverfunktion. Risedronate metaboliseres ikke hos rottehund og menneskelige leverpræparater. Ubetydelige beløb ( <0.1% of intravenous dose) of drug are excreted in the bile in rats. Therefore dosage adjustment is unlikely to be needed in patients with hepatic impairment.
Kalcium
Absorption of calcium from calcium carbonate is poor in patients with achlorhydria unless taken with food.
Køn
Absorption of calcium from calcium carbonate has ikke been adequately studied with respect to gender.
Geriatrisk
Der er ingen klinisk signifikante forskelle i biotilgængelighed efter administration af 1 g elementær calcium som calciumcarbonat mellem unge (20 til 27 år) og ældre (63 til 71 år) hunner.
Race
Effekten af race på calciumabsorption fra oral calciumcarbonat er ikke undersøgt.
Nyreinsufficiens
Nyresygdom påvirker calciumhomeostase gennem dens virkninger på D -vitamin -metabolisme -fosforudskillelse og PTH. Calcium skal administreres forsigtigt til patienter med nyresygdom (kreatinin clearance <30 mL/min) to avoid elevations of the calcium-phosphorus ion product (Ca x Phos) og the development of calcinosis.
Farmakodynamik
Actonel
Behandling og forebyggelse af osteoporokis hos kvinder efter menopausal
Osteoporose is characterized by decreased bone mass og increased fracture risk most commonly at the spine hip og wrist.
Diagnosen kan bekræftes ved konstatering af lav knoglemasse bevis for brud på røntgenstråle en historie med osteoporotisk brud eller højdtab eller kyphose, der indikerer vertebral brud.
Osteoporose occurs in both men og women but is more common among women following menopause. In healthy humans bone formation og resorption are closely linked; old bone is resorbed og replaced by newly-formed bone. In postmenopausal osteoporosis bone resorption exceeds bone formation leading to bone loss og increased risk of bone fracture. After menopause the risk of fractures of the spine og hip increases; approximately 40% of 50 year-old women will experience an osteoporosis-related fracture during their remaining lifetimes. After experiencing 1 osteoporosis-related fracture the risk of future fracture increases 5-fold compared to the risk among a non-fractured population.
Actonel treatment decreases the elevated rate of bone turnover that is typically seen in postmenopausal osteoporosis. In clinical trials administration of Actonel to postmenopausal women resulted in decreases in biochemical markers of bone turnover including urinary deoxypyridinoline/creatinine og urinary collagen cross-linked N-telopeptide (markers of bone resorption) og serum bone specific alkaline phosphatase (a marker of bone formation). At the 5 mg dose decreases in deoxypyridinoline/creatinine were evident within 14 days of treatment. Changes in bone formation markers were observed later than changes in resorption markers as expected due to the coupled nature of bone resorption og bone formation; decreases in bone specific alkaline phosphatase of about 20% were evident within 3 months of treatment. Bone turnover markers reached a nadir of about 40% below baseline values by the sixth month of treatment og remained stable with continued treatment for up to 3 years. Bone turnover is decreased as early as 14 days og maximally within about 6 months of treatment with achievement of a new steady-state that more nearly approximates the rate of bone turnover seen in premenopausal women. In a 1-year study comparing daily versus weekly oral dosing regimens of Actonel for the treatment of osteoporosis in postmenopausal women Actonel 5 mg daily og Actonel 35 mg once-a-week decreased urinary collagen cross-linked N-telopeptide by 60% og 61% respectively. In addition serum bone-specific alkaline phosphatase was also reduced by 42% og 41% in the Actonel 5 mg daily og Actonel 35 mg once-a-week groups respectively. Actonel is ikke an estrogen og does ikke have the benefits og risks of estrogen therapy.
Som et resultat af inhiberingen af knogleresorptionsasymptomatisk og normalt kortvarig falder fra baseline i serumkalcium ( <1%) og serum phosphate ( < 3%) og compensatory increases in serum PTH levels ( < 30%) were observed within 6 months in patients in osteoporosis clinical trials. There were no significant differences in serum calcium phosphate or PTH levels between the Actonel og placebo groups at 3 years. In a 1-year study comparing daily versus weekly oral dosing regimens of Actonel in postmenopausal women the mean changes from baseline at 12 months were similar between the Actonel 5 mg daily og Actonel 35 mg once-a-week groups respectively for serum calcium (0.4% og 0.7%) phosphate (-3.8% og -2.6%) og PTH (6.4% og 4.2%).
Kalcium
Kalcium administration decreases the elevated rate of bone turnover typically seen in postmenopausal women with osteoporosis. In rogomized placebo controlled studies in postmenopausal women calcium administration (500 mg to 1600 mg) decreased biochemical markers of bone turnover including urine N-telopeptide urine free pyridinoline (markers of bone resorption) alkaline phosphatase og osteocalcin (markers of bone formation) relative to placebo treated women.
Kalcium administration may transiently increase levels of serum calcium with compensatory reductions in serum PTH og an increase in urinary calcium. However urinary og serum calcium levels usually remain within the normal reference range.
Kliniske studier
Actonel
Behandling af osteoporose in Postmenopausal Women
Fraktureffektiviteten af Actonel 5 mg dagligt i behandlingen af postmenopausal osteoporose blev demonstreret hos 2 store randomiserede placebokontrollerede dobbeltblinde undersøgelser, der tilmeldte sig i alt næsten 4000 postmenopausale kvinder under lignende protokoller. Den multinationale undersøgelse (vert Mn) (Actonel 5 mg n = 408) blev primært udført i Europa og Australien; En anden undersøgelse blev udført i Nordamerika (vert NA) (Actonel 5 mg n = 821). Patienter blev valgt på grundlag af radiografisk bevis for tidligere hvirveldbrud og havde derfor etableret sygdom. Det gennemsnitlige antal udbredte vertebrale frakturer pr. Patient ved undersøgelsesindgangen var 4 i vert MN og 2,5 i vert NA med en bred vifte af baseline knoglemineraltæthed (BMD) niveauer. Alle patienter i disse undersøgelser modtog supplerende calcium 1000 mg/dag. Patienter med lave vitamin D -niveauer (ca. 40 nmol/L eller mindre) modtog også supplerende D -vitamin 500 IE/dag.
Positive effekter af Actonel-behandling på BMD blev også demonstreret i hver af 2 store randomiserede placebokontrollerede forsøg (BMD MN og BMD NA), hvor næsten 1200 postmenopausale kvinder (Actonel 5 mg n = 394) blev rekrutteret på basis af lav lumbar-rygmasse (mere end 2 SD under premenopausal middelværdi) snarere end en historie af verteblidbræt.
Actonel 35 mg once-a-week (n = 485) was shown to be therapeutically equivalent to Actonel 5 mg daily (n = 480) in a 1-year double-blind multicenter study of postmenopausal women with osteoporosis. In the primary efficacy analkysis of completers the mean increases from baseline in lumbar spine BMD at 1 year were 4.0% (3.7 4.3; 95% confidence interval [CI]) in the 5 mg daily group (n = 391) og 3.9% (3.6 4.3; 95% CI) in the 35 mg once-a-week group (n = 387) og the mean difference between 5 mg daily og 35 mg weekly was 0.1% (-0.42 0.55; 95% CI). The results of the intent-to-treat analysis with the last observation carried forward were consistent with the primary efficacy analysis of completers. The 2 treatment groups were also similar with regard to BMD increases at other skeletal sites.
Effekt på rygsøjlefrakturer
Frakturer af tidligere uformede ryghvirvler (nye brud) og forværring af allerede eksisterende rygsøjlefrakturer blev diagnosticeret radiografisk; Nogle af disse brud var også forbundet med symptomer (dvs. kliniske brud). Spinalradiografer blev planlagt årligt og prospektivt planlagte analyser var baseret på tiden til en patients første diagnosticerede brud. Det primære slutpunkt for disse undersøgelser var forekomsten af nye og forværrede rygsøjlefrakturer i perioden 0 til 3 år. Actonel 5 mg dagligt reducerede forekomsten af nye og forværrede vertebrale frakturer og af nye vertebrale frakturer i både vert NA og vert MN på alle tidspunkter (tabel 1). Reduktionen i risiko, der blev set i undergruppen af patienter, der havde 2 eller flere vertebrale frakturer ved undersøgelsesindgangen, svarede til den, der blev set i den samlede studiepopulation.
Tabel 1: Effekten af Actonel på risikoen for rygsøjlefrakturer
| Vert na | Andel af patienter | Absolut risikoreduktion (%) | Relativ risikoreduktion (%) | |
| med brud (%) a | ||||
| Placebo n = 678 | Actonel 5 mg n = 696 | |||
| Ny og forværring | ||||
| 0 til 1 år | 7.2 | 3.9 | 3.3 | 49 |
| 0 til 2 år | 12.8 | 8.0 | 4.8 | 42 |
| 0 til 3 år | 18.5 | 13.9 | 4.6 | 33 |
| Ny | ||||
| 0 til 1 år | 6.4 | 2.4 | 4.0 | 65 |
| 0 til 2 år | 11.7 | 5.8 | 5.9 | 55 |
| 0 til 3 år | 16.3 | 11.3 | 5.0 | 41 |
| Vert Mn | Placebo n = 346 | Actonel 5 mg n = 344 | Absolut risikoreduktion (%) | Relativ risikoreduktion (%) |
| Ny og forværring | ||||
| 0 til 1 år | 15.3 | 8.2 | 7.1 | 50 |
| 0 til 2 år | 28.3 | 13.9 | 14.4 | 56 |
| 0 til 3 år | 34.0 | 21.8 | 12.2 | 46 |
| Ny | ||||
| 0 til 1 år | 13.3 | 5.6 | 7.7 | 61 |
| 0 til 2 år | 24.7 | 11.6 | 13.1 | 59 |
| 0 til 3 år | 29.0 | 18.1 | 10.9 | 49 |
| a Beregnet ved Kaplan-Meier-metodologi |
Effekt på osteoporose-relaterede ikke-vertebrale brud
I vert mn og vert na blev der defineret et prospektivt planlagt effektivitetsdepunkt bestående af alle radiografisk bekræftede brud på skeletsteder accepteret som forbundet med osteoporose. Frakturer på disse steder blev kollektivt omtalt som osteoporose-relaterede ikke-vertebrale brud. Actonel 5 mg dagligt reducerede forekomsten af ikke-vertebral osteoporose-relaterede brud over 3 år i vert NA (8%mod 5%; relativ risikoreduktion 39%) og reducerede brudforekomsten i vert Mn fra 16%til 11%. Der var en signifikant reduktion fra 11% til 7%, da undersøgelserne blev kombineret med en tilsvarende 36% reduktion i relativ risiko. Figur 1 viser de samlede resultater såvel som resultaterne på de individuelle skeletsteder for de kombinerede undersøgelser.
Figur 1: Ikke-vertebrale osteoporose-relaterede brud
Kumulativ forekomst over 3 år
Kombineret vert mn og vert na
|
Effekt på højden
I de to 3-årige osteoporose-behandlingsundersøgelser blev stående højde målt årligt med stadiometer. Både Actonel og placebo-behandlede grupper mistede højden under undersøgelserne. Patienter, der modtog Actonel, havde et statistisk signifikant mindre tab af højde end dem, der modtog placebo. I vert Mn var den median årlige højdeændring -1,3 mm/år i Actonel 5 mg daglig gruppe sammenlignet med -2,4 mm/år i placebogruppen. I vert Na var den median årlige højdeændring -0,7 mm/år i Actonel 5 mg daglig gruppe sammenlignet med -1,1 mm/år i placebogruppen.
Effekt på knoglemineraltæthed
Resultaterne af 4 randomiserede placebokontrollerede forsøg hos kvinder med postmenopausal osteoporose (vert mn vert na bmd mn bmd na) viser, at Actonel 5 mg dagligt øger BMD ved rygsøjlen og håndleddet sammenlignet med virkningerne set med placebo. Tabel 2 viser de signifikante stigninger i BMD, der ses ved lumbale rygsøjle femoral nakke femoral trochanter og midtskaft radius i disse forsøg sammenlignet med placebo. I begge vertundersøgelser (vert Mn og Vert Na) producerede Actonel 5 mg dagligt stigninger i lændehvirvelsøjle BMD, der var progressive i løbet af de 3 år med behandling og var statistisk signifikante i forhold til baseline og til placebo efter 6 måneder og på alle senere tidspunkter.
Tabel 2: Gennemsnitlig procentvis stigning i BMD fra baseline hos patienter, der tager Actonel 5 mg eller placebo ved endepunktet a
| Vert Mn b | Vert na b | BMD Mn c | BMD NA c | |||||
| Placebo n = 323 | 5 mg n = 323 | Placebo n = 599 | 5 mg n = 606 | Placebo n = 161 | 5 mg n = 148 | Placebo n = 191 | 5 mg n = 193 | |
| Lumbal Spine | 1.0 | 6.6 | 0.8 | 5.0 | 0.0 | 4.0 | 0.2 | 4.8 |
| Femoral hals | -1.4 | 1.6 | -1.0 | 1.4 | -1.1 | 1.3 | 0.1 | 2.4 |
| Femoral trochanter | -1.9 | 3.9 | -0.5 | 3.0 | -0.6 | 2.5 | 1.3 | 4.0 |
| Midtskaft radius | -1,5* | 0,2* | -1.2* | 0,1* | Nd | Nd | ||
| a Endpoint -værdien er værdien ved undersøgelsens sidste tidspunkt for alle patienter, der havde BMD målt på det tidspunkt; Ellers bruges den sidste BMD -værdi efter BMD inden undersøgelsens sidste tidspunkt. b Undersøgelsens varighed var 3 år. c Undersøgelsens varighed var 1,5 til 2 år. *BMD for midtskaftradius blev målt i en undergruppe af centre i vert Mn (placebo n = 222; 5 mg n = 214) og vert na (placebo n = 310; 5 mg n = 306) Nd = analysis ikke done |
Histologi/histomorfometri
Benbiopsier fra 110 kvinder efter menopausal blev opnået ved endepunktet. Patienter havde modtaget daglig Actonel (NULL,5 mg eller 5 mg) eller placebo i 2 til 3 år. Histologisk evaluering (n = 103) viste ingen osteomalacia nedsat knoglemineralisering eller andre bivirkninger på knogler hos actonel-behandlede kvinder. Disse fund viser, at knogler dannet under Actonel -administration er af normal kvalitet. Den histomorphometriske parametermineraliseringsoverflade Et indeks over knogleromsætning blev vurderet baseret på baseline- og efterbehandlingsbiopsiprøver fra 23 patienter behandlet med Actonel 5 mg og 21 behandlet med placebo. Mineraliseringsoverflade faldt moderat hos Actonel -behandlede patienter (medianprocentændring: Actonel 5 mg -74%; placebo -21%) i overensstemmelse med de kendte effekter af behandling på knogleromsætningen.
Forebyggelse af osteoporose in Postmenopausal Women
Actonel 5 mg daily prevented bone loss in a majority of postmenopausal women (age range 42 to 63 years) within 3 years of menopause in a 2-year double-blind placebo-controlled study in 383 patients (Actonel 5 mg n = 129). All patients in this study received supplemental calcium 1000 mg/day. Increases in BMD were observed as early as 3 months following initiation of Actonel treatment. Actonel 5 mg produced significant mean increases in BMD at the lumbar spine femoral neck og trochanter compared to placebo at the end of the study (Figure 2). Actonel 5 mg daily was also effective in patients with lower baseline lumbar spine BMD (more than 1 SD below the premenopausal mean) og in those with normal baseline lumbar spine BMD. Bone mineral density at the distal radius decreased in both Actonel og placebo-treated women following 1 year of treatment.
Figur 2: Ændring i BMD fra baseline2-årig forebyggelsesundersøgelse
|
Actonel 35 mg once-a-week prevented bone loss in postmenopausal women (age range 44 to 64 years) without osteoporosis in a 1-year double-blind placebo-controlled study in 278 patients (Actonel 35 mg n = 136). All patients were supplemented with 1000 mg elemental calcium og 400 IU vitamin D per day. The primary efficacy measure was the percent change in lumbar spine BMD from baseline after 1 year of treatment using LOCF (last observation carried forward). Actonel 35 mg once-a-week resulted in a statistically significant mean difference from placebo in lumbar spine BMD of +2.9% (least square mean for risedronate +1.83%; placebo -1.05%). Actonel 35 mg once-a-week also showed a statistically significant mean difference from placebo in BMD at the total proximal femur of +1.5% (risedronate +1.01%; placebo -0.53%) femoral neck of +1.2% (risedronate +0.22%; placebo -1.00%) og trochanter of +1.8% (risedronate +1.07%; placebo -0.74%).
Kombineret administration med hormonudskiftningsterapi
Virkningerne af at kombinere Actonel 5 mg dagligt med konjugeret østrogen 0,625 mg dagligt (n = 263) blev sammenlignet med virkningerne af konjugeret østrogen alene (n = 261) i en 1-årig randomiseret dobbeltblind undersøgelse af kvinder i alderen 37 til 82 år, der i gennemsnit var 14 år efter menopausal. BMD -resultaterne for denne undersøgelse er præsenteret i tabel 3.
Tabel 3: Procentændring fra baseline i BMD efter 1 års behandling
| Østrogen 0,625 mg n = 261 | Actonel 5 mg ± østrogen 0,625 mg n = 263 | |
| Lumbal Spine | 4,6 ± 0,20 | 5,2 ± 0,23 |
| Femoral hals | 1,8 ± 0,25 | 2,7 ± 0,25 |
| Femoral trochanter | 3,2 ± 0,28 | 3,7 ± 0,25 |
| Midtskaft radius | 0,4 ± 0,14 | 0,7 ± 0,17 |
| Distal radius | 1,7 ± 0,24 | 1,6 ± 0,28 |
| De viste værdier er gennemsnit (± SEM) procent ændring fra baseline. |
Histologi/histomorfometri
Benbiopsier fra 53 kvinder efter postmenopausal blev opnået ved endepunktet. Patienter havde modtaget Actonel 5 mg plus østrogen eller østrogen alene en gang dagligt i 1 år. Histologisk evaluering (n = 47) demonstrerede, at knoglen hos patienter behandlet med Actonel plus østrogen var af normal lamellær struktur og normal mineralisering. Den histomorphometriske parametermineraliseringsoverflade Et mål for knogleromsætning blev vurderet baseret på baseline- og efterbehandlingsbiopsiprøver fra 12 patienter behandlet med Actonel plus østrogen og 12 behandlet med østrogen alene. Mineraliseringsoverfladen faldt i begge behandlingsgrupper (medianprocentændring: Actonel plus østrogen -79%; østrogen alene -50%) i overensstemmelse med de kendte virkninger af disse midler på knogleromsætningen.
Dyrefarmakologi og/eller toksikologi
Actonel
Risedronat demonstrerede potent anti-osteoklast antiresorptiv aktivitet hos ovariektomiserede rotter og minipigs. Knoglemasse og biomekanisk styrke blev øget dosisafhængigt ved orale doser op til 4 og 25 gange den menneskelige anbefalede oral dosis på henholdsvis 35 mg/uge baseret på overfladeareal (mg/m²) for rotter og minipigs. Risedronate -behandling opretholdt den positive sammenhæng mellem BMD og knoglestyrke og havde ikke en negativ effekt på knoglestruktur eller mineralisering. Hos intakte hunde inducerede Risedronate positiv knogelbalance på niveauet for knoglemodelleringsenheden ved orale doser, der spænder fra 0,35 til 1,4 gange den humane 35 mg/uges dosis baseret på overfladeareal (mg/m²).
Hos hunde behandlet med en oral dosis på 1 mg/kg/dag (ca. 5 gange den humane 35 mg/ugedosis baseret på overfladeareal mg/m²) forårsagede Risedronat en forsinkelse i brudheling af radius. Den observerede forsinkelse i brudheling ligner andre bisphosphonater. Denne virkning forekom ikke i en dosis på 0,1 mg/kg/dag (ca. 0,5 gange den humane 35 mg/ugedosis baseret på overfladeareal mg/m²).
The Schenk rat assay based on histologic examination of the epiphyses of growing rats after drug treatment demonstrated that risedronate did not interfere with bone mineralization even at the highest dose tested (5 mg/kg/day subcutaneously) which was approximately 3500 times the lowest antiresorptive dose (1.5 mcg/kg/day in this model) and approximately 8 times the human 35 mg/week dose based on Overfladeareal (mg/m²). Dette indikerer, at Actonel, der administreres ved den terapeutiske dosis, usandsynligt vil inducere osteomalacia.
Kalcium
Publicerede undersøgelser har vist, at ændringer i diætindtagelsen af calcium påvirker knoglevækst og knogletaludvikling hos dyr såvel som knogletab i dyremodeller af østrogendepletion/ovariektomi og aldring.
Patientinformation til Actonel med calcium
Medicin vejledning
Actonel®
(AK-TOH-NEL) med calcium (Risedronate natrium og calciumcarbonat) tabletter
Læs medicinguiden, der følger med Actonel® med calcium (Risedronate natrium med calciumcarbonat), før du begynder at tage det, og hver gang du får en påfyldning. Der kan være nye oplysninger. Denne medicinguide indtager ikke stedet for at tale med din læge om din medicinske tilstand eller behandling. Tal med din læge, hvis du har spørgsmål om Actonel med calcium (Risedronate natrium med calciumcarbonat).
Hvad er de vigtigste oplysninger, jeg skal vide om Actonel med calcium?
Actonel with Kalcium (risedronate sodium with calcium carbonate) can cause serious side effects including:
- Esophagus -problemer
- Lave calciumniveauer i dit blod (hypocalcæmi)
- Alvorlige kæbebenproblemer (osteonecrosis)
- Knogleled eller muskelsmerter
- Usædvanlige lår knoglerfrakturer
1. esophagus -problemer.
Nogle mennesker, der tager Actonel med calcium (Risedronate natrium med calciumcarbonat) kan udvikle problemer i spiserøret (røret, der forbinder munden og maven). Disse problemer inkluderer irritationsinflammation eller mavesår i spiserøret, som undertiden kan blø.
- Det er vigtigt, at du tager Actonel med calcium (Risedronate natrium med calciumcarbonat) nøjagtigt som foreskrevet for at hjælpe med at sænke din chance for at få spiserørsproblemer. (Se afsnittet Hvordan skal jeg tage Actonel med calcium (Risedronate natrium med calciumcarbonat)?)
- Stop med at tage Actonel med calcium (Risedronate natrium med calciumcarbonat) og ring med din læge med det samme, hvis du får brystsmerter nyt eller forværrer halsbrand eller har problemer eller smerter, når du sluger.
2. lave calciumniveauer i dit blod (hypocalcæmi).
Actonel with Kalcium (risedronate sodium with calcium carbonate) may lower the calcium levels in your blood. If you have low blood calcium før you start taking Actonel with Kalcium (risedronate sodium with calcium carbonate) it may get worse during treatment. Your low blood calcium must be treated før you take Actonel with Kalcium. Most people with low blood calcium levels Gør ikke have symptoms but some people may have symptoms. Call your doctor right away if you have symptoms of low blood calcium such as:
- Spasmer rykker eller kramper i dine muskler
- Følelsesløshed eller prikken i fingrene tæer eller omkring din mund
Din læge kan ordinere calcium og D -vitamin for at hjælpe med at forhindre lave calciumniveauer i dit blod, mens du tager Actonel med calcium (Risedronate natrium med calciumcarbonat). Tag calcium og D -vitamin, som din læge beder dig om det.
3. alvorlige kæbenbenproblemer (osteonecrosis).
Alvorlige kæbebenproblemer kan ske, når du tager Actonel med calcium (Risedronate natrium med calciumcarbonat). Din læge skal undersøge din mund, før du begynder at Actonel med calcium (Risedronate natrium med calciumcarbonat). Din læge kan fortælle dig at se din tandlæge, før du begynder at Actonel med calcium (Risedronate natrium med calciumcarbonat). Det er vigtigt for dig at udøve god mundpleje under behandling med Actonel med calcium.
4. knogleled eller muskelsmerter.
Nogle mennesker, der tager Actonel med calcium (Risedronate natrium med calciumcarbonat) udvikler alvorlig knogleled eller muskelsmerter.
5. Usædvanlige lår knoglerfrakturer.
Nogle mennesker har udviklet usædvanlige brud i lårbenet. Symptomer på et brud kan omfatte ny eller usædvanlig smerte i din hoftebane eller lår.
Ring til din læge med det samme, hvis du har nogen af disse bivirkninger.
Hvad er Actonel med calcium (Risedronate natrium med calciumcarbonat)?
Actonel with Kalcium (risedronate sodium with calcium carbonate) is a prescription medicine used to:
- Behandl eller forhindrer osteoporose hos kvinder efter overgangsalderen. Actonel med calcium (Risedronate natrium med calciumcarbonat) hjælper med at øge knoglemassen og hjælper med at reducere chancen for at have en rygmarvs- eller ikke-spinal brud (pause).
Det vides ikke, hvor længe Actonel med calcium (Risedronate natrium med calciumcarbonat) fungerer til behandling og forebyggelse af osteoporose. Du skal se din læge regelmæssigt for at afgøre, om Actonel med calcium stadig er det rigtige for dig.
Actonel with Kalcium (risedronate sodium with calcium carbonate) is ikke for use in children.
Hvem skal ikke tage Actonel med calcium (Risedronate natrium med calciumcarbonat)?
Tag ikke Actonel med calcium (Risedronate natrium med calciumcarbonat), hvis du:
- Har visse problemer med din spiserør det rør, der forbinder din mund med din mave
- Har lave niveauer af calcium i dit blod
- Er allergiske over for Actonel eller nogen af dens ingredienser. En liste over ingredienser er i slutningen af denne indlægsseddel.
- Kan ikke stå eller sidde oprejst i mindst 30 minutter
Tag ikke calcium, hvis du:
- har høje niveauer af calcium i dit blod
- er allergiske over for Actonel med calcium (Risedronate natrium med calciumcarbonat) eller nogen af dets ingredienser. En liste over ingredienser er i slutningen af denne indlægsseddel
Hvad skal jeg fortælle min læge, før jeg tager Actonel med calcium (Risedronate natrium med calciumcarbonat)?
Før du starter Actonel med calcium (Risedronate natrium med calciumcarbonat) skal du sørge for at tale med din læge, hvis du:
- Har problemer med at sluge
- Har mave- eller fordøjelsesproblemer
- Har calcium med lavt blod
- Planlæg at få tandkirurgi eller tænder fjernet
- Har nyreproblemer
- Har fået at vide, at du har problemer med at absorbere mineraler i din mave eller tarme (malabsorptionssyndrom)
- Er gravide eller planlægger at blive gravid. Det vides ikke, om Actonel kan skade din ufødte baby.
- Er amning eller planlægger at amme. Det vides ikke, om Actonel passerer ind i din mælk og kan skade din baby. Du og din læge skal beslutte, om du vil tage Actonel med calcium (Risedronate natrium med calciumcarbonat) eller amme. Du skal ikke gøre begge dele.
Fortæl din læge om alle de medicin, du tager inklusive receptpligtige og receptpligtige lægemidler vitaminer og urtetilskud. Visse lægemidler kan påvirke, hvordan Actonel med calcium (Risedronate natrium med calciumcarbonat) fungerer.
Fortæl især din læge, hvis du tager:
- Antacida
- Askpirin
- Ikke-steroide antiinflammatoriske medicin (NSAID) medicin
- Skjoldbruskkirtelmedicin
- Antibiotika
- jern
- Glucocorticoid medicin (steroidhormoner)
- en vanddrivende (vandpille)
Bed din læge eller farmaceut om en liste over disse medicin, hvis du ikke er sikker.
Kend de medicin, du tager. Opbevar en liste over dem, og vis den for din læge og farmaceut, hver gang du får en ny medicin.
Hvordan skal jeg tage Actonel med calcium (Risedronate natrium med calciumcarbonat)?
- Tag Actonel med calcium (Risedronate natrium med calciumcarbonat) nøjagtigt som din læge fortæller dig.
- Actonel with Kalcium (risedronate sodium with calcium carbonate) works only if taken on an empty stomach.
- Tag 1 Actonel med calcium (Risedronate natrium med calciumcarbonat) tablet 1 gang hver uge efter du står op for dagen og før At tage din første maddrink eller anden medicin.
- Tag Actonel med calcium (Risedronate natrium med calciumcarbonat), mens du sidder eller står.
- Tyg ikke eller sug på en tablet af Actonel med calcium (Risedronate natrium med calciumcarbonat).
- Swallow Actonel med calcium (Risedronate natrium med calciumcarbonat) tablet med et fuldt glas (6 til 8 oz) almindeligt vand.
- Gør ikke Tag Actonel med calcium (Risedronate natrium med calciumcarbonat) med mineralvand kaffete soda eller juice.
Efter at have slukning af Actonel med calcium (Risedronate natrium med calciumcarbonat) Tablet Vent mindst 30 minutter:
- Før du ligger ned. Du kan sidde eller gå og gå og udføre normale aktiviteter som læsning.
- Før du tager din første mad eller drikke bortset fra almindeligt vand.
- Før du tager andre medicin, inklusive antacida calcium og andre kosttilskud og vitaminer.
Gør ikke lie down for at least 30 minutes after you take Actonel with Kalcium (risedronate sodium with calcium carbonate) og after you eat your first food of the day.
Kalcium:
- Tag 1 calciumtablet dagligt med mad i de følgende 6 dage af ugen.
Hvis du går glip af en dosis Actonel med calcium (Risedronate natrium med calciumcarbonat) Gør ikke Tag det senere på dagen. Tag din ubesvarede dosis næste morgen og vend derefter tilbage til din normale tidsplan. Tag ikke 2 doser på samme tid.
Hvis du går glip af mere end 2 doser Actonel med calcium (Risedronate natrium med calciumcarbonat) i en måned, skal du ringe til din læge for instruktioner.
Hvis du tager for meget Actonel med calcium (Risedronate natrium med calciumcarbonat), skal du ringe til din læge. Forsøg ikke at spy. Læg dig ikke.
Hvad er de mulige bivirkninger af Actonel med calcium (Risedronate natrium med calciumcarbonat)?
Actonel with Kalcium (risedronate sodium with calcium carbonate) may cause serious side effects:
- Se Hvad er de vigtigste oplysninger, jeg skal vide om Actonel med calcium (Risedronate natrium med calciumcarbonat)?
De mest almindelige bivirkninger af Actonel med calcium (Risedronate natrium med calciumcarbonat) er:
- Smerter inklusive ryg og ledssmerter
- maveområde (abdominal) smerte
- halsbrand
Du kan få allergiske reaktioner såsom nældefeber eller i sjældne tilfælde hævelse af dine ansigtslæber tunge eller hals.
Fortæl din læge, hvis du har nogen bivirkning, der generer dig, eller som ikke forsvinder.
Dette er ikke alle de mulige bivirkninger af Actonel med calcium (Risedronate natrium med calciumcarbonat). For mere information spørg din læge eller farmaceut.
Ring til din læge for medicinsk rådgivning om bivirkninger. Du kan rapportere bivirkninger til FDA på 1-800-FDA-1088.
Hvordan skal jeg opbevare Actonel med calcium (Risedronate natrium med calciumcarbonat)?
- Butik Actonel med calcium (Risedronate natrium med calciumcarbonat) ved stuetemperatur 68 ° F til 77 ° F (20 ° C (
Hold Actonel med calcium (Risedronate natrium med calciumcarbonat) og alle medicin uden for børns rækkevidde.
Generel information about the safe og effective use of Actonel with Kalcium (risedronate sodium with calcium carbonate)
Medicin er undertiden ordineret til andre formål end dem, der er anført i en medicinguide. Brug ikke Actonel med calcium (Risedronate natrium med calciumcarbonat) til en tilstand, som det ikke blev ordineret til. Giv ikke Actonel med calcium (Risedronate natrium med calciumcarbonat) til andre mennesker, selvom de har de samme symptomer, du har. Det kan skade dem.
Denne medicinguide opsummerer den vigtigste information om Actonel med calcium. Hvis du gerne vil have flere oplysninger, skal du tale med din læge. Du kan bede din læge eller farmaceut om information om Actonel med calcium (Risedronate natrium med calciumcarbonat), der er skrevet til sundhedsfagfolk.
For mere information, gå til www.wcrx.com eller ring 1-800-521-8813.
Hvad er ingredienserne i Actonel med calcium (Risedronate natrium med calciumcarbonat)?
Actonel:
Aktiv ingrediens: Risedronate natrium
Inaktive ingredienser: Crospovidon jernoxid Rød ferrisk oxid gul hydroxypropylcellulose hydroxypropylmethylcellulose lactose monohydratmagnesiumstarter mikrystallinsk cellulose polyethylenglycol silicon dioxid titandioxid.
Kalcium:
Aktiv ingrediens: Calciumcarbonat
Inaktive ingredienser: Pregelatiniseret stivelse Natriumstivelsesglycolat FD