Oplysningerne På Webstedet Er Ikke Medicinsk Rådgivning. Vi Sælger Ikke Noget. Nøjagtigheden Af ​​Oversættelsen Er Ikke Garanteret. Ansvarsfraskrivelse

Armonair Digihaler

Resume af lægemiddeloversigt

Hvad er Armonair Digihaler?

Armonair Digihaler (fluticasonpropionatpulvermåleret) indeholder en kortikosteroid og er indikeret til vedligeholdelsesbehandling af astma som Profylaktisk Terapi hos patienter 12 år og ældre.

Hvad er bivirkninger af Armonair Digihaler?

Bivirkninger af inkluderer:

  • Infektion i øvre luftvejsinfektion
  • løbende eller Snerpet næse
  • Oral trast
  • hovedpine og
  • hoste

Dosering til Armonair Digihaler

Dosis af Armonair Digihaler til behandling af astma hos patienter 12 år og ældre er 1 inhalation af Armonair Digihaler 55 mcg 113 mcg eller 232 mcg to gange dagligt.



Armonair Digihaler hos børn

Sikkerheden og effektiviteten af ​​Armonair Digihaler i vedligeholdelsesbehandlingen af ​​astma som profylaktisk terapi hos pædiatriske patienter 12 år og ældre er blevet etableret.

Sikkerheden og effektiviteten af ​​Armonair Digihaler hos pædiatriske patienter under 12 år er ikke blevet fastlagt.

Inhalerede kortikosteroider inklusive fluticasonpropionat kan forårsage en reduktion i væksthastighed, når de administreres til pædiatriske patienter. En reduktion af væksthastighed hos børn eller teenagere kan forekomme som et resultat af dårligt kontrolleret astma eller fra anvendelse af kortikosteroider inklusive inhalerede kortikosteroider. Virkningerne af langvarig behandling af børn og unge med inhalerede kortikosteroider inklusive fluticasonpropionat på den endelige voksne højde er ikke kendt.

Hvilke stoffer stoffer eller kosttilskud interagerer med Armonair Digihaler?

Armonair Digihaler kan interagere med andre medicin såsom:

  • Stærke CYP3A4 -hæmmere (f.eks. Ritonavir Atazanavir Clarithromycin Indinavir itraconazol Nefazodon Nelfinavir Saquinavir Ketoconazol Telithromycin)

Fortæl din læge alle medicin og kosttilskud, du bruger.

Armonair Digihaler under graviditet og amning

Fortæl din læge, hvis du er gravid eller planlægger at blive gravid, før du bruger Armonair Digihaler; Det er ukendt, hvordan det ville påvirke et foster. Hos kvinder med dårligt eller moderat kontrolleret astma er der en øget risiko for adskillige perinatale negative resultater. Gravide kvinder med astma skal overvåges nøje og justeres medicinen efter behov for at opretholde optimal astmakontrol. Det er ukendt, om medicinen i Armonair Digihaler passerer til modermælk. Andre kortikosteroider er blevet påvist i human mælk. Imidlertid er fluticasonpropionatkoncentrationer i plasma efter inhalerede terapeutiske doser lave, og derfor er koncentrationer i human modermælk sandsynligvis tilsvarende lave. Kontakt din læge inden amning.

Yderligere oplysninger

Vores Armonair Digihaler (fluticasonpropionatpulvermåleret) bivirkninger Drug Center giver et omfattende overblik over tilgængelige lægemiddelinformation om de potentielle bivirkninger, når du tager denne medicin.

Dette er ikke en komplet liste over bivirkninger, og andre kan forekomme. Ring til din læge for medicinsk rådgivning om bivirkninger. Du kan rapportere bivirkninger til FDA på 1-800-FDA-1088.

FDA -lægemiddelinformation

Beskrivelse til Armonair Digihaler

The active component of ArmonAir Digihaler 55 mcg ArmonAir Digihaler 113 mcg and ArmonAir Digihaler 232 mcg is fluticasone propionate a corticosteroid having the chemical name S-(fluoromethyl) 6α9-difluoro-11β17-dihydroxy-16α-methyl-3-oxoandrosta-14-diene-17β-carbothioate 17-propionate og følgende kemiske struktur:

Fluticason -propionat er et hvidt pulver med en molekylvægt på 500,6, og den empiriske formel er C 25 H 31 F 3 O 5 S. Det er praktisk talt uopløseligt i vand frit opløseligt i dimethylsulfoxid og dimethylformamid og let opløseligt i methanol og 95% ethanol.

Armonair Digihaler er en multidose tørpulverinhalator (MDPI) med et elektronisk modul til oral inhalation. Det indeholder en formuleringsblanding af fluticasonpropionat og alfa -lactose monohydrat (som kan indeholde mælkeproteiner). Åbningen af ​​mundstykket dækningsmålere 11,5 mg af formuleringen fra enhedens reservoir, der indeholder 55 mcg 113 mcg eller 232 mcg fluticasonpropionat. Patientinhalation gennem mundstykket forårsager deagglomerering og aerosolisering af lægemiddelpartiklerne, når formuleringen bevæger sig gennem cyklonkomponenten af ​​enheden. Dette efterfølges af spredning i luftstrømmen.

Under standardiserede in vitro -testbetingelser leverer Armonair Digihaler Inhalator 51 mcg 103 mcg eller 210 mcg fluticasonpropionat med laktose fra mundstykket, når den testes med en strømningshastighed på 88 l/min i 1,4 sekunder.

Mængden af ​​medikament, der leveres til lungen, afhænger af patientfaktorer, såsom inspirerende flowprofiler. Hos voksne forsøgspersoner (n = 50 i alderen 18 til 45 år) med astma gennemsnitlig spidsinspirerende strømning (PIF) gennem MDPI -inhalatoren var 108,28 l/min (interval: 70,37 til 129,24 l/min). Hos unge personer (n = 50 i alderen 12 til 17 år) med astma gennemsnitlig spidsinspirerende strømning (PIF) gennem MDPI -inhalatoren var 106,72 l/min (interval: 73,64 til 125,51 l/min).

Armonair Digihaler inkluderer en QR-kode (på toppen af ​​inhalatoren) og indeholder et indbygget elektronisk modul, der automatisk registrerer poster og gemmer data om inhalatorhændelser, herunder maksimal inspirerende strømningshastighed (L/min). Armonair Digihaler kan parre sig med og transmittere data til mobilappen, hvor inhalatorbegivenheder er kategoriseret.

Bruger til Armonair Digihaler

Armonair® Digihaler® er indikeret til vedligeholdelsesbehandling af astma som profylaktisk terapi hos voksne og pædiatriske patienter 4 år og ældre.

Begrænsninger af brug

Armonair Digihaler er ikke indikeret til lindring af akut bronchospasme.

Dosering til Armonair Digihaler

Administrationsinstruktioner

  • Armonair Digihaler er til oral inhalation og kræver ikke priming.
  • Brug ikke Armonair Digihaler med et afstand eller volumen, der holder kammer.
  • Brug ikke mere end 2 gange hver 24. time. Sikkerheden og effektiviteten af ​​Armonair Digihaler, når den administreres over de anbefalede doseringer, er ikke fastlagt.
  • Hvis der opstår symptomer mellem doser, skal en inhaleret kortvirkende beta2-agonist bruges til øjeblikkelig lindring.

Anbefalet dosering

Administrer 1 Inhalation af Armonair Digihaler (fluticasonpropionat) to gange dagligt ved oral inhalation (ca. 12 timers mellemrum på samme tid hver dag). Skyl munden med vand uden at sluge efter hver dosis.

Valg af dosering

Den anbefalede startdosering for Armonair Digihaler er baseret på astma -sværhedsgrad og nuværende astmasapi og styrke.

Voksne og pædiatriske patienter i alderen 12 år og ældre
  • Patienter med større astma -sværhedsgrad bruger de højere doser:
    • 1 Inhalation af 113 MCG Armonair Digihaler (113 mcg fluticasonpropionat) to gange dagligt ved oral inhalation; eller
    • 1 Inhalation af 232 MCG Armonair Digihaler (232 mcg fluticasonpropionat) to gange dagligt ved oral inhalation.
  • Patienter, der ikke tager inhalerede kortikosteroider (ICS) med mindre alvorlig astma:
    • 1 Inhalation af 55 MCG Armonair Digihaler (55 mcg fluticasonpropionat) to gange dagligt ved oral inhalation.
  • Patienter, der skifter til Armonair Digihaler fra en anden ICS:
    • 1 Inhalation af lav (55 mcg fluticasonpropionat) medium (113 mcg fluticasonpropionat) eller høj (232 mcg fluticasonpropionat) Armonair Digihaler to gange dagligt ved oral inhalation baseret på styrken af ​​det forrige ICS -produkt og sygdomsgraden.
  • Den maksimale anbefalede dosering er 232 mcg to gange dagligt.
Pædiatriske patienter i alderen 4 til 11 år
  • Patienter, der ikke tager inhalerede kortikosteroider (ICS) med mindre alvorlig astma:
    • 1 Inhalation af 30 mcg Armonair Digihaler (30 mcg fluticasonpropionat) to gange dagligt ved oral inhalation.
  • Patienter, der skifter til Armonair Digihaler fra en anden ICS:
    • 1 Inhalation af 30 mcg Armonair Digihaler (30 mcg fluticasonpropionat) eller 55 mcg Armonair Digihaler (55 mcg fluticasonpropionat) to gange dagligt ved oral inhalation baseret på styrken af ​​det tidligere ICS -produkt- og sygdomsgrad.
  • Doseringer over 55 mcg Armonair Digihaler to gange dagligt ved oral inhalation er ikke blevet fastlagt hos patienter i alderen 4 til 11 år.
Generel doseringsinformation

Den maksimale fordel kan muligvis ikke opnås i op til 2 uger eller længere efter start af behandlingen. Individuelle patienter vil opleve en variabel tid til at begynde og grad af symptomlindring. For patienter, der ikke reagerer på lavere doser af Armonair Digihaler efter 2 ugers terapi for at øge dosis, kan der give yderligere astmakontrol.

Hvis en tidligere effektiv doseringsregime af Armonair Digihaler undlader at give tilstrækkelig kontrol af astma-revurdere det terapeutiske regime, inklusive patientoverholdelse og inhalator-teknik og overveje yderligere terapeutiske indstillinger (f.eks. Forøgelse af dosis af Armonair Digihaler med en højere styrkelse eller tilsætning af yderligere controller-terapier). Efter astmastabilitet er opnået, er det ønskeligt at titrere til den laveste effektive dosering for at reducere risikoen for bivirkninger.

Opbevaring og rengøring af inhalatoren

  • Hold inhalatoren på et køligt tørt sted.
  • Rutinemæssig vedligeholdelse er ikke påkrævet. Hvis mundstykket skal rengøres forsigtigt, skal du tørre mundstykket med en tør klud eller væv efter behov.
  • Vask eller læg aldrig nogen del af inhalatoren i vand.

Dosis tæller og opbevaring af inhalatorhændelsesdata

Armonair Digihaler Inhalator har en dosisdisk.

  • Nummer 60 vises (inden brug).
  • Dosis tæller tæller hver gang mundstykket åbnes og lukkes [se Oplysninger om patientrådgivning ].

Armonair Digihaler indeholder et indbygget elektronisk modul, der registrerer poster og gemmer data om inhalatorhændelser, herunder maksimalinspirerende strømningshastighed (L/minut) til transmission til mobilappen, hvor inhalatorhændelser er kategoriseret. Brug af appen er ikke påkrævet til administration af fluticasonpropionat til patienten. Der er ingen beviser for, at brugen af ​​appen fører til forbedrede kliniske resultater, herunder sikkerhed og effektivitet [se Hvor leveret / Opbevaring og håndtering ].

Hvor leveret

Doseringsformularer og styrker

Inhalationspulver: Et inhalationsdrevet multidose tørt pulverinhalator (MDPI) med et elektronisk modul til oral inhalation, der måler 30 mcg 55 mcg 113 mcg eller 232 mcg fluticason-propionat fra enhedens reservoir og leverer 26 mcg 51 mcg 103 mcg eller 210 mcg af flagikasonprop fra den mundtlige pr. Perie. Armonair Digihaler er en hvid inhalator med en grøn hætte i en forseglet foliepose med tørremiddel. Armonair Digihaler indeholder et indbygget elektronisk modul [se Hvor leveret / Opbevaring og håndtering ].

Opbevaring og håndtering

Armonair Digihaler (fluticasonpropionat) Inhalationspulver:

  • En hvid multidose tørpulver inhalator (MDPI) med et elektronisk modul
  • Hver inhalator har en grøn hætte og pakkes individuelt i en foliepose med tørremiddel en pose pr. Karton
  • er tilgængelig som nævnt i nedenstående tabel
STYRKE Aktiveringer Nettoindhold NDC -kode
Armonair Digihaler 30 mcg (pædiatrisk) 60 0,46 gram NDC 59310-340-06
Armonair Digihaler 55 mcg (lav) 60 0,9 gram NDC 59310-114-06
Armonair Digihaler 113 mcg (medium) 60 0,9 gram NDC 59310-200-06
Armonair Digihaler 232 mcg (høj) 60 0,9 gram NDC 59310-311-06

Hver Artonair Digihaler Inhalator har en dosis tæller fastgjort til aktuatoren. Patienter bør aldrig forsøge at ændre antallet for dosisdisken. Kasser inhalatoren, når tælleren viser 0 30 dage efter åbning af folieposen eller efter udløbsdatoen på produktet, alt efter hvad der kommer først. Den mærkede mængde medicin i hver aktivering kan ikke sikres, når tælleren viser 0, selvom inhalatoren ikke er helt tom og vil fortsætte med at fungere [se Oplysninger om patientrådgivning ].

Opbevares ved stuetemperatur (mellem 15 ° C og 25 ° C; 59 ° F og 77 ° F) på et tørt sted; Udflugter tilladt fra 59 ° F til 86 ° F (15 ° C til 30 ° C). Undgå eksponering for ekstrem varme kulde eller fugtighed.

Hold børn uden for børn.

Butik Armonair Digihaler inde i den uåbnede fugtighedsbeskyttende foliepose og fjern det fra posen umiddelbart før den første brug. Kasser Armonair Digihaler 30 dage efter åbningen af ​​folieposen, eller når tælleren læser 0, alt efter hvad der kommer først. Inhalatoren er ikke genanvendelig. Forsøg ikke at tage inhalatoren fra hinanden.

Armonair Digihaler inkluderer en QR-kode og indeholder et indbygget elektronisk modul, der automatisk registrerer poster og gemmer data om inhalatorhændelser, herunder maksimalinspirerende strømningshastighed (L/min). Armonair Digihaler kan parre sig med og overføre data til mobilappen via Bluetooth® trådløs teknologi, hvor inhalatorbegivenheder er kategoriseret.

Armonair Digihaler indeholder et lithium-mangansk dioxidbatteri og bør bortskaffes i overensstemmelse med statslige og lokale regler.

Fremstillet til: Teva Respiratory Parsippany NJ 07054. Revideret: Apr 2022

Bivirkninger for ArmonAir Digihaler

Følgende klinisk signifikante bivirkninger er beskrevet andetsteds i mærkningen:

  • Oropharyngeal candidiasis [se Advarsler og forholdsregler ]
  • Immunsuppression og risiko for infektioner [se Advarsler og forholdsregler ]
  • Hypercorticisme og binyreundertrykkelse [se Advarsler og forholdsregler ]
  • Reduktion i knoglemineraltæthed [se Advarsler og forholdsregler ]
  • Vækstvirkninger i pædiatri [se Advarsler og forholdsregler ]
  • Glaukom og grå stær [se Advarsler og forholdsregler ]

Kliniske forsøg oplever

Fordi kliniske forsøg udføres under vidt forskellige tilstande, kan der ikke sammenlignes bivirkninger, der er observeret i de kliniske forsøg med et lægemiddel, ikke direkte med hastigheder i de kliniske forsøg med et andet lægemiddel og muligvis ikke afspejler de satser, der er observeret i praksis.

Sikkerheden ved Armonair Digihaler er blevet evalueret fra tilstrækkelige og velkontrollerede undersøgelser af fluticasonpropionatinhalationspulver [Armonair Respiclick i det følgende benævnt fluticasonpropionat-multidose-tørpulverinhalator (MDPI)].

Patienter i alderen 12 år og ældre

I to placebokontrollerede 12-ugers kliniske studier (forsøg 1 og forsøg 2) [se Kliniske studier ] I alt 822 unge og voksne patienter med vedvarende symptomatisk astma på trods af ICS eller ICS/LABA -terapi blev behandlet to gange dagligt med begge placebo; eller fluticasonpropionat MDPI 55 mcg 113 mcg eller 232 mcg. 60 procent af patienterne var kvinder, og 80% af patienterne var hvide. Den gennemsnitlige eksponeringsvarighed var 82 dage i fluticasonpropionat -MDPI -grupperne sammenlignet med 75 dage i placebogruppen. Tabel 1 viser forekomsten af ​​mest almindelige bivirkninger i samlede forsøg 1 og 2.

Tabel 1: Bivirkninger med ≥ 3% forekomst med fluticasonpropionat MDPI og mere almindelig end placebo hos personer med astma

Bivirkning Fluticason -propionat MDPI 55 mcg
(n = 129) %
Fluticason Propionate MDPI 113 mcg
(n = 274) %
Fluticason -propionat MDPI 232 mcg
(n = 146) %
Placebo
(n = 273) %
Stød 5.4 4.7 5.5 4.8
Nasopharyngitis 5.4 5.8 4.8 4.4
Oral candidiasis* 3.1 2.9 4.8 0.7
Hovedpine 1.6 7.3 4.8 4.4
Hoste 1.6 1.8 3.4 2.6
* Oral candidiasis inkluderer oropharyngeal candidiasis oral svampeinfektion oropharyngitis svampe urti = øvre luftvejsinfektion

Andre bivirkninger, der ikke tidligere er anført (og forekommer i <3% of patients og in three or more patients on fluticasone propionate MDPI) that were reported more frequently by patients with asthma treated with fluticasone propionate MDPI compared with patients treated with placebo include the following:

Oropharyngeal smerte hypertension rhinitis allergisk influenza pyrexia svimmelhed luftvejsinfektionsmuskel spasmer rhinitis epistaxis ligament forstuvning muskuloskeletal smerte smerte i ekstremitet i halsen halsirritation og opkast.

Langsigtet sikkerhedsundersøgelse

Dette var en 26-ugers åben etiketundersøgelse af 674 patienter, der tidligere blev behandlet med inhalerede kortikosteroider, der blev behandlet to gange dagligt med fluticasonpropionat MDPI 113 mcg eller 232 mcg; Fluticason -propionat/salmeterol Multidose tørt pulverinhalator (Airduo Respiclick i det følgende benævnt fluticasonpropionat/salmeterol MDPI) 113 mcg/14 mcg eller 232 mcg/14 mcg; fluticasonpropionat aerosol 110 mcg eller 220 mcg; eller fluticasonpropionat og salmeterolinhalationspulver 250 mcg/50 mcg eller 500 mcg/50 mcg. De typer af bivirkninger blandt fluticasonpropionat MDPI-behandlinger svarede til dem, der blev rapporteret ovenfor i placebo-kontrollerede undersøgelser.

Pædiatriske patienter i alderen 4 til 11 år

I en placebokontrolleret 12-ugers klinisk undersøgelse (forsøg 3) [se Kliniske studier ] I alt 628 patienter med astma, der tidligere var behandlet med en ICS ICS/LABA eller leukotriene receptoragonistregime, blev behandlet to gange dagligt med enten placebo- eller fluticason -propionat MDPI 30 mcg eller 55 mcg indgivet som 1 inhalation to gange dagligt. 61 procent af patienterne var mandlige, og 81% af patienterne var hvide. Middelalderen var 8,6 år; 45% var mellem 4 og 8 år. Den gennemsnitlige eksponeringsvarighed var 82 dage i fluticasonpropionat -MDPI -grupperne sammenlignet med 80 dage i placebogruppen.

bivirkninger af for meget aspirin

Bivirkninger, der forekom hos de pædiatriske patienter behandlet med fluticasonpropionat MDPI med en forekomst på 3% eller større og større end placebo, bemærkes i tabel 2 nedenfor.

Tabel 2: Bivirkninger med ≥ 3% forekomst med fluticasonpropionat MDPI og mere almindelig end placebo hos pædiatriske patienter med astma i alderen 4 til 11 år

Bivirkning Fluticason -propionat MDPI 30 mcg
(n = 211) %
Fluticason -propionat MDPI 55 mcg
(n = 208) %
Placebo
(n = 209) %
Infektion i øvre luftvejsinfektion 5 4 4
Luftvejsinfektion viral 3 5 3
Luftvejsinfektion 1 5 3
Pharyngitis 5 4 1
Hoste 5 0 2
Øreinfektion* 1 4 2
* Inkluderer øreinfektion otitis Externa Akutte otitis Media og Otitis Media

Oplevelse af postmarketing

Foruden bivirkninger rapporteret fra kliniske forsøg er følgende bivirkninger blevet identificeret under post-godkendelse af fluticasonpropionat. Fordi disse reaktioner rapporteres frivilligt fra en population af usikker størrelse, er det ikke altid muligt at pålideligt estimere deres frekvens eller etablere et årsagsforhold til eksponering for lægemidler. Disse begivenheder er valgt til optagelse på grund af enten deres alvorlighedsfrekvens for rapportering eller årsagsforbindelse til fluticasonpropionat eller en kombination af disse faktorer.

Øre næse og hals: Aphonia ansigts- og oropharyngeal ødemer og hals ømhed.

Endokrin og metabolisk: Cushingoid har væksthastighedsreduktion hos børn/unge hyperglykæmi og osteoporose.

Øje: Katarakter sløret syn og central serøs chorioretinopati.

Immunsystemforstyrrelser: Umiddelbare og forsinkede overfølsomhedsreaktioner, herunder anafylaksi -udslæt angioødem og bronchospasme, er rapporteret. Anafylaktiske reaktioner hos patienter med svær mælkeproteinallergi er rapporteret.

Infektioner og angreb: Esophageal candidiasis.

Psykiatri: Agitation aggression angst depression og rastløshed. Adfærdsændringer inklusive hyperaktivitet og irritabilitet er rapporteret meget sjældent og primært hos børn.

Respiratorisk: Astma forværring af bronchospasme brysttæthed dyspnø Umiddelbar bronkospasme lungebetændelse og hvæsen.

Hud: Forvirring og blå mærker.

Lægemiddelinteraktioner for ArmonAir Digihaler

Inhibitorer af cytochrome P450 3A4

Fluticason -propionat er et substrat af CYP3A4. Anvendelsen af ​​stærke CYP3A4 -hæmmere (f.eks. Ritonavir Atazanavir Clarithromycin Indinavir itraconazol Nefazodon Nelfinavir Saquinavir Ketoconazol Telithromycin) med Armonair Digihaler anbefales ikke, fordi øget systemisk corticosteroid -bivirkninger kan forekomme.

Ritonavir

Et forsøg på medikamentinteraktion med fluticasonpropionat vandig næsespray hos raske forsøgspersoner har vist, at ritonavir (en stærk CYP3A4 -hæmmer) markant kan øge plasma -fluticasonpropionateksponering, hvilket resulterer i signifikant reduceret serumcortisolkoncentrationer [se Klinisk farmakologi ]. During postmarketing use there have been reports of clinically significant drug interactions in patients receiving fluticasone propionate og ritonavir resulting in systemic corticosteroid effects including Cushing's syndrome og adrenal suppression.

Ketoconazol

Coadministration af oralt inhaleret fluticasonpropionat (1000 mcg) og ketoconazol (200 mg en gang dagligt) resulterede i en 1,9 gange stigning i plasma-fluticasonpropionateksponering og en 45% fald i plasma-cortisolområdet under kurven (AUC), men havde ingen virkning på urinær udskillelse af cortisol.

bivirkninger af elavil 50 mg

Advarsler for Armonair Digihaler

Inkluderet som en del af FORHOLDSREGLER afsnit.

Forholdsregler for Armonair Digihaler

Oropharyngeal candidiasis

I kliniske forsøg har udviklingen af ​​lokaliserede infektioner i munden og svelget med Candida albicans forekommet hos personer behandlet med fluticasonpropionat MDPI. Når en sådan infektion udvikler sig, skal den behandles med passende lokal eller systemisk (dvs. oral) antifungal terapi, mens behandling med Armonair Digihaler fortsætter, men til tider kan terapi med Armonair Digihaler muligvis afbrydes. Rådgiv patienten om at skylle sin mund med vand uden at sluge efter inhalation for at hjælpe med at reducere risikoen for oropharyngeal candidiasis.

Akutte astma -episoder

Armonair Digihaler er ikke indikeret til lindring af akutte symptomer, dvs. som redningsterapi til behandling af akutte episoder af bronchospasme. En inhaleret kortvirkende beta2-agonist, der ikke er Armonair Digihaler, skal bruges til at lindre akutte symptomer såsom åndenød. Ved ordinering af Armonair Digihaler skal lægen give patienten en inhaleret kortvirkende beta2-agonist (f.eks. Albuterol) til behandling af akutte symptomer på trods af regelmæssig brug af to gange dagligt af Armonair Digihaler. Instruer patienter om at kontakte deres læger med det samme, hvis episoder af astma, der ikke reagerer på bronchodilatorer, forekommer i løbet af behandlingen med Armonair Digihaler. Under sådanne episoder kan patienter kræve terapi med orale kortikosteroider.

Immunsuppression og risiko for infektioner

Personer, der bruger medikamenter, der undertrykker immunsystemet, er mere modtagelige for infektioner end sunde individer.

Choldkopper og mæslinger kan for eksempel have et mere alvorligt eller endda dødeligt kursus hos modtagelige børn eller voksne ved hjælp af kortikosteroider. Hos sådanne patienter, der ikke har haft disse sygdomme, eller som ikke er blevet korrekt immuniseret særlig omhu, bør man være udarbejdet for at undgå eksponering. Hvordan dosisruten og varigheden af ​​kortikosteroidadministration påvirker risikoen for at udvikle en formidlet infektion vides ikke. Bidraget fra den underliggende sygdom og/eller tidligere kortikosteroidbehandling til risikoen er heller ikke kendt. Hvis en patient udsættes for skoldkopper-profylakse med varicella-zoster immun globulin (VZIG) eller samlet intravenøs immunoglobulin (IVIG) kan være indikeret. Hvis en patient udsættes for mæslinger -profylakse med samlet intramuskulær immunoglobulin (Ig) kan være indikeret. (Se de respektive ordinerende oplysninger til VZIG og IG). Hvis skoldkopper udvikler behandling med antivirale midler kan overvejes.

Inhalerede kortikosteroider skal anvendes med forsigtighed, hvis de overhovedet er hos patienter med aktive eller rolige tuberkuloseinfektioner i luftvejene; Ubehandlet systemisk svampebakteriel viral eller parasitære infektioner; eller okulær herpes simplex.

Overførsel af patienter fra systemisk kortikosteroidbehandling

HPA -undertrykkelse/binyreinsufficiens

Der er behov for særlig omhu for patienter, der overføres fra systemisk aktive kortikosteroider til inhalerede kortikosteroider, fordi dødsfald på grund af binyreinsufficiens har forekommet hos patienter med astma under og efter overførsel fra systemiske kortikosteroider til mindre systemisk tilgængelige inhalerede kortikosteroider. Efter tilbagetrækning fra systemiske kortikosteroider kræves der et antal måneder til genvinding af hypothalamisk-hypofyse-binenal (HPA) -funktion.

Patienter, der tidligere er blevet opretholdt på 20 mg eller mere af prednison (eller dets tilsvarende), kan være mest modtagelige, især når deres systemiske kortikosteroider næsten er trukket tilbage. I denne periode med HPA -undertrykkelse kan patienter udvise tegn og symptomer på binyreinsufficiens, når de udsættes for traumeoperation eller infektion (især gastroenteritis) eller andre tilstande forbundet med alvorligt elektrolyttab. Selvom Armonair Digihaler kan forbedre kontrollen med astmasymptomer under disse episoder i anbefalede doser, leverer den mindre end normale fysiologiske mængder af kortikosteroid systemisk og leverer ikke mineralocorticoid, der er nødvendig for at klare disse nødsituationer.

I perioder med stress eller et alvorligt astmatisk angreb skal patienter, der er trukket tilbage fra systemiske kortikosteroider, instrueres om at genoptage orale kortikosteroider (i store doser) med det samme og kontakte deres læge for yderligere undervisning. Disse patienter bør også instrueres i at bære et advarselskort med medicinsk identifikation, der indikerer, at de muligvis har brug for supplerende systemiske kortikosteroider i perioder med stress eller et alvorligt astmaangreb.

Patienter, der kræver systemiske kortikosteroider, bør langsomt fravindes fra systemisk kortikosteroidbrug efter overførsel til Armonair Digihaler. Prednisonreduktion kan opnås ved at reducere den daglige prednisondosis med 2,5 mg på ugentlig basis under terapi med Armonair Digihaler. Lungefunktion (gennemsnitlig tvungen ekspiratorisk volumen på 1 sekund [FEV 1 ] eller Morning Peak Exciratory Flow [AM PEF]) beta-agonist-brug og astmasymptomer skal overvåges omhyggeligt under tilbagetrækning af systemiske kortikosteroider. Ud over overvågning af astmatemas og symptomer skal patienter observeres for tegn og symptomer på binyreinsufficiens, såsom træthedssvaghed svaghed kvalme og opkast og hypotension.

Afvikning af allergiske tilstande, der tidligere var undertrykt af systemiske kortikosteroider

Overførsel af patienter fra systemisk kortikosteroidbehandling til Armonair Digihaler kan afmaskere allergiske tilstande, der tidligere er undertrykt af de systemiske kortikosteroidbehandling (f.eks. Rhinitis konjunktivitis eksemartritis eosinofile tilstande).

Kortikosteroid abstinenssymptomer

Under tilbagetrækning fra orale kortikosteroider kan nogle patienter opleve symptomer på systemisk aktiv kortikosteroid tilbagetrækning (f.eks. Fældet og/eller muskelsmerterdagerpression) på trods af vedligeholdelse eller endda forbedring af luftvejsfunktionen.

Hypercorticisme og binyreundertrykkelse

Armonair Digihaler vil ofte hjælpe med at kontrollere astmasymptomer med mindre undertrykkelse af HPA -funktion end terapeutisk ækvivalente orale doser af prednison. Da Armonair Digihaler absorberes i cirkulationen og kan systemisk er aktiv i højere doser, kan de fordelagtige virkninger af Armonair Digihaler ved minimering af HPA -dysfunktion kun forventes, når de anbefales, når de anbefales, ikke overskrides, og individuelle patienter titreres til den laveste effektive dosis. Et forhold mellem plasmaniveauer af fluticasonpropionat og hæmmende virkninger på stimuleret cortisolproduktion er vist efter 4 ugers behandling med fluticasonpropionatinhalations aerosol. Da individuel følsomhed over for effekter på cortisolproduktion findes, bør læger overveje disse oplysninger, når de ordinerer Armonair Digihaler.

På grund af muligheden for signifikant systemisk absorption af inhalerede kortikosteroider skal patienter, der er behandlet med Armonair Digihaler, observeres omhyggeligt for ethvert bevis for systemiske kortikosteroideffekter. Der skal udvises særlig omhu ved at observere patienter postoperativt eller i perioder med stress for bevis for utilstrækkelig binyrespons.

Det er muligt, at systemiske kortikosteroide virkninger såsom hypercorticisme og binyreundertrykkelse (inklusive binyrekrise) kan forekomme hos et lille antal patienter, der er følsomme over for disse effekter. Hvis sådanne effekter forekommer, skal doseringen af ​​Armonair Digihaler reduceres langsomt i overensstemmelse med accepterede procedurer til reduktion af systemiske kortikosteroider og til håndtering af astmasymptomer.

Overfølsomhedsreaktioner inklusive anafylaksi

Umiddelbare overfølsomhedsreaktioner (f.eks. Urticaria angioedema udslæt bronchospasme hypotension) inklusive anafylaksi kan forekomme efter administration af Artonair Digihaler. Der har været rapporter om anafylaktiske reaktioner hos patienter med svær mælkeproteinallergi efter inhalation af andre pulverprodukter indeholdende lactose; Derfor bør patienter med svær mælkeproteinallergi ikke bruge Armonair Digihaler [se Kontraindikationer ].

Reduktion i knoglemineraltæthed

Fald i knoglemineraltæthed (BMD) er blevet observeret med langvarig administration af produkter, der indeholder inhalerede kortikosteroider. Den kliniske betydning af små ændringer i BMD med hensyn til langsigtede konsekvenser, såsom brud er ukendt. Patienter med store risikofaktorer for nedsat knoglemineralindhold, såsom langvarig immobiliseringsfamiliehistorie med osteoporose eller kronisk anvendelse af medikamenter, der kan reducere knoglemassen (f.eks. Antikonvulsiva orale kortikosteroider) skal overvåges og behandles med etablerede standarder for pleje.

Effekt på vækst

Oralt inhalerede kortikosteroider inklusive Armonair Digihaler kan forårsage en reduktion i væksthastighed, når de administreres til pædiatriske patienter. Overvåg væksten af ​​pædiatriske patienter, der modtager Armonair Digihaler rutinemæssigt (f.eks. Via stadiometri). For at minimere de systemiske virkninger af oralt inhalerede kortikosteroider inklusive Armonair Digihaler titrerer hver patients dosering til den laveste dosering, der effektivt kontrollerer hans/hendes symptomer [se Dosering og administration og Brug i specifikke populationer ].

Glaukom og grå stær

Glaukom forøget intraokulært tryk, og grå stær er rapporteret hos patienter efter den langtidsadministration af inhalerede kortikosteroider inklusive fluticasonpropionat. Derfor er tæt overvågning berettiget hos patienter med en ændring i synet eller med en historie med øget intraokulært trykglaukom og/eller grå stær.

Paradoksal bronchospasme

Som med andre inhalerede lægemidler kan bronchospasme forekomme med en øjeblikkelig stigning i vejrtrækning efter dosering. Hvis bronchospasme forekommer efter dosering med Armonair Digihaler, skal den straks behandles med en inhaleret kortvirkende bronchodilator; Armonair Digihaler skal ophøres med det samme; og alternativ terapi bør indføres.

Lægemiddelinteraktioner With Strong Cytochrome P450 3A4 Inhibitors

Anvendelse af stærke cytochrome P450 3A4 (CYP3A4) hæmmere (f.eks. Ritonavir atazanavir Clarithromycin indinavir itraconazol Nefazodon Nelfinavir saquinavir ketoconazol Telithromycin) med armonair digihaler er ikke anbefalet, fordi øget systemisk corticoster -effekt forekomster kan forekomme kan forekomme kan forekomme kan forekomme kan forekomme kan forekomme kan forekomme kan forekomme kan forekomme kan forekomme kan forekomme kan forekomme kan forekomme kan forekomme kan forekomme kan forekomme kan forekomme kan forekomme kan forekomme kan forekomme kan forekomme kan forekomme kan forekomme kan forekomme kan forekomme kan forekomme kan forekomme kan forekomme kan forekomme kan forekomme kan forekomme kan forekomme kan forekomme kan forekomme kan forekomme kan forekomme kan forekomme kan forekomme kan forekomme kan forekomme kan forekomme kan forekomme kan forekomme Mayversevækvridning Lægemiddelinteraktioner og Klinisk farmakologi ].

Eosinofile forhold og churg-strauss syndrom

I sjældne tilfælde kan patienter på inhaleret fluticasonpropionat præsentere med systemiske eosinofile tilstande. Nogle af disse patienter har kliniske træk ved vaskulitis, der er i overensstemmelse med Churg-Strauss-syndrom, en tilstand, der ofte behandles med systemisk kortikosteroidbehandling. Disse begivenheder har normalt ikke altid været forbundet med reduktion og/eller tilbagetrækning af oral kortikosteroidbehandling efter introduktionen af ​​fluticasonpropionat. Tilfælde af alvorlige eosinofile tilstande er også rapporteret med andre inhalerede kortikosteroider i denne kliniske indstilling. Læger skal være opmærksomme på eosinophilia vaskulitisk udslæt forværre lungesymptomer hjertekomplikationer og/eller neuropati, der præsenteres hos deres patienter. En årsagssammenhæng mellem fluticasonpropionat og disse underliggende betingelser er ikke blevet fastlagt.

Oplysninger om patientrådgivning

Rådgiv patienten om at læse den FDA-godkendte patientmærkning ( Patientoplysninger og instruktioner til brug ).

Patienter skal have følgende oplysninger:

Oropharyngeal candidiasis

Informer patienter om, at lokaliserede infektioner med Candida albicans forekom i munden og svelget hos nogle patienter. Hvis oropharyngeal candidiasis udvikler den med passende lokal eller systemisk (dvs. oral) antifungal terapi, mens den stadig fortsættes med Armonair Digihaler, men til tider kan terapi med Armonair Digihaler muligvis midlertidigt afbrydes under tæt medicinsk tilsyn. Skylning af munden med vand uden at sluge efter inhalation anbefales at hjælpe med at reducere risikoen for trost [se Advarsler og forholdsregler ].

Status asthmaticus og akutte astmasymptomer

Informer patienter om, at Armonair Digihaler ikke er en bronchodilator og ikke er beregnet til brug som redningsmedicin til akutte astmaforværringer. Rådgive patienter til behandling af akutte astmasymptomer

med en inhaleret kortvirkende beta2-agonist såsom albuterol. Instruer patienten om at kontakte deres læger med det samme, hvis der er forringelse af deres astma [se Advarsler og forholdsregler ].

Immunsuppression og risiko for infektioner

Advarselpatienter, der er på immunsuppressive doser af kortikosteroider for at undgå eksponering for skoldkopper eller mæslinger, og hvis de udsættes for at konsultere deres læger uden forsinkelse. Informere patienter om potentiel forværring af eksisterende tuberkulose; Svampebakteriel viral eller parasitiske infektioner; eller okulær herpes simplex [se Advarsler og forholdsregler ].

Hypercorticisme og binyreundertrykkelse

Rådgiv patienter om, at Armonair Digihaler kan forårsage systemiske kortikosteroideffekter af hypercorticisme og binyreundertrykkelse. Instruer desuden patienter om, at dødsfald på grund af binyreinsufficiens har fundet sted under og efter overførsel fra systemiske kortikosteroider. Patienter skal tilspidses langsomt fra systemiske kortikosteroider, hvis de overføres til Armonair Digihaler [se Advarsler og forholdsregler ].

Umiddelbare overfølsomhedsreaktioner

Rådgiv patienter om, at øjeblikkelige overfølsomhedsreaktioner (f.eks. Urticaria angioødema udslæt bronkospasme og hypotension), herunder anafylaksi, kan forekomme efter administration af Armonair Digihaler. Patienter skal afbryde Armonair Digihaler, hvis sådanne reaktioner opstår og kontakte deres sundhedsudbyder eller får nødmedicinsk hjælp. Der har været rapporter om anafylaktiske reaktioner hos patienter med svær mælkeproteinallergi efter inhalation af pulverprodukter indeholdende lactose; Derfor bør patienter med svær mælkeproteinallergi ikke tage Armonair Digihaler [se Advarsler og forholdsregler ].

Reduktion i knoglemineraltæthed (BMD)

Rådgive patienter, der har en øget risiko for nedsat BMD om, at brugen af ​​kortikosteroider kan udgøre en yderligere risiko [se Advarsler og forholdsregler ].

Nedsat væksthastighed

Informer patienter om, at oralt inhalerede kortikosteroider inklusive Armonair Digihaler kan forårsage en reduktion i væksthastighed, når de blev administreret til pædiatriske patienter. Læger skal nøje følge væksten af ​​unge, der tager kortikosteroider på enhver rute [se Advarsler og forholdsregler ].

Okulære effekter

Langvarig anvendelse af inhalerede kortikosteroider kan øge risikoen for nogle øjenproblemer (grå stær eller glaukom); Overvej regelmæssige øjenundersøgelser [se Advarsler og forholdsregler ].

Graviditet

Informer patienter, der er gravide eller ammer om, at de skal kontakte deres læge om brugen af ​​Armonair Digihaler [se Brug i specifikke populationer ].

Brug dagligt for den bedste effekt

Patienter skal bruge Armonair Digihaler med regelmæssige intervaller som anført. Den daglige dosering af Armonair Digihaler bør ikke overstige 1 inhalation to gange om dagen. Rådgiv patienter, hvis de går glip af en dosis for at tage deres næste dosis på samme tid, som de normalt gør, og ikke tage 2 doser på én gang. Individuelle patienter vil opleve en variabel tid til begyndelse og grad af symptomlindring, og den fulde fordel kan muligvis ikke opnås, før behandlingen er blevet administreret i 1 til 2 uger eller længere. Patienter bør ikke øge den foreskrevne dosering, men bør kontakte deres læger, hvis symptomerne ikke forbedres, eller hvis tilstanden forværres. Instruer patienter om ikke at stoppe brugen af ​​Armonair Digihaler pludselig. Patienter skal straks kontakte deres læger, hvis de afbryder brugen af ​​Armonair Digihaler.

Brug af Armonair Digihaler og mobilapp

Ret patienten til instruktionerne til brug (IFU) for information om, hvordan man opsætter appen og bruger inhalatoren. Rådgive patienten om, at parring af inhalatoren til appen, der har Bluetooth, blev tændt eller i nærheden af ​​deres smartphone ikke er påkrævet til levering af medicinen fra inhalatoren eller til normal brug af produktet.

Dosis tæller

Instruer patienter om, at Armonair Digihaler -inhalatoren har en dosis tæller, der viser antallet af aktuationer (inhalationer), der er tilbage i inhalatoren. Når patienten modtager en ny inhalator, vises nummer 60. Dosis tæller tæller hver gang mundstykket åbnes og lukkes. Vinduet med dosis -tæller viser antallet af aktuationer (inhalationer), der er tilbage i inhalatoren i enheder på to (f.eks. 60 58 56 osv.). Når doseringstælleren når 20, ændres farven på tallene til rød for at minde patienten om at kontakte deres farmaceut eller sundhedsudbyder for en påfyldning af deres medicin. Når dosis tæller når 0, skal patienten stoppe med at bruge inhalatoren og bortskaffe den i overensstemmelse med statslige og lokale regler.

Pleje og opbevare inhalatoren

Instruer patienter om ikke at åbne deres inhalator, medmindre de tager en dosis. Gentagen åbning og lukning af dækslet uden at tage medicin spilder medicin og kan skade inhalatoren.

Rådgive patienter om at holde deres inhalator tørre og rene på alle tidspunkter. Vask eller læg aldrig nogen del af inhalatoren i vand. Patienter skal erstatte inhalator, hvis de vaskes eller placeres i vand.

Rådgive patienter om straks at udskifte inhalator, hvis munden dæksel er beskadiget eller ødelagt.

Tør forsigtigt mundstykket med en tør klud eller væv efter behov.

Instruer patienter om at opbevare inhalatoren ved stuetemperatur og for at undgå eksponering for ekstrem varme kulde eller fugtighed.

Instruer patienter om aldrig at tage inhalatoren fra hinanden.

Instruer patienter om at kassere Armonair Digihaler, når dosis tæller viser 0 30 dage efter åbning af folieposen eller efter udløbsdatoen på produktet, alt efter hvad der kommer først.

Ikke -klinisk toksikologi

Karcinogenese mutagenese nedskrivning af fertilitet

Fluticasonpropionat demonstrerede intet tumorigenisk potentiale hos mus ved orale doser op til 1000 mcg/kg (ca. 10 gange MRHDID for voksne på MCG/m² -basis) i 78 uger eller i rotter på inhalationsdoser op til 57 mcg/kg (tilnærmelsesvis ækvivalent med MRHDID for voksne på et MCG/m² i 104 uger.

Fluticasonpropionat inducerede ikke genmutation i prokaryotiske eller eukaryotiske celler in vitro. Der blev ikke set nogen signifikant klastogen virkning i dyrkede humane perifere lymfocytter in vitro eller i in vivo -musen mikronukleus -testen.

Fertilitet og reproduktiv ydeevne blev ikke påvirket af mandlige og kvindelige rotter ved subkutane doser op til 50 mcg/kg (ca. ækvivalent med MRHDID for voksne på MCG/m² -basis).

Brug i specifikke populationer

Graviditet

Risikooversigt

Der er ingen randomiserede kliniske undersøgelser af Armonair Digihaler hos gravide kvinder. Der er kliniske overvejelser med brug af Armonair Digihaler hos gravide kvinder [se Kliniske overvejelser ]. In animals teratogenicity characteristic of corticosteroids decreased fetal body weight og/or skeletal variations in rats mice og rabbits were observed with subcutaneously administered maternal toxic doses of fluticasone propionate less than the maximum recommended human daily inhaled dose (MRHDID) on a mcg/m² basis [see Data ]. However fluticasone propionate administered via inhalation to rats decreased fetal body weight but did not induce teratogenicity at a maternal toxic dose approximately 2 times the MRHDID on a mcg/m² basis [see Data ]. Experience with oral corticosteroids suggests that rodents are more prone to teratogenic effects from corticosteroids than humans. The estimated risk of major birth defects og miscarriage for the indicated population is unknown. In the U.S. general population the estimated risk of major birth defects og miscarriage in clinically recognized pregnancies is 2% to 4% og 15% to 20% respectively.

Kliniske overvejelser

Sygdomsassocieret moderlig og/eller embryo/føtal risiko

Hos kvinder med dårligt eller moderat kontrolleret astma er der en øget risiko for adskillige perinatale bivirkninger, såsom præeklampsi hos moren og for tidlig lav fødselsvægt og lille for svangerskabsalder for nyfødte. Gravide kvinder med astma skal overvåges nøje og justeres medicinen efter behov for at opretholde optimal astmakontrol.

Data

Dyredata

I embryo/føtaludviklingsundersøgelser med gravide rotter og mus doseret af den subkutane rute i hele perioden med organogenese var fluticasonpropionat teratogen i begge arter. Omphalocele nedsatte kropsvægt og skeletvariationer blev observeret i rottefostre i nærvær af moderlig toksicitet i en dosis ca. 2 gange MRHDID (på MCG/m² -basis med en moderlig subkutan dosis på 100 mcg/kg/dag). Rotten No observeret bivirkningsniveau (NOAEL) blev observeret ca. 0,6 gange MRHDID (på MCG/M² -basis med en moderlig subkutan dosis på 30 mcg/kg/dag). Spalte gane og føtal skeletvariationer blev observeret i musefostre i en dosis ca. 0,5 gange MRHDID (på MCG/m² -basis med en moderlig subkutan dosis på 45 mcg/kg/dag). Musen Noael blev observeret med en dosis ca. 0,16 gange MRHDID (på MCG/M² -basis med en moderlig subkutan dosis på 15 mcg/kg/dag).

I en embryo/føtaludviklingsundersøgelse med gravide rotter doseret af inhalationsruten i hele perioden med organogenese producerede fluticasonpropionat nedsat føtal kropsvægt og skeletvariationer i nærvær af moder -toksicitet i en dosis ca. 0,5 gange mrhdid (på en mcg/m² basis med en maternal inhalationsdosis på 25 mcg/kg/kg/dag); Der var dog ingen tegn på teratogenicitet. NOAEL blev observeret med en dosis ca. 0,1 gange MRHDID (på MCG/M² -basis med en moderlig inhalationsdosis på 5,5 mcg/kg/dag).

Hvilke doser kommer clonazepam ind

I en embryofetaludviklingsundersøgelse hos gravide kaniner, der blev doseret af den subkutane rute i hele organogenese -fluticasonpropionatproducerede reduktioner af føtal kropsvægte i nærvær af mødre -toksicitet i doser ca. 0,02 gange MRHDID og højere (på en MCG/m² -basis med en mødre subkutan dosis på 0,57 mcg/kg/kg/dag). Teratogenicitet var tydelig baseret på en konstatering af spalte gane for 1 foster i en dosis ca. 0,2 gange MRHDID (på MCG/m² -basis med en moderlig subkutan dosis på 4 mcg/kg/dag). NOAEL blev observeret i kaninfostre med en dosis ca. 0,004 gange MRHDID (på MCG/M² -basis med en moderlig subkutan dosis på 0,08 mcg/kg/dag).

Fluticason -propionat krydsede placentaen efter subkutan administration til mus og rotter og oral administration til kaniner.

I en undersøgelse før og efter fødslen af ​​fødsel i gravide rotter doseret fra sen drægtighed gennem levering og amning (drægtighedsdag 17 til postpartum dag 22) fluticasonpropionat var ikke forbundet med fald i hvalpens kropsvægt og havde ingen effekter på udviklingslandmarks, der lærte hukommelsesreflekser eller frugtbarhed i doser op til den ca. doser op til 50 mcg/kg/dag).

Amning

Risikooversigt

Der er ingen tilgængelige data om tilstedeværelsen af ​​fluticasonpropionat i human mælk Virkningerne på det ammede barn eller virkningerne på mælkeproduktionen. Andre kortikosteroider er blevet påvist i human mælk. Imidlertid er fluticasonpropionatkoncentrationer i plasma efter inhalerede terapeutiske doser lave, og derfor er koncentrationer i human modermælk sandsynligvis tilsvarende lav [se Klinisk farmakologi ]. The developmental og health benefits of breastfeeding should be considered along with the mother’s clinical need for ArmonAir Digihaler og any potential adverse effects on the breastfed child from ArmonAir Digihaler or from the underlying maternal condition.

Data

Dyredata

Subkutan administration af tritieret fluticasonpropionat i en dosis i ammende rotter ca. 0,2 gange MRHDID for voksne (på MCG/M² -basis) resulterede i målbare niveauer i mælk.

Pædiatrisk brug

Sikkerheden og effektiviteten af ​​Armonair Digihaler i vedligeholdelsesbehandlingen af ​​astma som profylaktisk terapi hos pædiatriske patienter 4 år og ældre er blevet etableret.

Brug af Armonair Digihaler til denne indikation hos unge i alderen 12 til 17 år understøttes af bevis fra to tilstrækkelige og godt kontrollerede forsøg hos voksne og unge patienter 12 år og ældre med vedvarende symptomatisk astma på trods af ICS eller ICS/LABA-terapi (forsøg 1 og 2) [se Kliniske studier ]. In these trials 50 adolescents received fluticasone propionate MDPI one inhalation twice daily.

Brug af Armonair Digihaler til denne indikation hos pædiatriske patienter i alderen 4 til 11 år understøttes af bevis fra et passende og godt kontrolleret forsøg med fluticasonpropionat MDPI (forsøg 3) [Se Kliniske studier ]. In this trial 419 pediatric patients received fluticasone propionate MDPI 30 mcg or 55 mcg one inhalation twice daily.

Sikkerheden og effektiviteten af ​​Armonair Digihaler hos patienter under 4 år er ikke blevet fastlagt.

Effekt på vækst

Inhalerede kortikosteroider inklusive fluticasonpropionat kan forårsage en reduktion i væksthastighed, når de administreres til pædiatriske patienter [se Advarsler og forholdsregler ]. A reduction of growth velocity in children or teenagers may occur as a result of poorly controlled asthma or from use of corticosteroids including inhaled corticosteroids. The effects of long-term treatment of children og adolescents with inhaled corticosteroids including fluticasone propionate on final adult height are not known.

Geriatrisk brug

Der blev ikke observeret nogen samlede forskelle i sikkerhed eller effektivitet i data indsamlet hos 135 personer i alderen 65 år og ældre versus yngre forsøgspersoner, der blev behandlet med Armonair Digihaler i placebo-kontrollerede fase 2 og 3 undersøgelser.

Leverskrivning i leveren

Formelle farmakokinetiske undersøgelser, der bruger Armonair Digihaler, er ikke blevet udført hos patienter med leverfunktion. Da fluticasonpropionat overvejende ryddes af levermetabolismen [se Klinisk farmakologi ] Forringelse af leverfunktionen kan føre til ophobning af fluticasonpropionat i plasma. Derfor bør patienter med nedsat leverfunktion overvåges nøje.

Nedskærmning af nyren

Formelle farmakokinetiske undersøgelser ved anvendelse af Armonair Digihaler er ikke blevet udført hos patienter med nedsat nyrefunktion.

Overdoseringsoplysninger til Armonair Digihaler

Kronisk overdosering kan resultere i tegn/symptomer på hypercorticisme [se Advarsler og forholdsregler ].

Kontraindikationer for Armonair Digihaler

Armonair Digihaler er kontraindiceret:

  • I den primære behandling af status asthmaticus eller andre akutte episoder af astma, hvor der kræves intensive foranstaltninger [se Advarsler og forholdsregler ].
  • Hos patienter med kendt alvorlig overfølsomhed over for mælkeproteiner eller som har vist overfølsomhed over for fluticasonpropionat eller nogen af ​​excipienserne [se Advarsler og forholdsregler og BESKRIVELSE ].

Klinisk farmakologi for ArmonAir Digihaler

Handlingsmekanisme

Fluticasonpropionat er et syntetisk trifluoreret kortikosteroid med antiinflammatorisk aktivitet. Fluticason-propionat er vist in vitro for at udvise en bindende affinitet for den humane glukokortikoidreceptor, der er 18 gange den af ​​dexamethason næsten dobbelt så stor som beclomethason-17-monopropionat (BMP) den aktive metabolit af beclomethason dipropionat og over 3 gange den af ​​budesonid. Data fra McKenzie Vasoconstrictor -assayet hos mennesker er i overensstemmelse med disse resultater. Den kliniske betydning af disse fund er ukendt.

Betændelse er en vigtig komponent i patogenesen af ​​astma. Kortikosteroider har vist sig at have en bred vifte af handlinger på flere celletyper (f.eks. Mastceller eosinofiler neutrofiler makrofager og lymfocytter) og mediatorer (f.eks. Histamin eicosanoider leukotriener og cytokiner) involveret i betændelse. Disse antiinflammatoriske virkninger af kortikosteroider bidrager til deres effektivitet i behandlingen af ​​astma.

Skønt effektiv til behandling af astma -kortikosteroider ikke påvirker astmasymptomer med det samme. Individuelle patienter vil opleve en variabel tid med begyndelse og grad af symptomlindring. Maksimal fordel opnås muligvis ikke i 1 til 2 uger eller længere efter start af behandlingen.

Når kortikosteroider afbrydes, kan astmastabiliteten fortsætte i flere dage eller længere.

Forsøg hos personer med astma har vist et gunstigt forhold mellem topisk antiinflammatorisk aktivitet og systemiske kortikosteroideffekter med anbefalede doser af oralt inhaleret fluticasonpropionat. Dette forklares med en kombination af en relativt høj lokal antiinflammatorisk virkning ubetydelig oral systemisk tilgængelighed ( <1%) og the minimal pharmacological activity of the only metabolite detected in man.

Farmakodynamik

Hypothalamisk hypofyse -binyreakseffekter (HPA)

De potentielle systemiske virkninger af Armonair Digihaler på HPA -aksen blev ikke undersøgt fuldt ud, men andre kliniske forsøg evaluerede de systemiske virkninger af fluticasonpropionatinhalationspulver på HPA -aksen hos raske individer og i individer med astma.

Der er ingen data om serumcortisol fra kontrollerede forsøg ved hjælp af Armonair Digihaler hos raske individer eller individer med astma.

Farmakokinetik

Absorption

Fluticasonpropionat fungerer lokalt i lungen; Derfor forudsiger plasmaniveauer ikke terapeutisk virkning. Forsøg, der bruger oral dosering af mærket og umærket lægemiddel, har vist, at den orale systemiske biotilgængelighed af fluticasonpropionat var ubetydelig ( <1%) primarily due to incomplete absorption og presystemic metabolism in the gut og liver. In contrast the majority of the fluticasone propionate delivered to the lung was systemically absorbed.

Efter fluticasonpropionat MDPI -administration forekommer den maksimale plasmakoncentration af fluticasonpropionat ca. 1 time efter inhalation.

Den gennemsnitlige topkoncentration efter en 232 mcg enkelt oral indånding af fluticasonpropionat MDPI til patienter 12 år og ældre med vedvarende astma var 73 pg/ml.

Fordeling

Following intravenous administration the initial disposition phase for fluticasone propionate was rapid and consistent with its high lipid solubility and tissue binding. Distributionsvolumenet var i gennemsnit 4,2 l/kg.

Procentdelen af ​​fluticasonpropionat bundet til humane plasmaproteiner gennemsnit 99%. Fluticasonpropionat er svagt og reversibelt bundet til erytrocytter og er ikke signifikant bundet til human transcortin.

Eliminering

Terminal halvering af fluticasonpropionat efter oral inhalationsadministration af fluticasonpropionat MDPI var cirka 11,2 timer.

Metabolisme

Den samlede clearance af fluticasonpropionat er høj (gennemsnit 1093 ml/min) med renal clearance, der tegner sig for mindre end 0,02% af det samlede beløb. Den eneste cirkulerende metabolit, der er detekteret i MAN, er 17β -carboxylsyrederivatet af fluticasonpropionat, der dannes gennem CYP3A4 -stien. Denne metabolit har mindre affinitet (ca. 1/2000) end overordnet lægemiddel til glukokortikoidreceptoren af ​​human lungecytosol in vitro og ubetydelig farmakologisk aktivitet i dyreforsøg. Andre metabolitter påvist in vitro under anvendelse af dyrkede humane hepatomceller er ikke blevet påvist hos mennesker.

Udskillelse

Mindre end 5% af en radiomærket oral dosis fluticasonpropionat blev udskilt i urinen som metabolitter med resten udskilt i fæces som forældremedicin og metabolitter.

Specifikke populationer

Alder

Ungdom i alderen 12 til 17 år: En farmakokinetisk undersøgelse hos patienter med vedvarende astma i alderen 12 år og ældre blev udført. En undergruppeanalyse blev udført for at sammenligne patienter i alderen 12 til 17 (n = 16) og ≥18 (n = 23) år efter administration af 232 mcg fluticason -propionat MDPI. Ingen samlede forskelle i fluticasonpropionat farmakokinetik blev observeret.

Pædiatriske patienter i alderen 4 til 11 år: fluticasonpropionatkoncentrationer hos 18 pædiatriske patienter blev målt efter en enkelt dosis fluticasonpropionat MDPI 55 mcg, hvilket resulterede i en gennemsnitlig topkoncentration på 26 pg/ml. Median Tmax til fluticasonpropionatplasmakoncentration forekom omkring 1 time.

Ingen farmakokinetiske undersøgelser er blevet udført med Armonair Digihaler hos geriatriske patienter.

Mandlige og kvindelige patienter

En undergruppeanalyse blev udført for at sammenligne mandlige (n = 22) og kvindelige (n = 17) patienter efter administration af 232 mcg fluticasonpropionat MDPI. Ingen samlede forskelle i fluticasonpropionat farmakokinetik blev observeret.

Patienter med nedsat nyrefunktion

Virkningen af ​​nedsat nyrefunktion på farmakokinetikken i Armonair Digihaler er ikke blevet evalueret.

Patienter med nedsat leverfunktion

Formelle farmakokinetiske undersøgelser, der bruger Armonair Digihaler, er ikke blevet udført hos patienter med leverfunktion. Men da fluticasonpropionat overvejende ryddes af levermetabolisme -svækkelse af leverfunktionen kan føre til ophobning af fluticasonpropionat i plasma.

Lægemiddelinteraktionsundersøgelser

In vitro og in vivo -lægemiddelinteraktionsundersøgelser er ikke blevet udført med Armonair Digihaler. Kendte klinisk signifikante lægemiddelinteraktioner er beskrevet i lægemiddelinteraktioner (7).

Inhibitorer af cytochrome P450 3A4

Ritonavir: Fluticasone propionate is a substrate of CYP3A4. Coadministration of fluticasone propionate og the strong CYP3A4 inhibitor ritonavir is not recommended based upon a multiple-dose crossover drug interaction trial in 18 healthy subjects. Fluticasone propionate aqueous nasal spray (200 mcg once daily) was coadministered for 7 days with ritonavir (100 mg twice daily). Plasma fluticasone propionate concentrations following fluticasone propionate aqueous nasal spray alone were undetectable ( <10 pg/mL) in most subjects og when concentrations were detectable peak levels (Cmax) averaged 11.9 pg/Ml (range: 10.8 to 14.1 pg/mL) og AUC0-τ averaged 8.43 pg•h/mL (range: 4.2 to 18.8 pg•h/mL).

Fluticason-propionat Cmax og AUC0-τ steg til 318 pg/ml (interval: 110 til 648 pg/ml) og 3102,6 pgâ € ¢ h/ml (rækkevidde: 1207,1 til 5662,0 pg € ¢ h/ml) Spray. Denne signifikante stigning i plasma -fluticasonpropionateksponering resulterede i et signifikant fald (86%) i serum cortisol AUC.

Ketoconazol: In a placebo-controlled crossover trial in 8 healthy adult volunteers coadministration of a single dose of orally inhaled fluticasone propionate (1000 mcg) with multiple doses of ketoconazole (200 mg) to steady state resulted in increased plasma fluticasone propionate exposure a reduction in plasma cortisol AUC og no effect on urinary excretion of cortisol.

Følgende oralt inhaleret fluticasonpropionat alene AUC2-Last var i gennemsnit 1,559 ngâ € ¢ h/ml (interval: 0,555 til 2,906 ngâ € ¢ h/ml) og AUC2-∞ i gennemsnit 2,269 ngâ € ¢ h/ml (rækkevidde: 0,836 til 3,707 ngâ € ¢ h/ml). Fluticasonpropionat AUC2-STAG og AUC2-∞ steg til 2,781 ngâ € ¢ h/ml (område: 2,489 til 8,486 ngâ € ¢ h/ml) og 4,317 ngâ € ¢ h/ml (interval: 3,256 til 9,408 ngâ € ¢ h/ml) med oralt inhaleret fluticasonpropionat. Denne stigning i plasma -fluticasonpropionatkoncentration resulterede i et fald (45%) i serumcortisol AUC.

Erythromycin: I en multiple-dosis lægemiddelinteraktionsforsøgs samtidig administration af oralt inhaleret fluticasonpropionat (500 mcg to gange dagligt) påvirkede og erythromycin (333 mg 3 gange dagligt) ikke fluticasonpropionat farmakokinetik.

Kliniske studier

Sikkerheden og effektiviteten af ​​fluticasonpropionatinhalationspulver [Armonair Respiclick i det følgende benævnt fluticasonpropionat MDPI] blev evalueret hos 2130 voksne og unge patienter med astma. Udviklingsprogrammet omfattede 2 bekræftende forsøg på 12 ugers varighed en 26 ugers sikkerhedsforsøg og to dosisforsøg på 12 ugers varighed.

Sikkerheden og effektiviteten af ​​fluticasonpropionat MDPI blev evalueret hos 841 patienter i alderen 4 til 11 år med astma.

Effektiviteten af ​​Armonair Digihaler er primært baseret på de dosisrige forsøg og de bekræftende forsøg med fluticasonpropionat MDPI beskrevet nedenfor.

Dosisforsøg hos voksne og unge patienter med astma

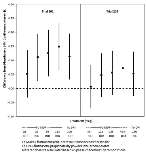
Seks doser fluticasonpropionat, der spænder fra 16 mcg til 434 mcg (udtrykt som målte doser), der blev administreret to gange dagligt via MDPI, blev evalueret i 2 randomiserede dobbeltblind placebokontrollerede 12 ugers forsøg hos patienter med astma.

  • Forsøg 201 blev udført hos patienter, hvis astma var ukontrolleret ved baseline og var blevet behandlet af kortvirkende beta2-agonist (SABA) alene eller i kombination med ikke-corticosteroid astma-medicin. Inhaleret corticosteroid (ICS) -behandlede patienter (ICS) kan være inkluderet efter mindst 2 ugers udvaskning. Dette forsøg indeholdt en åben mærket aktiv komparatorfluticasonpropionatinhalationspulver 100 mcg indgivet to gange dagligt.
  • Forsøg 202 blev udført hos patienter, hvis astma var ukontrolleret ved baseline og var blevet behandlet med høj dosis ICS med eller uden en LABA. Denne undersøgelse indeholdt en OpenLabel Active Comparator Fluticasone Propionate Inhalation Powder 250 mcg to gange dagligt.

Forsøgene var dosisforsøg med fluticasonpropionat MDPI og ikke designet til at tilvejebringe komparative effektivitetsdata og bør ikke fortolkes som bevis for overlegenhed/mindreværd over for fluticasonpropionatinhalationspulver. De afmålte doser til fluticason multidose tørt pulverinhalator (16 28 59 118 225 434 mcg) anvendt i forsøg 201 og forsøg 202 (se figur 1) er lidt forskellige fra målte doser til sammenligningsprodukterne (55 113 232 mCG for fluticasoninhalationspulver) og fase 3 -undersøgelsesprodukterne). Ændringerne i doser mellem fase 2 og 3 skyldtes optimering af fremstillingsprocessen.

Figur 1: Baseline justeret mindst kvadratisk gennemsnitlig ændring i truget morgen fev 1 (L) Over 12 uger (FAS) a

Fas = fuld analysesæt; En forsøg blev ikke designet til at tilvejebringe komparative effektivitetsdata og bør ikke fortolkes som overlegenhed/mindreværd over for fluticasonpropionatinhalationspulver.

Forsøg i vedligeholdelsesbehandlingen af ​​astma

Voksne og unge patienter i alderen 12 år og ældre

To 12-ugers randomiserede dobbeltblinde placebokontrollerede parallelle-grupper Globale kliniske forsøg blev udført hos 1375 voksne og unge patienter (i alderen 12 år og ældre med baseline FEV 1 40% til 85% af det forudsagte normale) med astma, der ikke var optimalt kontrolleret på deres nuværende terapi. Patienter blev randomiseret til at modtage 1 inhalation to gange om dagen med fluticasonpropionat og salmeterolinhalationspulver (benævnt fluticasonpropionat/salmeterol MDPI) fluticasonpropionat MDPI eller placebo. Andre vedligeholdelses astmabehandlinger blev afbrudt ved randomisering.

Forsøg 1: I denne forsøgsundersøgelse og voksne patienter med vedvarende symptomatisk astma på trods af lavdosis eller midtdosis inhaleret kortikosteroid (ICS) eller ICS/LABA-terapi blev inkluderet. Efter at have afsluttet en run-in-periode, hvor patienter blev behandlet med beclomethason dipropionat

Inhalation aerosol 40 mcg to gange dagligt og en enkelt blind placebo MDPI De patienter, der opfyldte randomiseringskriterierne, blev randomiseret til 1 inhalation to gange om dagen med følgende behandlinger:

  • Placebo MDPI (n=130)
  • Fluticason -propionat MDPI 55 mcg (n = 129)
  • Fluticason -propionat MDPI 113 mcg (n = 130)
  • Fluticason -propionat/salmeterol MDPI 55 mcg/14 mcg (n = 129) eller
  • Fluticason -propionat/Salmeterol MDPI 113 MCG/14 MCG (N = 129)

Baseline Fev 1 Målinger var ens på tværs af behandlinger: fluticasonpropionat MDPI 55 mcg 2.134 l fluticasonpropionat MDPI 113 mcg 2.166 L og placebo 2.188 L.

De primære slutpunkter for denne prøve var ændringen fra baseline i truget fev 1 I uge 12 for alle patienter og standardiseret baseline-justeret FEV 1 AUEC0-12H i uge 12 analyseret for en undergruppe af 312 patienter, der udførte postdosis seriel spirometri.

Patienter, der modtager fluticasonpropionat MDPI 55 mcg og fluticasonpropionat MDPI 113 mcg havde signifikant større forbedringer i truget fev 1 Sammenlignet med placebogruppen:

  • Fluticason -propionat MDPI 55 mcg: Mindst firkanter (LS) Middelændring på 0,172 L efter 12 uger
  • Fluticason -propionat MDPI 113 mcg: ls gennemsnitlig ændring på 0,204 l ved 12 uger
  • Placebo: LS mean change of 0.053 L at 12 weeks

De estimerede gennemsnitlige forskelle mellem:

  • Fluticason -propionat MDPI 55 mcg sammenlignet med placebo var 0,119 L (95% CI: 0,025 0,212).
  • Fluticasonpropionat MDPI 113 mcg sammenlignet med placebo var 0,151 L (95% CI: 0,057 0,244).

Derudover den gennemsnitlige fev 1 Resultater ved hvert besøg vises i figur 2.

Figur 2: Gennemsnitlig ændring fra baseline i truget fev 1 Ved hvert besøg ved behandlingsgruppe forsøg 1 (FAS)

1 at Each Visit by Treatment Group Trial 1 (FAS) - Illustration' src='//pharmacie-hoffer.eu/img/corticosteroids-inhalants/39/armonair-digihaler-2.webp' >

Fas = fuld analysesæt; Fev 1 = tvungen ekspirationsvolumen på 1 sekund

Støttende bevis for effektivitet for fluticasonpropionat MDPI sammenlignet med placebo blev afledt af sekundære endepunkter, såsom det ugentlige gennemsnit af daglig udløbsstrømning af morgenen og den samlede daglige brug af redningsmedicin. Astmakvaliteten af ​​livsspørgeskemaet (AQLQ) for patienter i alderen ≥ 18 år eller den pædiatriske AQLQ (PAQLQ) for patienter i alderen 12 til 17 år blev vurderet i forsøgs 1. Responderhastigheden for begge mål blev defineret som en forbedring i score på 0,5 eller mere som tærskel. I forsøg 1 Responderhastighederne for patienter, der modtog fluticasonpropionat MDPI 55 mcg og fluticasonpropionat MDPI 113 mcg, var henholdsvis 46% og 45% sammenlignet med 40% for patienter, der fik placebo med oddsforhold på henholdsvis 1,23 (95% CI: 0,74 2,06) og 1,25 (95% CI: 0,75 2,08) henholdsvis.

Forbedringer i Fev 1 For begge fluticasonpropionat MDPI -dosisgrupper blev opretholdt i løbet af de 12 timer med test i uge 12 (figur 3).

Figur 3: Seriel spirometri: Gennemsnitlig ændring fra baseline i FEV 1 (L) Ved uge 12 efter tidspunkt og behandlingsgruppeforsøg 1 (FAS; seriel spirometri -undergruppe)

1 (L) at Week 12 by Time Point and Treatment Group Trial 1 (FAS; Serial Spirometry Subset) - Illustration' src='//pharmacie-hoffer.eu/img/corticosteroids-inhalants/39/armonair-digihaler-3.webp' >

Fas = fuld analysesæt; Fev 1 = tvungen ekspirationsvolumen på 1 sekund

Forsøg 2: I dette forsøg blev unge og voksne patienter med vedvarende symptomatisk astma på trods af inhaleret kortikosteroid (ICS) eller ICS/LABA -terapi inkluderet. Efter at have afsluttet en run-in-periode, hvor patienter blev behandlet med enkeltblind fluticasonpropionat MDPI 55 mcg to gange dagligt, der erstattede deres nuværende astmapatienter, der opfyldte randomiseringskriterierne, blev randomiseret til 1 inhalation to gange om dagen efter følgende behandlinger:

bedste boston ture
  • Placebo MDPI (n=145)
  • Fluticason -propionat MDPI 113 mcg (n = 146)
  • Fluticason -propionat MDPI 232 mcg (n = 146)
  • Fluticason -propionat/Salmeterol MDPI 113 MCG/14 MCG (N = 145)
  • Fluticason -propionat/Salmeterol MDPI 232 MCG/14 MCG (N = 146)

Baseline Fev 1 Målinger var ens på tværs af behandlinger som følger: fluticasonpropionat MDPI 113 MCG 2.069 L fluticasonpropionat MDPI 232 MCG 2.075 L og placebo 2.141 L.

De primære slutpunkter for denne prøve var ændringen fra baseline i truget fev 1 I uge 12 for alle patienter og standardiseret baseline-justeret FEV 1 AUEC0-12H i uge 12 analyseret for en undergruppe af 312 patienter, der udførte postdosis seriel spirometri.

Effektivitet resulterer i, at dette forsøg svarede til dem, der blev observeret i forsøg 1. Patienter, der modtog fluticasonpropionat MDPI 113 mcg og fluticasonpropionat MDPI 232 mcg havde markant større forbedringer i truget FEV 1 Sammenlignet med placebogruppen:

  • Fluticason -propionat MDPI 113 mcg: ls gennemsnitlig ændring på 0,119 l ved 12 uger
  • Fluticason -propionat MDPI 232 mcg: ls gennemsnitlig ændring på 0,179 l ved 12 uger
  • Placebo: LS mean change of -0.004 L at 12 weeks

Estimerede gennemsnitlige forskelle mellem:

  • Fluticasonpropionat MDPI 113 mcg sammenlignet med placebo var 0,123 L (95% CI: 0,038 0,208).
  • Fluticasonpropionat MDPI 232 mcg sammenlignet med placebo var 0,183 L (95% CI: 0,098 0,268).

Derudover den gennemsnitlige fev 1 Resultater ved hvert besøg vises i figur 4.

Figur 4: Gennemsnitlig ændring fra baseline i truget fev 1 Ved hvert besøg ved behandlingsgruppe forsøg 2 (FAS)

1 at Each Visit by Treatment Group Trial 2 (FAS) - Illustration' src='//pharmacie-hoffer.eu/img/corticosteroids-inhalants/39/armonair-digihaler-4.webp' >

Fas = fuld analysesæt; Fev 1 = tvungen ekspirationsvolumen på 1 sekund

Støttende bevis for effektivitet for fluticasonpropionat MDPI sammenlignet med placebo blev afledt af sekundære endepunkter, såsom det ugentlige gennemsnit af daglig gennemstrømning af toppen af ​​toppen og total daglig brug af redningsmedicin. Der var færre tilbagetrækninger på grund af forværring af astma hos patienter behandlet med fluticasonpropionat MDPI end med placebo. The AQLQ (patients aged ≥ 18 years) or the PAQLQ (patients aged 12 to 17) were assessed in Trial 2. The responder rates for patients receiving fluticasone propionate MDPI 113 mcg and fluticasone propionate MDPI 232 mcg were 38% and 44% respectively compared to 27% for patients receiving placebo with odds ratios of 1.75 (95% CI: 1,05 2,93) og 2,12 (95% CI: 1,27 3,53).

Forbedringer i Fev 1 For begge fluticasonpropionat MDPI -dosisgrupper blev opretholdt i løbet af de 12 timer med test i uge 12 (figur 5).

Figur 5: Seriel spirometri: Gennemsnitlig ændring fra baseline i FEV 1 (L) I uge 12 efter tidspunkt og behandlingsgruppeforsøg 2 (FAS; seriel spirometri -undergruppe)

1 (L) at Week 12 by Time Point and Treatment Group Trial 2 (FAS; Serial Spirometry Subset) - Illustration' src='//pharmacie-hoffer.eu/img/corticosteroids-inhalants/39/armonair-digihaler-5.webp' >

Fas = fuld analysesæt; Fev 1 = tvungen ekspirationsvolumen på 1 sekund

Pædiatriske patienter i alderen 4 til 11 år

Sikkerheden og effektiviteten af ​​fluticasonpropionat MDPI blev evalueret i et multicenter randomiseret dobbeltblind placebokontrolleret forsøg (forsøg 3) hos 841 pædiatriske patienter i alderen 4 til 11 år med vedvarende astma, der blev behandlet med et stabilt astma-regimen andet end kortvarig handling beta-agonist Alene såsom inhaleret kortikosteroid (ICS) ICS/LABA eller leukotrienreceptoragonist. Efter at have afsluttet en indløbsperiode på 14 til 30 dage, hvor patienter afbrød alle ikke-studie-astma-relaterede lægemidler, blev patienter, der opfyldte randomiseringskriterier, som omfattede barndoms astmakontroltest (C-ACT) score på ≤ 19, randomiseret til at modtage 1 inhalation to gange om dagen med fluticason-propionat MDPI 30 mcg (n = 211) fluticasone-propionat Mdpi 55 mcg (n = 210) flus (n = 211) fluticasonone-propionat Mdpi 55 mcg (n = 210) flutic propionat/salmeterol (n = 211) eller placebo (n = 209). Af de randomiserede patienter var 488 tidligere blevet behandlet med inhalerede kortikosteroider med eller uden LABA.

For det foruddefinerede slutpunkt for ændring fra baseline i ugentlige gennemsnitlige truget PPFEV 1 I uge 12 blev de estimerede gennemsnitlige forskelle mellem fluticasonpropionat MDPI 30 mcg sammenlignet med placebo og fluticasonpropionat MDPI 55 mcg sammenlignet med placebo var henholdsvis 6,0% forudsagt (95% CI: 3,2 8,8) og 7,0% forudsagt (95% CI: 4,1 9,8).

Patientinformation til Armonair Digihaler

Armonair® Digihaler®
(arâ। mo nayr dize haayâ ´ ler) (fluticasonpropionat) inhalationspulver 30 mcg

Armonair® Digihaler®
(Arâ। Moe Nayr Dize Haayâ ´ ler) (fluticasonpropionat) Inhalationspulver 55 mcg

Armonair® Digihaler®
(Arâ। Moe Nayr Diji Hayeed Hayeed) (fluticasonpropionat) Inhalationspulver 113 mcg

Armonair® Digihaler®
(Arâ´ moe Nayr Di´ji Haye´s ler) (fluticasonpropionat) Inhalationspulver 232 mcg til oral inhalationsbrug

Hvad er Armonair Digihaler?

Armonair Digihaler er en receptpligtig indåndet kortikosteroid (ICS) medicin til langvarig behandling af astma hos mennesker i alderen 4 år og ældre.

  • ICS -medicin såsom fluticasonpropionat hjælper med at reducere betændelse i lungerne. Betændelse i lungerne kan føre til åndedrætsproblemer.
  • Armonair Digihaler bruges ikke til at lindre pludselige åndedrætsproblemer.
  • Det vides ikke, om Armonair Digihaler er sikker og effektiv hos børn yngre end 4 år.
  • Armonair Digihaler indeholder et indbygget elektronisk modul, der registrerer poster og gemmer information om inhalatorbegivenheder. Armonair Digihaler kan bruges med og overfører information til en mobilapplikation (APP) gennem Bluetooth® Wireless Technology.
  • Armonair Digihaler behøver ikke at være tilsluttet appen for at du kan tage din medicin. Det elektroniske modul kontrollerer ikke eller forstyrrer levering af medicinen gennem inhalatoren.

Brug ikke Armonair Digihaler:

  • at lindre pludselige åndedrætsproblemer.
  • Hvis du har en alvorlig allergi til mælkeproteiner eller nogen af ​​ingredienserne i Armonair Digihaler. Se afslutningen på denne patientinformationsbræt for en komplet liste over ingredienser i Armonair Digihaler.

Før du bruger Armonair Digihaler, fortæl din sundhedsudbyder om alle dine medicinske tilstande, herunder hvis du:

  • har leverproblemer.
  • har svage knogler (osteoporose).
  • Har et immunsystemproblem.
  • har øjenproblemer såsom glaukom eller grå stær.
  • have tuberkulose En viral bakteriel svamp eller parasitisk infektion eller herpes simplex.
  • udsættes for skoldkopper eller mæslinger.
  • er gravide eller planlægger at blive gravid. Det vides ikke, om Armonair Digihaler kan skade din ufødte baby.
  • er amning eller planlægger at amme. Det vides ikke, om Armonair Digihaler passerer ind i din modermælk og kan skade din baby.

Fortæl din sundhedsudbyder om alle de medicin, du tager inklusive receptpligtige og over-counter medicin vitaminer og urtetilskud. Armonair Digihaler og visse andre lægemidler kan påvirke hinanden og forårsage alvorlige bivirkninger. Fortæl især din sundhedsudbyder, hvis du tager antifungale eller anti-HIV-medicin.

Kend de medicin, du tager. Opbevar en liste over dem for at vise til din sundhedsudbyder og apotek, når du får en ny medicin.

Lisinopril Generic

Hvordan skal jeg bruge Armonair Digihaler?

Læs de trin-for-trin-instruktioner til brug af Armonair Digihaler i slutningen af ​​denne Patient Information-indlægsseddel.

  • For detaljerede instruktioner om, hvordan man opsætter appen, skal du gå til www.armonairdigihaler.com eller ringe til Teva Pharmaceuticals på 1-888-603-0788.
  • Forbindelse til appen med din Bluetooth tændt eller det er i nærheden af ​​din smartphone er ikke påkrævet for, at din Armonair Digihaler kan arbejde og for at du får din medicin.
  • Det elektroniske modul kontrollerer ikke eller forstyrrer levering af medicinen gennem inhalatoren.
  • Armonair Digihaler er kun til oral inhalationsbrug.
  • Skyl munden med vand uden at sluge efter hver dosis af Armonair Digihaler.
  • Børn skal bruge Armonair Digihaler med en voksen hjælp som instrueret af barnets sundhedsudbyder.
  • Armonair Digihaler kommer i 4 forskellige styrker. Din sundhedsudbyder ordinerede styrken, der er den rigtige for dig eller dit barn.
  • Brug Armonair Digihaler nøjagtigt som din sundhedsudbyder fortæller dig at bruge den. Brug ikke Armonair Digihaler oftere end foreskrevet.
  • Brug Armonair Digihaler 1 Inhalation 2 gange hver dag (ca. 12 timers mellemrum) på samme tid hver dag.
  • Armonair Digihaler har ikke brug for grund. Brug ikke et afstands- eller volumenholdskammer med Armonair Digihaler.
  • Gør ikke Åbn den grønne hætte på din Armonair Digihaler Inhalator, indtil du er klar til din dosis, fordi dette spilder din medicin eller kan skade din inhalator.
  • Det kan tage 1 til 2 uger eller længere, efter at du starter Armonair Digihaler for dine astmasymptomer for at blive bedre. Du skal bruge Armonair Digihaler regelmæssigt.
  • Gør ikke Stop med at bruge Armonair Digihaler, selvom du har det bedre, medmindre din sundhedsudbyder fortæller dig det.
  • Hvis du går glip af en dosis Armonair Digihaler, skal du bare springe den dosis over. Tag din næste dosis på din sædvanlige tid. Tag ikke 2 doser på 1 gang.
  • Armonair Digihaler lindrer ikke pludselige symptomer. Har altid en redningsinhalator med dig til at behandle pludselige symptomer. Hvis du ikke har en redningsinhalator, skal du ringe til din sundhedsudbyder for at få en ordineret til dig. Ring til din sundhedsudbyder eller få medicinsk behandling med det samme, hvis:
    • Dine åndedrætsproblemer bliver værre.
    • Du skal bruge din redningsinhalator oftere end normalt.
    • Din redningsinhalator fungerer ikke så godt for at lindre dine symptomer.
    • Du skal bruge 4 eller flere inhalationer af din redningsinhalator på 24 timer i 2 eller flere dage i træk.
    • Du bruger 1 hel beholder af din redningsinhalator på 8 uger.
    • Dine højeste flowmåleresultater falder. Din sundhedsudbyder fortæller dig de numre, der er rigtige for dig.

Hvad er de mulige bivirkninger med Armonair Digihaler?

Armonair Digihaler kan forårsage alvorlige bivirkninger, herunder:

  • Svampeinfektion i din mund og hals (trast). Skyl munden med vand uden at sluge efter at have brugt Armonair Digihaler for at hjælpe med at reducere din chance for at få trast.
  • Svækket immunsystem og øget chance for at få infektioner (immunsuppression).
  • Nedsat binyrefunktion (binyreinsufficiens). Binyreinsufficiens er en tilstand, hvor binyrerne ikke fremstiller nok steroidhormoner. Dette kan ske, når du holder op med at tage orale kortikosteroidmedicin (såsom prednison) og begynde at tage en medicin, der indeholder et inhaleret steroid (såsom Armonair Digihaler). Når din krop er under stress, såsom fra feber -traumer (såsom en bilulykke) infektion eller kirurgi, kan binyreinsufficiens blive værre og kan forårsage død.

Symptomer på binyreinsufficiens inkluderer:

    • føler sig træt
    • Mangel på energi
    • svaghed
    • Kvalme og opkast
    • Lavt blodtryk
  • Alvorlige allergiske reaktioner. Ring til din sundhedsudbyder eller få nødmedicinsk hjælp, hvis du får nogen af ​​følgende tegn eller symptomer på en alvorlig allergisk reaktion:
    • udslæt
    • elveblest
    • Hævelse af din ansigts mund og tunge
    • åndedrætsproblemer
  • Knogletynding eller svaghed (osteoporose).
  • Bremset vækst hos børn. Et barns vækst bør ofte kontrolleres.
  • Øjenproblemer inklusive glaukom og grå stær. Du skal have regelmæssige øjenundersøgelser, mens du bruger Armonair Digihaler.
  • Øget vejrtrækning (bronchospasme). Øget vejrtrækning kan ske med det samme efter at have brugt Armonair Digihaler. Hvis dette sker, skal du stoppe med at bruge Armonair Digihaler og ringe til din sundhedsudbyder. Har altid en redningsinhalator med dig til at behandle pludselig vejrtrækning.

Almindelige bivirkninger af Armonair Digihaler hos mennesker i alderen 12 år og ældre inkluderer:

  • infektion eller betændelse i næse og hals (nasopharyngitis)
  • Infektion i øvre luftvejsinfektion
  • Thrush i munden eller halsen
  • hovedpine
  • hoste

Almindelige bivirkninger af Armonair Digihaler hos mennesker i alderen 4 til 11 år inkluderer:

  • infektioner i øre næse og hals

Dette er ikke alle de mulige bivirkninger med Armonair Digihaler. Ring til din læge for medicinsk rådgivning om bivirkninger. Du kan rapportere bivirkninger til FDA på 1-800-FDA-1088.

Hvordan skal jeg opbevare Armonair Digihaler?

  • Butik Armonair Digihaler ved stuetemperatur mellem 59 ° F og 77 ° C (15 ° C og 25 ° C).
  • Butik Armonair Digihaler på et tørt sted. Undgå eksponering for ekstrem varme kulde eller fugtighed.
  • Butik Armonair Digihaler i den uåbnede foliepose, indtil du er klar til at bruge en dosis Armonair Digihaler.
  • Hold den grønne hætte på inhalatoren lukket under opbevaring.
  • Gør ikke Tag Armonair Digihaler Inhalator fra hinanden.
  • Hold din Armonair Digihaler ren og tør på alle tidspunkter.
  • Kast Armonair Digihaler, når dosis tæller viser 0 30 dage efter åbning af folieposen eller efter udløbsdatoen på produktet, alt efter hvad der kommer først.

Hold Armonair Digihaler og alle medicin uden for børns rækkevidde.

Generel information om den sikre og effektive brug af Armonair Digihaler.

Medicin er undertiden ordineret til andre formål end dem, der er anført i en patientoplysning. Brug ikke Armonair Digihaler til en betingelse, som den ikke blev ordineret til. Giv ikke din Armonair Digihaler til andre mennesker, selvom de har de samme symptomer, som du har. Det kan skade dem.

Du kan bede din farmaceut eller sundhedsudbyder om information om Armonair Digihaler, der blev skrevet til sundhedsfagfolk.

Hvad er ingredienserne i Armonair Digihaler?

Aktiv ingrediens: Fluticasonpropionat.

Inaktive ingredienser: Alpha lactose monohydrat (indeholder mælkeproteiner).

Brug til brug

Armonair® Digihaler®
(arâ। mo nayr dize haayâ ´ ler) (fluticasonpropionat) inhalationspulver 30 mcg

Armonair® Digihaler®
(Arâ। Moe Nayr Dize Haayâ ´ ler) (fluticasonpropionat) Inhalationspulver 55 mcg

Armonair® Digihaler®
(Arâ। Moe Nayr Diji Hayeed Hayeed) (fluticasonpropionat) Inhalationspulver 113 mcg

Armonair® Digihaler®
(Arâ´ moe Nayr Di´ji Haye´s ler) (fluticasonpropionat) Inhalationspulver 232 mcg til oral inhalationsbrug

Din Armonair Digihaler Inhalator

Når du er klar til at bruge Armonair Digihaler for første gang, skal du fjerne Armonair Digihaler Inhalator fra folieposen.

Der er 3 hoveddele af din Armonair Digihaler Inhalator inklusive:

  • Hvid inhalator med mundstykket. Se figur A.
  • Grønhætte, der dækker inhalatorens mundstykke. Se figur A.
  • Elektronisk modul. Se figur A.

Der er et elektronisk modul indbygget i toppen af ​​inhalatoren, der registrerer poster og gemmer information om inhalatorhændelser. Det elektroniske modul sender information via Bluetooth® Wireless Technology til en mobilapplikation (APP). Det elektroniske modul kontrollerer ikke eller forstyrrer levering af medicinen gennem inhalatoren.

Der er en dosis tæller på bagsiden af ​​inhalatoren med et visningsvindue, der viser dig, hvor mange doser medicin du har tilbage. Se figur A.

Figur a

  • Din Armonair Digihaler Inhalator indeholder 60 doser (inhalationer). Se figur B.
  • Dosis tæller viser antallet af doser, du har tilbage i din inhalator.
  • Når der er 20 doser, der er efterladt farven på tallene på dosis tæller, ændres til rødt, og du skal fylde din recept eller bede din sundhedsudbyder om en anden recept.
  • Når dosis tæller viser - 0,0â € ™ er din inhalator tom, og du skal stoppe med at bruge inhalatoren og smide den væk. Se figur B.

Figur b

Vigtig:

  • Luk altid den grønne hætte efter hver inhalation, så din inhalator er klar til at tage din næste dosis. Gør ikke Åbn det grønne loft, medmindre du er klar til din næste dosis.
  • Du vil høre en kliklyd, når den grønne hætte åbnes fuldt ud. Hvis du ikke hører kliklyden, er inhalatoren muligvis ikke aktiveret for at give dig en dosis medicin.
  • Armonair Digihaler har ikke en aktiveringsknap eller medicinbeholdere. Når du åbner den grønne cap, aktiveres en dosis Armonair Digihaler til levering af medicinen.
  • Armonair Digihaler behøver ikke at være trådløst tilsluttet den mobile applikation (APP) for at den kan fungere og for dig at tage din medicin.
  • Gør ikke Brug en afstand eller volumen, der holder kammeret med Armonair Digihaler. Armonair Digihaler har ikke brug for grund.
  • Hvis dit barn har brug for at bruge Armonair Digihaler, se dit barn nøje for at sikre dig, at dit barn bruger inhalatoren korrekt.

Brug din Armonair Digihaler Inhalator

Vigtig: Make sure the green cap is closed before you start using your inhaler.

Trin 1. Åbn

Figur c

  • Hold inhalatoren lodret, og åbn den grønne hætte helt tilbage, indtil den klikker. Se figur C.
  • Hver gang du åbner den grønne hætte, og den klikker på En dosis Armonair Digihaler er klar til at blive inhaleret.
  • Gør ikke open the green cap until you are ready to take a dose of ARMONAIR DIGIHALER.

Huske:

  • For korrekt brug af Armonair Digihaler skal du holde inhalatoren lodret, når du åbner den grønne hætte. Se figur D.
  • Gør ikke Hold inhalatoren på nogen anden måde, når du åbner den grønne hætte.

Figur d

Trin 2. Inhaler

  • Før du inhalerer indånder gennem din mund væk fra inhalatoren og skubber så meget luft fra dine lunger, som du kan. Se figur E.
  • Gør ikke Træk vejret ud i inhalatorens mundstykket.

Figur e

  • Sæt mundstykket i munden, og luk dine læber tæt rundt om det. Se figur F.
  • Træk ind hurtigt og dybt gennem din mund At levere dosis medicin til dine lunger.

Figur f

  • Gør ikke block the vent above the mouthpiece with your lips or fingers. See Figur g.

Figur g

  • Fjern inhalatoren fra din mund.
  • Hold vejret i cirka 10 sekunder Eller så længe du komfortabelt kan.
  • Din Armonair Digihaler Inhalator leverer din dosis medicin som et meget fint pulver, som du måske eller måske ikke smager eller føler. Gør ikke Tag en ekstra dosis fra inhalatoren, selvom du ikke smager eller føler medicinen.

Trin 3. Luk

Figur h

  • Luk den grønne hætte efter hver indånding så inhalatoren er klar til din næste dosis. Se figur H.
  • Skyl munden med vand uden at sluge efter hver indånding.

Hvordan skal jeg opbevare Armonair Digihaler?

  • Butik Armonair Digihaler ved stuetemperatur mellem 59 ° F og 77 ° C (15 ° C og 25 ° C).
  • Opbevar Armonair Digihaler på et tørt sted. Undgå eksponering for ekstrem varme kulde eller fugtighed.
  • Butik Armonair Digihaler i den uåbnede foliepose og er kun åben, når den er klar til brug.
  • Hold den grønne hætte på inhalatoren lukket under opbevaring.
  • Hold din Armonair Digihaler Inhalator tør og ren på alle tidspunkter.
  • Hold din Armonair Digihaler Inhalator og alle medicin uden for børns rækkevidde.

Rengøring af din Armonair Digihaler Inhalator

  • Gør ikke wash or put any part of your ARMONAIR DIGIHALER inhaler in water. Udskift din inhalator, hvis den vaskes eller placeres i vand.
  • Armonair Digihaler indeholder et pulver og skal holdes rent og tørt på alle tidspunkter.
  • Du kan rengøre mundstykket, hvis det er nødvendigt ved hjælp af en tør klud eller væv. Rutinemæssig rengøring er ikke påkrævet.
  • Gør ikke Tag Armonair Digihaler Inhalator fra hinanden.

Udskiftning af din Armonair Digihaler Inhalator

  • Udskift straks din inhalator, hvis mundstykket dæksel er beskadiget eller ødelagt. Tag aldrig inhalatoren fra hinanden.
  • Tælleren på bagsiden af ​​din inhalator viser, hvor mange doser du har tilbage.
  • Når der er 20 doser, der er efterladt farven på tallene på dosis tæller, ændres til rødt, og du skal fylde din recept eller bede din sundhedsudbyder om en anden recept.
  • Når tælleren viser, er det tomt, og du skal stoppe med at bruge det.
  • Kast ARMONAIR DIGIHALER 30 dage efter fjernelse af den fra folieposen for første gang, når dosis tæller viser â € ˜0â € ™ eller efter udløbsdatoen på pakken, alt efter hvad der kommer først.
  • Armonair Digihaler indeholder et lithium - mangandioxidbatteri og bør smides væk (bortskaffes) i overensstemmelse med statslige og lokale regler.

Vigtig information

  • Gør ikke Åbn det grønne loft, medmindre du tager en dosis. Åbning og lukning af den grønne hætte uden indånding af en dosis spilder medicinen og kan skade din inhalator.
  • Din Armonair Digihaler Inhalator indeholder tørt pulver, så det er vigtigt, at du ikke blæser eller indånder det.

Støtte

  • For instruktioner om opsætning af den mobile applikation (APP), gå til www.armonair.com eller ring Teva Pharmaceuticals på 1-888-603-0788.
  • Hvis du har spørgsmål om Armonair Digihaler, eller hvordan du bruger din inhalator, skal du gå til www.armonairdigihaler.com eller ringe 1-888-603-0788.

Denne enhed overholder del 15 af FCC -reglerne. Betjening er underlagt følgende to betingelser: (1) Denne enhed kan muligvis ikke forårsage skadelig interferens, og (2) denne enhed skal acceptere enhver modtaget interferens inklusive interferens, der kan forårsage uønsket drift. Ændringer eller ændringer, der ikke udtrykkeligt er godkendt af Teva, kunne annullere brugerens autoritet til at betjene udstyret.

Denne brugsanvisning er godkendt af U.S. Food and Drug Administration.