Oplysningerne På Webstedet Er Ikke Medicinsk Rådgivning. Vi Sælger Ikke Noget. Nøjagtigheden Af ​​Oversættelsen Er Ikke Garanteret. Ansvarsfraskrivelse



Azor

Resume af lægemiddeloversigt

Hvad er Azor?

Azor (amlodipin og olmesartan medoxomil) er en kombination af en calciumkanalblokker og en angiotensin II -receptorantagonist, der bruges til at behandle højt blodtryk (hypertension).

Hvad er bivirkninger af Azor?

Almindelige bivirkninger af Azor inkluderer:



  • svimmelhed eller
  • Lightheadedness, når din krop tilpasser sig medicinen.

Andre bivirkninger af Azor inkluderer:



  • døsighed
  • Hævende hænder/ankler/fødder
  • Flushing (varme rødme eller prikkende følelse)
  • hårtab eller
  • hududslæt eller kløe.

Fortæl din læge, hvis du har alvorlige bivirkninger af Azor inklusive:

  • Hævende hænder/ankler/fødder
  • besvimende
  • Hurtig hjerteslag
  • usædvanlig ændring i mængden af ​​urin
  • Symptomer på et højt kaliumblodniveau (såsom muskelsvaghed langsom eller uregelmæssig hjerteslag) eller
  • Alvorlig eller vedvarende diarré.

Søg medicinsk behandling eller ring 911 på én gang, hvis du har følgende alvorlige bivirkninger:



  • Alvorlige øjensymptomer såsom pludseligt synstab sløret synet tunnel vision øje smerter eller hævelse eller at se haloer omkring lys;
  • Alvorlige hjertesymptomer såsom hurtig uregelmæssige eller bankende hjerteslag; flagrende i brystet; åndenød; og pludselig svimmelhed lethed eller udlevering;
  • Alvorlig hovedpine forvirring sløret talearm eller ben svaghed problemer med at gå tab af koordination føles ustabil meget stive muskler høj feber voldsom sved eller rysten.

Dette dokument indeholder ikke alle mulige bivirkninger, og andre kan forekomme. Kontakt din læge for yderligere oplysninger om bivirkninger.

Dosering til Azor

Den sædvanlige startdosis af Azor er 5/20 mg en gang dagligt. Doseringen kan øges efter 1 til 2 ugers terapi til en maksimal dosis på en 10/40 mg tablet en gang dagligt efter behov for at kontrollere blodtrykket.

Hvilke stoffer stoffer eller kosttilskud interagerer med Azor?

Azor kan interagere med hjertemedicinsk kaliumtilskud eller saltstatningsdiuretika (vandpiller) eller andre medicin, der sænker blodtrykket. Fortæl din læge alle medicin og kosttilskud, du bruger.

Forskel mellem lysin og L lysin

Azor under graviditet og amning

Azor anbefales ikke til brug under graviditet på grund af risikoen for skade på et foster. Det er ukendt, om dette stof passerer til modermælk. Kontakt din læge inden amning.

Yderligere oplysninger

Vores Azor (Amlodipin og Olmesartan Medoxomil) bivirkninger Drug Center giver et omfattende overblik over tilgængelige lægemiddelinformation om de potentielle bivirkninger, når du tager denne medicin.

FDA -lægemiddelinformation

ADVARSEL

Føtal toksicitet

  • Når graviditet opdages, skal du afbryde Azor så hurtigt som muligt ( ADVARSELS AND FORHOLDSREGLER ).
  • Lægemidler, der virker direkte på renin-angiotensin-systemet, kan forårsage skade og død for det udviklende foster ( ADVARSELS AND FORHOLDSREGLER ).

Beskrivelse for Azor

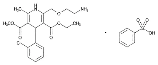
Azor leveret som en tablet til oral administration er en kombination af calciumkanalblokkeren (CCB) amlodipinbesylat og Angiotensin II -receptorblokkeren (ARB) olmesartan medoxomil.

Amlodipinbesylatkomponenten af ​​Azor beskrives kemisk som 3-ethyl-5methyl (±) -2-[(2-aminoethoxy) methyl] -4- (2-chlorophenyl) -14-dihydro-6-methyl-35pyridininedicarboxylat monobenzenesulphonate. Dens empiriske formel er C 20 H 25 Cln 2 O 5 • C. 6 H 6 O 3 S.

Olmesartan medoxomil et prodrug hydrolyseres til Olmesartan under absorption fra mave -tarmkanalen.

Olmesartan medoxomil-komponenten af ​​Azor beskrives kemisk som 23dihydroxy-2-butenyl 4- (1-hydroxy-1-methylethyl) -2-propyl-1- [ p -(O-1 H -Tetrazol-5ylphenyl) benzyl] imidazol-5-carboxylatcyklisk 23-carbonat. Dens empiriske formel er C 29 H 30 N 6 O 6 .

Den strukturelle formel for amlodipinbesylat er:

Den strukturelle formel for Olmesartan Medoxomil er:

Azor indeholder amlodipin besylat en hvid til off-white krystallinsk pulver og olmesartan medoxomil en hvid til lys gulligt hvidt pulver eller krystallinsk pulver. Molekylvægtene af amlodipinbesylat og olmesartan medoxomil er henholdsvis 567,1 og 558,59. Amlodipinbesylat er lidt opløselig i vand og sparsomt opløselig i ethanol. Olmesartan medoxomil er praktisk talt uopløselig i vand og sparsomt opløselig i methanol.

Hver tablet af Azor indeholder også følgende inaktive ingredienser: silicificeret mikrokrystallinsk cellulose -pregelatiniseret stivelsesmarkedskarme natrium og magnesiumstearat. Farvebelægningerne indeholder polyvinylalkohol makrogol/polyethylenglycol 3350 titandioxid talkumsoxid gul (5/40 mg 10/20 mg 10/40 mg tabletter) jernoxidrød (10/20 mg og 10/40 mg tabletter) og jernoxid sort (10/20 mg tabletter).

Anvendelser til Azor

Azor is indicated for the treatment of hypertension alone or with other antihypertensive agents to lower blood pressure. Lowering blood pressure reduces the risk of fatal and nonfatal cardiovascular events primarily strokes and myocardial infarctions. These benefits have been seen in controlled trials of antihypertensive drugs from a wide variety of pharmacologic classes including the class to which this drug principally belongs. There are no controlled trials demonstrating risk reduction with Azor.

Kontrol af højt blodtryk skal være en del af omfattende hjerte -kar -risikostyring, herunder som passende lipidkontroldiabeteshåndtering antitrombotisk terapi rygestopøvelse og begrænset natriumindtag. Mange patienter vil kræve mere end et lægemiddel for at nå blodtryksmål. For specifikke råd om mål og ledelse se offentliggjorte retningslinjer som dem i National High Blood Pressure Education Program's Joint National Committee on Prevention Detection Evaluation and Treatment of High Blood Pressure (JNC).

Talrige antihypertensive medikamenter fra en række farmakologiske klasser og med forskellige virkningsmekanismer er vist i randomiserede kontrollerede forsøg for at reducere kardiovaskulær sygelighed og dødelighed, og det kan konkluderes, at det er reduktion af blodtryk og ikke en anden farmakologisk egenskab af de lægemidler, der er stort set ansvarlige for disse fordele. Den største og mest konsistente kardiovaskulære resultatfordel har været en reduktion i risikoen for slagtilfælde, men reduktioner i myokardieinfarkt og hjerte -kar -dødelighed er også set regelmæssigt.

Forhøjet systolisk eller diastolisk tryk forårsager øget hjerte -kar -risiko, og den absolutte risikoforøgelse pr. MMHg er større ved højere blodtryk, så selv beskedne reduktioner af alvorlig hypertension kan give en betydelig fordel. Relativ risikoreduktion fra reduktion af blodtryk er ens på tværs af populationer med varierende absolut risiko, så den absolutte fordel er større hos patienter, der har en højere risiko uafhængig af deres hypertension (for eksempel patienter med diabetes eller hyperlipidæmi), og sådanne patienter forventes at drage fordel af mere aggressiv behandling til et lavere blodtryksmål.

Nogle antihypertensive lægemidler har mindre blodtrykseffekter (som monoterapi) hos sorte patienter og mange antihypertensive lægemidler har yderligere godkendte indikationer og virkninger (f.eks. På Angina hjertesvigt eller diabetisk nyresygdom). Disse overvejelser kan vejlede valg af terapi.

Azor kan også bruges som indledende terapi hos patienter, der sandsynligvis har brug for flere antihypertensive midler for at nå deres blodtryksmål.

Patienter med moderat eller alvorlig hypertension har relativt høj risiko for hjerte -kar -begivenheder (såsom slagtilfælde hjerteanfald og hjertesvigt) nyresvigt og synsproblemer, så hurtig behandling er klinisk relevant. Beslutningen om at bruge en kombination som indledende terapi bør individualiseres og bør formes af overvejelser som baseline blodtryk målmålet og den trinvise sandsynlighed for at nå mål med en kombination sammenlignet med monoterapi. Individuelle blodtryksmål kan variere baseret på patientens risiko.

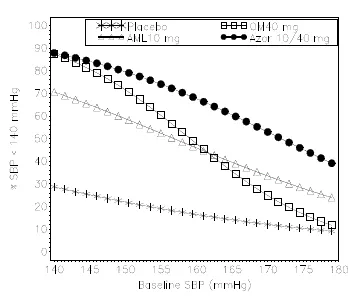
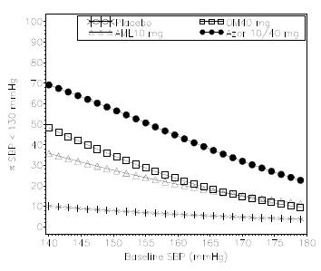
Data fra en 8-ugers placebokontrolleret parallel-gruppe Factorial Study [se Kliniske studier ] Giv estimater af sandsynligheden for at nå et blodtryksmål med Azor sammenlignet med amlodipin eller olmesartan medoxomil monoterapi. Figurerne nedenfor giver estimater af sandsynligheden for at nå de målrettede systoliske eller diastoliske blodtryksmål med Azor 10/40 mg sammenlignet med amlodipin eller olmesartan medoxomil monoterapi baseret på baseline systolisk eller diastolisk blodtryk. Kurven for hver behandlingsgruppe blev estimeret ved logistisk regressionsmodellering fra alle tilgængelige data fra denne behandlingsgruppe. Den højre hale på hver kurve er mindre pålidelig på grund af et lille antal individer med høje baseline blodtryk.

Figur 1: Sandsynlighed for at opnå systolisk blodtryk (SBP) <140 mmHg at Week 8 With LOCF

Probability of Achieving Systolic Blood Pressure (SBP)  < 140 mmHg at Week 8 With LOCF - Illustration

Figur 2: Sandsynlighed for at opnå diastolisk blodtryk (DBP) <90 mmHg at Week 8 With LOCF

Probability of Achieving Diastolic Blood Pressure (DBP)  < 90 mmHg at Week 8 With LOCF - Illustration

Figur 3: Sandsynlighed for at opnå systolisk blodtryk (SBP) <130 mmHg at Week 8 With LOCF

Probability of Achieving Systolic Blood Pressure (SBP)  < 130 mmHg at Week 8 With LOCF - Illustration

Figur 4: Sandsynlighed for at opnå diastolisk blodtryk (DBP) <80 mmHg at Week 8 With LOCF

Probability of Achieving Diastolic BloodPressure (DBP)  < 80 mmHg at Week 8 With LOCF - Illustration

Tallene ovenfor giver en tilnærmelse af sandsynligheden for at nå et målrettet blodtryksmål (f.eks. Uge 8 SBP <140 mmHg or <130 mmHg or a DBP <90 mmHg or <80 mmHg) for the high-dose treatment groups evaluated in the study. Azor 5/20 mg the lowest dose combination treatment group increases the probability of reaching blood pressure goal compared with the highest dose monotherapies amlodipine 10 mg og olmesartan medoxomil 40 mg.

For eksempel har en patient med et baseline blodtryk på 160/100 mmHg ca. 48% sandsynlighed for at nå et mål om <140 mmHg (systolic) og a 51% likelihood of achieving a goal of <90 mmHg (diastolic) on monotherapy with olmesartan medoxomil 40 mg og about a 46% likelihood of achieving a goal of <140 mmHg (systolic) og a 60% likelihood of achieving a goal of <90 mmHg (diastolic) on monotherapy with amlodipine 10 mg. The likelihood of achieving these same goals increases to 63% (systolic) og 71% (diastolic) on Azor 5/20 mg og to 68% (systolic) og 85% (diastolic) on Azor 10/40 mg.

Dosering til Azor

Generelle overvejelser

Bivirkningerne af olmesartan medoxomil er generelt sjældne og tilsyneladende uafhængige af dosis. De af amlodipin er generelt dosisafhængige (for det meste ødemer).

Maksimale antihypertensive effekter opnås inden for 2 uger efter en ændring i dosis.

Azor kan tages med eller uden mad.

Azor kan administreres med andre antihypertensive midler.

Dosering may be increased after 2 weeks. The maximum recommended dose of Azor is 10/40 mg.

Udskiftningsterapi

Azor kan erstattes med sine individuelt titrerede komponenter.

Ved erstatning for individuelle komponenter kan dosis af en eller begge komponenter øges, hvis blodtrykskontrol ikke har været tilfredsstillende.

Add-on terapi

Azor kan bruges til at tilvejebringe yderligere blodtrykssænkning for patienter, der ikke er tilstrækkeligt kontrolleret med amlodipin (eller en anden dihydropyridin -calciumkanalblokker) alene eller med Olmesartan medoxomil (eller en anden angiotensinreceptorblokering) alene.

Første terapi

Den sædvanlige startdosis af Azor er 5/20 mg en gang dagligt. Doseringen kan øges efter 1 til 2 ugers terapi til en maksimal dosis på en 10/40 mg tablet en gang dagligt efter behov for at kontrollere blodtrykket [se Kliniske studier ].

Indledende terapi med Azor anbefales ikke hos patienter ≥75 år gammel eller med nedsat leverfunktion [se ADVARSELS AND FORHOLDSREGLER og Brug i specifikke populationer ].

Hvor leveret

Dosering Forms And Strengths

Azor -tabletter er formuleret til oral administration i følgende styrke kombinationer:

5/20 5/40 10/20 10/40
Amlodipinækvivalent (MG) 5 5 10 10
Olmesartan Medoxomil (MG) 20 40 20 40

Opbevaring og håndtering

Azor -tabletter indeholder amlodipinbesylat ved en dosis svarende til 5 eller 10 mg amlodipin og olmesartan medoxomil i de nedenfor beskrevne styrker.

Azor -tabletter er differentieret efter tabletfarve/størrelse og er udslettet med en individuel produkttabletkode på den ene side. Azor -tabletter leveres til oral administration i følgende styrke- og pakkekonfigurationer:

Tabletstyrke (amlodipinækvivalent/ olmesartan medoxomil) mg Pakkekonfiguration NDC Produktkode Tabletfarve
5/20 mg Flaske på 30 65597-110-30 C73 Hvid
Flaske med 90 65597-110-90
10 blemmer på 10 65597-110-10
Flaske på 1000 65597-110-11
10/20 mg Flaske på 30 65597-111-30 C74 Grålig orange
Flaske med 90 65597-111-90
10 blemmer på 10 65597-111-10
Flaske på 1000 65597-111-11
5/40 mg Flaske på 30 65597-112-30 C75 Fløde
Flaske med 90 65597-112-90
10 blemmer på 10 65597-112-10
Flaske på 1000 65597-112-11
10/40 mg Flaske på 30 65597-113-30 C77 Brunlig rød
Flaske med 90 65597-113-90
10 blemmer på 10 65597-113-10
Flaske på 1000 65597-113-11

Opbevares ved 25 ° C (77 ° F); Udflugter tilladt til 15 ° C-30 ° C (59 ° F-86 ° F) [se USP-kontrolleret stuetemperatur].

Fremstillet af: Daiichi Sankyo Europe GmbH Tyskland. Revideret: Nov 2016

Bivirkninger for Azor

Kliniske forsøg oplever

Da kliniske undersøgelser udføres under vidt forskellige tilstande, kan bivirkningsrater observeret i de kliniske undersøgelser af et lægemiddel ikke sammenlignes direkte med hastigheder i de kliniske undersøgelser af et andet lægemiddel og muligvis ikke afspejler de satser, der er observeret i praksis.

Azor

Dataene beskrevet nedenfor afspejler eksponering for AZOR hos mere end 1600 patienter, herunder mere end 1000 eksponeret i mindst 6 måneder og mere end 700 udsat i 1 år. Azor blev undersøgt i en placebokontrolleret faktorforsøg (se Kliniske studier ). The population had a mean age of 54 years og included approximately 55% males. Seventy-one percent were Caucasian og 25% were Black. Patients received doses ranging from 5/20 mg to 10/40 mg orally once daily.

Den samlede forekomst af bivirkninger på terapi med Azor svarede til den, der blev set med tilsvarende doser af de individuelle komponenter i Azor og til placebo. De rapporterede bivirkninger blev generelt milde og førte sjældent til seponering af behandlingen (NULL,6% for Azor og 6,8% for placebo).

Ødemer

Ødemer is a known dose-dependent adverse effect of amlodipine but not of olmesartan medoxomil.

Den placebo-subtraherede forekomst af ødemer i den 8-ugers randomiserede dobbeltblinde behandlingsperiode var højest med amlodipin 10 mg monoterapi. Forekomsten blev signifikant reduceret, når 20 mg eller 40 mg olmesartan medoxomil blev tilsat til 10 mg amlodipin -dosis.

Placebo-subtraheret forekomst af ødemer i den dobbeltblinde behandlingsperiode

Olmesartan Medoxomil
Placebo 20 mg 40 mg
Amlodipin Placebo -* -2,4% 6,2%
5 mg 0,7% 5,7% 6,2%
10 mg 24,5% 13,3% 11,2%
*12,3% = faktisk placebo -forekomst

På tværs af alle behandlingsgrupper var hyppigheden af ​​ødemer generelt højere hos kvinder end mænd, som det er blevet observeret i tidligere undersøgelser af amlodipin.

Bivirkninger, der blev set i lavere hastigheder i den dobbeltblinde periode, forekom også hos de patienter, der blev behandlet med Azor på omtrent den samme eller større forekomst som hos patienter, der modtager placebo. Disse omfattede hypotension ortostatisk hypotension udslæt pruritus palpitation urinfrekvens og nocturia.

Den bivirkningsprofil opnået fra 44 uger med open-label-kombinationsterapi med amlodipin plus olmesartan medoxomil svarede til den, der blev observeret i den 8-ugers dobbeltblinde placebokontrollerede periode.

Første terapi

Analyse af de ovenfor beskrevne data specifikt til initial terapi blev det observeret, at højere doser af Azor forårsagede lidt mere hypotension og ortostatiske symptomer, men ikke ved den anbefalede startdosis af Azor 5/20 mg. Der blev ikke observeret nogen stigning i forekomsten af ​​synkope eller nær synkope. Forekomsterne af seponering på grund af eventuelle nye nye bivirkninger i den dobbelte blinde fase er sammenfattet i nedenstående tabel.

Seponering for enhver behandling af behandling 1

Olmesartan Medoxomil
Placebo 10 mg 20 mg 40 mg
Amlodipin Placebo 4,9% 4,3% 5,6% 3,1%
5 mg 3,7% 0,0% 1,2% 3,7%
10 mg 5,5% 6,8% 2,5% 5,6%
1 Hypertension tælles som behandlingssvigt og ikke som behandlings fremkommende bivirkning.
N = 160-163 Emner pr. Behandlingsgruppe.

Amlodipin

Amlodipin has been evaluated for safety in more than 11000 patients in U.S. og foreign clinical trials. Most adverse reactions reported during therapy with amlodipine were of mild or moderate severity. In controlled clinical trials directly comparing amlodipine (N=1730) in doses up to 10 mg to placebo (N=1250) discontinuation of amlodipine due to adverse reactions was required in only about 1.5% of amlodipinetreated patients og about 1% of placebo-treated patients. The most common side effects were headache og edema. The incidence (%) of dose-related side effects was as follows:

Bivirkning Placebo
N = 520
2,5 mg
N = 275
5,0 mg
N = 296
10,0 mg
N = 268
Ødemer 0.6 1.8 3.0 10.8
Svimmelhed 1.5 1.1 3.4 3.4
Skylning 0.0 0.7 1.4 2.6
Palpitation 0.6 0.7 1.4 4.5

For flere bivirkninger, der ser ud til at være lægemiddel- og dosisrelateret, var der en større forekomst hos kvinder end mænd, der er forbundet med amlodipinbehandling som vist i følgende tabel:

Bivirkning Placebo Amlodipin
Mand =%
(N = 914)
Kvinde =%
(N = 336)
Mand =%
(N = 1218)
Kvinde =%
(N = 512)
Ødemer 1.4 5.1 5.6 14.6
Skylning 0.3 0.9 1.5 4.5
Palpitation 0.9 0.9 1.4 3.3
Somnolence 0.8 0.3 1.3 1.6

Olmesartan Medoxomil

Olmesartan Medoxomil er blevet evalueret for sikkerhed hos mere end 3825 patienter/forsøgspersoner inklusive mere end 3275 patienter behandlet for hypertension i kontrollerede forsøg. Denne oplevelse omfattede ca. 900 patienter behandlet i mindst 6 måneder og mere end 525 behandlet i mindst 1 år. Behandling med olmesartan medoxomil tolereres godt med en forekomst af bivirkninger, der ligner den, der blev set med placebo. Begivenheder var generelt milde forbigående og uden forhold til dosis af Olmesartan medoxomil.

Den samlede hyppighed af bivirkninger var ikke dosisrelateret. Analyse af kønsalder- og racegrupper demonstrerede ingen forskelle mellem Olmesartan medoxomil- og placebo-behandlede patienter. Procenten af ​​tilbagetrækning på grund af bivirkninger i alle forsøg med hypertensive patienter var 2,4% (dvs. 79/3278) af patienter behandlet med Olmesartan medoxomil og 2,7% (dvs. 32/1179) af kontrolpatienter. I placebo-kontrollerede forsøg den eneste bivirkning, der forekom hos mere end 1% af patienterne, der blev behandlet med olmesartan medoxomil og ved en højere forekomst i Olmesartan medoxomil behandlede patienter vs. placebo var svimmelhed (3% mod 1%).

Oplevelse efter markedsføring

Følgende bivirkninger er blevet identificeret under anvendelse efter godkendelse af de individuelle komponenter i Azor. Fordi disse reaktioner rapporteres frivilligt fra en population af usikker størrelse, er det ikke altid muligt at pålideligt estimere deres frekvens eller etablere et årsagsforhold til eksponering for lægemidler.

Amlodipin

Følgende begivenhed efter markedsføring er rapporteret sjældent, hvor et årsagsforhold er usikkert: Gynecomastia. I efter-markedsføringserfaring er gulsot og leverenzymhøjder (for det meste i overensstemmelse med cholestase eller hepatitis) i nogle tilfælde, der er alvorlig nok til at kræve, at hospitalisering er rapporteret i forbindelse med anvendelse af amlodipin.

Olmesartan Medoxomil

Følgende bivirkninger er rapporteret i erfaring efter marketing:

Krop som helhed : Asthenia angioedema anafylaktiske reaktioner perifere ødemer

Gastrointestinal : Opkast diarré Sprue-lignende enteropati [se ADVARSELS AND FORHOLDSREGLER ]

Metaboliske og ernæringsmæssige lidelser : Hyperkalæmi

Muskuloskeletal : Rhabdomyolyse

Urogenitalt system : akut nyresvigt

Hud og vedhæng : alopecia kløe urticaria

Data fra et kontrolleret forsøg og en epidemiologisk undersøgelse har antydet, at højdosis OLMESARTAN kan øge cardiovaskulær (CV) risiko hos diabetespatienter, men de samlede data er ikke afgørende. Den randomiserede placebokontrollerede dobbeltblinde køreplan (randomiseret Olmesartan og diabetes mikroalbuminuriforebyggelsesforsøg N = 4447) undersøgte brugen af ​​OLMESARTAN 40 MG DAGLIG vs. Placebo hos patienter med type 2-diabetes mellitus Normoalbuminuria og mindst en yderligere risikofaktor til CV-sygdom. Forsøget opfyldte dets primære endepunkt forsinket begyndelse af mikroalbuminuri, men Olmesartan havde ingen fordelagtig virkning på nedgangen i glomerulær filtreringshastighed (GFR). Der var en konstatering af øget CV-dødelighed (bedømt pludselig hjertedød dødelig myokardieinfarkt dødeligt slagtilfælde revaskulariseringsdød) i Olmesartan-gruppen sammenlignet med placebogruppen (15 Olmesartan vs. 3 placebo HR 4,9 95% konfidensinterval [CI] 1,4 17) men risikoen for ikke-liggende myokardisk infaration var lavere med olmesartan (HR 0,64 95% 0,35 1,18).

Den epidemiologiske undersøgelse omfattede patienter 65 år og ældre med den samlede eksponering af> 300000 patientår. I undergruppen af ​​diabetespatienter, der fik højdosis OLMESARTAN (40 mg/d) i> 6 måneder, syntes der at være en øget risiko for død (HR 2,0 95% CI 1,1 3.8) sammenlignet med lignende patienter, der tog andre angiotensinreceptorblokkere. I modsætning hertil syntes brug af højdosis Olmesartan hos ikke-diabetiske patienter at være forbundet med en nedsat risiko for død (HR 0,46 95% Cl 0,24 0,86) sammenlignet med lignende patienter, der tog andre angiotensinreceptorblokkere. Der blev ikke observeret forskelle mellem de grupper, der fik lavere doser af Olmesartan sammenlignet med andre angiotensinblokkere eller dem, der modtog terapi for <6 months.

Generelt rejser disse data en bekymring for en mulig forøget CV-risiko forbundet med brugen af ​​højdosis olmesartan hos diabetespatienter. Der er dog bekymringer med troværdigheden af ​​konstateringen af ​​øget CV-risiko især observationen i den store epidemiologiske undersøgelse for en overlevelsesfordel hos ikke-diabetikere af en størrelse, der ligner den ugunstige konstatering hos diabetikere.

Lægemiddelinteraktioner for Azor

Lægemiddelinteraktioner With Azor

Farmakokinetikken af ​​amlodipin og olmesartan medoxomil ændres ikke, når lægemidlerne co-administreres.

Der er ikke udført nogen lægemiddelinteraktionsundersøgelser med Azor og andre lægemidler, selvom undersøgelser er blevet udført med de individuelle amlodipin- og olmesartan -medoxomilkomponenter i Azor som beskrevet nedenfor, og der er ikke observeret nogen signifikante lægemiddelinteraktioner.

Lægemiddelinteraktioner With Amlodipin

In vitro Data indikerer, at amlodipin ikke har nogen indflydelse på det humane plasmaproteinbinding af digoxin -phenytoin -krigsfarin og indomethacin.

Effekt af andre midler på amlodipin

Cimetidin : Co-administration af amlodipin med cimetidin ændrede ikke farmakokinetikken af ​​amlodipin.

Grapefrugtjuice : Medformainstration af 240 ml grapefrugtjuice med en enkelt oral dosis af amlodipin 10 mg hos 20 raske frivillige havde ingen signifikant effekt på farmakokinetikken af ​​amlodipin.

Maalox ® (antacid) : Maalox ® Med en enkelt dosis af amlodipin havde ingen signifikant effekt på farmakokinetikken af ​​amlodipin.

Sildenafil : En enkelt 100 mg dosis sildenafil hos personer med essentiel hypertension havde ingen indflydelse på de farmakokinetiske parametre for amlodipin. Når amlodipin og sildenafil blev anvendt i kombination, udøvede hvert middel uafhængigt sin egen blodtrykssænkningseffekt.

Effekt af amlodipin på andre midler

Atorvastatin : Co-administration af flere 10 mg doser af amlodipin med 80 mg atorvastatin resulterede ikke i nogen signifikant ændring i den stabile farmakokinetiske parametre for atorvastatin.

Digoxin : Samtidig administration af amlodipin med digoxin ændrede ikke serum-digoxinniveauer eller digoxinrenal clearance hos normale frivillige.

Ethanol (alkohol) : Enkelt og flere 10 mg doser af amlodipin havde ingen signifikant effekt på farmakokinetikken af ​​ethanol.

Warfarin : Samtidig administration af amlodipin med warfarin ændrede ikke warfarin-protrombin-responstiden.

Simvastatin : Co-administration af flere doser på 10 mg amlodipin med 80 mg simvastatin resulterede i en 77% stigning i eksponering for simvastatin sammenlignet med simvastatin alene. Begræns dosis af simvastatin hos patienter på amlodipin til 20 mg dagligt.

I kliniske forsøg er amlodipin sikkert blevet administreret med thiaziddiuretika betablokkere angiotensin-konverterende enzyminhibitorer langtidsvirkende nitrater sublingual nitroglycerin digoxin warfarin ikke-steroide antiinflammatoriske medikamenter antibiotika og orale hypoglycemiske lægemidler.

Lægemiddelinteraktioner With Olmesartan Medoxomil

Ikke-steroide antiinflammatoriske midler inklusive selektive cyclooxygenase-2-hæmmere (COX-2-hæmmere)

Hos patienter, der er ældre volumen-udtømt (inklusive dem på vanddrivende terapi) eller med kompromitteret co-administration af nyrefunktionen af ​​NSAID'er, herunder selektive COX-2-hæmmere med angiotensin II-receptorantagonister, herunder Olmesartan-medoxomil kan resultere i forringelse af nyrefunktion inklusive mulig akut nyresvigt. Disse effekter er normalt reversible. Overvåg nyrefunktion hos patienter, der modtager olmesartan medoxomil og NSAID -terapi.

Den antihypertensive virkning af angiotensin II-receptorantagonister inklusive olmesartan medoxomil kan blive svækket af NSAID'er, herunder selektive COX-2-hæmmere.

Der blev ikke rapporteret om signifikante lægemiddelinteraktioner i undersøgelser, hvor Olmesartan Medoxomil blev co-administreret med digoxin eller warfarin hos raske frivillige.

Biotilgængeligheden af ​​Olmesartan Medoxomil blev ikke signifikant ændret af samtidig administration af antacida [AL (OH) 3 /Mg (OH) 2 ].

Olmesartan medoxomil metaboliseres ikke af cytochrome P450 -systemet og har ingen effekter på P450 -enzymer; Således forventes interaktioner med lægemidler, der hæmmer inducer eller metaboliseres af disse enzymer, ikke.

Dual Blockade of the Renin-Angiotensin System (RAS)

Dobbeltblokade af Ras med angiotensinreceptorblokkere ACE -hæmmere eller aliskiren er forbundet med øgede risici for hypotension hyperkalæmi og ændringer i nyrefunktion (inklusive akut nyresvigt) sammenlignet med monoterapi. De fleste patienter, der får kombinationen af ​​to RAS -hæmmere, opnår ikke nogen yderligere fordel sammenlignet med monoterapi. Generelt undgå kombineret brug af RAS -hæmmere. Overvåg nøje blodtryks nyrefunktion og elektrolytter hos patienter på Azor og andre midler, der påvirker RAS.

Ikke co-administrator Aliskiren med Azor hos patienter med diabetes [se Kontraindikationer ]. Avoid use of aliskiren with Azor in patients with renal impairment (GFR <60 ml/min).

Brug med colesevelam hydrochlorid

Samtidig administration af galdesyre -sekvesteringsmiddel Colesevelam Hydrochloride reducerer den systemiske eksponering og den maksimale plasmakoncentration af Olmesartan. Administration af Olmesartan mindst 4 timer før colesevelam -hydrochlorid reducerede lægemiddelinteraktionseffekten. Overvej at administrere Olmesartan mindst 4 timer før colesevelam -hydrochloriddosis [se Klinisk farmakologi ].

Lithium

Der er rapporteret om stigninger i serumlithiumkoncentrationer og lithiumtoksicitet under samtidig administration af lithium med angiotensin II -receptorantagonister inklusive Azor. Overvåg serumlithiumniveauer under samtidig brug.

Advarsler for Azor

Inkluderet som en del af 'FORHOLDSREGLER' Afsnit

Forholdsregler for Azor

Føtal toksicitet

Graviditetskategori d

Brug af medikamenter, der virker på renin-angiotensinsystemet under den anden og tredje trimestere af graviditeten, reducerer føtal nyrefunktion og øger føtal og neonatal sygelighed og død. Den resulterende oligohydramnios kan være forbundet med føtal lungehypoplasi og skelet deformationer. Potentielle neonatale bivirkninger inkluderer kraniet hypoplasia anuria hypotension nyresvigt og død. Når graviditet opdages, skal du afbryde Azor så hurtigt som muligt [se Brug i specifikke populationer ].

Hypotension hos volumen- eller saltudtømmede patienter

Olmesartan Medoxomil

Symptomatisk hypotension kan forventes efter påbegyndelse af behandling med Olmesartan Medoxomil. Patienter med et aktivt renin-angiotensin-system, såsom volumen-og/eller saltudtømmede patienter (f.eks. De, der behandles med høje doser diuretika), kan være særlig sårbare. Initier behandling med Azor under tæt medicinsk tilsyn. Hvis hypotension forekommer, skal du placere patienten i liggende position og om nødvendigt give en intravenøs infusion af normal saltvand. En kortvarig hypotensiv respons er ikke en kontraindikation til yderligere behandling, som normalt kan fortsættes uden vanskeligheder, når blodtrykket er stabiliseret.

Vasodilation

Amlodipin

Da vasodilatationen, der kan henføres til amlodipin i Azor, er gradvis gradvis i begyndelse af akut hypotension er sjældent rapporteret efter oral administration. Ikke desto mindre skal du udøve forsigtighed som med enhver anden perifer vasodilator, når man administrerer Azor, især hos patienter med svær aortastenose.

Patienter med svær obstruktiv koronararteriesygdom

Patienter, især patienter med svær obstruktiv koronararteriesygdom, kan udvikle øget frekvensvarighed eller sværhedsgrad af angina eller akut myokardieinfarkt ved start af calciumkanalblokkerterapi eller på doseringstidspunktet. Mekanismen for denne effekt er ikke belyst.

Patienter med kongestiv hjertesvigt

Amlodipin

Amlodipin (5–10 mg per day) has been studied in a placebo-controlled trial of 1153 patients with NYHA Class III or IV heart failure on stable doses of ACE inhibitor digoxin og diuretics. Follow-up was at least 6 months with a mean of about 14 months. There was no overall adverse effect on survival or cardiac morbidity (as defined by life-threatening arrhythmia acute myocardial infarction or hospitalization for worsened heart failure). Amlodipin has been compared to placebo in four 8–12 week studies of patients with NYHA class II/III heart failure involving a total of 697 patients. In these studies there was no evidence of worsening of heart failure based on measures of exercise tolerance NYHA classification symptoms or LVEF.

Patienter med nedsat nyrefunktion

Azor

Der er ingen undersøgelser af AZOR hos patienter med nedsat nyrefunktion.

Olmesartan Medoxomil

Ændringer i nyrefunktion kan forventes hos modtagelige individer behandlet med olmesartan medoxomil som en konsekvens af at hæmme renin-angiotensin-aldosteron-systemet. Hos patienter, hvis nyrefunktion kan afhænge af aktiviteten af ​​renin-angiotensin-aldosteron-systemet (f.eks. Patienter med svær kongestiv hjertesvigt) behandling med angiotensin-konverterende enzyminhibitorer og angiotensinreceptorantagonister har været forbundet med oliguri eller progressiv azotemi og (sjældent) med akut nyresvigt og/eller død. Lignende effekter kan forekomme hos patienter, der er behandlet med Azor på grund af Olmesartan medoxomil -komponenten [se Lægemiddelinteraktioner og Klinisk farmakologi ].

I undersøgelser af ACE -hæmmere hos patienter med ensidig eller bilateral nyrearteriestenose er der rapporteret Der har ikke været nogen langvarig anvendelse af Olmesartan medoxomil hos patienter med ensidig eller bilateral nyrearteriestenose, men lignende effekter forventes med Olmesartan Medoxomil og Azor.

Patienter med nedsat leverfunktion

Amlodipin

Da amlodipin er omfattende metaboliseret af leveren og plasma eliminering halveringstid (T ½ ) er 56 timer hos patienter med alvorligt nedsat leverfunktionsøvelse FORSIGTIG FORSIGTIG, når man administrerer Azor til patienter med alvorlig levethed i leveren.

Patienter med nedsat leverfunktion har reduceret clearance af amlodipin. Start af amlodipin eller tilsætning af amlodipin ved 2,5 mg hos hepatisk nedsat patienter anbefales. Den laveste dosis af Azor er 5/20 mg; Derfor anbefales den indledende terapi med Azor ikke hos hepatisk nedsat patienter [se Brug i specifikke populationer ].

Sprue-lignende enteropati

Der er rapporteret om alvorlig kronisk diarré med betydeligt vægttab hos patienter, der tager olmesartan måneder til år efter medikamentinitiering. Intestinale biopsier af patienter demonstrerede ofte Villous atrofi. Hvis en patient udvikler disse symptomer under behandling med Olmesartan, udelukker andre etiologier. Overvej seponering af Azor i tilfælde, hvor ingen anden etiologi identificeres.

Elektrolytubalance

Azor contains olmesartan a drug that inhibits the renin-angiotensin system (RAS). Drugs that inhibit the RAS can cause Hyperkalæmi. Monitor serum electrolytes periodically.

Laboratorieundersøgelser

Azor

Der var et større fald i hæmoglobin og hæmatokrit i kombinationsproduktet sammenlignet med begge komponent. Andre laboratorieændringer kan normalt tilskrives enten monoterapikomponent.

Amlodipin

I efter-markedsføring af erfaring er hepatiske enzymforhøjelser rapporteret (6.2).

Olmesartan Medoxomil

I efter markedsføringsoplevelsen er der rapporteret om øget blodkreatininniveauer.

Ikke -klinisk toksikologi

Karcinogenese mutagenese nedskrivning af fertilitet

Amlodipin. Rats og mice treated with amlodipine maleate in the diet for up to two years at concentrations calculated to provide daily dosage levels of amlodipine 0.5 1.25 og 2,5 mg/kg/day showed no evidence of a carcinogenic effect of the drug. For the mouse the highest dose was on a mg/m 2 Basis svarer til den maksimale anbefalede humane dosis (MRHD) af amlodipin 10 mg/dag. For rotten var den højeste dosis på en mg/m 2 Basis omkring to og en halv gang MRHD. (Beregninger baseret på en 60 kg patient.)

Mutagenicitetsundersøgelser udført med amlodipin -maleat afslørede ingen lægemiddelrelaterede effekter ved hverken gen- eller kromosomniveauet.

Der var ingen indflydelse på fertiliteten af ​​rotter, der blev behandlet oralt med amlodipin maleat (hanner i 64 dage og kvinder i 14 dage før parring) ved doser af amlodipin op til 10 mg/kg/dag (ca. 10 gange MRHD på 10 mg/dag på en mg/m 2 basis).

Olmesartan Medoxomil

Olmesartan var ikke kræftfremkaldende, når den blev administreret af diætadministration til rotter i op til 2 år. Den højeste testede dosis (2000 mg/kg/dag) var på en mg/m 2 Basis ca. 480 gange den maksimale anbefalede humane dosis (MRHD) på 40 mg/dag. To carcinogenicitetsundersøgelser udført i mus en 6-måneders Gavage-undersøgelse i p53-knockout-musen og en 6-måneders diætadministration i HRAS2-transgen mus ved doser af op til 1000 mg/kg/dag (ca. 120 gange MRHD) afslørede ingen bevis for en carcinogen virkning af olmesartan. Både Olmesartan Medoxomil og Olmesartan testede negativt i In vitro Syrisk hamsterembryo -celletransformationsassay og viste ingen tegn på genetisk toksicitet i Ames (bakteriel mutagenicitet) -test. Imidlertid blev begge vist at inducere kromosomale afvigelser i dyrkede celler In vitro (Kinesisk hamster lunge) og testede positivt for thymidinkinase -mutationer i In vitro Muslymfomassay. Olmesartan medoxomil testede negativt forgæves Til mutationer i Mutamouse -tarmen og nyre og for clastogenicitet i knoglemarv (Micronucleus -test) ved orale doser på op til 2000 mg/kg (Olmesartan ikke testet).

Fertilitet af rotter blev ikke påvirket af administration af Olmesartan ved dosisniveauer så højt som 1000 mg/kg/dag (240 gange MRHD) i en undersøgelse, hvor dosering blev påbegyndt 2 (kvindelig) eller 9 (mandlige) uger før parring.

Brug i specifikke populationer

Graviditet

Graviditetskategori d

Brug af medikamenter, der virker på renin-angiotensinsystemet under den anden og tredje trimestere af graviditeten, reducerer føtal nyrefunktion og øger føtal og neonatal sygelighed og død. Den resulterende oligohydramnios kan være forbundet med føtal lungehypoplasi og skelet deformationer. Potentielle neonatale bivirkninger inkluderer kraniet hypoplasia anuria hypotension nyresvigt og død. Når graviditet opdages, skal du afbryde Azor så hurtigt som muligt. Disse bivirkninger er normalt forbundet med brug af disse lægemidler i andet og tredje trimester af graviditeten. De fleste epidemiologiske undersøgelser, der undersøger føtal abnormaliteter efter eksponering for antihypertensiv anvendelse i første trimester, har ikke adskilt lægemidler, der påvirker renin-angiotensinsystemet fra andre antihypertensive midler. Passende styring af moderens hypertension under graviditet er vigtig for at optimere resultaterne for både mor og foster.

I det usædvanlige tilfælde, at der ikke er noget passende alternativ til terapi med lægemidler, der påvirker renin-angiotensinsystemet for en bestemt patient, der anvender moren til den potentielle risiko for fosteret. Udfør seriel ultralydundersøgelser for at vurdere det intraamniotiske miljø. Hvis oligohydramnios observeres, skal du ophøre med Azor, medmindre det betragtes som livreddende for moderen. Føtaltestning kan være passende baseret på graviditetsugen. Patienter og læger skal dog være opmærksomme på, at oligohydramnios muligvis først vises efter, at fosteret har påført irreversibel skade. Observer spædbørn med historier om i utero Eksponering for Azor for hypotension oliguri og hyperkalæmi [se Brug i specifikke populationer ].

Olmesartan

Ingen teratogene virkninger blev observeret, da olmesartan medoxomil blev administreret til gravide rotter ved orale doser op til 1000 mg/kg/dag (240 gange den maksimale anbefalede humane dosis (MRHD) på en mg/m 2 basis) eller gravide kaniner ved orale doser op til 1 mg/kg/dag (halvdelen af ​​MRHD på en mg/m 2 basis; Højere doser kunne ikke evalueres for effekter på føtaludvikling, da de var dødelige for DOGE). Hos rotter blev der observeret signifikante fald i valpfødselsvægt og vægtøgning ved doser ≥1,6 mg/kg/dag og forsinkelser i udviklingsmilepæle (forsinket adskillelse af øre-aurikulært udbrud af lavere incisorer udseendet af abdominal hår nedstigning af test og adskillelse af øjenvæske) og dosisafhængige forøgelser i forekomsten af ​​udvidelse af den nøde Pelvis i dosen ≥ 8 MG/kg/kg. Den ingen observerede effektdosis til udviklingstoksicitet hos rotter er 0,3 mg/kg/dag ca. en tiendedel af MRHD på 40 mg/dag.

Amlodipin

Der blev ikke fundet noget bevis for teratogenicitet eller anden embryo/føtal toksicitet, da gravide rotter og kaniner blev behandlet oralt med amlodipin -maleat ved doser på op til 10 mg amlodipin/kg/dag (henholdsvis ca. 10 og 20 gange den maksimale anbefalede humane dosis på 10 mg amlodipin på en mg/m 2 basis) i deres respektive perioder med større organogenese. (Beregninger baseret på en patientvægt på 60 kg). Imidlertid blev kuldestørrelsen signifikant reduceret (med ca. 50%), og antallet af intrauterine dødsfald blev signifikant forøget (ca. 5 gange) hos rotter, der modtog amlodipin-maleat i en dosisækvivalent til 10 mg amlodipin/kg/dag i 14 dage før parring og gennem parring og drejse. Amlodipin -maleat har vist sig at forlænge både svangerskabsperioden og varigheden af ​​arbejdskraft hos rotter i denne dosis. Der er ingen tilstrækkelige og godt kontrollerede studier hos gravide kvinder. Amlodipin bør kun bruges under graviditet, hvis den potentielle fordel retfærdiggør den potentielle risiko for fosteret.

Sygeplejerske mødre

Det vides ikke, om amlodipin- eller olmesartan -medoxomilkomponenterne i Azor udskilles i human mælk, men Olmesartan udskilles ved lav koncentration i mælken fra ammende rotter. På grund af potentialet for bivirkninger på sygeplejerskonden bør der træffes en beslutning om at afbryde sygepleje eller afbryde lægemidlet under hensyntagen til stoffets betydning for moderen.

Pædiatrisk brug

Nyfødte med en historie med utero -eksponering for Azor

Hvis oliguri eller hypotension forekommer direkte opmærksomhed mod støtte til blodtryk og renal perfusion. Udvekslingstransfusioner eller dialyse kan være påkrævet som et middel til at vende hypotension og/eller erstatte med forstyrret nyrefunktion.

Sikkerheden og effektiviteten af ​​AZOR hos pædiatriske patienter er ikke blevet fastlagt.

Amlodipin

Effekten af ​​amlodipin på blodtrykket hos patienter, der er under 6 år gammel, vides ikke.

Olmesartan medoxomil

Sikkerhed og effektivitet af olmesartan medoxomil hos pædiatriske patienter er ikke blevet fastlagt.

Geriatrisk brug

Af det samlede antal forsøgspersoner i den dobbeltblinde kliniske undersøgelse af Azor 20% (384/1940) var 65 år eller ældre og 3% (62/1940) var 75 år eller ældre. Der blev ikke observeret nogen samlede forskelle i sikkerhed eller effektivitet mellem personer 65 år eller ældre og yngre emner.

Ældre patienter har reduceret clearance af amlodipin. Start af amlodipin eller tilsætning af amlodipin ved 2,5 mg hos patienter ≥75 år anbefales. Den laveste dosis af Azor er 5/20 mg; Derfor anbefales den første terapi med Azor ikke hos patienter ≥75 år gammel.

Amlodipin

Rapporteret klinisk erfaring har ikke identificeret forskelle i responser mellem de ældre og yngre patienter. Generelt skal valg af dosis for en ældre patient være forsigtig, der normalt starter ved den lave ende af doseringsområdet, der afspejler den større hyppighed af nedsat leverrenal eller hjertefunktion og af samtidig sygdom eller anden lægemiddelterapi. Ældre patienter har reduceret clearance af amlodipin med en resulterende stigning i AUC på ca. 40% til 60%, og en lavere indledende dosis kan være påkrævet.

Olmesartan Medoxomil

Af det samlede antal hypertensive patienter, der modtog olmesartan medoxomil i kliniske studier, var mere end 20% 65 år og derover, mens mere end 5% var 75 år og ældre. Der blev ikke observeret nogen samlede forskelle i effektivitet eller sikkerhed mellem ældre patienter og yngre patienter. Andre rapporterede kliniske erfaringer har ikke identificeret forskelle i responser mellem de ældre og yngre patienter, men større følsomhed for nogle ældre personer kan ikke udelukkes.

Leverskrivning i leveren

Der er ingen undersøgelser af AZOR hos patienter med leverinsufficiens, men både amlodipin og olmesartan medoxomil viser moderate stigninger i eksponering hos patienter med leverfunktion. Brug forsigtighed, når man administrerer Azor til patienter med alvorlig nedskrivning i leveren.

Patienter med nedsat leverfunktion har reduceret clearance af amlodipin. Start af amlodipin eller tilsætning af amlodipin ved 2,5 mg hos patienter med leverfunktion anbefales. Den laveste dosis af Azor er 5/20 mg; Derfor anbefales den indledende terapi med AZOR ikke hos hepatisk nedsat patienter.

hostel split kroatien

Nedskærmning af nyren

Der er ingen undersøgelser af AZOR hos patienter med nedsat nyrefunktion.

Amlodipin

Farmakokinetikken af ​​amlodipin er ikke signifikant påvirket af nedsat nyrefunktion. Patienter med nyresvigt kan derfor modtage den sædvanlige indledende dosis.

Olmesartan Medoxomil

Patienter med nyreinsufficiens har forhøjede serumkoncentrationer af Olmesartan sammenlignet med patienter med normal nyrefunktion. Efter gentagen dosering blev AUC tilnærmelsesvis tredoblet hos patienter med alvorlig nedsat nyrefunktion (creatinine clearance <20 mL/min). No initial dosage adjustment is recommended for patients with moderate to marked renal impairment (creatinine clearance <40 mL/min).

Sorte patienter

Af det samlede antal forsøgspersoner i den dobbeltblinde kliniske undersøgelse af Azor 25% (481/1940) var sorte patienter. Azor var effektiv til behandling af sorte patienter (normalt en lav-reninpopulation), og størrelsen af ​​blodtryksreduktion hos sorte patienter nærmet sig, der observerede for ikke-sorte patienter.

Overdoseringsoplysninger til Azor

Der er ingen oplysninger om overdosering med Azor hos mennesker.

Amlodipin

Enkelt orale doser af amlodipin maleat svarende til 40 mg amlodipin/kg og 100 mg amlodipin/kg hos mus og rotter forårsagede dødsfald. Enkelt oral amlodipin maleatdoser svarende til 4 eller flere mg amlodipin/kg eller højere hos hunde (11 eller flere gange den maksimale anbefalede humane dosis på en mg/m 2 basis) forårsagede en markant perifer vasodilatation og hypotension.

Overdosering kan forventes at forårsage overdreven perifer vasodilatation med markant hypotension og muligvis en refleks takykardi. Hos mennesker er erfaring med forsætlig overdosering af amlodipin begrænset.

Hvis massiv overdosis skal forekomme aktiv hjerte- og respiratorisk overvågning skal indføres. Hyppige blodtryksmålinger er vigtige. Hvis hypotension forekommer kardiovaskulær støtte, herunder forhøjelse af ekstremiteterne og den fornuftige administration af væsker, skal påbegyndes. Hvis hypotension forbliver ikke reagerer på disse konservative foranstaltninger, skal administration af vasopressorer (såsom phenylephrin) overvejes med opmærksomhed på cirkulerende volumen og urinudgang. Intravenøs calciumgluconat kan hjælpe med at vende virkningerne af calciumindgangsblokade. Da amlodipin er meget proteinbundet hæmodialyse er sandsynligvis ikke til fordel.

Olmesartan medoxomil. Limited data are available related to overdosage in humans. The most likely manifestations of overdosage would be hypotension og tachycardia; bradycardia could be encountered if parasympathetic (vagal) stimulation occurs. If symptomatic hypotension should occur supportive treatment should be initiated. The dialyzability of olmesartan is unknown.

Kontraindikationer for Azor

Ikke co-administrator Aliskiren med Azor hos patienter med diabetes [se Lægemiddelinteraktioner ].

Klinisk farmakologi for Azor

Handlingsmekanisme

Azor

Azor is a combination of two antihypertensive drugs: a dihydropyridine calcium antagonist (calcium ion antagonist or slow-channel blocker) amlodipine besylate og an angiotensin II receptor blocker olmesartan medoxomil. The amlodipine component of Azor inhibits the transmembrane influx of calcium ions into vascular smooth muscle og cardiac muscle og the olmesartan medoxomil component of Azor blocks the vasoconstrictor effects of angiotensin II.

Amlodipin

Eksperimentelle data antyder, at amlodipin binder til både dihydropyridin og ikke -hydropyridinbindingssteder. De kontraktile processer med hjertemuskel og vaskulær glat muskel afhænger af bevægelsen af ​​ekstracellulære calciumioner i disse celler gennem specifikke ionkanaler. Amlodipin inhiberer calciumion -tilstrømning på tværs af cellemembraner selektivt med en større effekt på vaskulære glatte muskelceller end på hjertemuskelceller. Negative inotropiske effekter kan påvises In vitro Men sådanne effekter er ikke set hos intakte dyr i terapeutiske doser. Serumkalciumkoncentration påvirkes ikke af amlodipin. Inden for den fysiologiske pH -interval er amlodipin en ioniseret forbindelse (PKA = 8,6), og dens kinetiske interaktion med calciumkanalens receptor er kendetegnet ved en gradvis hastighed for tilknytning og dissociation med receptorbindingsstedet, hvilket resulterer i en gradvis begyndelsesindtræden.

Amlodipin is a peripheral arterial vasodilator that acts directly on vascular smooth muscle to cause a reduction in peripheral vascular resistance og reduction in blood pressure.

Olmesartan Medoxomil

Angiotensin II er dannet af angiotensin I i en reaktion, der er katalyseret af angiotensin -konvertering af enzym (Ace Kininase II). Angiotensin II er den vigtigste pressoragent for renin-angiotensinsystemet med effekter, der inkluderer vasokonstriktionsstimulering af syntese og frigivelse af aldosteron hjerte-stimulering og nyreabsorption af natrium. Olmesartan blokerer vasokonstriktoreffekterne af angiotensin II ved selektivt at blokere bindingen af ​​angiotensin II til AT1 -receptoren i vaskulær glat muskel. Dens handling er derfor uafhængig af stierne for angiotensin II -syntese.

En AT2 -receptor findes også i mange væv, men denne receptor er ikke kendt for at være forbundet med hjerte -kar -homeostase. Olmesartan har mere end en 12500 gange større affinitet for AT1-receptoren end for AT2-receptoren.

Blokade af renin-angiotensinsystemet med ACE-hæmmere, der hæmmer biosyntesen af ​​angiotensin II fra angiotensin I, er en mekanisme for mange lægemidler, der bruges til behandling af hypertension. ACE -hæmmere hæmmer også nedbrydningen af ​​bradykinin A -reaktion katalyseret af ACE. Fordi Olmesartan ikke hæmmer ACE (kininase II), påvirker det ikke responsen på bradykinin. Hvorvidt denne forskel har klinisk relevans er endnu ikke kendt.

Blokade af angiotensin II -receptoren hæmmer den negative regulatoriske feedback af angiotensin II på reninsekretion, men den resulterende forøgede plasma -reninaktivitet og cirkulerende angiotensin II -niveauer overvinder ikke virkningen af ​​olmesartan på blodtrykket.

Farmakodynamik

Amlodipin

Efter administration af terapeutiske doser til patienter med hypertension amlodipin producerer vasodilatation, hvilket resulterer i en reduktion af liggende og stående blodtryk. Disse fald i blodtrykket ledsages ikke af en signifikant ændring i hjerterytme eller plasma -katekolaminniveauer med kronisk dosering.

Med kronisk en gang daglig oral indgivelse opretholdes antihypertensiv effektivitet i mindst 24 timer. Plasmakoncentrationer korrelerer med virkning hos både unge og ældre patienter. Størrelsen af ​​reduktion i blodtrykket med amlodipin er også korreleret med højden af ​​forbehandlingshøjde; Således havde personer med moderat hypertension (diastolisk tryk 105-114 mmHg) ca. 50% større respons end patienter med mild hypertension (diastolisk tryk 90-104 mmHg). Normotensive forsøgspersoner oplevede ingen klinisk signifikant ændring i blodtryk (1/-2 mmHg).

Hos hypertensive patienter med normal nyrefunktion resulterede terapeutiske doser af amlodipin i et fald i nyrevaskulær resistens og en stigning i glomerulær filtreringshastighed og effektiv nyreplasmastrøm uden ændring i filtreringsfraktion eller proteinuri.

Som med andre calciumkanalblokkere hæmodynamiske målinger af hjertefunktion i hvile og under træning (eller tempo) hos patienter med normal ventrikulær funktion behandlet med amlodipin har generelt vist en lille stigning i hjerteindeks uden signifikant indflydelse på DP/DT eller på venstre ventrikulært diastolisk tryk eller volumen. I hæmodynamiske undersøgelser har amlodipin ikke været forbundet med en negativ inotropisk virkning, når det administreres i det terapeutiske dosisområde til intakte dyr og mand, selv når den blev administreret med betablokkere til mennesket. Lignende fund er imidlertid blevet observeret hos normaler eller velkompenserede patienter med hjertesvigt med midler, der har betydelige negative inotrope virkninger.

Amlodipin does not change sinoatrial nodal function or atrioventricular conduction in intact animals or man. In clinical studies in which amlodipine was administered in combination with beta-blockers to patients with either hypertension or angina no adverse effects on electrocardiographic parameters were observed.

Olmesartan Medoxomil

Olmesartan medoxomil -doser på 2,5 mg til 40 mg hæmmer pressoreffekterne af angiotensin I -infusion. Varigheden af ​​den inhiberende virkning var relateret til dosis med doser af olmesartan medoxomil> 40 mg give> 90% inhibering efter 24 timer.

Plasmakoncentrationer af angiotensin I og angiotensin II og plasma reninaktivitet (PRA) stiger efter enkelt og gentagen administration af olmesartan medoxomil til raske forsøgspersoner og hypertensive patienter. Gentagen administration af op til 80 mg olmesartan medoxomil havde minimal indflydelse på aldosteronniveauer og ingen effekt på serumkalium.

Farmakokinetik

Farmakokinetikken af ​​amlodipin og olmesartan medoxomil fra Azor svarer til farmakokinetikken af ​​amlodipin og olmesartan medoxomil, når de administreres separat. Biotilgængeligheden af ​​begge komponenter er godt under 100%, men ingen af ​​komponenten påvirkes af mad. De effektive halveringstider af amlodipin (45 ± 11 timer) og Olmesartan (7 ± 1 timer) resulterer i en 2- til 3-fold akkumulering for amlodipin og ubetydelig ophobning for Olmesartan med en gang daglig dosering.

Amlodipin

Efter oral administration af terapeutiske doser af amlodipinabsorption producerer maksimale plasmakoncentrationer mellem 6 og 12 timer. Absolut biotilgængelighed estimeres som mellem 64% og 90%.

Olmesartan Medoxomil

Olmesartan medoxomil is rapidly og completely bioactivated by ester hydrolysis to olmesartan during absorption from the gastrointestinal tract. The absolute bioavailability of olmesartan medoxomil is approximately 26%. After oral administration the peak plasma concentration (Cmax) of olmesartan is reached after 1 to 2 hours. Food does not affect the bioavailability of olmesartan medoxomil.

Fordeling

Amlodipin

Ex Living Undersøgelser har vist, at ca. 93% af det cirkulerende lægemiddel er bundet til plasmaproteiner hos hypertensive patienter. Plasmaniveauer af steady-state af amlodipin nås efter 7 til 8 dages efterfølgende daglig dosering.

Olmesartan medoxomil

Mængden af ​​distribution af olmesartan er ca. 17 L. olmesartan er meget bundet til plasmaproteiner (99%) og trænger ikke ind i røde blodlegemer. Proteinbindingen er konstant ved plasma -olmesartan -koncentrationer godt over det interval, der opnås med anbefalede doser.

Hos rotter krydsede Olmesartan blod-hjerne-barrieren dårligt, hvis overhovedet. Olmesartan passerede over placentabarrieren hos rotter og blev distribueret til fosteret. Olmesartan blev distribueret til mælk ved lave niveauer i rotter.

Metabolisme og udskillelse

Amlodipin

Amlodipin is extensively (about 90%) converted to inactive metabolites via hepatic metabolism. Elimination from the plasma is biphasic with a terminal elimination half-life of about 30 to 50 hours. Ten percent of the parent compound og 60% of the metabolites are excreted in the urine.

Olmesartan medoxomil

Efter den hurtige og komplette konvertering af Olmesartan medoxomil til Olmesartan under absorption er der næsten ingen yderligere metabolisme af Olmesartan. Den samlede plasmaklarering af Olmesartan er 1,3 l/h med en renal clearance på 0,6 l/h. Cirka 35% til 50% af den absorberede dosis udvindes i urin, mens resten fjernes i fæces via galden.

Olmesartan appears to be eliminated in a biphasic manner with a terminal elimination half-life of approximately 13 hours. Olmesartan shows linear pharmacokinetics following single oral doses of up to 320 mg og multiple oral doses of up to 80 mg. Steady-state levels of olmesartan are achieved within 3 to 5 days og no accumulation in plasma occurs with once-daily dosing.

Geriatrisk

De farmakokinetiske egenskaber hos Azor hos ældre ligner dem for de individuelle komponenter.

Amlodipin

Ældre patienter har reduceret clearance af amlodipin med en resulterende stigning i AUC på ca. 40% til 60%, og en lavere indledende dosis kan være påkrævet.

Olmesartan medoxomil

Farmakokinetikken af ​​Olmesartan Medoxomil blev undersøgt hos ældre (≥65 år). De samlede maksimale plasmakoncentrationer af Olmesartan var ens hos unge voksne og ældre. Modest ophobning af Olmesartan blev observeret hos ældre med gentagen dosering; AUCSS τ var 33% højere hos ældre patienter svarende til en omtrentlig 30% reduktion i CL R .

Pædiatrisk

Amlodipin

62 hypertensive patienter i alderen 6 til 17 år modtog doser af amlodipin mellem 1,25 mg og 20 mg. Vægtjusteret godkendelse og distributionsvolumen svarede til værdier hos voksne.

Olmesartan medoxomil

Farmakokinetikken af ​​olmesartan medoxomil er ikke undersøgt hos patienter <18 years of age.

Køn

Population farmakokinetisk analyse indikerede, at kvindelige patienter havde ca. 15% mindre godkendelser af Olmesartan end mandlige patienter. Køn havde ingen indflydelse på clearance af amlodipin.

Olmesartan medoxomil

Mindre forskelle blev observeret i farmakokinetikken af ​​Olmesartan medoxomil hos kvinder sammenlignet med mænd. AUC og Cmax var 10% til 15% højere hos kvinder end hos mænd.

Nyreinsufficiens

Amlodipin

Farmakokinetikken af ​​amlodipin er ikke signifikant påvirket af nedsat nyrefunktion. Patienter med nyresvigt kan derfor modtage den sædvanlige indledende dosis.

Olmesartan medoxomil

Hos patienter med nyreinsufficiens -serumkoncentrationer af Olmesartan blev forhøjet sammenlignet med forsøgspersoner med normal nyrefunktion. Efter gentagen dosering blev AUC tilnærmelsesvis tredoblet hos patienter med alvorlig nyring <20 mL/min). The pharmacokinetics of olmesartan medoxomil in patients undergoing hemodialysis has not been studied. No initial dosage adjustment is recommended for patients with moderate to marked renal impairment (creatinine clearance <40 mL/min).

Leverinsufficiens

Amlodipin

Patienter med leverinsufficiens har reduceret clearance af amlodipin med en resulterende stigning i AUC på ca. 40% til 60%.

Olmesartan medoxomil

Stigninger i AUC0-∞ og CMAX blev observeret hos patienter med moderat leverfunktion sammenlignet med dem i matchede kontroller med en stigning i AUC på ca. 60%.

Hjertesvigt

Amlodipin

Patienter med hjertesvigt har reduceret clearance af amlodipin med en resulterende stigning i AUC på ca. 40% til 60%.

Hvad er neem te godt til

Lægemiddelinteraktion

Galdesyre -sekvesteringsmiddel Colesevelam.

Samtidig administration af 40 mg olmesartan medoxomil og 3750 mg colesevelam -hydrochlorid hos raske forsøgspersoner resulterede i 28% reduktion i Cmax og 39% reduktion i AUC af Olmesartan. Mindre effekter 4% og 15% reduktion i henholdsvis Cmax og AUC blev observeret, da Olmesartan Medoxomil blev administreret 4 timer før Colesevelam -hydrochlorid [Se Lægemiddelinteraktioner ].

Kliniske studier

Azor

En 8-ugers multicenter randomiseret dobbeltblind placebo-kontrolleret parallel gruppefaktorialundersøgelse hos patienter med mild til svær hypertension blev udført for at bestemme, om behandling med AZOR var forbundet med klinisk signifikant reduktion i blodtrykket sammenlignet med de respektive monoterapier. Undersøgelsen randomiserede 1940 -patienter lige til en af ​​de følgende 12 behandlingsarme: placebo monoterapi -behandling med amlodipin 5 mg eller 10 mg monoterapi -behandling med olmesartan medoxomil 10 mg 20 mg eller 40 mg eller kombinationsterapi med amlodipin/olmesartan medoxomil i doser på 5/10 mg 5/20 mg 5/40 mg 10/10 mg 10/20 mg og 10/20 mg og 10/20 mg og 10/4000 mg og 10/4000 mg og 10/4000 mg og 10/40000 mg og 10/20 mg and1000000 mg and 10/4000 mg and 10/4000 mg and 10/400 mg and 10/40 mg og 10/20 mg og 10/40 mg 10/20 mg og 10/20 mg 10/20 mg. mg. Patienter afbrød deres tidligere antihypertensive behandling. Det gennemsnitlige baseline -blodtryk for undersøgelsespopulationen var 164/102 mmHg. Af den samlede kohort blev 970 patienter behandlet med kombinationen som initial terapi.

Behandling med Azor resulterede i statistisk signifikante større reduktioner i diastolisk og systolisk blodtryk sammenlignet med de respektive monoterapikomponenter.

Følgende tabel viser resultaterne for gennemsnitlig reduktion i siddende systolisk og diastolisk blodtryk efter 8 ugers behandling med Azor. Placebo-justerede reduktioner fra baseline i blodtrykket var gradvist større med stigninger i dosis af både amlodipin og olmesartan medoxomilkomponenter i Azor.

Reduktion i siddende systolisk/diastolisk blodtryk (MMHG): Kombinationsterapi vs. monoterapikomponenter (dobbeltblind behandlingsperiode)

Olmesartan medoxomil
(MMHG) Placebo 10 mg 20 mg 40 mg
A
m
l
o
d
i
p
i
n
e
Placebo Gennemsnitlig ændring -5/-3 -12/-8 -14/-9 -16/-10
Placebo-Adjusted Gennemsnitlig ændring - -8/-5 -10/-6 -13/-7
5 mg Gennemsnitlig ændring -15/-9 -24/-14 -24/-14 -25/-16
Placebo-Adjusted Gennemsnitlig ændring -12/-7 -20/-11 -20/-11 -22/-13
10 mg Gennemsnitlig ændring -20/-13 -25/-16 -29/-17 -30/-19
Placebo-Adjusted Gennemsnitlig ændring -16/-10 -22/-13 -25/-14 -26/-16

Den antihypertensive virkning af Azor var ens hos patienter med og uden forudgående antihypertensiv medicinanvendelse hos patienter med og uden diabetes hos patienter ≥65 år og alder og <65 years of age og in women og men. Limited data exist in patients ≥75 years of age.

Azor was effective in treating black patients (usually a low-renin population) og the magnitude of blood pressure reduction in black patients approached that observed for non-Black patients. This effect in black patients has been seen with ACE inhibitors angiotensin receptor blockers og beta-blockers.

Blodtrykssænkningseffekten blev opretholdt i hele 24-timers periode med Azor en gang dagligt med trug-til-peak-forhold for systolisk og diastolisk respons mellem 71% og 82%.

Efter afslutningen af ​​den 8-ugers dobbeltblinde placebokontrollerede undersøgelse 1684 gik patienter ind i en 44-ugers open-label-udvidelse og modtog kombinationsterapi med amlodipin 5 mg plus olmesartan medoxomil 40 mg. Under den åbne udvidelsesforlængelse, hvis blodtryk ikke var tilstrækkeligt kontrolleret (dvs. ikke opnåede et blodtryksmål for <140/90 mmHg or <130/80 mmHg for those patients with diabetes) on amlodipine/olmesartan medoxomil 5/40 mg were titrated to amlodipine /olmesartan medoxomil 10/40 mg. Patients whose blood pressure was still not adequately controlled were offered additional hydrochlorothiazide 12,5 mg og subsequently 25 mg as required to achieve adequate blood pressure goal.

Der er ingen forsøg med Azor, der demonstrerer reduktioner i hjerte -kar -risiko hos patienter med hypertension, men mindst et farmakologisk lignende lægemiddel har vist sådanne fordele.

Amlodipin

Den antihypertensive effektivitet af amlodipin er blevet påvist i i alt 15 dobbeltblind placebokontrollerede randomiserede undersøgelser, der involverede 800 patienter på amlodipin og 538 på placebo. En gang den daglige administration producerede statistisk signifikante placebokorrigerede reduktioner i liggende og stående blodtryk ved 24 timer efter dosis i gennemsnit ca. 12/6 mmHg i stående position og 13/7 mmHg i rygsøjlen hos patienter med mild til moderat hypertension. Vedligeholdelse af blodtrykseffekten i forhold til doseringsintervallet 24-timer blev observeret med lille forskel i spids- og trugeteffekt.

Olmesartan Medoxomil

De antihypertensive virkninger af olmesartan medoxomil er blevet påvist i syv placebokontrollerede undersøgelser ved doser, der spænder fra 2,5 mg til 80 mg i 6 til 12 uger, der hver viser statistisk signifikante reduktioner i top og gennem blodtrykket. I alt 2693 patienter (2145 Olmesartan medoxomil; 548 placebo) med essentiel hypertension blev undersøgt. Blodtrykssænkningseffekten blev opretholdt i hele 24-timers periode med Olmesartan medoxomil en gang dagligt med trug-til-peak-forhold for systolisk og diastolisk respons mellem 60% og 80%.

Patientinformation til Azor

Graviditet

Kvindelige patienter i den fødedygtige alder skal fortælles om konsekvenserne af eksponering for Azor under graviditet. Diskuter behandlingsmuligheder med kvinder, der planlægger at blive gravide. Patienter skal blive bedt om at rapportere graviditeter til deres læger så hurtigt som muligt.