Oplysningerne På Webstedet Er Ikke Medicinsk Rådgivning. Vi Sælger Ikke Noget. Nøjagtigheden Af ​​Oversættelsen Er Ikke Garanteret. Ansvarsfraskrivelse



Azurette

Resume af lægemiddeloversigt

Hvad er Azurette?

Azurette (desogestrel/ethinyl østradiol og ethinyl østradiol -kit) er et kombineret oral prævention (COC) indikeret til forebyggelse af graviditet hos kvinder, der vælger at bruge dette produkt som en metode til prævention.

Hvad er de mulige bivirkninger af Azurette?

Azurette kan forårsage alvorlige bivirkninger, herunder:



  • kvalme
  • opkast
  • Gastrointestinale symptomer (såsom abdominale kramper og oppustethed)
  • gennembrud blødning
  • Spotting
  • Ændring i menstruationsstrøm
  • Ubesvarede menstruationsperioder
  • Midlertidig infertilitet efter ophør af behandlingen
  • Fluid Retention (ødemer)
  • mørke pletter på hud/fregner (Melasma), der kan vedvare
  • bryst ændrer ømhed og udvidelse
  • brystvorten sekretion
  • Ændring i vægt
  • Ændring i vaginal udflod
  • formindsket amning, når det gives straks efter fødslen
  • Kolestatisk gulsot
  • migræne
  • udslæt (allergisk)
  • depression
  • Nedsat tolerance over for kulhydrater
  • Vaginal gærinfektion
  • Ændring i hornhindekurvatur (steepening) og
  • intolerance over for kontaktlinser

Søg medicinsk behandling eller ring 911 på én gang, hvis du har følgende alvorlige bivirkninger:



  • Alvorlige øjensymptomer såsom pludseligt synstab sløret synet tunnel vision øje smerter eller hævelse eller at se haloer omkring lys;
  • Alvorlige hjertesymptomer såsom hurtig uregelmæssige eller bankende hjerteslag; flagrende i brystet; åndenød; og pludselig svimmelhed lethed eller udlevering;
  • Alvorlig hovedpine forvirring sløret talearm eller ben svaghed problemer med at gå tab af koordination føles ustabil meget stive muskler høj feber voldsom sved eller rysten.

Dette dokument indeholder ikke alle mulige bivirkninger, og andre kan forekomme. Kontakt din læge for yderligere oplysninger om bivirkninger.

Dosering til azurette

Dosis af azurettabletter tages uden afbrydelse som følger: en hvid tablet dagligt i 21 dage en lysgrøn (inert) tablet dagligt i 2 dage efterfulgt af 1 lysblå (ethinyl østradiol) tablet dagligt i 5 dage. For alle efterfølgende cykler begynder patienten og begynder derefter en ny 28 tabletregime den næste dag efter at have taget den sidste lysblå tablet.



Azurette hos børn

Sikkerhed og effektivitet af azurettabletter er blevet fastlagt hos kvinder i reproduktiv alder. Sikkerhed og effektivitet forventes at være den samme for udsatte unge under 16 år og for brugere 16 år og ældre. Brug af dette produkt før menarche er ikke indikeret.

Hvilke stoffer stoffer eller kosttilskud interagerer med azurette?

Azurette kan interagere med andre medicin såsom:

  • Rifampin
  • Barbiturates
  • phenylbutazon
  • Phenytoin natrium
  • Carbamazepin
  • Griseofulvin
  • ampicillin
  • tetracyclin antibiotika
  • lamotrigin og
  • HCV -lægemiddelkombinationer, der indeholder ombitasvir/paritaprevir/ritonavir med eller uden dasabuvir

Fortæl din læge alle medicin og kosttilskud, du bruger.

Azurette under graviditet og amning

Azurette er beregnet til at forhindre graviditet og bør ikke bruges hos kvinder med kendt eller mistænkt graviditet. Der er identificeret små mængder orale præventionssteroider i mælken fra sygeplejemødre, og der er rapporteret om et par bivirkninger på barnet, herunder gulsot og brystforstørrelse. Orale prævention, der er angivet i postpartumperioden, kan forstyrre amning ved at reducere mængden og kvaliteten af ​​modermælken. Amningsmødre skal rådes til ikke at bruge orale prævention og til at bruge andre former for prævention, indtil de har fravænket deres børn fuldstændigt.

Yderligere oplysninger

Vores Azurette (Desogestrel/Ethinyl Estradiol og Ethinyl Estradiol Kit) bivirkninger Drug Center giver et omfattende overblik over tilgængelige lægemiddelinformation om de potentielle bivirkninger, når du tager denne medicin.

Dette er ikke en komplet liste over bivirkninger, og andre kan forekomme. Ring til din læge for medicinsk rådgivning om bivirkninger. Du kan rapportere bivirkninger til FDA på 1-800-FDA-1088.

FDA -lægemiddelinformation

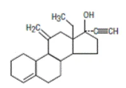
Beskrivelse af Azurette

Azurette ® (desogestrel/ethinyl østradiol og ethinyl østradiol tabletter USP) giver et oralt præventionsregime af 21 hvide runde tabletter, der hver indeholder 0,15 mg desogestrel (13-ethyl-11-methylen-1819-Dinor-17 alpha-pregn-4-en-20-ny-18-ol) 0,02 mg ethinyl estragi USP-PREGN-4-en-20-ny-18-7-OL) 0,02 mg ethinyl estradi USP. (19-nor-17 alpha-pregna-135 (10)-trien-20- yne-317-diol) and inactive ingredients which include colloidal silicon dioxide hypromellose lactose monohydrate polyethylene glycol povidone pregelatinized corn starch stearic acid and vitamin E followed by 2 inert light-green round tablets with the following inactive Ingredienser: Fd

Desogestrel


C 22 H 30 O - M.W. 31.48

Ethinyl østradiol


C 20 H 24 O 2 - M.W. 296.40

De 21 hvide tabletter opfylder USP -opløsningstest 2.

Bruger til Azurette

Azurette ® (desogestrel/ethinyl østradiol og ethinyl østradiol tabletter USP) er indikeret til forebyggelse af graviditet hos kvinder, der vælger at bruge dette produkt som en metode til prævention.

Orale prævention er yderst effektive. Tabel II viser de typiske utilsigtede graviditetshastigheder for brugere af kombination af orale prævention og andre præventionsmetoder. Effektiviteten af ​​disse præventionsmetoder undtagen sterilisering afhænger af den pålidelighed, som de bruges med. Korrekt og konsekvent anvendelse af disse metoder kan resultere i lavere svigthastigheder.

Tabel II: Procentdel af kvinder, der oplever en utilsigtet graviditet i det første år med typisk brug og det første år med perfekt brug af prævention og den procentvise fortsatte brug i slutningen af ​​det første år USA.

% af kvinder, der oplever en utilsigtet graviditet inden for det første brugsår % af kvinder, der fortsætter med at bruge på et år (4)
Metode (1) Typisk brug (2) Perfekt brug (3)
Chance § 85 85
Spemicider 26 6 40
Periodisk afholdenhed 25 63
Kalender 9
Ægløsningsmetode 3
Sympto-termisk # 2
Post-ovulation 1
Tilbagetrækning 19 4
Kasket Þ
Parous kvinder 40 26 42
Nulliparøse kvinder 20 9 56
Svamp
Parous kvinder 40 20 42
Nulliparøse kvinder 20 9 56
Membran Þ 20 6 56
Kondom ß
Kvindelig (virkelighed) 21 5 56
Han 14 3 61
Pille 5
Kun progestin 0.5
Kombineret 0.1
IUD
Progesteron t 2 1.5 81
Kobber T 380A 0.8 0.6 78
LNG 20 0.1 0.1 81
Depo-Provera 0.3 0.3 70
Norplant og Norplant-2 0.05 0.05 88
Kvindelig sterilisering 0.5 0.5 100
Han Sterilization 0.15 0.10 100
Tilpasset fra Hatcher et al. 1998 Ref

Dosering til azurette

For at opnå maksimal præventionseffektivitet skal azurette (desogestrel/ethinyl østradiol og ethinyl østradiol tabletter) tages nøjagtigt som anført og med intervaller, der ikke overstiger 24 timer. Azurette kan indledes ved hjælp af enten en søndagsstart eller en dag 1 -start.

Bemærk: Hver cykluspakke -dispenser er fortrykt med ugens dage, der starter med søndag for at lette et søndagsstartregime. Seks forskellige dag -etiketstrimler leveres med hver cykluspakke -dispenser for at imødekomme en dag 1 -startregime. I dette tilfælde skal patienten placere den selvklæbende dag-etiketstrimmel, der svarer til hendes startdag i de fortrykte dage.

Vigtig mulighed for ægløsning og undfangelse inden påbegyndelse af brug af azurette bør overvejes.

Brugen af ​​Azurette til prævention kan indledes 4 uger efter fødslen hos kvinder, der vælger ikke at amme. Når tabletterne administreres i postpartumperioden, skal den øgede risiko for tromboembolisk sygdom, der er forbundet med postpartumperioden, overvejes (se Kontraindikationer og Advarsler vedrørende tromboembolisk sygdom. Se også FORHOLDSREGLER til ammende mødre).

Hvis patienten starter på Azurette Postpartum og endnu ikke har haft en periode, skal hun instrueres i at bruge en anden metode til prævention, indtil en hvid tablet er taget dagligt i 7 dage.

Søndagsstart

Når du indleder en søndagsstart -regime, skal en anden metode til prævention bruges indtil efter de første 7 på hinanden følgende dage med administration.

Brug af en søndagsstart -tabletter tages dagligt uden afbrydelse som følger: Den første hvide tablet skal tages den første søndag, efter at menstruationen begynder (hvis menstruationen begynder på søndag, tages den første hvide tablet den dag). En hvid tablet tages dagligt i 21 dage efterfulgt af 1 lysgrøn (inert) tablet dagligt i 2 dage og 1 lysblå (aktiv) tablet dagligt i 5 dage. For alle efterfølgende cykler begynder patienten og begynder derefter en ny 28 tabletregime den næste dag (søndag) efter at have taget den sidste lysblå tablet. [Hvis skift fra en søndagsstart oral prævention, skal den første Azurette -tablet tages den anden søndag efter den sidste tablet i et 21 -dages regime eller skal tages den første søndag efter den sidste inaktive tablet af et 28 dages regime.

Hvis en patient går glip af 1 hvid tablet, skal hun tage den ubesvarede tablet, så snart hun husker. Hvis patienten går glip af 2 på hinanden følgende hvide tabletter i uge 1 eller uge 2, skal patienten tage 2 tabletter den dag, hun husker og 2 tabletter næste dag; Derefter skulle patienten genoptage 1 tablet dagligt, indtil hun er færdig med cykluspakken. Patienten skal instrueres om at bruge en sikkerhedskopieringsmetode til fødselsbekæmpelse, hvis hun har samleje i de 7 dage efter manglende piller. Hvis patienten går glip af 2 på hinanden følgende hvide tabletter i den tredje uge eller går glip af 3 eller flere hvide tabletter i træk på ethvert tidspunkt under cyklussen, skal patienten fortsætte med at tage 1 hvid tablet dagligt indtil næste søndag. På søndag skulle patienten smide resten af ​​denne cykelpakke ud og starte en ny cykluspakke samme dag. Patienten skal instrueres om at bruge en sikkerhedskopieringsmetode til fødselsbekæmpelse, hvis hun har samleje i de 7 dage efter manglende piller.

Dag 1 Start

At tælle den første dag af menstruation, da dag 1 tabletter tages uden afbrydelse som følger: en hvid tablet dagligt i 21 dage en lysgrøn (inert) tablet dagligt i 2 dage efterfulgt af 1 lysblå (ethinyl østradiol) tablet dagligt i 5 dage. For alle efterfølgende cykler begynder patienten og begynder derefter en ny 28 tabletregime den næste dag efter at have taget den sidste lysblå tablet. [Hvis skifte direkte fra en anden oral prævention, skal den første hvide tablet tages på den første menstruationsdag, der begynder efter den sidste aktive tablet af det forrige produkt.]

Hvis en patient går glip af 1 hvid tablet, skal hun tage den ubesvarede tablet, så snart hun husker. Hvis patienten går glip af 2 på hinanden følgende hvide tabletter i uge 1 eller uge 2, skal patienten tage 2 tabletter den dag, hun husker og 2 tabletter næste dag; Derefter skulle patienten genoptage 1 tablet dagligt, indtil hun er færdig med cykluspakken. Patienten skal instrueres om at bruge en sikkerhedskopieringsmetode til fødselsbekæmpelse, hvis hun har samleje i de 7 dage efter manglende piller. Hvis patienten går glip af 2 på hinanden følgende hvide tabletter i den tredje uge, eller hvis patienten går glip af 3 eller flere hvide tabletter i træk på ethvert tidspunkt under cyklussen, skal patienten kaste resten af ​​denne cykluspakke ud og starte en ny cykluspakke samme dag. Patienten skal instrueres om at bruge en sikkerhedskopieringsmetode til fødselsbekæmpelse, hvis hun har samleje i de 7 dage efter manglende piller.

Alle orale prævention

Gennembrudte blødning og amenoré er hyppige grunde til, at patienter, der afbryder orale prævention. Ved gennembrud skal blødning som i alle tilfælde af uregelmæssig blødning fra vagina ikke-funktionelle årsager huskes. Ved udiagnostiserede vedvarende eller tilbagevendende unormale blødninger fra vagina er der tilstrækkelige diagnostiske foranstaltninger indikeret for at udelukke graviditet eller malignitet. Hvis både graviditet og patologi er blevet udelukket tid, eller en ændring af en anden forberedelse kan løse problemet. Ændring til et oralt præventionsmiddel med et højere østrogenindhold, mens det potentielt er nyttigt til at minimere menstruations uregelmæssighed, bør kun gøres, hvis dette kan øge risikoen for tromboembolisk sygdom.

Brug af orale prævention i tilfælde af en ubesvaret menstruationsperiode:

  1. Hvis patienten ikke har overholdt den foreskrevne tidsplan, skal muligheden for graviditet overvejes på tidspunktet for den første ubesvarede periode og oral prævention, der skal afbrydes, indtil graviditeten er udelukket.
  2. Hvis patienten har overholdt det foreskrevne regime og går glip af to på hinanden følgende perioder, skal graviditet udelukkes, før den fortsætter oral prævention.

Hvor leveret

Azurette ® (Desogestrel/Ethinyl Estradiol og Ethinyl Estradiol tabletter USP) Indeholder 21 runde hvide filmcoated biconvex tabletter 2 runde lysgrønne tabletter og 5 runde lysblå filmbelagte biconvex-tabletter i et blisterkort. Hver hvid tablet (udpakket med dp på den ene side og 021 På den anden side) indeholder 0,15 mg desogestrel og 0,02 mg ethinyløstradiol USP. Hver lysgrøn tablet (udpeget med dp på den ene side og 331 På den anden side) indeholder inerte ingredienser. Hver lysblå tablet (udpeget med dp på den ene side og 022 På den anden side) indeholder 0,01 mg ethinyløstradiol USP.

Boks med 6 blisterkort ( NDC : 51862-072-06)

Opbevares ved 20 ° til 25 ° C (68 ° til 77 ° F) [se USP -kontrolleret stuetemperatur].

Opbevar dette og alle medicin uden for børns rækkevidde.

Referencer

1. Hatcher Ra Trussell J Stewart F et al. Præventionsteknologi: Seventeenth Revised Edition New York: Irvington Publishers 1998 i pressen.

90. Godsland I et al. Virkningerne af forskellige formuleringer af orale præventionsmidler på lipid og kulhydratmetabolisme. N Engl J Med 1990; 323: 1375– 81.

93. Data på File Organon Inc.

94. Fotherby K. Orale prævention Lipider og hjerte -kar -sygdomme. Prævention 1985; Vol. 31; 4: 367–94.

95. Lawrence DM et al. Nedsat kønshormonbindende globulin og afledt frie testosteronniveauer hos kvinder med svær acne. Klinisk endokrinologi 1981; 15: 87–91.

105. Christensen J Petrenaite v Atterman J et al. Orale prævention inducerer lamotrigin metabolisme: bevis fra et dobbeltblind placebokontrolleret forsøg. Epilepsia 2007; 48 (3): 484-489.

Fremstillet af: Teva Pharmaceuticals USA Inc. North Wales PA 19454. Rev. D maj 2017

Bivirkninger for Azurette

En øget risiko for følgende alvorlige bivirkninger har været forbundet med brugen af ​​orale prævention (se Advarsler afsnit):

  • Thrombophlebitis og venøs trombose med eller uden emboli
  • Arteriel tromboembolisme
  • Lungeemboli
  • Myokardieinfarkt
  • Cerebral blødning
  • Cerebral trombose
  • Hypertension
  • Galdeblæresygdom
  • Lever adenomer eller godartede levertumorer

Der er tegn på en sammenhæng mellem følgende forhold og brugen af ​​orale prævention:

  • Mesenterisk trombose
  • Retinal trombose

Følgende bivirkninger er rapporteret hos patienter, der får orale prævention og antages at være lægemiddelrelaterede:

  • Kvalme
  • Opkast
  • Gastrointestinale symptomer (såsom abdominale kramper og oppustethed)
  • Gennembrud blødning
  • Spotting
  • Ændring i menstruationsstrøm
  • Amenorrhea
  • Midlertidig infertilitet efter ophør af behandlingen
  • Ødemer
  • Melasma, der kan vedvare
  • Brystændringer: Forstørrelse af ømhed
  • Ændring i vægt (stigning eller fald)
  • Ændring i cervikal erosion og sekretion
  • Formindskelse i amning, når det straks gives efter fødslen
  • Kolestatisk gulsot
  • Migræne
  • Udslæt (allergisk)
  • Mental depression
  • Nedsat tolerance over for kulhydrater
  • Vaginal candidiasis
  • Ændring i hornhindekurvatur (steepening)
  • Intolerance over for kontaktlinser

Følgende bivirkninger er rapporteret hos brugere af orale prævention, og foreningen er hverken blevet bekræftet eller tilbagevist:

  • Pre-menstruelt syndrom
  • Grå stær
  • Ændringer i appetit
  • Cystitis-lignende syndrom
  • Hovedpine
  • Nervøsitet
  • Svimmelhed
  • Hirsutisme
  • Tab af hovedbundshår
  • Erythema multiforme
  • Erythema nodosum
  • Hæmoragisk udbrud
  • Vaginitis
  • Porphyria
  • Nedsat nyrefunktion
  • Hæmolytisk uremisk syndrom
  • Acne
  • Ændringer i libido
  • Colitis
  • Budd-Chiari syndrom

Lægemiddelinteraktioner for Azurette

Nedsat effektivitet og øget forekomst af gennembrudsblødning og menstruations uregelmæssigheder er blevet forbundet med samtidig brug af rifampin. En lignende tilknytning, skønt mindre markeret, er blevet foreslået med barbiturater phenylbutazon phenytoin natriumcarbamazepin og muligvis med griseofulvin ampicillin og tetracycliner (72).

Kombineret hormonal contraceptives have been shown to significantly decrease plasma concentforholdns of lamotrigie when coadmiistered likely due to iduction of lamotrigie glucuronidation. Denne may reduce seizure control; therefore dosage adjustments of lamotrigie may be necessary.

Se mærkning af det samtidigt anvendte lægemiddel for at opnå yderligere information om interaktioner med hormonelle prævention eller potentialet for enzymændringer.

Samtidig brug med HCV -kombinationsterapi

Leverenzymhøjde

Administrer ikke Azurette med HCV-lægemiddelkombinationer, der indeholder ombitasvir/paritaprevir/ritonavir med eller uden Dasabuvir på grund af potentiale for ALT-forhøjninger (se Advarsler Risiko for leverenzymhøjder med samtidig hepatitis C -behandling ).

Referencer

72. Stockley I. Interaktioner med orale prævention. J Pharm 1976; 216: 140–143.

Advarsler for Azurette

Cigaretrygning øger risikoen for alvorlige kardiovaskulære bivirkninger fra oral prævention. Denne risiko stiger med alderen og med kraftig rygning (15 eller flere cigaretter om dagen) og er ret markeret hos kvinder over 35 år. Kvinder, der bruger orale prævention, skal rådes stærkt til ikke at ryge.

Brugen af ​​orale prævention er forbundet med øgede risici ved adskillige alvorlige tilstande, herunder myokardieinfarkt tromboembolisme -slagtilfælde neoplasi og galdeblæresygdom, selvom risikoen for alvorlig sygelighed eller dødelighed er meget lille hos raske kvinder uden underliggende risikofaktorer. Risikoen for sygelighed og dødelighed øges markant i nærvær af andre underliggende risikofaktorer, såsom hypertension Hyperlipidemias fedme og diabetes.

Praktikere, der ordinerer orale prævention, skal være bekendt med følgende oplysninger, der vedrører disse risici.

Oplysningerne indeholdt i denne pakkeindsats er hovedsageligt baseret på undersøgelser udført hos patienter, der brugte orale prævention med formuleringer af højere doser af østrogener og progestogener end dem, der er i almindelig brug i dag. Effekten af ​​langvarig anvendelse af de orale prævention med formuleringer af lavere doser af både østrogener og progestogener skal stadig bestemmes.

Gennem denne mærkningsepidemiologiske undersøgelser er af to typer: retrospektive eller casekontrolundersøgelser og potentielle eller kohortundersøgelser. Undersøgelser af sagskontrol giver et mål for den relative risiko for en sygdom, nemlig en forhold af forekomsten af ​​en sygdom blandt orale præventionsbrugere til den blandt ikke-brugere. Den relative risiko giver ikke information om den faktiske kliniske forekomst af en sygdom. Kohortundersøgelser giver et mål for tilskrivbar risiko, som er forskel I forekomsten af ​​sygdom mellem orale præventionsbrugere og ikke-brugere. Den tilskrivbare risiko giver information om den faktiske forekomst af en sygdom i befolkningen (tilpasset fra ref. 2 og 3 med forfatterens tilladelse). For yderligere information henvises læseren til en tekst om epidemiologiske metoder.

Tromboemboliske lidelser og andre vaskulære problemer

Tromboembolisme

En øget risiko for tromboembolisk og trombotisk sygdom forbundet med brugen af ​​orale prævention er veletableret. Sagsstyringsundersøgelser har fundet den relative risiko for brugere sammenlignet med ikke-brugere som 3 for den første episode af overfladisk venøs tromboembolisk sygdom 4 til 11 til dyb venetrombose eller lungeemboli og 1,5 til 6 for kvinder med disponerende tilstande for venøs tromboembolisk sygdom (2 3 19 til 24). Kohortundersøgelser har vist, at den relative risiko er noget lavere omkring 3 for nye sager og ca. 4,5 for nye sager, der kræver indlæggelse (25). Risikoen for tromboembolisk sygdom, der er forbundet med orale prævention, er ikke relateret til brugslængden og forsvinder efter pillebrug er stoppet (2).

Flere epidemiologiske undersøgelser indikerer, at den tredje generations orale prævention, herunder dem, der indeholder desogestrel, er forbundet med en højere risiko for venøs tromboembolisme end visse anden generations orale prævention (102 til 104). Generelt indikerer disse undersøgelser en omtrentlig to gange øget risiko, hvilket svarer til yderligere 1 til 2 tilfælde af venøs tromboembolisme pr. 10000 kvindelige år i brug.

Imidlertid har data fra yderligere undersøgelser ikke vist denne to-fold stigning i risiko.

Der er rapporteret om en to til fire gange stigning i relativ risiko for postoperativ thromboemboliske komplikationer ved anvendelse af orale prævention (9 26). Den relative risiko for venøs trombose hos kvinder, der har disponerende forhold, er dobbelt så stor som kvinder uden sådanne medicinske tilstande (9 26). Hvis gennemførlige orale prævention skal afbrydes mindst fire uger før og i to uger efter valgfri kirurgi af en type, der er forbundet med en stigning i risikoen for tromboembolisme og under og efter langvarig immobilisering. Da den umiddelbare postpartumperiode også er forbundet med en øget risiko for tromboembolisme, bør orale prævention ikke startes tidligere end fire uger efter fødslen hos kvinder, der vælger ikke at amme.

Myokardieinfarkt

En øget risiko for myokardieinfarkt er blevet tilskrevet oral prævention. Denne risiko er primært hos rygere eller kvinder med andre underliggende risikofaktorer for koronararteriesygdom, såsom hypertension hypercholesterolæmi morbid fedme og diabetes. Den relative risiko for hjerteanfald for nuværende orale præventionsbrugere er blevet estimeret til at være to til seks (4 til 10). Risikoen er meget lav hos kvinder under 30 år.

Rygning i kombination med oral præventionsbrug har vist sig at bidrage væsentligt til forekomsten af ​​hjerteinfarkt hos kvinder i midten af ​​trediverne eller ældre med rygning, der tegner sig for størstedelen af ​​overskydende tilfælde (11). Dødeligheden forbundet med cirkulationssygdom har vist sig at stige væsentligt hos rygere over 35 år og ikke-rygere over 40 år (tabel III) blandt kvinder, der bruger orale prævention.

Tabel III: Dødelighed i kredsløbssygdomme pr. 100000 kvindeår efter alder af rygestatus og oral præventionsbrug

Tilpasset fra P.M. Layde og V. Beral Ref.

Orale antikonceptionsmidler kan forværre virkningerne af velkendte risikofaktorer, såsom hypertension diabetes hyperlipidemier alder og fedme (13). Især er nogle progestogener kendt for at reducere HDL -kolesterol og forårsage glukoseintolerance, mens østrogener kan skabe en tilstand af hyperinsulinisme (14 til 18). Orale prævention har vist sig at øge blodtrykket blandt brugerne (se afsnit 10 i Advarsler ). Similar effects on risk factors have been associated with an icreased risk of heart disease. Oral contraceptives must be used with caution i women with cardiovascular disease risk factors.

Cerebrovaskulære sygdomme

Det har vist sig, at orale præventionsmidler øger både de relative og tilskrives risici ved cerebrovaskulære begivenheder (thrombotiske og hæmoragiske slag), skønt risikoen generelt er størst blandt ældre (> 35 år) hypertensive kvinder, der også ryger. Hypertension viste sig at være en risikofaktor for både brugere og ikke-brugere for begge typer slagtilfælde, mens rygning interagerede for at øge risikoen for hæmoragiske slagtilfælde (27 til 29).

I en stor undersøgelse har den relative risiko for trombotiske streger vist sig at variere fra 3 for normotensive brugere til 14 for brugere med svær hypertension (30). Den relative risiko for hæmoragisk slagtilfælde rapporteres at være 1,2 for ikke-rygere, der brugte orale prævention 2.6 til rygere, der ikke brugte orale prævention 7,6 til rygere, der brugte orale prævention 1,8 til normotensive brugere og 25,7 for brugere med svær hypertension (30). Den tilskrivbare risiko er også større hos ældre kvinder (3).

Dosisrelateret risiko for vaskulær sygdom fra orale prævention

Der er observeret en positiv tilknytning mellem mængden af ​​østrogen og progestogen i orale prævention og risikoen for vaskulær sygdom (31 til 33). Der er rapporteret om et fald i serum-lipoproteiner med høj densitet (HDL) med mange progestationalmidler (14 til 16). Et fald i serum-lipoproteiner med høj densitet har været forbundet med en øget forekomst af iskæmisk hjertesygdom. Fordi østrogener øger HDL -kolesterol, afhænger nettoeffekten af ​​en oral prævention afhænger af en balance opnået mellem doser af østrogen og progestogen og arten og absolutte mængder progestogener, der anvendes i præventionen. Mængden af ​​begge hormoner skal overvejes ved valget af et oralt prævention.

Minimering af eksponering for østrogen og progestogen er i overensstemmelse med gode principper for terapeutik. For enhver bestemt østrogen/progestogen -kombination skal doseringsregimet, der er foreskrevet, være en, der indeholder mindst mulig østrogen og progestogen, der er kompatibel med en lav svigtfrekvens og de enkelte patients behov. Nye acceptorer af orale præventionsmidler skal startes på præparater, der indeholder 0,035 mg eller mindre østrogen.

Persistens af risiko for vaskulær sygdom

Der er to undersøgelser, der har vist persistens af risikoen for vaskulær sygdom for stadigt brugere af orale prævention. I en undersøgelse i USA vedrører risikoen for at udvikle myokardieinfarkt efter ophør med orale prævention i mindst 9 år for kvinder 40 til 49 år gamle, der havde brugt orale prævention i fem eller flere år, men denne øgede risiko blev ikke demonstreret i andre aldersgrupper (8). I en anden undersøgelse i Storbritannien fortsatte risikoen for at udvikle cerebrovaskulær sygdom i mindst 6 år efter ophør af orale prævention, selvom overskydende risiko var meget lille (34). Imidlertid blev begge undersøgelser udført med orale præventionsformuleringer indeholdende 50 mikrogram eller mere af østrogen.

Estimater af dødelighed fra prævention

En undersøgelse indsamlede data fra forskellige kilder, der har estimeret dødeligheden forbundet med forskellige metoder til prævention i forskellige aldre (tabel IV). Disse estimater inkluderer den kombinerede risiko for død i forbindelse med præventionsmetoder plus risikoen, der kan henføres til graviditet i tilfælde af metodesvigt. Hver præventionsmetode har sine specifikke fordele og risici. Undersøgelsen konkluderede, at med undtagelse af orale præventionsbrugere 35 år og ældre, der ryger og 40 og ældre, der ikke ryger dødelighed, der er forbundet med alle metoder til fødselsbekæmpelse, er lav og under det, der er forbundet med fødsel.

Observationen af ​​en mulig stigning i risikoen for dødelighed med alderen for orale præventionsbrugere er baseret på data indsamlet i 1970'erne - men ikke rapporteret før i 1983 (35). Imidlertid involverer den nuværende kliniske praksis anvendelse af lavere østrogenformuleringer kombineret med omhyggelig overvejelse af risikofaktorer.

På grund af disse ændringer i praksis og også på grund af nogle begrænsede nye data, der antyder, at risikoen for hjerte-kar-sygdomme ved brug af orale prævention nu kan være mindre end tidligere observeret (100 101) Fertiliteten og mødrenes sundhedsmedicin, blev det rådgivende udvalg bedt om at gennemgå emnet i 1989. Udvalget konkluderede, at selv om kardiovaskulær sygdomsrisks kan øges med oral antager om brug efter 40 år gammel. Formuleringer med lav dosis) Der er også større potentielle sundhedsrisici forbundet med graviditet hos ældre kvinder og med de alternative kirurgiske og medicinske procedurer, som kan være nødvendige, hvis sådanne kvinder ikke har adgang til effektive og acceptable forsevninger.

Derfor anbefalede udvalget, at fordelene ved lavdosis oral prævention af sunde ikke-ryste kvinder over 40 maj opvejer de mulige risici. Selvfølgelig bør ældre kvinder som alle kvinder, der tager orale prævention, tage den lavest mulige dosisformulering, der er effektiv.

Hvad bruges Tribenzor

Tabel IV: Årligt antal fødselsrelaterede eller metodelaterede dødsfald forbundet med kontrol af fertilitet pr. 100000 ikke-sterile kvinder ved fertilitetskontrol Metode i henhold til alder

Metode til kontrol og resultat 15 til 19 20 til 24 25 til 29 30 til 34 35 til 39 40 til 44
Ingen fertilitetskontrolmetoder* 7 7.4 9.1 14.8 25.7 28.2
Orale prævention ikke-ryger 0.3 0.5 0.9 1.9 13.8 31.6
Orale prævention ryger 2.2 3.4 6.6 13.5 51.1 117.2
IUD 0.8 0.8 1 1 1.4 1.4
Kondom* 1.1 1.6 0.7 0.2 0.3 0.4
Membran/spermicide* 1.9 1.2 1.2 1.3 2.2 2.8
Periodisk afholdenhed* 2.5 1.6 1.6 1.7 2.9 3.6
Tilpasset fra H.W. Ory ref.

Karcinom i reproduktionsorganerne og brysterne

Talrige epidemiologiske undersøgelser er blevet udført på forekomsten af ​​brystendometrial ovarie- og livmoderhalskræft hos kvinder, der bruger orale prævention. Mens der er modstridende rapporter, antyder de fleste undersøgelser, at brugen af ​​orale prævention ikke er forbundet med en samlet stigning i risikoen for at udvikle brystkræft. Nogle undersøgelser har rapporteret om en øget relativ risiko for at udvikle brystkræft, især i en yngre alder. Denne øgede relative risiko ser ud til at være relateret til brugsvarigheden (36 til 43 79 til 89).

Nogle undersøgelser antyder, at oral præventionsanvendelse har været forbundet med en stigning i risikoen for cervikal intra-epitelial neoplasi hos nogle populationer af kvinder (45 til 48). Der er dog fortsat kontrovers om, i hvilket omfang sådanne fund kan skyldes forskelle i seksuel adfærd og andre faktorer.

Lever neoplasi

Godartede leveradenomer er forbundet med oral præventionsanvendelse, selvom forekomsten af ​​godartede tumorer er sjælden i USA. Indirekte beregninger har estimeret den tilskrives risiko til at være i intervallet 3,3 tilfælde/100000 for brugere en risiko, der stiger efter fire eller flere års brug, især med orale prævention af højere dosis (49). Ruptur af sjældne godartede leveradenomer kan forårsage død gennem intra-abdominal blødning (50 51).

Undersøgelser fra Storbritannien har vist en øget risiko for at udvikle hepatocellulært karcinom (52 ​​til 54) i lang sigt (> 8 år) orale præventionsbrugere. Imidlertid er disse kræftformer ekstremt sjældne i USA og den tilskrivbare risiko (den overskydende forekomst) af levercancer i orale præventionsmæssige brugere nærmer sig mindre end en pr. Million brugere.

Risiko for leverenzymhøjder med samtidig hepatitis C -behandling

Under kliniske forsøg med hepatitis C-kombination af lægemiddelregime, der indeholder ombitasvir/paritaprevir/ritonavir med eller uden dasabuvir alt-forhøjelser større end 5 gange den øvre grænse for normale (ULN), herunder nogle tilfælde større end 20 gange, var ULN signifikant hyppigere hos kvinder, der anvendte ethinylestradiol-fast medicin (ULN), såsom COCS. Afbryd Azurette, inden du starter terapi med det kombination af lægemiddelregime ombitasvir/paritaprevir/ritonavir med eller uden dasabuvir (se Kontraindikationer ). Azurette can be restarted approximately 2 weeks followig completion of treatment with the combiation drug regimen.

Okulære læsioner

Der har været kliniske sagsrapporter om retinaltrombose forbundet med brugen af ​​orale prævention. Orale prævention bør afbrydes, hvis der er uforklarlig delvis eller fuldstændigt tab af syn; begyndelse af proptose eller diplopi; papilledema; eller nethindevaskulære læsioner. Passende diagnostiske og terapeutiske foranstaltninger skal udføres øjeblikkeligt.

Oral prævention brug før eller under den tidlige graviditet

Omfattende epidemiologiske undersøgelser har ikke afsløret nogen øget risiko for fødselsdefekter hos kvinder, der har brugt orale prævention før graviditet (55 til 57). Undersøgelser antyder heller ikke en teratogen virkning, især for så vidt angår hjerteanomalier og defekter af lemreduktion (55 56 58 59), når orale præventionsmidler tages utilsigtet under den tidlige graviditet.

Administrationen af ​​orale prævention til at inducere tilbagetrækningsblødning bør ikke bruges som en test til graviditet. Orale prævention bør ikke bruges under graviditet til behandling af truede eller sædvanlige abort. Det anbefales, at for enhver patient, der har gået glip af to på hinanden følgende perioder, skal graviditet udelukkes, før den fortsætter oral prævention. Hvis patienten ikke har overholdt den foreskrevne tidsplan, skal muligheden for graviditet overvejes i den første ubesvarede periode. Oral præventionsanvendelse skal afbrydes, indtil graviditet udelukkes.

Galdeblæresygdom

Tidligere undersøgelser har rapporteret om en øget levetid relativ risiko for galdeblærekirurgi hos brugere af orale prævention og østrogener (60 61). Nyere undersøgelser har imidlertid vist, at den relative risiko for at udvikle galdeblæresygdom blandt orale præventionsbrugere kan være minimal (62 til 64). De nylige fund af minimal risiko kan være relateret til brugen af ​​orale præventionsformuleringer, der indeholder lavere hormonelle doser af østrogener og progestogener.

Carbohydrat og lipidmetaboliske effekter

Orale prævention har vist sig at forårsage et fald i glukosetolerance i en betydelig procentdel af brugere (17). Orale prævention, der indeholder mere end 75 mikrogram østrogener, forårsager hyperinsulinisme, mens lavere doser af østrogen forårsager mindre glukoseintolerance (65). Progestogener øger insulinsekretionen og skaber insulinresistens Denne virkning varierende med forskellige progestationalmidler (17 66). Imidlertid ser orale prævention i den ikke-diabetiske kvinde ikke ud til at have nogen indflydelse på fastende blodsukker (67). På grund af disse demonstrerede effekter bør prediabetiske og diabetiske kvinder overvåges omhyggeligt, mens de tager orale prævention.

En lille del af kvinder vil have vedvarende hypertriglyceridæmi, mens de er på pillen. Som diskuteret tidligere (se Advarsler 1.A. og 1.d.) ændringer i serumtriglycerider og lipoproteinniveauer er rapporteret hos orale præventionsbrugere.

Forhøjet blodtryk

Der er rapporteret om en stigning i blodtrykket hos kvinder, der tager orale prævention (68), og denne stigning er mere sandsynligt hos ældre orale præventionsbrugere (69) og ved fortsat brug (61). Data fra Royal College of General Practitioners (12) og efterfølgende randomiserede forsøg har vist, at forekomsten af ​​hypertension øges med stigende mængder progestogener.

Kvinder med en historie med hypertension eller hypertension-relaterede sygdomme eller nyresygdom (70) bør opfordres til at bruge en anden metode til prævention. Hvis kvinder vælger at bruge orale prævention, skal de overvåges nøje, og hvis der opstår en betydelig forhøjelse af blodtrykket, skal orale prævention afbegynder. For de fleste kvinder vil forhøjet blodtryk vende tilbage til det normale efter at have stoppet orale prævention (69), og der er ingen forskel i forekomsten af ​​hypertension mellem stadig og aldrig brugere (68 70 71).

Hovedpine

Begyndelsen eller forværringen af ​​migræne eller udvikling af hovedpine med et nyt mønster, der er tilbagevendende vedvarende eller alvorlig, kræver seponering af orale prævention og evaluering af årsagen.

Blødning af uregelmæssigheder

Gennembrud blødning og Spotting are sometimes encountered i patients on oral contraceptives especially durig the first three months of use. Non-hormonal causes should be considered og adequate diagnostic measures taken to rule out malignancy or pregnancy i the event of gennembrud blødning as i the case of any abnormal vagial bleedig. If pathology has been excluded time or a change to another formulation may solve the problem. In the event of amenorrhea pregnancy should be ruled out.

Nogle kvinder kan støde på amenorrhea eller oligomenorrhea efter pillen, især når en sådan tilstand var før-eksisterende.

Ektopisk graviditet

Ektopisk såvel som intrauterin graviditet kan forekomme i præventionsfejl.

Forholdsregler for Azurette

Generel

Patienter skal rådes om, at dette produkt ikke beskytter mod HIV -infektion (AIDS) og andre seksuelt overførte sygdomme.

Fysisk undersøgelse og opfølgning

Det er god medicinsk praksis for alle kvinder at have årlig historie og fysiske undersøgelser, herunder kvinder, der bruger orale prævention. Den fysiske undersøgelse kan imidlertid udsættes indtil efter påbegyndelse af orale prævention, hvis kvinden anmodes om og bedømmes passende af klinikeren. Den fysiske undersøgelse bør omfatte særlig henvisning til blodtrykbryst mave og bækkenorganer inklusive cervikal cytologi og relevante laboratorieundersøgelser. I tilfælde af udiagnosticeret vedvarende eller tilbagevendende unormal vaginal blødning bør passende foranstaltninger udføres for at udelukke malignitet. Kvinder med en stærk familiehistorie med brystkræft, eller som har brystknudler, skal overvåges med særlig omhu.

Lipidforstyrrelser

Kvinder, der bliver behandlet for hyperlipidemier, skal følges nøje, hvis de vælger at bruge orale prævention. Nogle progestogener kan hæve LDL -niveauer og kan gøre kontrol af hyperlipidemier vanskeligere.

Leverfunktion

Hvis gulsot udvikler sig hos enhver kvinde, der får sådanne lægemidler, skal medicinen afbrydes. Steroidhormoner kan metaboliseres dårligt hos patienter med nedsat leverfunktion.

Væskeopbevaring

Orale prævention kan forårsage en vis grad af væskeopbevaring. De skal ordineres med forsigtighed og kun med omhyggelig overvågning hos patienter med tilstande, der kan forværres ved væskeopbevaring.

Følelsesmæssige lidelser

Kvinder med en historie med depression skal observeres omhyggeligt, og stoffet ophørte, hvis depression gentages i alvorlig grad.

Kontaktlinser

Kontaktlinse -bærere, der udvikler visuelle ændringer eller ændringer i linse -tolerance, skal vurderes af en øjenlæge.

Interaktioner med laboratorieundersøgelser

Visse endokrine og leverfunktionstest og blodkomponenter kan blive påvirket af orale prævention:

  1. Forøget protrombin og faktorer VII VIII IX og X; nedsat antithrombin 3; Forøget norepinephrineinduceret blodpladeaggregerbarhed.
  2. Forøget skjoldbruskkirtelbindende globulin (TBG), der fører til øget cirkulerende total skjoldbruskkirtelhormon, målt ved proteinbundet jod (PBI) T4 efter søjle eller ved radioimmunoassay. Gratis T3 -harpiksoptagelse reduceres, hvilket afspejler den forhøjede TBG; Gratis T4 -koncentration er uændret.
  3. Andre bindende proteiner kan være forhøjet i serum.
  4. Kønshormonbindende globuliner øges og resulterer i forhøjede niveauer af samlede cirkulerende kønssteroider; Dog frie eller biologisk aktive niveauer falder enten eller forbliver uændret.
  5. Lipoproteinkolesterol med høj densitet (HDL-C) og triglycerider kan øges, mens lipoproteinkolesterol med lav densitet (LDL-C) og total kolesterol (total-C) kan være reduceret eller uændret.
  6. Glukosetolerance kan nedsættes.
  7. Serumfolatniveauer kan være deprimeret af oral præventionsterapi. Dette kan være af klinisk betydning, hvis en kvinde bliver gravid kort efter at have ophørt med orale prævention.

Carcinogenese

Se Advarsler afsnit.

Graviditet

Teratogene effekter

Graviditet Category X

(se Kontraindikationer og Advarsler sektioner).

Sygeplejerske mødre

Der er identificeret små mængder orale præventionssteroider i mælken fra sygeplejemødre, og der er rapporteret om et par bivirkninger på barnet, herunder gulsot og brystforstørrelse. Derudover kan orale prævention, der er angivet i postpartumperioden, forstyrre amning ved at reducere mængden og kvaliteten af ​​modermælken. Hvis det er muligt, skal sygeplejerens mor rådes til ikke at bruge orale prævention, men til at bruge andre former for prævention, indtil hun har fravænket sit barn fuldstændigt.

Pædiatrisk brug

Sikkerhed og effektivitet af azurettabletter er blevet fastlagt hos kvinder i reproduktiv alder. Sikkerhed og effektivitet forventes at være den samme for udsatte unge under 16 år og for brugere 16 år og ældre. Brug af dette produkt før menarche er ikke indikeret.

Oplysninger til patienten

Se Patientinformation Trykt nedenfor

Referencer

2. Stadel bv. Orale prævention og hjerte -kar -sygdom. (S. 1). N Engl J Med 1981; 305: 612–618.

3. Stadel Bv. Orale prævention og hjerte -kar -sygdom. (Pt. 2). N Engl J Med 1981; 305: 672–677.

4. Adam Sa Thorogood M. Oral prævention og myokardieinfarkt revideret: Virkningerne af nye præparater og ordinerende mønstre. Br J Obstet og Gynecol 1981; 88: 838–845.

5. Mann Ji Inman wh. Orale prævention og død af myokardieinfarkt. Br Med J 1975; 2 (5965): 245–248.

6. Mann Ji Vessey MP Thorogood M Doll R. Myokardieinfarkt hos unge kvinder med særlig henvisning til oral prævention. Br Med J 1975; 2 (5956): 241–245.

7. Royal College of General Practitioners 'Oral Prevention Study: Yderligere analyser af dødelighed hos orale præventionsbrugere. Lancet 1981; 1: 541–546.

8. Slone D Shapiro S Kaufman DW Rosenberg L Miettinen Os Stolley Pd. Risiko for myokardieinfarkt i relation til nuværende og ophørt brug af orale prævention. N Engl J Med 1981; 305: 420–424.

9. Vessey MP. Kvindelige hormoner og vaskulær sygdom - en epidemiologisk oversigt. Br J Fam Plann 1980; 6: 1–12.

10. Russell-Briefel RG Ezzati TM Fulwood R Perlman Ja Murphy Rs. Kardiovaskulær risikostatus og mundtlig prævention bruger USA 1976–80. Forhindre Med 1986; 15: 352–362.

11. Goldbaum GM Kendrick JS Hogelin GC Gentry Em. Den relative indvirkning af rygning og oral prævention på kvinder i USA. Jama 1987; 258: 1339–1342.

12. Layde Pm Beral V. Yderligere analyser af dødelighed hos orale præventionsbrugere: Royal College General Practitioners 'Oral Prevention Study. (Tabel 5) Lancet 1981; 1: 541–546.

13. Knopp RH. Arteriosklerosisiko: Rollerne som orale prævention og postmenopausale østrogener. J Reprod Med 1986; 31 (9) (supplement): 913–921.

14. Krauss RM Roy S Mishell Dr Casagrande J Pike MC. Effekter af to lavdosis orale prævention på serumlipider og lipoproteiner: Differentielle ændringer i lipoproteiner med høj densitet. Am J Obstet 1983; 145: 446–452.

15. Wahl P Walden C Knopp R Hoover J Wallace R Heiss G Rifkind B. Effekt af østrogen/progestinstyrke på lipid/lipoprotein -kolesterol. N Engl J Med 1983; 308: 862– 867.

16. Wynn mod Niththyananthan R. Effekten af ​​progestin i kombinerede orale prævention på serumlipider med særlig henvisning til lipoproteiner med høj densitet. Am J Obstet Gynecol 1982; 142: 766–771.

17. Wynn mod Godsland I. Effekter af orale prævention og kulhydratmetabolisme. J Reprod Med 1986; 31 (9) (supplement): 892–897.

18. Larosa JC. Aterosklerotiske risikofaktorer ved hjerte -kar -sygdom. J Reprod Med 1986; 31 (9) (supplement): 906–912.

19. Inman WH Vessey MP. Undersøgelse af død fra lunge koronar og cerebral trombose og emboli hos kvinder i den fødedygtige alder. Br Med J 1968; 2 (5599): 193– 199.

20. Maguire Mg Tonascia J Sartwell Pe Stolley PD Tockman MS. Øget risiko for trombose på grund af orale prævention: en yderligere rapport. Am J Epidemiol 1979; 110 (2): 188–195.

21. Pettiti DB Wingerd J Pellegrin f Ramacharan S. Risiko for vaskulær sygdom hos kvinder: Rygning af orale prævention ikke -kontrakterende østrogener og andre faktorer. JAMA 1979; 242: 1150–1154.

22. Vessey MP Doll R. Undersøgelse af forholdet mellem anvendelse af orale prævention og tromboembolisk sygdom. Br Med J 1968; 2 (5599): 199–205.

23. Vessey MP Doll R. Undersøgelse af forholdet mellem anvendelse af orale prævention og tromboembolisk sygdom. En yderligere rapport. Br Med J 1969; 2 (5658): 651–657.

24. Porter JB Hunter Jr Danielson da Jick H Stergachis A. Orale prævention og ikke-dødelig vaskulær sygdom-henvender sig til erfaring. Obstet Gynecol 1982; 59 (3): 299–302.

25. Vessey M Doll R Peto R Johnson B Wiggins P. En langvarig opfølgningsundersøgelse af kvinder, der bruger forskellige metoder til prævention: en midlertidig rapport. Biosocial Sci 1976; 8: 375–427.

26. Royal College of General Practitioners: Orale prævention af venøs trombose og åreknuder. J Royal Coll Gen Practed 1978; 28: 393–399.

27. Samarbejdsgruppe til undersøgelse af slagtilfælde hos unge kvinder: mundtlig prævention og øget risiko for cerebral iskæmi eller trombose. N Engl J Med 1973; 288: 871–878.

28. Petitti DB Wingerd J. Brug af orale prævention Cigaretrygning og risiko for subarachnoid blødning. Lancet 1978; 2: 234–236.

29. Inman WH. Orale prævention og dødelig subarachnoid blødning. Br Med J 1979; 2 (6203): 1468–70.

30. Samarbejdsgruppe til undersøgelse af slagtilfælde hos unge kvinder: orale prævention og slagtilfælde hos unge kvinder: tilknyttede risikofaktorer. JAMA 1975; 231: 718–722.

31. Inman WH Vesesy MP Westarholm B Engelulululud A. Tromboemboliske sygdomme og det steroide indhold af orale prævention. En rapport til udvalget om sikkerhed for narkotika. BR MEDD J 1970; 2: 203–209.

32. Meade Tw Greenberg G Thompson SG. Progestogener og kardiovaskulære reaktioner forbundet med orale prævention og en sammenligning af sikkerheden på 50- og 35-MCG østrogenpræparater. Br Med J 1980; 280 (6224): 1157–1161.

33. Kay Cr. Progestogener og arteriel sygdom - bevis fra Royal College of General Practitioners 'Study. Am J Obstet Gynecol 1982; 142: 762–765.

34. Royal College of General Practitioners: Forekomst af arteriel sygdom blandt orale præventionsbrugere. J Royal Coll Gen Practed 1983; 33: 75–82.

35. ory HW. Dødelighed forbundet med fertilitet og fertilitetskontrol: 1983. Familieplanlægningsperspektiver 1983; 15: 50–56.

36. Kræft- og steroidhormonundersøgelse af Centers for Disease Control og National Institute of Child Health and Human Development: Oral-contraceptiv brug og risikoen for brystkræft. N Engl J Med 1986; 315: 405–411.

37. Pike Mc Henderson være Krailo MD Duke En Roy S. Brystkræftrisiko hos unge kvinder og brug af orale prævention: mulig modificerende virkning af formulering og alder ved brug. Lancet 1983; 2: 926–929.

38. Paul C SKEGGG DG Spears GFS Kaldor JM. Orale prævention og brystkræft: En national undersøgelse. Br Med J 1986; 293: 723–725.

39. Miller Dr. Rosenberg L Kaufman DW Schottenfeld D Stolley PD Shapiro S. Risiko for brystkræft i forhold til tidlig oral prævention. Obstet Gynecol 1986; 68: 863–868.

40. Olson H Olson Kl Moller Tr Ranstam J Holm P. Oral præventionsbrug og brystkræft hos unge kvinder i Sverige (brev). Lancet 1985; 2: 748–749.

41. McPherson K Vessey M Neil A Doll R Jones L Roberts M. Tidlig præventionsbrug og brystkræft: Resultater af en anden case-control-undersøgelse. Br J Cancer 1987; 56: 653–660.

42. Huggins Gr Zucker PF. Orale prævention og neoplasi: 1987 -opdatering. Fertil Steril 1987; 47: 733–761.

43. McPherson K Drife Jo. Pillen og brystkræft: Hvorfor usikkerheden? Br Med J 1986; 293: 709–710.

45. ory h naib z conger sb hatcher ra tyler cw. Præventionsvalg og forekomst af cervikal dysplasi og karcinom in situ. Am J Obstet Gynecol 1976; 124: 573–577.

46. ​​Vessey MP Lawless M McPherson K Yeates D. Neoplasia fra Cervix Uteri og Prevention: En mulig negativ virkning af pillen. Lancet 1983; 2: 930.

47. Brinton La Huggins Gr Lehman Hf Malli K Savitz Da Trapido E Rosenthal J Hoover R. Langvarig brug af orale prævention og risiko for invasiv livmoderhalskræft. Int J Cancer 1986; 38: 339–344.

48. Hvem samarbejdsundersøgelse af neoplasi og steroid -prævention: invasiv livmoderhalskræft og kombinerede orale prævention. Br Med J 1985; 209: 961– 965.

49. ROOKS JB ORY HW ISHAK KG Strauss LT Greenspan JR HILL AP TYLER CW. Epidemiologi af hepatocellulært adenom: rollen som oral prævention. JAMA 1979; 242: 644–648.

50. Bein nn Goldsmith Hs. Tilbagevendende massiv blødning fra godartede lever tumorer sekundært til orale prævention. Br J Surg 1977; 64: 433–435.

51. Klatskin G. Hepatiske tumorer: Muligt forhold til brug af orale prævention. Gastroenterology 1977; 73: 386–394.

52. Henderson være Preston-Martin S Edmondson Ha Peters RL Pike MC. Hepatocellulært karcinom og orale prævention. Br J Cancer 1983; 48: 437–440.

53. Neuberger J Forman d Doll R Williams R. Oral prævention og hepatocellulær karcinom. Br Med J 1986; 292: 1355– 1357.

54. Forman d Vincent TJ Doll R. Cancer of the Liver and Oral Prevention. Br Med J 1986; 292: 1357– 1361.

55. Harlap S Eldor J. Fødsler efter orale præventionsfejl. Obstet Gynecol 1980; 55: 447–452.

56. Savolainen e Saksela e Saxen L. teratogene farer ved orale prævention analyseret i et nationalt misdannelsesregister. Am J Obstet Gynecol 1981; 140: 521–524.

57. Janerich DT Piper JM Glebatis DM. Orale prævention og fødselsdefekter. Am J Epidemiol 1980; 112: 73–79.

58. Ferencz C Matanoski GM Wilson PD Rubin JD Neill Ca Gutberlet R. Mødrehormonbehandling og medfødt hjertesygdom. Teratology 1980; 21: 225–239.

59. Rothman KJ Fyler DC Goldbatt A Kreidberg MB. Eksogene hormoner og andre lægemiddeleksponeringer af børn med medfødt hjertesygdom. Am J Epidemiol 1979; 109: 433–439.

60. Boston Collaborative Drug Surveillance Program: Orale prævention og venøs thromboembolisk sygdom bekræftede kirurgisk galdeblæresygdom og brysttumorer. Lancet 1973; 1: 1399–1404.

61. Royal College of General Practitioners: Orale prævention og sundhed. New York Pittman 1974.

62. Layde PM Vessey MP Yeates D. Risiko for galdeblæresygdom: En kohortundersøgelse af unge kvinder, der deltager i familieplanlægningsklinikker. J Epidemiol Community Health 1982; 36: 274–278.

63. Rom Group for epidemiologi og forebyggelse af cholelithiasis (Grepco): Prævalens af gallstenssygdom i en italiensk voksen kvindelig befolkning. Am J Epidemiol 1984; 119: 796–805.

64. Strom Bl Tamragouri Rt Morse Ml Lazar El West Sl Stolley Pd Jones JK. Orale prævention og andre risikofaktorer for galdeblæresygdom. Clin Pharmacol Ther 1986; 39: 335–341.

65. Wynn mod Adams PW Godsland Hvis Melrose J Niththyananthan R Oakley NW SeedJ A. Sammenligning af effekter af forskellige kombinerede oral-kontraktive formuleringer på kulhydrat- og lipidmetabolisme. Lancet 1979; 1: 1045–1049.

66. Wynn V. Effekt af progesteron og progestiner på kulhydratmetabolisme. I progesteron og progestin. Redigeret af Bardin CW Milgrom E Mauvis-Jarvis P. New York Raven Press 1983 s. 395–410.

67. Perlman Ja Roussell-Briefel RG Ezzati TM Lieberknecht G. Oral glukosetolerance og styrken af ​​oral prævention progestogener. J Chronic Dis 1985; 38: 857–864.

68. Royal College of General Practitioners 'Oral Prevention Study: Effekt på hypertension og godartet brystsygdom af progestogenkomponent i kombinerede orale prævention. Lancet 1977; 1: 624.

69. Fisch Ir Frank J. Orale prævention og blodtryk. JAMA 1977; 237: 2499–2503.

70. Laragh AJ. Oral præventionsinduceret hypertension - ni år senere. Am J Obstet Gynecol 1976; 126: 141–147.

71. Ramcharan S Peritz E Pellegrin FA Williams Wt. Forekomst af hypertension i Walnut Creek -præventionen af ​​lægemiddelundersøgelse. I farmakologi af steroid -præventionsmedicin. Garattini S Berendes HW. Red. New York Raven Press 1977 s. 277–288. (Monografier fra Mario Negri Institute for Pharmacological Research Milano).

79. Schlesselman J Stadel Bv Murray P Lai S. Brystkræft i relation til tidlig brug af orale prævention 1988; 259: 1828–1833.

80. Hennekens Ch Speizer Fe Lipnick RJ Rosner B Bain C Belanger C Stampfer MJ Willett W Peto R. En casekontrolleret undersøgelse af oral prævention og brystkræft. JNCI 1984; 72: 39–42.

81. Lavecchia C decarli A Fasoli M Franceschi S Gentile A Negri e Parazzini F Tognoni G. Orale prævention og kræft i brystet og den kvindelige kønsorgan. Interimsresultater fra en case-control-undersøgelse. Br. J. Cancer 1986; 54: 311–317.

82. Meirik o Lund e Adami H Bergstrom r Christoffersen t Bergsjo P. Oral prævention i brystkræft hos unge kvinder. En fælles national case-control-undersøgelse i Sverige og Norge. Lancet 1986; 11: 650–654.

83. Kay Cr Hannaford PC. Brystkræft og pillen - en yderligere rapport fra Royal College of General Practitioners 'Oral Prevention Study. Br. J. Cancer 1988; 58: 675–680.

84. Stadel Bv Lai S Schlesselman JJ Murray P. Orale prævention og premenopausal brystkræft hos nulliparøse kvinder. Prevention 1988; 38: 287–299.

85. Miller Dr. Rosenberg L Kaufman DW Stolley P Warshauer Me Shapiro S. Brystkræft før 45 år og mundtlig prævention: Nye fund. Er. J. Epidemiol 1989; 129: 269–280.

86. Den britiske nationale case-control-studiegruppe mundtlig prævention og risiko for brystkræft hos unge kvinder. Lancet 1989; 1: 973–982.

87. Schlesselman JJ. Kræft i bryst- og reproduktionskanalen i relation til anvendelse af orale prævention. Prevention 1989; 40: 1–38.

88. Vessey MP McPherson K Villard-Mackintosh l Yeates D. Orale prævention og brystkræft: Seneste fund i en stor kohortundersøgelse. Br. J. Cancer 1989; 59: 613–617.

89. Jick SS Walker Am Stergachis A Jick H. Orale prævention og brystkræft. Br. J. Cancer 1989; 59: 618–621.

100. Porter JB Hunter J Jick H et al. Orale prævention og ikke -dødelig vaskulær sygdom. Obstet Gynecol 1985; 66: 1–4.

101. Porter JB Jick H Walker Am. Dødelighed blandt orale præventionsbrugere. Obstet Gynecol 1987; 7029–32.

102. Jick H Jick Ss Gurewich mod Myers MW Vasilakis C. Risiko for idiopatisk kardiovaskulær død og ikke-dødelig venøs tromboembolisme hos kvinder, der bruger orale prævention med forskellige progestagen-komponenter. Lancet 1995; 346: 1589–93.

103. Verdenssundhedsorganisation Samarbejdsundersøgelse af hjerte -kar -sygdomme og steroidhormon -prævention. Effekt af forskellige progestagener i lav østrogen orale prævention på venøs tromboembolisk sygdom. Lancet 1995; 346: 1582–88.

104. Spitzer Wo Lewis Ma Heinemann Laj Thorogood M Macrae KD på vegne af tværnational forskningsgruppe på orale prævention og sundhed hos unge kvinder. Tredje generation af orale prævention og risiko for venøs tromboemboliske lidelser: en international case-control-undersøgelse. Br Med J 1996; 312: 83–88.

Overdosis Information for Azurette

Der er ikke rapporteret om alvorlige dårlige effekter efter akut indtagelse af store doser af orale prævention af små børn. Overdosering kan forårsage kvalme og abstinensblødning kan forekomme hos kvinder.

Ikke-contraceptive sundhedsmæssige fordele

Følgende ikke-contraceptive sundhedsmæssige fordele, der er relateret til brugen af ​​orale prævention, understøttes af epidemiologiske undersøgelser, der stort set anvendte orale præventionsformuleringer indeholdende østrogen-doser, der overstiger 0,035 mg ethinyløstradiol eller 0,05 mg mestranol (73 til 78).

Effekter på menstruation:

  • Øget menstruationscyklus regelmæssighed
  • Nedsat blodtab og nedsat forekomst af jernmangelanæmi
  • nedsat forekomst af dysmenorrhea

Effekter relateret til inhibering af ægløsning:

  • Nedsat forekomst af funktionelle ovariecyster
  • Nedsat forekomst af ektopiske graviditeter

Effekter fra langvarig brug:

  • Nedsat forekomst af fibroadenomer og fibrocystisk sygdom i brystet
  • Nedsat forekomst af akut bækkeninflammatorisk sygdom
  • nedsat forekomst af endometriecancer
  • nedsat forekomst af kræft i æggestokkene

Kontraindikationer for Azurette

Orale prævention bør ikke bruges hos kvinder, der i øjeblikket har følgende betingelser:

  • Thrombophlebitis eller tromboemboliske lidelser
  • En tidligere historie med dyb venetromboflebitis eller tromboemboliske lidelser
  • Cerebral vaskulær eller koronar arteriesygdom
  • Kendt eller mistænkt karcinom i brystet
  • Karcinom i endometrium eller andre kendte eller mistænkte østrogenafhængige neoplasi
  • Udiagnostiseret unormal kønsblødning
  • Kolestatisk gulsot of pregnancy or jaundice with prior pill use
  • Lever adenomer eller carcinomer
  • Kendt eller mistænkt graviditet
  • Modtager hepatitis C -medikamentkombinationer, der indeholder ombitasvir/paritaprevir/ritonavir med eller uden dasabuvir på grund af potentialet for ALT -forhøjninger (se Advarsler Risiko for leverenzymhøjder med samtidig hepatitis C -behandling ).

Referencer

73. Kræft- og steroidhormonundersøgelse af Centers for Disease Control og National Institute of Child Health and Human Development: Oral prævention brug og risikoen for kræft i æggestokkene. Jama 1983; 249: 1596–1599.

74. Kræft- og steroidhormonundersøgelse af Centers for Disease Control og National Institute of Child Health and Human Development: Combination Oral Charseptive brug og risikoen for endometrial kræft. Jama 1987; 257: 796–800.

75. ory HW. Funktionelle ovariecyster og orale prævention: negativ tilknytning bekræftet kirurgisk. JAMA 1974; 228: 68–69.

76. Ory HW Cole P MacMahon B Hoover R. Orale prævention og reduceret risiko for godartet brystsygdom. N Engl J Med 1976; 294: 419–422.

77. ory HW. De ikke -kontraceptive sundhedsmæssige fordele ved oral prævention. Fam Plann Perspect 1982; 14: 182–184.

78. Ory HW Forrest JD Lincoln R. træffer valg: Evaluering af sundhedsrisici og fordele ved præventionsmetoder. New York Alan Guttmacher Institute 1983; s. 1.

Klinisk farmakologi for Azurette

Kombination af orale prævention fungerer ved undertrykkelse af gonadotropiner. Selvom den primære mekanisme for denne handling er inhibering af ægløsning, inkluderer andre ændringer ændringer i livmoderhalsslim (hvilket øger vanskeligheden ved sædindtræden i livmoderen) og endometrium (hvilket reducerer sandsynligheden for implantation).

Receptorbindingsundersøgelser såvel som undersøgelser af dyr har vist, at etonogestrel den biologisk aktive metabolit af desogestrel kombinerer høj progestational aktivitet med minimal iboende androgenicitet (91 92).

Relevansen af ​​dette sidstnævnte fund hos mennesker er ukendt.

Farmakokinetik

Absorption

Desogestrel is rapidly og almost completely absorbed og converted ito etonogestrel its biologically active metabolite. Followig oral admiistforholdn the relative bioavailability of desogestrel compared to a solution as measured by serum levels of etonogestrel is approximately 100%. Azurette (desogestrel/ethiyl estradiol og ethiyl estradiol) Tablets provide two different regimens of ethiyl estradiol; 0.02 mg i the combiation tablet [white] as well as 0.01 mg i the light-blue tablet. Ethinyl østradiol is rapidly og almost completely absorbed. After a sigle dose of Azurette combiation tablet [white] the relative bioavailability of ethiyl estradiol is approximately 93% while the relative bioavailability of the 0.01 mg tablet [light-blue] is 99%. The effect of food on the bioavailability of Azurette tablets followig oral admiistforholdn has not been evaluated.

Farmakokinetikken af ​​etonogestrel og ethinyløstradiol efter multiple dosisadministration af azurettabletter blev bestemt under den tredje cyklus hos 17 forsøgspersoner. Plasmakoncentrationer af etonogestrel og ethinyløstradiol nåede stabil tilstand på dag 21. AUC (0–24) for etonogestrel i stabil tilstand på dag 21 var ca. 2,2 gange højere end AUC (0–24) på ​​dag 1 i den tredje cyklus. De farmakokinetiske parametre for etonogestrel og ethinyløstradiol under den tredje cyklus efter multiple dosisadministration af azurettabletter er sammenfattet i tabel I.

Tabel I: Gennemsnitlig (SD) farmakokinetiske parametre for azurette over en 28 dages doseringsperiode i den tredje cyklus (n = 17).

Ethonogestrel
Dag Dosis mg Cmax PG/ml Tmax h t 1/2 h AUC0–24 pg/ml • HR Cl/f l/h
1 0.15 2503.6 (987.6) 2.4 (1) 29.8 (16.3) 17832 (5674) 5.4 (2.5)
21 0.15 4091.2 (1186.2) 1,6 (NULL,7) 27.8 (7.2) 39391 (12134) 4.4 (1.4)

1. desogestrel

Ethinyl østradiol
Dag Dosis mg Cmax PG/ml Tmax h t 1/2 h AUC0–24 pg/ml • HR Cl/f l/h
1 0.02 51.9 (15.4) 2.9 (1.2) 16.5 (4.8) 566 (173) 25.7 (9.1)
21 0.02 62.2 (25.9) 2 (NULL,8) 23.9 (25.5) 597 (127) 35.1 (8.2)
24 0.01 24.6 (10.8) 2.4 (1) 18.8 (10.3) 246 (65) 43.6 (12.2)
28 0.01 35.3 (27.5) 2.1 (1.3) 18.9 (8.3) 312 (62) 33.2 (6.6)
Cmax - målt spidskoncentration
Tmax - Observeret tid for spidskoncentration
t 1/2 -Elimination Half-Life beregnet af 0,693/Kelim
AUC 0–24-Område under koncentrationstidskurven beregnet ved den lineære trapezformede regel (tid 0 til 24 timer)
CL/F - Tilsyneladende godkendelse

1. n = 16

Fordeling

Ethonogestrel the active metabolite of desogestrel was found to be 99% protei bound primarily to sex hormone-bidig globuli (SHBG). Ethinyl østradiol is approximately 98.3% bound maily to plasma albumi. Ethinyl østradiol does not bid to SHBG but iduces SHBG synthesis. Desogestrel i combiation with ethiyl estradiol does not counteract the estrogen -iduced icrease i SHBG resultig i lower serum levels of free testosterone (96 to 99).

Metabolisme

Desogestrel

Desogestrel is rapidly og completely metabolized by hydroxylation i the itestial mucosa og on first pass through the liver to etonogestrel. Other metabolites (i.e. 3a-OH-desogestrel 3ß-OH-desogestrel og 3a-OH-5a- H-desogestrel) with no pharmacologic actions also have been identified og these metabolites may undergo glucuronide og sulfate conjugation.

Ethinyl østradiol

Ethinyl østradiol is subject to a significant degree of presystemic conjugation (phase II metabolism). Ethinyl østradiol escapig gut wall conjugation undergoes phase I metabolism og hepatic conjugation (phase II metabolism). Major phase I metabolites are 2-OH-ethiyl estradiol og 2-methoxy-ethiyl estradiol. Sulfate og glucuronide conjugates of both ethiyl estradiol og phase I metabolites which are excreted i bile can undergo enterohepatic circulation.

Udskillelse

Ethonogestrel og ethiyl estradiol are excreted i urie bile og feces. At steady state on Dag 21 the elimiation half-life of etonogestrel is 27.8 ± 7.2 hours og the elimiation half-life of ethiyl estradiol for the combiation tablet is 23.9 ± 25.5 hours. For the 0.01 mg ethiyl estradiol tablet [light-blue] the elimiation half-life at steady state Dag 28 is 18.9 ± 8.3 hours.

Særlige befolkninger

Race

Der er ingen oplysninger til at bestemme virkningen af ​​race på farmakokinetikken i Azurette.

Leverinsufficiens

Der blev ikke udført nogen formelle undersøgelser for at evaluere virkningen af ​​leversygdom på dispositionen af ​​azurette.

Nyreinsufficiens

Der blev ikke udført nogen formelle undersøgelser for at evaluere virkningen af ​​nyresygdom på dispositionen af ​​Azurette.

Interaktioner med lægemiddel-lægemidler

Interaktioner mellem desogestrel/ethinyl østradiol og andre lægemidler er rapporteret i litteraturen. Der blev ikke udført nogen formelle interaktionsundersøgelser med lægemidler (se FORHOLDSREGLER afsnit).

Referencer

91. Kloosterboer HJ et al. Selektivitet i progesteron- og androgenreceptorbinding af progestogener anvendt i oral prævention. Prevention 1988; 38: 325–32.

92. Van der vies J og de Visser J. Endokrinologiske undersøgelser med Deso -meter. Medicin. Forskning./drug res. 1983; 33 (l) 2: 231–6.

96. Cullberg G et al. Effekter af en lavdosis desogestrel-ethinyl østradiol-kombination på hirsutisme androgener og kønshormonbindende globulin hos kvinder med et polycystisk æggestokkesyndrom. Acta Obstet Gynecol Scand 1985; 64: 195–202.

97. Jung-Hoffmann C og Kuhl H. Divergent effekter af to lavdosis orale prævention på kønshormonbindende globulin og fri testosteron. Ajog 1987; 156: 199–203.

Hvad bruges motrin 800 til

98. Hammond G et al. Serumsteroidbindende proteinkoncentrationer Distribution af progestogener og biotilgængelighed af testosteron under behandling med prævention, der indeholder desogestrel eller levonorgestrel. Gødning. Steril. 1984; 42: 44–51.

99. Palatsi R et al. Serum total og ubundet testosteron og kønshormonbindende globulin (SHBG) hos kvindelige acne -patienter behandlet med to forskellige orale prævention. Acta Derm Venereol 1984; 64: 517–23.

Patientoplysninger til Azurette

Azurette ®
(Desogestrel/Ethinyl Estradiol og Ethinyl Estradiol tabletter USP)

Dette produkt (som alle orale prævention) er beregnet til at forhindre graviditet. Det beskytter ikke mod HIV -infektion (AIDS) og andre seksuelt overførte sygdomme.

Orale prævention, også kendt som p -piller eller pillen, tages for at forhindre graviditet, og når de tages korrekt, skal du have en svigtfrekvens på ca. 1% om året, når de bruges uden at gå glip af piller. Den typiske fejlfrekvens for et stort antal pillebrugere er mindre end 5% om året, når kvinder, der går glip af piller, er inkluderet. For de fleste kvinder er orale prævention også fri for alvorlige eller ubehagelige bivirkninger. Men glemme at tage piller øger dog chancerne for graviditet betydeligt.

For størstedelen af ​​kvinder kan orale prævention tages sikkert. Men der er nogle kvinder, der har en høj risiko for at udvikle visse alvorlige sygdomme, der kan være livstruende eller kan forårsage midlertidig eller permanent handicap. Risikoen forbundet med at tage orale prævention øges markant, hvis du:

  • røg
  • har høj blodtryksdiabetes højt kolesteroltal
  • Har eller har haft koagulationsforstyrrelser hjerteanfald Stræk angina pectoris kræft i bryst- eller kønsorganer gulsot eller ondartede eller godartede levertumorer.

Selvom risici for hjerte-kar-sygdomme kan øges med oral præventionsbrug efter alder 40 hos sunde ikke-ryger kvinder (selv med de nyere lavdosisformuleringer) er der også større potentielle sundhedsrisici forbundet med graviditet hos ældre kvinder.

Du skal ikke tage pillen, hvis du har mistanke om, at du er gravid eller har uforklarlig vaginal blødning.

Cigaretrygning øger risikoen for alvorlige kardiovaskulære bivirkninger fra oral prævention. Denne risiko stiger med alderen og med kraftig rygning (15 eller flere cigaretter om dagen) og er ret markeret hos kvinder over 35 år. Kvinder, der bruger orale prævention, rådes stærkt til ikke at ryge.

De fleste bivirkninger af pillen er ikke alvorlige. De mest almindelige sådanne effekter er kvalme opkastning af blødning mellem menstruationsperioder vægtøgning bryst ømhed hovedpine og vanskeligheder med at bære kontaktlinser. Disse bivirkninger, især kvalme og opkast, kan falde inden for de første tre måneder efter brug.

De alvorlige bivirkninger af pillen forekommer meget sjældent, især hvis du er ved godt helbred og er ung. Du skal dog vide, at følgende medicinske tilstande er blevet forbundet med eller forværret af pillen:

  1. Blodpropper i benene (thrombophlebitis) eller lungerne (lungeemboli) stop eller brud på et blodkar i hjernen (slagtilfælde) blokering af blodkar i hjertet (hjerteanfald eller angina pectoris) eller andre organer i kroppen. Som nævnt ovenfor øger rygning risikoen for hjerteanfald og slagtilfælde og efterfølgende alvorlige medicinske konsekvenser.
  2. Levertumorer, der kan sprænge og forårsage alvorlig blødning. En mulig, men ikke bestemt tilknytning er fundet med pillen og leverkræft. Levercancer er dog ekstremt sjældne. Risikoen for at udvikle leverkræft fra at bruge pillen er således endnu sjældnere.
  3. Højt blodtryk, selvom blodtrykket normalt vender tilbage til det normale, når pillen stoppes.

Symptomerne forbundet med disse alvorlige bivirkninger diskuteres i den detaljerede indlægsseddel, der er givet til dig med din forsyning med piller. Underret din læge eller sundhedsudbyder, hvis du bemærker usædvanlige fysiske forstyrrelser, mens du tager pillen. Derudover kan lægemidler såsom rifampin såvel som nogle antikonvulsiva og nogle antibiotika reducere den orale præventionseffektivitet.

Der er konflikt mellem undersøgelser vedrørende brystkræft og oral prævention. Nogle undersøgelser har rapporteret om en stigning i risikoen for at udvikle brystkræft, især i en yngre alder.

Denne øgede risiko ser ud til at være relateret til brugsvarigheden. Størstedelen af ​​undersøgelserne har ikke fundet nogen samlet stigning i risikoen for at udvikle brystkræft. Nogle undersøgelser har fundet en stigning i forekomsten af ​​kræft i livmoderhalsen hos kvinder, der bruger orale prævention. Imidlertid kan denne konstatering være relateret til andre faktorer end brugen af ​​orale prævention. Der er utilstrækkelig dokumentation til at udelukke muligheden for, at piller kan forårsage sådanne kræftformer.

At tage pillen giver nogle vigtige ikke-kontraktive fordele. Disse inkluderer mindre smertefuld menstruation mindre menstruationsblodtab og anæmi færre bækkeninfektioner og færre kræftformer i æggestokken og foringen af ​​livmoderen.

Sørg for at diskutere enhver medicinsk tilstand, du måtte have med din læge eller sundhedsudbyder. Din læge eller sundhedsudbyder vil tage en medicinsk og familiehistorie, før den ordinerer orale prævention og vil undersøge dig. Den fysiske undersøgelse kan blive forsinket til en anden gang, hvis du anmoder om den, og din læge eller sundhedsudbyder mener, at det er en god medicinsk praksis at udsætte den. Du skal undersøges mindst en gang om året, mens du tager orale prævention. Den detaljerede patientinformationsbrættet giver dig yderligere oplysninger, som du skal læse og diskutere med din læge eller sundhedsudbyder.

Dette produkt (som alle orale prævention) er beregnet til at forhindre graviditet. Det beskytter ikke mod transmission af HIV (AIDS) og andre seksuelt overførte sygdomme, såsom Chlamydia kønsorgan herpes kønsvorter gonorrhea hepatitis B og syfilis.

Brug til brug

Sådan tager du pillen

Vigtige punkter at huske

FØR Du begynder at tage dine piller:

Før du begynder at tage dine piller.

Når som helst er du ikke sikker på, hvad du skal gøre.

Hvis du går glip af piller, kunne du blive gravid. Dette inkluderer at starte pakken sent.

Jo flere piller du savner, jo mere sandsynligt er du for at blive gravid.

Hvis du føler dig syg af din mave, skal du ikke stoppe med at tage pillen. Problemet vil normalt forsvinde. Hvis det ikke går væk, skal du kontakte din læge eller sundhedsudbyder.

På de dage, du tager 2 piller for at kompensere for ubesvarede piller, kunne du også føle dig lidt syg af din mave.

Brug en sikkerhedskopieringsmetode (såsom kondomerskum eller svamp), indtil du tjekker med din læge eller sundhedsudbyder.

  1. Sørg for at læse disse anvisninger:
  2. Den rigtige måde at tage pillen på er at tage en pille hver dag på samme tid.
  3. Mange kvinder har plettet eller let blødning eller kan føle sig syge på deres mave i løbet af de første 1 til 3 pakker med piller.
  4. Manglende piller kan også forårsage pletter eller let blødning, selv når du udgør disse ubesvarede piller.
  5. Hvis du af en eller anden grund har opkast eller diarré, eller hvis du tager nogle medicin, inklusive nogle antibiotika, fungerer dine piller muligvis ikke så godt.
  6. Hvis du har problemer med at huske at tage pillen tale med din læge eller sundhedsudbyder om, hvordan du gør det lettere at tage pille eller om at bruge en anden metode til fødselsbekæmpelse.
  7. Hvis du har spørgsmål eller er usikker på oplysningerne i denne indlægsseddel, skal du ringe til din læge eller sundhedsudbyder.

FØR Du begynder at tage dine piller

Det er vigtigt at tage det omtrent på samme tid hver dag.

Denne 28 pillepakke har 26 aktive [hvide og lysblå] piller (med hormoner) og 2 inaktive [lysgrønne] piller (uden hormoner).

En anden form for fødselskontrol (såsom kondomer skum eller svamp) til at bruge som en sikkerhedskopi, hvis du går glip af piller.

En ekstra fuld pillepakke.

  1. Bestem, hvilket tidspunkt på dagen du vil tage din pille.
  2. Se på din pillepakke: Den har 28 piller:
  3. Find også:
    1. hvor på pakken for at begynde at tage pillerne
    2. i hvilken rækkefølge de skal tage pillerne (følg pilene) og
    3. Ugens numre som vist på billedet herunder.
  4. Sørg for, at du har klar til enhver tid:

Hvornår skal man starte FØRST Pakke piller

Du har et valg af, hvilken dag du skal begynde at tage din første pakke piller. Beslut med din læge eller sundhedsudbyder, som er den bedste dag for dig. Vælg en tid på dagen, som vil være let at huske.

Dag 1 Start

  1. Vælg dagsmærket Strip, der starter med den første dag i din periode (dette er den dag, du begynder at blø eller opdage, selvom det næsten er midnat, når blødningen begynder).
  2. Placer denne dag etiketstrimmel i Cycle Tablet -dispenseren over det område, der har ugens dage (startende med søndag), der er præget af blisterkortet.
  3. BEMÆRK: Hvis den første dag i din periode er en søndag, kan du springe skridt over
  4. Tag den første aktive [hvide] pille i den første pakke under Første 24 timer i din periode .
  5. Du behøver ikke at bruge en sikkerhedskopieringsmetode til fødselsbekæmpelse, da du starter pillen i begyndelsen af ​​din periode.

Søndagsstart

  1. Tag den første aktive [hvide] pille i den første pakke på Søndag efter din periode starter Selv hvis du stadig bløder. Hvis din periode begynder på søndag, skal du starte pakken samme dag.
  2. Brug en anden metode til fødselsbekæmpelse Som en back-up-metode, hvis du har sex når som helst fra søndagen, starter du din første pakke indtil næste søndag (7 dage). Kondomskum eller svampen er gode sikkerhedskopieringsmetoder til fødselsbekæmpelse.

Hvad skal man gøre i løbet af måneden

Spring ikke over piller, selvom du ser eller blødning mellem månedlige perioder eller føler dig syg af din mave (kvalme).

Spring ikke over piller, selvom du ikke har sex meget ofte.

21 piller : Vent 7 dage på at starte den næste pakke. Du vil sandsynligvis have din periode i løbet af den uge. Sørg for, at højst 7 dage går mellem 21 dages pakker.

28 piller : Start den næste pakke dagen efter din sidste pille. Vent ikke nogen dage mellem pakker.

  1. Tag en pille på samme tid hver dag, indtil pakken er tom.
  2. Når du er færdig med en pakke eller skifter dit brand af piller:

Hvad skal jeg gøre, hvis du går glip af piller

Hvis du Miss 1. 'Aktiv' [hvid] pille:

  1. Tag det, så snart du husker det. Tag den næste pille på dit almindelige tidspunkt. Dette betyder, at du tager 2 piller på 1 dag.
  2. Du behøver ikke at bruge en back-up præventionsmetode, hvis du har sex.

Hvis du Miss 2 'aktive' [hvide] piller i træk Uge 1 eller uge 2 af din pakke:

  1. Tag 2 piller den dag, du husker, og 2 piller den næste dag.
  2. Tag derefter 1 pille om dagen, indtil du er færdig med pakken.
  3. Du kan blive gravid, hvis du har sex i 7 dage Når du går glip af piller.
    Du skal bruge en anden præventionsmetode (såsom kondomskum eller svamp) som en sikkerhedskopieringsmetode i disse 7 dage.

Hvis du Miss 2 'aktive' [hvide] piller i træk Uge 3:

Kast resten af ​​pillepakken ud og start en ny pakke samme dag.

Hvis du are a Søndagsstarter:

Fortsæt med at tage 1 pille hver dag indtil søndag.

Kast på søndag resten af ​​pakken og start en ny pakke piller samme dag.

  1. Hvis du are a Dag 1 Starter:
  2. Du har muligvis ikke din periode denne måned, men dette forventes. Men hvis du går glip af din periode 2 måneder i træk, skal du ringe til din læge eller sundhedsudbyder, fordi du måske er gravid.
  3. Du kan blive gravid, hvis du har sex i 7 dage Når du går glip af piller. Du skal bruge en anden præventionsmetode (såsom kondomskum eller svamp) som en sikkerhedskopieringsmetode i disse 7 dage.

Hvis du Miss 3 eller mere 'Aktive' [hvide] piller i træk (i løbet af de første 3 uger):

Kast resten af ​​pillepakken ud og start en ny pakke samme dag.

Hvis du are a Søndagsstarter:

Fortsæt med at tage 1 pille hver dag indtil søndag.

Kast på søndag resten af ​​pakken og start en ny pakke piller samme dag.

  1. Hvis du are a Dag 1 Starter:
  2. Du har muligvis ikke din periode denne måned, men dette forventes. Men hvis du går glip af din periode 2 måneder i træk, skal du ringe til din læge eller sundhedsudbyder, fordi du måske er gravid.
  3. Du kan blive gravid, hvis du har sex i 7 dage Når du går glip af piller. Du skal bruge en anden præventionsmetode (såsom kondomskum eller svamp) som en sikkerhedskopieringsmetode i disse 7 dage.

En påmindelse til dem på 28 dages pakker

Hvis du forget any of the 2 [light-green] or 5 [light-blue] pills i Week 4:

Kast de piller, du savnede.

Fortsæt med at tage 1 pille hver dag, indtil pakken er tom.

Du har ikke brug for en sikkerhedskopieringsmetode.

Endelig, hvis du stadig ikke er sikker på, hvad du skal gøre ved de piller, du har savnet

Brug en back-up-metode når som helst du har sex.

Fortsæt med at tage en 'aktiv' [hvid] pille hver dag, indtil du kan nå din læge eller sundhedsudbyder.

Detaljeret patientpakkeindsats

Azurette ®
(Desogestrel/Ethinyl Estradiol og Ethinyl Estradiol tabletter USP)

Dette produkt (som alle orale prævention) er beregnet til at forhindre graviditet. Det beskytter ikke mod HIV -infektion (AIDS) og andre seksuelt overførte sygdomme.

Bemærk : Denne mærkning revideres fra tid til anden, da vigtige nye medicinske oplysninger bliver tilgængelige. Gennemgå derfor denne mærkning omhyggeligt.

BESKRIVELSE

Følgende orale præventionsprodukt indeholder en kombination af en progestin og østrogen De to slags kvindelige hormoner:

Hver hvid tablet indeholder 0,15 mg desogestrel og 0,02 mg ethinyløstradiol. Hver lysgrøn tablet indeholder inerte ingredienser, og hver lysblå tablet indeholder 0,01 mg ethinyløstradiol.

INDLEDNING

Enhver kvinde, der overvejer at bruge orale prævention (p -p -piller eller pillen), skal forstå fordelene og risiciene ved at bruge denne form for fødselsbekæmpelse. Denne indlægsseddel giver dig meget af de oplysninger, du har brug for for at tage denne beslutning, og vil også hjælpe dig med at afgøre, om du er i fare for at udvikle nogen af ​​de alvorlige bivirkninger af pillen. Det fortæller dig, hvordan du bruger pillen korrekt, så den vil være så effektiv som muligt. Imidlertid er denne indlægsseddel ikke en erstatning for en omhyggelig diskussion mellem dig og din læge eller sundhedsudbyder. Du skal diskutere de oplysninger, der er givet i denne indlægsseddel med ham eller hende, både når du først begynder at tage pillen og under dine revisioner. Du skal også følge din læge eller sundhedsudbyderens råd med hensyn til regelmæssige kontrol, mens du er på pillen.

Effektivitet af orale prævention

Orale prævention eller p-piller eller pillen bruges til at forhindre graviditet og er mere effektive end andre ikke-kirurgiske metoder til fødselsbekæmpelse. Når de tages korrekt, er chancen for at blive gravid mindre end 1% (1 graviditet pr. 100 kvinder pr. Brug), når de bruges perfekt uden at gå glip af piller. Typiske svigtfrekvenser er faktisk 5% om året. Muligheden for at blive gravid øges med hver ubesvaret pille under en menstruationscyklus.

Til sammenligning er typiske svigtfrekvenser for andre metoder til fødselsbekæmpelse i det første brugsår som følger:

Implantater (2 eller 6 kapsler): <1% Han sterilization: <1%
Indsprøjtning: <1% Cervikal cap med spermicider: 20 til 40%
IUD: <1 to 2% Kondom alone (male): 14%
Membran with spermicides: 20% Kondom alone (female): 21%
Spemicider alone: 26% Periodisk afholdenhed: 25%
Vaginal svamp: 20 til 40% Tilbagetrækning: 19%
Kvindelig sterilisering: <1% Ingen metoder: 85%.

Hvem bør ikke tage orale prævention

Cigaretrygning øger risikoen for alvorlige kardiovaskulære bivirkninger fra oral prævention. Denne risiko stiger med alderen og med kraftig rygning (15 eller flere cigaretter om dagen) og er ret markeret hos kvinder over 35 år. Kvinder, der bruger orale prævention, rådes stærkt til ikke at ryge.

Nogle kvinder bør ikke bruge pillen. For eksempel skal du ikke tage pillen, hvis du er gravid eller tror, ​​at du måske er gravid. Du skal heller ikke bruge pillen, hvis du har nogen af ​​følgende betingelser:

  • En historie med hjerteanfald eller slagtilfælde
  • Blodpropper i benene (thrombophlebitis) lunger (lungeemboli) eller øjne
  • En historie med blodpropper i de dybe årer på dine ben
  • Brystsmerter (angina pectoris)
  • Kendt eller mistænkt brystkræft eller kræft i foringen af ​​livmoderhalsen eller vagina
  • Uforklarlig vaginal blødning (indtil en diagnose nås af din læge)
  • Gulning af de hvide i øjnene eller huden (gulsot) under graviditet eller under tidligere brug af pillen
  • Levertumor (godartet eller kræft)
  • Tag enhver hepatitis C -medikamentkombination, der indeholder ombitasvir/paritaprevir/ritonavir med eller uden dasabuvir. Dette kan øge niveauerne af leverenzymet alaninaminotransferase (ALT) i blodet.
  • Kendt eller mistænkt graviditet.

Fortæl din læge eller sundhedsudbyder, hvis du nogensinde har haft nogen af ​​disse betingelser. Din læge eller sundhedsudbyder kan anbefale en anden metode til prævention.

Andre overvejelser, før de tager orale prævention

Fortæl din læge eller sundhedsudbyder, hvis du har det:

  • Brystknudler fibrocystisk sygdom i brystet En unormal bryst røntgenstråle eller mammogram
  • Diabetes
  • Forhøjet kolesterol eller triglycerider
  • Højt blodtryk
  • Migræne or other headaches or epilepsy
  • Mental depression
  • Gallblærehjerte eller nyresygdom
  • Historie om sparsomme eller uregelmæssige menstruationsperioder.

Kvinder med nogen af ​​disse betingelser skal ofte kontrolleres af deres læge eller sundhedsudbyder, hvis de vælger at bruge orale prævention.

Sørg også for at informere din læge eller sundhedsudbyder, hvis du ryger eller er på medicin.

Risici ved at tage orale prævention

1. Risiko for at udvikle blodpropper

Blodpropper og blokering af blodkar er en af ​​de mest alvorlige bivirkninger ved at tage orale prævention og kan forårsage død eller alvorlig handicap. Især en koagulat i benet kan forårsage thrombophlebitis, og en koagulat, der bevæger sig til lungerne, kan forårsage en pludselig blokering af karret, der transporterer blod til lungerne. Risikoen ved disse bivirkninger kan være større med desogestrelholdige orale prævention, såsom azurette end med visse andre lavdosispiller. Sjældent forekommer blodpropper i blodkarene i øjet og kan forårsage blindhed dobbelt syn eller nedsat syn.

Hvis du take oral contraceptives og need elective surgery need to stay i bed for a prolonged illness or have recently delivered a baby you may be at risk of developig blood clots. You should consult your doctor or healthcare provider about stoppig oral contraceptives three to four weeks before surgery og not takig oral contraceptives for two weeks after surgery or durig bed rest. You should also not take oral contraceptives soon after delivery of a baby. It is advisable to wait for at least four weeks after delivery if you are not breastfeedig or four weeks after a second trimester abortion. Hvis du are breastfeedig you should wait until you have weaned your child before usig the pill (se Amning i Generelle forholdsregler ).

Risikoen for kredsløbssygdom hos orale præventionsbrugere kan være højere hos brugere af høje dosispiller og kan være større med længere varighed af oral prævention. Derudover kan nogle af disse øgede risici fortsætte i et antal år efter stop af orale prævention. Risikoen for venøs tromboembolisk sygdom, der er forbundet med orale prævention, øges ikke med brugslængden og forsvinder, efter at brug af pille er stoppet. Risikoen for unormal blodkoagulation øges med alderen hos både brugere og ikke-brugere af orale prævention, men den øgede risiko fra det orale prævention synes at være til stede i alle aldre. For kvinder i alderen 20 til 44 estimeres det, at ca. 1 i 2000 ved hjælp af orale prævention vil blive indlagt hvert år på grund af unormal koagulation. Blandt ikke-brugere i samme aldersgruppe ville ca. 1 i 20000 blive indlagt på hospitalet hvert år. For orale præventionsbrugere generelt er det blevet estimeret, at hos kvinder i alderen 15 og 34 år er risikoen for død på grund af en cirkulationsforstyrrelse ca. 1 ud af 12000 om året, mens for ikke-brugere er satsen ca. 1 ud af 50000 pr. År. I aldersgruppen estimeres risikoen 35 til 44 til at være ca. 1 ud af 2500 om året for orale præventionsbrugere og ca. 1 ud af 10000 pr. År for ikke-brugere.

2. hjerteanfald og slagtilfælde

Orale prævention kan øge tendensen til at udvikle slagtilfælde (stop eller brud af blodkar i hjernen) og angina pectoris og hjerteanfald (blokering af blodkar i hjertet). Enhver af disse betingelser kan forårsage død eller alvorlig handicap.

Rygning øger muligheden for at lide hjerteanfald og slagtilfælde. Endvidere øger rygning og brug af orale prævention i høj grad chancerne for at udvikle og dø af hjertesygdomme.

3. galdeblæresygdom

Orale præventionsbrugere har sandsynligvis en større risiko end ikke-brugere for at have galdeblæresygdom, selvom denne risiko kan være relateret til piller, der indeholder høje doser østrogener.

4. levertumorer

I sjældne tilfælde kan orale præventionsmidler forårsage godartede, men farlige levertumorer. Disse godartede levertumorer kan sprænge og forårsage dødelig indre blødning. Derudover er der fundet en mulig, men ikke bestemt tilknytning med pille- og levercancer i to undersøgelser, hvor nogle få kvinder, der udviklede disse meget sjældne kræftformer, viste sig at have brugt orale prævention i lange perioder. Levercancer er dog ekstremt sjældne. Risikoen for at udvikle leverkræft fra at bruge pillen er således endnu sjældnere.

5. Kræft af reproduktionsorganerne og brysterne

Der er konflikt mellem undersøgelser vedrørende brystkræft og oral prævention. Nogle undersøgelser har rapporteret om en stigning i risikoen for at udvikle brystkræft, især i en yngre alder. Denne icreased risk appears to be related to duforholdn of use. The majority of studies have found no overall icrease i the risk of developig breast cancer.

Nogle undersøgelser har fundet en stigning i forekomsten af ​​kræft i livmoderhalsen hos kvinder, der bruger orale prævention. Imidlertid kan denne konstatering være relateret til andre faktorer end brugen af ​​orale prævention. Der er utilstrækkelig dokumentation til at udelukke muligheden for, at piller kan forårsage sådanne kræftformer.

Estimeret risiko for død fra en prævention eller graviditet

Alle metoder til fødselsbekæmpelse og graviditet er forbundet med en risiko for at udvikle visse sygdomme, der kan føre til handicap eller død. Et skøn over antallet af dødsfald, der er forbundet med forskellige metoder til fødselsbekæmpelse og graviditet, er beregnet og er vist i følgende tabel.

Årligt antal fødselsrelaterede eller metodelaterede dødsfald forbundet med kontrol af fertilitet pr. 100000 ikke-sterile kvinder ved fertilitetskontrol i henhold til alder

Metode til kontrol og resultat 15 til 19 20 til 24 25 til 29 30 til 34 35 til 39 40 til 44
Ingen fertilitetskontrolmetoder* 7 7.4 9.1 14.8 25.7 28.2
Orale prævention ikke-ryger 0.3 0.5 0.9 1.9 13.8 31.6
Orale prævention ryger 2.2 3.4 6.6 13.5 51.1 117.2
IUD 0.8 0.8 1 1 1.4 1.4
Kondom* 1.1 1.6 0.7 0.2 0.3 0.4
Membran/spermicide* 1.9 1.2 1.2 1.3 2.2 2.8
Periodisk afholdenhed* 2.5 1.6 1.6 1.7 2.9 3.6

I ovenstående tabel er risikoen for død som følge af enhver præventionsmetode mindre end risikoen for fødsel bortset fra orale præventionsbrugere over 35 år, der ryger og piller brugere over 40 år, selvom de ikke ryger. Det kan ses i tabellen, at for kvinder i alderen 15 til 39 år var risikoen for død højest med graviditet (7 til 26 dødsfald pr. 100000 kvinder afhængigt af alder). Blandt pillebrugere, der ikke ryger risikoen for død, er altid lavere end den, der er forbundet med graviditet for nogen aldersgruppe, selvom risikoen over 40 år stiger til 32 dødsfald pr. 100000 kvinder sammenlignet med 28 forbundet med graviditet i den alder. Men for pillebrugere, der ryger og er over 35 år, overstiger det estimerede antal dødsfald dem for andre metoder til fødselsbekæmpelse. Hvis en kvinde er over 40 år og ryger hendes estimerede dødsrisiko er fire gange højere (117/100000 kvinder) end den estimerede risiko forbundet med graviditet (28/100000 kvinder) i den aldersgruppe.

Forslaget om, at kvinder over 40 år, der ikke ryger, ikke bør tage orale prævention, er baseret på information fra ældre højdosispiller og på mindre selektiv brug af piller, end der praktiseres i dag. Et rådgivende udvalg af FDA drøftede dette spørgsmål i 1989 og anbefalede, at fordelene ved oral prævention af sunde ikke-ryger kvinder over 40 år kan opveje de mulige risici. Imidlertid advares alle kvinder, især ældre kvinder, om at bruge den laveste dosispille, der er effektiv.

Advarselssignaler

Hvis der opstår nogen af ​​disse bivirkninger, mens du tager orale prævention, skal du straks ringe til din læge eller sundhedsudbyder:

  • Skarp brystsmerter hoste af blod eller pludselig åndenød (indikerer en mulig koagulat i lungen)
  • Smerter i kalven (angiver en mulig koagulat i benet)
  • Knusende brystsmerter eller tyngde i brystet (indikerer et muligt hjerteanfald)
  • Pludselig svær hovedpine eller opkast svimmelhed eller besvimelse af forstyrrelser af syn eller talesvaghed eller følelsesløshed i en arm eller et ben (indikerer et muligt slagtilfælde)
  • Pludselig delvis eller fuldstændigt tab af syn (indikerer en mulig koagulat i øjet)
  • Brystklumper (indikerer mulig brystkræft eller fibrocystisk sygdom i brystet; Bed din læge eller sundhedsudbyder om at vise dig, hvordan du undersøger dine bryster)
  • Alvorlig smerte eller ømhed i maveområdet (indikerer en muligvis brudt levertumor)
  • Sværhedsgrad ved at sove svaghed Mangel på energi træthed eller ændring i humør (muligvis indikerer alvorlig depression)
  • Gulsot eller en gulning af huden eller øjenkugler ledsaget ofte af feber træthedstab af appetit mørkt farvet urin eller lysfarvede tarmbevægelser (indikerer mulige leverproblemer).

Bivirkninger af orale prævention

1. vaginal blødning

Uregelmæssig vaginal blødning eller plet kan forekomme, mens du tager pillerne. Uregelmæssig blødning kan variere fra let farvning mellem menstruationsperioder til gennembrud blødning, hvilket ligner en strøm, der ligner en almindelig periode. Uregelmæssig blødning forekommer oftest i de første måneder af oral prævention, men kan også forekomme, når du har taget pillen i nogen tid. En sådan blødning kan være midlertidig og indikerer normalt ikke alvorlige problemer. Det er vigtigt at fortsætte med at tage dine piller efter planen. Hvis blødningen forekommer i mere end en cyklus eller varer i mere end et par dage, skal du tale med din læge eller sundhedsudbyder.

2. kontaktlinser

Hvis du wear contact lenses og notice a change i vision or an iability to wear your lenses contact your doctor or healthcare provider.

Hvad er cutivate creme brugt til

3. væskeopbevaring

Orale prævention kan forårsage ødem (væskeopbevaring) med hævelse af fingrene eller anklerne og kan hæve dit blodtryk. Hvis du oplever fluidopbevaring, skal du kontakte din læge eller sundhedsudbyder.

4. Melasma

En plettet mørkhed af huden er muligt, især af ansigtet.

5. Andre bivirkninger

Andre bivirkninger kan omfatte kvalme og opkastning af ændringer i appetithovedpine nervøsitet depression svimmelhedstab af hårbundsudslæt og vaginal infektioner.

Hvis nogen af ​​disse bivirkninger generer dig, ringer du til din læge eller sundhedsudbyder.

Generelle forholdsregler

1. ubesvarede perioder og brug af orale prævention før eller under den tidlige graviditet

Der kan være tidspunkter, hvor du muligvis ikke menstruation regelmæssigt, efter at du har afsluttet at tage en cyklus af piller. Hvis du har taget dine piller regelmæssigt og gå glip af en menstruationsperiode fortsæt med at tage dine piller til den næste cyklus, men sørg for at informere din læge eller sundhedsudbyder, før du gør det. Hvis du ikke har taget pillerne dagligt som instrueret og gået glip af en menstruationsperiode, eller hvis du gik glip af to på hinanden følgende menstruationsperioder, kan du være gravid. Kontakt straks med din læge eller sundhedsudbyder for at afgøre, om du er gravid. Fortsæt ikke med at tage orale prævention, før du er sikker på, at du ikke er gravid, men fortsæt med at bruge en anden metode til prævention.

Der er ingen afgørende bevis for, at oral prævention er forbundet med en stigning i fødselsdefekter, når det tages utilsigtet under den tidlige graviditet. Tidligere havde nogle få undersøgelser rapporteret, at orale prævention kan være forbundet med fødselsdefekter, men disse undersøgelser er ikke bekræftet. Ikke desto mindre bør orale prævention eller andre lægemidler ikke bruges under graviditet, medmindre det er klart nødvendigt og foreskrevet af din læge eller sundhedsudbyder. Du skal tjekke med din læge eller sundhedsudbyder om risici for dit ufødte barn af enhver medicin, der er taget under graviditeten.

2. under amning

Hvis du are breastfeedig consult your doctor or healthcare provider before startig oral contraceptives. Some of the drug will be passed on to the child i the milk. A few adverse effects on the child have been reported icludig yellowig of the ski (jaundice) og breast enlargement. In addition oral contraceptives may decrease the amount og quality of your milk. If possible do not use oral contraceptives while breastfeedig. You should use another method of contraception sice breastfeedig provides only partial protection from becomig pregnant og this partial protection decreases significantly as you breastfeed for longer periods of time. You should consider startig oral contraceptives only after you have weaned your child completely.

3. laboratorietest

Hvis du are scheduled for any laboratory tests tell your doctor or healthcare provider you are takig birth control pills. Certai blood tests may be affected by birth control pills.

4. lægemiddelinteraktioner

Visse lægemidler kan interagere med p -piller for at gøre dem mindre effektive til at forhindre graviditet eller forårsage en stigning i gennembrud blødning. Sådanne lægemidler inkluderer rifampinlægemidler, der bruges til epilepsi, såsom barbiturater (for eksempel phenobarbital) phenytoin (dilantin ® er et mærke af dette lægemiddel) phenylbutazon (butazolidin er et brand) og muligvis visse antibiotika. Det kan være nødvendigt, at du bruger yderligere prævention, når du tager lægemidler, der kan gøre orale prævention mindre effektive.

P -piller kan interagere med lamotrigin et antikonvulsant, der bruges til epilepsi. Dette kan øge risikoen for anfald, så din læge kan være nødt til at justere dosis af lamotrigin.

Nogle lægemidler gør muligvis p -pille mindre effektiv, herunder:

  • Barbiturates
  • Bosentan
  • Carbamazepin
  • Felbamate
  • Griseofulvin
  • Oxcarbazepin
  • Phable
  • Rifampin
  • St. John's Wort
  • Topiramat

Som med alle receptpligtige produkter skal du underrette din sundhedsudbyder om andre medicin og urteprodukter, du tager. Det kan være nødvendigt, at du bruger en barriere -prævention, når du tager medicin eller produkter, der kan gøre p -piller mindre effektive.

5. Seksuelt overførte sygdomme

Dette produkt (som alle orale prævention) er beregnet til at forhindre graviditet. Det beskytter ikke mod transmission af HIV (AIDS) og andre seksuelt overførte sygdomme, såsom Chlamydia kønsorgan herpes kønsvorter gonorrhea hepatitis B og syfilis.

Sådan tager du pillen

Vigtige punkter at huske

FØR Du begynder at tage dine piller:

Før du begynder at tage dine piller.

Når som helst er du ikke sikker på, hvad du skal gøre.

Hvis du går glip af piller, kunne du blive gravid. Dette inkluderer at starte pakken sent.

Jo flere piller du savner, jo mere sandsynligt er du for at blive gravid.

Mave i løbet af de første 1 til 3 pakker piller.

Hvis du føler dig syg af din mave, skal du ikke stoppe med at tage pillen. Problemet vil normalt forsvinde. Hvis det ikke går væk, skal du kontakte din læge eller sundhedsudbyder.

På de dage, du tager 2 piller for at kompensere for ubesvarede piller, kunne du også føle dig lidt syg af din mave.

Brug en sikkerhedskopieringsmetode (såsom kondomerskum eller svamp), indtil du tjekker med din læge eller sundhedsudbyder.

  1. Sørg for at læse disse anvisninger:
  2. Den rigtige måde at tage pillen på er at tage en pille hver dag på samme tid.
  3. Mange kvinder har plettet eller let blødning eller kan føle sig syge for deres
  4. Manglende piller kan også forårsage pletter eller let blødning, selv når du udgør disse ubesvarede piller.
  5. Hvis du af en eller anden grund har opkast eller diarré, eller hvis du tager nogle medicin, inklusive nogle antibiotika, fungerer dine piller muligvis ikke så godt.
  6. Hvis du har problemer med at huske at tage pillen tale med din læge eller sundhedsudbyder om, hvordan du gør det lettere at tage pille eller om at bruge en anden metode til fødselsbekæmpelse.
  7. Hvis du har spørgsmål eller er usikker på oplysningerne i denne indlægsseddel, skal du ringe til din læge eller sundhedsudbyder.

FØR Du begynder at tage dine piller

Det er vigtigt at tage det omtrent på samme tid hver dag.

Denne 28 pillepakke har 26 aktive [hvide og lysblå] piller (med hormoner) og 2 inaktive [lysgrønne] piller (uden hormoner).

En anden form for fødselskontrol (såsom kondomer skum eller svamp) til at bruge som en sikkerhedskopi, hvis du går glip af piller.

En ekstra fuld pillepakke.

  1. Bestem, hvilket tidspunkt på dagen du vil tage din pille.
  2. Se på din pillepakke: Den har 28 piller:
  3. Find også:
    1. hvor på pakken for at begynde at tage pillerne
    2. i hvilken rækkefølge de skal tage pillerne (følg pilene) og
    3. Ugens numre som vist på billedet herunder.
  4. Sørg for, at du har klar til enhver tid:

Hvornår skal man starte FØRST Pakke piller

Du har et valg af, hvilken dag du skal begynde at tage din første pakke piller. Beslut med din læge eller sundhedsudbyder, som er den bedste dag for dig. Vælg en tid på dagen, som vil være let at huske.

Dag 1 Start

  1. Vælg dagsmærket Strip, der starter med den første dag i din periode (dette er den dag, du begynder at blø eller opdage, selvom det næsten er midnat, når blødningen begynder).
  2. Placer denne dag etiketstrimmel i Cycle Tablet -dispenseren over det område, der har ugens dage (startende med søndag), der er præget af blisterkortet.
  3. BEMÆRK: Hvis den første dag i din periode er en søndag, kan du springe skridt over
  4. Tag den første aktive [hvide] pille i den første pakke under Første 24 timer i din periode .
  5. Du behøver ikke at bruge en sikkerhedskopieringsmetode til fødselsbekæmpelse, da du starter pillen i begyndelsen af ​​din periode.

Søndagsstart

  1. Tag den første aktive [hvide] pille i den første pakke på Søndag efter din periode starter Selv hvis du stadig bløder. Hvis din periode begynder på søndag, skal du starte pakken samme dag.
  2. Brug en anden metode til fødselsbekæmpelse Som en back-up-metode, hvis du har sex når som helst fra søndagen, starter du din første pakke indtil næste søndag (7 dage). Kondomskum eller svampen er gode sikkerhedskopieringsmetoder til fødselsbekæmpelse.

Hvad skal man gøre i løbet af måneden

Spring ikke over piller, selvom du ser eller blødning mellem månedlige perioder eller føler dig syg af din mave (kvalme).

Spring ikke over piller, selvom du ikke har sex meget ofte.

21 piller : Vent 7 dage på at starte den næste pakke. Du vil sandsynligvis have din periode i løbet af den uge. Sørg for, at højst 7 dage går mellem 21 dages pakker.

28 piller : Start den næste pakke dagen efter din sidste pille. Vent ikke nogen dage mellem pakker.

  1. Tag en pille på samme tid hver dag, indtil pakken er tom.
  2. Når du er færdig med en pakke eller skifter dit brand af piller:

Hvad skal jeg gøre, hvis du går glip af piller

Hvis du Miss 1. Aktiv [hvid] pille:

  1. Tag det, så snart du husker det. Tag den næste pille på dit almindelige tidspunkt. Dette betyder, at du tager 2 piller på 1 dag.
  2. Du behøver ikke at bruge en back-up præventionsmetode, hvis du har sex.

Hvis du Miss 2 'aktive' [hvide] piller i træk Uge 1 eller uge 2 af din pakke:

  1. Tag 2 piller den dag, du husker, og 2 piller den næste dag.
  2. Tag derefter 1 pille om dagen, indtil du er færdig med pakken.
  3. Du kan blive gravid, hvis du har sex i 7 dage Når du går glip af piller.

Du skal bruge en anden præventionsmetode (såsom kondomskum eller svamp) som en sikkerhedskopieringsmetode i disse 7 dage.

Hvis du Miss 2 'aktive' [hvide] piller i træk Uge 3:

Kast resten af ​​pillepakken ud og start en ny pakke samme dag.

Hvis du are a Søndagsstarter:

Fortsæt med at tage 1 pille hver dag indtil søndag.

Kast på søndag resten af ​​pakken og start en ny pakke piller samme dag.

  1. Hvis du are a Dag 1 Starter:
  2. Du har muligvis ikke din periode denne måned, men dette forventes. Men hvis du går glip af din periode 2 måneder i træk, skal du ringe til din læge eller sundhedsudbyder, fordi du måske er gravid.
  3. Du kan blive gravid, hvis du har sex i 7 dage Når du går glip af piller. Du skal bruge en anden præventionsmetode (såsom kondomskum eller svamp) som en sikkerhedskopieringsmetode i disse 7 dage.

Hvis du Miss 3 eller mere 'Aktive' [hvide] piller i træk (i løbet af de første 3 uger):

Kast resten af ​​pillepakken ud og start en ny pakke samme dag.

Hvis du are a Søndagsstarter:

Fortsæt med at tage 1 pille hver dag indtil søndag.

Kast på søndag resten af ​​pakken og start en ny pakke piller samme dag.

  1. Hvis du are a Dag 1 Starter:
  2. Du har muligvis ikke din periode denne måned, men dette forventes. Men hvis du går glip af din periode 2 måneder i træk, skal du ringe til din læge eller sundhedsudbyder, fordi du måske er gravid.
  3. Du kan blive gravid, hvis du har sex i 7 dage Når du går glip af piller. Du skal bruge en anden præventionsmetode (såsom kondomskum eller svamp) som en sikkerhedskopieringsmetode i disse 7 dage.

En påmindelse til dem på 28 dages pakker

Hvis du forget any of the 2 [light-green] or 5 [light-blue] pills i Week 4:

Kast de piller, du savnede.

Fortsæt med at tage 1 pille hver dag, indtil pakken er tom.

Du har ikke brug for en sikkerhedskopieringsmetode.

Endelig, hvis du stadig ikke er sikker på, hvad du skal gøre ved de piller, du har savnet

Brug en back-up-metode når som helst du har sex.

Fortsæt med at tage en 'aktiv' [hvid] pille hver dag, indtil du kan nå din læge eller sundhedsudbyder.

Graviditet på grund af pillefejl

Forekomsten af ​​pillefejl, der resulterer i graviditet, er cirka en procent (dvs. en graviditet pr. 100 kvinder om året), hvis det tages hver dag som anført, men mere typiske svigthastigheder er ca. 5%. Hvis fiasko forekommer, er risikoen for fosteret minimal.

Graviditet efter at have stoppet pillen

Der kan være en vis forsinkelse med at blive gravid, efter at du har stoppet med at bruge orale prævention, især hvis du havde uregelmæssige menstruationscyklusser, før du brugte orale prævention. Det kan være tilrådeligt at udsætte undfangelsen, indtil du begynder at menstruere regelmæssigt, når du er stoppet med at tage pillen og ønske om graviditet.

Der ser ikke ud til at være nogen stigning i fødselsdefekter hos nyfødte babyer, når graviditet opstår kort efter at have stoppet pillen.

Overdosering

Der er ikke rapporteret om alvorlige dårlige effekter efter indtagelse af store doser af orale prævention af små børn. Overdosering kan forårsage kvalme og tilbagetrækning af blødning hos kvinder. I tilfælde af overdosering skal du kontakte din læge sundhedsudbyder eller apotek.

Andre oplysninger

Din læge eller sundhedsudbyder vil tage en medicinsk og familiehistorie, før den ordinerer orale prævention og vil undersøge dig. Den fysiske undersøgelse kan blive forsinket til en anden gang, hvis du anmoder om den, og din læge eller sundhedsudbyderen mener, at det er en god medicinsk praksis at udsætte den. Du skal undersøges mindst en gang om året. Sørg for at informere din læge eller sundhedsudbyder, hvis der er en familiehistorie om nogen af ​​de betingelser, der er anført tidligere i denne indlægsseddel. Sørg for at holde alle aftaler hos din læge eller sundhedsudbyder, fordi dette er en tid til at afgøre, om der er tidlige tegn på bivirkninger af oral prævention.

Brug ikke lægemidlet til nogen anden tilstand end det, det blev ordineret til. Dette stof er ordineret specifikt til dig; Giv det ikke til andre, der muligvis vil have p -piller.

Sundhedsmæssige fordele ved orale prævention

Ud over at forhindre graviditetsanvendelse af kombination af orale prævention kan give visse fordele. De er:

  • Menstruationscyklusser kan blive mere regelmæssige.
  • Blodstrøm under menstruation kan være lettere, og mindre jern kan gå tabt. Derfor er det mindre sandsynligt, at anæmi på grund af jernmangel forekommer.
  • Smerter eller andre symptomer under menstruation kan opstå mindre hyppigt.
  • Ektopisk (tubal) graviditet kan forekomme sjældnere.
  • Ikke-kræftcyster eller klumper i brystet kan forekomme sjældnere.
  • Akut bækkeninflammatorisk sygdom kan forekomme sjældnere.
  • Oral præventionsbrug kan give en vis beskyttelse mod at udvikle to former for kræft: kræft i æggestokkene og kræft i foringen i livmoderen.

Hvis du want more iformation about birth control pills ask your doctor healthcare provider or pharmacist. They have a more technical leaflet called the Prescribig Information which you may wish to read.

Ring til din læge for medicinsk rådgivning om bivirkninger. Du kan rapportere bivirkninger til FDA på 1-800-FDA- 1088.

Opbevares ved 20 ° til 25 ° C (68 ° til 77 ° F) [se USP -kontrolleret stuetemperatur].

Opbevar dette og alle medicin uden for børns rækkevidde.