Oplysningerne På Webstedet Er Ikke Medicinsk Rådgivning. Vi Sælger Ikke Noget. Nøjagtigheden Af ​​Oversættelsen Er Ikke Garanteret. Ansvarsfraskrivelse



Bidil

Resume af lægemiddeloversigt

Hvad er Bidil?

Bidil (Isosorbide dinitrat og hydralazin HCI) er en kombination af et nitrat og en vasodilator, der bruges til behandling af hjertesvigt.

Hvad er bivirkninger af Bidil?

Almindelige bivirkninger af Bidil inkluderer:



  • hovedpine
  • svimmelhed
  • Lightheadedness
  • svaghed
  • kvalme
  • opkast
  • Hurtig hjerteslag
  • hævede ankler og
  • Flushing (rødme i ansigtshalsen og brystet), når din krop tilpasser sig medicinen.

Fortæl din læge, hvis du har usandsynlig, men seriøse bivirkninger af Bidil inklusive:



  • følelsesløshed og prikken
  • Alvorlig træthed
  • ømme/hævede led
  • Udslæt på næse og kinder
  • hævede kirtler
  • Ændring i mængden af ​​urin
  • blodig eller lyserød urin
  • Tegn på infektion (såsom feber kulderystelser vedvarende ondt i halsen)
  • let blå mærker eller blødning
  • besvimende eller
  • Uregelmæssig eller bankende hjerteslag.

Søg medicinsk behandling eller ring 911 på én gang, hvis du har følgende alvorlige bivirkninger:

  • Alvorlige øjensymptomer såsom pludseligt synstab sløret synet tunnel vision øje smerter eller hævelse eller at se haloer omkring lys;
  • Alvorlige hjertesymptomer såsom hurtig uregelmæssige eller bankende hjerteslag; flagrende i brystet; åndenød; og pludselig svimmelhed letthed eller udlevering;
  • Alvorlig hovedpine forvirring sløret talearm eller ben svaghed problemer med at gå tab af koordination føles ustabil meget stive muskler høj feber voldsom sved eller rysten.

Dette dokument indeholder ikke alle mulige bivirkninger, og andre kan forekomme. Kontakt din læge for yderligere oplysninger om bivirkninger.



Dosering til Bidil

Startdosis af Bidil er en tablet 3 gange om dagen. Den maksimale dosis skal ikke overstige to tabletter 3 gange om dagen.

Hvilke stoffer stoffer eller kosttilskud interagerer med Bidil?

Bidil kan interagere med medicin til behandling af erektil dysfunktion dihydroergotamin eller andre hjertemedicin, især dem, der bruges til at behandle højt blodtryk eller uregelmæssige hjerteslag. Fortæl din læge alle medicin, du bruger.

Bidil under graviditet og amning

Under graviditet skal Bidil kun bruges, når det er ordineret. Det er ukendt, om dette stof passerer til modermælk, eller om det kan skade et ammende spædbarn. Kontakt din læge inden amning.

Yderligere oplysninger

Vores BIDIL (Isosorbide Dinitrate og Hydralazine HCL) bivirkninger Drug Center giver et omfattende overblik over tilgængelige lægemiddelinformation om de potentielle bivirkninger, når du tager denne medicin.

FDA -lægemiddelinformation

/H4>

Beskrivelse for Bidil

Bidil er en fastdosis kombination af isosorbiddinitrat en vasodilator med effekter på både arterier og vener og hydralazinhydrochlorid en overvejende arteriel vasodilator.

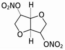
Isosorbid-dinitrat beskrives kemisk som 14: 36-Dianhydro-D-Glucitol Dinitrate, og dens strukturelle formel er:

Isosorbide Dinitrate er en hvid til off-white krystallinsk pulver med den empiriske formel C 6 H 8 N 2 O 8 og en molekylvægt på 236,14. Det er frit opløseligt i organiske opløsningsmidler såsom alkoholchloroform og ether, men er kun sparsomt opløseligt i vand.

Hydralazinhydrochlorid beskrives kemisk som 1-hydrazinophthalazin monohydrochlorid, og dets strukturelle formel er:

Hydralazinhydrochlorid er et hvidt til off-white krystallinsk pulver med den empiriske formel C 8 H 8 N 4 • HCI og en molekylvægt på 196,64. Det er opløseligt i vand lidt opløseligt i alkohol og meget lidt opløselig i ether.

Hvad sker der, når du tager nitroglycerin

Hver BIDIL -tablet til oral administration indeholder 20 mg isosorbiddinitrat og 37,5 mg hydralazinhydrochlorid.

De inaktive ingredienser i Bidil -tabletter inkluderer: vandfri lactose mikrokrystallinsk cellulose natriumstivelse glycolat kolloidal siliciumdioxid magnesium stearat hypromellose fd

Anvendelser til Bidil

Behandling af hjertesvigt hos selvidentificerede sorte patienter

Bidil er indikeret til behandling af hjertesvigt som et supplement til standardterapi hos selvidentificerede sorte patienter for at forbedre overlevelsen til forlænget tid til indlæggelse for hjertesvigt og for at forbedre patientrapporteret funktionel status.

Begrænsninger af brug

There is little experience in patients with NYHA class IV heart failure.

Dosering til Bidil

Bidil skal indledes i en dosis af en Bidil -tablet tre gange om dagen. Titrat til højst to tabletter tre gange dagligt, hvis de tolereres.

Selvom titrering af BIDIL kan være hurtig (3-5 dage) kan nogle patienter opleve bivirkninger og kan tage længere tid at nå deres maksimale tolererede dosis. Doseringen kan nedsættes til så lidt som en halv Bidil-tablet tre gange om dagen, hvis der opstår utålelige bivirkninger. Der bør gøres en indsats for at titrere op, så snart bivirkninger falder ned.

Hvor leveret

Doseringsformularer og styrker

Bidil (20 mg isosorbid-dinitrat og 37,5 mg hydralazinhydrochlorid) tabletter er orange biconvex ca. 8 mm i diameter scorede filmbelagte og nedfældet med 20 på den ene side over scoringen og N på den anden side.

Opbevaring og håndtering

Bidil -tabletter indeholder 20 mg isosorbid -dinitrat og 37,5 mg hydralazinhydrochlorid. De er biconvex ca. 8 mm i diameter scorede filmovertrukne orange tabletter, der blev nedbrydet 20 på den ene side over scoringen og N på den anden side.

NDC 24338-010-09: flasker på 90

Opbevares ved 25 ° C (77 ° F) udflugter, der er tilladt til 15-30 ° C (59-86 ° F). [Se USP -kontrolleret stuetemperatur .] Hold flasker tæt lukket.

Beskyt mod lys. Dispens i en lysbestandig stram beholder.

Fremstillet til: Arbor Pharmaceuticals LLC Atlanta GA 30328. Fremstillet af: Lannett Company Inc. Philadelphia PA 19136. Revideret: Apr 2021

Bivirkninger til Bidil

Kliniske forsøg oplever

Da kliniske undersøgelser udføres under vidt forskellige tilstande, kan bivirkningsrater observeret i de kliniske undersøgelser af et lægemiddel ikke sammenlignes direkte med hastigheder i de kliniske undersøgelser af et andet lægemiddel og muligvis ikke afspejler de satser, der er observeret i praksis.

Bidil er blevet evalueret for sikkerhed hos 517 patienter med hjertesvigt i A-heft. I alt modtog 317 af disse patienter BIDIL i mindst 6 måneder og 220 modtog BIDIL i mindst 12 måneder. I A-heft 21% af patienterne ophørte Bidil for bivirkninger sammenlignet med 12%, der afbrød placebo. De samlede bivirkninger var mere almindelige hos BIDIL -behandlet end hos placebo -behandlede patienter. Tabel 1 viser bivirkninger rapporteret med en forekomst efter afrunding ≥ 2% højere på Bidil end på placebo i A-heft uanset årsagssammenhæng. De mest almindelige årsager til at afbryde BIDIL i A-heft-forsøget var hovedpine (7%).

Tabel 1: Bivirkninger, der forekommer i A-HEFT-undersøgelsen hos ≥ 2% af patienterne behandlet med BIDIL.

Bidil
(N = 517) %
Placebo
(N = 527) %
Hovedpine 50 21
Svimmelhed 32 14
Asthenia 14 11
Kvalme 10 6
Hypotension 8 4
Bihulebetændelse 4 2
Ventrikulær takykardi 4 2
Paræstesi 4 2
Opkast 4 2
Amblyopia 3 1

I V-HEFT I og II kliniske studier blev i alt 587 patienter med hjertesvigt behandlet med kombinationen af ​​isosorbid-dinitrat og hydralazinhydrochlorid. Typemønsterfrekvensen og sværhedsgraden af ​​bivirkninger rapporteret i disse undersøgelser svarede til dem, der blev rapporteret i A-HEFT beskrevet ovenfor, og der blev ikke rapporteret om nogen usædvanlige bivirkninger.

Oplevelse af postmarketing

Følgende bivirkninger er blevet identificeret under anvendelse af Bidil efter godkendelse. Fordi disse reaktioner rapporteres frivilligt fra en population af usikker størrelse, er det ikke altid muligt at pålideligt estimere deres frekvens eller etablere et årsagsforhold til eksponering for lægemidler.

Brug af Bidil: Følgende bivirkninger er blevet identificeret ved anvendelse af BIDIL.

Hjerteforstyrrelser: Hjertebanken

Øre- og labyrintforstyrrelser: Tinnitus svimmelhed

Øjenlidelser: Øjenlåg ødemer synet

Gastrointestinale lidelser: Abdominal ubehag Forstoppelse

Generelle lidelser og administrationsstedets forhold: Ansigtssmerter skylning af bryst ubehag brystsmerter perifert ødemer

Muskuloskeletale og bindevævsforstyrrelser: Smerter i ekstremitet myalgi

Nervøse lidelser: DySgeusia Hypoaesthesia Migræne Syncope

Nyre- og urinforstyrrelser: Chromaturia pulmonal nyresyndrom

Respiratorisk thorax- og mediastinal lidelser: Dyspnø

Reproduktionssystem og brystforstyrrelser: Erektil dysfunktion

Hud og subkutane vævsforstyrrelser: Erythema hyperhidrosis kløe ansigt hævelse

Anvendelse af hydralazinhydrochlorid eller isosorbid dinitrat: Følgende reaktioner er rapporteret ved anvendelse af enten hydralazinhydrochlorid eller isosorbid dinitrat.

Blod- og lymfesystemforstyrrelser: Bloddycrasias agranulocytose purpura eosinophilia splenomegaly.

Øjenlidelser: Lacrimation conjunctivitis.

Gastrointestinale lidelser: Paralytisk ileus.

Hepatobiliære lidelser: Hepatitis.

Psykiatriske lidelser: Psykotiske reaktioner Desorientering.

Nyre- og urinforstyrrelser: Sværhedsgrad i vandladning.

Lægemiddelinteraktioner for Bidil

Phosphodiesteraseinhibitorer

Bidil is contraindicated in patients who are using a selective inhibitor of cyclic guanosine monophosphate (cGMP)- specific phosphodiesterase type 5 (PDE5) PDE5 inhibitors such as avanafil sildenafil vardenafil and tadalafil have been shown to potentiate the hypotensive effects of organic nitrates. Do not use Bidil in patients who are taking the soluble guanylate cyclase (sGC) stimulator riociguat. Concomitant use can cause hypotension [see Kontraindikationer ].

Advarsler for Bidil

Inkluderet som en del af FORHOLDSREGLER afsnit.

Forholdsregler for Bidil

Hypotension

Symptomatisk hypotension, især med lodret holdning, kan forekomme med endda små doser af BIDIL. Hypotension forekommer mest sandsynligt hos patienter, der har været volumen eller salt udtømt; Korrekt inden påbegyndelse af Bidil [se Bivirkninger ].

Systemisk lupus erythematosus

Hydralazinhydrochlorid er rapporteret at forårsage et lægemiddelinduceret systemisk lupus erythematosus (SLE) syndrom. Symptomer og tegn regresserer normalt, når hydralazinhydrochlorid afbrydes.

Forværring iskæmisk hjertesygdom

Hydralazinhydrochlorid kan forårsage takykardi og hypotension, der potentielt fører til myokardisk iskæmi og angina, især hos patienter med hypertrofisk kardiomyopati.

Perifer neuritis

Hydralazinhydrochlorid er blevet forbundet med perifer neuritis, der er beviset af paræstesi -følelsesløshed og prikken, som kan være relateret til en antipyridoxineffekt. Pyridoxin skal tilsættes til BIDIL -terapi, hvis sådanne symptomer udvikler sig.

Ikke -klinisk toksikologi

Karcinogenese mutagenese nedskrivning af fertilitet

Hydralazinhydrochlorid

En øget forekomst af lungetumorer (adenomer og adenocarcinomer) blev observeret i en levetidsundersøgelse i schweiziske albino -mus givet hydralazinhydrochlorid kontinuerligt i deres drikkevand i en dosis på ca. 250 mg/kg pr. Dag (6 gange MRHD leveret af Bidil på en kropsoverfladebasis). In a 2-year carcinogenicity study of rats given hydralazine hydrochloride by gavage at dose levels of 15 30 and 60 mg/kg/day (up to 3 times the MRHD of BiDil on a body surface area basis) microscopic examination of the liver revealed a small but statistically significant increase in benign neoplastic nodules in males (high-dosage) and females (both high and intermediate doseringsgrupper). Godartede interstitielle celletumorer i testiklerne blev også signifikant forøget i gruppen med høj dosis.

Hydralazinhydrochlorid er mutagen i bakteriesystemer og er positiv i rotte- og kanin -hepatocyt -DNA -reparationsundersøgelser in vitro. Yderligere in vivo- og in vitro -undersøgelser ved anvendelse af lymfomceller kimceller fibroblaster fra mus knoglemarvsceller fra kinesiske hamstere og fibroblaster fra humane cellelinjer demonstrerede ikke noget mutagen eller klastogent potentiale for hydralazinhydrochlorid.

Isosorbide dinitrat

Der er ikke udført nogen langvarige dyreundersøgelser for at evaluere det mutagene eller kræftfremkaldende potentiale for isosorbiddinitrat. En modificeret to-litter reproduktionsundersøgelse blandt rotter, der blev fodret med isosorbiddinitraten ved 25 eller 100 mg/kg/dag (op til 9 gange den maksimale anbefalede humane dosis af bud på kropsoverfladeareal) afslørede ingen bevis for ændret fertilitet eller drægtighed.

Brug i specifikke populationer

Graviditet

Risikooversigt

Der er ingen data om BIDIL-brug hos gravide kvinder og utilstrækkelige data om dens komponenter (hydralazin og isosorbiddinitrat) til at vurdere en medikamentassocieret risiko for store fødselsdefekter eller spontanabort ved brug af første trimester. Tilgængelige offentliggjorte data om hydralazinbrug under graviditet i løbet af anden og tredje trimestere har ikke vist en tilknytning til ugunstige graviditetsrelaterede resultater.

Hydralazinhydrochlorid er teratogen hos mus ved 66 mg/kg og muligvis hos kaniner ved 33 mg/kg (2 og 3 gange MRHD for BIDIL på et kropsoverfladeareal).

Isosorbid-dinitrat har vist sig at forårsage en dosisrelateret stigning i embryo-toksicitet (overskydende mumificerede hvalpe) hos kaniner ved 70 mg/kg (12 gange MRHD af Bidil på et kropsoverfladeareal).

Alle graviditeter har en baggrundsrisiko for tab af fødselsdefekt eller andre bivirkninger. I den amerikanske generelle befolkning er den estimerede baggrundsrisiko for større fødselsdefekter og spontanabort i klinisk anerkendte graviditeter henholdsvis 2-4% og 15-20%.

Kliniske overvejelser

Sygdomsassocieret moderlig og/eller embryo/føtal risiko

Gravide kvinder med hjertesvigt har en øget risiko for for tidlig fødsel. Klinisk klassificering af hjertesygdomme kan forværres med graviditet og føre til moderens død og/eller dødfødsel.

Amning

Risikooversigt

Der er ingen data om tilstedeværelsen af ​​Bidil i menneskelig eller dyremælk Virkningerne på det ammede spædbarn eller på mælkeproduktion. De udviklingsmæssige og sundhedsmæssige fordele ved amning bør overvejes sammen med mors kliniske behov for Bidil og eventuelle bivirkninger på det ammede barn fra Bidil eller fra den underliggende moderlige tilstand.

bangkok hostel

Pædiatrisk brug

Bidils sikkerhed og effektivitet hos børn er ikke etableret.

Geriatrisk brug

Kliniske undersøgelser af Bidil inkluderede ikke tilstrækkeligt antal forsøgspersoner i alderen 65 år og derover for at afgøre, om de reagerer forskelligt fra yngre emner. Andre rapporterede kliniske erfaringer har ikke identificeret forskelle som respons mellem ældre og yngre patienter. Generelt skal dosisvalg for en ældre patient starte i den lave ende af doseringsområdet, der afspejler den større hyppighed af nedsat lever- og nyrefunktion og af samtidig sygdom eller andre lægemiddelterapier.

Isosorbide dinitratratrater dets aktive metabolitter og hydralazin kan fjernes langsommere hos ældre patienter.

Nedskærmning af nyren

Der er ingen undersøgelser af nedsat nyrefunktion ved hjælp af BIDIL. Ingen dosisjustering er påkrævet for hydralazin eller isosorbid dinitrit [se Klinisk farmakologi ].

Dialyzabilitet af hydralazin er ikke bestemt. Dialyse er ikke en effektiv metode til fjernelse af isosorbiddinitrat eller dets metabolit isosorbid-5-mononitrat fra kroppen.

Leverskrivning i leveren

Effekten af ​​leverindtægter på farmakokinetikken af ​​hydralazin alene er ikke bestemt. Isosorbid -dinitratkoncentrationer stiger hos patienter med cirrhose. Der er ingen undersøgelser af nedsat leverfunktion ved hjælp af BIDIL.

Overdoseringsoplysninger til Bidil

Tegn og symptomer på overdosering med Bidil forventes at være dem med overdreven farmakologisk virkning, dvs. vasodilatation reduceret hjerteproduktion og hypotension og tegn og symptomer inkluderer hovedpine forvirring takykardi og generaliseret hudskylning. Komplikationer kan omfatte myokardisk iskæmi og efterfølgende hjerteinfarkt hjertearytmi og dybtgående chok. Synkope koma og død kan opstå uden passende behandling.

Menneskelig oplevelse

Der er ingen dokumenterede tilfælde af overdosering med Bidil. Der er ikke rapporteret om dødsfald som følge af akut forgiftning.

Behandling

Der er ingen specifik modgift. Støtte til det kardiovaskulære system er af primær betydning. Stød skal behandles med plasmaudvidere vasopressorer og positive inotrope midler. Gastrisk indhold skal evakueres ved at tage tilstrækkelige forholdsregler for at forhindre aspiration. Disse manipulationer skal udføres, efter at kardiovaskulær status er blevet stabiliseret, da de muligvis udfælder hjertearytmier eller øger dybden af ​​chok.

Hos patienter med nyresygdom eller kongestiv hjertesvigt terapi, der resulterer i central volumenudvidelse, er ikke uden fare. Behandling af isosorbiddosering af dinitrat hos disse patienter kan være vanskelig, og invasiv overvågning kan være påkrævet.

Der er ingen data tilgængelige for at antyde fysiologiske manøvrer (f.eks. Manøvrer til at ændre pH i urinen), der kan fremskynde eliminering af komponenterne i Bidil. Dialyse er ikke effektiv til at fjerne cirkulerende isosorbiddinitrat. Dialzabiliteten af ​​hydralazin er ikke bestemt.

Methemoglobinæmi

Nitrationer, der er befriet under metabolisme af isosorbiddinitrat, kan oxidere hæmoglobin til methemoglobin. Der er tilfælde af betydelig methemoglobinæmi i forbindelse med moderat overdoser af organiske nitrater. Methemoglobinniveauer kan måles af de fleste kliniske laboratorier. Methemoglobinæmi kunne være alvorlig hos patienter med kronisk hjertesvigt på grund af allerede kompromitteret vaskulær bedvævs gasudvekslingsdynamik. Klassisk methemoglobinemisk blod beskrives som chokoladebrun uden farveændring ved eksponering for luft. Når methemoglobinæmi diagnosticeres, er den valgte behandling methylenblå 1 til 2 mg/kg intravenøst.

Kontraindikationer for Bidil

Bidil is contraindicated in patients who are allergic to organic nitrates.

Langsigtede bivirkninger af oxycodon

Brug ikke BIDIL hos patienter, der tager PDE-5-hæmmere, såsom avanafil sildenafil tadalafil eller vardenafil. Samtidig brug kan forårsage alvorlig hypotension synkope eller myokardisk iskæmi [se Lægemiddelinteraktioner ].

Brug ikke BIDil hos patienter, der tager den opløselige guanylatcyklase (SGC) stimulator riociguat. Samtidig brug kan forårsage hypotension.

Klinisk farmakologi for Bidil

Handlingsmekanisme

Mekanismen for virkning, der ligger til grund for de fordelagtige virkninger af BIDIL i behandlingen af ​​hjertesvigt, er ikke fastlagt.

Isosorbide Dinitrate er en vasodilator, der påvirker både arterier og årer. Dens dilatoregenskaber er resultatet af frigivelse af nitrogenoxid og den efterfølgende aktivering af guanylylcyklase og ultimativ lempelse af vaskulær glat muskel.

Flere godt kontrollerede kliniske forsøg har anvendt træningstest til at vurdere den anti-anginale effektivitet af kronisk leverede nitrater. I det store flertal af disse forsøg var aktive agenter ikke mere effektive end placebo efter 24 timer (eller mindre) kontinuerlig terapi. Forsøg på at overvinde nitrattolerance ved dosisoptrapning, selv til doser langt over de anvendte akut, har konsekvent mislykket. Først efter at nitrater har været fraværende fra kroppen i flere timer, er svaret på nitrater gendannet.

Hydralazinhydrochlorid er en selektiv dilator af arteriel glat muskel. Dyredata antyder, at hydralazin også kan afbøde tolerance over for nitrater.

Farmakodynamik

Grundlaget for de fordelagtige kliniske virkninger af Bidil er ikke kendt. I en lille undersøgelse af patienter med kronisk hjertesvigt indgivet enkeltdoser af hydralazin 75 mg isosorbiddinitrat 20 mg og kombinationen fremkaldte kombinationen et statistisk signifikant fald i pulmonal kapillær kiletryk sammenlignet med hydralazin alene. Stigningen i hjerteproduktion af nyreblodstrømmen og blodstrømmen med lemmer med kombinationen var imidlertid ikke større end med hydralazin alene. Der er ingen undersøgelse af hæmodynamiske effekter efter flere doseringer.

Farmakokinetik

Absorption

Bidil

Efter en enkelt 75 mg oral dosis hydralazin plus 40 mg isosorbid-dinitrat til 19 raske voksne spids plasmakoncentrationer af hydralazin (88 ng/ml/65 kg) og isosorbidinitrat (76 ng/ml/65 kg) blev nået i 1 time.

Halveringstiden var ca. 4 timer for hydralazin og ca. 2 timer for isosorbiddinitrat. Peak plasmakoncentrationer af de to aktive metabolitter Isosorbide-2-mononitrat og isosorbid-5-mononitrat var henholdsvis 98 og 364 ng/ml/65 kg på ca. 2 timer. Der er i øjeblikket ikke tilgængelige oplysninger om effekten af ​​mad på biotilgængeligheden af ​​hydralazin eller isosorbiddinitrat fra Bidil -tabletter.

Hydralazinhydrochlorid

Ca. 2/3 af en 50 mg dosis på 14 C-hydralazinhydrochlorid angivet i gelatinkapsler blev absorberet i hypertensive personer. Hos patienter med hjertesvigt betyder absolut biotilgængelighed af en enkelt oral dosis hydralazin 75 mg varierer fra 10 til 26% med de højere procentdele i langsomme acetylatorer. Administration af doser, der eskalerer fra 75 mg til 1000 mg tre gange dagligt til kongestive hjertesvigt, resulterede patienter i en op til 9 gange stigning i dosis normaliseret AUC, hvilket indikerer, at ikke-lineær kinetik af hydralazin sandsynligvis reflekterede mættelig første pasmetabolisme.

Isosorbide dinitrat

Absorption of isosorbide dinitrate from tablets after oral dosing is nearly complete. The average bioavailability of isosorbide dinitrate is about 25% but is highly variable (10%-90%) because of first-pass metabolism and increases progressively during chronic therapy. Serum concentrations reach their maximum about one hour after ingestion.

Fordeling

Hydralazinhydrochlorid

Efter intravenøs indgivelse af hydralazin i en dosis på 0,3 mg/kg var den stabile tilstand af distribution hos patienter med kongestiv hjertesvigt 2,2 l/kg.

Isosorbide dinitrat

Mængden af ​​distribution af isosorbid -dinitrat er 2 til 4 l/kg. Cirka 28% af cirkulerende isosorbid -dinitrat er proteinbundet.

Under steady-state-forhold akkumuleres isosorbiddinitraten markant i muskler (pectoral) og vene (saphenøs) væg i forhold til samtidige plasmakoncentrationer.

Metabolisme

Hydralazin metaboliseres ved acetyleringsringoxidation og konjugering med endogene forbindelser inklusive pyruvinsyre. Acetylering forekommer overvejende under førstepas efter oral administration, hvilket forklarer afhængigheden af ​​den absolutte biotilgængelighed på acetylatorfænotypen. Cirka 50% af patienterne er hurtige acetylatorer og har lavere eksponering.

Efter oral indgivelse af hydralazin er de vigtigste cirkulerende metabolitter hydralazin pyruvathydrazon og methyltriazolophthalazin. Hydralazin er den vigtigste farmakologisk aktive enhed; Hydralazin -pyruvathydrazon har kun minimal hypotensiv og takykardisk aktivitet. Den farmakologiske aktivitet af methyltriazolophthalazin er ikke bestemt. Den vigtigste identificerede metabolit af hydralazin, der udskilles i urin, er acetylhydrazinophthalazinon.

Isosorbide dinitrat gennemgår omfattende første-pass metabolisme i leveren og ryddes med en hastighed på 2 til 4 l/minut med en serumhalveringstid på ca. 1 time. Isosorbid Dinitrats clearance er primært ved denitration til 2-mononitratet (15 til 25%) og 5-mononitratet (75 til 85%). Begge metabolitter har biologisk aktivitet, især 5-mononitratet, der har en samlet halveringstid på ca. 5 timer. 5-mononitratet ryddes ved denitration til isosorbidglucuronidering til 5-mononitratglucuroniderne og ved denitration/hydrering til sorbitol. 2-mononitratet ser ud til at deltage i de samme metaboliske veje med en halveringstid på ca. 2 timer.

Eliminering

Hydralazin

Metabolisme is the main route for the elimination of hydralazine. Negligible amounts of unchanged hydralazine are excreted in urine.

Isosorbide dinitrat

De fleste isosorbid -dinitrat elimineres renalt som konjugerede metabolitter.

Specifikke populationer

Ingen farmakokinetiske undersøgelser i specielle populationer blev udført med BIDIL. Farmakokinetik i specielle populationer er baseret på individuelle komponenter.

Geriatriske patienter

Farmakokinetikken af ​​hydralazin og isosorbid -dinitrat alene eller i kombination er ikke bestemt hos patienter over 65 år.

Pædiatriske patienter

Farmakokinetikken af ​​hydralazin og isosorbid -dinitrat alene eller i kombination er ikke bestemt hos patienter under 18 år.

Køn

Der er ingen undersøgelser af kønsafhængige effekter med hydralazin. I en enkelt dosisundersøgelse med isosorbid-dinitratratratratratrendeforskelle i farmakokinetikken af ​​isosorbiddinitrat og dets mononitratmetabolitter blev fundet.

Nedskærmning af nyren

Virkningen af ​​nedsat nyrefunktion på farmakokinetikken af ​​hydralazin er ikke bestemt. In a study with 49 hypertensive patients on chronic therapy with hydralazine in daily doses of 25-200 mg the daily dose of hydralazine in 19 subjects with severely impaired renal function (creatinine clearance 5-28 mL/min) and in 17 subjects with normal renal function (creatinine clearance > 100 mL/min) using a population PK approach was not different suggesting no need for dose adjustment in patients with renal værdiforringelse. Dialzabiliteten af ​​hydralazin er ikke bestemt. I tre undersøgelser påvirkede nyrinsufficiens ikke farmakokinetikken af ​​isosorbiddinitrat. Dialyse er ikke en effektiv metode til fjernelse af isosorbiddinitrat eller dets metabolit isosorbid-5-mononitrat fra kroppen.

Leverskrivning i leveren

Effekten af ​​leverindtægter på farmakokinetikken af ​​hydralazin alene er ikke bestemt. Isosorbid -dinitratkoncentrationer stiger hos patienter med cirrhose.

Interaktioner med lægemiddel-lægemidler

Der blev ikke udført nogen farmakokinetisk medikament-lægemiddelinteraktionsundersøgelser med BIDIL.

Hydralazin

Administration af hydralazin kan øge eksponeringen for et antal lægemidler inklusive betablokkere. Hos raske hanner administrerede en enkelt oral dosis hydralazin 50 mg og propranolol 1 mg/kg Cmax og AUC for propranolol omtrent dobbelt. Hos raske forsøgspersoner administrerede en enkelt oral dosis hydralazin 50 mg og metoprolol 100 mg Cmax og AUC for metoprolol steg med henholdsvis 50% og 30%. I præeklamptiske kvinder øgede doser med to gange dagligt hydralazin 25 mg og metoprolol 50 mg Cmax og AUC for metoprolol med henholdsvis 90% og 40%.

Hos raske hanner administrerede enkelt orale doser af hydralazin 25 mg og enten lisinopril 20 mg eller enalapril 20 mg Cmax og AUC for lisinopril blev hver forøget 30%, men enalapril -koncentrationer blev ikke påvirket.

Intravenøs co-administration af 0,2 mg/kg hydralazin HCI og 40 mg furosemid hos japanske patienter med kongestiv hjertesvigt resulterede i en 20% stigning i clearance af furosemid.

Isosorbide dinitrat

De vasodilerende virkninger af coadministerede isosorbid -dinitrat kan være additiv til andre vasodilatorer, herunder alkohol.

En enkelt dosis på 20 mg isosorbid-dinitrat blev administreret til raske forsøgspersoner efter forbehandling med 80 mg propranolol tre gange dagligt i 48 timer, hvilket resulterede i ingen indflydelse på farmakokinetikken af ​​isosorbid-dinitratratratratraten og isosorbid-5-mononitrat.

Når enkelt 100 mg orale doser af atenolol blev administreret 2 timer før isosorbiddinitrat ved en 10 mg dosis, blev der ikke observeret nogen forskelle i farmakokinetikken af ​​isosorbiddinitrat eller dets mononitrater.

Kliniske studier

Bidil or a combination of isosorbide dinitrate and hydralazine hydrochloride was studied in two placebo-controlled clinical trials in 1692 patients with mild to severe heart failure (mostly NYHA class II and III) and one active control trial (vs. enalapril) in 804 patients. The results of the trials follow:

Placebo-Controlled Study

In the multicenter trial V-HeFT I the combination of hydralazine and isosorbide dinitrate 75 mg/40 mg 4 times daily (n=186) was compared to placebo (n=273) in men with impaired cardiac function and reduced exercise tolerance (primarily NYHA class II and III) and on therapy with digitalis glycosides and diuretics. There was no overall significant difference in mortality between the two treatment groups. There was however a trend favoring hydralazine and isosorbide dinitrate which on retrospective analysis was attributable to an effect in blacks (n=128). Survival in white patients (n=324) was similar on placebo and the combination treatment.

Aktiv kontrolleret undersøgelse

In a second study of mortality V-HeFT II the combination of hydralazine and isosorbide dinitrate 75 mg/40 mg 4 times daily was compared to enalapril in 804 men with impaired cardiac function and reduced exercise tolerance (NYHA class II and III) and on therapy with digitalis glycosides and diuretics. The combination of hydralazine and isosorbide dinitrate was inferior to enalapril overall but retrospective analysis showed that the difference was observed in the white population (n=574); there was essentially no difference in the black population (n=215).

Baseret på disse retrospektive analyser, der antyder en effekt på overlevelse hos sorte patienter, men viste lidt bevis for en effekt i den hvide population, blev der udført en tredje undersøgelse blandt sorte patienter med hjertesvigt.

Placebo-Controlled Study

The A-HeFT trial evaluated BiDil vs. placebo among 1050 self-identified black patients (over 95% NYHA class III) at 169 centers in the United States. All patients had stable symptomatic heart failure. Patients were required to have LVEF ≤ 35% or left ventricular internal diastolic dimension > 2.9 cm/m plus LVEF <45%. Patients were maintained on stable background therapy and randomized to Bidil (n=518) or placebo (n=532). Bidil was initiated at 20 mg isosorbide dinitrate/37.5 mg hydralazine hydrochloride three times daily and titrated to a target dose of 40/75 mg three times daily or to the maximum tolerated dose. Patients were treated for up to 18 months.

The randomized population was 60% male 1% NYHA class II 95% NYHA class III and 4% NYHA class IV with a mean age of 57 years and was generally treated with standard treatments for heart failure including diuretics (94% almost all loop diuretics) beta-blockers (87%) angiotensin converting enzyme inhibitors (ACE-I; 78%) angiotensin II receptor blockers (ARBs; 28%) either ACE-I or ARB (93%) digitalis glycosides (62%) and aldosterone antagonists (39%).

Det primære slutpunkt var en sammensat score bestående af dødeligheden af ​​al årsag til hjertesvigt og svar på Minnesota, der lever med spørgeskemaet for hjertesvigt. Forsøget blev afsluttet tidligt med en gennemsnitlig opfølgning på 12 måneder primært på grund af en statistisk signifikant 43% reduktion i dødeligheden af ​​al årsagen i den BIDIL-behandlede gruppe (P = 0,012; se tabel 2 og figur 1). Det primære slutpunkt var også statistisk til fordel for Bidil (p <0,021). Den Bidil-behandlede gruppe viste også en reduktion på 39% i risikoen for en første indlæggelse for hjertesvigt (P <0.001; see Table 2 and Figure 2) and had statistically significant improvement in response to the Minnesota Living with Heart Failure questionnaire a self-report of the patient's functional status at most time points (see Figure 3). Patients in both treatment groups had mean baseline questionnaire scores of 51 (out of a possible 105).

Tabel 2: Resultater af A-heft (intention-to-treat-population)

Bidil
(N = 518)
Placebo
(N = 532)
Fareforhold (95% CI) P
Komposit -0,16 ± 1,93 -0,47 ± 2,04 - 0.021
Dødelighed af al årsag 6,2% 10,2% 0,57 (NULL,37 0,89) 0.012
Hospitalisering for hjertesvigt 16,4% 24,4% 0,61 (NULL,46 0,80) <0.001

Figurâ

Figurâ

Figurâ

Effekter på overlevelse og hospitalisering af hjertesvigt var ens i undergrupper ved alderskøn baseline sygdom og anvendelse af samtidig medicin som vist i figur 4.

Figurâ

Patienter, der blev behandlet med BIDIL i A-heft-undersøgelsen, havde tilfældigt målt blodtryk i gennemsnit 3/3 mmHg lavere end patienter på placebo. Bidraget fra forskellen i blodtryk til den samlede resultatforskel er ukendt. Hvorvidt både hydralazin og isosorbid dinitrat bidrager til den samlede udgangsforskel er ikke undersøgt i udgangsforsøg. Isosorbid -dinitrat og hydralazin er ikke blevet undersøgt systematisk til behandling af hjertesvigt som separate midler, og ingen af ​​lægemidlet er indikeret for hjertesvigt.

Patientinformation til Bidil

Patienter skal informeres om mulige bivirkninger og rådes til at tage medicinen regelmæssigt og kontinuerligt som anført.

Hovedpine

Informer patienter om, at hovedpine ofte ledsager behandling med Bidil, især under påbegyndelse af behandlingen. Rådgiv patienter til at konsultere en læge for at justere dosis af Bidil, hvis hovedpine fortsætter med gentagen dosering.

Hypotension

Advar patienter om lethed ved stående.

Rådgive patienter om, at utilstrækkeligt væskeindtag eller overdreven væsketab fra sveddiarré eller opkast kan føre til et overdreven fald i blodtrykket og forårsage lethed eller endda synkope. Hvis synkope forekommer, rådgiver patienter om at afbryde Bidil og underrette deres ordinerende læge så hurtigt som muligt.

Phosphodiesterase-5-hæmmere

Rådgiv patienter om at informere deres læger, hvis de tager eller planlægger at tage sildenafil vardenafil eller tadalafil. Bidil bør ikke tages samtidig med phosphodiesterase-5-hæmmere.

Forværring iskæmisk hjertesygdom

Rådgive patienter om at informere deres læger om enhver forværring af symptomer på myokardisk iskæmi, især dem med hypertrofisk kardiomyopati.

Systemisk lupus erythematosus-like Symptoms

Rådgiv patienter, hvis symptomer, der tyder på systemisk lupus erythematosus - såsom Arthralgia feber brystsmerter langvarig ubehag - forekommer for at underrette deres ordinerende læge.

bedste område at bo i Bogota

Perifer neuritis

Rådgiv patienter, hvis symptomer på perifer neuritis - paræstesi følelsesløshed og prikken - forekommer for at underrette den ordinerende læge.