Oplysningerne På Webstedet Er Ikke Medicinsk Rådgivning. Vi Sælger Ikke Noget. Nøjagtigheden Af Oversættelsen Er Ikke Garanteret. Ansvarsfraskrivelse
Antidiabetik, glukagonlignende peptid-1-agonister
Ozempic
Resume af lægemiddeloversigt
Hvad er ozempic?
Ozempic (Semaglutide) injektion er en Glucagon -lignende peptid 1 (GLP-1) receptoragonist indikeret som et supplement til diæt og træning for at forbedre glykæmisk kontrol hos voksne med type 2 Diabetes mellitus .
Hvad er bivirkninger af ozempic?
Ozempic kan forårsage alvorlige bivirkninger, herunder:
- En klump i nakken
- Sværheds vanskeligheder
- hoste
- åndenød
- Besvær
- øvre abdominal smerte
- kvalme
- opkast
- sløret vision
- pletter eller mørke strenge, der flyder i din vision
- Fluktuerende syn
- synstab
- Mørke eller tomme områder i din vision
- Shakakess
- nervøsitet
- angst
- sved
- kulderystelser
- Blærhed
- irritabilitet
- utålmodighed
- forvirring
- Hurtigt hjerte
- Lightheadedness
- svimmelhed
- sult
- nedsat vandladning
- hævelse i dine ben ankler eller fødder
- træthed
- udslæt
- kløe og
- stød
Få medicinsk hjælp med det samme, hvis du har nogen af de symptomer, der er anført ovenfor.
Almindelige bivirkninger af ozempic inkluderer:
- kvalme
- opkast
- diarre
- mavesmerter og forstoppelse.
Søg medicinsk behandling eller ring 911 på én gang, hvis du har følgende alvorlige bivirkninger:
- Alvorlige øjensymptomer såsom pludseligt synstab sløret synet tunnel vision øje smerter eller hævelse eller at se haloer omkring lys;
- Alvorlige hjertesymptomer såsom hurtig uregelmæssige eller bankende hjerteslag; flagrende i brystet; åndenød; og pludselig svimmelhed letthed eller udlevering;
- Alvorlig hovedpine forvirring sløret talearm eller ben svaghed problemer med at gå tab af koordination føles ustabil meget stive muskler høj feber voldsom sved eller rysten.
Dette dokument indeholder ikke alle mulige bivirkninger, og andre kan forekomme. Kontakt din læge for yderligere oplysninger om bivirkninger.
Dosering til ozempic
Den indledende dosering af ozempic varierer fra 0,75 til 9 mg om dagen afhængigt af sygdommen, der behandles.
Hvilke stoffer stoffer eller kosttilskud interagerer med ozempic?
Ozempic kan interagere med en insulinsekretagoge eller insulin og andre orale medicin taget på samme tid. Fortæl din læge alle medicin og kosttilskud, du bruger.
Ozempic under graviditet og amning
Fortæl din læge, hvis du er gravid eller planlægger at blive gravid, før du bruger Ozempic; Det er ukendt, hvordan det ville påvirke et foster. Det er ukendt, om ozempic passerer til modermælk. Kontakt din læge inden amning.
Yderligere oplysninger
Vores Ozempic (Semaglutide) injektion til subkutan brug bivirkninger Drug Center giver et omfattende overblik over tilgængelige lægemiddelinformation om de potentielle bivirkninger, når du tager denne medicin.
FDA -lægemiddelinformation
- Lægemiddelbeskrivelse
- Indikationer
- Bivirkninger
- Lægemiddelinteraktioner
- Advarsler
- Overdosis
- Klinisk farmakologi
- Medicin vejledning
ADVARSEL
Risiko for skjoldbruskkirtel C-celletumorer
- I gnavere forårsager semaglutid dosisafhængig og behandlingsundersøgelsesafhængige skjoldbruskkirtel-c-celle-tumorer ved klinisk relevante eksponeringer. Det er ukendt, om ozempic forårsager skjoldbruskkirtel-c-celle-tumorer, herunder medullær skjoldbruskkirtelkarcinom (MTC) hos mennesker som human relevans af semaglutid-induceret gnaver-thyroidea C-celletumorer er ikke bestemt [se [se ADVARSELS AND FORHOLDSREGLER og Ikke -klinisk toksikologi ].
- Ozempic er kontraindiceret hos patienter med en personlig eller familiehistorie af MTC eller hos patienter med flere endokrine neoplasi -syndrom type 2 (mænd 2) [se Kontraindikationer ]. Counsel patients regarding the potential risk for MTC with the use of Ozempic og inform them of symptoms of thyroid tumors (e.g. a mass in the neck dysphagia dyspnea persistent hoarseness). Routine monitoring of serum calcitonin or using thyroid ultrasound is of uncertain value for early detection of MTC in patients treated with Ozempic [see Kontraindikationer og ADVARSELS AND FORHOLDSREGLER ].
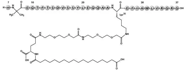
Beskrivelse for ozempic
Ozempic (semaglutid) injektion til subkutan anvendelse indeholder semaglutid A Human GLP-1 receptoragonist (eller GLP-1-analog). Peptidets rygrad produceres ved gærfermentering. Den vigtigste fremspringsmekanisme for semaglutid er albuminbinding lettet ved modifikation af position 26 lysin med en hydrofil afstand og en C18 fedt DI-syre. Endvidere modificeres semaglutid i position 8 for at tilvejebringe stabilisering mod nedbrydning af enzymet dipeptidyl-peptidase 4 (DPP-4). En mindre ændring blev foretaget i position 34 for at sikre fastgørelse af kun en fedt DI-syre. Den molekylære formel er C 187 H 291 N 45 O 59 og the molecular weight is 4113.58 g/mol.
Strukturformel:
|
Ozempic er en steril vandig klar farveløs opløsning. Hver forudfyldt pen indeholder en 1,5 ml opløsning af ozempisk ækvivalent til 2 mg semaglutid. Hver 1 ml ozempisk opløsning indeholder 1,34 mg semaglutid og følgende inaktive ingredienser: disodiumphosphatdihydrat 1,42 mg; propylenglycol 14,0 mg; phenol 5,50 mg; og vand til injektioner. Ozempic har en pH på ca. 7,4. Hydrochlorsyre eller natriumhydroxid kan tilsættes for at justere pH.
Anvendelser til ozempic
Ozempic er indikeret:
- som et supplement til kost og motion for at forbedre glykæmisk kontrol hos voksne med type 2 -diabetes mellitus.
- For at reducere risikoen for store bivirkninger af kardiovaskulære begivenheder (hjerte-kar-død ikke-dødelig myokardieinfarkt eller ikke-dødelig slagtilfælde) hos voksne med type 2-diabetes mellitus og etableret hjerte-kar-sygdom.
- For at reducere risikoen for vedvarende EGFR-tilbagegangs nyresygdom og kardiovaskulær død hos voksne med type 2-diabetes mellitus og kronisk nyresygdom.
Dosering til ozempic
Vigtige administrationsinstruktioner
- Undersøg ozempic visuelt inden brug. Det skal se klart og farveløst ud. Brug ikke ozempisk, hvis der ses partikler og farve.
- Administrer ozempic en gang ugentligt samme dag hver uge på ethvert tidspunkt af dagen med eller uden måltider.
- Injicerer ozempisk subkutant i maven lår eller overarm. Instruer patienter om at bruge et andet injektionssted hver uge, når de injiceres i den samme kropsregion.
- Når man bruger Ozempic med insulin, instruerer patienter til at administrere som separate injektioner og aldrig blande produkterne. Det er acceptabelt at injicere ozempisk og insulin i den samme kropsregion, men injektionerne skal ikke være ved siden af hinanden.
- Dagen for ugentlig administration kan om nødvendigt ændres, så længe tiden mellem to doser er mindst 2 dage (> 48 timer).
- Hvis en dosis går glip af administration af Ozempic så hurtigt som muligt inden for 5 dage efter den ubesvarede dosis. Hvis der er gået mere end 5 dage over den ubesvarede dosis og administrerer den næste dosis på den regelmæssigt planlagte dag. I begge tilfælde kan patienter derefter genoptage deres regelmæssige doseringsplan en gang ugentlig dosering.
Anbefalet dosering
Anbefalet initieringsdosering
Start ozempic med en dosering på 0,25 mg injiceret subkutant en gang ugentligt i 4 uger. Følg doserings eskalering nedenfor for at reducere risikoen for gastrointestinale bivirkninger [se ADVARSELS AND FORHOLDSREGLER og Bivirkninger ].
Efter 4 uger på 0,25 mg dosering øger doseringen til 0,5 mg en gang ugentligt.
Anbefalet vedligeholdelse og maksimale doser til glykæmisk kontrol
Den anbefalede vedligeholdelsesdosis er 0,5 mg 1 mg eller 2 mg injiceret subkutant en gang ugentligt baseret på glykæmisk kontrol.
Hvis der er behov for yderligere glykæmisk kontrol efter mindst 4 uger på:
- 0,5 mg dosering Doseringen kan øges til 1 mg en gang ugentligt.
- 1 mg dosering Doseringen kan øges til 2 mg en gang ugentligt.
Den maksimale anbefalede dosering er 2 mg en gang ugentligt.
Anbefalet vedligeholdelsesdosering hos patienter med type 2 -diabetes mellitus og kronisk nyresygdom
Forøg doseringen til vedligeholdelsesdosering 1 mg en gang ugentligt efter mindst 4 uger på 0,5 mg dosering.
Hvor leveret
Doseringsformularer og styrker
Indsprøjtning : Ryd farveløs løsning tilgængelig i 3 forudfyldte engangsbilleder til engangs-patientbrug:
| Dosis pr. Injektion | Samlet styrke pr. Samlet volumen | Styrke pr. Ml |
| 0,25 mg 0,5 mg | 2 mg / 3 ml | 0,68 mg/ml |
| 1 mg | 4 mg / 3 ml | 1,34 mg/ml |
| 2 mg | 8 mg / 3 ml | 2,68 mg/ml |
Den 2 mg/1,5 ml (NULL,34 mg/ml) styrke markedsføres ikke i øjeblikket af Novo Nordisk Inc.
Opbevaring og håndtering
Indsprøjtning : Klar farveløs opløsning på 0,68 mg/ml 1,34 mg/ml eller 2,68 mg/ml semaglutid tilgængelig i forudfyldte engangsbeløb til engangspuljerede brug i følgende emballagekonfigurationer:
| Dosis pr. Injektion | Brug til | Samlet styrke pr. Samlet volumen | Doser pr. Pen | Kartonindhold | NDC |
| 0,25 mg 0,5 mg | Vedligeholdelse af initiering | 2 mg/3 mL | 4 doser på 0,25 mg og 2 doser på 0,5 mg eller 4 doser på 0,5 mg | 1 pen 6 novofine® plus nåle | 0169-4181-13 |
| 1 mg | Opretholdelse | 4 mg/3 ml | 4 doser på 1 mg | 1 pen 4 novofine® plus nåle | 0169-4130-13 |
| 2 mg | Opretholdelse | 8 mg/3 ml | 4 doser på 2 mg | 1 pen 4 novofine® plus nåle | 0169-4772-12 |
Den 2 mg/1,5 ml (NULL,34 mg/ml) styrke (NDC 0169-4132-12) markedsføres ikke i øjeblikket af Novo Nordisk Inc.
Hver ozempisk pen er til brug af en enkelt patient. En ozempisk pen må aldrig deles mellem patienter, selvom nålen ændres [se ADVARSELS AND FORHOLDSREGLER ].
Anbefalet opbevaring
Før først skal brug af Ozempic opbevares i et køleskab mellem 36 ° F til 46 ° F (2 ° C (2 ° C). Opbevar ikke i fryseren eller direkte ved siden af køleskabskølingselementet. Frys ikke ozempic og brug ikke ozempic, hvis det er frosset.
Efter første brug af den ozempiske pen kan pennen opbevares i 56 dage ved kontrolleret stuetemperatur (59 ° F til 86 ° F; 15 ° C til 30 ° C) eller i et køleskab (36 ° F til 46 ° F; 2 ° C til 8 ° C). Frys ikke. Hold pennekappen på, når du ikke er i brug. Ozempic skal beskyttes mod overdreven varme og sollys.
Fjern altid og kasser nålen sikkert efter hver injektion, og opbevar den ozempiske pen uden en injektionsnål fastgjort. Brug altid en ny nål til hver injektion.
Anbefalet opbevaring Conditions for the Ozempic Pen
| Før først brug | Efter første brug | |
| Kølet 36 ° F til 46 ° F. (2 ° C til 8 ° C) | Stuetemperatur 59 ° F til 86 ° F. (15 ° C til 30 ° C) | Kølet 36 ° F til 46 ° F. (2 ° C til 8 ° C) |
| Indtil udløbsdato | 56 dage |
Fremstillet af: Novo Nordisk A/S DK-2880 Bagsvaerd Danmark. Revideret: Jan 2025.
Bivirkninger for Ozempic
Følgende alvorlige bivirkninger er beskrevet nedenfor eller andre steder i de ordinerende oplysninger:
- Risiko for thyroidea C-celletumorer [se ADVARSELS AND FORHOLDSREGLER ]
- Akut pancreatitis [se ADVARSELS AND FORHOLDSREGLER ]
- Diabetiske retinopati -komplikationer [se ADVARSELS AND FORHOLDSREGLER ]
- Hypoglykæmi med samtidig brug af insulinsekretagoger eller insulin [se ADVARSELS AND FORHOLDSREGLER ]
- Akut nyreskade på grund af volumenudtømning [se ADVARSELS AND FORHOLDSREGLER ]
- Alvorlige mave -tarm -bivirkninger [se ADVARSELS AND FORHOLDSREGLER ]
- Overfølsomhedsreaktioner [se ADVARSELS AND FORHOLDSREGLER ]
- Akut galdeblære sygdom [se ADVARSELS AND FORHOLDSREGLER ]
- Pulmonal aspiration under generel anæstesi eller dyb sedation [se ADVARSELS AND FORHOLDSREGLER ]
Kliniske forsøg oplever
Fordi kliniske forsøg udføres under vidt forskellige tilstande, kan der ikke sammenlignes bivirkninger, der er observeret i de kliniske forsøg med et lægemiddel, ikke direkte med hastigheder i de kliniske forsøg med et andet lægemiddel og muligvis ikke afspejler de satser, der er observeret i praksis.
Pool af placebo-kontrollerede forsøg
Dataene i tabel 1 er afledt af 2 placebokontrollerede forsøg (1 monoterapi-forsøg og 1 forsøg i kombination med basal insulin) hos patienter med type 2-diabetes [se Kliniske studier ]. These data reflect exposure of 521 patients to Ozempic og a mean duration of exposure to Ozempic of 32.9 weeks. Across the treatment arms the mean age of patients was 56 years 3.4% were 75 years or older og 55% were male. In these trials 71% were White 7% were Black or African American og 19% were Asian; 21% identified as Hispanic or Latino ethnicity. At baseline patients had type 2 diabetes for an average of 8.8 years og had a mean HBA 1c på 8,2%. Ved baseline rapporterede 8,9% af befolkningen retinopati. Baseline estimeret nyrefunktion var normal (EGFR ≥90 ml/min/1,73 m 2 ) i 57,2% mildt nedsat (EGFR 60 til 90 ml/min/1,73 m 2 ) i 35,9% og moderat nedsat (EGFR 30 til 60 ml/min/1,73 m 2 ) hos 6,9% af patienterne.
Pool af placebo- og aktivstyrede forsøg
Forekomsten af bivirkninger blev også evalueret i en større pulje af patienter med type 2-diabetes, der deltog i 7 placebo-og aktivkontrollerede glykæmiske kontrolforsøg [se Kliniske studier ] inklusive to forsøg hos japanske patienter, der evaluerer brugen af Ozempic som monoterapi og tillægsbehandling til oral medicin eller insulin. I denne pulje blev i alt 3150 patienter med type 2 -diabetes behandlet med Ozempic i en gennemsnitlig varighed på 44,9 uger. På tværs af behandlingsarmene var middelalderen for patienterne 57 år 3,2% var 75 år eller ældre og 57% var mandlige. I disse forsøg var 60% hvide 6% sorte eller afroamerikanske og 31% var asiatiske; 16% identificeret som latinamerikansk eller latino -etnicitet. Hos baseline havde patienter type 2 -diabetes i gennemsnit 8,2 år og havde en gennemsnitlig HBA 1c på 8,2%. Ved baseline rapporterede 7,8% af befolkningen retinopati. Baseline estimeret nyrefunktion var normal (EGFR ≥90 ml/min/1,73 m 2 ) in63,1% mildt nedsat (EGFR 60 til 90 ml/min/1,73 m 2 ) i 34,3% og moderat nedsat (EGFR 30 til 60 ml/min/1,73 m 2 ) hos 2,5% af patienterne.
Fælles bivirkninger
Tabel 1 viser almindelige bivirkninger eksklusive hypoglykæmi forbundet med brugen af ozempic i puljen af placebokontrollerede forsøg. Disse bivirkninger forekom mere almindeligt på ozempic end på placebo og forekom hos mindst 5% af patienterne behandlet med Ozempic.
Tabel 1. Bivirknings in Placebo-Controlled Trials Reported in ≥5% of Ozempic-Treated Patients with Type 2 Diabetes Mellitus
| Bivirkning | Placebo (N = 262) % | Ozempic 0,5 mg (N = 260) % | Ozempic 1 mg (N = 261) % |
| Kvalme | 6.1 | 15.8 | 20.3 |
| Opkast | 2.3 | 5 | 9.2 |
| Diarre | 1.9 | 8.5 | 8.8 |
| Mavesmerter | 4.6 | 7.3 | 5.7 |
| Forstoppelse | 1.5 | 5 | 3.1 |
I puljen af placebo- og aktivkontrollerede forsøg og i det 2-årige hjerte-kar-resultat var forsøget og hyppigheden af almindelige bivirkninger eksklusive hypoglykæmi svarende til dem, der er anført i tabel 1.
I et klinisk forsøg med 959 patienter behandlet med ozempic 1 mg eller ozempic 2 mg en gang ugentligt som tilsætning til metformin med eller uden sulfonylurea-behandling i 40 uger blev der ikke identificeret nye sikkerhedssignaler.
I flowforsøget [se Kliniske studier ] Hos patienter med type 2 -diabetes var mellitus og kronisk nyresygdom Sikkerhedsdataindsamling begrænset til alvorlige bivirkninger og valgte foruddefinerede kategorier af bivirkninger uanset alvor. Der var ingen nye alvorlige eller alvorlige bivirkninger, der blev identificeret i dette forsøg.
Gastrointestinale bivirkninger
I puljen af placebo-kontrollerede forsøg forekom gastrointestinale bivirkninger hyppigere blandt patienter, der fik OZEMPIC end placebo (placebo 15,3% ozempic 0,5 mg 32,7% ozempic 1 mg 36,4%). Størstedelen af rapporter om kvalme af kvalme og/eller diarré forekom under dosisoptrapning. Flere patienter, der modtog Ozempic 0,5 mg (NULL,1%) og Ozempic 1 mg (NULL,8%), afbrød behandlingen på grund af gastrointestinale bivirkninger end patienter, der fik placebo (NULL,4%).
I forsøget med ozempic 1 mg og 2 mg gastrointestinal bivirkninger forekom hyppigere blandt patienter, der fik ozempic 2 mg (34%) mod ozempic 1 mg (NULL,8%).
Ud over reaktionerne i Tabel 1 Følgende mave -tarm -bivirkninger med en hyppighed af <5% were associated with Ozempic (frequencies listed respectively as: Placebo; 0,5 mg; 1 mg): dyspepsia (1.9% 3.5% 2.7%) eructation (0% 2.7% 1.1%) flatulence (0.8% 0.4% 1,5%) gastroesophageal reflux disease (0% 1.9% 1,5%) og gastritis (0.8% 0.8% 0.4%).
Andre bivirkninger
Hypoglykæmi
Tabel 2 opsummerer forekomsten af begivenheder relateret til hypoglykæmi ved forskellige definitioner i de placebokontrollerede forsøg.
Tabel 2. Hypoglykæmi Bivirknings in Placebo-Controlled Trials in Patients with Type 2 Diabetes Mellitus
| Placebo | Ozempic 0,5 mg | Ozempic 1 mg | |
| Monoterapi | |||
| N = 129 | N = 127 | N = 130 | |
| † | 0% | 0% | 0% |
| 0% | 1,6% | 3,8% | |
| † eller blodglukose bekræftet symptomatisk (≤56 mg/dl glukosetærskel) | 1,6% | 0% | 0% |
| Tilføjelse til basal insulin med eller uden metformin | |||
| N = 132 | N = 132 | N = 131 | |
| † | 0% | 0% | 1,5% |
| 15,2% | 16,7% | 29,8% | |
| † eller blodglukose Bekræftet symptomatisk ( ≤56 mg/dl glukosetærskel) | 5,3% | 8,3% | 10,7% |
| † Alvorlige hypoglykæmi -bivirkninger er episoder, der kræver hjælp fra en anden person. |
Hypoglykæmi was more frequent when Ozempic was used in combination with a sulfonylurea [see ADVARSELS AND FORHOLDSREGLER Kliniske studier ]. Severe hypoglycemia occurred in 0.8% og 1.2% of patients when Ozempic 0,5 mg og 1 mg respectively was co-administered with a sulfonylurea. Documented symptomatic hypoglycemia occurred in 17.3% og 24.4% of patients when Ozempic 0,5 mg og 1 mg respectively was co-administered with a sulfonylurea. Severe or blood glucose confirmed symptomatic hypoglycemia occurred in 6.5% og 10.4% of patients when Ozempic 0,5 mg og 1 mg respectively was co-administered with a sulfonylurea.
Indsprøjtning Site Reactions
I placebo-kontrollerede forsøg blev der rapporteret om injektionsstedets reaktioner (f.eks. Ujævnhedsstedet erythema) hos 0,2% af Ozempic-behandlede patienter.
Stigninger i amylase og lipase
I placebo-kontrollerede forsøg havde patienter, der blev udsat for Ozempic, en gennemsnitlig stigning fra baseline i amylase på 13% og lipase på 22%. Disse ændringer blev ikke observeret hos placebo-behandlede patienter.
Hvad bruges meloxicam 7.5 til
Akut pancreatitis
I glykæmiske kontrolforsøg blev akut pancreatitis bekræftet ved dom hos 7 ozempic-behandlede patienter (NULL,3 tilfælde pr. 100 patientår) versus 3 i komparatorbehandlede patienter (NULL,2 tilfælde pr. 100 patientår).
Cholelithiasis
I placebo-kontrollerede forsøg blev cholelithiasis rapporteret i henholdsvis 1,5% og 0,4% af patienterne, der blev behandlet med Ozempic 0,5 mg og 1 mg. Cholelithiasis blev ikke rapporteret hos placebo-behandlede patienter.
Stigninger i hjerterytmen
I placebo-kontrollerede forsøg resulterede ozempic 0,5 mg og 1 mg i en gennemsnitlig stigning i hjerterytmen på 2 til 3 slag pr. Minut. Der var et gennemsnitligt fald i hjerterytmen på 0,3 slag pr. Minut i placebo-behandlede patienter.
Træthedsdysgeuasia og svimmelhed
Andre bivirkninger med en frekvens på> 0,4% var forbundet med ozempic inkluderer træthedsdysgeusia og svimmelhed.
Oplevelse af postmarketing
Følgende bivirkninger er rapporteret under anvendelse af semaglutid efter godkendelse af semaglutid den aktive ingrediens i Ozempic. Fordi disse reaktioner rapporteres frivilligt fra en population af usikker størrelse, er det ikke altid muligt at pålideligt estimere deres frekvens eller etablere et årsagsforhold til eksponering for lægemidler.
Gastrointestinale lidelser: Ileus
Overfølsomhed: Anaphylaxis angioedema udslæt urticaria.
Hepatobiliary: Cholecystitis kolecystektomi
Neurologisk: Dysestesi
Lunge: Pulmonal aspiration er forekommet hos patienter, der modtager GLP-1-receptoragonister, der gennemgår valgfaglige operationer eller procedurer, der kræver generel anæstesi eller dyb sedation.
Hud og subkutant væv: Alopecia.
Lægemiddelinteraktioner for Ozempic
Samtidig brug med en insulinsekretagoge (f.eks. Sulfonylurea) eller med insulin
Ozempic stimulerer insulinfrigivelse i nærvær af forhøjede blodsukkerkoncentrationer. Patienter, der modtager Ozempic i kombination med en insulinsekretagoge (f.eks. Sulfonylura) eller insulin, kan have en øget risiko for hypoglykæmi, herunder svær hypoglykæmi. Overvej ozempic at indlede ozempic at reducere dosis af samtidig administreret insulinsekretagoge (såsom sulfonylurinstof) eller insulin for at reducere risikoen for hypoglykæmi [se ADVARSELS AND FORHOLDSREGLER og Bivirkninger ].
Mundtlige medicin
Ozempic forårsager en forsinkelse af gastrisk tømning og har derved potentialet til at påvirke absorptionen af samtidig administreret orale medicin. I kliniske farmakologiske forsøg påvirkede semaglutid ikke absorptionen af oralt administrerede medicin til nogen klinisk relevant grad [se Klinisk farmakologi ]. Nonetheless caution should be exercised when oral medications are concomitantly administered with Ozempic.
Advarsler for ozempic
Inkluderet som en del af 'FORHOLDSREGLER' Afsnit
Forholdsregler for ozempic
Risiko for skjoldbruskkirtel C-celletumorer
Hos mus og rotter forårsagede semaglutid en dosisafhængig og behandlingsafhængig stigning i forekomsten af thyroidea-c-celle-tumorer (adenomer og kræftfremkaldende Ikke -klinisk toksikologi ]. It is unknown whether Ozempic causes thyroid C-cell tumors including MTC in humans as human relevance of semaglutide-induced rodent thyroid C-cell tumors has not been determined.
Tilfælde af MTC hos patienter behandlet med liraglutid En anden GLP-1-receptoragonist er rapporteret i postmarketingperioden; Dataene i disse rapporter er utilstrækkelige til at etablere eller udelukke en årsagssammenhæng mellem MTC og GLP-1-receptoragonistbrug hos mennesker.
Ozempic er kontraindiceret hos patienter med en personlig eller familiehistorie af MTC eller hos patienter med mænd 2. rådgivningspatienter vedrørende den potentielle risiko for MTC ved anvendelse af Ozempic og informer dem om symptomer på skjoldbruskkirteltumorer (f.eks. En masse i nakken dysphagia dyspnø vedvarende heshed).
Rutinemæssig overvågning af serum calcitonin eller anvendelse af thyroidea -ultralyd er af usikker værdi til tidlig påvisning af MTC hos patienter behandlet med Ozempic. En sådan overvågning kan øge risikoen for unødvendige procedurer på grund af lavtestspecificiteten for serum calcitonin og en høj baggrundsforekomst af skjoldbruskkirtelsygdom. Signifikant forhøjet serumcalcitoninværdi kan indikere MTC, og patienter med MTC har normalt calcitoninværdier> 50 ng/L. Hvis serum calcitonin måles og viser sig at være forhøjet, skal patienten evalueres yderligere. Patienter med skjoldbruskkirtelknudler, der er bemærket ved fysisk undersøgelse eller nakkeafbildning, bør også evalueres yderligere.
Akut pancreatitis
Akut pancreatitis inklusive dødelig og ikke-dødelig hæmoragisk eller nekrotiserende pancreatitis er blevet observeret hos patienter behandlet med GLP-1-receptoragonister inklusive semaglutid [se Bivirkninger ].
Efter påbegyndelse af Ozempic observerer patienter omhyggeligt for tegn og symptomer på pancreatitis (inklusive vedvarende alvorlige mavesmerter, der undertiden udstråler bagpå, og som måske ikke kan ledsages af opkast). Hvis pancreatitis er mistænkt, ophører Ozempic og initierer passende styring.
Diabetiske retinopati komplikationer
I et 2-årigt forsøg, der involverede patienter med type 2-diabetes og høj kardiovaskulær risiko, forekom der flere hændelser med diabetisk retinopati-komplikationer hos patienter, der blev behandlet med Ozempic (NULL,0%) sammenlignet med placebo (NULL,8%). Den absolutte risikoforøgelse for diabetisk retinopati -komplikationer var større blandt patienter med en historie med diabetisk retinopati ved baseline (Ozempic 8,2% placebo 5,2%) end blandt patienter uden en kendt historie med diabetisk retinopati (Ozempic 0,7% placebo 0,4%).
Hurtig forbedring af glukosekontrol har været forbundet med en midlertidig forværring af diabetisk retinopati. Effekten af langvarig glykæmisk kontrol med semaglutid på diabetisk retinopati-komplikationer er ikke undersøgt. Patienter med en historie med diabetisk retinopati bør overvåges for progression af diabetisk retinopati.
Del aldrig en ozempisk pen mellem patienter
Ozempiske kuglepenne må aldrig deles mellem patienter, selvom nålen ændres. Pen-deling udgør en risiko for transmission af blodbårne patogener.
Hypoglykæmi With Concomitant Use Of Insulin Secretagogues Or Insulin
Patienter, der modtager ozempic i kombination med en insulinsekretagoge (f.eks. Sulfonylura) eller insulin, kan have en øget risiko for hypoglykæmi, herunder svær hypoglykæmi [se Bivirkninger og Lægemiddelinteraktioner ].
Risikoen for hypoglykæmi kan sænkes ved en reduktion i dosis af sulfonylura (eller andre samtidigt administreret insulinsekretagoge) eller insulin. Informer patienter, der bruger disse samtidige medicin af risikoen for hypoglykæmi, og uddanne dem om tegn og symptomer på hypoglykæmi.
Akut nyreskade på grund af volumenudtømning
Der har været efter markedsføringsrapporter om akut nyreskade i nogle tilfælde, der kræver hæmodialyse hos patienter behandlet med semaglutid. Størstedelen af de rapporterede begivenheder forekom hos patienter, der oplevede gastrointestinale reaktioner, der førte til dehydrering, såsom kvalmeopkast eller diarré [se Bivirkninger ]. Monitor renal function in patients reporting adverse reactions to Ozempic that could lead to volume depletion especially during dosage initiation og escalation of Ozempic.
Alvorlige gastrointestinale bivirkninger
Brug af ozempic har været forbundet med gastrointestinale bivirkninger undertiden alvorlige [se Bivirkninger ]. In Ozempic clinical trials severe gastrointestinal adverse reactions were reported more frequently among patients receiving Ozempic (NULL,5 mg 0.4% 1 mg 0.8%) than Placebo (0%).
Ozempic anbefales ikke hos patienter med svær gastroparese.
Overfølsomhedsreaktioner
Der er rapporteret om alvorlige overfølsomhedsreaktioner (f.eks. Anafylaksisangioedem) hos patienter behandlet med Ozempic. Hvis der forekommer overfølsomhedsreaktioner, ophører brugen af ozempic; Behandl straks pr. Standard for pleje og monitor, indtil tegn og symptomer løser. Brug ikke hos patienter med en tidligere overfølsomhed over for ozempic [se Kontraindikationer og Bivirkninger ].
Anafylaksi og angioødem er rapporteret med andre GLP-1-receptoragonister. Brug forsigtighed hos en patient med en historie med angioødem eller anafylaksi med en anden GLP-1-receptoragonist, fordi det er ukendt, om sådanne patienter vil være disponeret for anafylaksi med Ozempic.
Akut galdeblæresygdom
Der er rapporteret om akutte begivenheder med galdeblæresygdom, såsom cholelithiasis eller cholecystitis i GLP-1-receptoragonistforsøg og postmarked. I placebo-kontrollerede forsøg blev cholelithiasis rapporteret i henholdsvis 1,5% og 0,4% af patienterne, der blev behandlet med Ozempic 0,5 mg og 1 mg. Cholelithiasis blev ikke rapporteret hos placebo-behandlede patienter. Hvis der er mistanke om cholelithiasis, er galdeblærestudier og passende klinisk opfølgning indikeret.
Pulmonal aspiration under generel anæstesi eller dyb sedation
Ozempic forsinker gastrisk tømning [se Klinisk farmakologi ]. There have been rare postmarketing reports of pulmonary aspiration in patients receiving GLP-1 receptor agonists undergoing elective surgeries or procedures requiring general anesthesia or deep sedation who had residual gastric contents despite reported adherence to preoperative fasting recommendations.
Tilgængelige data er utilstrækkelige til at informere henstillinger til at afbøde risikoen for lungeaspiration under generel anæstesi eller dyb sedation hos patienter, der tager OZEMPIC, herunder om ændring af præoperative fastende anbefalinger eller midlertidigt at afbryde Ozempic kunne reducere forekomsten af tilbageholdt gastrisk indhold. Instruer patienter om at informere sundhedsudbydere inden planlagte operationer eller procedurer, hvis de tager Ozempic.
Oplysninger om patientrådgivning
Rådgiv patienten om at læse den FDA-godkendte patientmærkning ( Medicin vejledning og Instructions for Use ).
Risiko for skjoldbruskkirtel C-celletumorer
Informer patienter om, at semaglutid forårsager skjoldbruskkirtel C-celletumorer i gnavere, og at den menneskelige relevans af dette fund ikke er bestemt. Rådgiver patienter om at rapportere symptomer på skjoldbruskkirteltumorer (f.eks. En klump i nakken heshed dysfagi eller dyspnø) til deres læge [se Boksadvarsel og ADVARSELS AND FORHOLDSREGLER ].
Akut pancreatitis
Informer patienter om den potentielle risiko for akut pancreatitis og dens symptomer: alvorlige mavesmerter, der kan stråle bagpå, og som måske eller måske ikke ledsages af opkast. Instruer patienter om at afbryde ozempic straks og kontakte deres læge, hvis pancreatitis er mistænkt [se ADVARSELS AND FORHOLDSREGLER ].
bivirkninger af vivelle dot patch
Diabetiske retinopati komplikationer
Informer patienter om at kontakte deres læge, hvis der opleves ændringer i synet under behandling med ozempic [se ADVARSELS AND FORHOLDSREGLER ].
Del aldrig en ozempisk pen mellem patienter
Rådgive patienter om, at de aldrig må dele en ozempisk pen med en anden person, selvom nålen ændres, fordi det at gøre det bærer en risiko for transmission af blodbårne patogener [se ADVARSELS AND FORHOLDSREGLER ].
Hypoglykæmi With Concomitant Use Of Insulin Secretagogues Or Insulin
Informer patienter om, at risikoen for hypoglykæmi øges, når ozempic anvendes med en insulinsekretagoge (såsom en sulfonylura) eller insulin. Uddann patienter om tegn og symptomer på hypoglykæmi [se ADVARSELS AND FORHOLDSREGLER ].
Akut nyreskade på grund af volumenudtømning
Informer patienter om den potentielle risiko for akut nyreskade på grund af dehydrering forbundet med gastrointestinale bivirkninger. Rådgiv patienter om at tage forholdsregler for at undgå fluidudtømning. Informer patienter om tegn og symptomer på akut nyreskade og instruerer dem om straks at rapportere nogen af disse tegn eller symptomer eller vedvarende (eller udvidet) kvalme opkast og diarré til deres sundhedsudbyder [se ADVARSELS AND FORHOLDSREGLER ].
Alvorlige gastrointestinale bivirkninger
Informer patienter om den potentielle risiko for alvorlige gastrointestinale bivirkninger. Instruer patienter om at kontakte deres sundhedsudbyder, hvis de har alvorlige eller vedvarende gastrointestinale symptomer [se ADVARSELS AND FORHOLDSREGLER ]
Overfølsomhedsreaktioner
Informer patienter om, at der er rapporteret om alvorlige overfølsomhedsreaktioner under anvendelse af Ozempic efter markedsføring. Rådgive patienter om symptomerne på overfølsomhedsreaktioner og instruere dem til at stoppe med at tage ozempic og søge medicinsk rådgivning omgående, hvis sådanne symptomer forekommer [se ADVARSELS AND FORHOLDSREGLER ].
Akut galdeblæresygdom
Informer patienter om den potentielle risiko for cholelithiasis eller cholecystitis. Instruer patienter om at kontakte deres læge, hvis cholelithiasis eller cholecystitis er mistænkt for passende klinisk opfølgning [se ADVARSELS AND FORHOLDSREGLER ].
Pulmonal aspiration under generel anæstesi eller dyb sedation
Informer patienter om, at ozempic kan få deres mave til at tømme langsommere, hvilket kan føre til komplikationer med anæstesi eller dyb sedation under planlagte operationer eller procedurer. Instruer patienter om at informere HealthcareProviders inden planlagte operationer eller procedurer, hvis de tager ozempic [se ADVARSELS AND FORHOLDSREGLER ].
Graviditet
Rådgive en gravid kvinde om den potentielle risiko for et foster. Rådgive kvinder om at informere deres sundhedsudbyder, hvis de er gravide eller har til hensigt at blive gravide [se Brug i specifikke populationer ].
Savne doser
Informer patienter, om en dosis går glip af, at den skal administreres så hurtigt som muligt inden for 5 dage efter den ubesvarede dosis. Hvis der er passeret mere end 5 dage, skal den ubesvarede dosis springes over, og den næste dosis skal administreres på den regelmæssigt planlagte dag. I begge tilfælde informere patienterne om at genoptage deres regelmæssige doseringsplan en gang ugentlig dosering [se Dosering og administration ].
Ikke -klinisk toksikologi
Karcinogenese mutagenese nedskrivning af fertilitet
I en 2-årig carcinogenicitetsundersøgelse i CD-1-mus subkutane doser på 0,3 1 og 3 mg/kg/dag [2- 11- og 30 gange blev den maksimale anbefalede humane dosis (MRHD) på 2 mg/uge baseret på AUC] administreret til malerne og 0,1 0,3 og 1 mg/kg/dag (1- 2- og 7-fold MRHD) blev administreret til malerne og female. En statistisk signifikant stigning i skjoldbruskkirtel-C-celle-adenomer og en numerisk stigning i C-cellecarcinomer blev observeret hos mænd og hunner ved klinisk relevante eksponeringer.
I en 2-årig carcinogenicitetsundersøgelse i Sprague Dawley-rotter blev subkutane doser på 0,0025 0,01 0,025 og 0,1 mg/kg/dag administreret (under kvantificering 0,2- 0,5- og 3 gange eksponeringen ved MRHD). En statistisk signifikant stigning i skjoldbruskkirtel-C-celle-adenomer blev observeret hos mænd og hunner på alle dosisniveauer, og en statistisk signifikant stigning i skjoldbruskkirtel-c-cellecarcinomer blev observeret hos mænd ved 0,0,01 mg/kg/dag ved klinisk relevant eksponering.
Menneskelig relevans af skjoldbruskkirtel C-celletumorer hos rotter er ukendt og kunne ikke bestemmes ved kliniske studier eller ikke-kliniske undersøgelser [se Boksadvarsel og ADVARSELS AND FORHOLDSREGLER ].
Semaglutid var ikke mutagen eller clastogen i et standardbatteri af genotoksicitetstest (bakteriel mutagenicitet (Ames) human lymfocytkromosomafvigelse rotte knoglemarv mikronukleus).
I en kombineret fertilitets- og embryo-føtaludviklingsundersøgelse i rotter blev subkutane doser på 0,01 0,03 og 0,09 mg/kg/dag (NULL,06- 0,2- og 0,6 gange MRHD) administreret til han- og kvindelige rotter. Hannerne blev doseret i 4 uger før parring, og hunnerne blev doseret i 2 uger før parring og i hele organogenese, indtil drægtighedsdag 17. Der blev ikke observeret nogen effekter på mandlig fertilitet. Hos kvinder blev der observeret en stigning i estruscykluslængde ved alle dosisniveauer sammen med en lille reduktion i antallet af korpora lutea ved 0,0,03 mg/kg/dag. Disse virkninger var sandsynligvis en adaptiv respons sekundært på den farmakologiske virkning af semaglutid på fødevareforbrug og kropsvægt.
Brug i specifikke populationer
Graviditet
Risikooversigt
Der er begrænsede data med semaglutidbrug hos gravide kvinder til at informere en lægemiddelassocieret risiko for ugunstige udviklingsresultater. Der er kliniske overvejelser vedrørende risikoen for dårligt kontrolleret diabetes under graviditet (se Kliniske overvejelser ). Based on animal reproduction studies there may be potential risks to the fetus from exposure to semaglutide during pregnancy. Ozempic should be used during pregnancy only if the potential benefit justifies the potential risk to the fetus.
Hos gravide rotter administreret semaglutid under organogenese -embryofetaldødelighed strukturelle abnormiteter og ændringer i vækst forekom ved mødre klinisk eksponering baseret på AUC. Hos kaniner og cynomolgus-aber blev administreret semaglutid under organogenese tidlige graviditetstab eller strukturelle abnormiteter observeret ved klinisk eksponering (kanin) og ≥2 gange MRHD (abe). Disse fund faldt sammen med en markant moderlig kropsvægttab hos begge dyrearter (se Data ).
I den amerikanske generelle befolkning er den estimerede baggrundsrisiko for større fødselsdefekter og spontanabort i klinisk anerkendte graviditeter henholdsvis 2 til 4% og 15 til 20%. Den estimerede baggrundsrisiko for store fødselsdefekter er 6 til 10% hos kvinder med præ-gestational diabetes med en peri-overbevisende HBA 1c > 7 og det er rapporteret at være så højt som 20 til 25% hos kvinder med en peri-overbevisende HBA 1c > 10. Den estimerede baggrundsrisiko for spontanabort for den angivne befolkning er ukendt.
Kliniske overvejelser
Sygdomsassocieret moderlig og/eller embryo/føtal risiko
Hypoglykæmi og hyperglycemia occur more frequently during pregnancy in patients with pre-gestational diabetes. Poorly controlled diabetes during pregnancy increases the maternal risk for diabetic ketoacidosis preeclampsia spontaneous abortions preterm delivery og delivery complications. Poorly controlled diabetes increases the fetal risk for major birth defects stillbirth og macrosomia related morbidity.
Data
Dyredata
I en kombineret fertilitet og embryofetaludviklingsundersøgelse i rotter subkutane doser på 0,01 0,03 og 0,09 mg/kg/dag (NULL,06- 0,2 og 0,6 gange blev MRHD) administreret til mænd i 4 uger før og gennem parring og til kvinder i løbet af kroppens vægt inden for at parre og fødevarer og fødevarer til gatation dag 17. i parentale dyr, farmakarratisk, og der blev reduceret hunner i kroppens vægt og fødevarer og f.eks Forbrug blev observeret ved alle dosisniveauer. I afkom reducerede vækst og fostre med viscerale (hjerteblodkar) og skelet (kraniale knogler ryghvirvler) abnormiteter ved den menneskelige eksponering.
I en embryofetaludviklingsundersøgelse hos gravide kaniner subkutane doser på 0,0010 0,0025 eller 0,0075 mg/kg/dag (NULL,02- 0,2- og 1,2 gange blev MRHD) administreret i hele organogenesen fra drægtigheden dag 6 til 19. farmakologisk medierede reduktion i moderens kropsvægtforøgelse og fødevareforbrug blev observeret ved alle doseniveauer. Tidlige graviditetstab og øgede forekomster af mindre visceral (nyrelever) og knogletal (Sternebra) føtal abnormaliteter blev observeret ved ≥0,0025 mg/kg/dag ved klinisk relevante eksponeringer.
I en embryofetaludviklingsundersøgelse i gravide cynomolgus-aber blev subkutane doser på 0,015 0,075 og 0,15 mg/kg to gange ugentligt (NULL,5- 3- og 8-foldet MRHD) administreret i hele organogenesen fra drægtighedsdag 16 til 50. Farmakologisk medierede markerede indledende materre kropsvægttab og reduktion i kropsvægt og fødevarer, der er sammenfoldet med det, der er fald Abnormaliteter (vertebra sternebra ribben) ved ≥0,075 mg/kg to gange ugentligt (≥3x menneskelig eksponering).
In a pre- and postnatal development study in pregnant cynomolgus monkeys subcutaneous doses of 0.015 0.075 and 0.15 mg/kg twice weekly (0.3- 2- and 4-fold the MRHD) were administered from Gestation Day 16 to 140. Pharmacologically mediated marked initial maternal body weight loss and reductions in body weight gain and food consumption coincided with an increase in early pregnancy losses and led to levering af lidt mindre afkom ved ≥0,075 mg/kg to gange ugentligt (≥2x menneskelig eksponering).
Amning
Risikooversigt
Der er ingen data om tilstedeværelsen af semaglutid i human mælk Virkningerne på det ammede spædbarn eller virkningerne på mælkeproduktionen. Semaglutid var til stede i mælken fra ammende rotter, men på grund af artsspecifikke forskelle i amningsfysiologi er den kliniske relevans af disse data ikke klar (se Data ). The developmental og health benefits of breastfeeding should be considered along with the mother's clinical need for Ozempic og any potential adverse effects on the breastfed infant from Ozempic or from the underlying maternal condition.
Data
I ammende rotter blev der påvist semaglutid i mælk ved niveauer 3- til 12 gange lavere end i moderlig plasma.
Kvinder og mænd med reproduktivt potentiale
Afbryd Ozempic hos kvinder mindst 2 måneder før en planlagt graviditet på grund af den lange udvaskningsperiode for semaglutid [se Graviditet ].
Pædiatrisk brug
Sikkerhed og effektivitet af Ozempic er ikke blevet fastlagt hos pædiatriske patienter.
Geriatrisk brug
I puljen af placebo- og aktivkontrollerede glykæmiske kontrolforsøg 744 (NULL,6%) Ozempic-behandlede patienter var 65 år gammel og over og 102 Ozempic-behandlede patienter (NULL,2%) patienter var 75 år og over. I opretholdelse 6 Det kardiovaskulære resultatforsøg 788 (48%) Ozempic-behandlede patienter var 65 år og over og 157 Ozempic-behandlede patienter (NULL,6%) patienter var 75 år gammel og derover.
Der blev ikke påvist nogen samlede forskelle i sikkerhed eller effektivitet mellem disse patienter og yngre patienter, men større følsomhed hos nogle ældre personer kan ikke udelukkes.
Nedskærmning af nyren
Ingen dosisjustering af Ozempic anbefales til patienter med nedsat nyrefunktion. Hos personer med nedsat nyrefunktion inklusive nyresvigt blev der ikke observeret en klinisk relevant ændring i Semaglutide farmakokinetik (PK) [se Klinisk farmakologi ].
Leverskrivning i leveren
Ingen dosisjustering af Ozempic anbefales til patienter med nedsat leverfunktion. I en undersøgelse i personer med forskellige grader af leverfunktion blev der ikke observeret klinisk relevant ændring i semaglutid -farmakokinetik (PK) [se Klinisk farmakologi ].
Overdoseringsoplysninger til ozempic
I tilfælde af overdosis bør passende understøttende behandling initieres i henhold til patientens kliniske tegn og symptomer. Overvej at kontakte Poison Help Line (1-800-222-1222) eller en medicinsk toksikolog for yderligere henstillinger for overdoseringsstyring. En længere periode med observation og behandling af disse symptomer kan være nødvendig under hensyntagen til den lange halveringstid for ozempic på cirka 1 uge.
Kontraindikationer for ozempic
Ozempic er kontraindiceret hos patienter med:
- En personlig eller familiehistorie med MTC eller hos patienter med mænd 2 [se ADVARSELS AND FORHOLDSREGLER ].
- En alvorlig overfølsomhedsreaktion på semaglutid eller på nogen af excipienserne i ozempic. Der er rapporteret om alvorlige overfølsomhedsreaktioner inklusive anafylaksi og angioødem med ozempic [se ADVARSELS AND FORHOLDSREGLER ].
Klinisk farmakologi for Ozempic
Handlingsmekanisme
Semaglutid er en GLP-1-analog med 94% sekvenshomologi til human GLP-1. Semaglutid fungerer som en GLP-1-receptoragonist, der selektivt binder til og aktiverer GLP-1-receptoren målet for nativt GLP-1.
GLP-1 er et fysiologisk hormon, der har flere handlinger på glukose medieret af GLP-1-receptorerne.
Den vigtigste mekanisme for fremspring, der resulterer i den lange halveringstid for semaglutid, er albuminbinding, hvilket resulterer i nedsat renal clearance og beskyttelse mod metabolisk nedbrydning. Endvidere er semaglutid stabiliseret mod nedbrydning af DPP-4-enzymet.
Semaglutid reducerer blodsukker gennem en mekanisme, hvor det stimulerer insulinsekretion og sænker glukagon-sekretion både på en glukoseafhængig måde. Når blodsukkeret er høj insulinsekretion stimuleres således, og glukagon -sekretion hæmmes. Mekanismen for sænkning af blodsukker involverer også en mindre forsinkelse i gastrisk tømning i den tidlige postprandiale fase.
Mekanismen for nyre-relateret risikoreduktion er ikke fastlagt.
Farmakodynamik
Semaglutid sænker fastende og postprandial blodsukker og reducerer kropsvægt. Alle farmakodynamiske evalueringer blev udført efter 12 ugers behandling (inklusive dosisoptrapning) ved stabil tilstand med semaglutid 1 mg.
neutral
Faste og postprandial glukose
Semaglutid reducerer faste og postprandiale glukosekoncentrationer. Hos patienter med type 2-diabetesbehandling med semaglutid resulterede 1 mg i reduktioner i glukose med hensyn til absolut ændring fra baseline og relativ reduktion sammenlignet med placebo på 29 mg/dL (22%) for fastende glukose 74 mg/dl (36%) for 2-timers postprandial glucose og 30 mg/dl (22%) for gennemsnitlig 24-timers glucose-koncentration (ser figur 1).
Figur 1. Gennemsnitlig 24-timers plasmaglukoseprofiler (standardiserede måltider) hos patienter med type 2-diabetes før (baseline) og efter 12 ugers behandling med semaglutid eller placebo
Insulinsekretion
Både første- og andenfaset insulinsekretion øges hos patienter med type 2-diabetes behandlet med Ozempic sammenlignet med placebo.
Glucagon -sekretion
Semaglutid sænker faste og postprandiale glukagonkoncentrationer. Hos patienter med type 2-diabetesbehandling med semaglutid resulterede i følgende relative reduktioner i glukagon sammenlignet med placebo-faste glukagon (8%) postprandial glukagon-respons (14 til 15%) og gennemsnitlig 24-timers glukagonkoncentration (12%).
Glukoseafhængig insulin og glukagon sekretion
Semaglutid sænker høje blodsukkerkoncentrationer ved at stimulere insulinsekretion og sænke glukagon-sekretion på en glukoseafhængig måde. Med semaglutid var insulinsekretionshastigheden hos patienter med type 2 -diabetes svarende til den hos raske forsøgspersoner (se figur 2).
Figur 2. Gennemsnitlig insulinsekretionshastighed versus glukosekoncentration hos patienter med type 2 -diabetes under graderet glukoseinfusion før (baseline) og efter 12 ugers behandling med semaglutid eller placebo og i ubehandlet sund
Under induceret hypoglykæmi ændrede semaglutid ikke de modregulerende responser af øget glukagon sammenlignet med placebo og forringede ikke faldet i C-peptid hos patienter med type 2-diabetes.
Gastrisk tømning
Semaglutid forårsager en forsinkelse af tidlig postprandial gastrisk tømning og reducerer den hastighed, hvormed glukose forekommer i cirkulationen postprandialt.
Hjertelektrofysiologi (QTC)
Effekten af semaglutid på hjerte -repolarisering blev testet i en grundig QTC -undersøgelse. Semaglutid forlænger ikke QTC-intervaller ved doser op til 1,5 mg ved stabil tilstand.
Farmakokinetik
Absorption
Absolut biotilgængelighed af semaglutid er 89%. Maksimal koncentration af semaglutid nås 1 til 3 dage efter dosis.
Lignende eksponering opnås med subkutan administration af semaglutid i maven lår eller overarm.
Hos patienter med type 2-diabetesforøgelse øges semaglutideksponeringen på en dosisproportionsmæssig måde for en gang ugentlige doser på 0,5 mg 1 mg og 2 mg. Eksponering af stabil tilstand opnås efter 4 til 5 ugers administration en gang om ugen. Hos patienter med type 2-diabetes var den gennemsnitlige population-PK estimeret steady-state-koncentrationer efter en gang ugentlig subkutan administration på 0,5 mg og 1 mg semaglutid ca. 65 ng/ml og 123 ng/ml. I forsøget, der sammenlignede semaglutid 1 mg og 2 mg, var de gennemsnitlige steady tilstandskoncentrationer henholdsvis 111,1 ng/ml og 222,1 ng/ml.
Fordeling
Den gennemsnitlige tilsyneladende mængde distribution af semaglutid efter subkutan administration hos patienter med type 2 -diabetes er cirka 12,5L. Semaglutid er i vid udstrækning bundet til plasmaalbumin (> 99%).
Eliminering
Den tilsyneladende clearance af semaglutid hos patienter med type 2 -diabetes er ca. 0,05 l/h. Med en eliminering af halveringstid på cirka 1 uge vil semaglutid være til stede i cirkulationen i cirka 5 uger efter den sidste dosis.
Metabolisme
Den primære elimineringsvej til semaglutid er metabolisme efter proteolytisk spaltning af peptidets rygrad og sekventiel beta-oxidation af fedtsyre-sidekinnen.
Udskillelse
De primære udskillelsesruter for semaglutidrelateret materiale er via urinen og fæces. Cirka 3% af dosis udskilles i urinen som intakt semaglutid.
Specifikke populationer
Baseret på en population af farmakokinetisk analyse Alder sexløb og etnicitet og nedsat nyrefunktion har ikke en klinisk meningsfuld effekt på farmakokinetikken i semaglutid. Eksponeringen af semaglutid falder med en stigning i kropsvægt. Semaglutiddoser på 0,5 mg og 1 mg giver imidlertid tilstrækkelig systemisk eksponering over kropsvægtområdet fra 40 til 198 kg evalueret i de kliniske forsøg. Virkningerne af iboende faktorer på farmakokinetikken af semaglutid er vist i figur 3.
Figur 3. Virkningen af iboende faktorer på eksponering for semaglutid
Patienter med nedsat nyrefunktion
Nedskrivning af nyren påvirker ikke farmakokinetikken af semaglutid på en klinisk relevant måde. Dette blev vist i en undersøgelse med en enkelt dosis på 0,5 mg semaglutid hos patienter med forskellige grader af nyrefunktion (mild moderat svær eller nyresvigt) sammenlignet med personer med normal nyrefunktion. Dette blev også vist for personer med både type 2 -diabetes og nedsat nyrefunktion baseret på data fra kliniske studier (figur 3).
Patienter med nedsat leverfunktion
Nedskrivning i leveren har ikke nogen indflydelse på eksponeringen af semaglutid. Farmakokinetikken af semaglutid blev evalueret hos patienter med forskellige grader af leverfunktion (mild moderat svær) sammenlignet med personer med normal leverfunktion i en undersøgelse med en enkeltdosis på 0,5 mg semaglutid.
Pædiatriske patienter
Semaglutid er ikke undersøgt hos pædiatriske patienter.
Lægemiddelinteraktionsundersøgelser
In vitro Undersøgelser har vist et meget lavt potentiale for semaglutid til at hæmme eller inducere CYP -enzymer og til at hæmme lægemiddeltransportører.
Forsinkelsen af gastrisk tømning med semaglutid kan påvirke absorptionen af samtidig administrerede orale medicinske produkter [se Lægemiddelinteraktioner ]. The potential effect of semaglutide on the absorption of co-administered oral medications was studied in trials at semaglutide 1 mg steady-state exposure.
Der blev ikke observeret nogen klinisk relevant lægemiddel-lægemiddelinteraktion med semaglutid (figur 4) baseret på de evaluerede medicin; Derfor kræves der ingen dosisjustering, når den co-administreres med semaglutid. I en separat undersøgelse blev der ikke observeret nogen åbenbar virkning på hastigheden for gastrisk tømning med semaglutid 2,4 mg.
Figur 4. Semaglutidens påvirkning på eksponering af co-administrerede orale medicin
| Relativ eksponering med hensyn til AUC og Cmax for hver medicin, når det gives med semaglutid sammenlignet med uden semaglutid. Metformin og oralt præventionsmiddel (ethinylestradiol/levonorgestrel) blev vurderet ved stabil tilstand. Warfarin (S-Warfarin/Rwarfarin) digoxin og atorvastatin blev vurderet efter en enkelt dosis. Forkortelser: AUC: Område under kurven. Cmax: Maksimal koncentration. CI: Konfidensinterval. |
Immunogenicitet
Den observerede forekomst af anti-lægemiddelantistoffer er meget afhængig af følsomheden og specificiteten af assayet. Forskelle i analysemetoder udelukker meningsfulde sammenligninger af forekomsten af anti-medikamentantistoffer (ADA'er) i undersøgelserne beskrevet nedenfor med forekomsten af ADA'er i andre undersøgelser, herunder dem af semaglutid eller af andre semaglutidprodukter.
På tværs af placebo-og aktivkontrollerede glykæmiske kontrolforsøg 32 ud af 3150 (1%) Ozempic-behandlede patienter udviklede ADA'er til den aktive ingrediens i Ozempic (dvs. semaglutid). Af de 32 SEMAGLUTIDETTEMPAREDEPATIONER, der udviklede SEMAGLUTIDE ADAS 19-patienter (NULL,6% af den samlede population) udviklede antistoffer, der krydsreagerede med indfødte GLP-1. De In vitro Neutraliserende aktivitet af antistofferne er usikker på dette tidspunkt.
Kliniske studier
Glykæmiske kontrolforsøg hos voksne med type 2 -diabetes mellitus
Ozempic er blevet undersøgt som monoterapi og i kombination med metformin metformin og sulfonylurinstoffer metformin og/eller thiazolidinedion og basal insulin hos patienter med type 2 -diabetes mellitus. Effektiviteten af Ozempic blev sammenlignet med placebo sitagliptin exenatid udvidet frigivelse (ER) og insulin glargine.
De fleste forsøg vurderede brugen af ozempic 0,5 mg og 1 mg med undtagelse af forsøget, der sammenlignede ozempic og exenatid ER, hvor kun 1 mg -dosis blev undersøgt. Et forsøg vurderede brugen af ozempic 2 mg en gang ugentligt.
Hos patienter med type 2 -diabetes produceret mellitus ozempic klinisk relevant reduktion fra baseline i HBA 1c sammenlignet med placebo.
Effektiviteten af Ozempic blev ikke påvirket af alderen køns race etnicitet BMI ved baseline kropsvægt (kg) ved baseline -diabetesvarighed og niveau af nedsat nyrefunktion.
Monoterapi Use Of Ozempic In Adults With Type 2 Diabetes Mellitus
I en 30-ugers dobbeltblind undersøgelse (NCT02054897) blev 388 patienter med type 2-diabetes mellitus utilstrækkeligt kontrolleret med diæt og træning randomiseret til ozempic 0,5 mg eller ozempisk 1 mg en gang ugentligt eller placebo. Patienter havde en gennemsnitlig alder på 54 år og 54% var mænd. Den gennemsnitlige varighed af type 2 -diabetes var 4,2 år, og den gennemsnitlige BMI var 33 kg/m 2 . Samlet set var 64% hvide 8% sorte eller afroamerikanske og 21% var asiatiske; 30% identificeret som latinamerikansk eller latino etnicitet.
Monoterapi with Ozempic 0,5 mg og 1 mg once weekly for 30 weeks resulted in a statistically significant reduction in HBA 1c sammenlignet med placebo (se tabel 3).
Tabel 3. Resultater i uge 30 i en undersøgelse af Ozempic som monoterapi hos voksne patienter med type 2 -diabetes mellitus utilstrækkeligt kontrolleret med diæt og træning
| Placebo | Ozempic 0,5 mg | Ozempic 1 mg | |
| Intens-to-Treat (ITT) Befolkning (N) a | 129 | 128 | 130 |
| HBA 1c (%) | |||
| 8 | 8.1 | 8.1 | |
| b | -0.1 | -1.4 | -1.6 |
| b [95% CI] | -1.2 [-1,5 -0,9] c | -1.4 [-1.7 -1.1] c | |
| Patienter (%) opnår HBA 1c <7% | 28 | 73 | 70 |
| FPG (MG/DL) | |||
| 174 | 174 | 179 | |
| b | -15 | -41 | -44 |
| a Den intention-til-behandling-population inkluderer alle randomiserede og udsatte patienter. I uge 30 den primære HBA 1c Endpoint manglede for 10% 7% og 7% af patienterne, og under forsøget blev redningsmedicinen initieret med henholdsvis 20% 5% og 4% af patienterne randomiseret til placebo ozempic 0,5 mg og ozempic 1 mg. Manglende data blev beregnet ved hjælp af flere imputationer baseret på hentede frafald. b Intens-to-treat-analyse ved hjælp af ANCOVA justeret for baselineværdi og land. c p <0.0001 (2-sided) for superiority adjusted for multiplicity. |
Den gennemsnitlige baseline kropsvægt var 89,1 kg 89,8 kg 96,9 kg i placebo ozempic 0,5 mg og ozempic 1 mg arme. De gennemsnitlige ændringer fra baseline til uge 30 var -1,2 kg -3,8 kg og -4,7 kg i placebo ozempic 0,5 mg og ozempic 1 mg arme. Forskellen fra placebo (95% Cl) for ozempic 0,5 mg var -2,6 kg (-3,8 -1,5) og for ozempic 1 mg var -3,5 kg (-4,8 -2,2).
Kombinationsterapi Brug af ozempic hos voksne med type 2 -diabetes mellitus
Kombination med metformin og/eller thiazolidinedions
I et 56-ugers dobbeltblindt forsøg (NCT01930188) blev 1231 patienter med type 2-diabetes mellitus randomiseret til ozempic 0,5 mg en gang ugentligt ozempic 1 mg en gang ugentligt eller sitagliptin 100 mg en gang dagligt i kombination med metformin (94%) og/eller thiazolidinediones (6%). Patienter havde en gennemsnitlig alder på 55 år og 51% var mænd. Den gennemsnitlige varighed af type 2 -diabetes var 6,6 år, og den gennemsnitlige BMI var 32 kg/m 2 . Samlet set var 68% hvide 5% sorte eller afroamerikanske og 25% var asiatiske; 17% identificeret som latinamerikansk eller latino -etnicitet.
Behandling med ozempic 0,5 mg og 1 mg en gang ugentligt i 56 uger resulterede i en statistisk signifikant reduktion i HBA 1c sammenlignet med sitagliptin (se tabel 4 og figur 5).
Tabel 4. Resultater i uge 56 i et forsøg med ozempic sammenlignet med sitagliptin hos voksne patienter med type 2 -diabetes mellitus i kombination med metformin og/eller thiazolidinediones
| Ozempic 0,5 mg | Ozempic 1 mg | Sitagliptin | |
| Intens-to-Treat (ITT) Befolkning (N) a | 409 | 409 | 407 |
| HBA 1c (%) | |||
| 8 | 8 | 8.2 | |
| b | -1.3 | -1.5 | -0.7 |
| b [95% CI] | -0.6 [-0,7 -0,4] c | -0.8 [-0,9 -0,6] c | |
| Patienter (%) opnår HBA 1c <7% | 66 | 73 | 40 |
| FPG (MG/DL) | |||
| 168 | 167 | 173 | |
| b | -35 | -43 | -23 |
| a Den intention-til-behandling-population inkluderer alle randomiserede og udsatte patienter. I uge 56 den primære HBA 1c Endpoint manglede for 7% 5% og 6% af patienterne, og under forsøget blev redningsmedicinen initieret med henholdsvis 5% 2% og 19% af patienterne, der blev randomiseret til ozempic 0,5 mg ozempic 1 mg og sitagliptin. Manglende data blev beregnet ved hjælp af flere imputationer baseret på hentede frafald. b Intens-to-treat-analyse ved hjælp af ANCOVA justeret for baselineværdi og land. c p <0.0001 (2-sided) for superiority adjusted for multiplicity. |
Den gennemsnitlige baseline -kropsvægt var 89,9 kg 89,2 kg 89,3 kg i henholdsvis Ozempic 0,5 mg ozempic 1 mg og sitagliptin -arme. De gennemsnitlige ændringer fra baseline til uge 56 var -4,2 kg -5,5 kg og -1,7 kg for henholdsvis Ozempic 0,5 mg ozempic 1 mg og sitagliptin -arme. Forskellen fra sitagliptin (95% Cl) for ozempic 0,5 mg var -2,5 kg (-3,2 -1,8) og for ozempic 1 mg var -3,8 kg (-4,5 -3,1).
Figur 5. Gennemsnitlig HBA 1c (%) Over Time - Baseline to Week 56
Kombination med metformin eller metformin med sulfonylura
I et 56-ugers open-label-forsøg (NCT01885208) 813 patienter med type 2-diabetes mellitus på metformin alene (49%) metformin med sulfonylurinstof (45%) eller andre (6%) blev randomiseret til Ozempic 1 mg en gang ugentligt eller exenatid 2 mg en gang ugentligt. Patienter havde en gennemsnitlig alder på 57 år og 55% var mænd. Den gennemsnitlige varighed af type 2 -diabetes var 9 år, og den gennemsnitlige BMI var 34 kg/m 2 . Samlet set var 84% hvide 7% sorte eller afroamerikanske og 2% var asiatiske; 24% identificeret som latinamerikansk eller latino -etnicitet.
Behandling med ozempic 1 mg en gang ugentligt i 56 uger resulterede i en statistisk signifikant reduktion i HBA 1c sammenlignet med exenatid 2 mg en gang ugentligt (se tabel 5).
Tabel 5. Resultater i uge 56 i et forsøg med ozempic sammenlignet med exenatid 2 mg en gang ugentligt hos voksne patienter med type 2 -diabetes mellitus i kombination med metformin eller metformin med sulfonyluraa
| Ozempic 1 mg | Exenatide ER 2 mg | |
| Intens-to-Treat (ITT) Befolkning (N) a | 404 | 405 |
| HBA 1c (%) | ||
| 8.4 | 8.3 | |
| b | -1.4 | -0.9 |
| b [95% CI] | -0.5 [-0,7 -0,3] c | |
| Patienter (%) opnår HBA 1c <7% | 62 | 40 |
| FPG (MG/DL) | ||
| 191 | 188 | |
| b | -44 | -34 |
| a Den intention-til-behandling-population inkluderer alle randomiserede og udsatte patienter. I uge 56 den primære HBA 1c Endpoint manglede for 9% og 11% af patienterne, og under forsøget blev redningsmedicinen initieret af henholdsvis 5% og 10% af patienterne, der blev randomiseret til ozempic 1 mg og exenatid ER 2 mg. Manglende data blev beregnet ved hjælp af flere imputationer baseret på hentede frafald. b Intens-to-treat-analyse ved hjælp af ANCOVA justeret for baselineværdi og land. c p <0.0001 (2-sided) for superiority adjusted for multiplicity. |
Den gennemsnitlige baseline -kropsvægt var henholdsvis 96,2 kg og 95,4 kg i henholdsvis Ozempic 1 mg og Exenatid ER -armene. De gennemsnitlige ændringer fra baseline til uge 56 var -4,8 kg og -2 kg i henholdsvis Ozempic 1 mg og exenatid ER -armene. Forskellen fra exenatid ER (95% Cl) for ozempic 1 mg var -2,9 kg (-3,6 -2,1).
Kombination med metformin eller metformin med sulfonylura
I en 30-ugers open-label-undersøgelse (NCT02128932) blev 1089 patienter med type 2-diabetes mellitus randomiseret til Ozempic 0,5 mg en gang ugentligt ozempic 1 mg en gang ugentligt eller insulin glargin en gang dagligt på en baggrund af metformin (48%) eller metformin og sulfonylurea (51%). Patienter havde en gennemsnitlig alder på 57 år og 53% var mænd. Den gennemsnitlige varighed af type 2 -diabetes var 8,6 år, og den gennemsnitlige BMI var 33 kg/m 2 . Samlet set var 77% hvide 9% sorte eller afroamerikanske og 11% var asiatiske; 20% identificeret som latinamerikansk eller latino -etnicitet.
Patienter, der blev tildelt insulin -glargine, havde en baseline -gennemsnit HBA 1c på 8,1% og blev startet på en dosis på 10 U en gang dagligt. Insulin-glargine-dosisjusteringer forekom i hele forsøgsperioden baseret på selvmålet fastende plasmaglukose før morgenmaden målrettet mod 71 til <100 mg/dL. In addition investigators could titrate insulin glargine at their discretion between study visits. Only 26% of patients had been titrated to goal by the primary endpoint at week 30 at which time the mean daily insulin dose was 29 U per day.
Behandling med ozempic 0,5 mg og 1 mg en gang ugentligt i 30 uger resulterede i en statistisk signifikant reduktion i HBA 1c Sammenlignet med den insulin -glargine -titrering implementeret i denne undersøgelsesprotokol (se tabel 6).
Tabel 6. Resultater i uge 30 i en undersøgelse af Ozempic sammenlignet med insulin glargine hos voksne patienter med type 2 -diabetes mellitus i kombination med metformin eller metformin med sulfonylura
| Ozempic 0,5 mg | Ozempic 1 mg | Insulin glargine | |
| Intens-to-Treat (ITT) Befolkning (N)a | 362 | 360 | 360 |
| HBA 1c (%) | |||
| 8.1 | 8.2 | 8.1 | |
| b | -1.2 | -1.5 | -0.9 |
| b | -0.3 | -0.6 | |
| [-0,5 -0,1] c | [-0,8 -0,4] c | ||
| Patienter (%) opnår HBA 1c <7% | 55 | 66 | 40 |
| FPG (MG/DL) | |||
| 172 | 179 | 174 | |
| b | -35 | -46 | -37 |
| a Den intention-til-behandling-population inkluderer alle randomiserede og udsatte patienter. I uge 30 den primære HBA 1c Endpoint manglede for 8% 6% og 6% af patienterne, og under forsøget blev redningsmedicin initieret med henholdsvis 4% 3% og 1% af patienterne randomiseret til Ozempic 0,5 mg ozempic 1 mg og insulin glargine. Manglende data blev beregnet ved hjælp af flere imputationer baseret på hentede frafald. b Intens-to-treat-analyse ved hjælp af ANCOVA justeret for baselineværdi land og stratificeringsfaktorer. c p <0.0001 (2-sided) for superiority adjusted for multiplicity |
Den gennemsnitlige baseline kropsvægt var 93,7 kg 94 kg 92,6 kg i henholdsvis Ozempic 0,5 mg ozempic 1 mg og insulin glargine arme. De gennemsnitlige ændringer fra baseline til uge 30 var -3,2 kg -4,7 kg og 0,9 kg i henholdsvis Ozempic 0,5 mg ozempic 1 mg og insulin glargine arme. Forskellen fra insulin -glargin (95% Cl) for ozempic 0,5 mg var -4,1 kg (-4,9 -3,3) og for ozempic 1 mg var -5,6 kg (-6,4 -4,8).
Kombination med metformin eller metformin med sulfonylura
I en 40-ugers dobbeltblind undersøgelse (NCT03989232) blev 961 patienter med type 2-diabetes, der i øjeblikket blev behandlet med metformin med eller uden sulfonylurea-behandling, randomiseret til ozempic 2 mg eller ozempisk 1 mg en gang ugentligt. Patienterne havde en gennemsnitlig alder på 58 år og 58,6% var mænd. Den gennemsnitlige varighed af type 2 -diabetes var 9,5 år, og den gennemsnitlige BMI var 34,6 kg/m 2 . Ved randomisering blev 53,3% af patienterne behandlet med sulfonylura og metformin. Samlet set var 88,1% hvide 4,5% sorte eller afroamerikanske og 7,2% var asiatiske; 11,6% identificeret som latinamerikansk eller latino etnicitet. Behandling med ozempic 2 mg en gang ugentligt i 40 uger resulterede i en statistisk signifikant reduktion i HBA 1c sammenlignet med ozempic 1 mg (se tabel 7). Patienter blev lagdelt efter region (Japan/uden for Japan) ved randomisering.
Tabel 7. Resultater i uge 40 i en undersøgelse af ozempic 2 mg sammenlignet med ozempic 1 mg hos voksne patienter med type 2 -diabetes mellitus i kombination med metformin eller metformin med sulfonyluraa
| Ozempic 1 mg | Ozempic 2 mg | |
| Intens-to-Treat (ITT) Befolkning (N) a | 481 | 480 |
| HBA 1c (%) | ||
| 8.8 | 8.9 | |
| b | -1.9 | -2.1 |
| [95% CI] | -0.2 [-0,31; -0.04] c | |
| Patienter (%) opnår HBA 1c <7% a | 56 | 64 |
| FPG (MG/DL) | ||
| 196 | 193 | |
| b | -55 | -59 |
| a Den intention-til-behandling-befolkning inkluderer alle randomiserede emner. I uge 40 den primære HBA 1c Endpoint manglede for henholdsvis 3% og 5% af patienterne, der blev randomiseret til ozempic 1 mg og ozempic 2 mg. Manglende data blev beregnet ved hjælp af flere imputationer baseret på hentede frafald. Til beregning af proportioner er beregnede værdier dikotomiseret, og nævneren er antallet af alle randomiserede forsøgspersoner. b Intens-to-treat-analyse ved hjælp af ANCOVA justeret for baselineværdi og stratificeringsfaktor. c p <0.01 (2-sided) for superiority adjusted for multiplicity. |
Den gennemsnitlige baseline -kropsvægt var henholdsvis 98,6 kg og 100,1 kg i ozempic 1 mg og ozempic 2 mg arme. De gennemsnitlige ændringer fra baseline til uge 40 var -5,6 kg og -6,4 kg i henholdsvis Ozempic 1 mg og ozempic 2 mg arme. Forskellen mellem behandlingsarme i kropsvægtændring fra baseline i uge 40 var ikke statistisk signifikant.
Kombination med basal insulin
I en 30-ugers dobbeltblind undersøgelse (NCT02305381) blev 397 patienter med type 2-diabetes mellitus utilstrækkeligt kontrolleret med basal insulin med eller uden metformin randomiseret til ozempic 0,5 mg en gang ugentligt ozempisk 1 mg en gang ugentligt eller placebo. Patienter med HBA 1c ≤8,0% ved screening reducerede deres insulindosis med 20% ved starten af forsøget for at reducere risikoen for hypoglykæmi. Patienter havde en gennemsnitlig alder på 59 år og 56% var mænd. Den gennemsnitlige varighed af type 2 -diabetes var 13 år, og den gennemsnitlige BMI var 32 kg/m 2 . Samlet set var 78% hvide 5% sorte eller afroamerikanske og 17% var asiatiske; 12% identificeret som latinamerikansk eller latino -etnicitet.
Behandling med ozempic resulterede i en statistisk signifikant reduktion i HBA 1c Efter 30 ugers behandling sammenlignet med placebo (se tabel 8).
Tabel 8. Resultater i uge 30 i en undersøgelse af Ozempic hos voksne patienter med type 2 -diabetes mellitus i kombination med basal insulin med eller uden metformin
| Placebo | Ozempic 0,5 mg | Ozempic 1 mg | |
| Intens-to-Treat (ITT) Befolkning (N) a | 133 | 132 | 131 |
| HBA 1c (%) | |||
| 8.4 | 8.4 | 8.3 | |
| b | -0.2 | -1.3 | -1.7 |
| b | -1.1 [-1,4 -0,8] c | -1.6 [-1,8 -1,3] c | |
| Patienter (%) opnår HBA 1c <7% | 13 | 56 | 73 |
| FPG (MG/DL) | |||
| 154 | 161 | 153 | |
| b | -8 | -28 | -39 |
| a Den intention-til-behandling-population inkluderer alle randomiserede og udsatte patienter. I uge 30 den primære HBA 1c Endpoint manglede for 7% 5% og 5% af patienterne, og under forsøget blev redningsmedicinen initieret med henholdsvis 14% 2% og 1% af patienterne randomiseret til placebo ozempic 0,5 mg og ozempic 1 mg. Manglende data blev beregnet ved hjælp af flere imputationer baseret på hentede frafald. b Intens-to-treat-analyse ved hjælp af ANCOVA justeret for baselineværdi land og stratificeringsfaktorer. c p <0.0001 (2-sided) for superiority adjusted for multiplicity. |
Den gennemsnitlige baseline kropsvægt var 89,9 kg 92,7 kg og 92,5 kg i placebo ozempic 0,5 mg og ozempic 1 mg arme. De gennemsnitlige ændringer fra baseline til uge 30 var -1,2 kg -3,5 kg og -6 kg i placebo ozempic 0,5 mg og ozempic 1 mg arme. Forskellen fra placebo (95% Cl) for ozempic 0,5 mg var -2,2 kg (-3,4 -1,1) og for ozempic 1 mg var -4,7 kg (-5,8 -3,6).
Kardiovaskulære resultater forsøg med ozempic hos voksne med type 2 -diabetes mellitus og hjerte -kar -sygdom
Sustain 6 (NCT01720446) var en multi-center multinational placebo-kontrolleret dobbeltblind kardiovaskulære resultatforsøg. I dette forsøg blev 3297 patienter med utilstrækkeligt kontrolleret type 2 -diabetes og aterosklerotisk hjerte -kar -sygdom randomiseret til Ozempic (NULL,5 mg eller 1 mg) en gang ugentligt eller placebo for en minimum observationstid på 2 år. Retssagen sammenlignede risikoen for større bivirkning af kardiovaskulær begivenhed (MACE) mellem semaglutid og placebo, når disse blev tilsat og anvendt samtidig med standard for plejebehandlinger for diabetes og hjerte -kar -sygdom. Den primære endepunktmasse var tid til første forekomst af et tredelt sammensat resultat, der omfattede hjerte-kar-død ikke-dødelig myokardieinfarkt og ikke-dødelig slagtilfælde.
Patients eligible to enter the trial were; 50 years of age or older and had established stable cardiovascular cerebrovascular peripheral artery disease chronic kidney disease or NYHA class II and III heart failure or were 60 years of age or older and had other specified risk factors for cardiovascular disease. In total 1940 patients (58.8%) had established cardiovascular disease without chronic kidney disease 353 (10.7%) had chronic kidney disease only and 442 (13.4%) had both cardiovascular disease and kidney disease; 562 patients (17%) had cardiovascular risk factors without established cardiovascular disease or chronic kidney disease. In the trial 453 patients (13.7%) had peripheral artery disease. The mean age at baseline was 65 years and 61% were men. The mean duration of diabetes was 13.9 years and mean BMI was 33 kg/m 2 . Samlet set var 83% hvide 7% sorte eller afroamerikanske og 8% var asiatiske; 16% identificeret som latinamerikansk eller latino -etnicitet. Samtidig sygdomme hos patienter i dette forsøg inkluderede, men var ikke begrænset til hjertesvigt (24%) hypertension (93%) historie med iskæmisk slagtilfælde (12%) og historie om en myokardieinfarkt (33%). I alt 98,0% af patienterne afsluttede forsøget, og den vitale status blev kendt i slutningen af forsøget for 99,6%.
Til den primære analyse blev en COX-proportional faremodel anvendt til at teste for ikke-mindrevet af Ozempic til placebo for tid til første mace ved hjælp af en risikomargin på 1,3. Den statistiske analyseplan før specificerede, at 0,5 mg- og 1 mg -doserne ville blive kombineret. Type-1-fejl blev kontrolleret på tværs af flere tests ved hjælp af en hierarkisk teststrategi.
Ozempic significantly reduced the occurrence of MACE. The estimated hazard ratio for time to first MACE was 0.74 (95% CI: 0.58 0.95). Refer to Figure 6 og Table 9.
Figur 6. Kaplan-Meier: Tid til første forekomst af en knudepunkt i Sustain 6-forsøget
Behandlingseffekten for det primære sammensatte endepunkt og dens komponenter i Sustain 6 -forsøget er vist i tabel 9.
Tabel 9. Behandlingseffekt for Mace og dens komponenter medianundersøgelsesobservationstid på 2,1 år
| Placebo N = 1649 (%) | Ozempic N = 1648 (%) | Fareforhold vs Placebo (95% der) a | |
| Sammensætning af kardiovaskulær død ikke-dødelig Myokardieinfarkt ikke-dødelig Slag (tid til første forekomst) | 146 (8.9) | 108 (6.6) | 0.74 (NULL,58 0,95) |
| 64 (3.9) | 47 (2.9) | 0.74 (NULL,51 1.08) | |
| 44 (2.7) | 27 (1.6) | 0.61 (NULL,38 0,99) | |
| 46 (2.8) | 44 (2.7) | 0.98 (NULL,65 1,48) | |
| Dødelig eller ikke-dødelig myokardieinfarkt | 67 (4.1) | 54 (3.3) | 0.81 (NULL,57 1.16) |
| Dødelig eller ikke-dødelig slagtilfælde | 46 (2.8) | 30 (1.8) | 0.65 (NULL,41 1.03) |
| a COX-proportionale farer modeller med behandling som faktor og stratificeret ved bevis for hjerte-kar-sygdom insulinbehandling og nedsat nyrefunktion. |
Nyresultater Forsøg af Ozempic hos voksne med type 2 -diabetes mellitus og kronisk nyresygdom
Flow (NCT03819153) var en randomiseret dobbeltblind placebokontrolleret begivenhedsdrevet forsøg hos voksne med type 2-diabetes mellitus og kronisk nyresygdom (EGFR 25 til 75 ml/min/1,73 m 2 med urinalbumin-Tocreatinin-forhold [UACR]> 100 mg/g og <5000 mg/g). All patients needed to have an HBA 1c ≤10% ved screening og modtager standard for plejebaggrundsterapi inklusive en maksimal tolereret mærket dosis af en reninangiotensin-aldosteron-system (RAAS) -blokeringsmiddel inklusive en angiotensin, der konverterede enzym (ACE) -inhibitor eller en Angiotensin II-receptorblokerer (ARB), medmindre en sådan behandling, der blev modsat eller ikke tolereret. Forsøget udelukkede patienter med medfødte eller arvelige nyresygdomme, herunder polycystisk nyresygdom autoimmune nyresygdomme, herunder glomerulonephritis eller medfødte urinvejs misdannelser.
I alt 3533 patienter blev randomiseret til at modtage ozempic 1 mg en gang ugentligt eller placebo og blev fulgt i en median på 41 måneder. Middelalderen for undersøgelsespopulationen var 67 år, og 70% af patienterne var mandlige. Cirka 66% af forsøgspopulationen var hvid 24% asiatisk og 5% sort eller afroamerikaner. Ved baseline var den gennemsnitlige EGFR 47 ml/min/1,73m 2 med 11% af patienterne, der har en EGFR <30 mL/min/1.73m 2 . Median baseline UACR var 568 mg/g med 69% af patienterne med en UACR> 300 mg/g. Ved baseline blev 95% af patienterne behandlet med en ACE-hæmmer, eller ARB 16% var på natriumglucose cotransporter 2 (SGLT2) -inhibitorer 76% var på et statin og 50% var på en antiplatelet-middel.
Ozempic was superior to Placebo in reducing the incidence of the primary composite endpoint of a sustained decline in eGFR of ≥50% sustained eGFR <15 mL/min/1.73 m 2 Kronisk nyreudskiftningsterapi Nyredød CV -død (HR 0,76 [95% CI 0,66 0,88] P = 0,0003) som vist i tabel 10 og figur 7. Behandlingseffekten afspejlede en reduktion i et vedvarende fald i EGFR på ≥50% progression til nyresvigt og CV -død. Der var få nyredødsfald under retssagen.
Ozempic also reduced the annual rate of change in eGFR (Figure 9) the incidence of a composite cardiovascular endpoint consisting of non-fatal myocardial infarction (MI) non-fatal stroke og cardiovascular death og the incidence of all-cause death (Tabel 10 og Figure 8).
Behandlingseffekten på det primære sammensatte endepunkt var generelt konsistent på tværs af de forudspecificerede undergrupper, der blev undersøgt, inklusive aldersbiologisk køn EGFR og UACR. Behandlingsydelsen på det primære sammensatte endepunkt var ikke tydeligt hos patienter, der tog SGLT2 -hæmmere ved baseline, men der var få begivenheder hos disse patienter.
Tabel 10: Analyses of the Primary og Secondary Endpoints og their Individual Components in FLOW Trial
| Placebo N = 1766 (%) | Ozempic 1 mg N = 1767 (%) | Fare Forhold vs Placebo (95% der) 1 | p-værdi 2 | |
| Antal patienter (%) | ||||
| Sammensatte slutpunkt (≥ 50% vedvarende EGFR -tilbagegang vedvarende EGFR <15 mL/min/1.73 m 2 Kronisk nyreudskiftningsterapi eller nyre- eller kardiovaskulær død (tid til første forekomst) 3 | 410 (23.2) | 331 (18.7) | 0.76 (NULL,66 0,88) | 0.0003 |
| 3 | 213 (12.1) | 165 (9.3) | 0.73 (NULL,59 0,89) | |
| Vedvarende EGFR <15mL/min/1.73 m 2 3 | 110 (6.2) | 92 (5.2) | 0.80 (NULL,61 1.06) | |
| Kronisk nyreudskiftningsterapi | 100 (5.7) | 87 (4.9) | 0.84 (NULL,63 1.12) | |
| 5 (NULL,3) | 5 (NULL,3) | 0.97 (NULL,27 3.49) | ||
| 169 (9.6) | 123 (7.0) | 0.71 (NULL,56 0,89) | ||
| Sammensætning af kardiovaskulær død ikke-dødelig Myokardieinfarkt ikke-dødelig Slag (tid til første forekomst) | 254 (14.4) | 212 (12.0) | 0.82 (NULL,68 0,98) | 0.0289 |
| All-årsagsdød | 279 (15.8) | 227 (12.8) | 0.80 (NULL,67 0,95) | 0.0104 |
| 1 COX-proportional farer model med behandling som faktor og stratificeret ved baseline-anvendelse af SGLT2-hæmmer ved baseline (ja eller nej). 2 Tosidet p-værdi for testen af ingen forskel. Betydningsniveauet var 0,03224. 3 Vedvarende blev defineret som at have 2 på hinanden følgende målinger ≥28 dages mellemrum og opfyldte kriterierne |
Figur 7. Kumulativ forekomst: Tid til første forekomst af det primære sammensatte endepunkt vedvarende nedgang i EGFR ≥50% vedvarende EGFR <15 mL/min/1.73m 2 Kronisk nyreudskiftningsterapi Nyredød eller CV -død
| Kumulative forekomstestimater er baseret på tid fra randomisering til den første sammensatte nyrebegivenhed med ikke-CV og ikke-renal død modelleret som konkurrerende risiko. X-aksen er afkortet ved 52 måneder, hvor ca. 5% af befolkningen var i forsøget. Vedvarende blev defineret som at have 2 på hinanden følgende målinger ≥28 dages mellemrum og opfyldte kriterierne. |
Figur 8. Kumulativ forekomst: Tid til første forekomst af Mace i flowforsøg
| Kumulative forekomstestimater er baseret på tid fra randomisering til den første EAC-bekræftede mace med ikke-CV-død modelleret som konkurrerende risiko. X-aksen er afkortet ved 52 måneder, hvor ca. 5% af befolkningen var i forsøget. |
Figur 9. Observeret gennemsnitlig plot: EGFR (ml/min/1,73m 2 ) ved uge i flowforsøg
| Observerede data fra tidsperioden indtil uge 104. Fejlbjælker er /-1,96 *Standardfejl for den gennemsnitlige EGFR, som blev beregnet ved hjælp af CKD-EPI 2009-formlen. CKD-EPI: Kronisk nyresygdom Epidemiologi Samarbejde EGFR: Estimeret glomerulær filtreringshastighed. |
Patientinformation til ozempic
Ozempic ®
(Oh-jorden-pick)
(Semaglutide) Injektion til subkutan brug
Del ikke din ozempiske pen med andre mennesker, selvom nålen er blevet ændret. Du kan give andre mennesker en alvorlig infektion eller få en alvorlig infektion fra dem.
Læs denne medicinguide, før du begynder at bruge Ozempic, og hver gang du får en påfyldning. Der kan være nye oplysninger. Disse oplysninger indtager ikke stedet for at tale med din sundhedsudbyder om din medicinske tilstand eller din behandling.
Hvad er de vigtigste oplysninger, jeg skal vide om Ozempic?
Ozempic may cause serious side effects including:
kan du komme højt af ibuprofen
- Mulige skjoldbruskkirtel tumorer inklusive kræft. Fortæl din sundhedsudbyder, hvis du får en klump eller hævelse i din nakkehøreshed, der sluger eller åndenød. Dette kan være symptomer på kræft i skjoldbruskkirtlen. I undersøgelser med gnavere forårsagede ozempic og medicin, der fungerer som ozempic, thyroidea -tumorer inklusive kræft i skjoldbruskkirtlen. Det vides ikke, om ozempic vil forårsage skjoldbruskkirtel tumorer eller en type skjoldbruskkirtelkræft kaldet medullær skjoldbruskkirtelkarcinom (MTC) hos mennesker.
- Brug ikke ozempic, hvis du eller nogen af din familie nogensinde har haft en type skjoldbruskkirtelkræft kaldet medullær skjoldbruskkirtelkarcinom (MTC), eller hvis du har en endokrin systemtilstand kaldet multiple endokrine neoplasi -syndrom type 2 (MEN 2).
Hvad er ozempic?
Ozempic is an injectable prescription medicine used:
- sammen med diæt og træning for at forbedre blodsukkeret (glukose) hos voksne med type 2 Diabetes mellitus .
- at reducere risikoen for større kardiovaskulære begivenheder såsom hjerteanfald slagtilfælde eller død hos voksne med type 2 diabetes mellitus med kendt hjertesygdom.
- For at reducere risikoen for nyresygdom, der forværrer nyresvigt (nyresygdom i slutstadiet) og død på grund af hjerte-kar-sygdom hos voksne med type 2-diabetes mellitus og kronisk nyresygdom.
Det vides ikke, om ozempic er sikker og effektiv til brug hos børn.
Brug ikke ozempic, hvis:
- Du eller nogen af din familie har nogensinde haft en type kræft i skjoldbruskkirtlen kaldet medullær skjoldbruskkirtelkarcinom (MTC), eller hvis du har en endokrin systemtilstand kaldet multiple endokrine neoplasi -syndrom type 2 (MEN 2).
- Du har haft en alvorlig allergisk reaktion på semaglutid eller nogen af ingredienserne i ozempic. Se slutningen på denne medicinvejledning for en komplet liste over ingredienser i ozempic. Se E 'Hvad er de mulige bivirkninger af ozempic? 'For symptomer på en alvorlig allergisk reaktion.
Før du bruger Ozempic, fortæl din sundhedsudbyder, hvis du har andre medicinske tilstande, herunder hvis du:
- har eller har haft problemer med din bugspytkirtel.
- Har en historie med diabetisk retinopati.
- Har alvorlige problemer med din mave, såsom bremset tømning af din mave (gastroparese) eller problemer med at fordøje mad.
- er planlagt til at have operation eller andre procedurer, der bruger anæstesi eller dyb søvnighed (dyb sedation).
- er gravide eller planlægger at blive gravid. Det vides ikke, om ozempic vil skade din ufødte baby. Du skal stoppe med at bruge Ozempic mindst 2 måneder, før du planlægger at blive gravid. Tal med din sundhedsudbyder om den bedste måde at kontrollere dit blodsukker, hvis du planlægger at blive gravid, eller mens du er gravid.
- er amning eller planlægger at amme. Det vides ikke, om ozempic går ind i din modermælk. Du skal tale med din sundhedsudbyder om den bedste måde at fodre din baby på, mens du bruger Ozempic.
Fortæl din sundhedsudbyder om alle de medicin, du tager inklusive receptpligtige og over-the-counter medicin vitaminer og urtetilskud. Ozempic kan påvirke den måde, hvorpå nogle medicin fungerer, og nogle medicin kan påvirke den måde, ozempic fungerer på.
Før du bruger ozempic Tal med din sundhedsudbyder om lavt blodsukker og hvordan du styrer det. Fortæl din sundhedsudbyder, hvis du tager andre medicin til behandling af diabetes inklusive insulin eller sulfonylurinstoffer. Kend de medicin, du tager. Opbevar en liste over dem for at vise din sundhedsudbyder og apotek, når du får en ny medicin.
Hvordan skal jeg bruge ozempic?
- Læs instruktionerne til brug, der følger med Ozempic.
- Brug Ozempic nøjagtigt, som din sundhedsudbyder fortæller dig.
- Din sundhedsudbyder skal vise dig, hvordan du bruger Ozempic, før du bruger den for første gang.
- Ozempic is injected under the skin (subcutaneously) of your stomach (abdomen) thigh or upper arm. Gør ikke inject Ozempic into a muscle (intramuscularly) or vein (intravenously).
- Brug ozempic 1 gang hver uge på samme dag hver uge på ethvert tidspunkt af dagen.
- Du kan ændre den dag i ugen, du bruger Ozempic, så længe din sidste dosis fik 2 eller flere dage før.
- Hvis du går glip af en dosis ozempic, skal du tage den ubesvarede dosis så hurtigt som muligt inden for 5 dage efter den ubesvarede dosis. Hvis der er gået mere end 5 dage over den ubesvarede dosis og tag din næste dosis på den regelmæssigt planlagte dag.
- Ozempic may be taken with or without food.
- Bland ikke insulin og ozempic sammen i den samme injektion.
- Du kan give en injektion af ozempic og insulin i det samme kropsområde (såsom dit maveområde), men ikke lige ved siden af hinanden.
- Skift (roter) dit injektionssted med hver injektion. Gør ikke Brug det samme sted til hver injektion.
- Gør ikke share your Ozempic pen with other people even if the needle has been changed. Y ou kan give andre mennesker en alvorlig infektion eller få en alvorlig infektion fra dem.
- Hvis du tager for meget ozempic, skal du ringe til din sundhedsudbyder eller gifthjælpelinie på 1-800-222-1222 eller gå til det nærmeste hospital-akuttrum med det samme.
Hvad er de mulige bivirkninger af ozempic?
Ozempic may cause serious side effects including:
- Se 'Hvad er de vigtigste oplysninger, jeg burde vide om Ozempic?'
- Betændelse i din bugspytkirtel (pancreatitis). Stop med at bruge Ozempic, og ring med din sundhedsudbyder med det samme, hvis du har alvorlige smerter i dit maveområde (maven), der ikke vil forsvinde med eller uden opkast. Du kan føle smerten fra din mave til ryggen.
- Ændringer i visionen. Fortæl din sundhedsudbyder, hvis du har ændringer i visionen under behandling med Ozempic.
- Lavt blodsukker (hypoglykæmi). Din risiko for at få lavt blodsukker kan være højere, hvis du bruger Ozempic med en anden medicin, der kan forårsage lavt blodsukker, såsom et sulfonylurinstof eller insulin. Tegn og symptomer på lavt blodsukker kan omfatte:
- svimmelhed or light-headedness
- sløret vision
- angst irritabilitet or mood changes
- sved
- sløret tale
- sult
- forvirring or drowsiness
- Shakakess
- svaghed
- hovedpine
- Hurtig hjerteslag
- Følelse af jittery
- Dehydrering, der fører til nyreproblemer. Diarre kvalme og opkast may cause a loss of fluids (dehydration) which may cause kidney problems. It is important for you to drink fluids to help reduce your chance of dehydration. Tell your healthcare provider right away if you have kvalme opkast or diarre that does not go away.
- Alvorlige maveproblemer. Maveproblemer er undertiden blevet rapporteret om alvorlige mennesker, der bruger ozempic. Fortæl din sundhedsudbyder, hvis du har maveproblemer, der er alvorlige eller ikke vil forsvinde.
- Alvorlige allergiske reaktioner. Stop med at bruge Ozempic og få medicinsk hjælp med det samme, hvis du har symptomer på en alvorlig allergisk reaktion, herunder:
- Hævelse af dine ansigtslæber tunge
- Alvorligt udslæt eller kløe
- Meget hurtig hjerteslag eller hals
- besvimende Eller føler dig svimmel
- problemer med at trække vejret eller sluge
- Galdeblæreproblemer. Galdeblæreproblemer er sket hos nogle mennesker, der tager ozempic. Fortæl din sundhedsudbyder med det samme, hvis du får symptomer på galdeblæreproblemer, der kan omfatte:
- Smerter i din øvre mave (mave)
- gulning af hud eller øjne ( gulsot )
- feber
- Lerfarvede afføring
- Mad eller væske kommer ind i lungerne under operationen eller andre procedurer, der bruger anæstesi eller dyb søvnighed (dyb sedation). Ozempic may increase the chance of food getting into your lungs during surgery or other procedures. Tell all your healthcare providers that you are taking Ozempic before you are scheduled to have surgery or other procedures.
De mest almindelige bivirkninger af ozempic kan omfatte kvalme opkast diarre stomach (abdominal) pain og constipation.
Tal med din sundhedsudbyder om enhver bivirkning, der generer dig eller ikke forsvinder. Dette er ikke alle de mulige bivirkninger af ozempic. Ring til din læge for medicinsk rådgivning om bivirkninger. Du kan rapportere bivirkninger til FDA på 1-800-FDA-1088.
Generel information om sikker og effektiv anvendelse af Ozempic.
Medicin er undertiden ordineret til andre formål end dem, der er anført i en medicinguide. Brug ikke ozempic til en betingelse, som den ikke blev ordineret til. Giv ikke ozempic til andre mennesker, selvom de har de samme symptomer, som du har. Det kan skade dem.
Du kan bede din farmaceut eller sundhedsudbyder om information om Ozempic, der er skrevet til sundhedsfagfolk.
Hvad er ingredienserne i ozempic?
Aktiv ingrediens: Semaglutid Inaktive ingredienser: Disatriumphosphatdihydratpropylenglycolphenol og vand til injektion. Hydrochlorsyre eller natriumhydroxid kan tilsættes for at justere pH.
Denne medicinguide er godkendt af U.S. Food and Drug Administration.