Oplysningerne På Webstedet Er Ikke Medicinsk Rådgivning. Vi Sælger Ikke Noget. Nøjagtigheden Af Oversættelsen Er Ikke Garanteret. Ansvarsfraskrivelse
Bisphosphonate derivater
Reclast
Resume af lægemiddeloversigt
Hvad er Reclast?
Reclast (zoledronsyre) er en bisphosphonat Bruges til behandling knoglemarv kræft) eller kræft, der har spredt sig fra andre steder i kroppen til knoglen for at behandle eller forhindre osteoporose hos postmenopausale kvinder og for at øge knoglemassen hos mænd med osteoporose. Reclast bruges også til at behandle eller forhindre osteoporose hos mennesker, der vil tage visse steroidmedicin i 12 måneder eller længere.
Hvad er bivirkninger af tilbagebetaling?
Almindelige bivirkninger af Reclast inkluderer:
- kvalme
- træthed
- Influenza-lignende symptomer (f.eks. Feber kulderystelser muskler/led ømhed)
- hoste
- svimmelhed
- hovedpine
- synsproblemer
- diarre
- forstoppelse
- led eller muskelsmerter eller
- reaktioner på injektionsstedet (hævelse af smerter i smerter).
De fleste af disse bivirkninger forekommer inden for 3 dage efter behandlingen.
Fortæl din læge, hvis du har alvorlige bivirkninger af genlasten, herunder urination mindre end normalt eller slet ikke; døsighed forvirring humør ændringer øget tørsttab af appetit kvalme og opkast hævelse vægtøgning korthed af åndedræt muskel spasmer følelsesløshed eller prikken (især omkring din mund) feber kulderyst Lightheadedness Alvorlig led/knogler/muskelsmerter Ny eller usædvanlig smerte i låret eller hoften eller bronchospasmen (hvæsende brysttætheds problemer med at trække vejret).
Dosering til genlastning
Reclast gives intravenøst. Dosis varierer afhængigt af den tilstand, der behandles. Anbefalede doser: Til behandling af postmenopausal osteoporose en enkelt 5 mg infusion en gang/år; Til forebyggelse af postmenopausal osteoporose 5 mg hvert andet år; For Pagets sygdom af knogler en enkelt 5 mg infusion; Til forebyggelse eller behandling af steroidinduceret osteoporose 5 mg en gang/år.
Hvilke stoffer stoffer eller kosttilskud interagerer med tilbagebetaling?
Reclast kan interagere med diuretika (vandpiller) antibiotika Andre lægemidler, der kan skade dine nyrer kræftmedicin eller ikke-steroide antiinflammatoriske lægemidler (NSAID'er). Fortæl din læge alle medicin, du tager.
Reclast under graviditet og amning
Reclast bør ikke bruges under graviditet. Det kan skade et foster. Det er ukendt, om denne medicin passerer til modermælk. Amning, mens du bruger dette lægemiddel, anbefales ikke. Kontakt din læge inden amning.
Yderligere oplysninger
Vores tilbagetrækning (zoledronsyre) bivirkninger lægemiddelcenter giver et omfattende overblik over tilgængelige lægemiddelinformation om de potentielle bivirkninger, når du tager denne medicin.FDA -lægemiddelinformation
- Lægemiddelbeskrivelse
- Indikationer
- Dosering
- Bivirkninger
- Lægemiddelinteraktioner
- Advarsler
- Overdosis
- Klinisk farmakologi
- Medicin vejledning
Beskrivelse til genindvinding
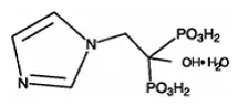
Reclast indeholder zoledronsyre A bisphosphonic acid, som er en hæmmer af osteoklastisk knogleresorption. Zoledronsyre betegnes kemisk som (1-hydroxy-2-Imidazol-1-yl-phosphonoethyl) phosphoninsyre-monohydrat, og dets strukturelle formel er:
|
Zoledronsyre -monohydrat er et hvidt krystallinsk pulver. Dens molekylære formel er C 5 H 10 N 2 O 7 P 2 • h 2 O og en molær masse på 290,1 g/mol. Zoledronsyre -monohydrat er meget opløseligt i 0,1N natriumhydroxidopløsning, der sparsomt opløses opløseligt i vand og 0,1N saltsyre og praktisk talt uopløselige i organiske opløsningsmidler. PH i den tilbagevendende opløsning til infusion er ca. 6,0 - 7,0.
Reclast -injektion er tilgængelig som en steril opløsning i flasker til intravenøs infusion. En flaske med 100 ml opløsning indeholder 5,330 mg zoledronsyre -monohydrat svarende til 5 mg zoledronsyre på en vandfri basis.
Inaktive ingredienser: 4950 mg mannitol USP; og 30 mg natriumcitrat USP.
Anvendelser til genlast
Behandling af osteoporose hos postmenopausale kvinder
Reclast er indikeret til behandling af osteoporose hos postmenopausale kvinder. Hos postmenopausale kvinder med osteoporose, der er diagnosticeret ved knoglemineraltæthed (BMD) eller udbredt hvirvellegrefraktur, reducerer genlasten forekomsten af brud (hip vertebral og ikke-vertebral osteoporose-relaterede frakturer). Hos patienter med høj risiko for brud defineret som en nylig lavtrauma hoftebrudd reducerer genlasten forekomsten af nye kliniske brud [se Kliniske studier ].
Forebyggelse af osteoporose hos postmenopausale kvinder
Reclast er indikeret til forebyggelse af osteoporose hos postmenopausale kvinder [se Kliniske studier ].
Osteoporose hos mænd
Reclast er indikeret til behandling for at øge knoglemassen hos mænd med osteoporose [se Kliniske studier ].
Glucocorticoid-induceret osteoporose
Reclast er indikeret til behandling og forebyggelse af glukokortikoidinduceret osteoporose hos mænd og kvinder, der enten initierer eller fortsætter systemiske glukokortikoider i en daglig dosering svarende til 7,5 mg eller større af prednison, og som forventes at forblive på glukokortikoider i mindst 12 måneder [se Kliniske studier ].
Pagets knoglesygdom
Reclast er indikeret til behandling af Pagets sygdom af knogler hos mænd og kvinder. Behandling er angivet hos patienter med Pagets sygdomme af knogler med forhøjelser i serumalkalisk phosphatase på to gange eller højere end den øvre grænse for det aldersspecifikke normale referencenområde eller dem, der er symptomatiske eller dem, der er i fare for komplikationer fra deres sygdom [se Kliniske studier ].
Vigtige brugsbegrænsninger
Sikkerheden og effektiviteten af Reclast til behandling af osteoporose er baseret på kliniske data om tre års varighed. Den optimale brugsvarighed er ikke bestemt. Alle patienter på bisphosphonatbehandling bør have behov for fortsat terapi revurderet med periodisk grundlag. Patienter med lavrisiko for brud bør overvejes til ophør med lægemiddel efter 3 til 5 års brug. Patienter, der afbryder terapi, bør have deres risiko for brud igen med brud igen.
Dosering til genlastning
Vigtige administrationsinstruktioner
Reclast -injektion skal administreres som en intravenøs infusion over ikke mindre end 15 minutter.
- Patienter skal være passende hydreret inden administration af tilbagebetaling [se Advarsler og forholdsregler ].
- Parenterale lægemiddelprodukter skal inspiceres visuelt for partikler og misfarvning inden administration hver gang løsning og containertilladelse.
- Intravenøs infusion skal følges af en 10 ml normal saltvandsskyl af den intravenøse linje.
- Administration af acetaminophen efter genlastningsadministration kan reducere forekomsten af akutte fase-reaktionssymptomer.
Behandling af osteoporose hos postmenopausale kvinder
Det anbefalede regime er en 5 mg infusion en gang om året givet intravenøst over ikke mindre end 15 minutter.
Forebyggelse af osteoporose hos postmenopausale kvinder
Det anbefalede regime er en 5 mg infusion, der gives en gang hvert andet år intravenøst over ikke mindre end 15 minutter.
Osteoporose hos mænd
Det anbefalede regime er en 5 mg infusion en gang om året givet intravenøst over ikke mindre end 15 minutter.
Behandling og forebyggelse af glukokortikoidinduceret osteoporose
Det anbefalede regime er en 5 mg infusion en gang om året givet intravenøst over ikke mindre end 15 minutter.
Behandling af Pagets knoglesygdom
Den anbefalede dosis er en 5 mg infusion. Infusionstiden må ikke være mindre end 15 minutter, der er givet over en konstant infusionshastighed.
Genbehandling af Pagets sygdom
Efter en enkelt behandling med tilbagebetaling i Pagets sygdom observeres en forlænget remissionsperiode. Specifikke genbehandlingsdata er ikke tilgængelige. Imidlertid kan genbehandling med tilbagebetaling overvejes hos patienter, der er tilbagefaldt baseret på stigninger i serumalkalisk phosphatase eller hos de patienter, der ikke opnåede normalisering af deres serumalkaliske phosphatase eller hos disse patienter med symptomer som dikteret af medicinsk praksis.
Laboratorietest og mundtlig undersøgelse forud for administrationen
- Før administration af hver dosis af genlasten skal der beregnes en serumkreatinin, og kreatininklarering skal beregnes baseret på faktisk kropsvægt ved anvendelse af Cockcroft-Gault-formlen før hver genlastdosis. Reclast er kontraindiceret hos patienter med kreatinin -clearance mindre end 35 ml/min og i dem med bevis for akut nedsat nyrefunktion. En 5 mg dosis af genlastning, der administreres intravenøst, anbefales til patienter med kreatinin -clearance større end eller lig med 35 ml/min. Der er ingen sikkerheds- eller effektivitetsdata til understøttelse af justeringen af genlastdosis baseret på baseline -nyrefunktion. Derfor kræves der ingen dosisjustering hos patienter med CRCL større end eller lig med 35 ml/min [se Kontraindikationer Advarsler og forholdsregler ].
- En rutinemæssig mundtlig undersøgelse skal udføres af receptpligtige inden påbegyndelse af genlastbehandling [se Advarsler og forholdsregler ].
Calcium og D -vitamintilskud
- Instruer patienter, der behandles for Pagets knoglesygdom, om betydningen af calcium- og D -vitamintilskud til opretholdelse af serumkalciumniveauer og på symptomerne på hypokalcæmi. Alle patienter skal tage 1500 mg elementært calcium dagligt i opdelte doser (750 mg to gange om dagen eller 500 mg tre gange om dagen) og 800 internationale enheder D -vitamin dagligt, især i de 2 uger efter tilbagebetalingsadministration [Se Advarsler og forholdsregler ].
- Instruer patienter, der behandles for osteoporose, skal tage supplerende calcium og D -vitamin, hvis deres diætindtag er utilstrækkelig. Et gennemsnit på mindst 1200 mg calcium og 800-1000 internationale enheder D-vitamin dagligt anbefales.
Administrationsmetode
Reclast -infusionstiden må ikke være mindre end 15 minutter, der er givet over en konstant infusionshastighed.
I.V. Infusion skal følges af en 10 ml normal saltvandsskyl af den intravenøse linje.
Reclast-opløsning til infusion må ikke få lov til at komme i kontakt med nogen calcium eller andre divalente kationholdige opløsninger og bør administreres som en enkelt intravenøs opløsning gennem en separat udluftet infusionslinje.
Hvis nedkølet tillader, at den nedkølede opløsning når stuetemperatur før administration. Efter åbning er opløsningen stabil i 24 timer ved 2 ° C-8 ° C (36 ° F-46 ° F) [Se Hvor leveret ].
Hvor leveret
Dosering Forms End Strengths
5 mg i en 100 ml klar til at tilføre opløsningen.
Opbevaring og håndtering
Hver flaske indeholder 5 mg pr. 100 ml. NDC 0078-0435-61
Håndtering
Efter åbning af opløsningen er den stabil i 24 timer ved 2 ° C til 8 ° C (36 ° F-46 ° F).
Hvis nedkølet tillader, at den nedkølede opløsning når stuetemperatur før administration.
Opbevaring
Opbevares ved 25 ° C (77 ° F); Udflugter tilladt til 15 ° C til 30 ° C (59 ° F-86 ° F) [se USP-kontrolleret stuetemperatur].
Distribueret af: Novartis Pharmaceuticals Corporation East Hanover New Jersey 07936. Revideret: Apr 2020
Bivirkninger for Reclast
Kliniske forsøg oplever
Fordi kliniske forsøg udføres under vidt forskellige tilstande, kan der ikke sammenlignes bivirkninger, der er observeret i de kliniske forsøg med et lægemiddel, ikke direkte med hastigheder i de kliniske forsøg med et andet lægemiddel og muligvis ikke afspejler de satser, der er observeret i praksis.
Behandling af osteoporose hos postmenopausale kvinder
Sikkerheden ved genlastning i behandlingen af postmenopausal osteoporose blev vurderet i undersøgelse 1 En stor randomiseret dobbeltblind placebokontrolleret multinationel undersøgelse af 7736 postmenopausale kvinder i alderen 65 til 89 år med osteoporose, der blev diagnosticeret ved knoglemineraldensitet eller tilstedeværelsen af en forekomst af en forekomst af vertebral fraktur. Forsøgets varighed var tre år med 3862 patienter udsat for genlastning og 3852 patienter udsat for placebo administreret en gang årligt som en enkelt 5 mg dosis i 100 ml opløsning tilført mindst 15 minutter i i alt tre doser. Alle kvinder modtog 1000 til 1500 mg elementær calcium plus 400 til 1200 internationale enheder med D -vitamintilskud pr. Dag.
Forekomsten af dødelighed af al årsagen var den samme mellem grupper: 3,4% i den tilbagevendende gruppe og 2,9% i placebogruppen. Forekomsten af alvorlige bivirkninger var 29,2% i den tilbagevendende gruppe og 30,1% i placebogruppen. Procentdelen af patienter, der trak sig tilbage fra undersøgelsen på grund af bivirkninger, var henholdsvis 5,4% og 4,8% for genlast- og placebogrupperne.
Sikkerheden ved genlastning i behandlingen af osteoporosepatienter med en nylig (inden for 90 dage) lavtrauma-hoftebrudd blev vurderet i undersøgelse 2 en randomiseret dobbeltblind placebokontrolleret multinationel endpoint-drevet undersøgelse af 2127 mænd og kvinder i alderen 50 til 95 år; 1065 patienter blev randomiseret til genlastning, og 1062 patienter blev randomiseret til placebo. Reclast blev administreret en gang årligt som en enkelt 5 mg dosis i 100 ml opløsning infunderet over mindst 15 minutter. Undersøgelsen fortsatte, indtil mindst 211 patienter havde en bekræftet klinisk brud i undersøgelsespopulationen, der blev fulgt i gennemsnit ca. 2 år på studiemedicin. D -vitaminniveauer blev ikke rutinemæssigt målt, men en belastningsdosis D -vitamin (50000 til 125000 internationale enheder oralt eller IM) blev givet til patienter, og de blev startet på 1000 til 1500 mg elemental calcium plus 800 til 1200 internationale enheder af vitamin D -tilskud pr.
Forekomsten af dødelighed af al årsagen var 9,6% i den tilbagevendende gruppe og 13,3% i placebogruppen. Forekomsten af alvorlige bivirkninger var 38,3% i den tilbagevendende gruppe og 41,3% i placebogruppen. Procentdelen af patienter, der trak sig tilbage fra undersøgelsen på grund af bivirkninger, var henholdsvis 5,3% og 4,7% for genlast- og placebogrupperne.
Bivirkninger rapporteret hos mindst 2% af patienterne med osteoporose og hyppigere hos de genlast-behandlede patienter end placebo-behandlede patienter i begge osteoporose-forsøg er vist nedenfor i tabel 1.
Tabel 1. Bivirkninger, der forekommer i større end eller lig med 2,0% af patienterne med osteoporose og hyppigere end hos placebo-behandlede patienter
| System Organ Class | Undersøgelse 1 | Undersøgelse 2 | ||
| 5 mg IV Reclast en gang om året % (N = 3862) | Placebo en gang om året % (N = 3852) | 5 mg IV Reclast en gang om året % (N = 1054) | Placebo en gang om året % (N = 1057) | |
| Blod og lymfesystemforstyrrelser | ||||
| 4.4 | 3.6 | 5.3 | 5.2 | |
| Metabolisme og ernæringsforstyrrelser | ||||
| 0.6 | 0.6 | 2.5 | 2.3 | |
| 2.0 | 1.1 | 1.0 | 1.0 | |
| Nervesystemforstyrrelser | ||||
| 12.4 | 8.1 | 3.9 | 2.5 | |
| 7.6 | 6.7 | 2.0 | 4.0 | |
| Øre- og labyrintforstyrrelser | ||||
| 4.3 | 4.0 | 1.3 | 1.7 | |
| Hjerteforstyrrelser | ||||
| 2.4 | 1.9 | 2.8 | 2.6 | |
| Vaskulære lidelser | ||||
| 12.7 | 12.4 | 6.8 | 5.4 | |
| Gastrointestinale lidelser | ||||
| 8.5 | 5.2 | 4.5 | 4.5 | |
| 6.0 | 5.6 | 5.2 | 4.7 | |
| 4.6 | 3.2 | 3.4 | 3.4 | |
| 4.6 | 3.1 | 0.9 | 1.5 | |
| 4.3 | 4.0 | 1.7 | 1.6 | |
| Muskuloskeletalt bindevæv og knoglerforstyrrelser | ||||
| 23.8 | 20.4 | 17.9 | 18.3 | |
| 11.7 | 3.7 | 4.9 | 2.7 | |
| 11.3 | 9.9 | 5.9 | 4.8 | |
| 6.9 | 5.6 | 0.0 | 0.0 | |
| 5.8 | 2.3 | 3.2 | 1.0 | |
| 4.4 | 3.8 | 1.4 | 1.1 | |
| 3.7 | 3.4 | 1.5 | 1.7 | |
| 9.1 | 9.7 | 5.7 | 4.5 | |
| 0.4 | 0.3 | 3.1 | 1.2 | |
| Generelle lidelser og administrative stedforhold | ||||
| 17.9 | 4.6 | 8.7 | 3.1 | |
| 8.8 | 2.7 | 0.8 | 0.4 | |
| 5.4 | 3.5 | 2.1 | 1.2 | |
| 5.4 | 1.0 | 1.5 | 0.5 | |
| 5.3 | 2.9 | 3.2 | 3.0 | |
| 4.6 | 4.2 | 5.5 | 5.3 | |
| 3.3 | 1.3 | 1.5 | 0.5 | |
| 2.0 | 1.0 | 1.1 | 0.5 | |
| 0.3 | <0.1 | 2.3 | 0.3 | |
| 1.3 | 1.1 | 2.4 | 1.8 | |
| Undersøgelser | ||||
| 2.0 | 2.4 | 2.1 | 1.7 |
Nedskærmning af nyren
Behandling med intravenøs bisphosphonater inklusive zoledronsyre er blevet forbundet med nedsat nyrefunktion, der blev manifesteret som forringelse af nyrefunktionen (dvs. øget serumkreatinin) og i sjældne tilfælde akut nyresvigt. I det kliniske forsøg til postmenopausal osteoporosepatienter med baseline -kreatinin -clearance mindre end 30 ml/min (baseret på faktisk kropsvægt) urin -målepind større end eller lig med 2 protein eller stigning i serumkreatinin på mere end 0,5 mg/dL under screeningsbesøgene blev udelukket. Ændringen i kreatininklarering (målt årligt inden dosering) og forekomsten af nyresvigt og svækkelse var sammenlignelig for både genlast- og placebo-behandlingsgrupperne over 3 år, inklusive patienter med kreatininklarering mellem 30-60 ml/min ved baseline. Generelt var der en kortvarig stigning i serumkreatinin observeret inden for 10 dage efter dosering i 1,8% af de tilbageholdte patienter mod 0,8% af placebo-behandlede patienter, der blev løst uden specifik terapi [se Advarsler og forholdsregler ].
Akut fase -reaktion
Tegnene og symptomerne på akut fase-reaktion forekom i undersøgelse 1 efter genlastningsinfusion inklusive feber (18%) myalgi (9%) influenzalignende symptomer (8%) hovedpine (7%) og arthralgia (7%). Størstedelen af disse symptomer forekom inden for de første 3 dage efter dosis af tilbagetrækning og løst normalt inden for 3 dage efter begyndelsen, men opløsningen kunne tage op til 7-14 dage. I undersøgelse 2 patienter uden kontraindikation til acetaminophen blev forsynet med en standard oral dosis på tidspunktet for IV -infusionen og instrueret om at bruge yderligere acetaminophen derhjemme i de næste 72 timer efter behov. Reclast var forbundet med færre tegn og symptomer på en kortvarig akut fase -reaktion i dette forsøg: feber (7%) og arthralgia (3%). Forekomsten af disse symptomer faldt med efterfølgende doser af genlast.
Laboratoriefund
I undersøgelse 1 hos kvinder med postmenopausal osteoporose havde ca. 0,2% af patienterne bemærkelsesværdige fald af serumkalciumniveauer (mindre end 7,5 mg/dL) efter genlastningsadministration. Ingen symptomatiske tilfælde af hypokalcæmi blev observeret. I undersøgelse 2 efter forbehandling med D-vitamin havde ingen patienter behandlingsudviklede serumkalciumniveauer under 7,5 mg/dL.
Reaktioner på injektionsstedet
I osteoporoseforsøgene er der rapporteret om lokale reaktioner på infusionsstedet, såsom kløe rødme og/eller smerter i 0% til 0,7% af patienterne efter administration af genlast og 0% til 0,5% af patienterne efter administration af placebo.
Osteonecrosis af kæben
I postmenopausal osteoporosis forsøgsundersøgelse 1 hos 7736 patienter efter påbegyndelse af terapisymptomer, der var i overensstemmelse med ONJ, forekom hos en patient behandlet med placebo og en patient behandlet med genindvinding. Begge sager løst efter passende behandling [se Advarsler og forholdsregler ]. Ingen reports of osteonecrosis of the jaw were reported in either treatment group in Undersøgelse 2.
Atrieflimmer
I postmenopausal osteoporosis forsøgsundersøgelse 1 dømte alvorlige bivirkninger af atrieflimmer i zoledronsyrebehandlingsgruppen i 1,3% af patienterne (50 ud af 3862) sammenlignet med 0,4% (17 ud af 3852) i placebogruppen. Den samlede forekomst af al atrieflimmers bivirkninger i Zoledronic Acid -behandlingsgruppen blev rapporteret hos 2,5% af patienterne (96 ud af 3862) i Reclast -gruppen mod 1,9% af patienterne (75 ud af 3852) i placebogruppen. Over 90% af disse begivenheder i begge behandlingsgrupper forekom mere end en måned efter infusionen. I en EKG-understudie-EKG-måling blev udført på en undergruppe på 559 patienter før og 9 til 11 dage efter behandlingen. Der var ingen forskel i forekomsten af atrieflimmer mellem behandlingsgrupper, der antydede, at disse begivenheder ikke var relateret til de akutte infusioner. I undersøgelse 2 dømte alvorlige bivirkninger af atrieflimmer i zoledronsyrebehandlingsgruppen hos 1,0% af patienterne (11 ud af 1054) sammenlignet med 1,2% (13 ud af 1057) i placebogruppen, der ikke demonstrerede nogen forskel mellem behandlingsgrupper.
Okulære bivirkninger
Tilfælde af iritis/uveitis/episcleritis/konjunktivitis er rapporteret hos patienter behandlet med bisphosphonater inklusive zoledronsyre. I osteoporoseforsøgene 1 (mindre end 0,1%) til 9 (NULL,2%) patienter behandlet med genlast og 0 (0%) til 1 (mindre end 0,1%) patient behandlet med placebo -udviklet iritis/uveitis/episcleritis.
Forebyggelse af osteoporose hos postmenopausale kvinder
Sikkerheden af genlast hos postmenopausale kvinder med osteopeni (lav knoglemasse) blev vurderet hos en 2-årig randomiseret multicenter dobbeltblind placebokontrolleret undersøgelse af 581 postmenopausale kvinder i alderen større end eller lig med 45 år. Patienter blev randomiseret til en af tre behandlingsgrupper: (1) genlastning, der blev givet ved randomisering og måned 12 (n = 198); (2) Reclast givet ved randomisering og placebo i måned 12 (n = 181); og (3) placebo givet ved randomisering og måned 12 (n = 202). Reclast blev administreret som en enkelt 5 mg dosis i 100 ml opløsning infunderet over mindst 15 minutter. Alle kvinder modtog 500 til 1200 mg elementær calcium plus 400 til 800 internationale enheder D -vitamintilskud pr. Dag.
Forekomsten af alvorlige bivirkninger var den samme for emner, der blev givet (1) tilbagevenden ved randomisering og ved måned 12 (NULL,6%) (2) tilbagevenden ved randomisering og placebo, der blev givet ved måned 12 (NULL,4%) og (3) placebo ved randomisering og ved måned 12 (NULL,4%). Procentdelene af patienter, der trak sig tilbage fra undersøgelsen på grund af bivirkninger, var henholdsvis 7,1% 7,2% og 3,0% i de to tilbagevendende grupper og placebogruppe. Bivirkninger rapporteret hos mindst 2% af patienterne med osteopeni og hyppigere hos de genlast-behandlede patienter end placebo-behandlede patienter er vist i tabel 2.
Tabel 2. Bivirkninger, der forekommer i større end eller lig med 2% af patienterne med osteopeni og hyppigere end hos placebo-behandlede patienter
| System Organ Class | 5 mg IV Reclast en gang om året % (n = 198) | 5 mg IV Reclast én gang % (n = 181) | Placebo en gang om året % (n = 202) |
| Metabolisme og ernæringsforstyrrelser | |||
| 2.0 | 0.6 | 0.0 | |
| Nervesystemforstyrrelser | |||
| 14.6 | 20.4 | 11.4 | |
| 7.6 | 6.1 | 3.5 | |
| 5.6 | 2.2 | 2.0 | |
| Øre- og labyrintforstyrrelser | |||
| 2.0 | 1.7 | 1.0 | |
| Vaskulære lidelser | |||
| 5.1 | 8.3 | 6.9 | |
| Gastrointestinale lidelser | |||
| 17.7 | 11.6 | 7.9 | |
| 8.1 | 6.6 | 7.9 | |
| 7.6 | 5.0 | 4.5 | |
| 7.1 | 6.6 | 5.0 | |
| 8.6 | 6.6 | 7.9 | |
| 6.6 | 7.2 | 6.9 | |
| 2.0 | 1.1 | 0.5 | |
| 2.0 | 0.6 | 0.0 | |
| Hud og subkutane vævsforstyrrelser | |||
| 3.0 | 2.2 | 2.5 | |
| Muskuloskeletale og bindevævsforstyrrelser | |||
| 27.3 | 18.8 | 19.3 | |
| 19.2 | 22.7 | 6.9 | |
| 18.2 | 16.6 | 11.9 | |
| in extremity | 11.1 | 16.0 | 9.9 |
| 5.6 | 2.8 | 5.0 | |
| 8.1 | 7.2 | 7.9 | |
| 5.1 | 3.3 | 1.0 | |
| 5.1 | 6.6 | 5.0 | |
| 4.0 | 2.2 | 1.5 | |
| 3.5 | 1.1 | 2.0 | |
| 3.0 | 0.6 | 0.0 | |
| 2.0 | 0.6 | 0.0 | |
| in jaw | 2.0 | 3.9 | 2.5 |
| Generelle lidelser og administrationsstedets forhold | |||
| 24.2 | 14.9 | 3.5 | |
| 21.7 | 21.0 | 4.5 | |
| 18.2 | 18.2 | 3.0 | |
| 14.6 | 9.9 | 4.0 | |
| 6.1 | 2.8 | 1.0 | |
| 5.6 | 3.9 | 3.5 | |
| 3.5 | 7.7 | 3.0 | |
| 1.5 | 3.3 | 2.0 | |
| 1.0 | 2.2 | 0.5 | |
| * Kombineret abdominal smerte abdominal smerte øvre og mavesmerter lavere som en ADR ** Kombineret muskuloskeletalsmerter og muskuloskeletal brystsmerter som en ADR |
Okulære bivirkninger
Tilfælde af iritis/uveitis/episcleritis/konjunktivitis er rapporteret hos patienter behandlet med bisphosphonater inklusive zoledronsyre. I den osteoporoseforebyggelsesforsøg 4 (NULL,1%) patienter behandlet med genlast og 0 (0%) patienter behandlet med placebo -udviklet iritis/uveitis.
Akut fase -reaktion
Hos patienter, der blev givet tilbagebetaling ved randomisering og placebo ved måned 12, var Reclast forbundet med tegn og symptomer på en akut fase-reaktion: myalgi (NULL,4%) feber (NULL,3%) kulderystelser (NULL,2%) smerter (NULL,8%) hovedpine (NULL,3%) træthed (NULL,3%) og bakksmerter (NULL,1%) smerter i ekstremiteten (NULL,9%) påvirket påvirkning (NULL,7%), der forekom inden for de første 3 dage efter dosis af genlasten. Størstedelen af disse symptomer var milde til moderat og løst inden for 3 dage efter begivenhedens begyndelse, men opløsningen kunne tage op til 7-14 dage.
Osteoporose hos mænd
Sikkerheden ved genlast hos mænd med osteoporose eller osteoporose sekundær til hypogonadisme blev vurderet i en to-årig randomiseret multicenter dobbeltblind aktiv kontrolleret gruppeundersøgelse af 302 mænd i alderen 25 til 86 år. Hundrede halvtreds tre (153) patienter blev udsat for genlastning, der blev administreret en gang årligt med en 5 mg dosis i 100 ml, infunderet over 15 minutter for op til i alt to doser, og 148 patienter blev udsat for en kommercielt tilgængelig oral ugentlig bisphosphonat (aktiv kontrol) i op til to år. Alle deltagere modtog 1000 mg elementært calcium plus 800 til 1000 internationale enheder af D -vitamintilskud pr. Dag.
Forekomsten af dødelighed af al årsagen (en i hver gruppe) og alvorlige bivirkninger var ens mellem de tilbagevendende og aktive kontrolbehandlingsgrupper. Procentdelen af patienter, der oplevede mindst en bivirkning, var sammenlignelig mellem de tilbagevendende og aktive kontrolgrupper med undtagelse af en højere forekomst af post-dosis-symptomer i den tilbagevendende gruppe, der forekom inden for 3 dage efter infusion. Den samlede sikkerhed og tolerabilitet af genlasten svarede til den aktive kontrol.
Bivirkninger rapporteret hos mindst 2% af mændene med osteoporose og hyppigere hos de genlast-behandlede patienter end de aktive kontrolbehandlede patienter og enten (1) ikke rapporteret i postmenopausal osteoporosebehandlingsforsøg eller (2) rapporteret hyppigere i forsøget med osteoporose hos mænd er præsenteret i tabel 3. Derfor skal tabel 3 ses i sammenhæng med tabel 1.
Tabel 3: Bivirkninger, der forekommer i større end eller lig med 2% af mændene med osteoporose og hyppigere hos de genlast-behandlede patienter end de aktive kontrolbehandlede patienter, og enten (1) ikke rapporteres i den postmenopausale osteoporose-behandlingsforsøg eller (2) rapporteret mere hyppigt i dette forsøg i denne undersøgelse i denne undersøgelse i denne undersøgelse i denne undersøgelse i denne undersøgelse i denne undersøgelse i denne undersøgelse i dette forsøg i
| System Organ Class | 5 mg IV Reclast en gang om året % (N = 153) | Aktiv kontrol en gang ugentligt % (N = 148) |
| Nervesystemforstyrrelser | ||
| 15.0 | 6.1 | |
| 3.3 | 1.4 | |
| Øjenlidelser | ||
| 2.0 | 0.0 | |
| Hjerteforstyrrelser | ||
| 3.3 | 2.0 | |
| 2.6 | 0.0 | |
| Respiratorisk thorax- og mediastinal lidelser | ||
| 6.5 | 4.7 | |
| 7.9 | 4.1 | |
| Hud og subkutane vævsforstyrrelser | ||
| 2.6 | 2.0 | |
| Muskuloskeletalt bindevæv og knoglerforstyrrelser | ||
| 19.6 | 6.8 | |
| 12.4 | 10.8 | |
| 4.6 | 0.0 | |
| Nyre- og urinforstyrrelser | ||
| 2.0 | 0.7 | |
| Generelle lidelser og administrative stedforhold | ||
| 17.6 | 6.1 | |
| 11.8 | 4.1 | |
| 9.8 | 2.7 | |
| 9.2 | 2.0 | |
| 7.2 | 0.7 | |
| 3.9 | 0.0 | |
| Undersøgelser | ||
| 4.6 | 1.4 | |
| * Kombineret abdominal smerte abdominal smerte øvre og mavesmerter lavere som en ADR ** Kombineret muskuloskeletalsmerter og muskuloskeletal brystsmerter som en ADR |
Nedskærmning af nyren
Kreatininklarering blev målt årligt før dosering og ændringer i langvarig nyrefunktion over 24 måneder var sammenlignelige i de tilbagevendende og aktive kontrolgrupper [se Advarsler og forholdsregler ].
Akut fase -reaktion
Reclast was associated with signs and symptoms of an acute phase reaction: myalgia (17.1%) fever (15.7%) fatigue (12.4%) arthralgia (11.1%) pain (10.5%) chills (9.8%) headache (9.8%) influenza-like illness (8.5%) malaise (5.2%) and back pain (3.3%) which occurred within the first 3 days following the dosis af genlast. Størstedelen af disse symptomer var milde til moderat og løst inden for 3 dage efter begivenhedens begyndelse, men opløsningen kunne tage op til 7-14 dage. Forekomsten af disse symptomer faldt med efterfølgende doser af genlast.
Atrieflimmer
Forekomsten af alle atrieflimmers bivirkninger i den tilbagevendende behandlingsgruppe var 3,3% (5 ud af 153) sammenlignet med 2,0% (3 ud af 148) i den aktive kontrolgruppe. Der var dog ingen patienter med domstol alvorlige bivirkninger af atrieflimmer i den tilbagevendende behandlingsgruppe.
Laboratoriefund
Der var ingen patienter, der havde behandling af calciumniveauer i behandlingen af serum under 7,5 mg/dL.
Reaktioner på injektionsstedet
Der var 4 patienter (NULL,6%) på Reclast vs. 2 patienter (NULL,4%) på aktiv kontrol med lokale stedreaktioner.
Osteonecrosis af kæben
I dette forsøg var der ingen tilfælde af osteonecrosis af kæben [se Advarsler og forholdsregler ].
Glucocorticoid-induceret osteoporose
Sikkerheden ved genlast hos mænd og kvinder i behandling og forebyggelse af glukokortikoid-induceret osteoporose blev vurderet i et randomiseret multicenter dobbeltblind aktivt kontrolleret stratificeret studie af 833 mænd og kvinder i alderen 18 til 85 år behandlet med større end eller lig med 7,5 mg/dag oral prednison (eller ækvivalent). Patienter blev lagdelt i henhold til varigheden af deres kortikosteroidbehandling før study: mindre end eller lig med 3 måneder før randomisering (forebyggelsesunderpopulation) og større end 3 måneder før randomisering (behandlingsunderpopulation).
Forsøgets varighed var et år med 416 patienter, der blev udsat for genlastning, der blev administreret en gang som en enkelt 5 mg dosis i 100 ml, infunderede over 15 minutter og 417 patienter udsat for en kommercielt tilgængelig oral daglig bisphosphonat (aktiv kontrol) i et år. Alle deltagere modtog 1000 mg elementær calcium plus 400 til 1000 internationale enheder med vitamin D -tilskud pr. Dag.
Forekomsten af dødelighed af al årsagen var den samme mellem behandlingsgrupper: 0,9% i den tilbagevendende gruppe og 0,7% i den aktive kontrolgruppe. Forekomsten af alvorlige bivirkninger var den samme mellem genlastbehandlings- og forebyggelsesgrupperne henholdsvis 18,4% og 18,1% og de aktive kontrolbehandlings- og forebyggelsesgrupper 19,8% og 16,0%. Procentdelen af forsøgspersoner, der trak sig tilbage fra undersøgelsen på grund af bivirkninger, var 2,2% i den tilbagevendende gruppe mod 1,4% i den aktive kontrolgruppe. Den samlede sikkerhed og tolerabilitet var ens mellem tilbagebetalings- og aktive kontrolgrupper med undtagelse af en højere forekomst af post-dosis symptomer i den tilbagevendende gruppe, der fandt sted inden for 3 dage efter infusion. Den overordnede sikkerheds- og tolerabilitetsprofil af genlast i glukokortikoidinduceret osteoporose svarede til de bivirkninger, der blev rapporteret i den rekreationspostmenopausale osteoporose-forsøg.
Bivirkninger rapporteret hos mindst 2%af patienterne, der enten ikke blev rapporteret i den postmenopausale osteoporosebehandlingsforsøg eller rapporteret hyppigere i behandlingen og forebyggelsen af glukokortikoidinduceret osteoporosisforsøg inkluderede følgende: abdominal smerte (tilbagebetaling 7,5%; aktiv kontrol 5,0%) og muskuloskeletal smerte (Reclast 3,1%; aktiv kontrol 1,7%). Andre muskuloskeletale begivenheder omfattede rygsmerter (tilbagebetaling 4,3% aktiv kontrol 6,2%) knoglesmerter (Reclast 3,1% aktiv kontrol 2,2%) og smerter i ekstremiteten (Reclast 3,1% aktiv kontrol 1,2%). Derudover forekom følgende bivirkninger hyppigere end i postmenopausal osteoporoseforsøg: kvalme (Reclast 9,6%; aktiv kontrol 8,4%) og dyspepsi (tilbagebetaling 5,5%; aktiv kontrol 4,3%).
Nedskærmning af nyren
Nyrefunktion målt før dosering og i slutningen af den 12 måneders undersøgelse var sammenlignelig i de tilbagevendende og aktive kontrolgrupper [se Advarsler og forholdsregler ].
Akut fase -reaktion
Reclast var forbundet med tegn og symptomer på en kortvarig akut fase -reaktion, der svarede til den, der blev set i den rekreationspostmenopausale osteoporose -kliniske forsøg.
Atrieflimmer
Forekomsten af atrieflimmers bivirkninger var 0,7% (3 af 416) i den tilbagevendende gruppe sammenlignet med ingen bivirkninger i den aktive kontrolgruppe. Alle forsøgspersoner havde en tidligere historie med atrieflimmer, og ingen tilfælde blev bedømt som alvorlige bivirkninger. En patient havde atriefladder i den aktive kontrolgruppe.
Laboratoriefund
Der var ingen patienter, der havde behandling af calciumniveauer i behandlingen af serum under 7,5 mg/dL.
Reaktioner på injektionsstedet
Der var ingen lokale reaktioner på infusionsstedet.
Osteonecrosis af kæben
I dette forsøg var der ingen tilfælde af osteonecrosis af kæben [se Advarsler og forholdsregler ].
Pagets sygdomssygdom
I Pagets sygdomsforsøg forsøgte to 6-måneders dobbeltblinde komparative multinationale undersøgelser af 349 mænd og kvinder i alderen mere end 30 år med moderat til svær sygdom og med bekræftede Pagets sygdom af knogler 177 patienter udsat for tilbagebetaling og 172 patienter udsat for risedronat. Reclast blev administreret en gang som en enkelt 5 mg dosis i 100 ml opløsning infunderet over mindst 15 minutter. Risedronat blev givet som en oral daglig dosis på 30 mg i 2 måneder.
Forekomsten af alvorlige bivirkninger var 5,1% i den tilbagevendende gruppe og 6,4% i den risedronatgruppe. Procentdelen af patienter, der trak sig tilbage fra undersøgelsen på grund af bivirkninger, var henholdsvis 1,7% og 1,2% for de genlastede og fremmede grupper.
Adverse reactions occurring in at least 2% of the Paget’s patients receiving Reclast (single 5 mg intravenous infusion) or risedronate (30 mg oral daily dose for 2 months) over a 6-month study period are listed by system organ class in Table 4.
Tabel 4. Bivirkninger rapporteret i mindst 2% af Pagets patienter, der modtager genlast (enkelt 5 mg intravenøs infusion) eller Risedronate (oral 30 mg dagligt i 2 måneder) over en 6-måneders opfølgningsperiode
| System Organ Class | 5 mg IV Reclast % (N = 177) | 30 mg/dag x 2 måneder Risedronate % (N = 172) |
| Infektioner og angreb | ||
| 7 | 5 | |
| Metabolisme og ernæringsforstyrrelser | ||
| 3 | 1 | |
| 2 | 2 | |
| Nervesystemforstyrrelser | ||
| 11 | 10 | |
| 9 | 4 | |
| 5 | 1 | |
| 2 | 0 | |
| Respiratorisk thorax- og mediastinal lidelser | ||
| 5 | 1 | |
| Gastrointestinale lidelser | ||
| 9 | 6 | |
| 6 | 6 | |
| 6 | 5 | |
| 5 | 4 | |
| 2 | 1 | |
| 2 | 2 | |
| 2 | 2 | |
| 1 | 2 | |
| Hud og subkutane vævsforstyrrelser | ||
| 3 | 2 | |
| Muskuloskeletalt bindevæv og knoglerforstyrrelser | ||
| 9 | 11 | |
| 9 | 5 | |
| 7 | 4 | |
| 4 | 7 | |
| 2 | 1 | |
| Generelle lidelser og administrative stedforhold | ||
| 11 | 6 | |
| 9 | 2 | |
| 8 | 4 | |
| 8 | 1 | |
| 5 | 4 | |
| 3 | 1 | |
| 2 | 1 |
Nedskærmning af nyren
I kliniske forsøg i Pagets sygdom var der ingen tilfælde af nyreforringelse efter en enkelt 5 mg 15-minutters infusion [se Advarsler og forholdsregler ].
Akut fase -reaktion
Tegnene og symptomerne på akut fase-reaktion (influenzalignende sygdom Pyrexia myalgia arthralgia og knoglesmerter) blev rapporteret hos 25% af patienterne i den tilbageholdte gruppe sammenlignet med 8% i den risedronatbehandlede gruppe. Symptomer forekommer normalt inden for de første 3 dage efter tilbagebetalingsadministration. Størstedelen af disse symptomer løste inden for 4 dage efter begyndelsen.
Osteonecrosis af kæben
Osteonecrosis af kæben er rapporteret med zoledronsyre [se Advarsler og forholdsregler ].
Oplevelse efter markedsføring
Fordi disse reaktioner rapporteres frivilligt fra en population af usikker størrelse, er det ikke altid muligt at pålideligt estimere deres frekvens eller etablere et årsagsforhold til eksponering for lægemidler.
Hvad bruges synthroid til behandling
Følgende bivirkninger er blevet identificeret under brug af udgifter efter godkendelse af genlast:
Akut fase -reaktions
Feber hovedpine influenzalignende symptomer kvalme opkast diarré arthralgi og myalgi. Symptomerne kan være betydningsfulde og føre til dehydrering.
Akut nyresvigt
Akut nyresvigt, der kræver hospitalisering og/eller dialyse eller med et dødeligt resultat, er sjældent rapporteret. Forøget serumkreatinin blev rapporteret hos patienter med 1) underliggende nyresygdom 2) dehydrering sekundært til feber sepsis gastrointestinale tab eller diuretisk terapi eller 3) andre risikofaktorer, såsom avanceret alder eller samtidig nefrotoksiske lægemidler i post-infusionsperioden. Forbigående stigning i serumkreatinin kan kan korrigeres med intravenøs væsker.
Allergiske reaktioner
Allergiske reaktioner med intravenøs zoledronsyre inklusive anafylaktisk reaktion/chok urticaria angioedema stevens-Johnson syndrom toksisk epidermal nekrolyse og bronchoconstriction er rapporteret.
Astmaforværringer
Astmaforværringer er rapporteret.
Hypocalcæmi
Hypocalcæmi has been reported.
Hypophosphichemia
Hypophosphichemia has been reported.
Osteonecrosis af kæben
Osteonecrosis af kæben er rapporteret.
Osteonecrosis af andre knogler
Tilfælde af osteonecrose af andre knogler (inklusive lårbens hofte -ankelhåndled og humerus) er rapporteret; Kausalitet er ikke bestemt i befolkningen behandlet med tilbagebetaling.
Okulære bivirkninger
Tilfælde af følgende begivenheder er rapporteret: konjunktivitis iritis iridocyclitis uveitis episcleritis scleritis og orbital betændelse/ødem.
Andre
Hypotension hos patienter med underliggende risikofaktorer er rapporteret.
Lægemiddelinteraktioner for Reclast
Ingen forgæves Lægemiddelinteraktionsundersøgelser er blevet udført for Reclast. In vitro og Ex Living Undersøgelser viste lav affinitet af zoledronsyre for de cellulære komponenter i humant blod. In vitro Gennemsnitlig zoledronsyreproteinbinding i humant plasma varierede fra 28% ved 200 ng/ml til 53% ved 50 ng/ml. Forgæves Undersøgelser viste, at zoledronsyre ikke metaboliseres og udskilles i urinen som det intakte lægemiddel.
Aminoglycosider
Der anbefales forsigtighed, når bisphosphonater inklusive zoledronsyre administreres med aminoglycosider, da disse midler kan have en additiv effekt på lavere serumkalciumniveau i længere tid. Denne virkning er ikke rapporteret i zoledronsyre -kliniske forsøg.
Loop Diuretics
Der skal også udvises forsigtighed, når genlasten bruges i kombination med loop -diuretika på grund af en øget risiko for hypokalcæmi.
Nefrotoksiske lægemidler
FORSIGTIG er indikeret, når genlasten bruges sammen med andre potentielt nefrotoksiske lægemidler, såsom ikke-steroide antiinflammatoriske lægemidler.
Medicin, der primært udskilles af nyrerne
Nedskrivning i nyren er blevet observeret efter indgivelse af zoledronsyre hos patienter med allerede eksisterende nyrepromis eller andre risikofaktorer [se Advarsler og forholdsregler ]. In patients with renal impairment the exposure to concomitant medications that are primarily renally excreted (e.g. digoxin) may increase. Consider monitoring serum creatinine in patients at risk for renal impairment who are taking concomitant medications that are primarily excreted by the kidney.
Advarsler for genlastning
Inkluderet som en del af 'FORHOLDSREGLER' Afsnit
Forholdsregler for genindvinding
Lægemiddelprodukter med samme aktive ingrediens
Reclast indeholder den samme aktive ingrediens, der findes i zometa, der blev anvendt til onkologiske indikationer, og en patient, der behandles med Zometa, bør ikke behandles med genindvinding.
Hypocalcæmi End Mineral Metabolisme
Forekomst af hypokalcæmi og forstyrrelser i mineralmetabolismen (f.eks. Hypoparathyreoidisme-thyroidea-kirurgi-parathyroidea-kirurgi; malabsorptionssyndromer Excision af tyndtarmen) skal behandles effektivt før påbegyndelse af terapi med tilbagebetaling. Klinisk overvågning af calcium- og mineralniveauer (fosfor og magnesium) anbefales stærkt til disse patienter [se Kontraindikationer ].
Hypocalcæmi following Reclast administration is a significant risk in Paget’s disease. All patients should be instructed about the symptoms of hypocalcemia og the importance of calcium og vitamin D supplementation in maintaining serum calcium levels [see Dosering og administration Bivirkninger Patientinformation ].
Alle osteoporosepatienter skal instrueres om vigtigheden af calcium- og D -vitamintilskud til opretholdelse af serumkalciumniveauer [se Dosering og administration Bivirkninger Patientinformation ].
Nedskærmning af nyren
En enkelt dosis afklast bør ikke overstige 5 mg, og infusionsvarigheden skal være ikke mindre end 15 minutter [se Dosering og administration ].
Reclast er kontraindiceret hos patienter med kreatinin -clearance mindre end 35 ml/min Kontraindikationer ]. If history or physical signs suggest dehydration Reclast therapy should be withheld until normovolemic status has been achieved [see Bivirkninger ].
Reclast skal bruges med forsigtighed hos patienter med kronisk nedsat nyrefunktion. Der er observeret akut nedsat nyrefunktion inklusive nyresvigt efter indgivelse af zoledronsyre, især hos patienter med allerede eksisterende renalt kompromis Advanced Age-samtidig nefrotoksisk medicin samtidig diuretisk terapi eller svær dehydrering, der forekommer før eller efter tilbagebetalingsadministration. Akut nyresvigt (ARF) er blevet observeret hos patienter efter en enkelt administration. Sjældne rapporter om hospitalisering og/eller dialyse eller dødeligt resultat forekom hos patienter med underliggende moderat til alvorlig nedsat nyrefunktion eller med nogen af de risikofaktorer, der er beskrevet i dette afsnit [Se Bivirkninger ]. Renal impairment may lead to increased exposure of concomitant medications og/or their metabolites that are primarily renally excreted [see Lægemiddelinteraktioner ].
Kreatinin-clearance skal beregnes baseret på faktisk kropsvægt ved hjælp af Cockcroft-Gault-formlen før hver genlastdosis. Forbigående stigning i serumkreatinin kan være større hos patienter med nedsat nyrefunktion; Midlertidig overvågning af kreatinin-clearance bør udføres hos patienter i risiko. Ældre patienter og dem, der modtager vanddrivende terapi, har en øget risiko for akut nyresvigt. Disse patienter skal have deres væskestatus vurderet og være passende hydreret inden administration af Reclast. Reclast skal bruges med forsigtighed med andre nefrotoksiske lægemidler [se Lægemiddelinteraktioner ]. Consider monitoring creatinine clearance in patients at-risk for ARF who are taking concomitant medications that are primarily excreted by the kidney [see Lægemiddelinteraktioner ].
Osteonecrosis af kæben
Osteonecrosis af kæben (ONJ) er rapporteret hos patienter behandlet med bisphosphonater inklusive zoledronsyre. De fleste tilfælde har været hos kræftpatienter behandlet med intravenøse bisphosphonater, der gennemgår tandprocedurer. Nogle tilfælde er forekommet hos patienter med postmenopausal osteoporose behandlet med enten orale eller intravenøse bisphosphonater. En rutinemæssig mundtlig undersøgelse skal udføres ved forskriveren inden påbegyndelse af bisphosphonatbehandling. En tandundersøgelse med passende forebyggende tandpleje bør overvejes inden behandling med bisphosphonater hos patienter med en historie med samtidig risikofaktorer (f.eks. Kræftkemoterapi-angiogeneseinhibitorer radioterapi-kortikosteroider dårlige orale hygiejne-eksisterende tandsygdomme eller infektionsanemi-koagulopati). Risikoen for ONJ kan stige med varigheden af eksponering for bisphosphonater. Samtidig administration af lægemidler, der er forbundet med ONJ, kan øge risikoen for at udvikle ONJ.
Mens patienter med samtidig risikofaktorer skal undgå invasive tandprocedurer, hvis det er muligt. For patienter, der udvikler ONJ, mens de er på bisphosphonatterapi -tandkirurgi, kan det forværre tilstanden. For patienter, der kræver tandprocedurer, er der ingen tilgængelige data for at antyde, om seponering af bisphosphonatbehandling reducerer risikoen for ONJ. Den kliniske vurdering af den behandlende læge skal vejlede styringsplanen for hver patient baseret på individuel fordel/risikovurdering [se Bivirkninger ].
Atypiske subtrochanteriske og diaphyseale lårbensfrakturer
Atypiske lavenergi eller lave traumefrakturer af lårbensakslen er rapporteret hos bisphosphonatbehandlede patienter. Disse brud kan forekomme overalt i lårbensakslen fra lige under den mindre trochanter til over den supracondylære bluss og er tværgående eller korte skrå i orientering uden bevis for findeling. Kausalitet er ikke etableret, da disse brud også forekommer hos osteoporotiske patienter, der ikke er blevet behandlet med bisphosphonater.
Atypiske lårbenfrakturer forekommer oftest med minimale eller ingen traumer til det berørte område. De kan være bilaterale, og mange patienter rapporterer prodromale smerter i det berørte område, der normalt præsenterer som kedelige ømme lår smerter uger til måneder, før der opstår en komplet brud. En række rapporter bemærker, at patienter også modtog behandling med glukokortikoider (f.eks. Prednison) på brudstidspunktet.
Enhver patient med en historie med bisphosphonateksponering, der præsenterer med lår- eller lyskesmerter, skal mistænkes for at have et atypisk brud og bør evalueres for at udelukke en ufuldstændig lårbensbrud. Patienter, der præsenterer med en atypisk femurfraktur, bør også vurderes for symptomer og tegn på brud i den kontralaterale lem. Afbrydelse af bisphosphonatbehandling bør overvejes i afventning af en risiko/fordelevurdering på individuelt grundlag.
Muskuloskeletalsmerter
I efter-markedsføringserfaring er der rapporteret alvorlig og lejlighedsvis ude af stand til knogleled og/eller muskelsmerter sjældent hos patienter, der tager bisphosphonater, inklusive genlast. Tiden til symptomdebut varierede fra en dag til flere måneder efter start af lægemidlet. Overvej tilbageholdelse af fremtidig genlastbehandling, hvis der udvikles alvorlige symptomer. De fleste patienter havde lettelse af symptomer efter stop. En undergruppe havde gentagelse af symptomer, når de blev genoplivet med det samme lægemiddel eller et andet bisphosphonat [se Bivirkninger ].
Patienter med astma
Selvom det ikke blev observeret i kliniske forsøg med tilbagebetaling, har der været rapporter om bronchokonstriktion hos aspirinfølsomme patienter, der modtager bisphosphonater. Brug Reclast med forsigtighed hos aspirinfølsomme patienter.
Oplysninger om patientrådgivning
Rådgiv patienten om at læse den FDA-godkendte patientmærkning ( Medicin vejledning ).
Information til patienter
Patienter skal gøres opmærksomme på, at genlasten indeholder den samme aktive ingrediens (zoledronsyre), der findes i Zometa ® og that patients being treated with Zometa should not be treated with Reclast.
Reclast er kontraindiceret hos patienter med kreatinin -clearance mindre end 35 ml/min [se Kontraindikationer ].
Før de får tilbagebetalingspatienter, skal de fortælle deres læge, om de har nyreproblemer, og hvilke medicin de tager.
Reclast bør ikke gives, hvis patienten er gravid eller planlægger at blive gravid, eller hvis hun ammer [se Advarsler og forholdsregler ].
Der har været rapporter om bronchokonstriktion hos aspirinfølsomme patienter, der modtager bisphosphonater, herunder tilbagebetaling. Før de får tilbagebetaling, skal patienter fortælle deres læge, om de er aspirinfølsomme.
Hvis patienten havde opereret for at fjerne nogle eller alle parathyroidea -kirtler i deres hals eller fået dele af deres tarm fjernet eller ikke er i stand til at tage calciumtilskud, skulle de fortælle deres læge.
Reclast gives som en infusion i en vene af en sygeplejerske eller en læge, og infusionstiden må ikke være mindre end 15 minutter.
På behandlingsdagen skal patienten spise og drikke normalt, hvilket inkluderer at drikke mindst 2 glas væske, såsom vand inden for få timer før infusionen som instrueret af deres læge, før de modtager tilbagebetaling.
Efter at have fået tilbagevenden anbefales det stærkt, at patienter med Pagets sygdom tager calcium i opdelte doser (for eksempel 2 til 4 gange om dagen) for i alt 1500 mg calcium om dagen for at forhindre calciumniveauer med lavt blod. Dette er især vigtigt i de to uger efter at have fået tilbagebetalt [se Advarsler og forholdsregler ].
Tilstrækkelig indtagelse af calcium og vitamin D er vigtigt hos patienter med osteoporose, og det nuværende anbefalede daglige indtag af calcium er 1200 mg og D -vitamin er 800 internationale enheder - 1000 internationale enheder dagligt. Alle patienter skal instrueres om vigtigheden af calcium- og D -vitamintilskud til opretholdelse af serumkalciumniveauer.
Patienter skal være opmærksomme på de mest almindeligt tilknyttede bivirkninger af terapi. Patienter kan opleve en eller flere bivirkninger, der kan omfatte: feberinfluenzalignende symptomer myalgi arthralgi og hovedpine. De fleste af disse bivirkninger forekommer inden for de første 3 dage efter dosis af tilbagetrækning. De løser normalt inden for 3 dage efter starten, men kan vare i op til 7 til 14 dage. Patienter bør konsultere deres læge, hvis de har spørgsmål, eller hvis disse symptomer vedvarer. Forekomsten af disse symptomer faldt markant med efterfølgende doser af genlast.
Administration af acetaminophen efter genlastningsadministration kan reducere forekomsten af disse symptomer.
Læger skal informere deres patienter om, at der har været rapporter om vedvarende smerte og/eller et ikke-helende ømme i munden eller kæben primært hos patienter, der blev behandlet med bisphosphonater for andre sygdomme. Under behandling med zoledronsyrepatienter skal patienter instrueres i at opretholde god oral hygiejne og gennemgå rutinemæssige tandkontrol. Hvis de oplever mundtlige symptomer, skal de straks rapportere dem til deres læge eller tandlæge.
Alvorligt og lejlighedsvis ude af stand til knogleled og/eller muskelsmerter er sjældent rapporteret hos patienter, der tager bisphosphonater inklusive genlast. Overvej tilbageholdelse af fremtidig genlastbehandling, hvis der udvikles alvorlige symptomer.
Atypiske lårbenfrakturer hos patienter på bisphosphonatbehandling er rapporteret; Patienter med lår eller lyskesmerter skal evalueres for at udelukke en lårbensbrud.
Ingennclinical Toxicology
Karcinogenese mutagenese nedskrivning af fertilitet
Carcinogenese
Livstidscarcinogenicitet bioassays blev udført hos mus og rotter. Mus fik daglige orale doser af zoledronsyre på 0,1 0,5 eller 2,0 mg/kg/dag i 2 år. Der var en øget forekomst af hårderiske kirteladenomer hos mænd og kvinder i alle behandlingsgrupper (startende ved doser svarende til 0,002 gange den menneskelige 5 mg intravenøs dosis baseret på kropsoverfladeareal mg/m 2 ). Rats were given daily oral doses of zoledronic acid of 0.1 0.5 or 2.0 mg/kg/day for 2 years. Ingen increased incidence of tumors was observed at any dose (up to 0.1 times the human intravenous dose of 5 mg based on body surface area mg/m 2 ).
Mutagenese
Zoledronsyre var ikke genotoksisk i AMES -bakteriel mutagenicitetsassay i den kinesiske hamster -ovariecelleassay eller i det kinesiske hamstergenmutationsassay med eller uden metabolisk aktivering. Zoledronsyre var ikke genotoksisk i forgæves Rotte mikronukleus assay.
Værdiforringelse af fertiliteten
Kvindelige rotter blev givet daglige subkutane doser af zoledronsyre på 0,01 0,03 eller 0,1 mg/kg begyndt 15 dage før parring og fortsat gennem drægtighed. Inhibering af ægløsning og et fald i antallet af gravide rotter blev observeret ved 0,1 mg/kg/dag (svarende til den humane 5 mg intravenøs dosis baseret på AUC). Der blev observeret en stigning i forudbestemmelsestab og et fald i antallet af implantationer og levende fostre ved 0,03 og 1 mg/kg/dag (NULL,3 til 1 gange den humane 5 mg human intravenøs dosis).
Brug i specifikke populationer
Graviditet
Risikooversigt
Tilgængelige data om brugen af tilbagebetaling hos gravide er utilstrækkelige til at informere en medikamentassocieret risiko for ugunstige moderlige eller føtalesultater. Afbryd tilbagebetalingen, når graviditet genkendes.
I dyreproduktionsundersøgelser resulterede daglig subkutan indgivelse af zoledronsyre til gravide rotter under organogenese i stigninger i føtal skeletviscerale og eksterne misdannelser falder i overlevelse af postimplantation og falder i levedygtige fede og føtalvægt, der starter i doser svarende til 2 gange den anbefalede menneskelige 5 mg intravenous dosis (baseret på AUUC). Subkutan administration af zoledronsyre til kaniner under organogenese forårsagede ikke ugunstige fostereffekter ved op til 0,4 gange den menneskelige 5 mg intravenøs dosis (baseret på kropsoverfladeareal mg/m 2 ) men resulterede i mødredødelighed og abort forbundet med hypokalcæmi, der startede ved doser svarende til 0,04 gange den humane 5 mg intravenøs dosis. Subkutan dosering af hunrotter fra før parring gennem drægtighed og amning og fik lov til at levere forårsaget moderlig dystocia og periparturientdødelighed øges i dødfødsler og neonatal dødsfald og reducerede hvalpens kropsvægt, der starter ved doser svarende til 0,1 gange de menneskelige 5 mg intravenøse dosis (baseret på AUC). (se Data ).
Bisphosphonater er inkorporeret i den knoglematrix, hvorfra de gradvist frigøres over en periode på år. Mængden af bisphosphonat inkorporeret i voksen knogler og tilgængelig til frigivelse i den systemiske cirkulation er direkte relateret til dosis og varighed af bisphosphonatbrug. Følgelig baseret på virkningsmekanismen for bisphosphonater er der en potentiel risiko for føtal skade overvejende skelet, hvis en kvinde bliver gravid efter at have afsluttet et kursus med bisphosphonatterapi. Virkningen af variabler, såsom tid mellem ophør af bisphosphonatterapi til befrugtning, det særlige anvendte bisphosphonat, og indgivelsesvejen (intravenøs kontra oral) på risikoen er ikke blevet undersøgt.
Den estimerede baggrundsrisiko for store fødselsdefekter og spontanabort for de angivne populationer er ukendt. Alle graviditeter har en baggrundsrisiko for tab af fødselsdefekter eller andre negative resultater. I den amerikanske generelle befolkning er den estimerede baggrundsrisici for vigtige fødselsdefekter og spontanabort i klinisk anerkendte graviditeter henholdsvis 2-4% og 15-20%.
Data
Dyredata
Hos gravide rotter, der blev givet daglige subkutane doser af zoledronsyre på 0,1 0,2 eller 0,4 mg/kg under organogenese føtal skeletviscerale og eksterne misdannelser stiger i præ-og-dags-implantationstab og falder i levedygtige fostre og føtalvægt blev observeret ved 0,2 og 0,4 mg/kg/dag (svarende til 2 og 4 gange de menneskelige 5 mg-intraven dosen DOSE DOGEN DAGE på BASE på DAGE på basis af DOSE DOSE DET BASES på BASE på BASE på BASE på BASE på BASE på 4 på 4 AUC). Bivirkning af føtal skeletvirkninger ved 0,4 mg/kg/dag (4 gange den menneskelige 5 mg dosis) inkluderede uossificeret eller ufuldstændigt ossificerede knogler fortykkede buede eller forkortede knogler bølget ribben og forkortede kæben. Andre ugunstige føtalvirkninger ved denne dosis omfattede reduceret linse rudimentær cerebellum reduktion eller fravær af leverlober reduktion af lunge lobes kar -udvidelse spalte gane og ødemer. Skeletalvariationer blev observeret i alle grupper, der startede ved 0,1 mg/kg/dag (NULL,2 gange den humane 5 mg dosis). Tegn på mødre -toksicitet inklusive reduceret kropsvægt og fødevareforbrug blev observeret ved 0,4 mg/kg/dag (4 gange den humane 5 mg dosis).
Hos gravide kaniner, der blev givet daglige subkutane doser af zoledronsyre på 0,01 0,03 eller 0,1 mg/kg under drægtigheden, blev der ikke observeret bivirkninger på føtal effekter op til 0,1 mg/kg/dag (NULL,4 gange den humane 5 mg intravenøs dosis baseret på kropsoverfladeområde mg/mg/m 2 ). Maternal mortality og abortion were observed in all dose groups (starting at 0.04 times the human 5 mg dose). Adverse maternal effects were associated with drug-induced hypocalcemia.
Hos kvindelige rotter fik daglige subkutane doser på 0,01 0,03 eller 0,1 mg/kg begyndende 15 dage før parring og fortsat gennem drægtighedspartidering og laktationsdystocia og periparturient dødelighed blev observeret i gravide rotter, der var tilladt at levere fra 0,01 mg/kg/dag (NULL,1 gange den humane 5 mg intravenous dosis baseret på en). Der var også en stigning i dødfødsler og et fald i nyfødte overlevelse, der startede ved 0,03 mg/kg/dag (NULL,3 gange den humane 5 mg dosis), mens antallet af levedygtige nyfødte og hvalpens kropsvægt på postnatal dag 7 blev reduceret ved 0,1 mg/kg/dag (ækvivalent med den humane 5 mg dosis). Mødre- og neonatal dødsfald blev betragtet som relateret til medikamentinduceret periparturient hypokalcæmi.
Amning
Risikooversigt
Der er ingen data om tilstedeværelsen af zoledronsyre i human mælk Virkningerne på det ammede spædbarn eller virkningerne på mælkeproduktionen. De udviklingsmæssige og sundhedsmæssige fordele ved amning bør overvejes sammen med mors kliniske behov for genindvinding og eventuelle bivirkninger på det ammede barn fra genlast eller fra den underliggende moderlige tilstand.
Kvinder og mænd med reproduktivt potentiale
Infertilitet
Der er ingen tilgængelige data hos mennesker. Kvindelig fertilitet kan være forringet baseret på dyreforsøg, der viser bivirkninger af tilbagebetalingen på fertilitetsparametre [se Ingennclinical Toxicology ].
Pædiatrisk brug
Reclast er ikke indikeret til brug hos børn.
Sikkerheden og effektiviteten af zoledroninsyre blev undersøgt i et et år aktivt kontrolleret forsøg med 152 pædiatriske personer (NULL, der modtog zoledronsyre). Den tilmeldte befolkning var forsøgspersoner med svær osteogenese imperfecta i alderen 1 til 17 år 55% mandlige 84% kaukasisk med en gennemsnitlig lændehvirvelsøjle BMD på 0,431 g/cm 2 som er 2,7 standardafvigelser under gennemsnittet for aldersmatchede kontroller (BMD Z-score på -2,7). Ved et år blev der observeret stigninger i BMD i Zoledronsyre -behandlingsgruppen. Ændringer i BMD hos individuelle patienter med svær osteogenese Imperfecta korrelerede imidlertid ikke nødvendigvis med risikoen for brud eller forekomsten eller sværhedsgraden af kronisk knoglesmerter. De bivirkninger, der blev observeret med zoledronsyrebrug hos børn, rejste ikke nogen nye sikkerhedsresultater ud over dem, der tidligere blev set hos voksne, der blev behandlet for Pagets sygdom i knogler og behandling af osteoporose, herunder osteonecrose af kæben (ONJ) og nyren nedsat. Imidlertid inkluderede bivirkninger, der blev set mere almindeligt hos pædiatriske patienter, pyrexia (61%) arthralgi (26%) hypokalcæmi (22%) og hovedpine (22%). Disse reaktioner eksklusive arthralgi forekom hyppigst inden for tre dage efter den første infusion og blev mindre almindelig med gentagelsesdosering. Der blev ikke observeret nogen tilfælde af ONJ eller nedsat nyrefunktion i denne undersøgelse. På grund af langvarig tilbageholdelse i knogleklast bør kun bruges til børn, hvis den potentielle fordel opvejer den potentielle risiko.
Plasma -zoledronsyrekoncentrationsdata blev opnået fra 10 patienter med svær osteogenese imperfecta (4 i aldersgruppen 3 til 8 år og 6 i aldersgruppen 9 til 17 år) tilført 0,05 mg/kg dosis over 30 minutter. Gennemsnitlig CMAX og AUC (0-SAST) var henholdsvis 167 ng/ml og 220 ng.h/ml. Plasmakoncentrationstidsprofilen for zoledronsyre hos pædiatriske patienter repræsenterer en multi-eksponentiel tilbagegang som observeret hos voksne kræftpatienter i en omtrent ækvivalent Mg/kg-dosis.
Geriatrisk brug
De kombinerede osteoporoseforsøg omfattede 4863 tilbagetrækkede patienter, der var mindst 65 år, mens 2101 patienter var mindst 75 år gamle. Der blev ikke observeret nogen samlede forskelle i effektivitet eller sikkerhed mellem patienter under 75 år med dem mindst 75 år bortset fra at de akutte fase -reaktioner forekom mindre hyppigt hos de ældre patienter.
Af de patienter, der fik tilbagebetaling i osteoporoseundersøgelsen hos mænds glukokortikoidinduceret osteoporose og Pagets sygdomsundersøgelser henholdsvis 83 116 og 132 patienter var henholdsvis 65 år eller derover, mens henholdsvis 24 29 og 68 patienter var mindst 75 år.
Men fordi nedsat nyrefunktion forekommer mere almindeligt i den ældre særlige omhu, bør udvises for at overvåge nyrefunktionen.
Nedskærmning af nyren
Reclast er kontraindiceret hos patienter med kreatinin -clearance mindre end 35 ml/min og i dem med bevis for akut nedsat nyrefunktion. Der er ingen sikkerheds- eller effektivitetsdata til understøttelse af justeringen af genlastdosis baseret på baseline -nyrefunktion. Derfor kræves der ingen doseringsjustering hos patienter med en kreatinin -clearance på større end eller lig med 35 ml/min [se Advarsler og forholdsregler Klinisk farmakologi ]. Risk of acute renal failure may increase with underlying renal disease og dehydration secondary to fever sepsis gastrointestinal losses diuretic therapy advanced age etc. [see Bivirkninger ].
Leverskrivning i leveren
Reclast metaboliseres ikke i leveren. Ingen kliniske data er tilgængelige til anvendelse af tilbagebetaling hos patienter med leverfunktion.
Overdoseringsoplysninger til genlast
Klinisk erfaring med akut overdosering af zoledronsyre (Reclast) opløsning til intravenøs infusion er begrænset. Patienter, der har modtaget doser højere end de anbefalede, bør overvåges omhyggeligt. Overdosering kan forårsage klinisk signifikant nedsat nyrefunktion hypokalcæmi hypophosphatemia og hypomagnesæmi. Klinisk relevante reduktioner i serumniveauer af calciumphosphor og magnesium skal korrigeres ved intravenøs indgivelse af henholdsvis calciumgluconatkalium eller natriumphosphat og magnesiumsulfat.
Enkelt doser af genlasten bør ikke overstige 5 mg, og varigheden af den intravenøse infusion bør være ikke mindre end 15 minutter [se Dosering og administration ].
Kontraindikationer for genindvinding
Reclast er kontraindiceret hos patienter med følgende tilstande:
- Hypocalcæmi [see Advarsler og forholdsregler ]
- Kreatinin -clearance mindre end 35 ml/min Advarsler og forholdsregler ].
- Kendt overfølsomhed over for zoledronsyre eller eventuelle komponenter i genlasten. Overfølsomhedsreaktioner inklusive urticaria angioødem og anafylaktisk reaktion/chok er rapporteret [se Bivirkninger ].
Klinisk farmakologi for Reclast
Handlingsmekanisme
Reclast er et bisphosphonat og virker primært på knogler. Det er en hæmmer af osteoklast-medieret knogleresorption.
Den selektive virkning af bisphosphonater på knoglen er baseret på deres høje affinitet for mineraliseret knogle. Intravenøst administreret zoledronsyre opdeler hurtigt til knoglen og lokaliseres fortrinsvis på steder med høj knogleomsætning. Det vigtigste molekylære mål for zoledronsyre i osteoklasten er enzymet farnesyl -pyrophosphatsyntase. Den relativt lange virkning af zoledronsyre kan henføres til dens høje bindingsaffinitet til knoglemineral.
Farmakodynamik
I osteoporosebehandlingsforsøget af genlastbehandlingen på markører for knogleresorption (serum beta-ctelopeptider [B-CTX]) og knogledannelse (knoglespecifik alkalisk phosphatase [BSAP] serum N-terminal propeptid af type I-kollagent [P1NP]) blev vurderet hos patienter (undersæt fra 517 til 1246-patienter) ved periodisk interval. Behandling med en 5 mg årlig dosis af genlasten reducerer knoglemarkører til pre-menopausal-området med en omtrentlig 55% reduktion i B-CTX A 29% reduktion i BSAP og en 52% reduktion i P1NP over 36 måneder. Der var ingen progressiv reduktion af knoglemarkører med gentagen årlig dosering.
Farmakokinetik
Farmakokinetiske data hos patienter med osteoporose og Pagets knoglesygdom er ikke tilgængelige.
Fordeling
Enkelt eller flere (hver 28. dag) 5-minutters eller 15-minutters infusioner af 2 4 8 eller 16 mg zoledronsyre blev givet til 64 patienter med kræft og knoglemetastaser. Nedgangen i efterinfusion af zoledronsyre-koncentrationer i plasma var i overensstemmelse med en triphasisk proces, der viser et hurtigt fald fra spidskoncentrationer ved slutning af infusion til mindre end 1% af Cmax 24 timer efter infusion med befolkningens halveringstider på T 1/2a 0,24 time og t 1/2b 1,87 timer for de tidlige dispositionsfaser af lægemidlet. Den terminale elimineringsfase af zoledronsyre blev forlænget med meget lave koncentrationer i plasma mellem dag 2 og 28 efter infusion og en terminal eliminering halveringstid T 1/2c på 146 timer. Området under plasmakoncentrationen mod tidskurve (AUC0-24H) af zoledronsyre var dosis proportional fra 2 til 16 mg. Akkumuleringen af zoledronsyre målt over tre cyklusser var lav med gennemsnitlige AUC0-24H-forhold for cykler 2 og 3 mod 1 af 1,13 ± 0,30 og 1,16 ± 0,36.
In vitro og Ex Living Undersøgelser viste lav affinitet af zoledronsyre for de cellulære komponenter i humant blod. In vitro Gennemsnitlig zoledronsyreproteinbinding i humant plasma varierede fra 28% ved 200 ng/ml til 53% ved 50 ng/ml.
Metabolisme
Zoledronsyre hæmmer ikke humane P450 -enzymer In vitro . Zoledronsyre gennemgår ikke biotransformation forgæves . I dyreforsøg blev mindre end 3% af den administrerede intravenøse dosis fundet i fæces med balancen, der enten blev udvundet i urinen eller optaget af knogler, hvilket indikerer, at lægemidlet fjernes intakt via nyren. Efter en intravenøs dosis på 20 NCI 14 C-zoledronsyre hos en patient med kræft- og knoglemetastaser kun en enkelt radioaktiv art med kromatografiske egenskaber, der er identiske med dem af moderlægemiddel, blev udvundet i urin, hvilket antyder, at zoledronsyre ikke metaboliseres.
Udskillelse
Hos 64 patienter med kræft- og knoglemetastaser blev der i gennemsnit (± SD) 39 ± 16% af den indgivne zoledronsyre-dosis udvundet i urinen inden for 24 timer med kun spormængder af lægemiddel, der blev fundet i urinposten dag 2. den kumulative procent af lægemidlet, der blev udskilt i urinen over 0-24 timer, var uafhængig af dosis. Balancen mellem lægemiddel, der ikke er udvundet i urin over 0-24 timer, der repræsenterer medikament, formodentlig bundet til knogler, frigøres langsomt tilbage i den systemiske cirkulation, hvilket giver anledning til de observerede langvarige lave plasmakoncentrationer. Den 0-24 timers renal clearance af zoledronsyre var 3,7 ± 2,0 L/h.
Zoledronsyre -clearance var uafhængig af dosis, men var afhængig af patientens kreatininklarering. I en undersøgelse hos patienter med kræft- og knoglemetastaser, der øgede infusionstiden for en 4 mg dosis zoledronsyre fra 5 minutter (n = 5) til 15 minutter (n = 7), resulterede i et 34% fald i zoledronsyre -koncentrationen i slutningen af infusionen ([betaler ± SD] 403 ± 118 ng/ml mod 264 ± 86 ng/ml) og en 10% stigning i en del af et samlet et samlet en sammenhæng i et samlet en sammenhæng i et samlet en sammenhæng på et samlet en i alt A en sammenhæng på et samlet en på et samlet en samlet en på et samlet A en sammenhæng på et samlet A en samlet en på 1 ml (378 ± 116 ng x H/ml mod 420 ± 218 ng x H/ml). Forskellen mellem AUC -midlerne var ikke statistisk signifikant.
Specifikke populationer
Pædiatri
Reclast er ikke indikeret til brug hos børn [se Pædiatrisk brug ].
Geriatri
Farmakokinetikken af zoledronsyre blev ikke påvirket af alder hos patienter med kræft og knoglemetastaser, hvis alder varierede fra 38 år til 84 år.
Race
Farmakokinetikken af zoledronsyre blev ikke påvirket af race hos patienter med kræft og knoglemetastaser.
Leverskrivning i leveren
Ingen clinical studies were conducted to evaluate the effect of hepatic impairment on the pharmacokinetics of zoledronic acid.
Nedskærmning af nyren
De farmakokinetiske undersøgelser, der blev udført hos 64 kræftpatienter, repræsenterede typiske kliniske populationer med normal til moderat nedhæmmet nyrefunktion. Sammenlignet med patienter med kreatinin-clearance større end 80 ml/min (n = 37) patienter med kreatininklarering = 50-80 ml/min (n = 15) viste en gennemsnitlig stigning i plasma-AUC 15%, hvorimod patienter med kreatinin clearance = 30-50 ml/min (n = 11) viste en gennemsnitlig stigning i plasma AUC på 43%. Ingen doseringsjustering er påkrævet hos patienter med en kreatinin -clearance på større end eller lig med 35 ml/min. Reclast er kontraindiceret hos patienter med kreatinin -clearance mindre end 35 ml/min og i dem med bevis for akut nyrefunktion på grund af en øget risiko for nyresvigt [se Kontraindikationer Advarsler og forholdsregler Brug i specifikke populationer ].
Dyrefarmakologi
Knoglesikkerhedsundersøgelser
Zoledronsyre er en potent hæmmer af osteoklastisk knogleresorption. I den ovariektomiserede rotte-single IV-doser af zoledronsyre på 4-500 mcg/kg (NULL,1 til 3,5 gange den menneskelige 5 mg intravenøs dosis baseret på kropsoverfladeareal mg/m 2 ) Undertrykt knogleomsætning og beskyttet mod trabecular knogletabskortikal tynding og reduktion i rygsøjle- og lårbensknålestyrke på en dosisafhængig måde. Ved en dosis svarende til menneskelig eksponering ved den 5 mg intravenøs dosis varede effekten i 8 måneder, hvilket svarer til ca. 8 ombyggningscyklusser eller 3 år hos mennesker.
Hos ovariektomiserede rotter og aber ugentlig behandling med zoledronsyre dosisafhængigt undertrykt knogleromsætning og forhindrede faldet i cancellous og kortikal BMD og knoglestyrke ved årlige kumulative doser op til 3,5 gange den humane 5 mg intravenøs dosis baseret på kropsoverfladeområdet Mg/m/m 2 . Knoglevævet var normalt, og der var ingen tegn på en mineraliseringsdefekt ingen ophobning af osteoid og ingen vævet knogle.
Kliniske studier
Behandling af postmenopausal osteoporose
Undersøgelse 1
Effektiviteten og sikkerheden ved genlastning i behandlingen af postmenopausal osteoporose blev demonstreret i undersøgelse 1 En randomiseret dobbeltblind placebokontrolleret multinationel undersøgelse af 7736 kvinder i alderen 65 til 89 år (middelalder på 73) med enten: en femoral hals BMD T-score mindre end eller lige med -1,5 og mindst to mild eller en moderat eksisterende, der eksisterende, eksisterende VEVTEBR brud (er); eller en lårbenshals BMD T -score mindre end eller lig med -2,5 med eller uden bevis for en eksisterende hvirvellegrefraktur (er). Kvinder blev stratificeret i to grupper: Stratum I: Ingen samtidig anvendelse af osteoporosebehandling eller stratum II: baseline samtidig anvendelse af osteoporosebehandlinger, der omfattede calcitonin raloxifen tamoxifen og hormonudskiftningsterapi, men udelukkede andre bisphosphonater.
Kvinder, der var indskrevet i stratum I (n = 5661), blev vurderet årligt for forekomst af rygsøjlefrakturer. Alle kvinder (strata I og II) blev evalueret for forekomsten af hofte og andre kliniske brud. Reclast blev administreret en gang om året i tre på hinanden følgende år som en enkelt 5 mg dosis i 100 ml opløsning tilført mindst 15 minutter i i alt tre doser. Alle kvinder modtog 1000 til 1500 mg elementær calcium plus 400 til 1200 internationale enheder med D -vitamintilskud pr. Dag.
De to primære effektivitetsvariabler var forekomsten af morfometriske vertebrale frakturer ved 3 år og forekomsten af hoftebrudd over en median varighed på 3 år. Diagnosen af en hændelses vertebral brud var baseret på både kvalitativ diagnose af radiologen og kvantitativ morfometrisk kriterium. Det morfometriske kriterium krævede den dobbelte forekomst af 2 begivenheder: et relativt højdeforhold eller relativ højdekraftreduktion i et rygsøjle på mindst 20% sammen med mindst et 4 mM absolutt fald i højden.
Effekt på rygsøjlefrakturer
Reclast reducerede forekomsten af nye vertebrale frakturer signifikant ved et to og tre år som vist i tabel 5.
Tabel 5. Andel af patienter med nye morfometriske vertebrale brud
| Resultat | Reclast (%) | Placebo (%) | Absolut reduktion i frakturforekomst % (95% der) | Relativ reduktion i frakturforekomst % (95% der) |
| Mindst en ny rygsøjlefraktur (0 til 1 år) | 1.5 | 3.7 | 2.2 (1.4 3.1) | 60 (43 72)* |
| Mindst en ny rygsøjlefraktur (0 til 2 år) | 2.2 | 7.7 | 5.5 (4.4 6.6) | 71 (62 78)* |
| Mindst en ny rygsøjlefraktur (0 til 3 år) | 3.3 | 10.9 | 7.6 (6.3 9.0) | 70 (62 76)* |
| * s <0.0001 |
Reduktionerne i vertebrale frakturer over tre år var konsistente (inklusive ny/forværring og flere vertebrale frakturer) og signifikant større end placebo uanset aldersgeografisk region baseline kropsmasseindeks antal baseline vertebrale frakturer femoral hals BMD T-score eller tidligere bisphosphonate usage.
Liste over alle betablokkeringsmedicin
Effekt på hoftebrudd over 3 år
Reclast demonstrated a 1.1% absolute reduction og 41% relative reduction in the risk of hip fractures over a median duration of follow-up of 3 years. The hip fracture event rate was 1.4% for Reclast-treated patients compared to 2.5% for placebo-treated patients.
Figur 1. Kumulativ forekomst af hoftebrudd over 3 år
|
Reduktionerne i hoftefrakturer over tre år var større for tilbagebetaling end placebo uanset lårbenshals BMD T-score.
Effekt på alle kliniske brud
Reclast demonstrated superiority to placebo in reducing the incidence of all clinical fractures clinical (symptomatic) vertebral og non-vertebral fractures (excluding finger toe facial og clinical thoracic og lumbar vertebral fractures). All clinical fractures were verified based on the radiographic og/or clinical evidence. A summary of results is presented in Table 6.
Tabel 6. Sammenligning af behandlingen af forekomsten af kliniske brudvariabler over 3 år
| Resultat | Reclast (N = 3875) Begivenhedsrate n (%) | Placebo (N = 3861) Begivenhedsrate n (%) | Absolut reduktion i frakturforekomst % (95% der)+ | Relativ risikoreduktion i frakturforekomst % (95% der) |
| Enhver klinisk brud (1) | 308 (8.4) | 456 (12.8) | 4.4 (3.0 5.8) | 33 (23 42) ** |
| Klinisk vertebral brud (2) | 19 (NULL,5) | 84 (2.6) | 2.1 (NULL,5 2.7) | 77 (63 86) ** |
| Ingenn-vertebral fracture (3) | 292 (8.0) | 388 (10.7) | 2.7 (1.4 4.0) | 25 (13 36)* |
| *p-værdi <0.001 **p-værdi <0.0001 Begivenhedsrater baseret på Kaplan-Meier-estimater på 36 måneder (1) Eksklusive fingertå og ansigtsfrakturer (2) Inkluderer kliniske thorax- og kliniske lændehvirvler (3) Ekskluderer finger tå ansigt og kliniske thorax- og lændehvirvler |
Effekt på knoglemineraltæthed (BMD)
Reclast significantly increased BMD at the lumbar spine total hip og femoral neck relative to treatment with placebo at time points 12 24 og 36 months. Treatment with Reclast resulted in a 6.7% increase in BMD at the lumbar spine 6.0% at the total hip og 5.1% at the femoral neck over 3 years as compared to placebo.
Knoglerhistologi
Benbiopsiprøver blev opnået mellem måneder 33 og 36 fra 82 postmenopausale patienter med osteoporose behandlet med 3 årlige doser af genlast. Af de opnåede biopsier var 81 tilstrækkelige til kvalitativ histomorphometry -vurdering 59 var tilstrækkelige til delvis kvantitativ histomorphometry -vurdering og 38 var tilstrækkelige til fuld kvantitativ histomorphometry -vurdering. Micro CT -analyse blev udført på 76 prøver. Kvalitative kvantitative og mikro CT -vurderinger viste knogler af normal arkitektur og kvalitet uden mineraliseringsdefekter.
Effekt på højden
I den 3-årige osteoporoseundersøgelse blev stående højde målt årligt ved hjælp af et stadiometer. Reclast -gruppen afslørede mindre højdeetab sammenlignet med placebo (henholdsvis 4,2 mm mod 7,0 mm [P <0.001]).
Undersøgelse 2
Effektiviteten og sikkerheden ved genlastning i behandlingen af patienter med osteoporose, der led en nylig lavtrauma-hoftebrudd, blev demonstreret i undersøgelse 2 en randomiseret dobbeltblind placebo-kontrolleret multinationel endepunktundersøgelse af 2127 mænd og kvinder i alderen 50 til 95 år (gennemsnitlig alder på 74,5). Samtidig osteoporosebehandlinger eksklusive andre bisphosphonater og parathyroidhormon var tilladt. Reclast blev administreret en gang om året som en enkelt 5 mg dosis i 100 ml opløsning infunderet over mindst 15 minutter. Undersøgelsen fortsatte, indtil mindst 211 patienter havde bekræftet kliniske brud i undersøgelsespopulationen. D -vitaminniveauer blev ikke rutinemæssigt målt, men en belastningsdosis D -vitamin (50000 til 125000 internationale enheder oralt eller IM) blev givet til patienter, og de blev startet på 1000 til 1500 mg elemental calcium plus 800 til 1200 internationale enheder af vitamin D -tilskud pr. Den primære effektivitetsvariabel var forekomsten af kliniske brud i undersøgelsens varighed.
Reclast significantly reduced the incidence of any clinical fracture by 35%. There was also a 46% reduction in the risk of a clinical vertebral fracture (Table 7).
Tabel 7. Sammenligning mellem behandlingen af forekomsten af nøgle kliniske brudvariabler
| Resultat | Reclast (N = 1065) Begivenhedsrate n (%) | Placebo (N = 1062) Begivenhedsrate n (%) | Absolut reduktion i frakturforekomst % (95% der) + | Relativ risikoreduktion i frakturforekomst % (95% der) |
| Enhver klinisk brud (1) | 92 (8.6) | 139 (13.9) | 5.3 (2.3 8.3) | 35 (16 50) ** |
| Klinisk vertebral brud (2) | 21 (1.7) | 39 (3.8) | 2.1 (NULL,5 3.7) | 46 (8 68)* |
| *p-værdi <0.05 **p-værdi <0.005 Begivenhedshastigheder baseret på Kaplan-Meier-estimater efter 24 måneder (1) Eksklusive fingertå og ansigtsfrakturer (2) Inklusive kliniske thorax- og kliniske lændehvirvler |
Effekt på knoglemineraltæthed (BMD)
Reclast significantly increased BMD relative to placebo at the hip og femoral neck at all timepoints (12 24 og 36 months). Treatment with Reclast resulted in a 6.4% increase in BMD at the total hip og a 4.3% increase at the femoral neck over 36 months as compared to placebo.
Forebyggelse af postmenopausal osteoporose
Effektiviteten og sikkerheden af tilbagebetalingen hos postmenopausale kvinder med osteopeni (lav knoglemasse) blev vurderet i en 2-årig randomiseret multicenter dobbeltblind placebokontrolleret undersøgelse af 581 postmenopausale kvinder i alderen større end eller lig med 45 år, der blev stratificeret med år siden menopausen: stratum I kvinder er under 5 år fra menopause (n = 224); Stratum II kvinder større end eller lig med 5 år fra overgangsalderen (n = 357). Patienter inden for stratum I og II blev randomiseret til en af tre behandlingsgrupper: (1) genlastning, der blev givet ved randomisering og ved måned 12 (n = 77) i stratum I og (n = 121) i stratum II; (2) Reclast givet ved randomisering og placebo ved måned 12 (n = 70) i stratum I og (n = 111) i stratum II; og (3) placebo givet ved randomisering og måned 12 (n = 202). Reclast blev administreret som en enkelt 5 mg dosis i 100 ml opløsning infunderet over mindst 15 minutter. Alle kvinder modtog 500 til 1200 mg elementær calcium plus 400 til 800 internationale enheder D -vitamintilskud pr. Dag. Den primære effektivitetsvariabel var den procentvise ændring af BMD ved 24 måneder i forhold til baseline.
Effekt på knoglemineraltæthed (BMD)
Reclast significantly increased lumbar spine BMD relative to placebo at Month 24 across both strata. Reclast given once at rogomization (og placebo given at Month 12) resulted in 4.0% increase in BMD in Stratum I patients og 4.8% increase in Stratum II patients over 24 months. Placebo given at rogomization og at Month 12 resulted in 2.2% decrease in BMD in Stratum I patients og 0.7% decrease in BMD in Stratum II patients over 24 months. Therefore Reclast given once at rogomization (og placebo given at Month 12) resulted in a 6.3% increase in BMD in Stratum I patients og 5.4% increase in Stratum II patients over 24 months as compared to placebo (both p <0.0001).
Reclast also significantly increased total hip BMD relative to placebo at Month 24 across both strata. Reclast given once at rogomization (og placebo given at Month 12) resulted in 2.6% increase in BMD in Stratum I patients og 2.1% in Stratum II patients over 24 months. Placebo given at rogomization og at Month 12 resulted in 2.1% decrease in BMD in Stratum I patients og 1.0% decrease in BMD in Stratum II patients over 24 months. Therefore Reclast given once at rogomization (og placebo given at Month 12) resulted in a 4.7% increase in BMD in Stratum I patients og 3.2% increase in Stratum II patients over 24 months as compared to placebo (both p <0.0001).
Osteoporose hos mænd
Effektiviteten og sikkerheden ved genlast hos mænd med osteoporose eller signifikant osteoporose sekundær til hypogonadisme blev vurderet i et randomiseret multicenter dobbeltblind aktiv kontrolleret undersøgelse af 302 mænd i alderen 25 til 86 år (middelalder på 64). Forsøgets varighed var to år. Patienter blev randomiseret til enten at blive tilbagebetalt, hvilket blev administreret en gang årligt som en 5 mg dosis i 100 ml infunderet over 15 minutter i i alt op til to doser eller til et oralt ugentligt bisphosphonat (aktiv kontrol) i op til to år. Alle deltagere modtog 1000 mg elementært calcium plus 800 til 1000 internationale enheder af D -vitamintilskud pr. Dag.
Effekt på knoglemineraltæthed (BMD)
En årlig infusion af genlast var ikke-inferiør for den orale ugentlige bisphosphonat aktiv kontrol baseret på den procentvise ændring i lændehvirvelsøjle BMD i måned 24 i forhold til baseline (Reclast: 6,1% stigning; aktiv kontrol: 6,2% stigning).
Behandling og forebyggelse af glukokortikoidinduceret osteoporose
Effektiviteten og sikkerheden ved genlastning til forebyggelse og behandling af glukokortikoidinduceret osteoporose (GIO) blev vurderet i et randomiseret multicenter dobbeltblind stratificeret aktiv kontrolleret undersøgelse af 833 mænd og kvinder i alderen 18 til 85 år (middelalder på 54,4 år) behandlet med større end eller lig med 7,5 mg/dag oral prednison (eller lige). Patienter blev lagdelt i henhold til varigheden af deres kortikosteroidbehandling før study: mindre end eller lig med 3 måneder før randomisering (forebyggelsesunderpopulation) og større end 3 måneder før randomisering (behandlingsunderpopulation). Forsøgets varighed var et år. Patienter blev randomiseret til enten at blive tilbagebetalt, hvilket blev administreret en gang som en 5 mg dosis i 100 ml infunderet over 15 minutter eller til et oralt dagligt bisphosphonat (aktiv kontrol) i et år. Alle deltagere modtog 1000 mg elementær calcium plus 400 til 1000 internationale enheder med vitamin D -tilskud pr. Dag.
Effekt på knoglemineraltæthed (BMD)
I GIO -behandlingsunderpopulationen demonstrerede Reclast en betydelig gennemsnitlig stigning i lændenes rygsøjle BMD sammenlignet med den aktive kontrol på et år (Reclast 4,1% aktiv kontrol 2,7%) med en behandlingsforskel på 1,4% (P <0.001). In the GIO prevention subpopulation Reclast demonstrated a significant mean increase in lumbar spine BMD compared to active control at one year (Reclast 2.6% active control 0.6%) with a treatment difference of 2.0% (p <0.001).
Knoglerhistologi
Benbiopsiprøver blev opnået fra 23 patienter (12 i reclast -behandlingsgruppen og 11 i den aktive kontrolbehandlingsgruppe) ved måned 12 behandlet med en årlig dosis af genlast eller daglig oral aktiv kontrol. Kvalitative vurderinger viste knogler af normal arkitektur og kvalitet uden mineraliseringsdefekter. Tilsyneladende reduktioner i aktiveringsfrekvens og ombygningshastigheder blev set sammenlignet med histomorphometry -resultaterne set med genlast i postmenopausal osteoporosepopulation. De langsigtede konsekvenser af denne grad af undertrykkelse af knoglemodellering hos glukokortikoidbehandlede patienter er ukendt.
Behandling af Pagets knoglesygdom
Reclast was studied in male og female patients with moderate to severe Paget’s disease of bone defined as serum alkaline phosphatase level at least twice the upper limit of the age-specific normal reference range at the time of study entry. Diagnosis was confirmed by radiographic evidence.
Effektiviteten af en infusion af 5 mg tilbagebetaling vs. orale daglige doser på 30 mg registrerede i 2 måneder blev demonstreret i to identisk designet 6-måneders randomiserede dobbeltblinde forsøg. Middelalderen for patienter i de to forsøg var 70 år. Treogtyve procent (93%) af patienterne var kaukasiske. Terapeutisk respons blev defineret som enten normalisering af serumalkalisk phosphatase (SAP) eller en reduktion på mindst 75% fra baseline i det samlede SAP -overskud i slutningen af 6 måneder. SAP -overskud blev defineret som forskellen mellem det målte niveau og midtpunkt for det normale interval.
I begge forsøg demonstrerede Reclast en overlegen og hurtigere terapeutisk respons sammenlignet med Risedronate og returnerede flere patienter til normale niveauer af knogleromsætning, som det fremgår af biokemiske markører for dannelse (SAP-serum N-terminal propeptid af type I-kollagen [P1NP]) og Resorption (serum CTX 1 [tværbundet C-TE-TEMPIDESPIDESPIDER I COLLAGEN] AND URINE HLEX).
De 6-måneders kombinerede data fra begge forsøg viste, at 96% (169/176) af genlast-behandlede patienter opnåede en terapeutisk respons sammenlignet med 74% (127/171) af patienter behandlet med Risedronate. De fleste tilbagebetalingspatienter opnåede en terapeutisk respons ved besøg på dag 63. Derudover ved 6 måneder opnåede 89% (156/176) af genlast-behandlede patienter normalisering af SAP-niveauer sammenlignet med 58% (99/171) af patienter, der blev behandlet med Risedronate (P <0.0001) (see Figure 2).
Figur 2. terapeutisk respons/serum Alkalisk phosphatase (SAP) normalisering over tid
|
Den terapeutiske respons på genlast var ens på tværs af demografiske og sygdoms-sværhedsgrupper defineret af kønsalder tidligere bisphosphonatbrug og sygdomsgrad. Efter 6 måneder var procentdelen af de tilbageholdte patienter, der opnåede terapeutisk respons, henholdsvis 97% og 95% i hver af de baseline-sygdomsgrupper (baseline SAP mindre end 3xuln større end eller lig med 3xuln) sammenlignet med henholdsvis 75% og 74% for den samme sygdomsgrupper af risedronat-behandlede patienter.
Hos patienter, der tidligere havde modtaget behandling med orale bisphosphonater, var terapeutiske responsrater 96% og 55% for henholdsvis genlast og risedronat. Den relativt lave risedronatrespons skyldtes den lave responsrate (7/23 30%) hos patienter, der tidligere var behandlet med Risedronate. Hos patienter blev naiv til tidligere behandling en større terapeutisk respons også observeret med genlast (98%) i forhold til Risedronate (86%). Hos patienter med symptomatisk smerte ved screening af terapeutiske responsrater var henholdsvis 94% og 70% for genlast og risedronat. For patienter uden smerter ved screening af terapeutiske responsrater var henholdsvis 100% og 82% for genlast og risedronat.
Benhistologi blev evalueret hos 7 patienter med Pagets sygdom 6 måneder efter at de blev behandlet med tilbagebetaling 5 mg. Resultater af knoglerbiopsi viste knogler af normal kvalitet uden bevis for nedsat knoglemodeling og intet bevis for mineraliseringsdefekt.
Patientoplysninger til genlast
Reclast ®
(Genklast)
(Zoledronsyre) Injektion
Læs medicinguiden, der følger med tilbagebetaling, før du begynder at tage den, og hver gang du får en påfyldning. Der kan være nye oplysninger. Denne medicinguide indtager ikke stedet for at tale med din læge om din medicinske tilstand eller behandling. Tal med din læge, hvis du har spørgsmål om Reclast.
Hvad er de vigtigste oplysninger, jeg skal vide om Reclast?
Du skal ikke modtage Reclast, hvis du allerede modtager Zometa. Både Reclast og Zometa indeholder zoledronsyre.
Reclast can cause serious side effects including:
- Lave calciumniveauer i dit blod (hypocalcæmi)
- Alvorlige nyreproblemer
- Alvorlige kæbebenproblemer (osteonecrosis)
- Usædvanlige lår knoglerfrakturer
- Knogleled eller muskelsmerter
Din læge kan ordinere calcium og D -vitamin for at hjælpe med at forhindre lave calciumniveauer i dit blod, mens du tager tilbagevenden. Tag calcium og D -vitamin, som din læge beder dig om det.
Du skal drikke mindst 2 glas væske inden for få timer, før du modtager tilbagebetaling for at reducere risikoen for nyreproblemer.
Alvorlige kæbebenproblemer kan ske, når du tager tilbagebetaling. Din læge skal undersøge din mund, inden du begynder at genindføre. Din læge kan fortælle dig at se din tandlæge, før du begynder at genindføre. Det er vigtigt for dig at udøve god mundpleje under behandling med Reclast.
Nogle mennesker har udviklet usædvanlige brud i lårbenet. Symptomer på et brud kan omfatte ny eller usædvanlig smerte i din hoftebane eller lår.
Nogle mennesker, der tager bisphosphonater, udvikler alvorlige knogleled eller muskelsmerter.
- Lave calciumniveauer i dit blod (hypocalcæmi).
Reclast may lower the calcium levels in your blood. If you have low blood calcium before you start taking Reclast it may get worse during treatment. Your low blood calcium must be treated before you take Reclast. Most people with low blood calcium levels do not have symptoms but some people may have symptoms. Call your doctor right away if you have symptoms of low blood calcium such as:
- Spasmer rykker eller kramper i dine muskler
- Følelsesløshed eller prikken i fingrene tæer eller omkring din mund
- Alvorlige nyreproblemer.
Alvorlige nyreproblemer may happen when you take Reclast. Alvorlige nyreproblemer may lead to hospitalization or kidney dialysis og can be life-threatening. Your risk of kidney problems is higher if you:
- Har allerede nyreproblemer
- Tag en vanddrivende eller vandpille
- Har ikke nok vand i din krop (dehydreret) før eller efter at du har modtaget tilbagebetaling
- er i avanceret alder, da risikoen stiger, når du bliver ældre
- Tag medicin, der er kendt for at skade dine nyrer
- Alvorlige kæbebenproblemer (osteonecrosis).
- Usædvanlige lår knoglerfrakturer.
- Knogleled eller muskelsmerter.
Ring til din læge med det samme, hvis du har nogen af disse bivirkninger.
Hvad er Reclast?
Reclast is a prescription medicine used to:
- Behandle eller forhindre osteoporose hos kvinder efter overgangsalderen . Reclast hjælper med at reducere chancen for at have en hofte- eller rygmarvsfraktur (pause).
- Forøg knoglemasse hos mænd med osteoporose.
- Behandl eller forhindrer osteoporose hos enten mænd eller kvinder, der tager kortikosteroidmedicin i mindst et år.
- Behandl visse mænd og kvinder, der har Pagets sygdom i knoglen.
Det vides ikke, hvor længe tilbagebetaling fungerer til behandling og forebyggelse af osteoporose. Du skal se din læge regelmæssigt for at afgøre, om Reclast stadig er rigtigt for dig.
Reclast is not for use in children.
Hvem skal ikke tage tilbagebetaling?
Tag ikke tilbagevenden, hvis du:
- Har lave niveauer af calcium i dit blod
- Har nyreproblemer
- Er allergiske over for zoledronsyre eller nogen af dens ingredienser. En liste over ingredienser er i slutningen af denne indlægsseddel.
Hvad skal jeg fortælle min læge, før jeg tager tilbagebetaling?
Før du begynder at genindgå, skal du huske at tale med din læge, hvis du:
- Har lavt blodkalcium.
- Har nyreproblemer.
- Havde parathyreoidea eller skjoldbruskkirtlen (kirtler i nakken).
- Har fået at vide, at du har problemer med at absorbere mineraler i din mave eller tarme (malabsorptionssyndrom) eller har fået dele af din tarm fjernet.
- Har astma (hvæsende) fra at tage aspirin.
- Planlæg at få tandkirurgi eller tænder fjernet.
- Er gravide eller planlægger at blive gravid. Reclast should not be used if you are pregnant. Det vides ikke, om Reclast kan skade din ufødte baby.
- Er amning eller planlægger at amme. Det vides ikke, om Reclast passerer ind i din mælk og kan skade din baby.
- Fortæl din læge om alle de medicin, du tager inklusive receptpligtige og receptpligtige lægemidler vitaminer og urtetilskud. Visse lægemidler kan påvirke, hvordan Reclast fungerer.
Fortæl især din læge, hvis du tager:
- En antibiotikum . Visse antibiotiske lægemidler, der kaldes aminoglycosider, kan øge effekten af genlasten til at sænke dit blodkalcium i lang tid.
- En vanddrivende eller vandpille.
- Ingenn-steroidal anti-inflammatory medicines (NSAIDS).
Bed din læge eller farmaceut om en liste over disse medicin, hvis du ikke er sikker.
Kend de medicin, du tager. Opbevar en liste over dem, og vis den for din læge og farmaceut, hver gang du får en ny medicin.
Hvordan modtager jeg tilbagebetaling?
- Din læge vil fortælle dig, hvor ofte du vil modtage tilbagebetaling.
- Reclast is given by infusion into your vein (intravenously). Your infusion should last at least 15 minutes.
- Før du modtager genlastdrink mindst 2 glas væske (såsom vand) inden for få timer som instrueret af din læge.
- Du spiser måske før din behandling med Reclast.
- Hvis du går glip af en dosis Reclast, skal du ringe til din læge eller sundhedsudbyder for at planlægge din næste dosis.
Hvad er de mulige bivirkninger af Reclast?
Reclast may cause serious side effects.
- Se Hvad er de vigtigste oplysninger, jeg skal vide om Reclast?
De mest almindelige bivirkninger af Reclast inkluderede:
- Feber
- Smerter i dine knogler led eller muskler
- Smerter i dine arme og ben
- Hovedpine
- Influenza-lignende sygdom (feber kulderystelser knogler og muskel smerter træthed)
- Kvalme
- Opkast
- Diarre
Tal med din læge om ting, du kan gøre for at hjælpe med at mindske nogle af disse bivirkninger, der kan ske med en genlastningsinfusion.
Du kan få allergiske reaktioner såsom elveblest hævelse af dine ansigtslæber tunge eller hals.
Fortæl din læge, hvis du har nogen bivirkning, der generer dig, eller som ikke forsvinder.
Dette er ikke alle de mulige bivirkninger af tilbagebetalingen. For mere information spørg din læge eller farmaceut.
Ring til din læge for medicinsk rådgivning om bivirkninger. Du kan rapportere bivirkninger til FDA på 1-800-FDA-1088.
Generel information om sikker og effektiv brug af Reclast.
Medicin er undertiden ordineret til andre formål end dem, der er anført i en medicinguide. Denne medicinguide opsummerer den vigtigste information om Reclast. Hvis du gerne vil have flere oplysninger, skal du tale med din læge. Du kan bede din læge eller farmaceut om information om Reclast, der er skrevet til sundhedspersonale.
For mere information, gå til: www.pharma.us.novartis.com eller ring 1-888-669-6682.
Hvad er ingredienserne i tilbagebetalingen?
Aktiv ingrediens: Zoledronsyre -monohydrat.
Inaktive ingredienser: Mannitol og natriumcitrat.
Denne patientinformation er godkendt af U.S. Food and Drug Administration.