Oplysningerne På Webstedet Er Ikke Medicinsk Rådgivning. Vi Sælger Ikke Noget. Nøjagtigheden Af ​​Oversættelsen Er Ikke Garanteret. Ansvarsfraskrivelse

Ruconest

Resume af lægemiddeloversigt

Hvad er Ruconest?

Ruconest (C1 esteraseinhibitor [rekombinant]) intravenøs injektion er en C1 -esteraseinhibitor [rekombinant] indikeret til behandling af akutte angreb hos voksne og unge patienter med arveligt angioødem (HAE).

Hvad er bivirkninger af Ruconest?

Ruconest

  • elveblest
  • Besvær
  • Hævelse af dine ansigtslæber tunge eller hals
  • brysttæthed
  • Hurtige hjerteslag
  • Lightheadedness
  • hvæsende
  • blå læber eller tandkød
  • Pludselig følelsesløshed eller svaghed (på den ene side af kroppen)
  • Smerter hævelse varme eller rødme i en arm eller et ben
  • Pludselig svær hovedpine
  • forvirring
  • Problemer med synstale eller balance
  • brystsmerter, mens brystet trækker ind og
  • Hurtig hjerterytme

Få medicinsk hjælp med det samme, hvis du har nogen af ​​de symptomer, der er anført ovenfor.



Almindelige bivirkninger af Ruconest inkluderer:

  • kvalme
  • diarre
  • nyser
  • hudforbrændingsfølelse eller udslæt
  • Rygsmerter
  • Ændringer i smag og
  • Spinning Sensation (Vertigo)

Søg medicinsk behandling eller ring 911 på én gang, hvis du har følgende alvorlige bivirkninger:

  • Alvorlige øjensymptomer såsom pludseligt synstab sløret synet tunnel vision øje smerter eller hævelse eller at se haloer omkring lys;
  • Alvorlige hjertesymptomer såsom hurtig uregelmæssige eller bankende hjerteslag; flagrende i brystet; åndenød; og pludselig svimmelhed letthed eller udlevering;
  • Alvorlig hovedpine forvirring sløret tale arm eller ben svaghed problemer med at gå tab af koordination føles ustabil meget stive muskler høj feber voldsom sved eller rysten.

Dette dokument indeholder ikke alle mulige bivirkninger, og andre kan forekomme. Kontakt din læge for yderligere oplysninger om bivirkninger.

Dosering til Ruconest

Den anbefalede dosis af Ruconest er 50 IE pr. Kg med maksimalt 4200 IE, der skal administreres som en langsom intravenøs injektion over ca. 5 minutter.

Hvilke stoffer stoffer eller kosttilskud interagerer med Ruconest?

Ruconest kan interagere med andre lægemidler. Fortæl din læge alle medicin og kosttilskud, du bruger.

Ruconest under graviditet og amning

Under graviditet bør Ruconest kun bruges, hvis det er ordineret. Det er ukendt, om dette stof passerer til modermælk. Kontakt din læge inden amning.

Yderligere oplysninger

Vores Ruconest (C1 esteraseinhibitor [rekombinant]) intravenøs injektions bivirkninger med lægemiddelcenter giver et omfattende overblik over tilgængelige lægemiddelinformation om de potentielle bivirkninger, når du tager denne medicin.

FDA -lægemiddelinformation

Beskrivelse for Ruconest

Ruconest er en rekombinant analog af human komplementkomponent 1 esteraseinhibitor til intravenøs injektion. Ruconest renses fra mælken af ​​transgene kaniner og leveres som en steril konserveringsfri hvid/off-white lyofiliseret pulver til rekonstitution til injektion. En IU af RHC1inH -aktivitet er defineret som ækvivalent med C1 -esteraseinhiberende aktivitet, der er til stede i 1 ml samlet normalt plasma.

Ruconest er en opløselig enkeltkædede glycoprotein indeholdende 478 aminosyrer med en molekylær masse på 68 kDa, hvoraf ca. 22% omfatter oligosaccharidstrukturer. De primære og sekundære strukturer af molekylet og målprotease-selektiviteten er i overensstemmelse med dem for plasma-afledt C1-esteraseinhibitor.

er bi -stings gode for dig

Hvert hætteglas af Ruconest indeholder 2100 IE RHC1inH 937 mg saccharose 83,3 mg natriumcitrat -dihydrat og 1,0 mg citronsyre -monohydrat. Efter rekonstitution med 14 ml sterilt vand til injektion indeholder hvert hætteglas af Ruconest 150 IE RHC1inh pr. 1 ml i en 20 mM natriumcitratbuffer med en pH på 6,8. Ruconest indeholder ikke konserveringsmidler, og hvert hætteglas er kun til engangsbrug.

Ruconest renses fra mælken fra transgene kaniner. Kaninerne opretholdes i en lukket koloni, der kontrolleres og overvåges rutinemæssigt for specifikke patogener. Den skummetmælk screenes for eventyrlige forurenende stoffer inden yderligere fremstilling. Fremstillingsprocessen er valideret for at demonstrere tilstrækkelig kapacitet til fjernelse og/eller inaktivering af vira (tabel 4). Ruconest indeholder mindre end 0,002% af værtsrelaterede urenheder.

Tabel 4: Viral reduktionskapacitet af RHC1inh -fremstillingsprocessen

Trin Virusreduktionsfaktor (Logio)
MLV a Sprog 3 Orf Fcv PPV
SP BB -kromatografi b 1.8 2.2 c 1.5 c 2.3 1.5 b
SD -inkubation b ≥ 5,8 Na d 3.7 Na Na
Q HP -kromatografi b Nt e 4.8 Nt 0.8 c 2.2
Zn FF -kromatografi b 1.1 c 3.2 c 3.3 1.9 c 0.4 c
Nanofiltrering ≥ 5,5 ≥ 6,5 ≥ 5,8 ≥ 6,9 5.8
Samlet reduktionsfaktor ≥ 13.1 ≥ 11.3 ≥ 12,8 ≥ 9.2 8.0
a MLV: Murine leukemia virus; REO-3: Reovirus type 3; Orf: Scab-mouth Orf virus; Fcv: Feline calicivirus; PPV: Porcine parvovirus;
b SP BB: SP Sepharose BB; SD: opløsningsmiddel/detergent; Q HP: Q Sepharose HP; Zn FF: Zinkchelating Sepharose FF;
c Ikke føjet til den samlede reduktionsfaktor, da uafhængighed af clearance -mekanismen ikke er blevet eksperimentelt verificeret;
d Ikke relevant, da indikeret modelvirus ikke er indhyllet;
e Ikke testet, fordi SD -kemikalier er til stede i udgangsmaterialet.

Anvendelser til Ruconest

Ruconest er en C1 -esteraseinhibitor [rekombinant] indikeret til behandling af akutte angreb hos voksne og unge patienter med arveligt angioødem (HAE).

Begrænsning af brug

Der blev ikke fastlagt effektivitet hos HAE -patienter med laryngeale angreb.

Dosering til Ruconest

Til intravenøs brug efter rekonstitution kun.

Anbefalet dosering

  • Initier behandling med Ruconest under opsyn af en kvalificeret sundhedspersonale, der opleves i behandlingen af ​​HAE.
  • På passende uddannede patienter kan selv administrere ved anerkendelse af et HAE-angreb.
  • Den anbefalede dosis af Ruconest er 50 U pr. Kg med maksimalt 4200 U, der skal administreres som en langsom intravenøs injektion over ca. 5 minutter.

Hvis angrebssymptomerne vedvarer en yderligere (anden) dosis, kan det administreres på det anbefalede dosisniveau. Overskrid ikke 4200 u pr. Dosis. Ikke mere end to doser skal administreres inden for en 24 timers periode.

Tabel 1. Anbefalet dosis af Ruconest for et akut angreb

Kropsvægt Ruconest dosis til intravenøs injektion Volumen (ml) af rekonstitueret opløsning (150 U/ml), der skal administreres
<84 kg 50 u pr. Kg Kropsvægt i kg divideret med 3
≥ 84 kg 4200 U (2 hætteglas) 28 ml

Forberedelse og håndtering

  • Opbevar Ruconest i den originale karton og beskyt mod lys inden rekonstitution.
  • Brug ikke efter udløbsdato på produkthætteglasetiketten.
  • Vand til injektion er ikke inkluderet i Ruconest -pakken.
  • Brug aseptisk teknik til at rekonstituere blandingen og til at kombinere den rekonstituerede løsning fra mere end et hætteglas (se Rekonstitution og Administration ).
  • Bland eller administrer ikke Ruconest med andre medicinske produkter eller løsninger.
  • Kasser alle delvist anvendte hætteglas efter behandling.

Rekonstitution

Hver pakke indeholder et engangs hætteglas med Ruconest. For at rekonstituere følgende er også påkrævet:

  • Sterilt vand til injektion (fortyndingsmiddel) - Mindst 14 ml pr. Hætteglas af Ruconest, der kræver rekonstitution.
  • Antiseptisk aftørring
  • Sprøjte
  • Kommercielt tilgængelig hætteglasadapter og sprøjte Luer Lock eller stor boringsnål. Hvis du bruger en sprøjte med hætteglasadapter, skal du bruge en ny hætteglasadapter til hvert hætteglas med Ruconest og fortyndingsmiddel.

Procedurerne nedenfor leveres som generelle retningslinjer for rekonstitution og administration af Ruconest.

  • Sørg for, at det ruconest hætteglas og fortyndingsmættets hætteglas er ved stuetemperatur.
  • Fjern fliphætterne fra Ruconest og fortyndingsmættets hætteglas. Behandl hætteglasstopperne med den antiseptiske aftørring og lad det tørre.
  • Brug af sprøjte/nål eller sprøjte/hætteglasadapter trækker 14 ml sterilt vand til injektion fra fortyndingshætteglasset.
  • Fjern sprøjten, og overfør fortyndingsmidlet til det ruconest hætteglas. Tilsæt fortyndingsmidlet langsomt for at undgå kraftig indflydelse på pulveret. Virvler hætteglasset langsomt for at blande og undgå skum.
  • Gentag denne procedure ved hjælp af yderligere 14 ml fortyndingsmiddel og et andet hætteglas med Ruconest.
  • Hvis den samme patient skal modtage mere end et hætteglas, kan indholdet af flere hætteglas samles til en enkelt administrationsenhed (dvs. sprøjte).
  • Undersøg Ruconest visuelt for partikler og misfarvning efter rekonstitution og før administration. Den rekonstituerede opløsning skal være farveløs klar og fri for synlige partikler. Brug ikke, hvis opløsningen er overskyet farvet eller indeholder partikler.
  • Ruconest Vial er kun til engangsbrug.
  • Brug det rekonstituerede produkt straks eller inden for 8 timer opbevaret ved 36 ° F - 46 ° F (2 ° C). Kasser delvist anvendte hætteglas.
  • Frys ikke den rekonstituerede løsning.

Administration

  • Bland ikke Ruconest med andre medicinske produkter. Administrer Ruconest med en separat infusionslinje.
  • Brug aseptisk teknik, når du administrerer Ruconest.
  • Følg anbefalede retningslinjer for venipunktur til påbegyndelse af intravenøs terapi.
  • Administrer Ruconest ved langsom intravenøs injektion over cirka 5 minutter.
  • Til selvadministration skal du give patienten instruktioner og træning til intravenøs injektion uden for en klinikindstilling, så patienter kan selv administrere Ruconest efter genkendelse af symptomer på et HAE-angreb (se Patientinformation ).
  • Efter administration kasseres øjeblikkeligt ethvert ubrugt produkt og alle brugte disponible forsyninger i overensstemmelse med lokale krav.

Hvor leveret

Doseringsformularer og styrker

  • Ruconest fås som et lyofiliseret pulver til rekonstitution til injektion i en engangsanvendelse 25 ml glashætteglas. Hvert hætteglas indeholder 2100 U af Rhc1inh.
  • Ruconest leveres i én brug 25 ml glashætteglas med en stopper (siliconiseret chlorobutylgummi) og en flip-off tætning (aluminium og farvet plast).
  • Hver karton indeholder et enkelt brugshætteglas.
  • Hvert hætteglas indeholder 2100 U rhc1inh lyofiliseret pulver til rekonstitution til injektion.

Opbevaring og håndtering

  • Opbevares i den originale pakke for at beskytte mod lys.
  • Holdbarhed: 48 måneder, når de opbevares ved 36 ° F - 77 ° F (2 ° C - 25 ° C).
  • Frys ikke.
  • Hvert hætteglas af Ruconest skal rekonstitueres med 14 ml vand til injektion (ikke leveret). Den rekonstituerede opløsning indeholder 150 U/ml rhc1inh og er klar og farveløs.
  • Hvert hætteglas med Ruconest er kun til engangsbrug. Ruconest indeholder ingen konserveringsmiddel. Ethvert produkt, der er blevet rekonstitueret, skal bruges øjeblikkeligt eller inden for 8 timer opbevares ved 36 ° F - 46 ° F (2 ° C ( Kasser delvist brugte hætteglas efter behandling.

Referencer

1. optaget T Patston Pa Patston. Inhiberingen af ​​TNK-T-PA af C1-hæmmer. Blodkoagulfibrinolyse. 2001 Jan; 12 (1): 75-7

2. Chandler Wl Alessi MC Aillaud MF Henderson P Vage P Juhan-Vague I. Clearance af vævsplasminogenaktivator (TPA) og TPA/Plasminogen-aktivatorinhibitor Type 1 (PAI-1) Kompleks: Forhold til forhøjet TPA-antigen hos patienter med høje PAI-1-aktivitetsniveauer. Cirkulation. 1997 5. august; 96 (3): 761-8.

3. Huisman LG Van Griensven JM Kluft C. Om rollen som C1-hæmmer som inhibitor af vævstype plasminogenaktivator i humant plasma. Tromb hæmost. 1995 Mar; 73 (3): 466-71.

4. Gurewich mod Pannell R. Rekombinant human C1-hæmmer forhindrer ikke-specifik proteolyse ved mutant pro-urokinase under optimal fibrinolyse. Tromb hæmost. 2009 Aug; 102 (2): 279-86.

6. Tysk medicinsk professionel lægemiddeludvalg [Medicinsk Kommission for det tyske doktorgradsråd]. Alvorlig thrombus -dannelse af Berinert® HS [alvorlig thrombi -dannelse ifølge Berinert® HS]. Tysk medicinsk blad. 2000 april 2000; 97 (udgave 15): A-1016.

7. Horstick G Berg O Heimann A Gotze O ​​Loos M Hafner G et al. Påføring af C1-esteraseinhibitor under reperfusion af iskæmisk myocardium: dosisrelateret fordelagtige kontra skadelige virkninger. Cirkulation. 2001 18. december; 104 (25): 3125-31.

Fremstillet af: Pharming Americas B.V. Darwinweg 24 2333 Cr Leiden Holland. Revideret: Mar 2018

Bivirkninger for Ruconest

Den alvorlige bivirkning i kliniske undersøgelser af Ruconest var anafylaksi.

De mest almindelige bivirkninger (≥ 2%) rapporteret i alle kliniske forsøg var hovedpine kvalme og diarré.

Kliniske forsøg oplever

Da kliniske forsøg udføres under vidt forskellige tilstande, kan de bivirkningsrater, der er observeret i de kliniske forsøg med et lægemiddel, ikke sammenlignes direkte med hastigheder i de kliniske forsøg med et andet lægemiddel og muligvis ikke afspejler de hastigheder, der er observeret i klinisk praksis.

Det Ruconest Clinical Development-program evaluerede i alt 940 administrationer i 236 forsøgspersoner (symptomatisk og ikke-symptomatisk). I kliniske studier modtog i alt 205 symptomatiske HAE -patienter behandling med Ruconest for i alt 650 akutte angioødemangreb. Blandt disse HAE -patienter blev 83 behandlet for et enkelt HAE -angreb, og 122 blev behandlet for flere angreb.

Tre randomiserede placebokontrollerede kliniske forsøg (RCT'er) blev udført, hvor 137 patienter, der oplevede akutte HAE-angreb, fik Ruconest (enten en første 50 U/kg eller 100 U/kg kropsvægtdosis) eller placebo (saltopløsning).

Tabel 2 viser alle bivirkninger (ARS) i RCT'erne sammenlignet med placebogruppen.

Tabel 2. Bivirkninger, der forekommer i ≥ 2% af forsøgspersoner i de tre RCT -undersøgelser

Meddra foretrækkede udtryk Ruconest
100 u/kg
(N = 29)
n (%)
Ruconest
50 u/kg*
(N = 66)
n (%)
Placebo **
(N = 47)
n (%)
Samlet antal patienter med bivirkninger 4 (14%) 6 (9%) 13 (28%)
Hovedpine 3 (10%) 0 2 (4%)
Nyser 0 1 (2%) 0
Angioødem 1 (3%) 0 0
Erythema marginatum 0 1 (2%) 0
Hudforbrændende fornemmelse 0 1 (2%) 0
Rygsmerter 0 2 (3%) 0
C-reaktivt protein steg 0 1 (2%) 0
Fibrin D-dimer steg 0 1 (2%) 0
Vertigo 1 (3%) 0 0
Procedurel hovedpine 0 1 (2%) 0
Lipoma 0 1 (2%) 0
* Inkluderer 5 patienter, der modtog yderligere 50 U/kg dosis Meddra: Medical Dictionary til lovgivningsmæssige aktiviteter version 15.0.
** Begivenheder, der kun forekommer hos placebo -patienter, er ikke anført.
Integrerede RCT og Open-Label Extension (OLE) undersøgelser

I alt syv RCT- og OLE -undersøgelser blev 205 patienter, der oplevede akutte HAE -angreb, behandlet med Ruconest i alt 650 HAE -angreb. Inkluderet i denne population var 124 patienter, der blev behandlet ved 50 U/kg doseringsstyrken for et eller flere angreb.

Tabel 3 viser bivirkninger hos ≥ 2% af patienterne i enhver Ruconest -gruppe for det integrerede datasæt, der kombinerer alle syv RCT- og OLE -undersøgelser hos patienter, der oplever akutte HAE -angreb.

Tabel 3. Bivirkninger i de syv RCT- og OLE-undersøgelser, der forekommer ≥ 2% af Ruconest-behandlede patienter (alle doser) uanset årsagssammenhæng

Meddra foretrækkede udtryk Alle Ruconest -doser*
N = 205
n (%)
Hovedpine 19 (9%)
Kvalme 5 (2%)
Diarre 5 (2%)
* Ruconest Doser: Doser op til 100 u/kg
Immunogenicitet

Som med alle terapeutiske proteiner er der potentiale for immunogenicitet. Prøver før og efter eksponering fra 205 HAE-patienter, der blev behandlet for 650 akutte angreb med Ruconest, blev testet for antistofferne mod plasma-afledt C1inh eller RHC1inh og for antistoffer mod værtsrelaterede urenheder (HRI). Test blev udført før og efter behandling af et første angreb og efterfølgende gentagne angreb på 7 22 eller 28 og 90 dage efter Ruconest -behandling.

Før den første eksponering for Ruconest varierede hyppigheden af ​​anti-C1inh-antistoffer fra 1,2% til 1,6% af prøverne. Efter den første eksponering varierede hyppigheden af ​​anti-C1inh-antistoffer fra 0,6% til 1,0% af de testede prøver. Efter gentagne eksponeringer varierede hyppigheden af ​​anti-C1inh-antistoffer fra 0,5 til 2,2% af de testede prøver. Hyppigheden af ​​anti-HRI-antistoffer var 1,0% i præ-eksponeringsprøver, og efter den første eksponering varierede fra 3,5% til 4,6%. Efter gentagen eksponering varierede hyppigheden af ​​anti-HRI-antistoffer fra 5,7% til 17% af prøver. Mindst 10% af forsøgspersonerne dannede en specifik antistofrespons på Ruconest efter fem behandlede HAE -angreb. Ingen anti-C1inh-neutraliserende antistoffer blev påvist. Observerede anti-C1inh og anti-HRI-antistoffer var ikke forbundet med ugunstige kliniske fund.

Påvisningen af ​​antistofdannelse er meget afhængig af følsomheden og specificiteten af ​​assayet. Derudover kan den observerede forekomst af antistof (inklusive neutraliserende antistof) positivitet i et assay påvirkes af adskillige faktorer, herunder assaymetodologi Prøvehåndteringstidspunkt for prøveopsamling Samtidig medicin og underliggende sygdom. Af disse grunde kan sammenligning af forekomsten af ​​antistoffer med Ruconest med forekomsten af ​​antistoffer mod andre produkter være vildledende.

Oplevelse af postmarketing

Fordi postmarketing rapportering af bivirkninger er frivillig, og fra en population af usikker størrelse er det ikke altid muligt at pålideligt estimere hyppigheden af ​​disse reaktioner eller etablere et årsagsforhold til produkteksponering.

Lægemiddelinteraktioner for Ruconest

Ingen oplysninger leveret

Advarsler for Ruconest

Inkluderet som en del af 'FORHOLDSREGLER' Afsnit

Forholdsregler for Ruconest

Overfølsomhed

Alvorlige overfølsomhedsreaktioner kan forekomme [se Patientinformation ]. Tegnene og symptomerne på overfølsomhedsreaktioner kan omfatte elveblest generaliseret urticaria tæthed i brystpiskende hypotension og/eller anafylaksi under eller efter injektion af Ruconest. Hvis symptomer forekommer, ophører RUCONEST og INSTITUTE passende behandling. Fordi overfølsomhedsreaktioner kan have symptomer, der ligner HAE -angreb, skal behandlingsmetoder overvejes omhyggeligt.

Tromboemboliske begivenheder

Der er rapporteret om alvorlige arterielle og venøse thromboemboliske begivenheder (TE) begivenheder ved den anbefalede dosis af plasma -afledte C1 -esteraseinhibitorprodukter hos patienter med risikofaktorer. Risikofaktorer kan omfatte tilstedeværelsen af ​​et indbygget venøst ​​kateter/adgangsenhed Forudgående historie med trombose, der ligger til grund for aterosklerose -brug af orale prævention eller visse androgener morbide fedme og immobilitet. Overvåg patienter med kendte risikofaktorer for TE -begivenheder under og efter Ruconest -administration.

Oplysninger om patientrådgivning

Rådgiv patienten om at læse den FDA-godkendte patientmærkning ( Patientinformation og Instructions for Use ).

Patienter, der behandles med Ruconest, skal modtage følgende oplysninger og instruktioner. Denne information er beregnet til at hjælpe patienten i den sikre og effektive brug af Ruconest.

  • Rådgive kvindelige patienter om at underrette deres læge, hvis de er gravide eller har til hensigt at blive gravide under behandlingen af ​​akutte angreb af HAE med Ruconest.
  • Rådgive patienter om at underrette deres læge, hvis de ammer eller planlægger at amme.
  • Informer patienter om risici og fordele ved Ruconest, før de ordinerer eller administrerer det til patienten.

Rådgiver patienter om straks at rapportere:

  • Tegn og symptomer på allergiske overfølsomhedsreaktioner, såsom elveblest urticaria Tæthed i brystpiskende hypotension og/eller anafylaksi, der opleves under eller efter injektion af Ruconest (se Advarsler og forholdsregler ).

Ikke -klinisk toksikologi

Karcinogenese mutagenese nedskrivning af fertilitet

Der er ikke udført nogen dyreforsøg for at evaluere virkningerne af Ruconest på carcinogenese og mutagenese. Fertilitet blev ikke evalueret i dyreforsøg.

Brug i specifikke populationer

Graviditet

Graviditet Category B

Undersøgelser udført hos rotter og kaniner i doser op til 12,5 gange den menneskelige dosis på 50 U/kg kunne ikke udelukke en effekt på embryofetaludvikling. Der er dog ingen tilstrækkelige og godt kontrollerede studier hos gravide kvinder. Fordi dyreproduktionsundersøgelser ikke altid er forudsigelige for menneskelig respons, skal Ruconest kun bruges under graviditet, hvis det er klart nødvendigt.

Arbejde og levering

Sikkerheden og effektiviteten af ​​Ruconest Administration før eller under fødslen og levering er ikke blevet fastlagt. Brug kun, hvis det er klart nødvendigt.

Sygeplejerske mødre

Det vides ikke, om Ruconest udskilles i human mælk. Fordi mange lægemidler udskilles i menneskelig mælkeforsyning bør udøves, når Ruconest administreres til en sygeplejekvinde.

Pædiatrisk brug

Sikkerheden og effektiviteten af ​​Ruconest blev evalueret hos 17 unge patienter (13-17 år) behandlet for 52 HAE-angreb. Otte ud af 17 (47%) unge patienter oplevede bivirkninger. Der blev ikke rapporteret om alvorlige bivirkninger hos disse patienter. De mest almindelige reaktioner (forekommer hos mindst 2 patienter) var: hovedpine af mavesmerter og oropharyngeal smerte.

Geriatrisk brug

De kliniske undersøgelser af Ruconest omfattede syv patienter over 65 år. De kliniske undersøgelser omfattede et utilstrækkeligt antal patienter i denne aldersgruppe til at afgøre, om de reagerer anderledes end yngre patienter.

Overdoseringsoplysninger til Ruconest

Ingen oplysninger leveret

Kontraindikationer for Ruconest

  • Ruconest is contraindicated in patients with a history of allergy to rabbits or rabbit-derived products.
  • Ruconest is contraindicated in patients with a history of life-threatening immediate hypersensitivity reactions to C1 esterase inhibitor preparations including anaphylaxis.

Klinisk farmakologi for Ruconest

Handlingsmekanisme

C1 esteraseinhibitor (C1inh) er en normal bestanddel af humant blod og er en af ​​serinproteaseinhibitorerne (Serpins). Den primære funktion af C1inh er at regulere aktiveringen af ​​komplement- og kontaktsystemveje. Regulering af disse systemer udføres gennem dannelse af komplekser mellem protease og inhibitor, hvilket resulterer i inaktivering af begge og forbrug af C1inh.

C1inh udøver sin inhiberende virkning ved irreversibelt at binde flere proteaser (målproteaser) af kontakt- og komplementsystemerne. Effekten af ​​Ruconest på følgende målproteaser blev vurderet In vitro : aktiveret C1s Kallikrein -faktor XIIA og faktor Xia. Inhiberingskinetik viste sig at være sammenlignelig med dem, der blev observeret for plasma-afledt human C1inh.

HAE -patienter har lave niveauer af endogen eller funktionel C1inh. Selvom begivenhederne, der inducerer angreb af angioødem hos HAE -patienter, ikke er veldefinerede, menes det, at aktivering af kontaktsystem og resulterende øget vaskulær permeabilitet fører til den kliniske manifestation af HAE -angreb. Undertrykkelse af aktivering af kontaktsystem ved C1inh gennem inaktivering af plasma -kallikrein og faktor XIIa menes at modulere vaskulær permeabilitet ved at forhindre generering af bradykinin. 5

Administration of Ruconest increases plasma levels of functional C1INH activity.

Farmakodynamik

Komplementkomponenten (protein) C4 er et substrat for aktiveret C1. Patienter med HAE har lave niveauer af C4 i cirkulationen; Ruconest viser en doseret afhængig restaurering af komplement homeostase af C4 hos HAE -patienter. En dosis på 50 U/kg Ruconest øger plasma C1inh -aktivitetsniveauerne til mere end 0,7 U/ml (den nedre grænse for normal) hos HAE -patienter.

Farmakokinetik

Farmakokinetikken af ​​Ruconest blev evalueret i en undersøgelse af 12 asymptomatiske HAE -patienter (dosis varierede fra 6,25 U/kg til 100 U/kg). Farmakokinetik-evaluering blev udført ved ikke-rumlig analyse under anvendelse af funktionelle C1inh-niveauer. Efter administration af Ruconest (50 U/kg) hos asymptomatiske HAE-patienter (tabel 5) var den gennemsnitlige Cmax 1,2 U/ml, og elimineringshalveringstiden var cirka 2,5 timer. Clearance af Ruconest var ikke-lineær (clearance faldt med stigende dosis) over dosisområdet på 25-100 U/kg.

Tabel 5. Baseline korrigerede farmakokinetiske parametre (gennemsnit ± SD) efter administration af 50 U/kg og 100 U/kg Ruconest til asymptomatiske HAE -patienter

Parametre 50 u/kg 100 u/kg
C Baseline (U/ml) 0,18 ± 0,12 0,14 ± 0,08
C max (u/ml) 1,2 ± 0,2 2,3 ± 0,2
T max (timer) 0,31 ± 0,10 0,31 ± 0,10
AUC (U X HR/ML) 3,3 ± 1,0 10,6 ± 2,5
Cl (ml/hr) 1207 ± 414 781 ± 147
Half-life (timer) 2,4 ± 0,6 2,7 ± 0,3
V ss (l) 3,0 ± 0,9 2,4 ± 0,5

Undersøgelser er ikke blevet udført for at evaluere PK for Ruconest i specielle patientpopulationer identificeret efter racealder (pædiatrisk eller geriatrisk) eller tilstedeværelsen af ​​nyre- eller levernedsættelse.

Dyretoksikologi og/eller farmakologi

Enkelt- og gentagelsesdosisundersøgelser på op til 14 dage hos rotterhunde og Cynomolgus-aber med daglige doser af Ruconest op til 80 gange den menneskelige dosis (50 U/kg) blev udført. I en 14-dages abe-toksikologiundersøgelse af intravenøse doser op til 2000 U/kg to gange dagligt blev stigninger i AST og ALP observeret i doser på 500 U/kg og højere. Ingen histopatologiske korrelater blev observeret i leveren, og stigningerne i leverenzymer var reversible. Histologiske fund inkluderede ændringer i størrelsen af ​​thymisk cortex og medulla og mikrovacuoler i epitelcellerne, der forede nyretubulierne. Den renale rørformede vakuolering var dosisafhængig, men blev ikke ledsaget af andre histologiske ændringer i nyrerne. Denne konstatering var kun delvist reversibel på det højeste dosisniveau på 2000 U/kg to gange dagligt. Det blev konkluderet, at Noael of Ruconest var 1000 U/kg to gange dagligt i denne art. Der var ingen ugunstige fund i en sikkerhedsfarmakologiundersøgelse hos hunde og en lokal toleranceundersøgelse hos kaniner. Det konkluderes, at prækliniske toksikologidata for daglige doser op til 40 gange den foreslåede humane dosis af Ruconest (50 U/kg) ikke indikerer et sikkerhedsmæssigt problem for brugen af ​​Ruconest hos mennesker.

Embryo-føtalundersøgelser er blevet udført hos kaniner og rotter i en dosis Ruconest 12,5 gange den menneskelige dosis på 50 U/kg. Hos rotter blev der ikke observeret nogen misdannede fostre. Hos kaniner blev der observeret en stigning i forekomsten af ​​føtal hjertekarfekter (NULL,12% [2 tilfælde] i behandlingsgruppen sammenlignet med 0,03% i historiske kontroller). Disse defekter betragtes som en chance for at finde, men en Ruconest-relateret effekt kan ikke udelukkes.

costa rica caribiske kyst

Kliniske studier

Sikkerheden og effektiviteten af ​​Ruconest til behandling af akutte angioødemangreb hos patienter med HAE blev etableret i undersøgelse 1 En dobbeltblind randomiseret placebokontrolleret forsøg (RCT), som omfattede en open-label-udvidelse (OLE) fase; og understøttet af resultaterne af 2 yderligere RCT'er og 2 yderligere OLE -undersøgelser.

Randomiserede kontrollerede forsøg

Sikkerheden og effektiviteten af ​​Ruconest i behandlingen af ​​akutte angreb hos patienter med arveligt angioødem blev demonstreret i en placebokontrolleret dobbeltblind randomiseret undersøgelse (undersøgelse 1). Støttende bevis for effektivitet tilvejebringes af to dobbeltblinde randomiserede placebokontrollerede undersøgelser (studier 2 og 3). Bevis for effektiviteten af ​​gentagen behandling af HAE-angreb tilvejebringes fra open-label-udvidelser (OLE) for hver af de tre randomiserede undersøgelser.

Undersøgelse 1 var et randomiseret dobbeltblindt placebokontrolleret forsøg, der omfattede en open-label-udvidelse (OLE) -fase for at vurdere effektiviteten og sikkerheden af ​​Ruconest 50 U/kg i behandlingen af ​​akutte angreb hos patienter med HAE. Femoghalvfjerds (75) voksne og unge patienter blev randomiseret (3: 2) for at modtage Ruconest 50 U/kg (n = 44) eller placebo (n = 31). Patienter varierede i alderen fra 17 til 69 år; 63% var kvinder og 37% var mandlige; 96% var kaukasiske.

Det primære effektendepunkt var tid til begyndelse af lindring af symptomer, der blev vurderet ved hjælp af patientrapporterede svar på to spørgsmål fra et spørgeskema for behandlingseffekt (TEQ). TEQ krævede patienter at vurdere sværhedsgraden af ​​deres angrebssymptomer på hvert påvirkede anatomiske sted ved hjælp af en syv-punkts skala (meget værre for meget bedre [TEQ-spørgsmål 1]) og om deres symptomer var begyndt at falde især siden modtagelse af undersøgelsesmedicinen (ja eller nej [TEQ-spørgsmål 2]). For at opnå det primære slutpunkt skulle en patient have et positivt svar på begge spørgsmål sammen med vedholdenhed af forbedring på det næste vurderingstid (dvs. det samme eller bedre svar).

Redningsbehandling med Ruconest var tilgængelig for patienter, der ikke oplevede begyndelsen af ​​lettelse på 4 timer efter undersøgelseslægemiddeladministration eller tidligere til patienter, der oplevede livstruende oropharyngeal-laryngeal angioedemsymptomer. Hvis en patient modtog en medicin, der kunne have påvirket effektivitetsevalueringen eller open-label Ruconest som redningsmedicin inden opnåelse af begyndelsen af ​​lettelse af symptomer, blev tiden til begyndelse af lettelse af symptomer censureret på sidst vurderet tidspunkt før medicinbrug.

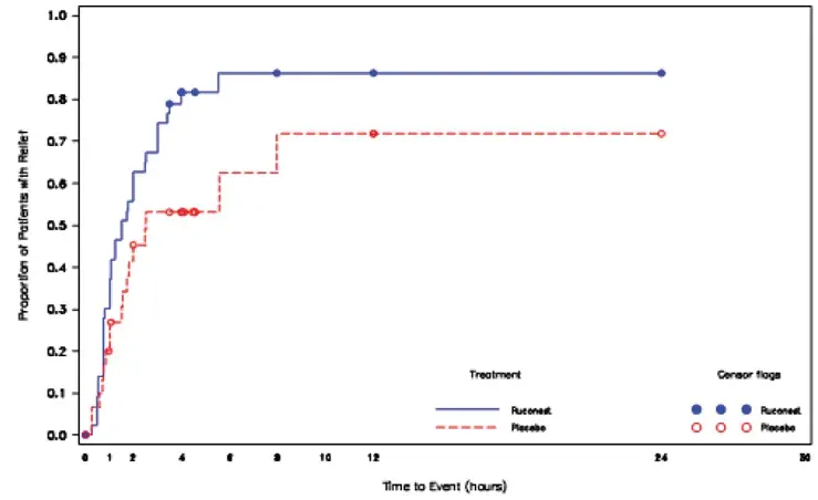
I RCT -fasen var mediantiden til begyndelse af lindring af symptomer statistisk signifikant kortere hos patienter behandlet med Ruconest 50 U/kg sammenlignet med patienter behandlet med placebo som vurderet af TEQ; (Tabel 6 Figur 1).

Tabel 6. Tid til begyndelse af lindring af symptomer baseret på spørgeskema baseret på TEQ (undersøgelse 1 RCT -fase)

Tid til begyndelse af lindring af symptomer minutter Ruconest 50 u/kg
N = 44
Placebo
N = 31
Median 90 152
95% der (61 150) (93 -)
Log-rank p-værdi 0.031
Værdier, der ikke kan estimeres, vises som '-'.

Figur 1. Kaplan-Meier plot af tid til begyndelse af lettelse af symptomer (undersøgelse 1 RCT-fase)

Blandt flere planlagte undergruppeanalyser viste beskrivende statistikker, at i amerikanske patienter var en median tid til begyndelse af lindring af symptomer med vedholdenhed på det primære angrebssted (baseret på TEQ) 98 minutter [95% CI: (45 240); n = 22] for dem, der modtager Ruconest og 90 minutter [95% CI: (50 -); n = 16] for dem, der modtager placebo. Fareforholdet for tiden til begyndelsen af ​​lindring af symptomer i denne underpopulation var 1,20 [95% CI: 0,48 til 3,01] for patientmodtagelse af Ruconest sammenlignet med patient, der modtager placebo. Ikke-amerikanske patienter, der modtog Ruconest, havde en median tid til begyndelsen af ​​lettelse på 90 minutter [95% CI: (63 120); n = 22] og ikke -amerikanske patienter, der modtog placebo, havde en median tid til begyndelsen af ​​lettelse på 334 minutter [95% CI: (150 -); n = 15]. Fareforholdet for den ikke-amerikanske undergruppe var 4,82 [95% CI: 1,58 til 14,72] for patienter, der fik Ruconest sammenlignet med placebo.

Undersøgelse af kønsundergrupper antydede en større behandlingseffekt hos mænd end kvinder. For kvinder, der modtog Ruconest, var mediantiden til begyndelsen af ​​lettelse 113 minutter [95% CI: (63 151); n = 28] og for kvinder, der modtog placebo, var mediantiden til begyndelsen af ​​lettelse 105 minutter [95% CI: (60 334); n = 19]. Fareforholdet for kvinder, der modtog Ruconest versus placebo, var 1,22 [95% CI: 0,60 til 2,48]. For mænd, der modtog Ruconest, var mediantiden til begyndelsen af ​​lettelse 75 minutter [95% CI: (45 210); n = 16] og for mænd, der modtog placebo median -tiden til begyndelsen af ​​lettelse, var 480 minutter [95% CI: (150 -) n = 12]. Fareforholdet for mænd, der modtog Ruconest versus placebo, var 3,94 [95% CI: 1,23 til 12,68].

Der blev ikke fundet nogen plausible biologiske forklaringer på de regionale eller kønsundergruppeeffekter. En mulig forklaring er en større end forventet placebo-respons blandt os kvinder. Ingen af ​​undergruppens konfidensintervaller blev justeret for mangfoldighed.

Fordi næsten alle patienterne var kaukasiske og var mellem 18 og 65 år gammel løb og aldersundergruppeanalyser blev ikke betragtet som meningsfulde.

Blandt patienter, der opnåede lettelse inden for 4 timer, var der 4 (27%) patienter i placebogruppen, der havde et tilbagefald af deres symptomer inden for 24 timer sammenlignet med 1 (3%) i Ruconest -gruppen. Andelen af ​​patienter, der modtog Ruconest som redningsmedicin, var større hos patienter, der blev randomiseret til placebo (13 af 31 patienter; 42%) end hos patienter, der blev randomiseret til Ruconest (5 af 44 patienter; 11%).

Effektiviteten af ​​Ruconest 50 U/kg for forskellige anatomiske placeringer af HAE -angreb er sammenfattet i tabel 7.

Tabel 7. Andel af patienter, der opnåede lettelse inden for 4 timer efter angrebstype

Angrebstype* Ruconest 50 u/kg
n/n (%)
Placebo
n/n (%)
Abdominal 14/16 (88%) 7/12 (58%)
Ansigt 3/6 (50%) 0/2 (0%)
Perifer (ekstremiteter) 17/20 (85%) 7/14 (50%)
* Livstruende laryngeale angreb blev udelukket fra den randomiserede kontrollerede fase af undersøgelse 1

I ole-fasen af ​​undersøgelse 1 blev patienter behandlet med open-label Ruconest 50 U/kg for gentagne angreb af HAE. Fireogfyrre patienter, der afsluttede RCT-fasen, blev tilmeldt i OLE-fasen, hvor de blev behandlet for i alt 170 angreb. I denne fase var mediantiden til begyndelsen af ​​lindring af symptomer 75 minutter (95% CI: 64 90) i overensstemmelse med resultaterne af RCT -fasen af ​​undersøgelsen (tabel 6). Resultaterne var også sammenlignelige på tværs af angreb, hvilket antydede, at effektiviteten af ​​Ruconest 50 U/kg blev opretholdt over gentagne angreb af HAE. I ole -fasen af ​​undersøgelse 1 5/170 (3%) modtog angreb en anden dosis af Ruconest 50 U/kg.

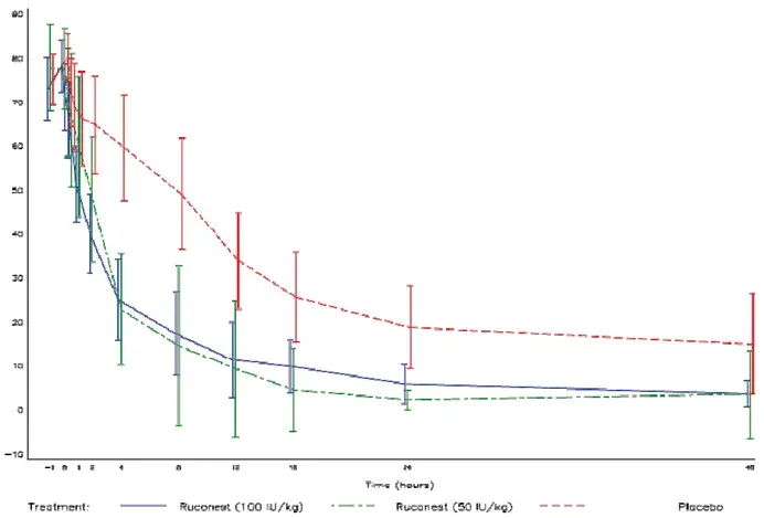
I undersøgelse 2 (nordamerikanske RCT) blev patienter randomiseret til at modtage en enkelt administration af enten Ruconest 50 U/kg (n = 12) Ruconest 100 U/kg (n = 13) eller placebo (n = 13). Patienter varierede i alderen fra 17 til 66 år; 74% var kvinder og 26% var mandlige; og 92% var kaukasiske.

I undersøgelse 3 (europæiske RCT) blev patienter randomiseret til at modtage en enkelt administration af enten Ruconest 100 U/kg (n = 16) eller placebo (n = 16). Patienter varierede i alderen fra 17 til 71 år: 53% var kvindelige og 47% var mandlige; og 100% var kaukasiske.

Patienter scorede deres symptomer ved hjælp af en visuel analog skala (VAS), der spænder fra 0-100 mm. Et VAS -fald på ≥ 20 mm sammenlignet med baseline med vedholdenhed af forbedringen ved to på hinanden følgende tidspunkter blev betragtet som begyndelsen af ​​lettelse i undersøgelser 2 og 3.

I både undersøgelse 2 og 3 blev effektiviteten af ​​Ruconest i behandlingen af ​​akutte angioødemangreb demonstreret i signifikant kortere tider til begyndelsen af ​​lettelse af symptomer baseret på VAS (figur 2).

Figur 2. Gennemsnitlige VAS -scoringer over tid med 95% konfidensintervaller (undersøgelse 2 og 3 RCT -fase)

I åbne udvidelsesundersøgelser af undersøgelse 2 og 3 119 blev patienter behandlet med Ruconest i alt 362 akutte angioødemangreb. Som observeret i undersøgelse 1 blev effektiviteten af ​​Ruconest opretholdt for gentagne angreb.

Referencer

5. Caliezi C Wuillemin wa Zeerleder s Redondo M Eisele B Hack Ce. C1-esteraseinhibitor: et antiinflammatorisk middel og dets potentielle anvendelse til behandling af andre sygdomme end arveligt angioødem. Pharmacol Rev. 2000 Mar; 52 (1): 91-112.

Patientinformation til Ruconest

Ruconest ®
(Roo-Ko-Nest)
(C1 esteraseinhibitor [rekombinant])
Lyofiliseret pulver til rekonstitution til injektion i et engangshætteglas

Denne indlægsseddel opsummerer vigtige oplysninger om Ruconest. Læs det omhyggeligt hver gang, før du bruger Ruconest. Der kan være nye oplysninger. Disse oplysninger indtager ikke stedet for at tale med din sundhedsudbyder, og de inkluderer ikke alle de vigtige oplysninger om Ruconest. Hvis du har spørgsmål efter at have læst dette, så spørg din sundhedsudbyder.

Hvad er Ruconest?

Ruconest is an injectable medicine that is used to treat acute angioedema attacks in adult og adolescent patients with Hereditary Angioødem (HAE). HAE is caused by a shortage of a protein called C1 esterase inhibitor that is present in your blood og helps control inflammation (hævelse) og parts of the immune system. A shortage of C1 esterase inhibitor can lead to repeated attacks of hævelse pain in the abdomen Besvær og other symptoms. Ruconest contains C1 esterase inhibitor.

Hvem skal ikke bruge Ruconest?

Du bør ikke bruge Ruconest, hvis du har en kendt eller mistænkt allergi (overfølsomhed) over for kaniner eller kaninafledte produkter.

Du bør ikke bruge Ruconest, hvis du har oplevet livstruende øjeblikkelige overfølsomhedsreaktioner, herunder anafylaksi til Ruconest eller til noget andet C1-esteraseinhibitorprodukt.

Ruconest is not indicated for use in children under the age of 13 years.

Hvad skal jeg fortælle min sundhedsudbyder, før jeg bruger Ruconest?

Fortæl din sundhedsudbyder om alle dine medicinske tilstande, herunder hvis du:

  • Har en allergi mod kaniner, da dette kan sætte dig i høj risiko for en alvorlig allergisk reaktion med Ruconest. Disse allergisymptomer kan omfatte løbende næse kløende næse nyser hoste vejrtrækningsvanskelighedsånding eller vandige øjne, når du er i nærheden af ​​kaniner.
  • er gravide eller planlægger at blive gravid. Det vides ikke, om Ruconest kan skade din ufødte baby.
  • er amning eller planlægger at amme. Det vides ikke, om Ruconest overføres til din mælk, og om det kan skade din baby.

Fortæl din sundhedsudbyder og farmaceut om alle de medicin, du tager, herunder al receptpligtig medicin og receptpligtig medicin, såsom medicinsk medicin-kosttilskud eller urtemediciner.

Hvordan gives Ruconest?

Ruconest will be slowly injected into your vein (intravenous injection). Before injection the Ruconest powder must be dissolved using sterile Water for Injection. The dose will be determined based on your weight.

Det meste af tiden er en enkelt dosis Ruconest nok til at behandle et angreb, men der kan være behov for en anden dosis.

Hvad er de mulige bivirkninger af Ruconest?

Som alle medicin kan Ruconest forårsage bivirkninger, selvom ikke alle får dem.

Allergiske reaktioner kan forekomme med Ruconest. Ring til din sundhedsudbyder eller akuttafdelingen straks, hvis du har nogen af ​​følgende symptomer efter at have modtaget Ruconest:

For meget magnesiumcitrat bivirkninger
  • hvæsende
  • Besvær
  • brysttæthed
  • Bliv blå (se på læber og tandkød)
  • Hurtig hjerteslag
  • hævelse
  • Svaghed
  • udslæt
  • elveblest

I kliniske studier var den mest alvorlige bivirkning rapporteret hos en person, der modtog Ruconest, en alvorlig allergisk reaktion hos et emne, der var allergisk over for kaniner.

Andre bivirkninger, som patienter, der opleves under kliniske forskningsundersøgelser, inkluderer:

  • hovedpine
  • kvalme
  • diarre

Dette er ikke alle de mulige bivirkninger af Ruconest.

Hvis nogen af ​​bivirkningerne bliver alvorlige, eller hvis du bemærker bivirkninger ikke opført I indlægssedlen skal du informere din sundhedsudbyder eller farmaceut. Du kan også rapportere bivirkninger til FDA på 1-800-FDA-1088 eller www.fda.gov/medwatch eller kontakte Pharming Healthcare Inc. på 1-800-930-5221.

Du kan bede din sundhedsudbyder om information om Ruconest, der er skrevet til sundhedsudbydere.

Generel information om Ruconest

Brug ikke Ruconest til en betingelse, som den ikke er ordineret til.

Hvis du gerne vil have flere oplysninger, skal du tale med din sundhedsudbyder. Du kan bede din sundhedsudbyder eller farmaceut om information om Ruconest, der blev skrevet til sundhedspersonale.

For mere information gå til www.ruconeest.com eller ring 1-800-930-5221.

Anbefalet forberedelse af medicin og materialer

Brug aseptisk (steril) teknik, når du forbereder og administrerer Ruconest.

Trin 1: Assemble supplies from medication box on a clean flat surface.

  • 2 ENENLEBRUG Hætteglas af Ruconest
  • Sterilt vand til injektion (fortyndingsmiddel) 14 ml pr. Hætteglas af Ruconest, der skal rekonstitueres.
  • Antiseptisk aftørrings
  • 1 sprøjte 30 ml
  • Nålfri udluftede eller ikke-ventede hætteglasadaptere (eller stor boringsnål). Brug en ny hætteglasadapter til hvert hætteglas af Ruconest og fortyndingsmiddel.

Trin 2: Inspect the Ruconest vial. Do not use if:

  • Den beskyttende cap mangler
  • Udløbsdatoen (se etiket) er gået

Trin 3: Wash hogs.

  • Vask og tør dine hænder grundigt

Doseringsverifikation

Diskuter dette afsnit med din sundhedsudbyder for at sikre, at den korrekte dosis Ruconest administreres.

  • Dosis af Ruconest og volumen (ML) af rekonstitueret opløsning, der skal administreres, er baseret på kropsvægtshow i nedenstående diagram. Ikke mere end 2 hætteglas kan kombineres til en enkelt dosis.
Kropsvægt Ruconest dose for intravenous injection Volumen (ml) af rekonstitueret opløsning (150 U/ml), der skal administreres
<84 kg (185.2 lb) 50 u pr. Kg of body weight Kropsvægt i kg divideret med 3
≥84 kg (NULL,2 lb) 4200 U (2 hætteglas) 28 ml

Rekonstitution

Procedurerne nedenfor leveres som generelle retningslinjer for rekonstitution af Ruconest.

Trin 1: Ensure that the Ruconest vials og the diluent vial are at room temperature (range of 68°F - 77°F or 20°C - 25°C).

Det ruconest hætteglas er til single

Trin 2: Place the 2 Ruconest vials og the diluent vial on a flat surface og remove the flip caps on each vial

  • Tør de hætteglasstoppere med de antiseptiske klude, der er tilvejebragt, og lad det tørre i 30 sekunder.
  • Blæs ikke på stopperne efter tørring.
  • Rør ikke ved stopperen med dine hænder, eller lad den røre ved nogen overflade.

Trin 3: Peel back the covers from the clear plastic vial adapter packages.

  • Efterlad adaptere i deres pakker.

Trin 4: While holding the adapter in its package place the first adapter over the diluent vial og press down until the device snaps into place.

  • Lad pakken være på adapteren, indtil du er klar til at fastgøre sprøjten.

Trin 5: Now place a 2nd adapter over a Ruconest vial og press down until it snaps into place.

Gentag, hvis din dosis kræver et 2. ruconest hætteglas.

Trin 6: Lift the package away from the diluent adapter.

Trin 7: Remove syringe from package og withdraw sterile water for injection from the diluent vial.

  • Med hætteglas på en flad overflade fastgør sprøjte til adapteren på fortyndingsmætteglas ved at rotere sprøjte med uret.
  • Vend fortyndingsmættets hætteglas på hovedet og trækker langsomt enten ud 14 ml (hvis du bruger 1 Ruconest Vial) eller 28 ml (hvis du bruger 2 Ruconest hætteglas) af fortyndingsmiddel til sprøjte ved forsigtigt at trække tilbage på stemplet.
  • Der vil stadig være noget fortyndingsmiddel tilbage i hætteglasset.
  • Placer det fortyndingsmætter tilbage på en plan overflade og løsn sprøjte ved forsigtigt at trække sprøjten og rotere mod uret.

Trin 8: Transfer the diluent to the Ruconest vial.

  • Fjern pakken fra adapteren tilsluttet en af ​​de ruconest hætteglas.
  • Fastgør sprøjten, der holder fortyndingsmidlet til adapteren på det ruconest hætteglas ved at indsætte spidsen i adapteråbningen, mens du skubber fast og drejer sprøjten med uret.
  • Tryk langsomt 14 ml af fortyndingsmiddel til det ruconest hætteglas.
  • Tilsæt fortyndingsmidlet langsomt for at undgå kraftig indflydelse på pulveret.
  • Bemærk: Efterlad sprøjten fastgjort til hætteglasset efter tilsætning af fortyndingsmidlet.

Trin 9: Swirl the vial to mix. Do this slowly to avoid foaming.

Gentag trin 8 og 9, hvis du bruger et andet Ruconest Vial. Fjern sprøjte fra det første ruconest hætteglas inden fastgørelse til det andet hætteglas.

Trin 10: Inspect Ruconest vial(s) visually.

  • Efter rekonstitution og før administration inspicerer de Ruconest Vials visuelt for partikler og misfarvning.
  • Den rekonstituerede opløsning skal være farveløs klar og fri for synlige partikler.
  • Brug ikke hætteglasset, hvis Det ser overskyet indeholder partikler eller har ændret farve.

Trin 11: With the syringe still connected to the Ruconest vial turn the vial upside down.

  • Træk langsomt din dosis af Ruconest tilbage ved forsigtigt at trække tilbage på stemplet.
  • Når du har trukket din dosis tilbage, skal du dreje hætteglasset højre side op og placere på en flad overflade. Frakobl sprøjten ved forsigtigt at trække og rotere mod uret.

Trin 12: Repeat Trin 11 og withdraw additional reconstituted Ruconest from the second Ruconest vial (if needed).

  • Træk kun så meget ud som det er nødvendigt baseret på din kropsvægt.
  • Frakobl sprøjten til brug som beskrevet i det næste afsnit.

Selvadministration (intravenøs injektion)

Din sundhedsudbyder lærer dig, hvordan du sikkert administrerer Ruconest. Det er vigtigt, at du injicerer Ruconest direkte i en synlig vene. Injicer ikke i omgivende væv eller en arterie. Når du lærer, hvordan du selv administrerer, skal du følge nedenstående instruktioner. Den rekonstituerede opløsning skal bruges inden for 8 timer og skal afkøles, men ikke fryses.

Trin 1: Assemble supplies.

  • Saml Ruconest -sprøjten følgende engangsforsyninger (ikke forsynet med Ruconest) og andre genstande:
    • Standard sommerfuglekateterinfusionssæt (IV -administrationssæt med vinget adapter og nål)
    • Steril sprøjte
    • Turnering
    • Steril gasbind og tape eller gennemsigtig dressing
    • Bandage (klæbende dressing)
    • Handsker (hvis anbefalet af din sundhedsudbyder)
    • Antiseptisk aftørring for cleaning skin
  • Andre genstande (ikke vist)
  • Ur eller stopur for at overvåge tid
  • Sharps eller anden bortskaffelsesbeholder
  • Behandlingsdagbog

Trin 2: Clean surface.

  • Rengør et tabel eller anden flad overflade grundigt ved hjælp af en eller flere af de antiseptiske klude.

Trin 3: Prime the infusion set.

Som instrueret af din sundhedsudbyder:

  • Til prim (fyld) infusionsslangen forbinder sprøjten fyldt med Ruconest til infusionssættetrøret og skubber forsigtigt på sprøjten stemplet for at fylde slangen med Ruconest.

Trin 4: Prepare the approved IV injection site.

  • Påfør en turnering over infusionsstedet.
  • Forbered injektionsstedet ved at tørre huden godt med en antiseptisk tørring, der begynder i midten og arbejder udad i en cirkulær bevægelse.
  • Lad stedet tørre.

Trin 5: Start infusion.

Følg instruktionerne fra din sundhedsudbyder.

  • Fjern nålekappen.
  • Hold begge vinger af sommerfuglen mellem tommelfingeren og pegefingeren med den skrå skårne (skrå) åbning af sommerfuglens nål, der peger opad.
  • Indsæt sommerfuglens nål på infusionen, der er indstillet i din vene (indsæt som flad til hudoverflade som muligt).
  • Brug steril gasbind og tape eller gennemsigtig dressing til at holde nålen på plads.
  • Sørg for, at nålen er i en vene:
    • Træk forsigtigt tilbage på sprøjten stemplet, og kontroller for at se, om blod er i slangen.
    • Hvis der er blod til stede, er nålen i en vene.
    • Hvis der ikke er noget blod, skal du fjerne nålen og gentage dette trin ved hjælp af en ny nåles nye administrationsslange og et andet injektionssted.
  • Fjern turneringen.
  • Bemærk: Injicer Ruconest langsomt over cirka 5 minutter.

Trin 6: Cover the injection site og clean up.

Efter alt er Ruconest tilført:

  • Træk sommerfuglnålen tilbage langs den linje, den blev indsat.
  • Dæk injektionsstedet med et bandage, der holder tryk på stedet i et par minutter.
  • Bortskaf alle ubrugte opløsninger tomme hætteglas og brugte nåle og sprøjte i en passende beholder, der bruges til medicinsk affald.

Post-administration

Procedurerne nedenfor leveres som generelle retningslinjer for efter infusion af Ruconest.

Registrer hver injektion i behandlingstid.

  • Registrer partiets nummer fra det Ruconest Vial -etiket.
  • Indtast datoen og tidspunktet for din injektion.

Denne patientpakkeindsats er godkendt af US Food and Drug Administration.