Oplysningerne På Webstedet Er Ikke Medicinsk Rådgivning. Vi Sælger Ikke Noget. Nøjagtigheden Af Oversættelsen Er Ikke Garanteret. Ansvarsfraskrivelse
Medikamenter
Xylocaine tandinjektion
Resume af lægemiddeloversigt
Hvad er xylocaine tandinjektion?
Xylocaine Dental Solutions (lidocaine HCL 2% og epinephrin 1: 50000 injektion) indeholder en bedøvelse og en vasokonstriktor, der bruges til produktion af lokalbedøvelse til tandprocedurer ved nerveblok eller infiltrationsteknikker. Mærkenavnet xylocaine tandlæge med epinephrin er afbrudt, men generisk Versioner kan være tilgængelige.
Hvad er bivirkninger af xylocaine tandinjektion?
Almindelige bivirkninger af xylocaine -tandløsninger (lidocaine HCL 2% og epinephrin 1: 50000 injektion) inkluderer:
- Lightheadedness
- nervøsitet
- pågribelse
- Euphoria
- forvirring
- svimmelhed
- døsighed
- ringer i ørerne
- sløret eller dobbelt syn
- opkast
- fornemmelser af varme
- kold eller følelsesløshed
- rykker
- rysten
- kramper
- bevidstløshed
- Savnet vejrtrækning
- døsighed
- Langsom eller hurtig hjerterytme
- Lavt eller højt blodtryk
- hjertebanken
- Allergiske reaktioner (elveblest hudløsheds åndenød) og
- følelsesløshed og prikken af læberne og munden.
Dosering til xylocaine -tandinjektion
Doseringen af 2% xylocaine -tandløsninger (lidocaine HCI og epinephrin) afhænger af den fysiske status for patientens område, hvor det mundtlige hulrum blev bedøvet, der bedømmes for den anvendte vaskularitet og teknikken for anæstesi, der anvendes.
Hvilke lægemiddelstoffer eller kosttilskud interagerer med xylocaine tandindsprøjtning?
Xylocaine -tandløsninger kan interagere med monoamine oxidaseinhibitorer Tricykliske antidepressiva Phenothiazines Vasopressor -lægemidler Ergot -type oxytociske lægemidler og betablokkere. Fortæl din læge alle medicin og kosttilskud, du bruger.
hvor man kan købe ivermectin til mennesker
Xylocaine tandinjektion under graviditet eller amning
Fortæl din læge, hvis du er gravid eller planlægger at blive gravid, før du bruger Xylocaine Dental Solutions; Det er ukendt, om det vil påvirke et foster. Det er ukendt, om xylocaine -tandløsning passerer til modermælk. Kontakt din læge inden amning.
Yderligere oplysninger
Vores Xylocaine Dental Solutions (Lidocaine HCL 2% og Epinephrine 1: 50000 -injektion) Bivirkninger Drug Center giver et omfattende overblik over tilgængelige lægemiddelinformation om de potentielle bivirkninger, når du tager denne medicin.
FDA -lægemiddelinformation
- Lægemiddelbeskrivelse
- Indikationer
- Bivirkninger
- Lægemiddelinteraktioner
- Advarsler
- Forholdsregler
- Overdosis
- Klinisk farmakologi
- Medicin vejledning
Beskrivelse af xylocaine
2% xylocaine tandlæge med epinephrin 1: 50000 og 2% xylocaine tandlæge med epinephrin 1: 100000 er sterile isotoniske opløsninger, der indeholder et lokalt anæstetisk middel lidocaine hydrochlorid og en vasokonstriktorepinephrin (som bitartrat) og administrerer parenteralt ved injektion. Begge opløsninger fås i enkeltdosispatroner på 1,7 ml (se Indikationer og brug til specifikke anvendelser).
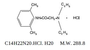
2% xylocaine-tandløsninger indeholder lidocainehydrochlorid, der er kemisk betegnet som acetamid 2- (diethylamino) -N- (26-dimethylphenyl) -monohydrochlorid og har følgende strukturelle formel:
|
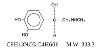
Epinephrin er (-) -34-dihydroxy-a-[(methylamino) methyl] benzylalkohol og har følgende strukturelle formel:
|
Sammensætning af de 2% xylocaine -tandinjektioner
| Brandnavn | PRODUKT IDENTIFIKATION | FORMEL | |||
| Enkelt dosispatron | |||||
| Lidocaine hydrochloridkoncentration % | Epinephrin (som bitartrat) fortynding | Natriumchlorid (mg/ml) | Kaliummetabisulfit (mg/ml) | Detat Disod (mg/ml) | |
| 2% xylocaine Dental med epinephrin 1: 50000 | 2 | 1: 50000 | 6.5 | 1.2 | 0.25 |
| 2% xylocaine Dental med epinephrin 1: 100000 | 2 | 1: 100000 | 6.5 | 1.2 | 0.25 |
| PH af de 2% xylocaine -tandopløsninger justeres til USP -grænser med natriumhydroxid. |
Anvendelser til xylocaine
2% xylocaine DENTAL Solutions are indicated for the production of local anesthesia for dental procedures by nerve block or infiltration techniques.
Kun accepterede procedurer for disse teknikker som beskrevet i standard lærebøger anbefales.
Dosering til xylocaine
Doseringen af 2% xylocaine -tandløsninger (lidocaine HCI og epinephrin) afhænger af den fysiske status for patientens område, hvor det mundtlige hulrum blev bedøvet, der bedømmes for den anvendte vaskularitet og teknikken for anæstesi, der anvendes. The least volume of solution that results in effective local anesthesia should be administered; time should be allowed between injections to observe the patient for manifestations of an adverse reaction. For specific techniques og procedures of a local anesthesia in the oral cavity refer to stogard textbooks.
For de fleste rutinemæssige tandprocedurer er 2% xylocaine tandlæge med epinephrin 1: 100000 (lidocaine HCL 2% med en 1: 100000 epinephrin -koncentration). Men når der kræves større dybde og en mere markant hæmostase, skal 2 % xylocaine -tand med epinephrin 1: 50000 (lidocaine HCL 2 % med 1: 50000 epinephrin -koncentration) anvendes.
Doseringskrav skal bestemmes på individuelt grundlag. Ved oral infiltration og / eller mandibular blokering af indledende doseringer på 1,0 - 5,0 ml (½ til 2½ cartridges) på 2% xylocaine -tandlæge (lidocaine HCI 2% opløsninger med en 1: 50000 eller en 1: 100000 epinephrinkoncentration) er normalt effektive.
Hos børn under 10 år er det sjældent nødvendigt at administrere mere end en halv patron (NULL,9- 1,0 ml eller 18-20 mg lidocaine) pr. Procedure for at opnå lokalbedøvelse til en procedure, der involverer en enkelt tand. Ved maxillær infiltration vil dette beløb ofte være tilstrækkeligt til behandlingen af to eller endda tre tænder. I den mandibulære blok vil imidlertid tilfredsstillende anæstesi opnået med denne mængde lægemiddel muliggøre behandling af tænderne på en hel kvadrant. Aspiration anbefales, da det reducerer muligheden for intravaskulær injektion og holdes forekomsten af bivirkninger og bedøvelsesfejl til et minimum. Desuden bør injektion altid laves langsomt.
Maksimale anbefalede doseringer for 2% xylocaine tandlæge (lidocaine HCL 2% opløsninger med en 1: 50000 eller en 1: 100000 epinephrin -koncentration).
Voksen
For normale raske voksne skal mængden af lidocaine -HCl indgivet holdes under 500 mg og bør under alle omstændigheder ikke overstige 7 mg/kg (NULL,2 mg/lb) kropsvægt.
Pædiatrisk
Pædiatrisk patients: It is difficult to recommend a maximum dose of any drug for pediatric patients since this varies as a function of age og weight. For pediatric patients of less than ten years who have a normal lean body mass og normal body development the maximum dose may be determined by the application of one of the stogard pediatric drug formulas (e.g. Clark's rule). For example in pediatric patients of five years weighing 50 Ibs the dose of lidocaine hydrochloride should not exceed 75- 100mg when calculated according to Clark's rule. In any case the maximum dose of lidocaine hydrochloride should not exceed 7 mg/kg (3.2 mg/lb) of body weight.
Bemærk: Parenterale lægemiddelprodukter skal inspiceres visuelt for partikler og misfarvning inden administration, hver gang løsningen og containertilladelsen. Opløsninger, der er misfarvet og eller indeholder partikler, bør ikke bruges, og nogen ubrugt del af en patron på 2% xylocaine -tand skal kasseres.
Hvor leveret
2% xylocaine DENTAL with epinephrine 1: 50000 (Lidocaine hydrochloride 2% og Epinephrine 1: 50000 injection) is available in cardboard boxes containing 5 blisters of 10 — 1.7 mL cartridges ( NDC 66312-181-16).
2% xylocaine DENTAL with epinephrine 1: 100000 (Lidocaine hydrochloride 2% og Epinephrine 1: 100000 injection) is available in cardboard boxes containing 5 blisters of 10 — 1.7 mL cartridges ( NDC 66312-176-16).
Opbevares ved kontrolleret stuetemperatur under 25 ° C (77 ° F). Beskyt mod lys. Tillad ikke at fryse.
Kasser: Til beskyttelse mod lys skal du fastholde i kassen indtil brugstidspunktet. Når den åbnede boksen, skulle boksen genindvindes ved at lukke slutflappen.
Brug ikke, hvis farve er lyserød eller mørkere end lidt gul, eller hvis den indeholder et bundfald.
Sterilisering: Opbevaring og tekniske procedurer
Hvad er den laveste dosis af Xanax
- Patroner bør ikke autoklaveres, fordi de anvendte lukninger ikke kan modstå autoklaveringstemperaturer og tryk.
- Hvis der ønskes kemisk desinfektion af anæstetiske patroner enten isopropylalkohol (91%) eller 70% ethylalkohol anbefales. Mange kommercielt tilgængelige mærker af gnidning af alkohol såvel som opløsninger af ethylalkohol, der ikke er af U.S.P -klasse, indeholder denaturanter, der er skadelige for gummi og derfor ikke skal bruges. Det anbefales, at kemisk desinfektion udføres lige inden brug ved at tørre patronhætten grundigt med et løfte om bomuld, der er fugtet med anbefalet alkohol.
- Visse metalliske ioner (kviksølv zinkkobber osv.) Har været relateret til hævelse og ødemer efter lokalbedøvelse i tandlæge. Derfor anbefales kemiske desinfektionsmidler, der indeholder eller frigiver disse ioner, ikke. Antirust -tabletter indeholder normalt natriumnitrit eller nogle lignende midler, der kan være i stand til at frigive metalioner. På grund af dette aluminiumsforseglede patroner bør ikke opbevares i sådanne opløsninger.
- Kvaternære ammoniumsalte, såsom benzalkoniumchlorid, er elektrolytisk uforenelige med aluminium. Patroner på 2% xylocaine -tand forsegles med aluminiumshætter og bør derfor ikke nedsænkes i nogen opløsning, der indeholder disse salte.
- For at undgå lækage af opløsninger under injektion skal du sørge for at trænge ind i midten af gummimembranen, når du indlæser sprøjten. En off-center penetration producerer en oval formet punktering, der tillader lækage omkring nålen. Andre årsager til lækage og brud inkluderer dårligt slidte sprøjter, der aspirerer sprøjter med bøjede harpuner, brugen af sprøjter, der ikke er designet til at tage 1,7 ml patroner og utilsigtet frysning.
- Krakning af glaspatroner er oftest resultatet af et forsøg på at bruge en patron med en ekstruderet stemplet. En ekstruderet stemplet mister sin smøring og kan kun tvinges tilbage til patronen med vanskeligheder. Patroner med ekstruderede stempler skal kasseres.
- Opbevares ved kontrolleret stuetemperatur under 25 ° C (77 ° F).
Fremstillet til: Dentsply Pharmaceutical af Novocol Pharmaceutical of Canada Inc. Cambridge Ontario Canada N1R 6x3. Revideret:. Dec 2011
Bivirkninger for Xylocaine
Bivirkninger efter administration af lidocaine er ens som dem, der er observeret med andre lokalbedøvelsesmidler af amid-type. Disse bivirkninger er generelt dosisrelaterede og kan være resultatet af høje plasmaniveauer (som kan være forårsaget af overdreven dosering af hurtig absorption utilsigtet intravaskulær injektion eller langsom metabolisk nedbrydning) injektionsteknikvolumen af injektionshypersensitivitets idiosynkrasi eller formindsket tolerance for patientens del. Alvorlige bivirkninger er generelt systemiske. Følgende typer er de mest rapporterede:
Centralnervesystem
CNS -manifestationer er exciterende og/eller depressivt middel og kan være kendetegnet ved fyrtårighed nervøsitet bekymring Eufori forvirring svimmelhed døsighed tinnitus sløret eller dobbelt syn opkastning af varme koldt eller følelsesløshed rydende rystelser krampeanvendelighedens respirationsdepression og arrest. De excitatoriske manifestationer kan være meget korte eller måske ikke forekomme overhovedet, i hvilket tilfælde den første manifestation af toksicitet kan være døsighed, der fusionerer til bevidstløshed og luftvejsstop.
Døsighed efter administration af lidocaine er normalt et tidligt tegn på et højt blodniveau af lægemidlet og kan forekomme som en konsekvens af hurtig absorption.
Kardiovaskulært system
Kardiovaskulære manifestationer som respons på lidocaine er normalt depressivt og er kendetegnet ved bradykardihypotension og hjerte -kar -sammenbrud, hvilket kan føre til hjertestop. Derudover kan den beta-adrenerg receptor-stimulerende virkning af epinephrin føre til excitatoriske kardiovaskulære responser, såsom takykardi-hjertebanken og hypertension.
Tegn og symptomer på deprimeret kardiovaskulær funktion kan ofte skyldes en vasovagal reaktion, især hvis patienten er i en lodret position. Mindre almindeligt kan de være resultatet af en direkte effekt af lægemidlet. Manglende genkendelse af de forudgående tegn, såsom at svede en følelse af svage ændringer i puls eller sensorium, kan resultere i progressiv cerebral hypoxia og anfald eller alvorlig kardiovaskulær katastrofe. Ledelsen består af at placere patienten i den liggende position og ventilation med ilt. Støttende behandling af cirkulationsdepression kan kræve indgivelse af intravenøse væsker og når det er relevant en vasopressor (f.eks. Efedrin) som instrueret af den kliniske situation.
Allergiske reaktioner
Allergiske reaktioner er kendetegnet ved kutane læsioner urticaria -ødemanafylactoidreaktioner eller dyspnø på grund af bronchokonstriktion. Allergiske reaktioner som et resultat af følsomhed over for lidocaine er ekstremt sjældne, og hvis de forekommer, skal styres på konventionelle midler. Påvisning af følsomhed ved hudtest er af tvivlsom værdi.
Neurologiske reaktioner
Forekomsterne af bivirkninger (f.eks. Vedvarende neurologisk underskud), der er forbundet med brugen af lokale anæstetika, kan være relateret til den teknik, der anvendes den samlede dosis af lokalbedøvelse, der blev administreret det særlige lægemiddel, der anvendes til indgivelsesvejen og patientens fysiske tilstand.
Vedvarende paræstesier på læbens tunge og orale væv er rapporteret ved brug af lidocaine med langsom ufuldstændig eller ingen bedring. Disse begivenheder efter markedsføring er hovedsageligt rapporteret efter nerveblokke i mandibelen og har involveret trigeminalnerven og dens grene.
Lægemiddelinteraktioner for Xylocaine
Klinisk signifikante lægemiddelinteraktioner
Administration af lokalbedøvelsesopløsninger indeholdende epinephrin eller noradrenalin til patienter, der får monoaminoxidaseinhibitorer, tricykliske antidepressiva eller phenothiaziner kan producere alvorlig langvarig hypotension eller hypertension. Samtidig brug af disse agenter bør generelt undgås. I situationer, hvor samtidig terapi er nødvendig omhyggelig patientovervågning er vigtig.
Samtidig administration af vasopressorlægemidler og oxytociske medikamenter af ergot-type kan forårsage alvorlig vedvarende hypertension eller cerebrovaskulære ulykker.
Da de 2% xylocaine-tandløsninger begge indeholder en vasokonstriktor (epinephrin) kan samtidig anvendelse af enten med et beta-adrenerg blokeringsmiddel (propranolol timolol osv.) Kan resultere i doseret afhængig hypertension og bradykardi med mulig hjerteblok.
Interaktioner om lægemiddel/laboratorieprøve
Den intramuskulære injektion af lidocaine kan resultere i en stigning i kreatinphosphokinase -niveauer. Brug af dette enzymbestemmelse uden isoenzymseparation som en diagnostisk test for tilstedeværelsen af akut myokardieinfarkt kan således blive kompromitteret af den intramuskulære injektion af lidocaine.
Advarsler for Xylocaine
Dentaludøvere, der anvender lokale bedøvelsesmidler, skal være godt bevandret i diagnose og styring af nødsituationer, der kan opstå som følge af deres anvendelse. Resuscitativt udstyr Oxygen og andre genoplivende lægemidler bør være tilgængelige til øjeblikkelig brug.
For at minimere sandsynligheden for intravaskulær injektion bør aspiration udføres, før den lokale bedøvelsesopløsning injiceres. Hvis blodet aspireres, skal nålen omplaceres, indtil der ikke kan fremkaldes nogen returnering af blod ved aspiration. Bemærk dog, at fraværet af blod i sprøjten ikke sikrer, at intravaskulær injektion vil blive undgået.
Lokale anæstetiske procedurer skal anvendes med forsigtighed, når der er betændelse og/eller sepsis i området for den foreslåede injektion.
2% xylocaine DENTAL solutions contain potassium metabisulfite a sulfite that may cause allergictype reactions including anaphylactic symptoms og life-threatening or less severe asthmatic episodes in certain susceptible people. The overall prevalence of sulfite sensitivity in the general population is unknown og probably low. Sulfite sensitivity is seen more frequently in asthmatic than in nonasthmatic people.
2% xylocaine DENTAL solution along with other local anesthetics is capable of producing methemoglobinemia. The clinical signs of methemoglobinemia are cyanosis of the nail beds og lips fatigue og weakness. If methemoglobinemia does not respond to administration of oxygen administration of methylene blue intravenously 1-2 mg/kg body weight over a 5 minute period is recommended.
American Heart Association har fremsat følgende anbefalinger vedrørende brugen af lokale anæstetika med vasokonstriktorer hos patienter med iskæmisk hjertesygdom: vasokonstriktoragenter skal bruges i lokale anæstesiopløsninger under tandpraksis, når det er klart, at proceduren vil blive forkortet, eller at analgesien er mere dybtgående. Når en vasokonstriktor er indikeret, skal der udvises ekstrem omhu for at undgå intravaskulær injektion. Den mindste mulige mængde vasokonstriktor skal bruges. (Kaplan El Editor: Cardiovascular Disease in Dental Practice Dallas 1986 American Heart Association.)
Forholdsregler for Xylocaine
Generel
Sikkerheden og effektiviteten af lidocaine afhænger af korrekt doseringskorrekt teknik tilstrækkelige forholdsregler og beredskab til nødsituationer. Se standard lærebøger for specifikke teknikker og forholdsregler for forskellige regionale bedøvelsesprocedurer. Resuscitativt udstyr Oxygen og andre genoplivende lægemidler bør være tilgængelige til øjeblikkelig brug (se Advarsler og Bivirkninger ).
Den laveste dosering, der resulterer i effektiv anæstesi, bør bruges til at undgå høje plasmaniveauer og alvorlige bivirkninger. Gentagne doser af lidocaine kan forårsage signifikante stigninger i blodniveauer med hver gentagen dosis på grund af langsom ophobning af lægemidlet eller dets metabolitter. Tolerance over for forhøjede blodniveauer varierer med patientens status. Dæmpede ældre patienter akut syge patienter og børn bør gives reducerede doser, der svarer til deres alder og fysiske tilstand.
Hvis der anvendes beroligende midler til at reducere patientens bekymring, skal reducerede doser anvendes, da lokale anæstetiske midler som beroligende midler er depressiva i centralnervesystemet, som i kombination kan have en additiv effekt. Små børn skal have minimale doser af hvert middel. Lidocaine skal bruges med forsigtighed hos patienter med svær chok eller hjerteblok. Lidocaine bør også bruges med forsigtighed hos patienter med nedsat hjerte -kar -funktion. Lokale anæstetiske løsninger, der indeholder en vasokonstriktor, skal bruges med forsigtighed i områder af kroppen leveret af slutarterier eller ellers har kompromitteret blodforsyning. Patienter med perifer vaskulær sygdom og patienter med hypertensiv vaskulær sygdom kan udvise overdrevet vasokonstriktorrespons. Iskæmisk skade (såsom eksfoliering eller ulcerating -læsioner) eller nekrose kan resultere. Præparater, der indeholder en vasokonstriktor, skal bruges med forsigtighed hos patienter under eller efter administration af potente generelle anæstetiske midler, da hjertearytmier kan forekomme under sådanne forhold.
Kardiovaskulær og respiratorisk (tilstrækkelighed af ventilation) vitale tegn og patientens bevidsthedstilstand skal overvåges efter hver lokalbedøvelsesinjektion. Restløshed angst tinnitus svimmelhed sløret syn ryster depression eller døsighed bør advare udøveren om muligheden for toksicitet i centralnervesystemet. Tegn og symptomer på deprimeret kardiovaskulær funktion kan ofte skyldes en vasovagal reaktion, især hvis patienten er i en lodret position: placering af patienten i den liggende position anbefales, når der bemærkes en negativ respons efter injektion af en lokal bedøvelse (se Bivirkninger - Kardiovaskulært system .) Vasovagal reactions may elicit a range of clinical manifestations from prodrome signs of pre-syncope (e.g. lightheadedness pallor nausea sweating visual disturbances weakness) to brief loss of consciousness (i.e. syncope).
Lidocaine skal anvendes med forsigtighed hos patienter med leversygdom, da lokalbedøvelse af amid-type metaboliseres af leveren. Patienter med svær leversygdom på grund af deres manglende evne til at metabolisere lokalbedøvelsesmidler har normalt større risiko for at udvikle giftige plasmakoncentrationer.
Mange medikamenter, der blev anvendt under udførelsen af anæstesi, betragtes som potentielle udløsende midler til familiær malign hypertermi. Da det ikke vides, om lokalanæstetika af amid-type kan udløse denne reaktion, og da behovet for supplerende generel anæstesi ikke kan forudsiges på forhånd, foreslås det, at en standardprotokol for styring skal være tilgængelig. Tidlige uforklarlige tegn på tachycardia tachypnea Labilt blodtryk og metabolisk acidose kan gå foran temperaturhøjde. Succesfuld resultat er afhængig af tidlig diagnose hurtig ophør af det mistænkte udløsende middel (er) og hurtig behandling inklusive iltbehandling Dantrolene (konsulter Dantrolene natrium intravenøs pakkeindsats inden brug) og andre understøttende foranstaltninger.
Lidocaine skal bruges med forsigtighed hos personer med kendte lægemiddelfølsomhed. Patienter, der er allergiske over for para-aminobenzoesyrederivater (Procaine tetracaine benzocaine osv.) Har ikke vist tværfølsomhed over for lidocaine.
Brug i hoved- og halsområdet
Små doser af lokale anæstetika, der blev injiceret i hoved- og halsområdet, inklusive retrobulbar tandlæge og stellate ganglionblokke, kan give bivirkninger, der ligner systemisk toksicitet set med utilsigtede intravaskulære injektioner af større doser. Forvirringskrampe respiratony depression og/eller respiratorisk arrestation og hjerte -kar -stimulering eller depression er rapporteret. Disse reaktioner kan skyldes intra-arteriel injektion af lokalbedøvelse med retrograd strømning til cerebral cirkulation. Patienter, der modtager disse blokke, skal have deres cirkulation og respiration overvåget og konstant observeres. Resuscitativt udstyr og personale til behandling af bivirkninger skal være umiddelbart tilgængelige. Doseringsanbefalinger bør ikke overskrides (se Dosering og administration ).
Karcinogenese mutagenese nedskrivning af fertilitet
Undersøgelser af lidocaine hos dyr for at evaluere det kræftfremkaldende og mutagene potentiale eller virkningen på fertilitet er ikke blevet udført.
Graviditet
Teratogene effekter
Graviditet Category B
billige smukke steder at rejse
Reproduktionsundersøgelser er blevet udført i rotter i doser op til 6,6 gange den menneskelige dosis og har ikke afsløret noget bevis for skade på fosteret forårsaget af lidocaine. Der er dog ingen tilstrækkelige og godt kontrollerede studier hos gravide kvinder. Dyreforgivelsesundersøgelser er ikke altid forudsigelige for menneskelig respons. Der bør tages generelt hensyn til denne kendsgerning, inden der administreres lidocaine til kvinder i fødedygtige potentiale, især under den tidlige graviditet, når maksimal organogenese finder sted.
Sygeplejerske mødre
Det vides ikke, om dette stof udskilles i human mælk. Fordi mange lægemidler udskilles i menneskelig mælkeforsyning bør udøves, når lidocaine administreres til en sygeplejekvinde.
Pædiatrisk Use
Doseringer i pædiatrisk population skal reduceres i overensstemmelse med alderens kropsvægt og fysisk tilstand (se Dosering og administration ).
Overdoseringsoplysninger til xylocaine
Akutte nødsituationer fra lokalbedøvelse er generelt relateret til høje plasmaniveauer, der er stødt på under terapeutisk brug af lokalbedøvelse eller til utilsigtet subarachnoidinjektion af lokal anæstetisk løsning (se Bivirkninger Advarsler og FORHOLDSREGLER ).
Håndtering af lokalbedøvelses nødsituationer
Den første overvejelse er forebyggelse bedst gennemført ved omhyggelig og konstant overvågning af kardiovaskulære og respiratoriske vitale tegn og patientens bevidsthedstilstand efter hver lokalbedøvelsesinjektion. Ved det første tegn på ændring skal ilt administreres.
Det første trin i styringen af kramper består af øjeblikkelig opmærksomhed på vedligeholdelse af en patentluftvej og assisteret eller kontrolleret ventilation med ilt og et leveringssystem, der er i stand til at tillade øjeblikkelig positiv luftvejstryk med maske.
Umiddelbart efter institutionen for disse ventilationsforanstaltninger skal cirkulationens tilstrækkelighed evalueres under hensyntagen til, at lægemidler, der bruges til at behandle kramper, undertiden nedtrykker cirkulationen, når de administreres intravenøst. Skulle kramper vedvarer på trods af tilstrækkelig åndedrætsstøtte, og hvis status for cirkulationen tillader små trin af en ultra-kortvirkende barbiturat (såsom thiopental eller thiamylal) eller en benzodiazepin (såsom diazepam) kan administreres intravenøst. Klinikeren skal være kendt inden brug af lokalbedøvelsesmidler med disse antikonvulsive medikamenter. Støttende behandling af clrculatory depression kan kræve administration af intravenøse væsker og når det er relevant en vasopressor som instrueret af den kliniske situation (f.eks. Efedrin).
Hvis det ikke behandles med det samme, kan både kramper og hjerte -kar -depression resultere i hypoxia acidosis bradycardia arytmier og hjertestop. Hvis hjertestop skulle forekomme standard kardiopulmonal genoplivningsforanstaltninger skal indføres. Endotracheal intubation, der anvender medikamenter og teknikker, som klinikeren kender, kan være indikeret efter den første administration af ilt af maske, hvis der opstår vanskeligheder ved vedligeholdelse af en patentluftvej, eller hvis der er indikeret langvarig ventilationsstøtte (assisteret eller kontrolleret).
Dialyse er af ubetydelig værdi i behandlingen af akut overdosering med lidocaine.
Den intravenøse LD50 af lidocaine HCl hos hunmus er 26 (21-31) mg /kg, og den subkutane LD50 er 264 (203-304) mg /kg.
Kontraindikationer for xylocaine
2% xylocaine DENTAL is contraindicated in patients with a known history of hypersensitivity to local anesthetics of the amide type or to any components of the injectable formulations.
Klinisk farmakologi for Xylocaine
Handlingsmekanisme
Lidocaine stabiliserer den neuronale membran ved at hæmme de ioniske fluxer, der kræves til initiering og ledning af nerveimpulser, derved påvirker lokalbedøvelsesforanstaltninger.
Indtræden og varighed af anæstesi
Når det anvendes til infiltrationsanæstesi hos tandpatienter, gennemsnitligt tidspunktet for begyndelsen mindre end to minutter for hver af de to former for xylocaine. 2% Xylocaine DENTAL with epinephrine 1:50000 (lidocaine HCl 2% solution with a 1:50000 epinephrine concentration) or 2% Xylocaine DENTAL with epinephrine 1:100000 (lidocaine HCl 2% solution with a 1:100000 epinephrine concentration) provide an average pulp anesthesia of at least 60 minutes with an average duration of soft tissue Anæstesi på cirka 2 ½ time.
Når det bruges til nerveblokke hos tandpatienter, er det i gennemsnit at blive begyndt for begge former på 2% xylocaine-tandlæge 2-4 minutter. 2% Xylocaine DENTAL with epinephrine 1:50000 (lidocaine HCl 2% solution with a 1:50000 epinephrine concentration) or 2% Xylocaine DENTAL with epinephrine 1:100000 (lidocaine HCl 2% solution with a 1:100000 epinephrine concentration) provide pulp anesthesia averaging at least 90 minutes with an average duration of soft tissue Anæstesi på 3 til 3 ¼ timer.
Hæmodynamik
Overdreven blodniveauer kan forårsage ændringer i hjerteudgangen total perifer resistens og gennemsnitligt arterielt tryk. Disse ændringer kan tilskrives en direkte depressiv virkning af det lokale bedøvelsesmiddel på forskellige komponenter i det kardiovaskulære system og/eller den beta-adrenerg receptor stimulerende virkning af epinephrin, når den er til stede.
bedste steder at bo i Athen
Farmakokinetik og stofskifte
Information, der stammer fra forskellige formuleringskoncentrationer og anvendelser, afslører, at lidocaine absorberes fuldstændigt efter parenteral administration af dens absorptionshastighed afhængigt af forskellige faktorer, såsom administrationsstedet og tilstedeværelsen eller fraværet af en vasokonstriktoragent. Bortset fra intravaskulær administration opnås de højeste blodniveauer efter intercostal nerveblok og den laveste efter subkutan administration.
Plasmabindingen af lidocaine er afhængig af lægemiddelkoncentration, og den bundet fraktion falder med stigende koncentration. Ved koncentration på 1 til 4 μg fri base pr. Ml 60 til 80 procent af lidocaine er proteinbundet. Binding er også afhængig af plasmakoncentrationen af alfa-L-syre glycoprotein.
Lidocaine krydser blod-hjerne og placentale barrierer formodentlig ved passiv diffusion.
Lidocaine metaboliseres hurtigt af leveren og metabolitterne, og uændret lægemiddel udskilles af nyrerne. Biotransformation inkluderer oxidativ N-dealkyleringsringhydroxylering af amidbinding og konjugering. N-dealkylering En vigtig vej til biotransformation giver metabolitterne monoethylglycinexylidid og glycinexylidid. De farmakologiske/toksikologiske virkninger af disse metabolitter ligner men mindre potent end lidokaine. Cirka 90% af den indgivne lidocaine udskilles i form af forskellige metabolitter, og mindre end 10% udskilles uændret. Den primære metabolit i urin er et konjugat af 4-hydroxy-2 6-dimethylanilin.
Undersøgelser af lidocaine-metabolisme efter intravenøs bolusinjektioner har vist, at elimineringshalveringstiden for dette middel typisk er 1,5 til 2,0 timer. På grund af den hurtige hastighed, hvormed lidocaine metaboliseres enhver tilstand, der påvirker leverfunktionen, kan ændre lidocainkinetik. Halveringstiden kan forlænges to gange eller mere hos patienter med leverdysfunktion. Nyredysfunktion påvirker ikke lidocaine kinetik, men kan øge akkumuleringen af metabolitter.
Faktorer såsom acidose og brugen af CNS -stimulanter og depressiva påvirker CNS -niveauerne af lidocaine, der kræves for at give åbenlyse systemiske effekter. Formål af ugunstige manifestationer bliver stadig mere tydelige med stigende venøs plasmaniveauer over 6,0 μg fri base pr. Ml. I rhesus-aben har arterielt blodniveauer på 18-21 μg/ml vist sig at være tærsklen for krampagtig aktivitet.
Patientinformation til xylocaine
Patienten skal informeres om muligheden for midlertidigt tab af sensation og muskelfunktion efter infiltration eller nerveblokinjektioner.
Patienten skal rådes til at udøve forsigtighed for at undgå utilsigtet traume på læbers tunge kind slimhinde eller blød gane, når disse strukturer bedøves. Indtagelse af mad bør derfor udsættes, indtil normal funktion vender tilbage. Patienten skal rådes til at konsultere tandlægen, hvis anæstesi fortsætter, eller hvis et udslæt udvikler sig.