Oplysningerne På Webstedet Er Ikke Medicinsk Rådgivning. Vi Sælger Ikke Noget. Nøjagtigheden Af Oversættelsen Er Ikke Garanteret. Ansvarsfraskrivelse
Acne -agenter, aktuelle kombinationer
Ziana Gel
Resume af lægemiddeloversigt
Hvad er Ziana Gel?
Ziana gel ( Clindamycin Phosphat tretinoin) er en kombination af et antibiotikum og en form for vitamin A, der bruges til behandling af svær nodulær acne hos voksne og børn, der er mindst 12 år gamle.
Hvad er bivirkninger af Ziana Gel?
Almindelige bivirkninger af Ziana Gel inkluderer:
- Hud rødme
- tørhed
- kløe
- skrælning
- mild brændende/stikkende
- midlertidig lys eller mørkning af behandlet hud eller
- Forværring af acne i løbet af de første 2 til 4 uger med at bruge medicinen.
Disse bivirkninger falder normalt med fortsat brug af Ziana -gel. Andre bivirkninger af Ziana -gel inkluderer Snerpet næse ondt i halsen hoste. Fortæl din læge, hvis du har alvorlige bivirkninger af Ziana Gel inklusive:
- Blærende skorpe alvorlig rødme brændende stikkende eller skrælning af behandling af hudområder; eller
- Diarré, der er vandig eller blodig.
Dosering til Ziana Gel
Ved sengetid klem en ærterstørrelse dosis af Ziana-gel på den ene fingerspids prik på hage kinderne næse og panden gnider derefter forsigtigt over hele ansigtet. Hold væk fra øjnene munden vinkler på næsen og slimhinderne.
Hvilke stoffer stoffer eller kosttilskud interagerer med Ziana Gel?
Ziana gel kan interagere med erythromycin Topisk (for huden) eller oral erythromycin. Andre lægemidler kan påvirke Ziana Gel Topical. Fortæl din læge alle receptpligtige og over-the-counter medicin og kosttilskud, du bruger. Under graviditet skal Ziana Gel kun bruges, når det er ordineret. Det er ukendt, om dette stof passerer til modermælk. Kontakt din læge inden amning.
Yderligere oplysninger
Vores Ziana Gel (clindamycin -phosphat tretinoin) bivirkninger Drug Center giver et omfattende overblik over tilgængelige lægemiddelinformation om de potentielle bivirkninger, når du tager denne medicin.
FDA -lægemiddelinformation
- Lægemiddelbeskrivelse
- Indikationer
- Bivirkninger
- Advarsler
- Overdosis
- Klinisk farmakologi
- Medicin vejledning
Beskrivelse til Ziana Gel
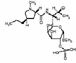
Ziana (clindamycin -phosphat 1,2% og tretinoin 0,025%) gel er et antibiotikum og retinoid kombinationsgelprodukt med to aktive ingredienser. Clindamycin-phosphat er en vandopløselig ester af den semi-syntetiske antibiotikum produceret af en 7 (S) -chlor-substitution af 7 (R) -hydroxylgruppen af det overordnede antibiotiske linomycin.
Det kemiske navn på clindamycin-phosphat er methyl 7-chlor-678-trideoxy-6- (1-methyl- Trans -4-propyl-L-2-pyrrolidinecarboxamido) -1-thio-l- retning - α -D- Galacto -Octopyranosid 2- (dihydrogenphosphat). Den strukturelle formel for clindamycin -phosphat er repræsenteret nedenfor:
Clindamycin -phosphat:
|
Molekylær formel: c 18 H 34 Cln 2 O 8 PS Molekylvægt: 504,97
Det kemiske navn på tretinoin er 37-dimethyl-9- (266-trimethyl-1-cyclohexen-1-yl) -2468-Nonatetraenoinsyre (all- Trans form). Den strukturelle formel for tretinoin er repræsenteret nedenfor:
Tretinoin:
|
Molekylær formel: c 20 H 28 O 2 Molekylvægt: 300.44
Ziana gel (clindamycin -phosphat tretinoin) indeholder følgende inaktive ingredienser: oprenset vand USP glycerin USP carbomer 981 NF methylparaben NF polysorbat 80 NF -edeat Disodium USP Citronsyre USP Propylparaben NF Boilated Hydroxytoluen Nf og Tromethamin USP.
kan hydrocodon give dig hovedpine
Bruger til Ziana Gel
Ziana gel er indikeret til den aktuelle behandling af acne vulgaris hos patienter 12 år eller ældre.
Dosering til Ziana Gel
Ved sengetid klem en ærterstørrelse af medicin på den ene fingerspids prik på hage kinderne næse og panden gnider derefter forsigtigt over hele ansigtet. Ziana gel skal holdes væk fra øjnene munden vinkler på næsen og slimhinderne.
Ziana gel er ikke til oral oftalmisk eller intravaginal anvendelse.
Hvor leveret
Doseringsformularer og styrker
Ziana Gel En kombination af et lincosamid -antibiotikum og en retinoid indeholder clindamycin -phosphat 1,2% og tretinoin 0,025% formuleret som en aktuel gel. Hvert gram Ziana-gel indeholder som dispenseret 10 mg (1%) clindamycin som fosfat og 0,25 mg (NULL,025%) tretinoin i en vandig baseret gel. Ziana Gel fås i 30 gram og 60 gram rør.
Ziana® (clindamycin -phosphat 1,2% og tretinoin 0,025%) gel leveres som følger:
30 gram rør NDC 99207-300-30
60 gram rør NDC 99207-300-60
Opbevaring og håndtering
- Opbevares ved 25 ° C (77 ° F); Udflugter tilladt til 15 ° til 30 ° C (59 ° til 86 ° F) [Se USP -kontrolleret stuetemperatur ].
- Beskyt mod lys.
- Beskyt mod frysning.
- Opbevares uden for børns rækkevidde.
- Hold dig væk fra varmen.
- Hold røret tæt lukket.
Fremstillet til: Valeant Pharmaceuticals North America LLC Bridgewater NJ 08807 USA. Af: Valeant Pharmaceuticals International Inc. Laval Quebec H7L 4A8 Canada Revideret: Mar 2017
Bivirkninger til Ziana Gel
Kliniske studier oplever
Fordi kliniske forsøg udføres under foreskrevne betingelser, der er observeret i det kliniske forsøg, muligvis ikke afspejler de satser, der er observeret i praksis. De bivirkningsoplysninger fra kliniske forsøg giver dog et grundlag for at identificere de bivirkninger, der ser ud til at være relateret til lægemiddelbrug til tilnærmelse af hastigheder.
Sikkerhedsdataene præsenteret i tabel 1 (nedenfor) afspejler eksponering for Ziana -gel hos 1853 patienter med acne vulgaris. Patienterne var 12 år og ældre og blev behandlet en gang dagligt i 12 uger. Bivirkninger, der blev rapporteret hos ≥1% af patienterne behandlet med Ziana -gel, blev sammenlignet med bivirkninger hos patienter behandlet med clindamycin -phosphat 1,2% i køretøjets gel tretinoin 0,025% i køretøjets gel og køretøjets gel alene:
Tabel 1: Bivirkninger rapporteret hos mindst 1% af patienterne behandlet med Ziana Gel: 12-ugers undersøgelser
| Ziana Gel N = 1853 n (%) | Clindamycin N = 1428 n (%) | Tretinoin N = 846 n (%) | Køretøj N = 423 n (%) | |
| Patienter med mindst en AR | 497 (27) | 342 (24) | 225 (27) | 91 (22) |
| Nasopharyngitis | 65 (4) | 64 (5) | 16 (2) | 5 (1) |
| Pharyngolaryngeal smerte | 29 (2) | 18 (1) | 5 (1) | 7 (2) |
| Tør hud | 23 (1) | 7 (1) | 3 ( <1) | 0 (0) |
| Hoste | 19 (1) | 21 (2) | 9 (1) | 2 (1) |
| Bihulebetændelse | 19 (1) | 19 (1) | 15 (2) | 4 (1) |
| Bemærk: Formuleringer, der blev brugt i alle behandlingsarme, var i Ziana Vehicle Gel. |
Evalueringer af kutan sikkerhed og tolerance blev udført ved hvert undersøgelsesbesøg i alle de kliniske forsøg ved vurdering af erythema skalering kløeforbrænding og stikkende:
Tabel 2: Ziana gelbehandlede patienter med lokale hudreaktioner
| Lokal reaktion | Baseline N = 1835 n (%) | Slut på behandlingen N = 1614 n (%) |
| Erythema | 636 (35) | 416 (26) |
| Skalering | 237 (13) | 280 (17) |
| Kløe | 189 (10) | 70 (4) |
| Brændende | 38 (2) | 56 (4) |
| Stikkende | 33 (2) | 27 (2) |
På hver undersøgelse kan du besøge applikationsstedets reaktioner på en skala fra 0 (ingen) 1 (mild) 2 (moderat) og 3 (svær), og de gennemsnitlige scoringer blev beregnet for hver af de lokale hudreaktioner. I undersøgelser 1 og 2 1277 var forsøgspersoner indskrevet med moderat til svær acne 854 forsøgspersoner behandlet med Ziana Gel og 423 behandlet med køretøjet. Analyse i den 12-ugers periode demonstrerede, at kutan irritationsresultater for erythema skalering af kløeforbrænding og stikkende toppede ved 2 ugers terapi og var lidt højere for den Ziana-behandlede gruppe, der faldt derefter.
En open-label 12-måneders sikkerhedsundersøgelse for Ziana Gel viste en lignende bivirkningsprofil, som det ses i de 12-ugers undersøgelser. Atten ud af 442 forsøgspersoner (4%) rapporterede gastrointestinale symptomer.
Lægemiddelinteraktioner for Ziana Gel
Samtidig topisk medicin
Samtidig topisk medicin medicinsk eller slibende sæber og rengøringsmidler sæber og kosmetik, der har en stærk tørringseffekt, og produkter med høje koncentrationer af alkohol -astrende krydderier eller kalk bør bruges med forsigtighed. Når det bruges sammen med Ziana -gel, kan der være øget hudirritation.
Erythromycin
Ziana Gel should not be used in combination with erythromycin-containing products due to its Clindamycin component. In vitro studies have shown antagonism between these two antimicrobials. The clinical significance of this in vitro antagonism is not known.
Neuromuskulære blokeringsmidler
Clindamycin has been shown to have neuromuscular blocking properties that may enhance the action of other neuromuscular blocking agents. Therefore Ziana Gel should be used with caution in patients receiving such agents.
Advarsler for Ziana Gel
Inkluderet som en del af FORHOLDSREGLER afsnit.
Forholdsregler for Ziana Gel
Colitis
Systemisk absorption af clindamycin er blevet påvist efter topisk anvendelse af dette produkt. Diarré blodige diarré og colitis (inklusive pseudomembranøs colitis) er rapporteret ved anvendelse af topisk clindamycin. Når der forekommer signifikant diarré, skal ziana gel afbrydes.
Alvorlig colitis har forekommet efter oral eller parenteral administration af clindamycin med en begyndelse på op til flere uger efter ophør af terapi. Antiperistaltiske midler, såsom opiater og diphenoxylat med atropin, kan forlænge og/eller forværre alvorlig colitis. Alvorlig colitis kan resultere i død.
Undersøgelser viser, at en toksin (er) produceret af Clostridia er en primær årsag til antibiotikasassocieret colitis. Colitis er normalt kendetegnet ved alvorlig vedvarende diarré og alvorlige abdominale kramper og kan være forbundet med passagen af blod og slim. Afføringskulturer til Clostridium difficile og afføringsassay til C. vanskelig Toksin kan være nyttigt diagnostisk.
Hvad bruges buspiron 5 mg til
Ultraviolet lys og miljøeksponering
Eksponering for sollys inklusive sollygter bør undgås under brugen af Ziana -gel, og patienter med solskoldning bør rådes til ikke at bruge produktet, før de er fuldt ud, der er genvundet på grund af øget følsomhed for sollys som et resultat af brugen af tretinoin. Patienter, der kan være forpligtet til at have betydelig soleksponering på grund af besættelse, og patienter med iboende følsomhed over for solen, bør udvise særlig forsigtighed. Daglig brug af solcreme -produkter og beskyttende tøj (f.eks. En hat) anbefales. Vejrekstremer, såsom vind eller kulde, kan også være irriterende for patienter under behandling med Ziana Gel.
Oplysninger om patientrådgivning
Rådgiv patienten om at læse den FDA-godkendte patientmærkning ( Patientinformation ).
Brug til brug
- Ved sengetid skal ansigtet vaskes forsigtigt med en mild sæbe og varmt vand. Efter at have klappet huden tør påfør Ziana Gel som et tyndt lag over hele ansigtet (ekskl. Øjne og læberne).
- Patienter bør rådes til ikke at bruge mere end det anbefalede ærterstore beløb og ikke til at anvende oftere end en gang dagligt (ved sengetid), da dette ikke vil gøre for hurtigere resultater og kan øge irritationen.
- En solcreme skal påføres hver morgen og genanvendes i løbet af dagen efter behov. Patienter bør rådes til at undgå eksponering for sollys sollamp ultraviolet lys og andre lægemidler, der kan øge følsomheden over for sollys.
Hudirritation
Ziana Gel may cause irritation such as erythema scaling kløe burning or stinging.
Colitis
I tilfælde af at en patient, der er behandlet med Ziana -gel, oplever alvorlig diarré eller gastrointestinal ubehag, skal ziana gel afbrydes, og en læge skal kontaktes.
Ikke -klinisk toksikologi
Karcinogenese mutagenese nedskrivning af fertilitet
Karcinogenicitetsmutagenicitet og svækkelse af fertilitetstest af Ziana -gel er ikke blevet udført i nogen art.
Clindamycin
Karcinogeniciteten af en 1% clindamycin -phosphatgel svarende til Ziana -gel blev evalueret ved daglig anvendelse på mus i 2 år. De daglige doser, der blev anvendt i denne undersøgelse, var ca. 13 og 72 gange højere end den humane dosis af clindamycin -phosphat fra Ziana -gel, idet de antog fuldstændig absorption og baseret på sammenligning af kropsoverfladeareal. Der blev ikke observeret nogen signifikant stigning i tumorer hos de behandlede dyr. Med henblik på sammenligning af dyreeksponeringen for human eksponering er den anbefalede humane aktuelle kliniske dosis defineret som 1 g Ziana -gel påført dagligt til en 60 kg person.
Fertilitet (segment 1) undersøgelser af rotter behandlet oralt med op til 300 mg/kg/dag clindamycin (ca. 290 gange mængden af clindamycin leveret fra den anbefalede kliniske dosis for Ziana -gel baseret på kropsoverfladeareals sammenligning) afslørede ingen effekter på frugtbarhed eller parringsevne.
Tretinoin
I to uafhængige undersøgelser med langvarig topisk anvendelse af tretinoin i musekarcinogenicitet blev ikke observeret. I begge undersøgelser blev tretinoin administreret topisk (NULL,025% eller 0,1%) tre gange om ugen i op til 2 år. Der blev ikke observeret nogen kræftfremkaldelse med maksimale virkninger af dermal amyloidose i det basale lag af huden.
Tretinoin has been shown to enhance photo co-carcinogenicity in properly performed specific studies employing concurrent or intercurrent exposure to the drug and UV radiation. The contribution of Clindamycin to that effect is unknown. Although the significance of these studies to humans is not clear patients should minimize exposure to sun.
Det genotoksiske potentiale af tretinoin blev evalueret i en in vitro Ames Salmonella -reversionstest og en in vitro -kromosomal aberrationsassay i kinesiske hamster -ovarieceller. Begge test var negative.
I orale segment 1-undersøgelser i rotter behandlet med tretinoin var den ikke-observerede effektniveau 2 mg/kg/dag (~ 78 gange den anbefalede kliniske dosis under forudsætning af 100% absorption og baseret på sammenligning af kropsoverfladearealet).
bogota bogota colombia
Brug i specifikke populationer
Graviditet
Graviditet Category C. There are no well-controlled trials in pregnant women treated with Ziana Gel. Ziana Gel should be used during pregnancy only if the potential benefit justifies the potential risk to the fetus. Ziana Gel was tested for maternal and developmental toxicity in New Zealand White Rabbits with topical doses of 60 180 and 600 mg/kg/day. Ziana Gel at 600 mg/kg/day (approximately 12 times the recommended clinical dose assuming 100% absorption and based on body surface area comparison) was considered to be the no-observed-adverse-effect level (NOAEL) for maternal and developmental toxicity following dermal administration of Ziana Gel for 2 weeks prior to artificial insemination and continuing until gestation day 18 inclusive. For purposes of comparisons of the animal exposure to human exposure the recommended clinical dose is defined as 1 g of Ziana Gel applied daily to a 60 kg person.
Clindamycin
Teratology (segment II) -undersøgelser ved anvendelse af clindamycin blev udført oralt i rotter (op til 600 mg/kg/dag) og mus (op til 100 mg/kg/dag) (583 og 49 gange mængde clindamycin i den anbefalede kliniske dosis baseret på kropsoverfladeområdet sammenligning) eller med subcutane doser af clindamycin op til 180 MG/KG baseret på kropsoverfladeområdet ( 88 gange mængden af clindamycin i den anbefalede kliniske dosis baseret på henholdsvis kropsoverfladeareal) afslørede ingen tegn på teratogenicitet.
Tretinoin
I orale segment III -undersøgelser i rotter med tretinoin reducerede overlevelsen af nyfødte og væksthæmning blev observeret ved doser på over 2 mg/kg/dag (~ 78 gange den anbefalede kliniske dosis under forudsætning af 100% absorption og baseret på sammenligning af kropsoverfladeareal).
Med udbredt brug af ethvert lægemiddel ville et lille antal fødselsdefektrapporter, der midlertidigt er forbundet med administrationen af lægemidlet, forventes ved en tilfældighed alene. Der er rapporteret om tredive tilfælde af midlertidigt tilknyttede medfødte misdannelser i løbet af to årtier med klinisk anvendelse af en anden formulering af topisk tretinoin. Selvom der ikke er etableret noget bestemt mønster af teratogenicitet og ingen årsagssammenhæng fra disse tilfælde, beskriver fem af rapporterne den sjældne fødselsdefektkategori holoprosencephaly (defekter forbundet med ufuldstændig midtlinieudvikling af forhjernen). Betydningen af disse spontane rapporter med hensyn til risiko for fosteret er ikke kendt.
Dermal tretinoin har vist sig at være fetotoksisk hos kaniner, når de administreres i doser 40 gange den anbefalede humane kliniske dosis baseret på sammenligning af kropsoverfladeareal. Oral tretinoin har vist sig at være fetotoksisk hos rotter, når de administreres i doser 78 gange den anbefalede kliniske dosis baseret på sammenligning af kropsoverfladeareal.
Sygeplejerske mødre
Det vides ikke, om clindamycin udskilles i human mælk efter brug af Ziana Gel. Imidlertid er det rapporteret, at oralt og parenteralt administreret clindamycin vises i modermælk. På grund af potentialet for alvorlige bivirkninger hos sygeplejebørn bør der træffes en beslutning om at afbryde sygepleje eller at afbryde lægemidlet under hensyntagen til betydningen af stoffet for moren. Det vides ikke, om Tretinoin udskilles i human mælk. Fordi mange lægemidler udskilles i menneskelig mælkens forsigtighed bør udøves, når Ziana Gel administreres til en sygeplejekvinde.
Pædiatrisk brug
Sikkerhed og effektivitet af Ziana -gel hos pædiatriske patienter under 12 år er ikke blevet fastlagt. Kliniske forsøg med Ziana -gel inkluderede patienter 12 år 17 år gammel. [Se Kliniske studier ]
Geriatrisk brug
Kliniske undersøgelser af Ziana Gel inkluderede ikke tilstrækkeligt antal forsøgspersoner i alderen 65 år og derover for at afgøre, om de reagerer forskelligt fra yngre emner.
Overdoseringsoplysninger til Ziana Gel
Ingen oplysninger leveret
Kontraindikationer for Ziana Gel
Ziana Gel is contraindicated in patients with regional enteritis ulcerative colitis or history of antibiotic-associated colitis.
Klinisk farmakologi for Ziana Gel
Handlingsmekanismer
Clindamycin
[Se Mikrobiologi ]
Tretinoin
Selvom den nøjagtige virkningsmåde for tretinoin er ukendt, antyder de nuværende beviser, at topisk tretinoin reducerer sammenhængen af follikulære epitelceller med nedsat mikrocomedodannelse.
Derudover stimulerer tretinoin mitotisk aktivitet og øget omsætning af follikulære epitelceller, der forårsager ekstrudering af komedonerne.
GC 101
Farmakokinetik
I en open-label-undersøgelse af multiple-dosis, der behandler 12 forsøgspersoner med moderat til svær acne, var den perkutane absorption af tretinoin efter 14 på hinanden følgende daglige anvendelser på ca. 4 g Ziana-gel minimal. Kvantificerbare tretinoinplasmakoncentrationer varierede fra 1,0 til 1,6 ng/ml med ukantificerbare plasmakoncentrationer i 50% til 92% af forsøgspersoner til et givet tidspunkt efter administration. Plasmakoncentrationerne af de vigtigste tretinoinmetabolitter 13-cis-retinosyre og 4-oxo-13-cis-retinosyre varierede fra henholdsvis 1,0 til 1,4 ng/ml og fra 1,6 til 6,5 ng/ml. Plasmakoncentrationer for clindamycin oversteg generelt ikke 3,5 ng/ml med undtagelse af et individ, hvis plasmakoncentration nåede 13,1 ng/ml.
Mikrobiologi
Clindamycin binds to the 50S ribosomal subunits of susceptible bacteria and prevents elongation of peptide chains by interfering with peptidyl Transfer thereby suppressing bacterial protein synthesis. Clindamycin has been shown to have in vitro activity against Propionibacterium acnes en organisme, der har været forbundet med acne vulgaris; dog den kliniske betydning af denne aktivitet mod P. Acnes blev ikke undersøgt i kliniske forsøg med Ziana Gel. P. Acnes Modstand mod clindamycin er blevet dokumenteret. Modstand mod clindamycin er ofte forbundet med resistens over for erythromycin.
Kliniske studier
Sikkerheden og effektiviteten af en gang daglig brug af Ziana-gel til behandling af acne vulgaris blev vurderet i tre 12-ugers potentielle multicenter randomiserede blindede studier hos patienter 12 år og ældre. Undersøgelser 1 og 2 var af identisk design og sammenlignede Ziana -gel med clindamycin i køretøjets gel tretinoin i køretøjets gel og køretøjets gel alene. Patienter med mild moderat eller svær acne blev indskrevet i undersøgelserne. De co-primære effektivitetsvariabler var:
- Gennemsnitlig procent ændring fra baseline i uge 12 i
- Inflammatoriske læsionstællinger
- Ikke-inflammatoriske læsionstællinger og
- Samlede læsionstællinger
- Procent af emner, der ryddede eller næsten ryddes i uge 12, blev bedømt af en evaluators globale sværhedsgrad (f.eks.).
EGS -scoringsskalaen, der bruges i alle de kliniske forsøg for Ziana Gel, er som følger:
| Grad | Beskrivelse |
| Klar | Normal klar hud uden bevis for acne vulgaris |
| Næsten klar | Sjældne ikke-inflammatoriske læsioner, der er til stede med sjældne ikke-påvirkede papules (papler skal løses og kan være hyperpigmenteret, men ikke lyserød-rød) |
| Mild | Nogle ikke-inflammatoriske læsioner er til stede med få inflammatoriske læsioner (kun papler/pustler; ingen knodulocystiske læsioner) |
| Moderat | Ikke-inflammatoriske læsioner dominerer med flere inflammatoriske læsioner tydelige: Flere til mange komedoner og papler/pustler, og der er muligvis ikke en lille nodulo-cystisk læsion |
| Alvorlig | Inflammatoriske læsioner er mere tydelige mange komedoner og papler/pustler der kan eller måske ikke være et par nodulocystiske læsioner |
| Meget alvorlig | Meget inflammatoriske læsioner dominerer variabelt antal komedoner mange papler/pustler og mange nodulocystiske læsioner |
I undersøgelse 1 blev i alt 1252 patienter tilmeldt, og i undersøgelse 2 blev der tilmeldt i alt 1288 patienter. De kombinerede resultater er vist i tabel 3.
Tabel 3: Effektivitetsresultater i uge 12 i undersøgelser 1 og 2
| Ziana Gel N = 845 | Clindamycin N = 426 | Tretinoin N = 846 | Køretøj N = 423 | |
| Evaluatorens globale sværhedsgrad: N (%) | ||||
| Patienter opnår succes* | 180 (21%) | 70 (16%) | 122 (14%) | 34 (8%) |
| Inflammatorisk læsionstælling (% reduktion fra baseline) | ||||
| Betyde | 48% | 42% | 39% | 26% |
| Ikke-inflammatorisk læsionstælling (% reduktion fra baseline) | ||||
| Betyde | 36% | 27% | 31% | 16% |
| Samlet læsionstælling (% reduktion fra baseline) | ||||
| Betyde | 41% | 34% | 34% | 20% |
| *Succes blev defineret som ryddet eller næsten ryddet i uge 12. |
I undersøgelse 3 blev Ziana -gel sammenlignet med clindamycin -gel i i alt 2010 patienter med moderat eller svær acne vulgaris (se tabel 3). Som med undersøgelser 1 og 2 var de co-primære endepunkter gennemsnitlig procentvis reduktion i læsionstællinger (inflammatorisk ikke-inflammatorisk og total) og EGS-score. I undersøgelse 3 blev succes på EGS -score vurderet af procentdelen af forsøgspersoner, der havde mindst 2 forbedringskvaliteter fra baseline til uge 12.
Tabel 4: Effektivitetsresultater i uge 12 i undersøgelse 3
| Ziana Gel N = 1008 | Clindamycin N = 1002 | |
| Evaluatorens globale sværhedsgrad: N (%) | ||
| Patienter opnår succes* | 415 (41%) | 345 (34%) |
| Inflammatorisk læsionstælling (% reduktion fra baseline) | ||
| Betyde | 61% | 55% |
| Ikke-inflammatorisk læsionstælling (% reduktion fra baseline) | ||
| Betyde | 50% | 41% |
| Samlet læsionstælling (% reduktion fra baseline) | ||
| Betyde | 54% | 47% |
| *Succes blev defineret som mindst en forbedring på 2 grader i uge 12 fra baseline. |
Patientinformation til Ziana Gel
Ziana®
(Ze-aah-na) (clindamycin-phosphat 1,2% og tretinoin 0,025%) Gel
VIGTIGT: Ikke til mundøje eller vaginal brug.
Læs de patientoplysninger, der følger med Ziana Gel, før du begynder at bruge dem, og hver gang du får en påfyldning. Der kan være nye oplysninger. Denne indlægsseddel indtager ikke stedet for at tale med din læge om din acne eller behandling.
Hvad er Ziana Gel?
Ziana Gel is an antibiotic and retinoid combination medicine used for the skin treatment of acne in patients 12 years and older.
Hvem skal ikke bruge Ziana Gel?
Brug ikke Ziana Gel, hvis du:
boston ferie ideer
- har Crohns sygdom
- har ulcerøs colitis
- har udviklet colitis med tidligere antibiotisk brug
Fortæl din læge:
- Hvis du er gravid eller planlægger at blive gravid. Det vides ikke, om Ziana Gel kan skade din ufødte baby.
- Hvis du ammer. Ziana Gel may pass through your milk and may harm your baby.
- Om alle de medicin og hudprodukter, du bruger:
- Ziana Gel should not be used with erythromycin-containing products.
- Undgå medicinske eller slibende sæber og rengøringssæber og kosmetik, der har en stærk tørringseffekt og hudprodukter, der indeholder alkohol -astrende krydderier eller kalk. Disse produkter kan forårsage øget hudirritation, hvis de bruges sammen med Ziana -gel.
Hvordan skal jeg bruge Ziana Gel?
Brug Ziana Gel nøjagtigt som foreskrevet. Det kan tage nogen tid for dig at se forbedring af din acne med Ziana Gel. Din læge vil fortælle dig, hvor længe du skal bruge Ziana Gel.
Ved sengetid:
- Vask dit ansigt forsigtigt med en mild sæbe og varmt vand.
- Klap huden tør.
- Påfør en Ærstørrelsesmængde Ziana-gel på fingerspidsen og spred den over dit ansigt. Glat det forsigtigt ind i din hud. Få ikke Ziana -gel i dine øjne eller mund på dine læber på hjørnerne af din næse eller på åbne sår.
Om morgenen:
- Påfør en solcreme og ansøg igen om dagen efter behov.
- Gør ikke Påfør Ziana Gel mere end en gang om dagen.
- Gør ikke Brug for meget Ziana -gel. For meget Ziana -gel kan irritere din hud.
- Gør ikke Vask dit ansigt mere end 2 til 3 gange om dagen. Vask dit ansigt for ofte eller skrubber det kan gøre din acne værre.
Undgå:
- Overdreven eksponering for solen kolde og vind. Vejrekstremer kan tørre og forbrænde huden. Brug altid en solcreme på Ziana Gel -behandlet hud selv på overskyede dage. Brug andet beskyttelsesbeklædning, såsom en hat, når du er i solen.
- brugen af sollellamper og garvningsboder.
Hvis dit ansigt bliver solbrændt stop Ziana Gel, indtil din hud er helet.
Hvad er mulige bivirkninger med Ziana Gel?
- Hudirritation. Ziana Gel may cause skin irritation such as tørhed redness skrælning burning or stinging. Stop Ziana Gel og ring til din læge, hvis din hud bliver meget rød hævet blæret eller skorpet.
- Ændring i hudfarve. Ziana Gel may cause a temporary skin color change (lighter or darker).
- Colitis. Dette forekommer sjældent. Stop Ziana Gel og ring til din læge, hvis du udvikler alvorlig vandig diarré eller blodig diarré.
Tal med din læge om enhver bivirkning, der generer dig, eller som ikke forsvinder.
Dette er ikke alle bivirkninger med Ziana Gel. Spørg din læge eller apotek for mere information.
Hvordan skal jeg opbevare Ziana Gel?
- Opbevar ziana gel ved stuetemperatur 59 ° til 86 ° F (15 ° til 30 ° C). Frys ikke.
- Hold Ziana -gel væk fra varme og lys.
- Hold røret tæt lukket.
- Hold Ziana Gel og alle medicin uden for børns rækkevidde.
Generel information om Ziana Gel
Lægemidler er undertiden ordineret til andre formål end dem, der er anført i patientinformationsbrættet. Brug ikke Ziana Gel til en betingelse, som den ikke blev ordineret til. Gør ikke give Ziana Gel to other people even if they have the same symptoms you have. It may harm them.
Denne indlægsseddel opsummerer den vigtigste information om Ziana Gel. Hvis du gerne vil have flere oplysninger, skal du tale med din læge. Du kan også bede din farmaceut eller læge om information om Ziana Gel, der er skrevet til sundhedspersonale.
Hvis du har spørgsmål om Ziana Gel, kan du også ringe til: 1-800-321-4576 (dette er et gratis nummer) mellem 10:00 og 16:00 Eastern Time mandag til fredag.
Hvad er ingredienserne i Ziana Gel?
Aktive ingredienser: Clindamycin phosphate 1.2% and tretinoin 0.025%
Inaktive ingredienser: Butyleret hydroxytoluen NF -carbomer 981 NF citronsyre USP -edetat Disatrium USP Glycerin USP Methylparaben NF Polysorbat 80 NF Propylparaben NF Renset vand USP og tromethamin USP.