Oplysningerne På Webstedet Er Ikke Medicinsk Rådgivning. Vi Sælger Ikke Noget. Nøjagtigheden Af Oversættelsen Er Ikke Garanteret. Ansvarsfraskrivelse
ImmunmodulatorerBafiertam
Resume af lægemiddeloversigt
Hvad er Bafiertam?
Bafiertam (monomethylfumarat) er et selektivt immunsuppressivt middel, der er indikeret til behandling af tilbagefaldende former for multipel sklerose (MS) til at omfatte klinisk isoleret syndrom tilbagefaldende-remitterende sygdom og aktiv sekundær progressiv sygdom hos voksne.
Hvad er bivirkninger af Bafiertam?
Bafiertam
- elveblest
- Besvær
- Hævelse af dine ansigtslæber tunge eller hals
- Problemer med taletænkning vision eller muskelbevægelse
- Alvorlig varme
- rødme brændende eller kløe under din hud
- Tab af appetit
- Mavesmerter (øverste højre side)
- træthed
- Mørk urin
- guling af huden eller øjnene ( gulsot )
- feber
- kulderystelser
- sved
- Mundsår
- hovedpine
- forvirring
- Halsstivhed
- følsomhed over for lys
- opkast
- Alvorlig diarré
- influenza-lignende symptomer
- Koldssår rundt om munden
- tingly eller smertefuldt blærende udslæt og
- brændende smerter i låret eller korsryggen
Få medicinsk hjælp med det samme, hvis du har nogen af de symptomer, der er anført ovenfor.
Bivirkninger af Bafiertam inkluderer:
- Skylning
- mavesmerter
- diarre
- kvalme
- opkast
- kløe
- udslæt
- Albumin i urin
- rødme og
- dårlig fordøjelse/ halsbrand
Søg medicinsk behandling eller ring 911 på én gang, hvis du har følgende alvorlige bivirkninger:
- Alvorlige øjensymptomer såsom pludseligt synstab sløret synet tunnel vision øje smerter eller hævelse eller at se haloer omkring lys;
- Alvorlige hjertesymptomer såsom hurtig uregelmæssige eller bankende hjerteslag; flagrende i brystet; åndenød; Og pludselig svimmelhed Lightheadedness eller gå ud;
- Alvorlig hovedpine forvirring sløret talearm eller ben svaghed problemer med at gå tab af koordination føles ustabil meget stive muskler høj feber voldsom sved eller rysten.
Dette dokument indeholder ikke alle mulige bivirkninger, og andre kan forekomme. Kontakt din læge for yderligere oplysninger om bivirkninger.
Dosering til Bafiertam
Startdosis af Bafiertam er 95 mg to gange om dagen oralt i 7 dage. Vedligeholdelsesdosis af Bafiertam efter 7 dage er 190 mg (administreret som to 95 mg kapsler) to gange om dagen oralt.
Bafiertam hos børn
Bafiertams sikkerhed og effektivitet hos pædiatriske patienter er ikke blevet fastlagt.
Hvilke stoffer stoffer eller kosttilskud interagerer med Bafiertam?
Bafiertam kan interagere med andre medicin såsom:
- dimethyl fumarat eller diroximel fumarat
Fortæl din læge alle medicin og kosttilskud, du bruger.
Bafiertam under graviditet og amning
Fortæl din læge, hvis du er gravid eller planlægger at blive gravid, før du bruger Bafiertam; Det kan skade et foster. Det er ukendt, om Bafiertam passerer ind i modermælk. De udviklingsmæssige og sundhedsmæssige fordele ved amning bør overvejes sammen med mors kliniske behov for Bafiertam og eventuelle bivirkninger på det ammede spædbarn fra stoffet eller fra den underliggende moderlige tilstand.
Yderligere oplysninger
Vores Bafiertam (monomethylfumarat) forsinkede kapsler med forsinket frigivelse til oral brug bivirkninger Drug Center giver et omfattende overblik over tilgængelige lægemiddelinformation om de potentielle bivirkninger, når du tager denne medicin.
Dette er ikke en komplet liste over bivirkninger, og andre kan forekomme. Ring til din læge for medicinsk rådgivning om bivirkninger. Du kan rapportere bivirkninger til FDA på 1-800-FDA-1088.
FDA -lægemiddelinformation
- Lægemiddelbeskrivelse
- Indikationer
- Bivirkninger
- Advarsler
- Overdosis
- Klinisk farmakologi
- Medicin vejledning
Beskrivelse til Bafiertam
Bafiertam indeholder den aktive ingrediens monomethylfumarat, som er en umættet monomethylester. Det er også kendt under dets kemiske navn fumarinsyre monomethylester (C 5 H 6 O 4 ). Det har følgende struktur:
|
Monomethylfumarat er en hvid til off-white pulver, der er meget opløselig i vand med en molekylær masse på 130,10.
bivirkninger prilosec langvarig brug
Bafiertam tilvejebringes som blød gelatine forsinket kapsler til oral indgivelse indeholdende 95 mg monomethylfumarat bestående af følgende inaktive ingredienser: glyceryl caprylat/caprate; mælkesyre; polyoxyl 40 hydrogeneret ricinusolie; og povidon K30. Kapselskalen trykt med sort blæk indeholder følgende inaktive ingredienser: gelatine; opløsning af sorbitaner og sorbitol; og titandioxid. The coating system includes the following inactive ingredients: colloidal anhydrous silica GMCC Type 1 mono and di-glycerides hypromellose type 2910 methacrylic acid and ethyl acrylate copolymer polyethylene glycol (MW=400) polyvinyl alcohol part hydrolyzed sodium bicarbonate sodium lauryl sulfate talc titanium Dioxid og triethylcitrat.
Bruger til Bafiertam
Bafiertam er indikeret til behandling af tilbagefaldende former for multipel sklerose (MS) til at omfatte klinisk isoleret syndrom tilbagefaldende-remitterende sygdom og aktiv sekundær progressiv sygdom hos voksne.
Dosering til Bafiertam
Blodprøver inden påbegyndelse af Bafiertam
Få følgende inden behandling med Bafiertam:
- Et komplet blodlegemer (CBC) inklusive lymfocyttælling [se Advarsler og forholdsregler ].
- Serumaminotransferase alkalisk phosphatase og totale bilirubinniveauer [se Advarsler og forholdsregler ].
Doseringsoplysninger
Startdoseringen for Bafiertam er 95 mg to gange om dagen mundtligt i 7 dage. Efter 7 dage skal doseringen øges til vedligeholdelsesdoseringen på 190 mg (administreres som to 95 mg kapsler) to gange om dagen mundtligt. Midlertidige doseringsreduktioner til 95 mg to gange om dagen kan overvejes for individer, der ikke tolererer vedligeholdelsesdoseringen. Inden for 4 uger bør den anbefalede dosis på 190 mg to gange om dagen genoptages. Afbrydelse af Bafiertam bør overvejes for patienter, der ikke er i stand til at tolerere tilbagevenden til vedligeholdelsesdoseringen. Administration af ikke-enterisk coatet aspirin (op til en dosis på 325 mg) 30 minutter før dosering af bafiertam kan reducere forekomsten eller sværhedsgraden af skylning [se Klinisk farmakologi ].
Administrationsinstruktioner
Sving bafiertam kapsler hele og intakte. Knus ikke tygg eller bland indholdet med mad. Bafiertam kan tages med eller uden mad.
Blodprøver til vurdering af sikkerheden efter påbegyndelse af Bafiertam
Få et komplet blodcelletælling (CBC) inklusive lymfocyttælling 6 måneder efter påbegyndelse af Bafiertam og derefter hver 6. til 12. måned derefter som klinisk angivet [Se Advarsler og forholdsregler ].
Få serumaminotransferase alkalisk phosphatase og total bilirubinniveauer under behandling med Bafiertam som klinisk indikeret [se Advarsler og forholdsregler ].
Hvor leveret
Doseringsformularer og styrker
Bafiertam fås som blød gelatin forsinket kapsler indeholdende 95 mg monomethylfumarat. 95 mg kapsel er hvid uigennemsigtigt oval belagt og trykt med 95 i sort blæk på kroppen.
Bafiertam fås som blød gelatin forsinket kapsler indeholdende 95 mg monomethylfumarat. De 95 mg kapsler er hvide uigennemsigtige ovale og belagt med 95 trykt med sort blæk på kroppen.
Bafiertam er tilgængelig som følger:
95 mg kapsler : flaske med 120 kapsler ( NDC 69387-001-01).
Opbevaring og håndtering
Uåbnet flaske
Opbevar uåbnede flasker i køleskab ved 2 ° C til 8 ° C (35 ° F til 46 ° F). Frys ikke. Under disse forhold er Bafiertam stabil, indtil udløbsdatoen angivet på pakken.
Åbnet flaske
Åbnede flasker kan opbevares ved 20 ° C til 25 ° C (68 ° F til 77 ° F); Udflugter mellem 15 ° C og 30 ° C (59 ° F og 86 ° F) tilladt [se USP -kontrolleret stuetemperatur ]. Protect the capsules from light. Store in original container. Under these conditions Bafiertam is stable for 3 months.
Kapsler kan blive deformeret, hvis de holdes ved høje temperaturer.
Fremstillet af: Banner Life Sciences LLC High Point NC 27265. Revideret: Jan 2023
Hvad er bivirkninger af omeprazol
Bivirkninger til Bafiertam
Følgende klinisk signifikante bivirkninger er beskrevet andetsteds i mærkningen:
- Anafylaksi og angioødem [se Advarsler og forholdsregler ].
- Progressiv multifokal leukoencephalopati [se Advarsler og forholdsregler ].
- Herpes Zoster og andre alvorlige opportunistiske infektioner [se Advarsler og forholdsregler ].
- Lymfopeni [se Advarsler og forholdsregler ].
- Leverskade [se Advarsler og forholdsregler ].
- Skylning [se Advarsler og forholdsregler ].
Kliniske forsøg oplever
Fordi kliniske forsøg udføres under vidt forskellige tilstande, kan der ikke sammenlignes bivirkninger, der er observeret i de kliniske forsøg med et lægemiddel, ikke direkte med hastigheder i de kliniske forsøg med et andet lægemiddel og muligvis ikke afspejler de satser, der er observeret i praksis.
De data, der er beskrevet i de følgende sektioner, blev opnået under anvendelse af dimethylfumaratforsinkelsesrelease -kapsler (prodruget af Bafiertam).
Bivirkninger i placebo-kontrollerede forsøg med dimethylfumarat
I de to godt kontrollerede undersøgelser modtog effektiviteten af effektiviteten 1529 dimethylfumarat med en samlet eksponering på 2244 personår [se Kliniske studier ].
De bivirkninger, der er præsenteret i tabel 1 nedenfor, er baseret på sikkerhedsoplysninger fra 769 patienter behandlet med dimethylfumarat 240 mg to gange om dagen og 771 placebo-behandlede patienter. De mest almindelige bivirkninger (forekomst ≥10% og ≥2% mere end placebo) for dimethylfumarat skyllede mavesmerter diarré og kvalme
Tabel 1: Bivirkninger i undersøgelse 1 og 2 rapporteret for dimethylfumarat ved ≥2% højere forekomst end placebo
| Bivirkning | Dimethyl fumarat 240 mg to gange dagligt (n = 769) % | Placebo (n = 771) % |
| Skylning | 40 | 6 |
| Mavesmerter | 18 | 10 |
| Diarre | 14 | 11 |
| Kvalme | 12 | 9 |
| Opkast | 9 | 5 |
| Kløe | 8 | 4 |
| Udslæt | 8 | 3 |
| Albumin urin til stede | 6 | 4 |
| Erythema | 5 | 1 |
| Dyspepsi | 5 | 3 |
| Aspartataminotransferase steg | 4 | 2 |
| Lymfopeni | 2 | <1 |
Gastrointestinal
Dimethylfumarat forårsagede GI -begivenheder (f.eks. Kvalme opkast diarré mavesmerter og dyspepsi). I kliniske forsøg var forekomsten af GI -begivenheder højere tidligt i løbet af behandlingen (primært i løbet af den første måned) og faldt normalt over tid hos patienter behandlet med dimethylfumarat sammenlignet med placebo. Fire procent (4%) af patienter behandlet med dimethylfumarat og mindre end 1% af patienterne på placebo blev ophørt på grund af gastrointestinale begivenheder. Forekomsten af alvorlige GI -begivenheder var 1% hos patienter behandlet med dimethylfumarat.
Levertransaminaser
En øget forekomst af højder af levertransaminaser hos patienter, der blev behandlet med dimethylfumarat i kliniske forsøg, blev primært set i løbet af de første seks måneder af behandlingen, og de fleste patienter med forhøjninger havde niveauer <3 times the upper limit of normal (ULN). Elevations of alanine aminotransferase and aspartate aminotransferase to ≥3 times the ULN occurred in a small number of patients treated with both dimethyl fumarate and in patients on placebo and were balanced between the groups. There were no elevations in transaminases ≥3 times the ULN with concomitant elevations in total bilirubin> 2 gange uln. Kontinuationer på grund af forhøjede levertransaminaser var <1% and were similar in patients treated with dimethyl fumarate or placebo.
Eosinophilia
En kortvarig stigning i gennemsnitlige eosinophil -tællinger blev set i de første 2 måneder af terapi med dimethylfumarat.
Bivirknings In Studies With Bafiertam (Monomethyl Fumarate)
I kliniske studier har i alt 178 raske forsøgspersoner modtaget enkeltdoser af Bafiertam. Den bivirkningsprofil for Bafiertam var i overensstemmelse med erfaringerne i de placebokontrollerede kliniske forsøg med dimethylfumarat. At tage Bafiertam uden mad kan reducere forekomsten af GI -begivenheder.
Oplevelse af postmarketing
Følgende bivirkninger er blevet identificeret under anvendelse af dimethylfumarat (efter godkendelse af dimethylfumarat (prodruget af Bafiertam). Fordi disse reaktioner rapporteres frivilligt fra en population af usikker størrelse, er det ikke altid muligt at pålideligt estimere deres frekvens eller etablere et årsagsforhold til eksponering for lægemidler.
Gastrointestinal Disorders : Akut pancreatitis.
Hepatobiliære lidelser : Leverfunktions abnormaliteter (forhøjninger i transaminaser ≥3 gange ULN med samtidige højder i total bilirubin> 2 gange uln) [se Advarsler og forholdsregler ].
Infektioner og angreb : Herpes zosterinfektion og andre alvorlige opportunistiske infektioner [se Advarsler og forholdsregler ].
Respiratorisk thorax- og mediastinal lidelser : Rhinorrhea.
Hud og subkutan : Alopecia.
Lægemiddelinteraktioner for Bafiertam
Samtidig dimethylfumarat eller diroximel fumarat
Både dimethylfumarat og diroximel fumarat metaboliseres til monomethylfumarat. Derfor er Bafiertam kontraindiceret hos patienter, der i øjeblikket tager dimethylfumarat eller diroximel fumarat. Bafiertam kan indledes dagen efter seponering af et af disse lægemidler.
Advarsler for Bafiertam
Inkluderet som en del af FORHOLDSREGLER afsnit.
Forholdsregler for Bafiertam
Anafylaksi og angioødem
Bafiertam can cause anaphylaxis and angioedema after the first dose or at any time during treatment. Signs and symptoms in patients taking dimethyl fumarate (the prodrug of Bafiertam) have included Besvær urticaria and swelling of the throat and tongue. Patients should be instructed to discontinue Bafiertam and seek immediate medical care should they experience signs and symptoms of anaphylaxis or angioedema.
Progressiv multifokal leukoencephalopati
Progressiv multifokal leukoencephalopati (PML) har forekommet hos patienter med MS behandlet med dimethylfumarat (prodrug af Bafiertam). PML er en opportunistisk virusinfektion i hjernen forårsaget af JC -virussen (JCV), der typisk kun forekommer hos patienter, der er immunkompromitteret, og som normalt fører til død eller alvorlig handicap. Et dødeligt tilfælde af PML forekom hos en patient, der modtog dimethylfumarat i 4 år, mens han blev indskrevet i et klinisk forsøg. Under det kliniske forsøg oplevede patienten langvarig lymfopeni (lymfocyttællinger overvejende <0.5x10 9 /L i 3,5 år), mens du tager dimethylfumarat [se Advarsler og forholdsregler ]. The patient had no other identified systemic medical conditions resulting in compromised immune system function and had not previously been treated with natalizumab which has a known association with PML. The patient was also not taking any immunosuppressive or immunomodulatory medications concomitantly.
PML har også forekommet hos patienter, der tager dimethylfumarat i postmarketingindstillingen i nærvær af lymfopeni ( <0.9x10 9 /L). Mens lymfopeniens rolle i disse tilfælde er usikker, er PML -tilfælde forekommet overvejende hos patienter med lymfocyttællinger <0.8x10 9 /L vedvarer i mere end 6 måneder.
Ved det første tegn eller symptom, der antyder PML tilbageholdelse af Bafiertam og udfør en passende diagnostisk evaluering. Typiske symptomer forbundet med PML er forskellige fremskridt over dage til uger og inkluderer progressiv svaghed på den ene side af kroppen eller klodsethed af lemmerforstyrrelse af synet og ændringer i tænkningshukommelse og orientering, der fører til forvirring og personlighedsændringer.
Magnetisk resonansafbildning (MRI) fund kan være synlige før kliniske tegn eller symptomer. Tilfælde af PML -diagnosticeret baseret på MR -fund og påvisning af JCV -DNA i cerebrospinalvæsken i fravær af kliniske tegn eller symptomer, der er specifikke for PML, er rapporteret hos patienter behandlet med andre MS -medicin forbundet med PML. Mange af disse patienter blev efterfølgende symptomatiske med PML. Derfor kan overvågning med MR for tegn, der kan være i overensstemmelse med PML, være nyttige, og eventuelle mistænkelige fund bør føre til yderligere undersøgelse for at muliggøre en tidlig diagnose af PML, hvis den er til stede. Nedre PML-relateret dødelighed og sygelighed er rapporteret efter seponering af en anden MS-medicin forbundet med PML hos patienter med PML, som oprindeligt var asymptomatiske sammenlignet med patienter med PML, der havde karakteristiske kliniske tegn og symptomer ved diagnose. Det vides ikke, om disse forskelle skyldes tidlig påvisning og seponering af MS -behandling eller på grund af forskelle i sygdom hos disse patienter.
Herpes Zoster og andre alvorlige opportunistiske infektioner
Alvorlige tilfælde af herpes zoster er forekommet med dimethylfumarat (prodrug af bafiertam) inklusive formidlet herpes zoster herpes zoster oftalmicus herpes zoster meningoencephalitis og herpes zoster meningomyelitis. Disse begivenheder kan forekomme når som helst under behandlingen. Overvåg patienter på Bafiertam for tegn og symptomer på herpes zoster. Hvis herpes zoster forekommer passende behandling for herpes zoster skal administreres.
Andre alvorlige opportunistiske infektioner er forekommet med dimethylfumarat, herunder tilfælde af alvorlig viral (herpes simplex virus vest nile virus cytomegalovirus) svampe (candida og aspergillus) og bakteriel (Nocardia listeria monocytogenes mycobacterium tuberculosis) infektioner. Disse infektioner er rapporteret hos patienter med reducerede absolutte lymfocyttællinger (ALC) såvel som hos patienter med normal ALC. Disse infektioner har påvirket hjernerne rygmarvs -mave -mave -tarmkanalen lunger hudøj og øre. Patienter med symptomer og tegn, der er i overensstemmelse med nogen af disse infektioner, skal gennemgå hurtig diagnostisk evaluering og modtage passende behandling.
Overvej tilbageholdelse af Bafiertam -behandling hos patienter med herpes zoster eller andre alvorlige infektioner, indtil infektionen har løst [se Bivirkninger ].
Lymfopeni
Bafiertam may decrease lymphocyte counts. In the MS placebo-controlled trials with dimethyl fumarate (the prodrug of Bafiertam) mean lymphocyte counts decreased by approximately 30% during the first year of treatment with dimethyl fumarate and then remained stable. Four weeks after stopping dimethyl fumarate mean lymphocyte counts increased but did not return to baseline. Six percent (6%) of dimethyl fumarate patients and <1% of placebo patients experienced lymphocyte counts <0.5x10 9 /L (nedre grænse på normal 0,91x10 9 /L). Forekomsten af infektioner (60% mod 58%) og alvorlige infektioner (2% mod 2%) var ens hos patienter behandlet med henholdsvis dimethylfumarat eller placebo. Der var ingen øget forekomst af alvorlige infektioner observeret hos patienter med lymfocyttællinger <0.8x10 9 /L eller <0.5x10 9 /L i kontrollerede forsøg, selvom en patient i en udvidelsesundersøgelse udviklede PML i indstillingen af langvarig lymfopeni (lymfocyttællinger overvejende <0.5x10 9 /L i 3,5 år) [se Advarsler og forholdsregler ].
I kontrollerede og ukontrollerede kliniske forsøg med dimethylfumarat oplevede 2% af patienterne lymfocyttællinger <0.5 x 10 9 /L i mindst seks måneder, og i denne gruppe forblev størstedelen af lymfocyttællinger <0.5x10 9 /L med fortsat terapi. Hverken Bafiertam eller dimethylfumarat er blevet undersøgt hos patienter med eksisterende eksisterende lavt lymfocyttællinger. Få en CBC inklusive lymfocyttælling, før behandlingen påbegyndes med Bafiertam 6 måneder efter start af behandlingen og derefter hver 6. til 12. måned derefter og som klinisk indikeret. Overvej afbrydelse af Bafiertam hos patienter med lymfocyttællinger mindre end 0,5 x 10 9 /L vedvarer i mere end seks måneder. I betragtning af potentialet for forsinket genvinding af lymfocyttællinger fortsætter med at opnå lymfocyttællinger, indtil deres bedring, hvis Bafiertam afbrydes eller afbrydes på grund af lymfopeni. Overvej tilbageholdelse af behandling fra patienter med alvorlige infektioner indtil opløsningen. Beslutninger om, hvorvidt man skal genstarte Bafiertam, skal individualiseres på baggrund af kliniske omstændigheder.
Leverskade
Der er rapporteret om klinisk signifikante tilfælde af leverskade hos patienter behandlet med dimethylfumarat (prodrug af Bafiertam) i postmarketingindstillingen. Begyndelsen har varieret fra et par dage til flere måneder efter påbegyndelse af behandling med dimethylfumarat. Tegn og symptomer på leverskade inklusive forhøjelse af serumaminotransferaser til mere end 5 gange den øvre grænse for normal og forhøjelse af total bilirubin til mere end 2 gange den øvre normale grænse er blevet observeret. Disse abnormiteter blev opløst ved ophør med behandlingen af behandlingen. Nogle sager krævede hospitalisering. Ingen af de rapporterede tilfælde resulterede i leverfejl levertransplantation eller død. Kombinationen af nyt serumaminotransferaseforhøjelser med øgede niveauer af bilirubin forårsaget af lægemiddelinduceret hepatocellulær skade er imidlertid en vigtig forudsigelse af alvorlig leverskade, der kan føre til akut leverfejl levertransplantation eller død hos nogle patienter.
Forhøjelser af levertransaminaser (mest over 3 gange den øvre normale grænse) blev observeret under kontrollerede forsøg med dimethylfumarat [se Bivirkninger ].
Opnå serumaminotransferase alkalisk phosphatase (ALP) og totale bilirubinniveauer før behandling med Bafiertam og under behandling som klinisk indikeret. Afbryd Bafiertam, hvis der er mistanke om klinisk signifikant leverskade induceret af Bafiertam.
Skylning
Bafiertam may cause Skylning (e.g. warmth redness kløe and/or burning sensation). In clinical trials of dimethyl fumarate (the prodrug of Bafiertam) 40% of dimethyl fumaratetreated patients experienced Skylning. Skylning symptoms generally began soon after initiating dimethyl fumarate and usually improved or resolved over time. In the majority of patients who experienced Skylning it was mild or moderate in severity. Three percent (3%) of patients discontinued dimethyl fumarate for Skylning and <1% had serious Skylning symptoms that were not life-threatening but led to hospitalization. Studies with dimethyl fumarate show that administration of non-enteric coated aspirin (up to a dose of 325 mg) 30 minutes prior to dosing may reduce the incidence or severity of Skylning [see Klinisk farmakologi ]. In the Bafiertam studies the presence of food did not impact the incidence of Skylning.
Oplysninger om patientrådgivning
Rådgiv patienten om at læse den FDA-godkendte patientmærkning ( Patientinformation ).
Dosering
Informer patienter om, at de får en styrke af Bafiertam, når de starter behandling: Tag en kapsel til den 7 -dages starterdosis og to kapsler til vedligeholdelsesdosis begge skal tages to gange dagligt. Informer patienter om at sluge Bafiertam -kapsler hele og intakte. Informer patienter om ikke at knuse tygge eller blande kapselindhold med mad. Informer patienter om, at bafiertam kan tages med eller uden mad [se Dosering og administration ].
Anafylaksi og angioødem
Rådgive patienter om at afbryde Bafiertam og søge lægehjælp, hvis de udvikler tegn og symptomer på anafylaksi eller angioødem [se Advarsler og forholdsregler ].
Progressiv multifokal leukoencephalopati
Informer patienter om, at progressiv multifokal leukoencephalopati (PML) har forekommet hos patienter, der modtog dimethylfumarat (prodrug af monomethylfumarat). Informer patienten om, at PML er kendetegnet ved en progression af underskud og normalt fører til død eller alvorlig handicap i løbet af uger eller måneder. Instruer patienten om vigtigheden af at kontakte deres sundhedsudbyder, hvis de udvikler symptomer, der tyder på PML. Informer patienten om, at typiske symptomer, der er forbundet med PML Advarsler og forholdsregler ].
Herpes Zoster og andre alvorlige opportunistiske infektioner
Informer patienter om, at herpes zoster og andre alvorlige opportunistiske infektioner har forekommet hos patienter, der modtog dimethylfumarat. Instruer patienten om vigtigheden af at kontakte deres sundhedsudbyder, hvis de udvikler tegn eller symptomer forbundet med herpes zoster eller andre alvorlige opportunistiske infektioner [se Advarsler og forholdsregler ].
Lymfocyttællinger
Informer patienter om, at Bafiertam kan reducere lymfocyttællinger. En blodprøve skal opnås, før de starter terapi. Blodprøver anbefales også efter 6 måneders behandling hver 6. til 12. måned derefter og som klinisk angivet [se Advarsler og forholdsregler Bivirkninger ].
Leverskade
Informer patienter om, at Bafiertam kan forårsage leverskade. Instruer patienter, der behandles med Bafiertam, om at rapportere straks til deres sundhedsudbyder alle symptomer, der kan indikere leverskade inklusive træthedsanoreksi til højre øvre abdominal ubehag mørk urin eller gulsot. En blodprøve skal opnås, før patienter starter terapi og under behandling som klinisk angivet [se Advarsler og forholdsregler ].
Skylning And Gastrointestinal (GI) Reactions
Skylning and GI reactions (mavesmerter diarre and kvalme) are the most common reactions especially at the initiation of therapy and may decrease over time. Advise patients to contact their healthcare provider if they experience persistent and/or severe Skylning or GI reactions. Advise patients experiencing Skylning that taking a non-enteric coated aspirin prior to taking Bafiertam may help [see Bivirkninger ].
Er rosuvastatin en generisk for Crestor
Graviditet
Instruer patienter om, at hvis de er gravide eller planlægger at blive gravide, mens de tager Bafiertam, skal de informere deres sundhedsudbyder [se Brug i specifikke populationer ].
Ikke -klinisk toksikologi
Karcinogenese mutagenese nedskrivning af fertilitet
Carcinogenese
Karcinogenicitetsundersøgelser af dimethylfumarat (DMF) blev udført hos mus og rotter. I mus oral administration af DMF (0 25 75 200 og 400 mg/kg/dag) i op til to år resulterede i en stigning i nonglandulær mave (skovomach) og nyretumorer: pladecellecarcinomer og papillomer i skovomaten hos mænd og hunner ved 200 og 400 mg/kg/dag; leiomyosarkomer af skovomaten ved 400 mg/kg/dag hos mænd og kvinder; Renale rørformede adenomer og carcinomer ved 200 og 400 mg/kg/dag hos mænd; og nyre tubula -adenomer ved 400 mg/kg/dag hos kvinder. Plasma MMF -eksponering (AUC) ved den højeste dosis, der ikke var forbundet med tumorer hos mus (75 mg/kg/dag), svarede til den hos mennesker ved den anbefalede humane dosis (RHD) af MMF (380 mg/dag).
Hos rotter, resulterede oral administration af DMF (0 25 50 100 og 150 mg/kg/dag) i op til to år i stigninger i pladecellecarcinomer og papillomer i skovomaterne i alle doser, der blev testet hos mænd og hunner og i testikulære interstitielle (leydig) celleaddenomer ved 100 og 150 mg/kg/kg/dag. Plasma MMF AUC ved den laveste testede dosis var lavere end hos mennesker ved RHD af MMF.
Mutagenese
Monomethylfumarat (MMF) var ikke mutagen i in vitro -bakteriel omvendt mutation (AMES) assay. MMF var klastogen i in vitro -kromosomal aberrationsassay i humane perifere blodlymfocytter i fravær af metabolisk aktivering. DMF var ikke klastogen i in vivo micronucleus -assayet i rotten.
Værdiforringelse af fertiliteten
Hos hanrotter havde oral administration af DMF (0 75 250 og 375 mg/kg/dag) før og i hele parringsperioden ingen indflydelse på fertiliteten; Imidlertid blev der observeret stigninger i ikke-motile sædceller i midten og høje doser. Den ikke-effektdosis for bivirkninger på sædceller ligner den anbefalede humane dosis (RHD) af DMF (480 mg/dag) på et kropsoverfladeareal (mg/m²) basis. MMF (380 mg/dag) er bioækvivalent til DMF (480 mg/dag).
Hos hunrotter blev oral administration af DMF (0 20 100 og 250 mg/kg/dag) før og under parring og fortsat drægtighed Dag 7 forårsaget forstyrrelse af den estrouscyklus og stigninger i embryoletalitet i den højeste testede dosis. Den højeste dosis, der ikke er forbundet med bivirkninger (100 mg/kg/dag), er dobbelt så stor som RMF på mg/m² -basis. MMF (380 mg/dag) er bioækvivalent til DMF (480 mg/dag).
Testikel toksicitet (germinal epiteldegeneration atrofi hypospermi og/eller hyperplasi) blev observeret ved klinisk relevante doser i mus rotter og hunde i subkroniske og kroniske orale toksicitetsundersøgelser af DMF og i en kronisk oral toksicitetsundersøgelse, der vurderede et kombination af fire fumariske syrebestere (inklusive DMF) i RAT'er.
Brug i specifikke populationer
Graviditet
Risikooversigt
Der er ingen tilstrækkelige data om udviklingsrisikoen forbundet med brugen af bafiertam eller dimethylfumarat (prodrug af Bafiertam) hos gravide kvinder. Hos dyr blev der observeret bivirkninger på afkom og overlevelse af overlevelse vækst og neurobehavioral funktion, da dimethylfumarat (DMF) blev administreret under graviditet og amning ved klinisk relevante doser [se Data ].
I den amerikanske generelle befolkning er den estimerede baggrundsrisiko for større fødselsdefekter og spontanabort i klinisk anerkendte graviditeter henholdsvis 2-4% og 15-20%. Baggrundsrisikoen for store fødselsdefekter og spontanabort for den angivne befolkning er ukendt.
Data
Dyredata
Hos rotter, der blev administreret DMF oralt (0 25 100 og 250 mg/kg/dag) i hele organogenese -embryofetal -toksicitet (reduceret føtal kropsvægt og forsinket ossifikation) blev observeret i den højeste testede dosis. Denne dosis frembragte også bevis for moderlig toksicitet (reduceret kropsvægt). Plasmaeksponering (AUC) for monomethylfumarat (MMF) er den vigtigste cirkulerende metabolit ved dosis uden virkning cirka tre gange, at hos mennesker ved den anbefalede humane dosis (RHD) af MMF (380 mg/dag). Hos kaniner, der blev administreret DMF oralt (0 25 75 og 150 mg/ kg/ dag) i hele organogenese -embryoletaliteten og nedsat moderlig kropsvægt blev observeret ved den højeste testede dosis. Plasma-AUC for MMF ved dosis uden virkning er cirka 5 gange, at hos mennesker ved RHD af MMF.
Oral administration af DMF (0 25 100 og 250 mg/kg/dag) til rotter i hele organogenese og amning resulterede i øget dødelighed vedvarende reduktioner i kropsvægt forsinket seksuel modning (mandlige og kvindelige hvalpe) og reduceret testikelvægt ved den højeste dosis testede. Neurobehavioral svækkelse blev observeret i alle doser. En dosis uden virkning til udviklingstoksicitet blev ikke identificeret. Den laveste testede dosis var forbundet med plasma AUC for MMF lavere end hos mennesker ved RHD af MMF.
Amning
Risikooversigt
Der er ingen data om tilstedeværelsen af DMF eller MMF i human mælk. Virkningerne på det ammede spædbarn og på mælkeproduktion er ukendte.
De udviklingsmæssige og sundhedsmæssige fordele ved amning bør overvejes sammen med mors kliniske behov for Bafiertam og eventuelle bivirkninger på det ammede spædbarn fra stoffet eller fra den underliggende moderlige tilstand.
Pædiatrisk brug
Sikkerhed og effektivitet hos pædiatriske patienter er ikke etableret.
Geriatrisk brug
Kliniske undersøgelser af dimethylfumarat (prodrug af Bafiertam) og Bafiertam inkluderede ikke tilstrækkeligt antal patienter i alderen 65 år og derover for at afgøre, om de reagerer forskelligt fra yngre patienter.
Overdoseringsoplysninger til Bafiertam
Ingen oplysninger leveret
Kontraindikationer for Bafiertam
Bafiertam is contraindicated in patients
- Med kendt overfølsomhed over for monomethylfumarat dimethylfumarat Diroximel fumarat eller over for nogen af bafietams excipienser. Reaktioner kan omfatte anafylaksi eller angioødem [se Advarsler og forholdsregler ].
- At tage dimethylfumarat eller diroximel fumarat [se Lægemiddelinteraktioner ].
Klinisk farmakologi for Bafiertam
Handlingsmekanisme
Den mekanisme, hvormed monomethylfumarat (MMF) udøver sin terapeutiske virkning i multipel sklerose, er ukendt. MMF har vist sig at aktivere den nukleare faktor (erythroid-afledt 2)- som 2 (NRF2) sti in vitro og in vivo hos dyr og mennesker. Nrf2 -stien er involveret i den cellulære respons på oxidativ stress. MMF er blevet identificeret som en nikotinsyrereceptoragonist in vitro.
Farmakodynamik
Potentiale til at forlænge QT -intervallet
I en placebo-kontrolleret grundig QT-undersøgelse udført i raske forsøgspersoner med dimethylfumarat [Produget af Bafiertam] var der ingen bevis for, at dimethylfumarat forårsagede QT-interval forlængelse af klinisk betydning (dvs. den øvre bundet af 90% konfidensinterval for den største placebo-justerede baselin-korrigerede QTC var under 10 MS).
Farmakokinetik
Farmakokinetik of monomethyl fumarate have previously been characterized after oral administration of its prodrug dimethyl fumarate as delayed-release capsules in healthy subjects and subjects with multiple sclerosis. After oral administration dimethyl fumarate undergoes rapid presystemic hydrolysis by esterases and is converted to its active metabolite monomethyl fumarate (MMF). Additional pharmacokinetic data of monomethyl fumarate were obtained after oral administration of Bafiertam the monomethyl fumarate delayed-release capsules in healthy subjects.
Absorption
Efter oral administration af Bafiertam 190 mg (to 95 mg monomethylfumarat forsinket kapsler) under fastende forhold Median Tmax af MMF er 4,03 timer; og den maksimale plasmakoncentration (CMAX) og den samlede eksponering (AUC) af monomethylfumarat er bioækvivalente for dem efter oral administration af 240 mg dimethylfumarat forsinket kapsel med forsinket frigivelse.
Et måltid med fedtfattigt kalorieindhold påvirkede ikke signifikant den samlede monomethylfumaratplasmaeksponering (AUC), men reducerede Cmax af MMF med 20% med langvarig absorption. Median Tmax af MMF blev forsinket fra ca. 4,0 timer til 11 timer med et højt fedtindhold måltid.
Fordeling
Fra undersøgelser med dimethylfumarat (prodruget af bafiertam) er det vist, at det tilsyneladende mængde fordeling af MMF varierer mellem 53 og 73 L hos raske forsøgspersoner. Human plasmaproteinbinding af MMF er 27-45% og uafhængigt af koncentrationen.
Eliminering
Metabolisme
Hos mennesker forekommer metabolisme af MMF gennem tricarboxylsyre (TCA) -cyklus uden involvering af cytochrome P450 (CYP450) -systemet. MMF -fumarisk og citronsyre og glukose er de vigtigste metabolitter af MMF i plasma.
Udskillelse
Fra undersøgelser med dimethylfumarat (prodruget af bafiertam) udånding af CO2 er den primære vej til elimination, der tegner sig for ca. 60% af dimethylfumaratdosis. Nyre- og fækal eliminering er mindre elimineringsveje for MMF -regnskab for henholdsvis 16% og 1% af dimethylfumaratdosis. Sporemængder af uændret MMF var til stede i urin.
Plasmahalveringstiden for MMF er ca. 0,5 timer, og der er ingen cirkulerende MMF til stede ved 24 timer i størstedelen af individuelle efter orale administration af Bafiertam 190 mg (to 95 mg monomethylfumarat forsinket kapsler) under fastende forhold. Akkumulering af MMF forekommer ikke med flere doser dimethylfumarat.
Specifikke populationer
Kropsvægt køn og aldersforskelle kræver ikke doseringsjustering.
Der er ikke foretaget undersøgelser hos personer med lever- eller nyrefunktion. Imidlertid forventes ingen af betingelserne at påvirke plasmaeksponering for MMF, og derfor er der ikke nødvendig nogen doseringsjustering.
Lægemiddelinteraktionsundersøgelser
Ingen potentielle lægemiddelinteraktioner med dimethylfumarat eller MMF blev identificeret i in vitro CYP-hæmning og induktionsundersøgelser eller i P-glycoproteinundersøgelser. Enkelt doser af interferon beta-1a eller glatirameracetat ændrede ikke farmakokinetikken af MMF. Aspirin, når den blev administreret cirka 30 minutter før dimethylfumarat, ændrede ikke farmakokinetikken af MMF.
Orale prævention
Samtidig administration af prodrug af Bafiertam dimethylfumarat med en kombineret oral prævention (norelgestromin og ethinyløstradiol) fremkaldte ikke nogen relevante virkninger i orale præventionseksponering. Der er ikke udført nogen interaktionsundersøgelser med orale prævention, der indeholder andre progestogener.
Dyretoksikologi og/eller farmakologi
Nyretoksicitet blev observeret efter gentagen oral administration af dimethylfumarat (DMF) hos mus rotter hunde og aber. Regenerering af nyre tubule epithelia, der antyder tubulepitelskade, blev observeret i alle arter. Nyre -rørformet hyperplasi blev observeret hos rotter med dosering i op til to år. Kortikal atrofi og interstitiel fibrose blev observeret hos hunde og aber i doser over 5 mg/kg/dag. I aber var den højeste dosis, der blev testet (75 mg/kg/dag), forbundet med enkeltcelle nekrose og multifokal og diffus interstitiel fibrose, hvilket indikerer irreversibelt tab af nyrevæv og funktion. Hos hunde og aber var dosis 5 mg/kg/dag forbundet med plasma MMF -eksponeringer mindre end eller ligner den hos mennesker i den anbefalede humane dosis (RHD) af MMF (380 mg/dag).
En dosisrelateret stigning i forekomst og sværhedsgrad af retinal degeneration blev observeret hos mus efter oral administration af DMF i op til to år ved doser over 75 mg/kg/dag en dosis forbundet med plasma MMF-eksponering (AUC) svarende til den hos mennesker ved RHD af MMF (380 mg/dag).
Kliniske studier
Effektiviteten af Bafiertam er baseret på biotilgængelighedsundersøgelser i raske forsøgspersoner, der sammenligner orale dimethylfumaratforsinkede kapsler til Bafiertam forsinkede kapsler [se Klinisk farmakologi ].
De kliniske undersøgelser beskrevet nedenfor blev udført under anvendelse af dimethylfumarat.
Effektiviteten og sikkerheden af dimethylfumarat blev påvist i to undersøgelser (undersøgelser 1 og 2), der evaluerede dimethylfumarat, der blev taget enten to gange eller tre gange om dagen hos patienter med tilbagefaldende remitterende multipel-sklerose (RRM'er). Startdosis for dimethylfumarat var 120 mg to gange eller tre gange om dagen i de første 7 dage efterfulgt af en stigning til 240 mg to gange eller tre gange om dagen. Begge undersøgelser omfattede patienter, der havde oplevet mindst 1 tilbagefald i løbet af året forud for forsøget eller havde en hjerne-magnetisk resonansafbildning (MRI) -scanning, der demonstrerede mindst en gadolinium-forbedring (GD) læsion inden for 6 uger efter randomisering. Den udvidede handicapstatusskala (EDSS) blev også vurderet, og patienter kunne have scoringer fra 0 til 5. Neurologiske evalueringer blev udført ved baseline hver 3. måned og på tidspunktet for mistænkt tilbagefald. MR -evalueringer blev udført i baseline måned 6 og år 1 og 2 i en undergruppe af patienter (44% i undersøgelse 1 og 48% i undersøgelse 2).
Undersøgelse 1: Placebo-kontrolleret forsøg i RRMS
Undersøgelse 1 var en 2-årig randomiseret dobbeltblind placebokontrolleret undersøgelse hos 1234 patienter med RRM'er. Det primære slutpunkt var andelen af patienter, der var tilbagefaldt efter 2 år. Yderligere slutpunkter efter 2 år inkluderede antallet af nye eller nyligt forstørrede T2 -hyperintense -læsioner Antal nye T1 -hypointense -læsioner Antal GD -læsioner Årlig tilbagefaldshastighed (ARR) og tid til bekræftet handicapprogression. Bekræftet progression af handicap blev defineret som mindst en stigning på 1 punkt fra baseline EDSS (NULL,5 punktstigning for patienter med baseline -EDS'er på 0) påført i 12 uger.
Hvad har Benadryl i det
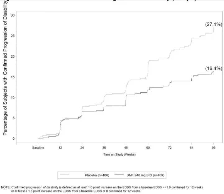
Patienter blev randomiseret til at modtage dimethylfumarat 240 mg to gange om dagen (n = 410) dimethylfumarat 240 mg tre gange om dagen (n = 416) eller placebo (n = 408) i op til 2 år. Medianalderen var 39 års mediantid, siden diagnosen var 4 år, og median EDSS -score ved baseline var 2. mediantid på undersøgelsesmedicin for alle behandlingsarme var 96 uger. Procentdelene af patienter, der afsluttede 96 uger på undersøgelsesmedicin pr. Behandlingsgruppe, var 69% for patienter, der blev tildelt dimethylfumarat 240 mg to gange om dagen 69% for patienter, der blev tildelt dimethylfumarat 240 mg tre gange om dagen og 65% for patienter, der blev tildelt placebogrupper. Dimethyl -fumarat havde en statistisk signifikant effekt på alle de endpunkter, der er beskrevet ovenfor, og 240 mg tre gange daglig dosis viste ingen yderligere fordel i forhold til dimethylfumaratet 240 mg to gange dagligt dosis. Resultaterne for denne undersøgelse (240 mg to gange om dagen vs. placebo) er vist i tabel 2 og figur 1.
Tabel 2: Kliniske og MR -resultater af undersøgelse 1
| Dimethyl fumarat 240 mg bud | Placebo | P-værdi | |
| Kliniske slutpunkter | N = 410 | N = 408 | |
| Proporty Relaping (primært slutpunkt) | 27% | 46% | <0.0001 |
| Relativ risikoreduktion | 49% | ||
| Årlig tilbagefaldshastighed | 0.172 | 0.364 | <0.0001 |
| Relativ reduktion | 53% | ||
| Andel med progression af handicap | 16% | 27% | 0.0050 |
| Relativ risikoreduktion | 38% | ||
| MR -slutpunkter | N = 152 | N = 165 | |
| Gennemsnitligt antal nye eller nyligt forstørrede T2 -læsioner over 2 år | 2.6 | 17 | <0.0001 |
| Procentdel af emner uden nye eller nyligt forstørrede læsioner | 45% | 27% | |
| Antal GD -læsioner efter 2 år | 0,1 (0) | 0,8 (0) | |
| Gennemsnit (median) | |||
| Procentdel af emner med | |||
| 0 læsioner | 93% | 62% | |
| 1 læsion | 5% | 10% | |
| 2 læsion | <1% | 8% | |
| 3 til 4 læsioner | 0 | 9% | |
| 5 eller flere læsioner | <1% | 11% | |
| Relativ oddsreduktion (procentdel) | 90% | <0.0001 | |
| Gennemsnitligt antal nye T1 -hypointense -læsioner over 2 år | 1.5 | 5.6 | <0.0001 |
Figur 1: Tid til 12-ugers bekræftet progression af handicap (undersøgelse 1)
|
Undersøgelse 2: Placebo-kontrolleret forsøg i RRMS
Undersøgelse 2 var en 2-årig multicenter randomiseret dobbeltblind placebokontrolleret undersøgelse, der også omfattede en open-label-komparatorarm hos patienter med RRM'er. Det primære slutpunkt var den årlige tilbagefaldshastighed efter 2 år. Yderligere slutpunkter efter 2 år inkluderede antallet af nye eller nyligt forstørrede T2 -hyperintense -læsioner Antal T1 -hypointense -læsioner Antal GD -læsioner Andel af patienter tilbagefaldt og tid til bekræftet handicapprogression som defineret i undersøgelse 1.
Patienter blev randomiseret til at modtage dimethylfumarat 240 mg to gange om dagen (n = 359) dimethylfumarat 240 mg tre gange om dagen (n = 345) en open-label-komparator (n = 350) eller placebo (n = 363) i op til 2 år. Medianalderen var 37 års mediantid, siden diagnosen var 3 år, og median EDSS -score ved baseline var 2,5. Mediantiden på undersøgelsesmedicin for alle behandlingsarme var 96 uger. Procentdelene af patienter, der afsluttede 96 uger på undersøgelsesmedicin pr. Behandlingsgruppe, var 70% for patienter, der blev tildelt dimethylfumarat 240 mg to gange om dagen 72% for patienter, der blev tildelt dimethylfumarat 240 mg tre gange om dagen og 64% for patienter, der blev tildelt placebogrupper.
Dimethylfumarat havde en statistisk signifikant effekt på tilbagefalds- og MR -endepunkter beskrevet ovenfor. Der var ingen statistisk signifikant effekt på handicapprogression. Dimethylfumarat 240 mg tre gange daglig dosis resulterede ikke i yderligere fordel i forhold til dimethylfumarat 240 mg to gange dagligt dosis. Resultaterne for denne undersøgelse (240 mg to gange om dagen vs. placebo) er vist i tabel 3.
Tabel 3: Kliniske og MR -resultater af undersøgelse 2
| Dimethyl fumarat 240 mg bud | Placebo | P-værdi | |
| Kliniske slutpunkter | N = 359 | N = 363 | |
| Årlig tilbagefaldshastighed | 0.224 | 0.401 | |
| Relativ reduktion | 44% | <0.0001 | |
| Andelen tilbagefaldende | 29% | 41% | 0.0020 |
| Relativ risikoreduktion | 34% | ||
| Andel med progression af handicap | 13% | 17% | 0.25 |
| Relativ risikoreduktion | 21% | ||
| MR -slutpunkter | N = 147 | N = 144 | |
| Gennemsnitligt antal nye eller nyligt forstørrede T2 -læsioner over 2 år | 5.1 | 17.4 | <0.0001 |
| Procentdel af emner uden nye eller nyligt forstørrede læsioner | 27% | 12% | |
| Antal GD -læsioner efter 2 år Gennemsnit (median) | 0,5 (0) | 2.0 (0) | |
| Procentdel af emner med | |||
| 0 | 80% | 61% | |
| 1 | 11% | 17% | |
| 2 læsion | 3% | 6% | |
| 3 | 3% | 2% | |
| 5 eller flere læsioner | 3% | 14% | |
| Relativ oddsreduktion (procentdel) | 74% | <0.0001 | |
| Gennemsnitligt antal nye T1 -hypointense -læsioner over 2 år | 3.0 | 7.0 | <0.0001 |
Patientinformation til Bafiertam
Ingen oplysninger leveret. Se Advarsler og forholdsregler afsnit.