Oplysningerne På Webstedet Er Ikke Medicinsk Rådgivning. Vi Sælger Ikke Noget. Nøjagtigheden Af Oversættelsen Er Ikke Garanteret. Ansvarsfraskrivelse
Hepatitis B hepatitis C -agenterBaraclude
Resume af lægemiddeloversigt
Hvad er Baraclude?
Antiviral Nukleosidlægemiddel indikeret til behandling af kronisk hepatitis B -virusinfektion hos voksne med bevis for aktiv viral replikation og enten bevis for vedvarende forhøjelser i serumaminotransferaser (ALT eller AST) eller histologisk aktiv sygdom. Baraclude fås i generisk form.
Hvad er bivirkninger af Baraclude?
Almindelige bivirkninger af baraclude inkluderer:
- kvalme
- opkast
- diarre
- ked af maven
- midlertidigt hårtab
- hovedpine
- Skinudslæt
- træthed
- svimmelhed eller
- Søvnproblemer (søvnløshed).
Baraclude kan også forårsage alvorlige leversymptomer. Fortæl din læge, hvis du har nogle leversymptomer, herunder:
- Lav feber
- mavesmerter
- Tab af appetit
- Mørk urin
- lerfarvet afføring eller
- gulsot (gulning af huden eller øjnene).
Søg medicinsk behandling eller ring 911 på én gang, hvis du har følgende alvorlige bivirkninger:
- Alvorlige øjensymptomer såsom pludseligt synstab sløret synet tunnel vision øje smerter eller hævelse eller at se haloer omkring lys;
- Alvorlige hjertesymptomer såsom hurtig uregelmæssige eller bankende hjerteslag; flagrende i brystet; åndenød; og pludselig svimmelhed letthed eller udlevering;
- Alvorlig hovedpine forvirring sløret talearm eller ben svaghed problemer med at gå tab af koordination føles ustabil meget stive muskler høj feber voldsom sved eller rysten.
Dette dokument indeholder ikke alle mulige bivirkninger, og andre kan forekomme. Kontakt din læge for yderligere oplysninger om bivirkninger.
Dosering til Baraclude
Baraclude -tabletter er tilgængelige til oral administration i styrker på 0,5 mg og 1 mg. Baraclude skal administreres på tom mave (mindst 2 timer efter et måltid og 2 timer før det næste måltid).
Hvilke stoffer stoffer eller kosttilskud interagerer med baraclude?
Baraclude kan interagere med medikamenter, der svækker dit immunsystem (såsom kræftmedicin eller steroider) amphotericin B cyclosporin pentamidin sirolimus tacrolimus antibiotika eller andre antivirale lægemidler. Fortæl din læge alle medicin og kosttilskud, du bruger.
Baraclude under graviditet og amning
Der er ingen tilstrækkelige og godt kontrollerede undersøgelser af baraclude hos gravide kvinder. Baraclude skal kun bruges under graviditet eller amning, hvis det er klart nødvendigt, og efter omhyggelig overvejelse af risici og fordele.
Yderligere oplysninger
Vores Baraclude (Entecavir) bivirkninger Drug Center giver et omfattende overblik over tilgængelige lægemiddelinformation om de potentielle bivirkninger, når du tager denne medicin.
FDA -lægemiddelinformation
- Lægemiddelbeskrivelse
- Indikationer
- Bivirkninger
- Advarsler
- Overdosis
- Klinisk farmakologi
- Medicin vejledning
ADVARSEL
Alvorlige akutte forværringer af hepatitis B -patienter møntficeret med HIV og HBV og mælkesyreanlæg og hepatomegali
Der er rapporteret om alvorlige akutte forværringer af hepatitis B hos patienter, der har afbrudt anti-hepatitis B-terapi inklusive Entecavir. Leverfunktion skal overvåges tæt med både klinisk og laboratorieopfølgning i mindst flere måneder hos patienter, der afbryder antihepatitis B-terapi. Hvis relevant påbegyndelse af anti-hepatitis B-terapi kan være berettiget [se advarsler og forholdsregler].
Begrænset klinisk erfaring antyder, at der er et potentiale for udvikling af resistens over for HIV (human immundefektvirus) nukleosid omvendt transkriptaseinhibitorer, hvis baraclude bruges til behandling af kronisk hepatitis B -virus (HBV) infektion hos patienter med HIV -infektion, der ikke behandles. Terapi med Baraclude anbefales ikke til HIV/HBV-co-inficerede patienter, der ikke også modtager meget aktive antiretroviral terapi (HAART) [se advarsler og forholdsregler].
Mælkesyreose og svær hepatomegali med steatose inklusive dødelige tilfælde er rapporteret ved anvendelse af nukleosidanaloge hæmmere alene eller i kombination med antiretrovirale midler [se advarsler og forholdsregler].
Beskrivelse til Baraclude
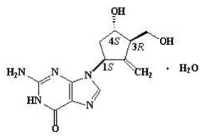
BaraClude® er varianten for entecavir en guanosin -nukleosidanalog med selektiv aktivitet mod HBV. Det kemiske navn på entecavir er 2-amino-19-dihydro-9-[(1S3R4S) -4-hydroxy-3- (hydroxymethyl) -2-methylenecyclopentyl] -6H-purin-6-en monohydrat. Dens molekylære formel er C 12 H 15 N 5 O 3 • H. 2 O hvilket svarer til en molekylvægt på 295,3. Entecavir har følgende strukturelle formel:
|
Entecavir er en hvid til off-white pulver. Det er lidt opløseligt i vand (NULL,4 mg/ml), og pH -værdien af den mættede opløsning i vand er 7,9 ved 25 ° C ± 0,5 ° C
Baraclude-filmovertrukne tabletter er tilgængelige til oral administration i styrker på 0,5 mg og 1 mg Entecavir. Baraclude 0,5 mg og 1 mg filmbelagte tabletter indeholder følgende inaktive ingredienser: lactose monohydrat mikrokrystallinsk cellulose crospovidon povidon og magnesiumstearat. Tabletbelægningen indeholder titandioxid hypromellose polyethylenglycol 400 polysorbat 80 (kun 0,5 mg tablet) og jernoxidrød (1 mg tablet). Baraclude oral opløsning er tilgængelig til oral administration som en klar til brug opløsning indeholdende 0,05 mg entecavir pr. Ml. Baraclude oral opløsning indeholder følgende inaktive ingredienser: maltitol natriumcitrat citronsyre methylparaben propylparaben og orange smag.
Hvad behandler flagyl hos mennesker
Bruger til Baraclude
Baraclude (Entecavir) er indikeret til behandling af kronisk hepatitis B -virusinfektion hos voksne og pædiatriske patienter 2 år og ældre med bevis for aktiv viral replikation og enten bevis for vedvarende forhøjninger i serumaminotransferaser (ALT eller AST) eller histologisk aktiv sygdom.
Dosering til Baraclude
Tidspunkt for administration
Baraclude skal administreres på tom mave (mindst 2 timer efter et måltid og 2 timer før det næste måltid).
Anbefalet dosering hos voksne
Kompenseret leversygdom
Den anbefalede dosis af baraclude til kronisk hepatitis B-virusinfektion i nukleosidinhibitortreatment- naã¯ve voksne og unge 16 år og ældre er 0,5 mg en gang dagligt.
Den anbefalede dosis af baraclude hos voksne og unge (mindst 16 år) med en historie med hepatitis B -viræmi, mens den modtager lamivudin eller kendt lamivudin- eller telbivudinresistenssubstitutioner RTM204I/V med eller uden RTL180M RTL80I/V eller RTV173L er 1 Mg en gang dagligt.
Dekompenseret leversygdom
Den anbefalede dosis af baraclude til kronisk hepatitis B -virusinfektion hos voksne med dekompenseret leversygdom er 1 mg en gang dagligt.
Anbefalet dosering hos pædiatriske patienter
Tabel 1 beskriver den anbefalede dosis af baraclude til pædiatriske patienter 2 år eller ældre og vejer mindst 10 kg. Den orale opløsning skal bruges til patienter med kropsvægt op til 30 kg.
Tabel 1: Doseringsplan for pædiatriske patienter
| Kropsvægt (kg) | Anbefalet en gang daglig dosis af oral opløsning (ML) | |
| Behandling-N aive patienter a | Lamivudin-erfarne patienter b | |
| 10 til 11 | 3 | 6 |
| større end 11 til 14 | 4 | 8 |
| større end 14 til 17 | 5 | 10 |
| større end 17 til 20 | 6 | 12 |
| større end 20 til 23 | 7 | 14 |
| større end 23 til 26 | 8 | 16 |
| større end 26 til 30 | 9 | 18 |
| større end 30 | 10 | 20 |
| a Børn med kropsvægt større end 30 kg skal modtage 10 ml (NULL,5 mg) oral opløsning eller en 0,5 mg tablet en gang dagligt. b Børn med kropsvægt større end 30 kg skal modtage 20 ml (1 mg) oral opløsning eller en 1 mg tablet en gang dagligt. |
Nedskærmning af nyren
Hos voksne personer med nedsat nyrefunktion faldt den tilsyneladende mundtlige clearance af Entecavir, efterhånden som kreatininklarering faldt [se Klinisk farmakologi ]. Doseringsjustering anbefales til patienter med kreatinin-clearance mindre end 50 ml/min inklusive patienter på hæmodialyse eller kontinuerlig ambulant peritoneal dialyse (CAPD) som vist i tabel 2.. De en gang daglige doseringsregimer foretrækkes.
Tabel 2: Anbefalet dosering af Baraclude hos voksne patienter med nedsat nyrefunktion
| Kreatinin clearance (ml/min) | Almindelig dosis (NULL,5 mg) | Lamivudin-ildfast eller dekompenseret leversygdom (1 mg) |
| 50 eller mere | 0,5 mg en gang dagligt | 1 mg en gang dagligt |
| 30 til mindre end 50 | 0,25 mg en gang dagligt a | 0,5 mg en gang dagligt |
| ELLER | ELLER | |
| 0,5 mg hver 48 time | 1 mg hver 48 time | |
| 10 til mindre end 30 | 0,15 mg en gang dagligt a | 0,3 mg en gang dagligt a |
| ELLER | ELLER | |
| 0,5 mg hver 72 time | 1 mg hver 72 time | |
| Mindre end 10 hæmodialyse b eller capd | 0,05 mg en gang dagligt a | 0,1 mg en gang dagligt a |
| ELLER | ELLER | |
| 0,5 mg hver 7. dag | 1 mg hver 7. dag | |
| a For doser, der er mindre end 0,5 mg baraclude oral opløsning, anbefales. b Hvis det administreres på en hæmodialysedag, administrerer Baraclude efter hæmodialysesessionen. |
Selvom der ikke er tilstrækkelige data til at anbefale en specifik dosisjustering af baraclude hos pædiatriske patienter med nedsat nyrefunktion, bør en reduktion i dosis eller en stigning i doseringsintervallet, der ligner justeringer for voksne, overvejes.
Leverskrivning i leveren
Ingen doseringsjustering er nødvendig for patienter med leverfunktion.
Terapi varighed
Den optimale varighed af behandlingen med baraclude for patienter med kronisk hepatitis B-virusinfektion og forholdet mellem behandling og langtidsresultater, såsom cirrhose og hepatocellulært karcinom, er ukendt.
Hvor leveret
Doseringsformularer og styrker
- Baraclude 0,5 mg filmovertrukne tabletter er hvide til off-white trekantede formede og nedfældet med BMS på den ene side og 1611 på den anden side.
- Baraclude 1 mg filmovertrukne tabletter er lyserøde trekantede og nedfældet med BMS på den ene side og 1612 på den anden side.
- Baraclude Oral opløsning 0,05 mg/ml er en klar til brug orange-flavored klar farveløs til lysegul vandig opløsning. Ti ml af den orale opløsning tilvejebringer en dosis på 0,5 mg og 20 ml tilvejebringer en 1 mg dosis af encavir.
Opbevaring og håndtering
Baraclude® (Entecavir) tabletter og oral opløsning fås i følgende styrker og konfigurationer af plastflasker med børnebestandige lukninger:
| Produktstyrke og doseringsform | Beskrivelse | Mængde | NDC -nummer |
| 0,5 mg filmovertrukket tablet | Hvid til off-white triangulær formet tablet, der blev nedbydet med BMS på den ene side og 1611 på den anden side. | 30 tabletter | 0003-1611-12 |
| 1 mg filmovertrukket tablet | Pink trekantet formet tablet, der blev nedbydet med BMS på den ene side og 1612 på den anden side. | 30 tabletter | 0003-1612-12 |
| 0,05 mg/ml oral opløsning | Klar til brug orange-flavored klar farveløs til lysegul vandig opløsning i en 260 ml flaske. | 210 ml | 0003-1614-12 |
Baraclude Oral Solution er et klar til brug produkt; Fortynding eller blanding med vand eller andet opløsningsmiddel eller flydende produkt anbefales ikke. Hver flaske med den orale opløsning ledsages af en doseringsske, der er kalibreret i trin på 0,5 ml op til 10 ml.
Opbevaring
Baraclude -tabletter skal opbevares i en tæt lukket beholder ved 25 ° C (77 ° F); Udflugter tilladt mellem 15 ° C og 30 ° C (59 ° F og 86 ° F) [se USP -kontrolleret stuetemperatur ]. Opbevares i den ydre karton for at beskytte mod lys.
Baraclude oral opløsning skal opbevares i den ydre karton ved 25 ° C (77 ° F); Udflugter tilladt mellem 15 ° C og 30 ° C (59 ° F og 86 ° F) [se USP -kontrolleret stuetemperatur ]. Beskyt mod lys. Efter åbning af den mundtlige opløsning kan der bruges op til udløbsdatoen på flasken. Flasken og dens indhold skal kasseres efter udløbsdatoen.
Distribueret af: Bristol-Myers Squibb Company Princeton NJ 08543 USA. Revideret: Nov 2019
Bivirkninger til Baraclude
Følgende bivirkninger diskuteres i andre sektioner af mærkningen:
- Forværringer af hepatitis efter seponering af behandlingen [se Bokset advarsel ADVARSELS AND FORHOLDSREGLER ].
- Mælkesyreasis og svær hepatomegali med steatosis [se Bokset advarsel ADVARSELS AND FORHOLDSREGLER ].
Klinisk forsøgsoplevelse
Fordi kliniske forsøg udføres under vidt forskellige tilstande, kan der ikke sammenlignes bivirkninger, der er observeret i de kliniske forsøg med et lægemiddel, ikke direkte med hastigheder i de kliniske forsøg med et andet lægemiddel og muligvis ikke afspejler de satser, der er observeret i praksis.
Klinisk forsøgsoplevelse In Adults
Kompenseret leversygdom
Evaluering af bivirkninger er baseret på fire undersøgelser (AI463014 AI463022 AI463026 og AI463027), hvor 1720 personer med kronisk hepatitis B -virusinfektion og kompenseret leversygdom modtog dobbeltbehandling med Baraclude 0,5 mg/dag (n = 679) Baraclude 1 MG/N = 183) eller lamiv (N = 858) for 85) for) for 1) for 1 MG/N = 183) eller Lamivine (N = 858) for 85) for) for) for for) for) for for) for for) for) for for) for) for for) for) for) for) for for) for) for) for for) for) for) for for) for) for) for for) for) for) for for) for) for) for for) for) for) for for) for) for for) for) for for) for) for) for) for) for) for) for) for) for (N = 183) op til 2 år. Median varighed af terapi var 69 uger for baraclude-behandlede forsøgspersoner og 63 uger for lamivudin-behandlede forsøgspersoner i studier AI463022 og AI463027 og 73 uger for baracludetreated forsøgspersoner og 51 uger for lamivudin-behandlede personer i undersøgelser AI463026 og AI463014. Sikkerhedsprofilerne for baraclude og lamivudin var sammenlignelige i disse undersøgelser.
De mest almindelige bivirkninger af enhver sværhedsgrad (≥3%) med mindst en mulig relation til undersøgelsesmedicin for baraclude-behandlede forsøgspersoner var hovedpine træthedsvin og kvalme. De mest almindelige bivirkninger blandt lamivudin-behandlede forsøgspersoner var hovedpine træthed og svimmelhed. En procent af baraclude-behandlede forsøgspersoner i disse fire undersøgelser sammenlignet med 4% af lamivudin-behandlede forsøgspersoner, der blev afbrudt for bivirkninger eller unormale laboratorieprøvesultater.
Kliniske bivirkninger af moderat-svær intensitet og betragtes i det mindste muligvis relateret til behandling, der forekommer under terapi i fire kliniske studier, hvor Baraclude blev sammenlignet med lamivudin, er vist i tabel 3.
Tabel 3: Kliniske bivirkninger af moderat-svær intensitet (klasse 2-4) rapporteret i fire Entencavir-kliniske forsøg gennem 2 år
| Kropssystem/ bivirkning | Nukleosidinhibitor-naiv b | Lamivudin- ildfast c | ||
| Baraclude 0,5 mg n = 679 | Lamivudin 100 mg n = 668 | Baraclude 1 mg n = 183 | Lamivudin 100 mg n = 190 | |
| Enhver bivirkning af klasse 2-4 a | 15% | 18% | 22% | 23% |
| Gastrointestinal | ||||
| Diarre | <1% | 0 | 1% | 0 |
| Dyspepsi | <1% | <1% | 1% | 0 |
| Kvalme | <1% | <1% | <1% | 2% |
| Opkast | <1% | <1% | <1% | 0 |
| Generel | ||||
| Træthed | 1% | 1% | 3% | 3% |
| Nervesystem | ||||
| Hovedpine | 2% | 2% | 4% | 1% |
| Svimmelhed | <1% | <1% | 0 | 1% |
| Somnolence | <1% | <1% | 0 | 0 |
| Psykiatrisk | ||||
| Søvnløshed | <1% | <1% | 0 | <1% |
| a Inkluderer begivenheder med mulig sandsynligt visse eller ukendte forhold til behandlingsregime. b Undersøgelser AI463022 og AI463027. c Inkluderer undersøgelse AI463026 og Baraclude 1 mg og lamivudinbehandlingsarme i studiet AI463014 En fase 2 multinationel randomiseret dobbeltblind undersøgelse af tre doser af Baraclude (NULL,1 0,5 og 1 mg) en gang dagligt versus fortsat lamivudin 100 mg en gang dagligt i op til 52 uger i emner, der oplevede tilbagevendende viremia på lamivuuus-terapi. |
Laboratorie abnormiteter
Frekvenser af udvalgte behandling af behandlingsfremstillingslaboratorie rapporteret under terapi i fire kliniske forsøg med baraclude sammenlignet med lamivudin er anført i tabel 4.
Tabel 4: Udvalgte behandling af behandlingsfremstillingslaboratorier rapporteret i fire kliniske forsøg med entencavir gennem 2 år
| Prøve | Nukleosidinhibitor-naive b | Lamivudine-ildfast c | ||
| Baraclude 0,5 mg n = 679 | Lamivudin 100 mg n = 668 | Baraclude 1 mg n = 183 | Lamivudin 100 mg n = 190 | |
| Enhver klasse 3-4 laboratorie abnormitet d | 35% | 36% | 37% | 45% |
| Alt> 10 x uln og> 2 x baseline | 2% | 4% | 2% | 11% |
| Alt> 5 x uln | 11% | 16% | 12% | 24% |
| Albumin <2.5 g/dL | <1% | <1% | 0 | 2% |
| Samlet bilirubin ≥2,5 x uln | 2% | 2% | 3% | 2% |
| Lipase> 2.1 x uln | 7% | 6% | 7% | 7% |
| Kreatinin> 3 x uln | 0 | 0 | 0 | 0 |
| Bekræftet kreatininforøgelse ≥0,5 mg/dl | 1% | 1% | 2% | 1% |
| Hyperglykæmi fastende> 250 mg/dl | 2% | 1% | 3% | 1% |
| Glycosuria e | 4% | 3% | 4% | 6% |
| Hæmaturi f | 9% | 10% | 9% | 6% |
| Blodplader <50000/mm³ | <1% | <1% | <1% | <1% |
| a On-behandlingsværdi forværret fra baseline til grad 3 eller klasse 4 for alle parametre undtagen albumin (enhver værdi på behandlingen <2.5 g/dL) confirmed creatinine increase ≥0.5 mg/dL and ALT> 10 x uln og> 2 x baseline. b Undersøgelser AI463022 og AI463027. c Inkluderer undersøgelse AI463026 og Baraclude 1 mg og lamivudinbehandlingsarme i studiet AI463014 En fase 2 multinationel randomiseret dobbeltblind undersøgelse af tre doser af Baraclude (NULL,1 0,5 og 1 mg) en gang dagligt versus fortsat lamivudin 100 mg en gang dagligt i op til 52 uger i emner, der oplevede tilbagevendende viremia på lamivuuus-terapi. d Inkluderer hæmatologi -rutinemæssige kemiske nyr- og leverfunktionstest Pancreatiske enzymer og urinalyse. e Grad 3 = 3 stor ≥500 mg/dL; Grad 4 = 4 markeret alvorligt. f Grad 3 = 3 stor; Grad 4 = ≥4 markeret alvorlig mange. Uln = øvre grænse for normal. |
Blandt baraclude-behandlede forsøgspersoner i disse undersøgelser på behandlingsafløbet større end 10 gange den øvre grænse for normal (ULN) og større end 2 gange baseline generelt løst med fortsat behandling. Et flertal af disse forværringer var forbundet med en ≥2 log 10 /ml reduktion i viral belastning, der gik forud for eller faldt sammen med ALT -elevationen. Periodisk overvågning af leverfunktion anbefales under behandlingen.
Forværringer af hepatitis efter seponering af behandlingen
En forværring af hepatitis eller alt -flare blev defineret som alt større end 10 gange ULN og større end 2 gange individets referenceniveau (minimum af baseline eller sidste måling ved slutningen af dosering). For alle forsøgspersoner, der afbrød behandlingen (uanset årsag), præsenterer tabel 5 andelen af personer i hver undersøgelse, der oplevede alt-behandling efter behandlingen. I disse undersøgelser fik en undergruppe af forsøgspersoner lov til at afbryde behandlingen på eller efter 52 uger, hvis de opnåede en protokoldefineret respons på terapi. Hvis Baraclude afbrydes uden hensyntagen til behandlingsrespons, kan frekvensen af fakler efter behandlingen være højere. [Se ADVARSELS AND FORHOLDSREGLER ]
Tabel 5: Forværringer af hepatitis under off-behandlingsopfølgningspersoner i studier AI463022 AI463027 og AI463026
| Personer med ALT -forhøjninger> 10 x Uln og> 2 x Reference a | ||
| Baraclude | Lamivudin | |
| Nukleosidinhibitor-naive | ||
| HBeAg-positiv- | - | - |
| HBeAg-negativ | 24/302 (8%) | 30/270 (11%) |
| Lamivudin-refractory | 6/52 (12%) | 0/16 |
| a Referencen er minimum af baseline eller sidste måling i slutningen af doseringen. Median tid til forværring af forbehandling var 23 uger for baraclude-behandlede forsøgspersoner og 10 uger for lamivudin-behandlede forsøgspersoner. |
Dekompenseret leversygdom
Undersøgelse AI463048 var en randomiseret open-label-undersøgelse af Baraclude 1 mg en gang dagligt versus adefovir dipivoxil 10 mg en gang dagligt givet i op til 48 uger i voksne personer med kronisk HBV-infektion og bevis for leverdæmpning defineret som en børne-turcotte-puh (CTP) score af 7 eller højere [See Kliniske studier ]. Among the 102 subjects receiving Baraclude the most common treatment-emergent adverse events of any severity regardless of causality occurring through Week 48 were peripheral edema (16%) ascites (15%) pyrexia (14%) hepatic encephalopathy (10%) og upper respiratory infection (10%). Clinical adverse reactions not listed in Table 3 that were observed through Week 48 include blood bicarbonate decreased (2%) og renal failure ( <1%).
Atten af 102 (18%) forsøgspersoner behandlet med Baraclude og 18/89 (20%) forsøgspersoner behandlet med adefovir dipivoxil døde i de første 48 uger af terapi. Størstedelen af dødsfaldet (11 i Baraclude-gruppen og 16 i Adefovir-dipivoxil-gruppen) skyldtes leverrelaterede årsager, såsom leverfejl i leverencephalopati hepatorenal syndrom og øvre gastrointestinal blødning. Hastigheden af hepatocellulært karcinom (HCC) til uge 48 var 6% (6/102) for forsøgspersoner behandlet med baraclude og 8% (7/89) for forsøgspersoner behandlet med adefovir dipivoxil. Fem procent af forsøgspersoner i begge behandlingsarm ophørte terapi på grund af en bivirkning gennem uge 48.
Intet emne i nogen behandlingsarm oplevede en on-behandling leverflam (ALT> 2 x baseline og> 10 x Uln) gennem uge 48. Elleve af 102 (11%) forsøgspersoner behandlet med Baraclude og 11/89 (13%) forsøgspersoner behandlet med Adefovir dipivoxil havde en bekræftet stigning i serumkreatinin på 0,5 MG/DL gennem uge 48.
HIV/HBV co-inficeret
Sikkerhedsprofilen for Baraclude 1 mg (n = 51) i HIV/HBV co-inficerede personer, der er indskrevet i undersøgelse AI463038, svarede til placebo (n = 17) gennem 24 ugers blindet behandling og svarer til det, der blev set hos ikke-HIV-inficerede emner [se ADVARSELS AND FORHOLDSREGLER ].
Levertransplantationsmodtagere
Blandt 65 forsøgspersoner, der modtager Baraclude i et åbent forsøg efter lever-levertransplantation [se Brug i specifikke populationer ] Frekvensen og arten af bivirkninger var i overensstemmelse med dem, der forventes hos patienter, der har modtaget en levertransplantation og den kendte sikkerhedsprofil for Baraclude.
Klinisk forsøgsoplevelse In Pediatric Subjects
Sikkerheden af baraclude hos pædiatriske personer 2 til mindre end 18 år er baseret på to kliniske forsøg hos personer med kronisk HBV -infektion (en fase 2 farmakokinetisk forsøg [AI463028] og et fase 3 -forsøg [AI463189]). Disse forsøg gav erfaring i 168 HBeAg-positive forsøgspersoner behandlet med Baraclude i en median varighed på 72 uger. De bivirkninger, der blev observeret hos pædiatriske personer, der modtog behandling med Baraclude, var i overensstemmelse med dem, der blev observeret i kliniske forsøg med baraclude hos voksne. Bivirkninger, der er rapporteret i mere end 1% af pædiatriske personer, omfattede abdominal smerter udslæt begivenheder dårlig velsmagende (produktsmag unormal) kvalme diarré og opkast.
Oplevelse af postmarketing
Data fra langvarig observationsundersøgelse
Undersøgelse AI463080 var en randomiseret global observations åben mærket fase 4-undersøgelse for at vurdere langsigtede risici og fordele ved baraclude (NULL,5 mg/dag eller 1 mg/dag) behandling sammenlignet med andre standard-af-pleje HBV-nukleos (T) IDE-analoger i personer med kronisk HBV-infektion.
I alt 12378 patienter blev behandlet med Baraclude (N = 6216) eller andre HBV-nukleos (T) IDE-behandling [ikke-i-en-en-en-en-en-presset (ETV)] (n = 6162). Patienter blev evalueret ved baseline og derefter hver 6. måned i op til 10 år. De vigtigste kliniske resultatbegivenheder, der blev vurderet under undersøgelsen, var generelt ondartede neoplasmer leverrelateret HBV-sygdomsprogression HCC ikke-HCC maligne neoplasmer og død. Undersøgelsen viste, at Baraclude ikke var signifikant forbundet med en øget risiko for ondartede neoplasmer sammenlignet med andre HBV-nukleos (T) IDE'er (T) IDE'er som vurderet af enten det sammensatte endepunkt for de samlede ondartede neoplasmer eller det individuelle endepunkt for ikke-HCC Maligne neoplasmer. De mest almindeligt rapporterede malignitet i både Baraclude- og ikke-ETV-grupperne var HCC efterfulgt af gastrointestinale maligniteter. Dataene viste også, at langvarig baraclude-anvendelse ikke var forbundet med en lavere forekomst af HBV-sygdomsprogression eller en lavere dødshastighed generelt sammenlignet med andre HBV-nukleos (T) IDE'er. De vigtigste vurderinger af klinisk resultat er vist i tabel 6.
Tabel 6: Hovedanalyser af tid til bedømmede begivenheder - Randomiserede behandlede emner
| Slutpunkt c | Antal emner med begivenheder | ||
| Baraclude N = 6216 | Ikke-ev N = 6162 | Fareforhold tbaraclijde: ikke-et VI (CI a ) | |
| Primarv -endepunkter | |||
| Samlet ondartet neoplasma | 331 | 337 | 0.93 (NULL,800 1.084) |
| Leverrelateret HBV-sygdomsprogression | 350 | 375 | 0.89 (NULL,769 1.030) |
| Død | 238 | 264 | 0.85 (0.713 1.012) |
| Secondarv slutpunkter | |||
| Ikke-HCC malign neoplasma | 95 | 81 | 1.10 (NULL,817 1.478) |
| HCC | 240 b | 263 | 0.87 (0.727 1.032) |
| Analyser blev stratificeret af geografisk region og tidligere HBV -nukleos (T) IDE -oplevelse. a 95,03% CI for den samlede maligne neoplasma-død og leverrelateret HBV-sygdomsprogression; 95% CI for ikke-HCC malign neoplasma og HCC. b Et emne havde en forbehandling HCC-begivenhed og blev udelukket fra analysen. c Samlet ondartet neoplasma is a composite event of HCC or non-HCC malignant neoplasm. Leverrelateret HBV-sygdomsprogression is a composite event of liver-related death HCC or non-HCC HBV disease progression. CI = konfidensinterval; N = samlet antal emner. |
Undersøgelsens begrænsninger omfattede befolkningsændringer i den langsigtede opfølgningsperiode og hyppigere ændringer efter randomiseringsbehandling i ikke-ETV-gruppen. Derudover blev undersøgelsen underpowered for at demonstrere en forskel i den ikke-HCC-malignitetshastighed på grund af den lavere end forventede baggrundshastighed.
Bivirkninger fra eftermarkedsføring af spontane rapporter
Følgende bivirkninger er rapporteret i løbet af postmarketing brug af Baraclude. Fordi disse reaktioner blev rapporteret frivilligt fra en population af ukendt størrelse, er det ikke muligt at pålideligt estimere deres frekvens eller etablere et årsagsforhold til baraclude -eksponering.
Immunsystemforstyrrelser: Anaphylactoid -reaktion.
Metabolisme og ernæringsforstyrrelser: Mælkesyreasis.
Hepatobiliære lidelser: Forøgede transaminaser.
Hud og subkutane vævsforstyrrelser: Alopecia -udslæt.
Oxycodon Acetaminophen 10-325 High
Lægemiddelinteraktioner for Baraclude
Da Entecavir primært elimineres af nyrerne [se Klinisk farmakologi ] Samtidig administration af baraclude med medikamenter, der reducerer nyrefunktionen eller konkurrerer om aktiv rørformet sekretion, kan øge serumkoncentrationer af enten Entecavir eller det coadministrerede lægemiddel. Coadministration af encavir med lamivudin adefovir dipivoxil eller tenofovir disoproxil fumarat resulterede ikke i signifikante lægemiddelinteraktioner. Virkningerne af samtidig administration af baraclude med andre lægemidler, der er elimineret renalt eller er kendt for at påvirke nyrefunktionen, er ikke blevet evalueret, og patienter skal overvåges tæt for bivirkninger, når Baraclude administreres sammen med sådanne lægemidler.
Advarsler for Baraclude
Inkluderet som en del af FORHOLDSREGLER afsnit.
Forholdsregler for Baraclude
Alvorlige akutte forværringer af hepatitis B
Der er rapporteret om alvorlige akutte forværringer af hepatitis B hos patienter, der har afbrudt anti-hepatitis B-terapi inklusive entecavir [se Bivirkninger ]. Hepatic function should be monitored closely with both clinical og laboratory follow-up for at least several months in patients who discontinue anti-hepatitis B therapy. If appropriate initiation of anti-hepatitis B therapy may be warranted.
Patienter co-inficeret med HIV og HBV
Baraclude has not been evaluated in HIV/HBV co-infected patients who were not simultaneously receiving effective HIV treatment. Limited clinical experience suggests there is a potential for the development of resistance to HIV nucleoside reverse transcriptase inhibitors if Baraclude is used to treat chronic hepatitis B virus infection in patients with HIV infection that is not being treated [see Mikrobiologi ]. Therefore therapy with Baraclude is not recommended for HIV/HBV co-infected patients who are not also receiving HAART. Before initiating Baraclude therapy HIV antibody testing should be offered to all patients. Baraclude has not been studied as a treatment for HIV infection og is not recommended for this use.
Mælkesyreasose og svær hepatomegali med steatose
Mælkesyreose og svær hepatomegali med steatose inklusive dødelige tilfælde er rapporteret ved anvendelse af nukleosidanaloge hæmmere inklusive baraclude alene eller i kombination med antiretrovirale midler. Et flertal af disse sager har været hos kvinder. Fedme og langvarig eksponering for nukleosidinhibitor kan være risikofaktorer. Der skal udvises særlig forsigtighed, når man administrerer nukleosidanaloge hæmmere til enhver patient med kendte risikofaktorer for leversygdom; Imidlertid er der også rapporteret om tilfælde hos patienter uden kendte risikofaktorer.
Mælkesyre med baraclude er rapporteret ofte i forbindelse med leverdugning af andre alvorlige medicinske tilstande eller lægemiddeleksponeringer. Patienter med dekompenseret leversygdom kan have en højere risiko for mælkesyreasis. Behandling med Baraclude bør suspenderes hos enhver patient, der udvikler kliniske eller laboratoriefund, der tyder på mælkesyreose eller udtalt hepatotoksicitet (som kan omfatte hepatomegali og steatosis, selv i fravær af markante transaminaseforhøjelser).
Oplysninger om patientrådgivning
Se FDA-godkendt patientmærkning (patientinformation).
Alvorlig akut forværring af hepatitis efter seponering af behandlingen
Informer patienter om, at seponering af anti-hepatitis B-terapi inklusive baraclude kan resultere i alvorlige akutte forværringer af hepatitis B. rådgive patienten om ikke at afbryde Baraclude uden først at informere deres sundhedsudbyder [se ADVARSELS AND FORHOLDSREGLER ].
Risiko for udvikling af HIV-1-resistens hos patienter med HIV-1-møntfektion
Informer patienter om, at hvis de har eller udvikler HIV -infektion og ikke modtager effektiv HIV -behandling, kan Baraclude øge risikoen for udvikling af resistens over for HIV -medicin [se ADVARSELS AND FORHOLDSREGLER ].
Mælkesyreasose og svær hepatomegali
Mælkesyreose og svær hepatomegali med steatose inklusive dødelige tilfælde er rapporteret ved anvendelse af medikamenter, der ligner Baraclude. Rådgive patienter om at kontakte deres sundhedsudbyder med det samme og stoppe Baraclude, hvis de udvikler kliniske symptomer, der tyder på mælkesyreose eller udtalt hepatotoksicitet [se ADVARSELS AND FORHOLDSREGLER ].
Savnet dosering
Informer patienter om, at det er vigtigt at tage Baraclude på en regelmæssig doseringsplan på tom mave (mindst 2 timer efter et måltid og 2 timer før det næste måltid) og undgå manglende doser, da det kan resultere i udvikling af modstand [se Dosering og administration ].
Behandlingsvarighed
Rådgiv patienter om, at den optimale behandling i behandlingen af kronisk hepatitis B er ukendt. Forholdet mellem respons og langvarig forebyggelse af resultater som hepatocellulært karcinom vides ikke.
Brug til brug
Informer patienter, der bruger den orale opløsning til at holde doseringsskeen i en lodret position og fylde den gradvist til det mærke, der svarer til den foreskrevne dosis. Skylning af doseringsske med vand anbefales efter hver daglig dosis. Nogle patienter har måske svært ved at måle den foreskrevne dosis nøjagtigt ved at måle den forelagte doseringsske; Derfor bør patienter/plejere henvise til trinnene i sektionen for patientinformation, der demonstrerer den korrekte teknik til at bruge den medfølgende doseringssked til at måle den foreskrevne Baraclude -dosis.
Graviditetsregister
Rådgiv patienter om, at der er et graviditetseksponeringsregister, der overvåger graviditetsresultater hos kvinder udsat for Baraclude under graviditet [se Brug i specifikke populationer ].
Ikke -klinisk toksikologi
Karcinogenese mutagenese nedskrivning af fertilitet
Carcinogenese
Langvarige orale carcinogenicitetsundersøgelser af entecavir hos mus og rotter blev udført ved eksponeringer op til ca. 42 gange (mus) og 35 gange (rotter) dem, der blev observeret hos mennesker til den højest anbefalede dosis på 1 mg/dag. I mus- og rotteundersøgelser var entecavir positiv til kræftfremkaldende fund. Det vides ikke, hvor forudsigelige resultaterne af gnaverkarcinogenicitetsundersøgelser kan være for mennesker [se Bivirkninger ].
Hos mus blev lungeadenomer forøget hos mænd og kvinder ved eksponeringer 3 og 40 gange dem hos mennesker. Lungecarcinomer hos både mandlige og kvindelige mus blev øget ved eksponeringer 40 gange dem hos mennesker. Kombinerede lungeadenomer og carcinomer blev forøget hos mandlige mus ved eksponeringer 3 gange og hos hunmus ved eksponeringer 40 gange dem hos mennesker. Tumorudvikling blev forudgået af pneumocytproliferation i lungen, som ikke blev observeret hos rotterhunde eller aber, der blev administreret encavir, der understøtter den konklusion, at lungetumorer hos mus kan være en artsspecifik begivenhed. Hepatocellulære carcinomer blev forøget hos mænd, og kombinerede leveradenomer og carcinomer blev også forøget ved eksponeringer 42 gange dem hos mennesker. Vaskulære tumorer hos hunmus (hæmangiomer af æggestokke og livmoder og hæmangiosarkomer af milt) blev øget ved eksponeringer 40 gange dem hos mennesker. Hos rotter blev hepatocellulære adenomer forøget hos kvinder ved eksponeringer 24 gange dem hos mennesker; Kombinerede adenomer og carcinomer blev også forøget hos kvinder ved eksponeringer 24 gange dem hos mennesker. Hjerne gliomas blev induceret hos både mænd og kvinder ved eksponeringer 35 og 24 gange dem hos mennesker. Hudfibromer blev induceret hos kvinder ved eksponeringer 4 gange dem hos mennesker.
Mutagenese
Entecavir var klastogen for humane lymfocytkulturer. Entecavir var ikke mutagen i Ames Bacterial Reverse Mutation Assay ved hjælp af S. Typhimurium og E. coli Stammer i nærvær eller fravær af metabolisk aktivering af en pattedyrscellegenmutationsassay og et transformationsassay med syriske hamsterembryo-celler. Entecavir var også negativ i en oral micronucleus -undersøgelse og en oral DNA -reparationsundersøgelse hos rotter.
Værdiforringelse af fertiliteten
I reproduktive toksikologiske undersøgelser, hvor dyr blev administreret encavir ved op til 30 mg/kg i op til 4 uger, blev der ikke set noget bevis for nedsat fertilitet hos mandlige eller kvindelige rotter ved systemiske eksponeringer større end 90 gange dem, der blev opnået hos mennesker ved den højeste anbefalede dosis på 1 mg/dag. I gnaver- og hundetoksikologiske undersøgelser blev der observeret seminiferøs rørformet degeneration ved eksponeringer 35 gange eller større end dem, der blev opnået hos mennesker. Ingen testikelændringer var tydelige hos aber.
Brug i specifikke populationer
Graviditet
Graviditet Exposure Registry
Der er et graviditetseksponeringsregister, der overvåger graviditetsresultater hos kvinder, der udsættes for Baraclude under graviditet. Udbydere af sundhedsydelser opfordres til at registrere patienter ved at ringe til Antiretroviral Graviditetsregistret (APR) på 1-800-258-4263.
Risikooversigt
Prospektive graviditetsdata fra APR er ikke tilstrækkelige til at vurdere risikoen for fødselsdefekters spontanabort eller ugunstige moderlige eller føtalesultater. Entecavir -brug under graviditet er blevet evalueret i et begrænset antal individer, der er rapporteret til APR, og antallet af eksponeringer for Entecavir er utilstrækkelig til at foretage en risikovurdering sammenlignet med en referencepopulation. Den estimerede baggrundshastighed for større fødselsdefekter er 2,7% i den amerikanske referencepopulation af Metropolitan Atlanta Congenitive Defects Program (MACDP). Hastigheden af spontanabort rapporteres ikke i april. Alle graviditeter har en baggrundsrisiko for tab af fødselsdefekt eller andre bivirkninger. I den amerikanske generelle befolkning er den estimerede baggrundsrisiko for spontanabort i klinisk anerkendte graviditeter 15 år 20%.
I dyreproduktionsundersøgelser blev der ikke observeret ugunstige udviklingseffekter med entecavir ved klinisk relevante eksponeringer. Ingen udviklingstoksiciteter blev observeret ved systemiske eksponeringer (AUC) ca. 25 (rotter) og 200 (kaniner) gange eksponeringen ved den maksimale anbefalede humane dosis (MRHD) på 1 mg/dag (se Data ).
Data
Dyredata
Entecavir blev administreret oralt til gravide rotter (ved 2 20 og 200 mg pr. Kg pr. Dag) og kaniner (ved 1 4 og 16 mg pr. Kg pr. Dag) under organogenese (på drægtighedsdage 6 til 15 [rotte] og 6 til 18 [kanin]). Hos rotter er embryofetal-toksicitet inklusive resorptionsresorptionsresorptioner efter implantation og rygvirvelmalformationer skeletvariationer inklusive reduceret ossifikation (hvirveldyr sternebrae og phalanges) og ekstra lændehvirvler og ribben og nedre fosterkropsvægte blev observeret ved systemiske eksponeringer (AUC) 3100 gange dem i MRH. Mødretoksicitet blev også observeret på dette dosisniveau. Hos kaniner er embryofetal-toksicitet inklusive resorptioner efter implantationstab og skeletvariationer inklusive reduceret ossifikation (hyoid) og øget forekomst af 13 ribben observeret ved systemiske eksponeringer (AUC) 883 gange dem i mennesker ved MRHD. Der var ingen tegn på embryofetal -toksicitet, da gravide dyr modtog oral entecavir ved 28 (rotte) og 212 (kanin) gange den menneskelige eksponering (AUC) ved MRHD. I en før/postnatal udviklingsundersøgelse blev Entecavir administreret oralt til gravide rotter ved 0,3 3 og 30 mg pr. Kg pr. Dag fra drægtighedsdag 6 til amning/post-partum dag 20. Ingen bivirkninger på afkom forekom ved op til den højeste dosis evalueret resulterede i udsættelser (AUC) større end 94 gange dem i humans ved MRHD.
Amning
Risikooversigt
Det vides ikke, om Baraclude er til stede i human modermælk, der påvirker produktion af human mælk eller har effekter på det ammede spædbarn. Når man administreres til ammende rotter, var Entecavir til stede i mælk (se Data ). The developmental og health benefits of breastfeeding should be considered along with the mother’s clinical need for Baraclude og any potential adverse effects on the breastfed infant from Baraclude or from the underlying maternal condition.
Data
Entecavir blev udskilt i mælken af ammende rotter efter en enkelt oral dosis på 10 mg pr. Kg på amning dag 7. Entecavir i mælk var ca. 25% i moderen i moderlig plasma (baseret på AUC).
Pædiatrisk brug
Baraclude was evaluated in two clinical trials of pediatric subjects 2 years of age og older with HBeAgpositive chronic HBV infection og compensated liver disease. The exposure of Baraclude in nucleoside-inhibitor- treatment-naïve og lamivudine-experienced pediatric subjects 2 years of age og older with HBeAg-positiv chronic HBV infection og compensated liver disease receiving 0.015 mg/kg (up to 0,5 mg en gang dagligt) or 0.03 mg/kg (up to 1 mg en gang dagligt) respectively was evaluated in Study AI463028. Safety og efficacy of the selected dose in treatment-naïve pediatric subjects were confirmed in Study AI463189 a rogomized placebo-controlled treatment trial [see Indikationer og brug Dosering og administration Bivirkninger Klinisk farmakologi og Kliniske studier ].
Der er begrænsede data tilgængelige om brugen af baraclude hos lamivudin-erfarne pædiatriske patienter; Baraclude bør kun bruges hos disse patienter, hvis den potentielle fordel retfærdiggør den potentielle risiko for barnet. Da nogle pædiatriske patienter kan kræve langvarig eller endda levetidshåndtering af kronisk aktiv hepatitis B-overvejelse, skal der tages Mikrobiologi ].
Effektiviteten og sikkerheden af Baraclude er ikke blevet fastlagt hos patienter under 2 år. Brug af baraclude i denne aldersgruppe er ikke blevet evalueret, fordi behandling af HBV i denne aldersgruppe sjældent er påkrævet.
Geriatrisk brug
Kliniske undersøgelser af Baraclude inkluderede ikke tilstrækkeligt antal forsøgspersoner i alderen 65 år og derover for at afgøre, om de reagerer forskelligt fra yngre emner. Entecavir udskilles væsentligt af nyrerne, og risikoen for toksiske reaktioner på dette lægemiddel kan være større hos patienter med nedsat nyrefunktion. Fordi ældre patienter er mere tilbøjelige til at have nedsat nyrefunktionspleje bør udvises i dosisudvælgelse, og det kan være nyttigt at overvåge nyrefunktion [se Dosering og administration ].
Racemæssige/etniske grupper
Der er ingen signifikante racemæssige forskelle i Entecavir -farmakokinetik. Sikkerheden og effektiviteten af Baraclude 0,5 mg en gang dagligt blev vurderet i en enkelt-arm åben-labelforsøg med HBeAg-positive eller-negative nukleosidinhibitor-naã¯ve sort/afroamerikaner (n = 40) og latinamerikanske (n = 6) personer med kronisk HBV-infektion. I dette forsøg var 76% af forsøgspersonerne mandlig, at middelalderen var 42 år 57% var HBeAg-positiv Den gennemsnitlige baseline HBV DNA var 7,0 log 10 IU/ml og den gennemsnitlige baseline alt var 162 U/L. I uge 48 i behandlingen 32 af 46 (70%) personer havde HBV DNA <50 IU/mL (approximately 300 Kopier/ml) 31 of 46 (67%) subjects had ALT normalization (≤1 × ULN) og 12 of 26 (46%) HBeAg-positiv subjects had HBe seroconversion. Safety data were similar to those observed in the larger controlled clinical trials.
På grund af lav tilmeldingssikkerhed og effektivitet er ikke blevet fastlagt i den amerikanske latinamerikanske befolkning.
Nedskærmning af nyren
Doseringsjustering af baraclude anbefales til patienter med kreatinin -clearance mindre end 50 ml/min inklusive patienter på hæmodialyse eller CAPD [se Dosering og administration og Klinisk farmakologi ].
Levertransplantationsmodtagere
Sikkerheden og effektiviteten af Baraclude blev vurderet i et enkeltarms åbningsmærket forsøg hos 65 forsøgspersoner, der modtog en levertransplantation til komplikationer af kronisk HBV-infektion. Kvalificerede personer, der havde HBV-DNA mindre end 172 IE/ml (ca. 1000 kopier/ml) på transplantationstidspunktet, blev behandlet med Baraclude 1 mg en gang dagligt ud over sædvanlig behandling efter transplantation inklusive hepatitis B immun globulin. Forsøgspopulationen var 82% mandlige 39% kaukasiske og 37% asiatiske med en gennemsnitlig alder på 49 år; 89% af forsøgspersoner havde HBeag-negativ sygdom på transplantationstidspunktet.
Fire af de 65 forsøgspersoner modtog 4 uger eller mindre af Baraclude (2 dødsfald 1 re-transplantation og 1 protokolovertrædelse) og blev ikke betragtet som evaluerbare. Af de 61 forsøgspersoner, der modtog mere end 4 ugers Baraclude 60, modtog hepatitis B immun globulin efter transplantation. Femogtredive forsøgspersoner (82% af alle 65 behandlede forsøgspersoner) afsluttede forsøget og havde HBV-DNA-målinger på eller efter 72 ugers behandling efter transplantation. Alle 53 forsøgspersoner havde HBV -DNA <50 IU/mL (approximately 300 Kopier/ml). Eight evaluable subjects did not have HBV DNa data available at 72 weeks including 3 subjects who died prior to study completion. No subjects had HBV DNa values ≥50 IU/mL while receiving Baraclude (plus hepatitis B immune globulin). All 61 evaluable subjects lost HBsAg post-transplant; 2 of these subjects experienced recurrence of measurable HBsAg without recurrence of HBV viremia. This trial was not designed to determine whether addition of Baraclude to hepatitis B immune globulin decreased the proportion of subjects with measurable HBV DNa post-transplant compared to hepatitis B immune globulin alone.
Hvis Baraclude -behandling er bestemt til at være nødvendig for en levertransplantationsmodtager, der har modtaget eller modtager et immunsuppressivt middel, der kan påvirke nyrefunktionen, såsom cyclosporin eller tacrolimus nyrefunktion, skal overvåges omhyggeligt både før og under behandling med baraclude [se Dosering og administration og Klinisk farmakologi ].
Overdoseringsoplysninger til Baraclude
Der er begrænset erfaring med overdosering af entencavir hos patienter. Sunde forsøgspersoner, der modtog enkelttekavirdoser op til 40 mg eller flere doser op til 20 mg/dag i op til 14 dage, havde ingen stigning i eller uventede bivirkninger. Hvis overdosis forekommer, skal patienten overvåges for bevis for toksicitet og standardstøttende behandling anvendt efter behov.
Efter en enkelt 1 mg-dosis af entecavir fjernede en 4-timers hæmodialyse-session ca. 13% af den indsatsdosis.
Kontraindikationer for Baraclude
Ingen.
Klinisk farmakologi for Baraclude
Handlingsmekanisme
Entecavir er et antiviralt lægemiddel mod hepatitis B -virus [se Mikrobiologi ].
Farmakokinetik
Den enkelt- og multiple-dosis farmakokinetik af Entecavir blev evalueret hos raske forsøgspersoner og personer med kronisk hepatitis B-virusinfektion.
Absorption
Følgende oral administration i raske forsøgspersoner entecavir -topplasmakoncentrationer forekom mellem 0,5 og 1,5 timer. Efter flere daglige doser, der spænder fra 0,1 til 1 mg Cmax og areal under koncentrationstidskurven (AUC) ved stabil tilstand, steg i forhold til dosis. Stabil tilstand blev opnået efter 6 til 10 dage med en gang dagligt administration med cirka 2 gange akkumulering. For en 0,5 mg oral dosis Cmax ved stabil tilstand var 4,2 ng/ml og trugplasmakoncentration (CTROUGH) 0,3 ng/ml. For en 1 mg oral dosis Cmax var 8,2 ng/ml, og ctrough var 0,5 ng/ml.
Hos raske forsøgspersoner var tabletternes biotilgængelighed 100% i forhold til den orale opløsning. Den orale opløsning og tablet kan bruges ombytteligt.
Effekter af mad på oral absorption
Oral administration på 0,5 mg entecavir med et standardhøjtfattigt måltid (945 kcal 54,6 g fedt) eller et let måltid (379 kcal 8,2 G-fedt) resulterede i en forsinkelse i absorption (NULL,0â 1,5 timer fodret mod 0,75 timer fast) Dosering og administration ].
Fordeling
Baseret på den farmakokinetiske profil af Entecavir efter oral dosering er det estimerede tilsyneladende distributionsvolumen over det samlede kropsvand, der antyder, at Entecavir er omfattende fordelt i væv. Binding af entecavir til humane serumproteiner in vitro var ca. 13%.
Metabolisme og eliminering
Efter administration af 14 C-pågangen hos mennesker og rotter blev der ikke observeret nogen oxidative eller acetylerede metabolitter. Mindre mængder af fase II -metabolitter (glucuronid og sulfatkonjugater) blev observeret. Entecavir er ikke en substratinhibitor eller inducer af cytochrome P450 (CYP450) enzymsystemet. Se Lægemiddelinteraktioner under.
Efter at have nået en maksimal koncentration faldt entencavir-plasmakoncentrationer på en bi-eksponentiel måde med en terminal eliminering af halveringstid på ca. 128â € 149 timer. Det observerede lægemiddelakkumuleringsindeks er cirka 2 gange med dosering af en gang dagligt, hvilket antyder en effektiv akkumuleringshalveringstid på cirka 24 timer.
Entecavir elimineres overvejende af nyrerne med urinvinding af uændret lægemiddel ved stabil tilstand, der spænder fra 62% til 73% af den administrerede dosis. Nyreklarering er uafhængig af dosis og varierer fra 360 til 471 ml/min, hvilket antyder, at Entecavir gennemgår både glomerulær filtrering og netto rørformet sekretion [se Lægemiddelinteraktioner ].
Særlige befolkninger
Køn
Der er ingen signifikante kønsforskelle i Entecavir -farmakokinetik.
Race
Der er ingen signifikante racemæssige forskelle i Entecavir -farmakokinetik.
Ældre
Effekten af alder på farmakokinetikken af entecavir blev evalueret efter administration af en enkelt 1 mg oral dosis hos raske unge og ældre frivillige. Entecavir AUC var 29,3% større hos ældre forsøgspersoner sammenlignet med unge forsøgspersoner. Forskellen i eksponeringen mellem ældre og unge forsøgspersoner kunne sandsynligvis tilskrives forskelle i nyrefunktion. Doseringsjustering af baraclude skal være baseret på patientens nyrefunktion snarere end alder [se Dosering og administration ].
Pædiatri
Den stabile farmakokinetik af entecavir blev evalueret i nukleosidinhibitor-naive og lamivudin-eksperienced HBeag-positive pædiatriske personer 2 til mindre end 18 år med kompenseret leversygdom. Resultaterne er vist i tabel 7. Eksponering af entencavir blandt nukleosidinhibitor-naive personer svarede til eksponeringen opnået hos voksne, der fik doser på en gang dagligt på 0,5 mg. Entecavir-eksponering blandt lamivudin-erfarne forsøgspersoner svarede til eksponeringen opnået hos voksne, der fik doser på en gang dagligt på 1 mg.
Tabel 7: Farmakokinetiske parametre hos pædiatriske individer
| Nukleosidinhibitor-naiv a n = 24 | Lamivudin- Experienced b n = 19 | |
| Cmax (ng/ml) (CV%) | 6.31 (30) | 14.48 (31) |
| AUC (0-24) (NG • H/ML) (CV%) | 18.33 (27) | 38.58 (26) |
| CMM (NG/ML) (CV%) | 0,28 (22) | 0,47 (23) |
| a Personer modtog doser en gang dagligt på 0,015 mg/kg op til maksimalt 0,5 mg. b Personer modtog doser en gang dagligt på 0,030 mg/kg op til maksimalt 1 mg. |
Nedskærmning af nyren
Farmakokinetikken af encavir efter en enkelt 1 mg dosis blev undersøgt hos personer (uden kronisk hepatitis B -virusinfektion) med udvalgte grader af nedsat nyrefunktion inklusive personer, hvis nyre nedsat blev styret ved hæmodialyse eller kontinuerlig ambulant peritoneal dialyse (CAPD). Resultaterne er vist i tabel 8 [se Dosering og administration ].
Tabel 8: Farmakokinetiske parametre hos personer med udvalgte grader af nyrefunktion
| Nyrefunktionsgruppe | ||||||
| Baseline Creatinine Clearance (ML/MIN) | Alvorlig styret med hæmodialyse a n = 6 | Alvorlig administreret med CAPD n = 4 | ||||
| Uhindret> 80 n = 6 | Mild> 50-≤80 n = 6 | Moderat 30-50 n = 6 | Alvorlig <30 n = 6 | |||
| CM AX (NG/ML) (CV%) | 8.1 (30.7) | 10.4 (37.2) | 10.5 (22.7) | 15.3 (33.8) | 15.4 (56.4) | 16.6 (29.7) |
| AUC (0-T) (NG • H/ML) (CV) | 27.9 (25.6) | 51.5 (22.8) | 69,5 (NULL,7) | 145.7 (31.5) | 233.9 (28.4) | 221.8 (11.6) |
| CLR (ML/MIN) (SD) | 383.2 (101.8) | 197.9 (78.1) | 135.6 (31.6) | 40.3 (10.1) | Na | Na |
| Clt/f (ml/min) (SD) | 588.1 (153.7) | 309.2 (62.6) | 226.3 (60.1) | 100.6 (29.1) | 50.6 (16.5) | 35.7 (19.6) |
| a Doseret umiddelbart efter hæmodialyse. CLR = renal clearance; CLT/F = tilsyneladende oral clearance. |
Efter en enkelt 1 mg dosis af entecavir indgivet 2 timer før hæmodialyse -sessionen fjernede hæmodialyse ca. 13% af den indsatsdosis over 4 timer. CAPD fjernede ca. 0,3% af dosis over 7 dage [se Dosering og administration ].
Leverskrivning i leveren
Farmakokinetikken af entecavir efter en enkelt 1 mg dosis blev undersøgt hos voksne individer (uden kronisk hepatitis B-virusinfektion) med moderat eller alvorlig leverfunktion (børneturcotte-Pugh klasse B eller C). Farmakokinetikken af encavir var ens mellem hepatisk nedsat og sunde kontrolpersoner; Derfor anbefales der ingen doseringsjustering af Baraclude til patienter med leverfunktion. Farmakokinetikken af encavir er ikke undersøgt i pædiatriske personer med nedsat leverfunktion.
Transplantation efter leveren
Begrænsede data er tilgængelige om sikkerheden og effektiviteten af baraclude hos levertransplantationsmodtagere. I en lille pilotundersøgelse af entecavir-anvendelse i HBV-inficerede levertransplantationsmodtagere på en stabil dosis cyclosporin A (n = 5) eller tacrolimus (n = 4) Entecavir-eksponering var cirka 2 gange eksponeringen hos raske individer med normal nyrefunktion. Ændret nyrefunktion bidrog til stigningen i eksponering for entecavir hos disse forsøgspersoner. Potentialet for farmakokinetiske interaktioner mellem entecavir og cyclosporin A eller tacrolimus blev ikke formelt evalueret [se Brug i specifikke populationer ].
Lægemiddelinteraktioner
Metabolismen af encavir blev evalueret i in vitro og in vivo -studier. Entecavir er ikke en substratinhibitor eller inducer af cytochrome P450 (CYP450) enzymsystemet. Ved koncentrationer op til ca. 10000 fold højere end dem, der blev opnået hos mennesker, inhiberede Entecavir ingen af de vigtigste humane CYP450-enzymer 1A2 2C9 2C19 2D6 3A4 2B6 og 2E1. Ved koncentrationer op til ca. 340 gange højere end dem, der blev observeret hos mennesker, inducerede entecavir ikke de humane CYP450-enzymer 1A2 2C9 2C19 3A4 3A5 og 2B6. Det er usandsynligt, at farmakokinetikken i encavir vil blive påvirket af samtidig administration med midler, der enten metaboliseres ved at hæmme eller inducere CYP450 -systemet. Ligeledes er det usandsynligt, at farmakokinetikken af kendte CYP -underlag vil blive påvirket af samtidig administration af encavir.
Den stabile farmakokinetik af Entecavir og coadministerede lægemiddel blev ikke ændret i interaktionsundersøgelser af Entecavir med lamivudin adefovir dipivoxil og tenofovir disoproxil fumarat [se Lægemiddelinteraktioner ].
Mikrobiologi
Handlingsmekanisme
Entecavir A deoxyguanosin-nukleosidanalog med aktivitet mod HBV-omvendt transkriptase (RT) er effektivt phosphoryleret til den aktive triphosphatform, der har en intracellulær halveringstid på 15 timer. Ved at konkurrere med det naturlige substrat deoxyguanosin -triphosphate entecavir triphosphate hæmmer funktionelt alle tre aktiviteter i HBV -revers transkriptase: (1) basisprimering (2) revers transkription af den negative streng fra den pregenomiske messenger RNA og (3) syntese af den positive strand af HBV DNA. Entecavir triphosphat er en svag inhibitor af cellulær DNA -polymeraser α β og δ og mitokondrial DNA -polymerase γ med KI -værdier i området fra 18 til> 160 μm.
Antiviral aktivitet
Entecavir inhiberede HBV-DNA-syntese (50% reduktion EC50) i en koncentration på 0,004 μM i humane HepG2-celler transficeret med vildtype HBV. Den median EC50-værdi for Entecavir mod lamivudinresistent HBV (RTL180M RTM204V) var 0,026 μm (område 0,010â € 0,059 μm).
Samtidig administration af HIV -nukleosid/nukleotid revers transkriptaseinhibitorer (NRTIS) med Baraclude er usandsynligt, at det reducerer de Antiviral Effektivitet af baraclude mod HBV eller af nogen af disse midler mod HIV. I HBV-kombinationsassays i cellekulturen var abacavir didanosin lamivudin stavudine tenofovir eller zidovudin ikke antagonistisk over for anti-HBV-aktiviteten af encavir over en lang række koncentrationer. I HIV-antivirale assays var entecavir ikke antagonistisk over for cellekulturen anti-HIV-aktivitet af disse seks NRTI'er eller emtricitabin i koncentrationer større end 100 gange Cmax af entecavir ved anvendelse af 1 mg dosis.
Hvad er et andet navn på Lexapro
Antiviral aktivitet Against HIV
En omfattende analyse af den inhiberende aktivitet af entecavir mod et panel af laboratorium og klinisk HIV-type 1 (HIV-1) isolater ved anvendelse af en række celler og assaybetingelser gav EC50-værdier i området fra 0,026 til> 10 μm; De nedre EC50 -værdier blev observeret, når nedsatte niveauer af virus blev anvendt i analysen. I cellekultur valgt entekavir til en M184I -substitution i HIV -omvendt transkriptase ved mikromolære koncentrationer, der bekræfter hæmmende tryk ved høje entecavir -koncentrationer. HIV -varianter indeholdende M184V -substitutionen viste tab af modtagelighed for Entecavir.
Modstand
I cellekultur
I cellebaserede assays blev 8- til 30 gange reduktioner i entecavir-fænotypisk følsomhed observeret for lamivudinresistente stammer. Yderligere reduktioner (> 70 gange) i Entecavir-fænotypisk følsomhed krævede tilstedeværelsen af aminosyresubstitutioner RTM204I/V med eller uden RTL180M sammen med yderligere substitutioner ved rester RTT184 RTS202 eller RTM250 eller en kombination af disse substitutioner med eller uden RTI169-substitution i HBV-omvendt transcriptase. Lamivudinresistente stammer, der har RTL180M plus RTM204V i kombination med aminosyresubstitutionen RTA181C, gav 16- til 122 gange reduktioner i Entecavir-fænotypisk følsomhed.
Kliniske studier
Nukleosidinhibitor-naive Subjects
Genotypiske evalueringer blev udført på evaluerbare prøver (> 300 kopier/ml serum HBV DNA) fra 562 personer, der blev behandlet med Baraclude i op til 96 uger i nukleosidinhibitor-naive studier (AI463022 AI463027 og Rollover Study AI463901). I uge 96 Bevis for nye aminosyresubstitution RTS202G med RTL180M og RTM204V -substitutioner blev påvist i HBV for 2 forsøgspersoner (2/562 = <1%) og 1 of them experienced virologic rebound (≥1 log 10 stigning over nadir).
Derudover nye aminosyresubstitutioner ved RTM204I/V og RTL80I RTV173L eller RTL180M, som tildelte nedsatte fænotypiske modtagelighed for entecavir i fravær af RTT184 RTS202 eller RTM250 ændringer blev påvist i HBV af 3 emner (3/562 = <1%) who experienced virologic rebound. For subjects who continued treatment beyond 48 weeks 75% (202/269) had HBV DNa <300 copies/mL at end of dosing (up to 96 weeks).
HBeAg-positive (n = 243) og -negative (n = 39) behandlingsnaive forsøgspersoner, der ikke opnåede den undersøgelsesdefinerede komplette respons med 96 uger, blev tilbudt fortsat entecavir-behandling i en rollover-undersøgelse. Fuldstændigt svar for HBeag-positiv var <0.7 MEq/mL (approximately 7 × 10 5 Kopier/ml) serum HBV DNA og HBeAg-tab og for HBeAg-negativ var <0.7 MEq/mL HBV DNa og ALT normalization. Subjects received 1 mg entecavir once daily for up to an additional 144 weeks. Of these 282 subjects 141 HBeAg-positiv og 8 HBeAg-negativ subjects entered the long-term follow-up rollover study og were evaluated for entecavir resistance. Of the 149 subjects entering the rollover study 88% (131/149) 92% (137/149) og 92% (137/149) attained serum HBV DNa <300 copies/mL by Weeks 144 192 og 240 (including end of dosing) respectively. No novel entecavir resistance-associated substitutions were identified in a comparison of the genotypes of evaluable isolates with their respective baseline isolates. The cumulative probability of developing rtT184 rtS202 or rtM250 entecavir resistance-associated substitutions (in the presence of rtL180M og rtM204V substitutions) at Weeks 48 96 144 192 og 240 was 0.2% 0.5% 1.2% 1.2% og 1.2% respectively.
Lamivudine-ildfast Subjects
Genotypiske evalueringer blev udført på evaluerbare prøver fra 190 forsøgspersoner behandlet med Baraclude i op til 96 uger i undersøgelser af lamivudin-ildfast HBV (AI463026 AI463014 AI463015 og Rollover Study AI463901). I uge 96 Resistensassocierede aminosyresubstitutioner ved RTT184 RTS202 eller RTM250 med eller uden RTI169-ændringer i tilstedeværelsen af aminosyresubstitutioner RTM204I/V med eller uden RTL80V RTV173L/M eller RTL180M fremkom i HBV fra 22 Emner (22/190 = 12%) 16. (≥1 log 10 stigning over Nadir) og 4 af dem blev aldrig undertrykt <300 copies/mL. The HBV from 4 of these subjects had entecavir resistance substitutions at baseline og acquired further changes on entecavir treatment. In addition to the 22 subjects 3 subjects experienced virologic rebound with the emergence of rtM204I/V og rtL80V rtV173L/M or rtL180M. For isolates from subjects who experienced virologic rebound with the emergence of resistance-associated substitutions (n = 19) the median fold-change in entecavir EC50 values from reference was 19-fold at baseline og 106-fold at the time of virologic rebound. For subjects who continued treatment beyond 48 weeks 40% (31/77) had HBV DNa <300 copies/mL at end of dosing (up to 96 weeks).
Lamivudin-refractory subjects (n=157) who failed to achieve the study-defined complete response by Week 96 were offered continued entecavir treatment. Subjects received 1 mg entecavir once daily for up to an additional 144 weeks. Of these subjects 80 subjects entered the long-term follow-up study og were evaluated for entecavir resistance. By Weeks 144 192 og 240 (including end of dosing) 34% (27/80) 35% (28/80) og 36% (29/80) respectively attained HBV DNa <300 copies/mL. The cumulative probability of developing rtT184 rtS202 or rtM250 entecavir resistance-associated substitutions (in the presence of rtM204I/V with or without rtL180M substitutions) at Weeks 48 96 144 192 og 240 was 6.2% 15% 36.3% 46.6% og 51.5% respectively. The HBV of 6 subjects developed rtA181C/G/S/T amino acid substitutions while receiving entecavir og of these 4 developed entecavir resistance-associated substitutions at rtT184 rtS202 or rtM250 og 1 had an rtT184S substitution at baseline. Of 7 subjects whose HBV had an rtA181 substitution at baseline 2 also had substitutions at rtT184 rtS202 or rtM250 at baseline og another 2 developed them while on treatment with entecavir.
I en post-godkendelse integreret analyse af entecavir-resistensdata fra 17 fase 2 og 3 kliniske forsøg blev der påvist en opstående entecavir-resistensassocieret substitution RTA181C i 5 ud af 1461 (NULL,3%) forsøgspersoner under behandling med entecavir. Denne substitution blev kun påvist i nærvær af lamivudinresistanceassesocierede substitutioner RTL180M plus RTM204V.
Krydsresistens
Krydsresistens er blevet observeret blandt HBV-nukleosidanaloge hæmmere. I cellebaserede assays havde Entecavir 8- til 30 gange mindre inhibering af HBV-DNA-syntese til HBV indeholdende lamivudin og telbivudinresistensassocierede substitutioner RTM204I/V med eller uden RTL180M end for vildtype HBV. Substitutioner RTM204I/V med eller uden RTL80I/V RTV173L eller RTL180M, som er forbundet med lamivudin- og telbivudinresistens, giver også nedsat fænotypisk modtagelighed for entecavir. Effektiviteten af entecavir mod HBV, der har adefovir-resistensassocierede substitutioner, er ikke blevet fastlagt i kliniske forsøg. HBV-isolater fra lamivudin-ildfyldte forsøgspersoner, der svigtede encavir-terapi, var modtagelige i cellekultur for adefovir, men forblev resistent over for lamivudin. Rekombinante HBV-genomer, der koder for adefovir-resistensassocierede substitutioner ved enten RTA181V eller RTN236T, havde 1,1- eller 0,3-fold skift i følsomhed for henholdsvis encavir i cellekultur.
Kliniske studier
Resultater hos voksne
Ved 48 uger
Sikkerheden og effektiviteten af baraclude hos voksne blev evalueret i trefase 3 aktive kontrollerede forsøg. Disse undersøgelser omfattede 1633 forsøgspersoner 16 år eller ældre med kronisk hepatitis B-virusinfektion (serum HBsAg-positiv i mindst 6 måneder) ledsaget af bevis for viral replikation (påviselig serum HBV DNA som målt ved bDNA-hybridisering eller PCR-assay). Personer havde vedvarende forhøjede ALT -niveauer mindst 1,3 gange ULN og kronisk betændelse på leverbiopsi, der er kompatibel med en diagnose af kronisk viral hepatitis. Sikkerheden og effektiviteten af Baraclude blev også evalueret i en undersøgelse af 191 HBV-inficerede personer med dekompenseret leversygdom og i en undersøgelse af 68 personer, der blev inficeret med HBV og HIV.
Nukleosidinhibitor-naive Subjects With Kompenseret leversygdom
HBeAg-positiv
Undersøgelse AI463022 var en multinationel randomiseret dobbeltblind undersøgelse af Baraclude 0,5 mg en gang dagligt kontra lamivudin 100 mg en gang dagligt i mindst 52 uger i 709 (af 715 randomiseret) nukleosidinhibitor-naive personer med kronisk hepatitis B-virusinfektion kompenseret leversygdom og detekterbar HBeag. Middelalderen for forsøgspersoner var 35 år 75% var mandlige 57% var asiatiske 40% var kaukasiske og 13% havde tidligere modtaget interferon-a. Hos baseline havde forsøgspersoner en gennemsnitlig Knodell necroinflammatorisk score på 7,8 gennemsnitlige serum HBV DNA målt ved Roche Cobas Amplicor PCR Assay var 9,66 log 10 Kopier/ml og det gennemsnitlige serum -ALT -niveau var 143 U/L. Parret tilstrækkelige leverbiopsiprøver var tilgængelige for 89% af forsøgspersoner.
HBeAg-negativ (anti-HBe-positive/HBV DNa-positive)
Undersøgelse AI463027 var en multinationel randomiseret dobbeltblind undersøgelse af baraclude 0,5 mg en gang dagligt mod lamivudin 100 mg en gang dagligt i mindst 52 uger i 638 (af 648 randomiseret) nukleosidinhibitor-naive emner med HBeag-negativ (HBeabpositive) kronisk hepatitis-infektionsinfektion og kompenseret lever sygdom. Middelalderen for forsøgspersoner var 44 år 76% var mandlige 39% var asiatiske 58% var kaukasiske og 13% havde tidligere modtaget interferon-a. Hos baseline havde forsøgspersoner en gennemsnitlig Knodell necroinflammatorisk score på 7,8 gennemsnitlige serum HBV DNA målt ved Roche Cobas Amplicor PCR Assay var 7,58 log 10 Kopier/ml og det gennemsnitlige serum ALT -niveau var 142 U/L. Parret tilstrækkelige leverbiopsiprøver var tilgængelige for 88% af forsøgspersonerne.
I undersøgelser var AI463022 og AI463027 Baraclude bedre end lamivudin på det primære effektende endpoint for histologisk forbedring defineret som en 2-punkts eller større reduktion i knodell-nekroinflammatorisk score uden forværring i Knodell-fibrose-score i uge 48 og på den sekundære effekt på reduktion af reduktion af viral belastning og ALT-normalisering. Histologisk forbedring og ændring i Ishak -fibrose -score er vist i tabel 9. Udvalgte virologiske biokemiske og serologiske udfaldsmålinger er vist i tabel 10.
Tabel 9: Histologisk forbedring og ændring i Ishak-fibrose-score i uge 48 Nukleosidinhibitor-naive personer i studier AI463022 og AI463027
| Undersøg AI463022 (HBeAg-positiv) | Undersøg AI463027 (HBeAg-negativ) | |||
| Baraclude 0,5 mg n = 314 a | Lamivudin 100 mg n = 314 a | Baraclude 0,5 mg n = 296 a | Lamivudin 100 mg N = 287 a | |
| Histologisk forbedring (Knodell -scoringer) | ||||
| Forbedring b | 72% | 62% | 70% | 61% |
| Ingen forbedring | 21% | 24% | 19% | 26% |
| Ishak fibrosis score | ||||
| Forbedring c | 39% | 35% | 36% | 38% |
| Ingen ændring | 46% | 40% | 41% | 34% |
| Forværring c | 8% | 10% | 12% | 15% |
| Manglende uge 48 Biopsi | 7% | 14% | 10% | 13% |
| a Personer med evaluerende baselinehistologi (baseline Knodell necroinflammatorisk score ≥2). b ≥2-punkts fald i Knodell necroinflammatorisk score fra baseline uden forværring af Knodell-fibrose-score. c For Ishak-fibrose-score-forbedring = ≥1-punkts fald fra baseline og forværring = ≥1-punkts stigning fra baseline. |
Tabel 10: Udvalgte virologiske biokemiske og serologiske endepunkter i uge 48 Nukleosidinhibitor- Naive personer i studier AI463022 og AI463027
| Undersøg AI463022 (HBeAg-positiv) | Undersøg AI463027 (Hbeag-negativ) | |||
| Baraclude 0,5 mg n = 354 | Lamivudin 100 mg n = 355 | Baraclude 0,5 mg n = 325 | Lamivudin 100 mg n = 313 | |
| Hb v DNA a | ||||
| Andel ikke detekterbare ( <300 Kopier/ml) | 67% | 36% | 90% | 72% |
| Gennemsnitlig ændring fra baseline (log 10 Kopier/ml) | -6.86 | -5.39 | -5.04 | -4.53 |
| Alt -normalisering (≤1 x uln) | 68% | 60% | 78% | 71% |
| HBeAg Seroconversion | 21% | 18% | Na | Na |
| a Roche Cobas Amplicor PCR -assay [Nedre kvantificeringsgrænse (LLOQ) = 300 kopier/ml]. |
Histologisk forbedring var uafhængig af baseline -niveauer af HBV -DNA eller ALT.
Lamivudin-refractory Subjects With Kompenseret leversygdom
Undersøgelse AI463026 var en multinationel randomiseret dobbeltblind undersøgelse af Baraclude i 286 (af 293 randomiserede) forsøgspersoner med lamivudin-ildfast kronisk hepatitis B-virusinfektion og kompenseret leversygdom. Personer, der modtager lamivudin ved undersøgelsesindgangen, skiftede enten til Baraclude 1 mg en gang dagligt (med hverken en udvaskning eller en overlapningsperiode) eller fortsatte på lamivudin 100 mg i mindst 52 uger. Middelalderen for forsøgspersoner var 39 år 76% var mandlige 37% var asiatiske 62% var kaukasiske, og 52% havde tidligere modtaget interferon-a. Den gennemsnitlige varighed af forudgående lamivudinbehandling var 2,7 år, og 85% havde lamivudinresistenssubstitutioner ved baseline med en undersøgelseslinjesondeassay. Hos baseline havde forsøgspersoner en gennemsnitlig Knodell necroinflammatorisk score på 6,5 gennemsnitlige serum HBV DNA målt ved Roche Cobas Amplicor PCR Assay var 9,36 log 10 Kopier/ml og det gennemsnitlige serum -ALT -niveau var 128 U/L. Parret tilstrækkelige leverbiopsiprøver var tilgængelige for 87% af forsøgspersoner.
Baraclude was superior to lamivudine on a primary endpoint of Histologic Forbedring (using the Knodell Score at Week 48). These results og change in Ishak fibrosis score are shown in Table 11. Table 12 shows selected virologic biochemical og serologic endpoints.
Tabel 11: Histologisk forbedring og ændring i Ishak Fibrosis score i uge 48 Lamivudin- ildfast personer i undersøgelse AI463026
| Baraclude 1 mg n = 124 a | Lamivudin 100 mg n = 116 a | |
| Histologisk forbedring (Knodell -scoringer) | ||
| Forbedring b | 55% | 28% |
| Ingen forbedring | 34% | 57% |
| Ishak fibrosis score | ||
| Forbedring c | 34% | 16% |
| Ingen ændring | 44% | 42% |
| Forværring c | 11% | 26% |
| Manglende uge 48 Biopsi | 11% | 16% |
| a Personer med evaluerende baselinehistologi (baseline Knodell necroinflammatorisk score ≥2). b ≥2-punkts fald i Knodell necroinflammatorisk score fra baseline uden forværring af Knodell-fibrose-score. c For Ishak-fibrose-score-forbedring = ≥1-punkts fald fra baseline og forværring = ≥1-punkts stigning fra baseline. |
Tabel 12: Udvalgte virologiske biokemiske og serologiske endepunkter i uge 48 Lamivudine-ildfast personer i undersøgelse AI463026
| Baraclude 1 mg n = 141 | Lamivudin 100 mg n = 145 | |
| Hb v DNA a | ||
| Andel ikke detekterbare ( <300 Kopier/ml) | 19% | 1% |
| Gennemsnitlig ændring fra baseline (log 10 Kopier/ml) | -5.11 | -0.48 |
| Alt -normalisering (≤1 x uln) | 61% | 15% |
| HBeAg Seroconversion | 8% | 3% |
| a Roche Cobas Amplicor PCR -assay (LLOQ = 300 kopier/ml). |
Histologisk forbedring var uafhængig af baseline -niveauer af HBV -DNA eller ALT.
Personer med dekompenseret leversygdom
Undersøgelse AI463048 var en randomiseret open-label-undersøgelse af Baraclude 1 mg en gang dagligt versus adefovir dipivoxil 10 mg en gang dagligt i 191 (af 195 randomiserede) voksne personer med HBEAG-positiv eller -negativ kronisk HBV-infektion og bevis for levercompensation defineret som en børne-turcotte-PUGH (CTP) score på 7 eller højere. Personer var enten HBV-behandlingsnaive eller tidligere behandlet overvejende med lamivudin eller interferon-a.
I undersøgelse blev AI463048 100 forsøgspersoner randomiseret til behandling med Baraclude og 91 forsøgspersoner til behandling med adefovir dipivoxil. To forsøgspersoner, der er randomiseret til behandling med adefovir -dipivoxil, modtog faktisk behandling med Baraclude i undersøgelsens varighed. Middelalderen for forsøgspersoner var 52 år 74% var mandlige 54% var asiatiske 33% var kaukasiske og 5% var sort/afroamerikaner. Hos baseline havde forsøgspersoner et gennemsnitligt serum HBV DNA med PCR på 7,83 log 10 Kopier/ml og gennemsnitlig ALT -niveau på 100 U/L; 54% af forsøgspersoner var HBeAg-positive; 35% havde genotypisk bevis for lamivudinresistens. Baseline -middelværdien CTP -score var 8,6. Resultater for valgte studiepunkter i uge 48 er vist i tabel 13.
Tabel 13: Udvalgte slutpunkter i uge 48 Emner med dekompenseret leversygdomsundersøgelse AI463048
| Baraclude 1 mg n = 100 a | Adefovir dipivoxil 10 mg n = 91 a | |
| Hb v DNA b | ||
| Andel ikke detekterbare ( <300 Kopier/ml) | 57% | 20% |
| Stabil eller forbedret CTP -score c | 61% | 67% |
| HBSAG -tab | 5% | 0 |
| Normalisering af alt (≤1 x uln) d | 49/78 (63%) | 33/71 (46%) |
| a Slutpunkts were analyzed using intention-to-treat (ITT) method treated subjects as rogomized. b Roche Cobas Amplicor PCR -assay (LLOQ = 300 kopier/ml). c Defineret som fald eller ingen ændring fra baseline i CTP -score. d Denominator er forsøgspersoner med unormale værdier ved baseline. Uln = øvre grænse for normal. |
Personer co-inficeret med HIV og HBV
Undersøgelse AI463038 var en randomiseret dobbeltblind placebo-kontrolleret undersøgelse af Baraclude versus placebo i 68 personer, der var co-inficeret med HIV og HBV, der oplevede tilbagefald af HBV-viræmi, mens han modtog en lamivudinholdig meget aktiv antiretroviral (HAART) regimen. Personer fortsatte deres lamivudine indeholdende HAART-regime (Lamivudine-dosis 300 mg/dag) og blev tildelt til at tilføje enten Baraclude 1 mg en gang dagligt (51 personer) eller placebo (17 forsøgspersoner) i 24 uger efterfulgt af en open-label fase i yderligere 24 uger, hvor alle emner modtog Baraclude. Hos baseline havde forsøgspersoner et gennemsnitligt serum HBV DNA -niveau med PCR på 9,13 log 10 Kopier/ml. Ni og ni procent af forsøgspersonerne var HBeag-positive ved baseline med et gennemsnitligt baseline ALT-niveau på 71,5 U/L. Median HIV RNA -niveau forblev stabilt ved cirka 2 log 10 Kopier/ml gennem 24 ugers blindet terapi. Virologiske og biokemiske endepunkter i uge 24 er vist i tabel 14. Der er ingen data hos patienter med HIV/HBV-co-infektion, som ikke har modtaget tidligere lamivudinbehandling. Baraclude er ikke blevet evalueret hos HIV/HBV co-inficerede patienter, der ikke samtidig modtog effektiv HIV-behandling [se ADVARSELS AND FORHOLDSREGLER ].
bedste steder at bo i Athen
Tabel 14: Virologiske og biokemiske endepunkter i uge 24 Studie AI463038
| Baraclude 1 mg a n = 51 | Placebo a n = 17 | |
| Hb v DNA b | ||
| Andel ikke detekterbare ( <300 Kopier/ml) | 6% | 0 |
| Gennemsnitlig ændring fra baseline (log 10 Kopier/ml) | -3.65 | 0,11 |
| Alt -normalisering (≤1 x uln) | 34% c | 8% c |
| a Alle forsøgspersoner modtog også et lamivudinholdigt HAART-regime. b Roche Cobas Amplicor PCR -assay (LLOQ = 300 kopier/ml). c Procentdel af personer med unormal alt (> 1 ã— ULN) ved baseline, der opnåede ALT -normalisering (n = 35 for Baraclude og N = 12 for placebo). |
For emner, der oprindeligt blev tildelt Baraclude i slutningen af open-label-fasen (uge 48), havde 8% af forsøgspersoner HBV DNA <300 copies/mL by PCR the mean change from baseline HBV DNa by PCR was -4.20 log 10 Kopier/ml og 37% af forsøgspersoner med unormal ALT ved baseline havde ALT -normalisering (≤1 ã— ULN).
Ud over 48 uger
Den optimale varighed af terapi med Baraclude er ukendt. I henhold til protokol-mandaterede kriterier i de kliniske fase 3-forsøg ophørte personer med baraclude eller lamivudinbehandling efter 52 uger i henhold til en definition af respons baseret på HBV-virologisk undertrykkelse ( <0.7 MEq/mL by bDNa assay) og loss of HBeAg (in HBeAg-positiv subjects) or ALT <1.25 × ULN (in HBeAg-negativ subjects) at Week 48.
Emner, der opnåede virologisk undertrykkelse, men ikke havde serologisk respons (HBeAg-positiv) eller ikke opnåede alt <1.25 × ULN (HBeAg-negativ) continued blinded dosing through 96 weeks or until the response criteria were met. These protocol-specified subject management guidelines are not intended as guidance for clinical practice.
Nukleosidinhibitor-naive personer
Blandt nukleosidinhibitor-naive HBeAg-positive personer (undersøgelse AI463022) 243 (69%) Baraclude-behandlede forsøgspersoner og 164 (46%) Lamivudin-behandlede personer fortsatte blindet behandling i op til 96 uger. Af dem, der fortsatte blindet behandling i år 2 180 (74%) Baraclude -forsøgspersoner og 60 (37%) Lamivudinpersoner opnåede HBV -DNA <300 copies/mL by PCR at the end of dosing (up to 96 weeks). 193 (79%) Baraclude subjects achieved ALT ≤1 × ULN compared to 112 (68%) lamivudine subjects og HBeAg Seroconversion occurred in 26 (11%) Baraclude subjects og 20 (12%) lamivudine subjects.
Blandt nukleosidinhibitor-naive HBeAg-positive personer 74 (21%) Baraclude-forsøgspersoner og 67 (19%) lamivudinpersoner opfyldte definitionen af respons i uge 48 ophørte med undersøgelsesmedicin og blev fulgt af behandlingen i 24 uger. Blandt Baraclude -respondere 26 (35%) personer havde HBV -DNA <300 copies/mL 55 (74%) subjects had ALT ≤1 × ULN og 56 (76%) subjects sustained HBeAg Seroconversion at the end of follow-up. Among lamivudine responders 20 (30%) subjects had HBV DNa <300 copies/mL 41 (61%) subjects had ALT ≤1 × ULN og 47 (70%) subjects sustained HBeAg Seroconversion at the end of follow-up.
Blandt nukleosidinhibitor-naive HBeag-negative personer (undersøgelse AI463027) 26 (8%) Baraclude-behandlede forsøgspersoner og 28 (9%) Lamivudin-behandlede forsøgspersoner fortsatte blindet behandling i op til 96 uger. I denne lille kohort fortsatte behandling i år 2 22 Baraclude og 16 lamivudinpersoner havde HBV DNA <300 copies/mL by PCR og 7 og 6 subjects respectively had ALT ≤1 × ULN at the end of dosing (up to 96 weeks).
Blandt nukleosidinhibitor-naive HBeAg-negative forsøgspersoner 275 (85%) Baraclude-personer og 245 (78%) lamivudinpersoner opfyldte definitionen af respons i uge 48 ophørte undersøgelsesmedicin og blev fulgt af behandlingen i 24 uger. I denne kohort havde meget få forsøgspersoner i hver behandlingsarm HBV DNA <300 copies/mL by PCR at the end of follow-up. At the end of follow-up 126 (46%) Baraclude subjects og 84 (34%) lamivudine subjects had ALT ≤1 × ULN.
Lamivudine-ildfast Subjects
Blandt lamivudin-ildfastede forsøgspersoner (undersøgelse AI463026) 77 (55%) Baraclude-behandlede forsøgspersoner og 3 (2%) lamivudinpersoner fortsatte blindbehandling i op til 96 uger. I denne kohort af Baraclude -emner opnåede emner 31 (40%) personer HBV -DNA <300 copies/mL 62 (81%) subjects had ALT ≤1 × ULN og 8 (10%) subjects demonstrated HBeAg Seroconversion at the end of dosing.
Resultater hos pædiatriske personer
Farmakokinetikens sikkerhed og antiviral aktivitet af baraclude hos pædiatriske forsøgspersoner blev oprindeligt vurderet i undersøgelse AI463028. Fireogtyve behandlingsnaive og 19 lamivudin-erfarne HBeAg-positive pædiatriske personer 2 til mindre end 18 år med kompenseret kronisk hepatitis B-virusinfektion og forhøjet ALT blev behandlet med Baraclude 0,015 mg/kg (op til 0,5 mg) eller 0,03 mg/kg (op til 1 Mg) en gang dagligt. Femogtyve procent (14/24) af behandlingsnaive forsøgspersoner og 47% (9/19) af lamivudin-erfarne individer opnåede HBV-DNA <50 IU/mL at Week 48 og ALT normalized in 83% (20/24) of treatment-naive og 95% (18/19) of lamivudine-experienced subjects.
Sikkerhed og antiviral effektivitet blev bekræftet i undersøgelse AI463189 En undersøgelse af baraclude blandt 180 nukleosidinhibitor-behandling-naive pædiatriske personer 2 til mindre end 18 år med HBeag-positiv kronisk hepatitis B-infektion kompenseret leversygdom og øget Alt. Personer blev randomiseret 2: 1 for at modtage blindet behandling med baraclude 0,015 mg/kg op til 0,5 mg/dag (n = 120) eller placebo (n = 60). Randomiseringen blev stratificeret efter aldersgruppe (2 til 6 år;> 6 til 12 år; og> 12 til <18 years). Baseline demographics og HBV disease characteristics were comparable between the 2 treatment arms og across age cohorts. At study entry the mean HBV DNa was 8.1 log 10 Iu/ml og gennemsnit alt var 103 u/l. Det primære effektivitetsdepunkt var en sammensætning af HBeAg -serokonversion og serum HBV DNA <50 IU/mL at Week 48 assessed in the first 123 subjects reaching 48 weeks of blinded treatment. Twenty-four percent (20/82) of subjects in the Baraclude-treated group og 2% (1/41) of subjects in the placebo-treated group met the primary endpoint. Forty-six percent (38/82) of Baraclude-treated subjects og 2% (1/41) of placebo-treated subjects achieved HBV DNa <50 IU/mL at Week 48. ALT normalization occurred in 67% (55/82) of Baraclude-treated subjects og 22% (9/41) of placebo-treated subjects; 24% (20/82) of Baraclude-treated subjects og 12% (5/41) of placebo-treated subjects had HBeAg Seroconversion.
Patientinformation til Baraclude
Baraclude®
(Bear Ah Clumsy) (Entecavior) tabletter
Baraclude®
EN
Læs denne patientinformation, før du begynder at tage Baraclude, og hver gang du får en påfyldning. Der kan være nye oplysninger. Disse oplysninger indtager ikke stedet for at tale med din sundhedsudbyder om din medicinske tilstand eller behandling.
Hvad er de vigtigste oplysninger, jeg skal vide om Baraclude?
1. din hepatitis B -virus (HBV) -infektion kan blive værre, hvis du holder op med at tage baraclude. Dette sker normalt inden for 6 måneder efter at have stoppet Baraclude.
- Tag Baraclude nøjagtigt som foreskrevet.
- Kør ikke tør for Baraclude.
- Stop ikke Baraclude uden at tale med din sundhedsudbyder.
- Din sundhedsudbyder skal overvåge dit helbred og udføre regelmæssige blodprøver for at kontrollere din lever, hvis du holder op med at tage Baraclude.
2. Hvis du har eller får HIV, der ikke behandles med medicin, mens du tager Baraclude, kan HIV -virus udvikle modstand mod visse HIV -medicin og blive sværere at behandle. Du skal få en HIV -test, før du begynder at tage Baraclude og når som helst efter det, når der er en chance for at du blev udsat for HIV.
Baraclude can cause serious side effects including:
Mælkesyreosis (opbygning af syre i blodet). Nogle mennesker, der har taget Baraclude eller medicin som Baraclude (en nukleosidanalog), har udviklet en alvorlig tilstand kaldet mælkesyreose. Lactic acidosis er en alvorlig medicinsk nødsituation, der kan forårsage død. Mælkesyreasis skal behandles på hospitalet. Rapporter om mælkesyre med baraclude involverede generelt patienter, der var alvorligt syge på grund af deres leversygdom eller anden medicinsk tilstand.
Ring til din sundhedsudbyder med det samme, hvis du får nogen af følgende tegn eller symptomer på mælkesyreasis:
- Du føler dig meget svag eller træt.
- Du har usædvanlige (ikke normale) muskelsmerter.
- Du har problemer med at trække vejret.
- Du har mavesmerter med kvalme og opkast.
- Du føler dig kold, især i dine arme og ben.
- Du føler dig svimmel eller let.
- Du har en hurtig eller uregelmæssig hjerteslag.
4. alvorlige leverproblemer. Nogle mennesker, der har taget medicin som Baraclude, har udviklet alvorlige leverproblemer kaldet hepatotoksicitet med leverforstørrelse (hepatomegaly) og fedt i leveren (steatosis). Hepatomegaly med steatosis er en alvorlig medicinsk nødsituation, der kan forårsage død.
Ring til din sundhedsudbyder med det samme, hvis du får nogen af følgende tegn eller symptomer på leverproblemer:
- Din hud eller den hvide del af dine øjne bliver gul (gulsot).
- Din urin bliver mørk.
- Dine tarmbevægelser (afføring) vender lys i farve.
- Du har ikke lyst til at spise mad i flere dage eller længere.
- Du føler dig syg af din mave (kvalme).
- Du har smerter i lavere mave.
Det kan være mere sandsynligt, at du får mælkesyreasis eller alvorlige leverproblemer, hvis du er kvindelig meget overvægtig eller har taget nukleosidanaloge medicin som Baraclude i lang tid.
Hvad er Baraclude?
Baraclude is a prescription medicine used to treat chronic hepatitis B virus (HBV) in adults og children 2 years of age og older who have active liver disease.
- Baraclude will not cure HBV.
- Baraclude may lower the amount of HBV in the body.
- Baraclude may lower the ability of HBV to multiply og infect new liver cells.
- Baraclude may improve the condition of your liver.
- Det vides ikke, om Baraclude vil reducere dine chancer for at få leverkræft eller leverskade (cirrhose), som kan være forårsaget af kronisk HBV -infektion.
- Det vides ikke, om Baraclude er sikker og effektiv til brug hos børn under 2 år.
Hvad skal jeg fortælle min sundhedsudbyder, før jeg tager Baraclude?
Før du tager Baraclude, fortæl din sundhedsudbyder, hvis du:
- har nyreproblemer. Din Baraclude -dosis eller tidsplan skal muligvis ændres.
- har modtaget medicin til HBV før. Nogle mennesker, især dem, der allerede er blevet behandlet med visse andre lægemidler til HBV -infektion, kan udvikle modstand mod Baraclude. Disse mennesker kan have mindre fordel af behandling med Baraclude og kan have forværring af hepatitis, efter at resistent virus vises. Din sundhedsudbyder tester niveauet for hepatitis B -virus i dit blod regelmæssigt.
- har andre medicinske tilstande.
- er gravide eller planlægger at blive gravid. Det vides ikke, om Baraclude vil skade din ufødte baby. Tal med din sundhedsudbyder, hvis du er gravid eller planlægger at blive gravid. Antiretroviral graviditetsregister. Hvis du tager Baraclude, mens du er gravid, skal du tale med din sundhedsudbyder om, hvordan du kan deltage i Baraclude Antiretroviral graviditetsregister. Formålet med graviditetsregistret er at indsamle oplysninger om sundheden for dig og din baby.
- er amning eller planlægger at amme. Det vides ikke, om Baraclude kan passere ind i din modermælk. Du og din sundhedsudbyder skal beslutte, om du vil tage baraclude eller amning.
Fortæl din sundhedsudbyder om alle de medicin, du tager inklusive receptpligtige og over-the-counter medicin vitaminer og urtetilskud. Fortæl især din sundhedsudbyder, hvis du har taget en medicin til behandling af HBV i fortiden.
Kend de medicin, du tager. Opbevar en liste over dine medicin med dig for at vise din sundhedsudbyder og farmaceut, når du får en ny medicin.
Hvordan skal jeg tage Baraclude?
- Tag Baraclude nøjagtigt, som din sundhedsudbyder fortæller dig at gøre det.
- Din sundhedsudbyder fortæller dig, hvor meget Baraclude du skal tage.
- Din sundhedsudbyder fortæller dig, hvornår og hvor ofte skal du tage Baraclude.
- Tag Baraclude på tom mave Mindst 2 timer efter et måltid og mindst 2 timer før det næste måltid.
- Hvis du tager baraclude oral løsning eller giver den til dit barn omhyggeligt måle dosis med den doseringsske, der er leveret som følger:
- Hold doseringsskeen i en lodret (lodret) position, og fyld den langsomt til måleelinjen på doseringsskeen, der er den samme som den foreskrevne dosis. Medbring doseringsske til øjenhøjde for at være sikker på, at niveauet for Baraclude Oral -opløsningen er ved den rigtige målelinie (se figur 1).
Figur 1
|
- Med den doseringsske i øjenhøjde, der holder den med målingslinjerne mod, kontrollerer du, at den er blevet fyldt til den korrekte målelinje. Toppen af Baraclude Oral -opløsningen i doseringsskeen ser buet ud og ikke er flad. Mål dosis af baraclude oral opløsning i bunden af kurven. Din dosis af baraclude oral opløsning måles korrekt, når bunden af kurven er indrettet med målelinjen for den foreskrevne dosis. Som et eksempel viser figur 2 den rigtige måde at måle en 5 ml dosis Baraclude (se figur 2).
Figur 2
|
-
- Baraclude Oral Solution should be swallowed directly from the dosing spoon.
- Baraclude Oral Solution should not be mixed with water or any other liquid.
- Efter hver brug skyl doseringsskeen med vand og lad den lufttørre.
- Hvis du mister doseringsskeen, skal du ringe til din farmaceut eller sundhedsudbyder for instruktioner.
- Skift ikke din dosis eller stop med at tage Baraclude uden at tale med din sundhedsudbyder.
- Hvis du går glip af en dosis Baraclude Tag det, så snart du husker, og tag derefter din næste dosis på det regelmæssige tidspunkt. Hvis det er næsten tid til din næste dosis, spring den ubesvarede dosis over. Tag ikke to doser på samme tid. Ring til din sundhedsudbyder eller farmaceut, hvis du ikke er sikker på, hvad du skal gøre.
- Når din forsyning med Baraclude begynder at køre lavt, skal du ringe til din sundhedsudbyder eller -papacy for en påfyldning. Kør ikke tør for Baraclude.
- Hvis du tager for meget baraclude Ring til din sundhedsudbyder eller gå til den nærmeste akuttrum med det samme.
Hvad er de mulige bivirkninger af Baraclude?
Baraclude may cause serious side effects. Se Hvad er de vigtigste oplysninger, jeg skal vide om Baraclude?
De mest almindelige bivirkninger af Baraclude inkluderer:
- hovedpine
- træthed
- svimmelhed
- kvalme
Fortæl din sundhedsudbyder, hvis du har nogen bivirkning, der generer dig, eller som ikke forsvinder.
Dette er ikke alle de mulige bivirkninger af Baraclude. For mere information, spørg din sundhedsudbyder eller apotek.
Ring til din læge for medicinsk rådgivning om bivirkninger. Du kan rapportere bivirkninger til FDA på 1-800-FDA- 1088.
Hvordan skal jeg opbevare Baraclude?
- Opbevar Baraclude -tabletter eller oral opløsning ved stuetemperatur mellem 68 ° F og 77 ° F (20 ° C og 25 ° C).
- Hold Baraclude -tabletter i en tæt lukket beholder.
- Opbevar baraclude -tabletter eller baraclude oral løsning i den originale karton, og hold kartonen ude af lyset.
- Kast Baraclude sikkert, der er forældet eller ikke længere nødvendigt. Bortskaffelse af ubrugte medicin gennem samfunds-bortlæggelsesprogrammer, når de er tilgængelige eller placer Baraclude i en uigenkendelig lukket container i husholdningens papirkurv.
Hold Baraclude og alle medicin uden for børns rækkevidde.
Generel information about the safe og effective use of Baraclude
Baraclude does not stop you from spreading the hepatitis B virus (HBV) to others by sex sharing needles or being exposed to your blood. Talk with your healthcare provider about safe sexual practices that protect your partner. Never share needles. Do not share personal items that can have blood or body fluids on them like toothbrushes or razor blades. A shot (vaccine) is available to protect people at risk from becoming infected with HBV.
Medicin er undertiden ordineret til andre formål end dem, der er anført i en patientoplysning. Brug ikke Baraclude til en betingelse, som den ikke blev ordineret til. Giv ikke Baraclude til andre mennesker, selvom de har de samme symptomer, du har. Det kan skade dem.
Denne patientinformationsbrættet opsummerer den vigtigste information om Baraclude. Hvis du gerne vil have flere oplysninger, skal du tale med din sundhedsudbyder. Du kan bede din sundhedsudbyder eller farmaceut om information om Baraclude, der er skrevet til sundhedsfagfolk.
For mere information, gå til www.baraclude.com eller ring 1-800-321-1335.
Hvad er ingredienserne i Baraclude?
Aktiv ingrediens: Entecavir
Inaktive ingredienser i Baraclude -tabletter: Lactose -monohydratmikrokrystallinsk cellulose crospovidon povidon magnesiumstearat.
Tabletfilm-coat: Titandioxid hypromellose polyethylenglycol 400 polysorbat 80 (kun 0,5 mg tablet) og kun jernoxidrød (1 mg tablet).
Inaktive ingredienser i baraclude oral opløsning: maltitol natriumcitrat citronsyre methylparaben propylparaben og orange smag.
Denne patientinformation er godkendt af U.S. Food and Drug Administration.