Oplysningerne På Webstedet Er Ikke Medicinsk Rådgivning. Vi Sælger Ikke Noget. Nøjagtigheden Af Oversættelsen Er Ikke Garanteret. Ansvarsfraskrivelse
HIV, kunstkombinationerDelstrigo
Resume af lægemiddeloversigt
Hvad er Delstrigo?
Delstrigo (doravirin lamivudin og tenofovir disoproxil fumarat) er en tre-lægemiddelkombination af en ikke-nukleosid revers transkriptaseinhibitor [NNRTI]) og to nukleosidanaloge revers transkriptaseinhibitorer indikeret som en komplet regimen til behandling af HIV -1-infektion ved voksne patienter uden antiretrovir-behandlingshistorie.
Hvad er bivirkninger af Delstrigo?
Delstrigo
- elveblest
- Besvær
- Hævelse af dine ansigtslæber tunge eller hals
- tisser mere eller mindre end normalt
- øget tørst
- Ny eller forværring af knoglesmerter
- Muskelsmerter
- svaghed
- Smerter i dine arme ben hænder eller fødder
- feber
- Natsved
- hævede kirtler
- Koldssår
- hoste
- hvæsende
- diarre
- vægttab
- Problemer med at tale eller sluge
- Problemer med balance eller øjenbevægelse
- svaghed or prickly feeling
- Hævelse i din hals eller hals (forstørret skjoldbruskkirtel)
- menstruationsændringer og
- impotens
Få medicinsk hjælp med det samme, hvis du har nogen af de symptomer, der er anført ovenfor.
Almindelige bivirkninger af Delstrigo inkluderer:
- svimmelhed
- kvalme
- unormale drømme
- søvnløshed
- diarre
- døsighed og
- udslæt
Søg medicinsk behandling eller ring 911 på én gang, hvis du har følgende alvorlige bivirkninger:
- Alvorlige øjensymptomer såsom pludseligt synstab sløret synet tunnel vision øje smerter eller hævelse eller at se haloer omkring lys;
- Alvorlige hjertesymptomer såsom hurtig uregelmæssige eller bankende hjerteslag; flagrende i brystet; åndenød; og pludselig svimmelhed letthed eller udlevering;
- Alvorlig hovedpine forvirring sløret talearm eller ben svaghed problemer med at gå tab af koordination føles ustabil meget stive muskler høj feber voldsom sved eller rysten.
Dette dokument indeholder ikke alle mulige bivirkninger, og andre kan forekomme. Kontakt din læge for yderligere oplysninger om bivirkninger.
Dosage for Delstrigo
Den anbefalede voksne dosering af Delstrigo er en tablet taget oralt en gang dagligt med eller uden mad.
Hvilke stoffer stoffer eller kosttilskud interagerer med Delstrigo?
Delstrigo kan interagere med andre antiretrovirale medikamenter til behandling af HIV-1-infektion Enzalutamid Anticonvulsiva Rifampin eller Rifapentine Mitotane Hepatitis C Antiviral Agenter St. John's Wort Sorbitol højdosis eller flere ikke-steroide antiinflammatoriske lægemidler (NSAID'er) og aminoglycosider. Fortæl din læge alle medicin og kosttilskud, du bruger.
Delstrigo under graviditet eller amning
Fortæl din læge, hvis du er gravid eller planlægger at blive gravid, før du bruger Delstrigo; Det er ukendt, hvordan det ville påvirke et foster. Der er et graviditetseksponeringsregister, der overvåger graviditetsresultater hos individer udsat for Delstrigo under graviditet. Det er ukendt, om Delstrigo passerer ind i modermælk, men amning anbefales ikke, mens du bruger Delstrigo på grund af potentialet for HIV -transmission.
Yderligere oplysninger
Vores Delstrigo (Doravirine lamivudin og tenofovir disoproxil fumarat) tabletter til oral brug bivirkninger Medicinal center giver et omfattende overblik over tilgængelige lægemiddelinformation om de potentielle bivirkninger, når du tager denne medicin.
FDA -lægemiddelinformation
- Lægemiddelbeskrivelse
- Indikationer
- Bivirkninger
- Lægemiddelinteraktioner
- Advarsler
- Overdosis
- Klinisk farmakologi
- Medicin vejledning
ADVARSEL
Efterbehandling akut forværring af hepatitis B
Der er rapporteret om alvorlige akutte forværringer af hepatitis B (HBV) hos patienter, der er møntficeret med HIV-1 og HBV og har afbrudt lamivudin eller tenofovir-disoproxil fumarat (TDF), som er komponenter af delstrigo. Leverfunktion skal overvåges tæt med både klinisk og laboratorieopfølgning i mindst flere måneder hos patienter, der er møntficeret med HIV-1 og HBV og afbryder Delstrigo. Hvis det er relevant påbegyndelse af anti-hepatitis B-terapi, kan være berettiget [se advarsler og FORHOLDSREGLER ].
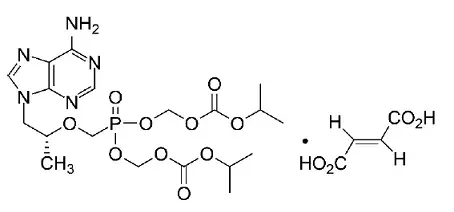
Beskrivelse for Delstrigo
Delstrigo er en faste dosis kombination af filmovertrukket tablet, der indeholder doravirin-lamivudin og TDF til oral administration.
Doravirine er en HIV-1 ikke-nukleosid revers transkriptaseinhibitor (NNRTI).
Lamivudin er (-) enantiomeren af en dideoxy-analog af cytidin og er en HIV-1-nukleosidanalog omvendt transkriptaseinhibitor.
TDF (et prodrug af tenofovir) er et fumarinsyresalt af bis-isoproxycarbonyloxymethylesterderivatet af tenofovir. In vivo TDF omdannes til tenofovir et acyklisk nukleosidphosphonat (nukleotid) analog af adenosin 5'-monophosphat. Tenofovir er en HIV-1 revers transkriptaseinhibitor.
Hver tablet indeholder 100 mg doravirin 300 mg lamivudin og 300 mg TDF (svarende til 245 mg tenofovir disoproxil) som aktive ingredienser. Tabletterne inkluderer følgende inaktive ingredienser: kolloidal siliciumdioxid croscarmellose natriumhypromelloseacetat succinat magnesiumstearat mikrokrystallinsk cellulose og natriumstearylfumarat. Tabletterne er filmovertrukket med et belægningsmateriale, der indeholder følgende inaktive ingredienser: hypromellose jernoxid gul lactose monohydrat titandioxid og triacetin. De coatede tabletter er poleret med carnauba voks.
Doravirine
Det kemiske navn for doravirin er 3-chlor-5-[[1-[(45-dihydro-4-methyl-5-oxo-1H-124-triazol-3-yl) methyl] -12-dihydro-2-oxo-4- (trifluoromethyl) -3-pyridinyl] oxyyydro-2-oxo-4- (trifluoromethyl) -3-pyridinyl] OxyyyyyRileRile.
Det har en molekylær formel af C 17 H 11 CLF 3 N 5 O 3 og en molekylvægt på 425,75.
Det har følgende strukturelle formel:
|
Doravirine is practically insoluble in water.
Lamivudin
Det kemiske navn for lamivudin er (-)-1-[(2R5S) -2- (hydroxymethyl) -13-oxathiolan-5-yl] -cytosin.
Det har en molekylær formel af C 8 H 11 N 3 O 3 S og en molekylvægt på 229,26.
Det har følgende strukturelle formel:
|
Lamivudin is soluble in water.
TDF
Det kemiske navn for TDF er 9-[(R) -2-[[Bis [[(isoproxycarbonyl) oxy] methoxy] phosphinyl]-methoxy] propyl] adeninfumarat (1: 1).
Det har en molekylær formel af C 19 H 30 N 5 O 10 P · c 4 H 4 O 4 og en molekylvægt på 635,52.
Det har følgende strukturelle formel:
|
TDF is slightly soluble in water.
Uses for Delstrigo
Delstrigo ® er indikeret som et komplet regime til behandling af HIV-1-infektion hos voksne og pædiatriske patienter, der vejer mindst 35 kg:
- uden forudgående antiretroviral behandlingshistorik eller
- At erstatte det nuværende antiretrovirale regime hos dem, der er virologisk undertrykt (HIV-1 RNA mindre end 50 kopier pr. Ml) på en stabil antiretroviral regime uden historie med behandlingssvigt og ingen kendte substitutioner forbundet med modstand mod de individuelle komponenter i Delstrigo [se Kliniske studier ].
Dosage for Delstrigo
Testning, når du indledte og under behandling med Delstrigo
Før eller når man startede Delstrigo -testpatienter til HBV -infektion [se ADVARSELS AND FORHOLDSREGLER ].
Før eller når man startede Delstrigo og under behandling med DelStrigo på et klinisk passende tidsplan vurderer vurderer serumkreatinin estimeret kreatinin -clearance uringlukose og urinprotein hos alle patienter. Hos patienter med kronisk nyresygdom vurderer også serumfosfor [se ADVARSELS AND FORHOLDSREGLER ].
Anbefalet dosering
Delstrigo is a fixed-dose combination product containing 100 mg of doravirine (DOR) 300 mg of lamivudine (3TC) og 300 mg of TDF. The recommended dosage of Delstrigo in adults og pediatric patients weighing at least 35 kg is one tablet taken orally once daily with or without food [see Klinisk farmakologi ].
Nedskærmning af nyren
Fordi Delstrigo er en faste-dosis kombinationstablet, og doseringen af lamivudin og TDF kan ikke justeres, at Delstrigo ikke anbefales hos patienter med estimeret kreatinin-clearance mindre end 50 ml/min [se ADVARSELS AND FORHOLDSREGLER og Brug i specifikke populationer ].
Doseringsjustering med rifabutin
Hvis Delstrigo administreres med rifabutin, skal du tage en tablet med delstrigo en gang dagligt efterfulgt af en tablet doravirin 100 mg (pifeltro) cirka 12 timer efter dosis af Delstrigo i varigheden af rifabutin co-administration [se Lægemiddelinteraktioner og Klinisk farmakologi ].
Hvor leveret
Doseringsformularer og styrker
Delstrigo Filmovertrukne tabletter er gule ovale formede tabletter, der er udpeget med virksomhedslogoet og 776 på den ene side og slette på den anden side. Hver tablet indeholder 100 mg doravirin 300 mg lamivudin og 300 mg tenofovir disoproxil fumarat (svarende til 245 mg tenofovir disoproxil).
Opbevaring og håndtering
Hver Delstrigo-tablet indeholder 100 mg doravirin 300 mg lamivudin og 300 mg tenofovir-disoproxil fumarat (svarende til 245 mg tenofovir disoproxil) er gul oval formet filmbelastet og er udsat med virksomhedslogoet og 776 på den ene side og tændelser på den anden side. Hver flaske indeholder 30 tabletter (NDC 0006-5007-01) og silicagel-tørremidler og er lukket med en børnebestandig lukning.
Butik Delstrigo i den originale flaske. Hold flasken tæt lukket for at beskytte mod fugt. Fjern ikke tørremændene.
Butik delstrigo ved 20 ° C til 25 ° C (68 ° F til 77 ° F); Udflugter tilladt til 15 ° C til 30 ° C (59 ° F til 86 ° F) [se USP -kontrolleret stuetemperatur ].
Fremstillet til: Merck Sharp
Bivirkninger for Delstrigo
Følgende bivirkninger diskuteres i andre sektioner af mærkningen:
- Alvorlig akut forværring af hepatitis B hos mennesker med samtidig HIV-1 og HBV [se ADVARSELS AND FORHOLDSREGLER ]
- Ny indtræden eller forværring af nedsat nyrefunktion [se ADVARSELS AND FORHOLDSREGLER ]
- Knogletab og mineraliseringsfejl [se ADVARSELS AND FORHOLDSREGLER ]
- Immunrekonstitutionssyndrom [se ADVARSELS AND FORHOLDSREGLER ]
Kliniske forsøg oplever
Fordi kliniske forsøg udføres under vidt forskellige tilstande, kan der ikke sammenlignes bivirkninger, der er observeret i de kliniske forsøg med et lægemiddel, ikke direkte med hastigheder i de kliniske forsøg med et andet lægemiddel og muligvis ikke afspejler de satser, der er observeret i praksis.
Bivirkninger hos voksne uden antiretroviral behandlingshistorik
Sikkerhedsvurderingen af Delstrigo er baseret på uge 96-data fra to fase 3 randomiserede internationale multicenter dobbeltblinde aktive kontrollerede forsøg. I alt 747 deltagere modtog doravirin enten som den enkelte enhed i kombination med andre antiretrovirale lægemidler som baggrundsregimer (n = 383) eller som den faste dosis delstrigo (n = 364) og i alt 747 deltagere blev randomiseret til at kontrollere armene.
I drive-ahead (protokol 021) modtog 728 voksne deltagere enten Delstrigo (n = 364) eller EFV/FTC/TDF en gang dagligt (n = 364). I uge 96 3% i Delstrigo -gruppen og 7% i EFV/FTC/TDF -gruppen havde bivirkninger, der førte til seponering af undersøgelsesmedicin.
Bivirkninger rapporteret i større end eller lig med 5% af deltagerne i enhver behandlingsgruppe i Driveabead er vist i tabel 1.
Tabel 1: Bivirkninger* (alle kvaliteter) rapporteret i ≥5%† af deltagere i enhver behandlingsgruppe hos voksne uden antiretroviral behandlingshistorie i driven (uge 96)
| Delstrigo Once Daily N = 364 | EFV/FTC/TDF en gang dagligt N = 364 | |
| Svimmelhed | 7% | 32% |
| Kvalme | 5% | 7% |
| Unormale drømme | 5% | 10% |
| Hovedpine | 4% | 5% |
| Søvnløshed | 4% | 5% |
| Diarre | 4% | 6% |
| Somnolence | 3% | 7% |
| Udslæt‡ | 2% | 12% |
| *Frekvenser af bivirkninger er baseret på alle bivirkninger, der tilskrives forsøgsmedicin af efterforskeren. † Ingen bivirkninger af grad 2 eller højere (moderat eller svær) forekom hos ≥2% af deltagerne behandlet med Delstrigo. ‡ Udslæt: Inkluderer udslæt udslæt erythematous udslæt generaliseret udslæt makulær udslæt makulopapulær udslæt papulær udslæt kløe. |
Størstedelen (66%) af bivirkninger forbundet med Delstrigo forekom ved sværhedsgrad 1 (mild).
Neuropsykiatriske bivirkninger
Til kørsel er analysen af deltagere med neuropsykiatriske bivirkninger i uge 48 præsenteret i tabel 2. Andelen af deltagere, der rapporterede en eller flere neuropsykiatriske bivirkninger, var henholdsvis 24% og 57% i Delstrigo og EFV/FTC/TDF-grupper.
En statistisk signifikant lavere andel af delstrigo-behandlede deltagere sammenlignet med EFV/FTC/TDF-behandlede deltagere rapporterede neuropsykiatriske bivirkninger i uge 48 i de tre forudbestemte kategorier af svimmelhedssøvnforstyrrelser og forstyrrelser og ændret sensorium.
Tabel 2: Drive -Ahead -Analyse af deltagere med neuropsykiatriske bivirkninger* (uge 48)
| Delstrigo Once Daily N = 364 | EFV/FTC/TDF en gang dagligt N = 364 | Behandlingsforskel (Delstrigo - EFV/FTC/TDF) estimat (95% CI) † | |
| Søvnforstyrrelser og forstyrrelser ‡ | 12% | 26% | -13.5 (-19.1 -7.9) |
| Svimmelhed | 9% | 37% | -28.3 (-34.0 -22.5) |
| Ændret sensorium§ | 4% | 8% | -3.8 (-7.6 -0.3) |
| *Al kausalitet og alle karakterbegivenheder blev inkluderet i analysen. † 95% CIS blev beregnet under anvendelse af Miettinen og Nurminens metode. Kategorier, der var specificeret til statistisk test, var svimmelhed (P <0.001) sleep disorders og disturbances (p <0.001) og altered sensorium (p=0.033). ‡ Foruddefineret ved hjælp af meddra foretrukne udtryk, herunder: unormale drømme Hyposomnia initial søvnløshed søvnløshed mareridt søvnforstyrrelse somnambulisme. §PREDEFINED Brug af Meddra Foretrukne udtryk, herunder: Ændret bevidsthedstilstand sløvhed somnolens synkope |
Neuropsykiatriske bivirkninger i den foruddefinerede kategori af depression og selvmord/selvskade blev rapporteret hos henholdsvis 4% og 7% af deltagerne i henholdsvis Delstrigo og EFV/FTC/TDF-grupperne.
I drive-ahead gennem 48 ugers behandling rapporterede størstedelen af deltagere, der rapporterede neuropsykiatriske bivirkninger, begivenheder, der var milde til moderat i sværhedsgrad (97% [83/86] og 96% [198/207] i de første 4 uger af behandlingen (72% i de første 4 uger (72% [62/86 i delen) og de fleste deltagere rapporterede om disse begivenheder i de første 4 uger af behandlingen (72% [62/866666666666666666666666666. og 86% [177/207] i EFV/FTC/TDF -gruppen).
Neuropsykiatriske bivirkninger førte til ophør med behandlingen af behandling hos 1% (2/364) og 1% (5/364) af deltagere i henholdsvis Delstrigo og EFV/FTC/TDF -grupper. Andelen af deltagere, der rapporterede neuropsykiatriske bivirkninger gennem uge 4, var 17% (62/364) i Delstrigo -gruppen og 49% (177/364) i EFV/FTC/TDF -gruppen. I uge 48 var forekomsten af neuropsykiatriske bivirkninger 12% (44/364) i Delstrigo -gruppen og 22% (81/364) i EFV/FTC/TDF -gruppen. I uge 96 var forekomsten af neuropsykiatriske bivirkninger 13% (47/364) i Delstrigo -gruppen og 23% (82/364) i EFV/FTC/TDF -gruppen.
Laboratorie abnormiteter
Procentdelene af deltagere med udvalgte laboratorie abnormiteter (der repræsenterer en forværring fra baseline), der blev behandlet med Delstrigo eller EFV/FTC/TDF i drive-ahead, er vist i tabel 3.
Tabel 3: Udvalgte laboratorie abnormiteter rapporteret hos voksne deltagere uden antiretroviral behandlingshistorie i drive-ahead (uge 96)
| Laboratorieparameter foretrukket udtryk (enhed)/grænse | Delstrigo Once Daily N = 364 | EFV/FTC/TDF en gang dagligt N = 364 |
| Blodkemi | ||
| Total Bilirubin (mg/dl) | ||
| 1.1 - <1.6 x ULN | 5% | 0% |
| 1.6 - <2.6 x ULN | 2% | 0% |
| X uln ≥2,6 | 1% | <1% |
| Kreatinin (mg/dl) | ||
| > 1,3 -1,8 x uln eller stigning på> 0,3 mg/dl over | ||
| baseline | 3% | 2% |
| > 1,8 x uln eller stigning på ≥1,5 x over baseline | 3% | 2% |
| Aspartataminotransferase (IU/L) | ||
| 2,5 - <5.0 x ULN | 3% | 3% |
| ≥5,0 x uln | 1% | 4% |
| Alaninaminotransferase (IU/L) | ||
| 2,5 - <5.0 x ULN | 4% | 4% |
| ≥5,0 x uln | 1% | 3% |
| Alkalisk phosphatase (IU/L) | ||
| 2,5 - <5.0 x ULN | <1% | 1% |
| ≥5,0 x uln | 0% | <1% |
| Lipase | ||
| 1,5 - <3.0 x ULN | 6% | 4% |
| ≥3,0 x uln | 2% | 3% |
| Kreatinkinase (IU/L) | ||
| 6.0 - <10.0 x ULN | 3% | 3% |
| ≥10,0 x uln | 4% | 6% |
| Kolesterol fastet (mg/dl) | ||
| ≥300 mg/dl | 1% | <1% |
| LDL -kolesterol fastet (mg/dl) | ||
| ≥190 mg/dl | <1% | 2% |
| Triglycerides Fasted (Mg/DL) | ||
| > 500 mg/dl | 1% | 3% |
| Hver deltager tælles kun en gang pr. Parameter ved højeste toksicitetskvalitet. Kun deltagere med en basisværdi og mindst en on-behandlingsværdi for en given laboratorieparameter er inkluderet. Uln = øvre grænse for det normale interval. |
Ændring i lipider fra baseline
Til ændringer i driven fra baseline i uge 48 i LDL-kolesterol ikke-HDL-kolesterol totalcholesterol triglycerider og HDL-kolesterol er vist i tabel 4. Ændringer fra baseline i uge 96 svarede til fund i uge 48.
Sammenligninger af LDL- og ikke-HDL blev præ-specificeret og er sammenfattet i tabel 4. Forskellene var statistisk signifikante, der viste overlegenhed af Delstrigo for begge parametre. Den kliniske fordel ved disse fund er ikke påvist.
Tabel 4: Gennemsnitlig ændring fra baseline i faste lipider hos voksne deltagere uden antiretroviral behandlingshistorie i drive-ahead (uge 48)
| Laboratorieparameter foretrukket udtryk | Delstrigo Once Daily N = 320 | EFV/FTC/TDF en gang dagligt N = 307 | Forskelestimater (delstrigo -efv/ftc/tdf) | ||
| Baseline | Forandring | Baseline | Forandring | Forskel (95% CI) | |
| LDL-kolesterol (mg/dl)* | 91.7 | -2.1 | 91.3 | 8.3 | -10.2 (-13,8 -6,7) |
| Ikke-HDL-kolesterol (mg/dl)* | 114.7 | -4.1 | 115.3 | 12.7 | -16.9 (-20,8 -13,0) |
| Samlet kolesterol (mg/dl) † | 156.8 | -2.2 | 156.8 | 21.1 | - |
| Triglycerider (mg/dl) † | 118.7 | -12.0 | 122.6 | 21.6 | - |
| HDL-kolesterol (mg/dl) † | 42.1 | 1.8 | 41.6 | 8.4 | - |
| Deltagere på lipidsænkende midler ved baseline blev udelukket fra disse analyser (Delstrigo N = 15 og EFV/FTC/TDF N = 10). Deltagerne, der indledte et lipidsænkende middel efter baseline, havde deres sidste fastede værdi på behandlingen (før det startede agenten) fremført (Delstrigo n = 3 og EFV/FTC/TDF n = 8). *P-værdi for den forud specificerede hypotesetest for behandlingsforskel var <0.0001. † Ikke præ-specificeret til hypotesetest. |
Bivirkninger hos virologisk undertrykkede voksne
Sikkerheden af Delstrigo hos virologisk undertrykkede voksne var baseret på uge 48-data fra 670 deltagere i drevskiftforsøget (protokol 024) Et randomiseret internationalt multicenter åbent forsøg, hvor virologisk undertrykkede deltagere blev skiftet fra en baseline-regime, der bestod af to nukleosidets omvendt transkriptaseinhibitorer (nrtis) i kombinationen med en beskyttelse Plus enten ritonavir eller cobicistat eller Elvitegravir plus cobicistat eller en nnrti til Delstrigo. Generelt svarede sikkerhedsprofilen i virologisk undertrykkede voksne deltagere til den hos deltagere uden antiretroviral behandlingshistorie.
Laboratorie abnormiteter
Serum alt og ast -forhøjninger
I drevskiftforsøget oplevede 22% og 16% af deltagerne i den øjeblikkelige switch-gruppe ALT og AST-forhøjelser på mere end 1,25 x ULN gennem 48 uger på Delstrigo. For disse ALT- og AST -højder blev der ikke observeret nogen åbenbare tidsmønstre med hensyn til tid til begyndelse i forhold til switch. En procent af deltagerne havde ALT- eller AST -højder større end 5 x uln gennem 48 uger på Delstrigo. ALT- og AST -forhøjelserne var generelt asymptomatiske og ikke forbundet med bilirubinhøjder. Til sammenligning oplevede 4% og 4% af deltagerne i den forsinkede switch -gruppe ALT og AST -forhøjelser på mere end 1,25 x Uln gennem 24 uger på deres basisregime.
Ændring i lipider fra baseline
Forandrings from baseline at Week 24 in LDL-cholesterol non-HDL-cholesterol total cholesterol triglycerides og HDL-cholesterol in participants on a PI plus ritonavir-based regimen at baseline are shown in Table 5. The LDL og non-HDL comparisons were pre-specified og the differences were statistically significant showing superiority for an immediate switch to Delstrigo for both parameters. The clinical benefit of these findings has not been demonstrated.
Tabel 5: Gennemsnitlig ændring fra baseline i faste lipider hos voksen virologisk undertrykkede deltagere på en PI plus ritonavir-baseret regime ved baseline i drivskift (uge 24)
| Laboratorieparameter foretrukket udtryk | Delstrigo (Week 0-24) Once Daily N = 244 | Pi Ritonavir (uge 0-24) en gang dagligt N = 124 | Forskellestimater | ||
| Baseline | Forandring | Baseline | Forandring | Forskel (95% CI) | |
| LDL-kolesterol (mg/dl)* | 108.7 | -16.3 | 110.5 | -2.6 | -14.5 (-18.9 -10.1) |
| Ikke-HDL-kolesterol (mg/dl)* | 138.6 | -24.8 | 138.8 | -2.1 | -22.8 (-27,9 -17,7) |
| Samlet kolesterol (mg/dl) † | 188.5 | -26.1 | 187.4 | -0.2 | - |
| Triglycerider (mg/dl) † | 153.1 | -44.4 | 151.4 | -0.4 | - |
| HDL-kolesterol (mg/dl) † | 50.0 | -1.3 | 48.5 | 1.9 | - |
| Deltagere på lipidsænkende midler ved baseline blev udelukket fra disse analyser (Delstrigo n = 26 og pi ritonavir n = 13). Deltagerne, der indledte et lipidsænkende middel efter baseline, havde deres sidste fastede værdi på behandlingen (inden det startede agenten) fremført (Delstrigo n = 4 og Pi Ritonavir n = 2). *P-værdi for den forud specificerede hypotesetest for behandlingsforskel var <0.0001. † Ikke præ-specificeret til hypotesetest. |
Bivirkninger hos pædiatriske deltagere
Delstrigo-sikkerheden blev evalueret i 45 virologisk undertrykt eller behandlingsnaive pædiatriske deltagere 12 til mindre end 18 år, der lever med HIV gennem uge 24 i et åbent forsøg (Impaact 2014 (protokol 027)) [se Kliniske studier ]. The safety profile in pediatric participants was similar to that in adults. There were no serious or Grade 3 or 4 adverse reactions. No participants discontinued due to an adverse event.
Oplevelse af postmarketing
Følgende bivirkninger er blevet identificeret under oplevelse af postmarketing hos patienter, der modtager doravirin-lamivudin-eller TDF-holdige regimer. Da postmarketingreaktioner frivilligt rapporteres fra en population af usikker størrelse, er det ikke altid muligt at pålideligt estimere deres frekvens eller etablere et årsagsforhold til lægemiddeleksponering.
Doravirine
Hud og subkutane vævsforstyrrelser: Stevens-Johnson Syndrome (SJS)/Toksisk epidermal nekrolyse (ti)
Lamivudin
Krop som helhed: Omfordeling/ophobning af kropsfedt
Endokrin og metabolisk: Hyperglykæmi
Generel: Svaghed
Hemisk og lymfatisk: Anæmi (inklusive ren rød celle aplasi og alvorlige anemier, der skrider frem på terapi)
Lever og bugspytkirtel: Mælkesyreasis og lever -steatosis efterbehandling forværring af hepatitis B
Overfølsomhed: Anaphylaxis urticaria
Muskuloskeletal: Muskelsvaghed CPK Elevation Rhabdomyolysis
Hud: Alopecia
TDF
Immunsystemforstyrrelser: Allergisk reaktion inklusive angioødem
Metabolisme og ernæringsforstyrrelser: Mælkesyreasis Hypokalæmi hypophosphatemia
Respiratorisk thorax- og mediastinal lidelser: Dyspnø
Gastrointestinale lidelser: Pancreatitis øgede amylase -mavesmerter
Hepatobiliære lidelser: Hepatisk steatosis hepatitis øgede leverenzymer (oftest AST Alt Gamma GT)
Hud og subkutane vævsforstyrrelser: udslæt
Muskuloskeletale og bindevævsforstyrrelser: Rhabdomyolysis osteomalacia (manifesteret som knoglesmerter, og som kan bidrage til brud) Muskel svaghed myopati
Nyre- og urinforstyrrelser: Akut nyresvigt Nyresvigt Akut tubulær nekrose Fanconi syndrom Proximal nyre tubulopati Interstitiel nefritis (inklusive akut tilfælde) nefrogen diabetes insipidus nyreinsufficiens øget kreatininproteinuri polyuri
Kan du tage tylenol med kodein
Generelle lidelser og administrationsstedets forhold: Asthenia
Følgende bivirkninger, der er anført under overskrifterne af kropssystemet ovenfor, kan forekomme som en konsekvens af den proksimale nyretubulopati: rhabdomyolysis osteomalacia hypokalæmi muskel svaghed myopati hypophosphatemia.
Lægemiddelinteraktioner for Delstrigo
Samtidig brug med andre antiretrovirale medikamenter
Fordi Delstrigo er et komplet regime til behandling af HIV-1-infektions co-administration med andre antiretrovirale medikamenter til behandling af HIV-1-infektion anbefales ikke. Oplysninger om potentielle lægemiddel-lægemiddelinteraktioner med andre antiretrovirale medikamenter leveres ikke.
Effekt af andre lægemidler på Delstrigo
Samforvinding af Delstrigo med en CYP3A-inducer reducerer doravirinklasmakoncentrationer, der kan reducere Delstrigo-effektiviteten [Se Kontraindikationer ADVARSELS AND FORHOLDSREGLER og Klinisk farmakologi ].
Samforvinding af delstrigo og lægemidler, der er hæmmere af CYP3A, kan resultere i øgede plasmakoncentrationer af doravirin.
Tabel 6 viser de signifikante lægemiddelinteraktioner med komponenterne i Delstrigo. De beskrevne lægemiddelinteraktioner er baseret på undersøgelser udført med enten Delstrigo eller komponenterne i Delstrigo som individuelle agenter.
Tabel 6: Lægemiddelinteraktioner med Delstrigo*
| Samtidig lægemiddelklasse: Narkotikamisbrug | Effekt på koncentration | Klinisk kommentar |
| Androgenreceptorer | ||
| Enzalutamid | ↓ Doravirine | Co-administration er kontraindiceret med enzalutamid. Mindst en 4-ugers ophørsperiode anbefales inden påbegyndelse af Delstrigo. |
| Anticonvulsiva | ||
| Carbamazepin oxcarbazepin Phenobarbital Phable | ↓ Doravirine | Co-administration er kontraindiceret med disse antikonvulsiva. Mindst en 4-ugers ophørsperiode anbefales inden påbegyndelse af Delstrigo. |
| Antimycobacterials | ||
| Rifampin1 Rifapentine | ↓ Doravirine | Co-administration er kontraindiceret med rifampin eller rifapentin. Mindst en 4-ugers ophørsperiode anbefales inden påbegyndelse af Delstrigo. |
| Rifabut1 | ↓ Doravirine | Hvis Delstrigo er co-administreret med Rifabutin, skal en tablet doravirin (pifeltro) tages cirka 12 timer efter dosis af Delstrigo [se Dosering og administration ]. |
| Cytotoksiske midler | ||
| Mitotan | ↓ Doravirine | Samtidig administration er kontraindiceret med mitotan. Mindst en 4-ugers ophørsperiode anbefales inden påbegyndelse af Delstrigo. |
| Hepatitis C -antivirale midler | ||
| Ledipasvir/sofosbuvir Sofosbuvir/Velpatasvir | ↑ Tenofovir | Monitor for bivirkninger forbundet med TDF. |
| Urteprodukter | ||
| St. John's Wort | ↓ Doravirine | Samtidig administration er kontraindiceret med St. John's Wort. Mindst en 4-ugers ophørsperiode anbefales inden påbegyndelse af Delstrigo. |
| Andre agenter | ||
| Sorbitol | ↓ Lamivudin | Samtidig administration af enkeltdoser af lamivudin og sorbitol resulterede i en sorbitol-dosisafhængig reduktion i lamivudineksponeringer. Når det er muligt, skal du undgå brug af sorbitolholdige medicin med lamivudinholdige medicin. |
| ↑ = Forøg ↓ = mindskning *Denne tabel er ikke altomfattende † Interaktionen mellem doravirin og det samtidige lægemiddel blev evalueret i en klinisk undersøgelse. Alle andre viste lægemiddel-lægemiddelinteraktioner forventes baseret på de kendte metaboliske og elimineringsveje. |
Samtidig administration af Delstrigo med lægemidler, der reducerer nyrefunktionen eller konkurrerer om aktiv rørformet sekretion, kan øge serumkoncentrationer af lamivudin tenofovir og/eller andre renalt eliminerede lægemidler. Nogle eksempler på medikamenter, der elimineres ved aktiv rørformet sekretion, inkluderer, men er ikke begrænset til acyclovir cidofovir ganciclovir valacyclovir valganciclovir aminoglycosides (f.eks. Gentamicin) og højdosis eller flere NSAID'er [se ADVARSELS AND FORHOLDSREGLER og Klinisk farmakologi ].
Der blev ikke observeret klinisk signifikante ændringer i koncentrationen for doravirin, når de blev administreret med følgende midler: TDF lamivudin Elbasvir og Grazoprevir Ledipasvir og sofosbuvir ritonavir ketoconazol aluminum hydroxid/magnesium hydroxid/simethicon indeholdt antacidoprazol eller methadoneone Klinisk farmakologi ].
Ingen klinisk signifikante ændringer i koncentrationen blev observeret for tenofovir, når de blev administreret med tacrolimus eller encavir [se Klinisk farmakologi ].
Effekt af delstrigo på andre stoffer
Der blev ikke observeret nogen klinisk signifikante ændringer i koncentrationen for følgende midler, når de blev administreret med doravirin: lamivudin TDF elbasvir og grazoprevir ledipasvir og sofosbuvir atorvastatin en oral prævention indeholdende ethinyl estradiol og levonorgestrel metformin-methadon eller midazolam.
Der er ikke observeret nogen klinisk signifikante lægemiddelinteraktioner mellem TDF og følgende medicin: Entecavir methadon orale prævention sofosbuvir eller tacrolimus i undersøgelser udført hos raske deltagere.
Lamivudin is not significantly metabolized by CYP enzymes nor does it inhibit or induce this enzyme system; therefore it is unlikely that clinically significant drug interactions will occur through these pathways [see Klinisk farmakologi ].
Advarsler for PartStrigo
Inkluderet som en del af FORHOLDSREGLER afsnit.
Forholdsregler for Delstrigo
Alvorlige hudreaktioner
Alvorlige hudreaktioner inklusive Stevens-Johnson Syndrome (SJS)/Toksisk epidermal nekrolyse (ti) er rapporteret under eftermarkedsoplevelsen med Doravirine-holdige regimer [se Bivirkninger ]. Discontinue Delstrigo og other medications known to be associated with severe skin reactions immediately if a painful udslæt with mucosal involvement or a progressive severe udslæt develops. Clinical status should be closely monitored og appropriate therapy should be initiated.
Alvorlig akut forværring af hepatitis B hos mennesker med samtidig HIV-1 og HBV
Alle patienter med HIV-1 skal testes for tilstedeværelsen af HBV, før de påbegyndte antiretroviral terapi.
Der er rapporteret om alvorlige akutte forværringer af hepatitis B (f.eks. Leverdugning og leverfejl) hos mennesker med samtidig HIV-1 og HBV, der har afbrudt produkter, der indeholder lamivudin og/eller TDF, og kan forekomme med seponering af Delstrigo. Patienter, der er møntficeret med HIV-1 og HBV, der afbryder Delstrigo, skal overvåges nøje med både klinisk og laboratorieopfølgning i mindst flere måneder efter at have stoppet behandlingen med Delstrigo. Hvis relevant påbegyndelse af anti-hepatitis B-terapi kan være berettiget, især hos patienter med avanceret leversygdom eller cirrhose, da forværring af hepatitis efter behandling kan føre til leverdugning og leversvigt.
Ny indtræden eller forværring af nedsat nyrefunktion
Nedskrivning af nyren inklusive tilfælde af akut nyresvigt og Fanconi syndrome (renal tubular injury with severe hypophosphatemia) has been reported with the use of TDF a component of Delstrigo.
Delstrigo should be avoided with concurrent or recent use of a nephrotoxic agent (e.g. high-dose or multiple nonsteroidal anti-inflammatory drugs [NSAIDs]) [see Lægemiddelinteraktioner ]. Cases of akut nyresvigt after initiation of high-dose or multiple NSAIDs have been reported in patients living with HIV with risk factors for renal dysfunction who appeared stable on TDF. Some patients required hospitalization og renal replacement therapy. Alternatives to NSAIDs should be considered if needed in patients at risk for renal dysfunction.
Vedvarende eller forværring af knoglesmerter i ekstremiteter Frakturer og/eller muskelsmerter eller svaghed kan være manifestationer af proksimal nyre tubulopati og bør tilskynde til en evaluering af nyrefunktion hos patienter i risiko.
Før eller når man startede Delstrigo og under behandling med DelStrigo på et klinisk passende tidsplan vurderer vurderer serumkreatinin estimeret kreatinin -clearance uringlukose og urinprotein hos alle patienter. Hos patienter med kronisk nyresygdom vurderer også serumfosfor. Afbryd Delstrigo hos patienter, der udvikler klinisk signifikante fald i nyrefunktion eller bevis for Fanconi -syndrom.
Lamivudin- og TDF -komponenterne i Delstrigo udskilles primært af nyrerne. Afbryd Delstrigo Hvis estimeret kreatininafstand falder under 50 ml/min som dosisintervaljustering, der kræves til lamivudin, og TDF kan ikke opnås med den faste dosis kombinationstablet [Se Brug i specifikke populationer ].
Risiko for bivirkninger eller tab af virologisk respons på grund af lægemiddelinteraktioner
Den samtidige brug af Delstrigo og visse andre lægemidler kan resultere i kendte eller potentielt betydelige lægemiddelinteraktioner, hvoraf nogle kan føre til [se Dosering og administration Kontraindikationer og Lægemiddelinteraktioner ]:
- Tab af terapeutisk virkning af Delstrigo og mulig udvikling af resistens.
- Mulige klinisk signifikante bivirkninger fra større eksponeringer af en komponent i Delstrigo.
Se tabel 6 for trin for at forhindre eller håndtere disse mulige og kendte signifikante lægemiddelinteraktioner, herunder doseringsanbefalinger. Overvej potentialet for lægemiddelinteraktioner før og under Delstrigo Therapy Review samtidig medicin under Delstrigo -terapi og monitor for bivirkninger.
Knogletab og mineraliseringsdefekter
Knoglemineraltæthed
I kliniske forsøg hos voksne, der lever med HIV TDF (en komponent i Delstrigo), var forbundet med lidt større fald i knoglemineraltæthed (BMD) og stigninger i biokemiske markører for knoglemetabolisme, hvilket antyder øget knoglemodning i forhold til komparatorer. Serumparathyroidehormonniveauer og 125 D -vitaminniveauer var også højere hos deltagere, der fik TDF.
Kliniske forsøg, der vurderede TDF hos pædiatriske deltagere, blev udført. Under normale omstændigheder øges BMD hurtigt hos pædiatriske patienter. I deltagerne var 2 år til mindre end 18 år gammel med at leve med HIV -knogleeffekter svarende til dem, der blev observeret hos voksne deltagere, og antyder øget knogleomsætning. Den samlede BMD-forstærkning var mindre i de TDF-behandlede pædiatriske deltagere, der lever med HIV sammenlignet med kontrolgrupperne. Lignende tendenser blev observeret i kronisk HBV-inficerede pædiatriske deltagere 2 år til mindre end 18 år. I alle pædiatriske forsøg blev normal skeletvækst (højde) ikke påvirket i varigheden af de kliniske forsøg.
Virkningerne af TDF-associerede ændringer i BMD og biokemiske markører på langvarig knoglesundhed og fremtidig brudrisiko er ukendt. Evaluering af BMD skal overvejes for voksne og pædiatriske patienter, der lever med HIV, der har en historie med patologisk knoglemodning eller andre risikofaktorer for osteoporose eller knogletab. Selvom virkningen af tilskud med calcium og D -vitamin ikke blev undersøgt, kan en sådan tilskud være fordelagtig hos alle patienter. Hvis der er mistanke om knogler, der er mistanke om, skal der opnås passende konsultation.
Mineraliseringsfejl
Tilfælde af osteomalacia forbundet med proksimal renal tubulopati manifesteret som knoglesmerter eller smerter i ekstremiteter, og som kan bidrage til brud er rapporteret i forbindelse med brugen af TDF [se Bivirkninger ]. Arthralgias og Muskelsmerter or svaghed have also been reported in cases of proximal renal tubulopathy. Hypophosphatemia og osteomalacia secondary to proximal renal tubulopathy should be considered in patients at risk of renal dysfunction who present with persistent or worsening bone or muscle symptoms while receiving products containing TDF [see ADVARSELS AND FORHOLDSREGLER ].
Immunrekonstitutionssyndrom
Immunrekonstitutionssyndrom er rapporteret hos patienter behandlet med kombination af antiretroviral terapi. I den indledende fase af kombination af antiretroviral behandlingspatienter, hvis immunsystem reagerer, kan udvikle en inflammatorisk respons på indolente eller resterende opportunistiske infektioner (såsom Mycobacterium avium -infektion Cytomegalovirus Pneumocystis jirovecii lungebetændelse (PCP) eller tuberkulose), hvilket kan kræve yderligere evaluering og behandling.
Autoimmune lidelser (såsom Graves 'sygdom Polymyositis guillain-barré syndrom og autoimmun hepatitis) er også rapporteret at forekomme i indstillingen af immunrekonstitution; Dog er tiden til indtræden mere variabel og kan forekomme mange måneder efter påbegyndelse af behandlingen.
Oplysninger om patientrådgivning
Rådgiv patienten om at læse den FDA-godkendte patientmærkning ( Patientinformation ).
Alvorlige hudreaktioner
Informer patienter om, at alvorlige hudreaktioner inklusive Stevens-Johnson syndrom (SJS)/toksisk epidermal nekrolyse (Ti) er rapporteret med Delstrigo. Rådgive patienter om straks at kontakte deres sundhedsudbyder, hvis de udvikler et udslæt. Instruer patienter om straks at stoppe med at tage Delstrigo og søge lægehjælp, hvis der udvikles et smertefuldt udslæt med slimhindeinddragelse [se ADVARSELS AND FORHOLDSREGLER ].
Alvorlig akut forværring af hepatitis B hos mennesker med samtidig HIV-1 og HBV
Informer patienter om, at alvorlige akutte forværringer af hepatitis B er rapporteret hos mennesker med samtidig HIV-1 og HBV, der har ophørt med lamivudin eller TDF og kan forekomme med seponering af Delstrigo [Se ADVARSELS AND FORHOLDSREGLER ]. Advise patients not to discontinue Delstrigo without first informing their healthcare provider.
Lægemiddelinteraktioner
Informere patienter om, at Delstrigo kan interagere med visse andre lægemidler; Rådgiver derfor patienter til at rapportere til deres sundhedsudbyder brug af enhver anden recept- eller receptpligtig medicin eller urteprodukter inklusive St. John's Wort [se Kontraindikationer ADVARSELS AND FORHOLDSREGLER og Lægemiddelinteraktioner ].
For patienter, der samtidig modtager rifabutin Dosering og administration ].
Ny indtræden eller forværring af nedsat nyrefunktion
Informer patienter om, at nedsat nyrefunktion inklusive tilfælde af akut nyresvigt og Fanconi -syndrom er rapporteret i forbindelse med brugen af TDF. Rådgiv patienter om at undgå DelStrigo med samtidig eller nylig brug af et nefrotoksisk middel (f.eks. Højdosis eller flere NSAID'er) [se ADVARSELS AND FORHOLDSREGLER ].
Knogletab og mineraliseringsdefekter
Informer patienter om, at fald i knoglemineraltæthed er blevet observeret ved anvendelse af TDF en komponent i Delstrigo. Evaluering af knoglemineraltæthed (BMD) bør overvejes hos patienter, der har en historie med patologisk knoglerbrud eller andre risikofaktorer for osteoporose eller knogletab [se ADVARSELS AND FORHOLDSREGLER ].
Immunrekonstitutionssyndrom
Informer patienter om, at der hos nogle patienter med avanceret HIV-infektion (AIDS) -skilt og symptomer på betændelse fra tidligere infektioner kan forekomme kort efter, at anti-HIV-behandling er startet. Det antages, at disse symptomer skyldes en forbedring af kroppens immunrespons, der gør det muligt for kroppen at bekæmpe infektioner, der kan have været til stede uden åbenlyse symptomer. Rådgive patienter om straks at informere deres sundhedsudbyder om eventuelle symptomer på infektion [se ADVARSELS AND FORHOLDSREGLER ].
Doseringsinstruktioner
Rådgive patienter om at tage Delstrigo hver dag på et regelmæssigt planlagt tidspunkt med eller uden mad. Informer patienter om, at det er vigtigt ikke at gå glip af eller springe doser over, da det kan resultere i udvikling af resistens. Hvis en patient glemmer at tage Delstrigo, skal du fortælle patienten om at tage den ubesvarede dosis med det samme, medmindre det er næsten tid til den næste dosis. Rådgiv patienten om ikke at tage 2 doser på én gang og tage den næste dosis på det regelmæssigt planlagte tidspunkt.
Graviditetsregister
Informer patienter om, at der er et antiretroviralt graviditetsregister til overvågning af fosterresultater af gravide individer udsat for Delstrigo [se Brug i specifikke populationer ].
Amning
Informer personer med HIV-1-infektion, som de potentielle risici ved amning inkluderer: (1) HIV-1 transmission (i HIV-1-negative spædbørn) (2) udvikler viral modstand (hos HIV-1-positive spædbørn) og (3) alvorlige bivirkninger i et ammet spædbarn, der ligner dem, der ses hos voksne [se Brug i specifikke populationer ].
Ikke -klinisk toksikologi
Karcinogenese mutagenese nedskrivning af fertilitet
Carcinogenese
Doravirine
Doravirine was not carcinogenic in long-term oral carcinogenicity studies in mice og rats at exposures up to 6 og 7 times respectively the human exposures at the RHD. A statistically significant incidence of thyroid parafollicular cell adenoma og carcinoma seen only in female rats at the high dose was within the range observed in historical controls.
Lamivudin
Langtidscarcinogenicitetsundersøgelser med lamivudin hos mus og rotter viste ingen tegn på kræftfremkaldende potentiale ved eksponeringer op til 10 gange (mus) og 58 gange (rotter) de humane eksponeringer ved RHD.
TDF
Langvarige orale carcinogenicitetsundersøgelser af TDF hos mus og rotter blev udført ved eksponeringer op til ca. 16 gange (mus) og 5 gange (rotter) dem, der blev observeret hos mennesker ved RHD. Ved den høje dosis i kvindelige mus blev leveradenomer øget ved eksponeringer 16 gange af det hos mennesker. Hos rotter var undersøgelsen negativ for kræftfremkaldende fund ved eksponeringer op til 5 gange, der blev observeret hos mennesker på RHD.
Mutagenese
Doravirine
Doravirine was not genotoxic in a battery of in vitro or in vivo assays including microbial mutagenesis chromosomal aberration in Chinese hamster ovary cells og in in vivo rat micronucleus assays.
Lamivudin
Lamivudin was mutagenic in an L5178Y mouse lymphoma assay og clastogenic in a cytogenetic assay using cultured human lymphocytes. Lamivudin was not mutagenic in a microbial mutagenicity assay in an in vitro cell transformation assay in a rat micronucleus test in a rat bone marrow cytogenetic assay og in an assay for unscheduled DNa synthesis in rat liver. Lamivudin showed no evidence of in vivo genotoxic activity in the rat at oral doses of up to 2000 mg per kg producing plasma levels of 35 to 45 times those in humans at the recommended dose for HIV-1 infection.
TDF
TDF was mutagenic in the in vitro mouse lymphoma assay og negative in an in vitro bacterial mutagenicity test (Ames test). In an in vivo mouse micronucleus assay TDF was negative when administered to male mice.
Værdiforringelse af fertiliteten
Doravirine
Der var ingen effekter på fertilitetsparingspræstation eller tidlig embryonal udvikling, da doravirin blev administreret til rotter op til den højeste dosis, der blev testet. Systemiske eksponeringer (AUC) for doravirin var cirka 7 gange eksponeringen hos mennesker ved RHD.
Lamivudin
I en undersøgelse af reproduktiv ydeevne administreret lamivudin til rotter i doser op til 4000 mg pr. Kg pr. Dag, der producerer plasmaniveauer 47 til 70 gange dem i mennesker, afslørede ingen bevis for nedsat frugtbarhed og ingen indflydelse på overlevelsesvæksten og udviklingen til fravænning af afkom.
TDF
Der var ingen effekter på fertilitetspareringspræstation eller tidlig embryonal udvikling, da TDF blev administreret til hanrotter i en dosis svarende til 10 gange RHD baseret på kropsoverfladeareal -sammenligninger i 28 dage før parring og til hunrotter i 15 dage før parring gennem dag 7 af drægtighed. Der var dog en ændring af den estrouscyklus hos hunrotter.
Brug i specifikke populationer
Graviditet
Graviditet Exposure Registry
Der er et graviditetseksponeringsregister, der overvåger graviditetsresultater hos individer udsat for Delstrigo under graviditet. Udbydere af sundhedsydelser opfordres til at registrere patienter ved at ringe til Antiretroviral Graviditetsregistret (APR) på 1-800-258-4263.
Risikooversigt
Der er utilstrækkelige prospektive graviditetsdata fra APR til tilstrækkeligt at vurdere risikoen for fødselsdefekter og spontanabort. Doravirinbrug hos individer under graviditet er ikke evalueret; Imidlertid er lamivudin- og TDF -anvendelse under graviditet blevet evalueret hos et begrænset antal individer rapporteret til APR. Tilgængelige data fra APR viser ingen forskel i den samlede risiko for større fødselsdefekter for lamivudin og TDF sammenlignet med baggrundsfrekvensen for større fødselsdefekter på 2,7% i den amerikanske referencepopulation af Metropolitan Atlanta Congenital Defects Program (MACDP) (se Data ). The rate of miscarriage is not reported in the APR. The estimated background rate of miscarriage in the clinically recognized pregnancies in the U.S. general population is 15-20%. Methodological limitations of the APR include the use of MACDP as the external comparator group. The MACDP population is not disease-specific evaluates individuals og infants from the limited geographic area og does not include outcomes for births that occurred at less than 20 weeks gestation.
I dyreproduktionsundersøgelser resulterede mundtlig administration af lamivudin til gravide kaniner under organogenese i embryoletalitet ved systemisk eksponering (AUC) svarende til den anbefalede kliniske dosis; Imidlertid blev der ikke observeret nogen negative udviklingseffekter med oral administration af lamivudin til gravide rotter under organogenese ved plasmakoncentrationer (Cmax) 35 gange den anbefalede kliniske dosis.
Der blev ikke observeret ugunstige udviklingseffekter, da doravirin og TDF blev administreret separat i doser/eksponeringer ≥8 (doravirin) og ≥14 (TDF) gange dem fra den anbefalede humane dosis (RHD) af Delstrigo (se Data ).
Data
Menneskelige data
Lamivudin
APR har modtaget i alt over 13000 potentielle rapporter med opfølgningsdata om mulig eksponering for lamivudinholdige regimer; over 5900 rapporter i første trimester; over 5600 rapporter i anden trimester; og over 1800 rapporter i tredje trimester. Fødselsdefekter forekom i 170 af 5472 (NULL,1% 95% CI: 2,7% til 3,6%) levende fødsler til lamivudinholdige regimer (eksponering for første trimester); og 218 af 7513 (NULL,9% 95% CI: 2,5% til 3,3%) levende fødsler til lamivudinholdige regimer (eksponering for anden/tredje trimester). Blandt gravide mødre i den amerikanske referencepopulation er baggrundshastigheden for fødselsdefekter 2,7%. Der var ingen sammenhæng mellem lamivudin og samlede fødselsdefekter observeret i april.
TDF
APR har modtaget i alt over 7000 potentielle rapporter med opfølgningsdata om mulig eksponering for tenofovir disoproxil-holdige regimer; over 5100 rapporter i første trimester; over 1300 rapporter i anden trimester; og over 600 rapporter i tredje trimester. Fødselsdefekter forekom i 113 af 4576 (NULL,5% 95% CI: 2,0% til 3,0%) levende fødsler til TDF-holdige regimer (eksponering for første trimester); og 51 af 1965 (NULL,6% 95% CI: 1,9% til 3,4%) levende fødsler til TDF-holdige regimer (anden/tredje trimestereksponering). Blandt gravide mødre i den amerikanske referencepopulation er baggrundshastigheden for fødselsdefekter 2,7%. Der var ingen sammenhæng mellem tenofovir og samlede fødselsdefekter observeret i april.
Dyredata
Doravirine
Doravirine was administered orally to pregnant rabbits (up to 300 mg/kg/day on gestation days (GD) 7 to 20) og rats (up to 450 mg/kg/day on GD 6 to 20 og separately from GD 6 to lactation/postpartum day 20). No significant toxicological effects on embryo-fetal (rats og rabbits) or pre/post-natal (rats) development were observed at exposures (AUC) approximately 9 times (rats) og 8 times (rabbits) the exposure in humans at the RHD. Doravirine was transferred to the fetus through the placenta in embryo-fetal studies with fetal plasma concentrations of up to 40% (rabbits) og 52% (rats) that of maternal concentrations observed on GD 20.
Lamivudin
Lamivudin was administered orally to pregnant rats (at 90 600 og 4000 mg per kg per day) og rabbits (at 90 300 og 1000 mg per kg per day og at 15 40 og 90 mg per kg per day) during organogenesis (on GD 7 through 16 [rat] og 8 through 20 [rabbit]). No evidence of fetal malformations due to lamivudine was observed in rats og rabbits at doses producing plasma concentrations (Cmax) approximately 35 times higher than human exposure at the recommended daily dose. Evidence of early embryolethality was seen in the rabbit at system exposures (AUC) similar to those observed in humans but there was no indication of this effect in the rat at plasma concentrations (Cmax) 35 times higher than human exposure at the recommended daily dose. Studies in pregnant rats showed that lamivudine is transferred to the fetus through the placenta. In the fertility/pre- og postnatal development study in rats lamivudine was administered orally at doses of 180 900 og 4000 mg per kg per day (from prior to mating through postnatal Day 20). In the study development of the offspring including fertility og reproductive performance was not affected by maternal administration of lamivudine.
TDF
Reproduktionsundersøgelser er blevet udført hos rotter og kaniner i doser op til 14 og 19 gange den menneskelige dosis baseret på sammenligning af kropsoverfladearealet og afslørede ingen tegn på skade på fosteret.
Amning
Risikooversigt
Baseret på begrænsede offentliggjorte data er både lamivudin og tenofovir til stede i human mælk. Det er ukendt, om doravirin er til stede i human mælk, men doravirin er til stede i mælken fra ammende rotter (se Data ). It is not known whether Delstrigo or the components of Delstrigo affects human milk production or has effects on the breastfed infant. Potential risks of breastfeeding include: (1) HIV-1 transmission (in HIV-1-negative infants) (2) developing viral resistance (in HIV-1-positive infants) og (3) serious adverse reactions in a breastfed infant similar to those seen in adults.
Data
Doravirine
Doravirine was excreted into the milk of lactating rats following oral administration (450 mg/kg/day) from GD 6 to lactation day 14 with milk concentrations approximately 1.5 times that of maternal plasma concentrations observed 2 hours post dose on lactation day 14.
Pædiatrisk brug
Delstrigo's sikkerhed og effektivitet til behandling af HIV-1-infektion er blevet fastlagt hos pædiatriske patienter, der vejer mindst 35 kg [se Indikationer og brug og Dosering og administration ].
Brug af Delstrigo i denne gruppe understøttes af bevis fra tilstrækkelige og godt kontrollerede forsøg hos voksne med yderligere farmakokinetiske sikkerheds- og effektivitetsdata fra en åben-labelforsøg i virologiskâsupprimerede eller behandlingsnaã¯ve pædiatriske deltagere 12 til mindre end 18 år. Sikkerheden og effektiviteten af Delstrigo hos disse pædiatriske deltagere svarede til den hos voksne, og der var ingen klinisk signifikant forskel i eksponering for komponenterne i Delstrigo. [se Bivirkninger Klinisk farmakologi og Kliniske studier ].
Sikkerhed og effektivitet af Delstrigo hos pædiatriske patienter, der vejer mindre end 35 kg, er ikke blevet fastlagt.
Geriatrisk brug
Kliniske forsøg med doravirin -lamivudin eller TDF inkluderede ikke tilstrækkeligt antal deltagere i alderen 65 år og derover for at afgøre, om de reagerer forskelligt fra yngre deltagere. Generelt bør der udvises forsigtighed i administrationen af Delstrigo hos ældre patienter, der afspejler den større hyppighed af nedsat leverrenal eller hjertefunktion og af samtidig sygdom eller anden lægemiddelterapi [se Klinisk farmakologi ].
Nedskærmning af nyren
Fordi Delstrigo er en faste-dosis kombinationstablet, og doseringen af lamivudin og TDF kan begge komponenter i Delstrigo ikke ændres, at Delstrigo ikke anbefales hos patienter med estimeret kreatinin-clearance mindre end 50 ml/min [se ADVARSELS AND FORHOLDSREGLER og Klinisk farmakologi ].
Leverskrivning i leveren
Ingen doseringsjustering af Delstrigo er påkrævet hos patienter med mild (børnepugh klasse A) eller moderat (børne-pugh klasse B) leverfunktion. Delstrigo er ikke blevet undersøgt hos patienter med alvorlig nedskrivning i leveren (børnepugh klasse C) [se Klinisk farmakologi ].
Overdose Information for Delstrigo
Ingen data er tilgængelige om overdosis af Delstrigo hos patienter, og der er ingen kendt specifik behandling af overdosis med Delstrigo. Hvis overdosis forekommer, skal patienten overvåges, og standard understøttende behandling anvendes efter behov.
Doravirine
Der er ingen kendt specifik behandling af overdosering med doravirin.
Lamivudin
Fordi en ubetydelig mængde lamivudin blev fjernet via (4-timers) hæmodialyse kontinuerlig ambulant peritoneal dialyse og automatiseret peritoneal dialyse, vides det ikke, om kontinuerlig hæmodialyse ville tilvejebringe klinisk fordel i en lamivudin overdosishændelse.
TDF
TDF is efficiently removed by hemodialysis with an extraction coefficient of approximately 54%. Following a single 300 mg dose of TDF a 4-hour hemodialysis session removed approximately 10% of the administered tenofovir dose.
Kontraindikationer for Delstrigo
- Delstrigo is contraindicated when co-administered with drugs that are strong cytochrome P450 (CYP)3A enzyme inducers as significant decreases in doravirine plasma concentrations may occur which may decrease the effectiveness of Delstrigo [see ADVARSELS AND FORHOLDSREGLER Lægemiddelinteraktioner og Klinisk farmakologi ]. These drugs include but are not limited to the following:
- Anticonvulsanten carbamazepin oxcarbazepin phenobarbital fenytoin
- Androgenreceptorinhibitoren enzalutamid
- Antimycobacterials Rifampin Rifapentine
- Det cytotoksiske middel mitotan
- St. John's Wort (Hypericum perforatum)
- Delstrigo is contraindicated in patients with a previous hypersensitivity reaction to lamivudine.
Klinisk farmakologi for Delstrigo
Handlingsmekanisme
Delstrigo is a fixed-dose combination of the antiretroviral drugs doravirine lamivudine og TDF [see Mikrobiologi ].
Farmakodynamik
I et fase 2-forsøg, der evaluerer doravirin over et dosisområde på 0,25 til 2 gange den anbefalede dosis af doravirin i Delstrigo (i kombination med FTC/TDF) hos deltagere, der lever med HIV uden antiretroviral behandlingshistorie, blev der ikke identificeret eksponeringsresesponseforhold for effekt for effekt for effekt for doravirin.
Hjertelektrofysiologi
Ved en doravirin -dosis på 1200 mg, hvilket giver ca. 4 gange den maksimale koncentration, der blev observeret efter den anbefalede dosis af doravirin i Delstrigo, forlænger ikke QT -intervallet i noget klinisk relevant omfang.
Farmakokinetik
Enkeltdosis administration af en delstrigo-tablet til sunde deltagere gav sammenlignelige eksponeringer af doravirin lamivudin og tenofovir til administration af doravirin-tabletter (100 mg) plus lamivudin-tabletter (300 mg) plus TDF-tabletter (300 mg). Doravirine farmakokinetik er ens hos raske deltagere og deltagere, der lever med HIV. Farmakokinetiske egenskaber for komponenterne i Delstrigo er tilvejebragt i tabel 7.
Tabel 7: Farmakokinetiske egenskaber for komponenterne i Delstrigo
| Parameter | Doravirine | Lamivudin | Tenofovir |
| Generel | |||
| Eksponering af stabil tilstand* | |||
| AUC0-24 (MCG • H/ML) | 16.1 (29) † | 8,87 ± 1,83 ‡ | 2,29 ± 0,69 |
| Cmax (MCG/ML) | 0,962 (19) † | 2,04 ± 0,54 ‡ | 0,30 ± 0,09 |
| C24 (MCG/ML) | 0,396 (63) † | Na | Na |
| Absorption | |||
| Absolut biotilgængelighed | 64% | 86% | 25% |
| Tmax (H) | 2 | Na | 1 |
| Effekt af mad¶ | |||
| AUC -forhold | 1.10 (1.01 1.20) | 0,93 (NULL,84 1,03) | 1.27 (1.17 1.37) |
| Cmax -forhold | 0,95 (NULL,80 1,12) | 0,81 (NULL,65 1,01) | 0,88 (NULL,74 1,04) |
| C24 -forhold | 1.26 (1.13 1.41) | Na | Na |
| Fordeling | |||
| VDSS | 60,5 l | 1,3 L/kg | 1,3 L/kg |
| Plasmaproteinbinding | 76% | <36% | <0.7% |
| Eliminering | |||
| t½ (h) | 15 | 5-7 | 17 |
| Cl/ f (ml/ min)* | 106 (35.2) | 398,5 ± 69,1 | 1043,7 ± 115,4 |
| CLRENAL (ML/ MIN)* | 9.3 (18.6) | 199,7 ± 56,9 | 243,5 ± 33,3 |
| Metabolisme | |||
| Primære stier (r) | CYP3A | Mindre | Ingen CYP -metabolisme |
| Udskillelse | |||
| Større eliminationsrute | Metabolisme | Glomerulær filtrering og aktiv rørformet sekretion | Glomerulær filtrering og aktiv rørformet sekretion |
| Urin (uændret) | 6% | 71% | 70-80% |
| Galde/fækal (uændret) | Mindre | Na | Na |
| *Præsenteret som geometrisk middelværdi (%CV: geometrisk variationskoefficient) eller middelværdi ± SD. † Doravirine 100 mg en gang dagligt til deltagere, der lever med HIV. ‡ Lamivudin 300 mg en gang dagligt i 7 dage til 60 sunde deltagere. §Single 300 mg dosis TDF til deltagere, der lever med HIV i den faste tilstand. ¶Geometrisk middelforhold [Måltid/faste måltid] og (90% konfidensinterval) for PK-parametre. Måltid med højt fedtindhold er ca. 1000 kcal 50% fedt. Effekten af mad er ikke klinisk relevant. Forkortelser: NA = ikke tilgængelig; AUC = område under tidskoncentrationskurven; Cmax = maksimal koncentration; C24 = koncentration efter 24 timer; Tmax = tid til cmax; VDSS = tilsyneladende distributionsvolumen i stabil tilstand; t½ = eliminering halveringstid; Cl/f = tilsyneladende godkendelse; ClrBeanal = renal clearance |
Specifikke populationer
Hos voksne blev der ikke observeret klinisk signifikante forskelle i farmakokinetikken for visse delstrigo -komponenter baseret på alder ≥65 år (for doravirin) køn (for doravirin lamivudin tenofovir) og race/etnicitet (for doravirin lamivudin). Virkningerne af alder (≥65 år) på farmakokinetikken af lamivudin og tenofovir og virkningen af race på farmakokinetikken i tenofovir er ukendt.
Patienter med nedsat nyrefunktion
Doravirine
Ingen klinisk signifikant forskel i farmakokinetikken af doravirin blev observeret hos deltagere med mild til alvorlig nyring af nyren (creatinine clearance (CLCR)> 15 ml/min estimeret af Cockcroft-Gault). Doravirine er ikke undersøgt hos patienter med nyresygdom i slutstadiet eller hos patienter, der gennemgår dialyse.
Lamivudin
AUC∞ Cmax og halveringstid for lamivudin steg, og CL/F faldt i klinisk signifikant omfang med formindskende nyrefunktion (CLCR 111 til <10 mL/min).
TDF
En klinisk signifikant stigning i Cmax og AUC af tenofovir blev observeret hos deltagere med CLCR <50 mL/min or with end stage renal disease requiring dialysis [see ADVARSELS AND FORHOLDSREGLER og Brug i specifikke populationer ].
Patienter med nedsat leverfunktion
Doravirine
Der blev ikke observeret nogen klinisk signifikant forskel i farmakokinetikken af doravirin hos deltagere med moderat leverfunktion (børnepugh-score B) sammenlignet med deltagere uden leverindtægt. Doravirine er ikke blevet undersøgt hos deltagere med alvorlig nedsat leverfunktion (børnepugh score C).
Lamivudin
Ingen klinisk signifikante forskelle i lamivudin farmakokinetik blev observeret med formindsket leverfunktion. Sikkerhed og effektivitet af lamivudin er ikke blevet fastlagt i nærvær af dekompenseret leversygdom.
TDF
Der blev ikke observeret nogen klinisk signifikante forskelle i tenofovir farmakokinetik mellem deltagere med nogen grad af leverfunktion og uhæmmede deltagere.
Pædiatriske patienter
Gennemsnitlige doravirineksponeringer var ens hos 54 pædiatriske deltagere i alderen 12 til mindre end 18 år og vejer mindst 35 kg, der modtog doravirin eller delstrigo i Impaact 2014 (protokol 027) i forhold til voksne efter administration af doravirin eller delstrigo. Eksponeringer af lamivudin og tenofovir hos pædiatriske deltagere efter administration af Delstrigo svarede til dem hos voksne efter administration af lamivudin og tenofovir (tabel 8). For pædiatriske deltagere, der vejer ≥ 35 kg og <45 kg who receive doravirine 100 mg or Delstrigo the population pharmacokinetic model-predicted mean C24 of doravirine was comparable to that achieved in adults whereas mean AUC0-24 og Cmax of doravirine were 25% og 36% higher than adult values respectively. However the predicted AUC0-24 og Cmax increases are not considered clinically significant.
Tabel 8: Farmakokinetik for stabil tilstand for doravirin lamivudin og tenofovir efter administration af doravirin eller delstrigo hos pædiatriske deltagere, der lever med hivaged 12 til mindre end 18 år og vejer mindst 35 kg
| Parameter* | Doravirine† | Lamivudin‡ | Tenofovir‡ |
| AUC0-24 (MCG • H/ML) | 16.4 (24) | 11.3 (28) | 2,55 (14) |
| Cmax (MCG/ML) | 1.03 (16) | 2.1 (24) | 0,293 (37) |
| C24 (MCG/ML) | 0,379 (42) | Na | Na |
| *Præsenteret som geometrisk middelværdi (%CV: Geometrisk variationskoefficient) † Fra population PK -analyse (n = 53 vejer ≥45 kg n = 1 vejning ≥35 kg til <45 kg) ‡ Fra intensiv PK -analyse (n = 10) Forkortelser: NA = ikke relevant; AUC = område under tidskoncentrationskurven; Cmax = maksimal koncentration; C24 = koncentration efter 24 timer |
Lægemiddelinteraktionsundersøgelser
Delstrigo is a complete regimen for the treatment of HIV-1 infection; therefore Delstrigo is not recommended to be administered with other HIV-1 antiretroviral medications. Information regarding potential drug-drug interactions with other antiretroviral medications is not provided.
De beskrevne lægemiddelinteraktionsforsøg blev udført med doravirin -lamivudin og/eller TDF som enkelt enheder; Der er ikke foretaget nogen lægemiddelinteraktionsforsøg ved hjælp af kombinationen af doravirin -lamivudin og TDF. Der blev ikke observeret nogen klinisk relevante lægemiddelinteraktioner mellem doravirin -lamivudin og TDF.
Doravirine
Doravirine is primarily metabolized by CYP3A og drugs that induce or inhibit CYP3A may affect the clearance of doravirine. Co-administration of doravirine og drugs that induce CYP3A may result in decreased plasma concentrations of doravirine. Co-administration of doravirine og drugs that inhibit CYP3A may result in increased plasma concentrations of doravirine.
Doravirine is not likely to have a clinically relevant effect on the exposure of medicinal products metabolized by CYP enzymes. Doravirine did not inhibit major drug metabolizing enzymes in vitro including CYPs 1A2 2B6 2C8 2C9 2C19 2D6 3A4 og UGT1A1 og is not likely to be an inducer of CYP1A2 2B6 or 3A4. Based on in vitro assays doravirine is not likely to be an inhibitor of OATP1B1 OATP1B3 P-glycoprotein BSEP OAT1 OAT3 OCT2 MATE1 og MATE2K. Drug interaction studies were performed with doravirine og other drugs likely to be co-administered or commonly used as probes for pharmacokinetic interactions. The effects of co-administration with other drugs on the exposure (Cmax AUC og C24) of doravirine are summarized in Table 9. A single doravirine 100 mg dose was administered in these studies unless otherwise noted.
Tabel 9: Lægemiddelinteraktioner: Ændringer i farmakokinetiske parameterværdier for doravirin i præsentationen af co-administreret lægemiddel
| Co-administreret lægemiddel | Regime af coadministeret stof | N | Geometrisk gennemsnitlig forhold (90% CI) af doravirin farmakokinetik med/uden co-administreret lægemiddel (ingen effekt = 1,00) | ||
| Auc* | Cmax | C24 | |||
| Azol -antifungale midler | |||||
| ketoconazol † | 400 mg qd | 10 | 3.06 (2.85 3.29) | 1.25 (1.05 1.49) | 2.75 (2.54 2.98) |
| Antimycobacterials | |||||
| Rifampin | 600 mg qd | 10 | 0.12 (NULL,10 0,15) | 0.43 (NULL,35 0,52) | 0.03 (NULL,02 0,04) |
| Rifabutin | 300 mg qd | 12 | 0.50 (NULL,45 0,55) | 0.99 (NULL,85 1.15) | 0.32 (NULL,28 0,35) |
| 300 mg qd‡ | 15 | 1.03 (NULL,94 1.14) | 0.97 (NULL,87 1.08) | 0.98 (NULL,88 1.10) | |
| HIV -antivirale midler | |||||
| Ritonavir † § | 100 mg bud | 8 | 3.54 (3.04 4.11) | 1.31 (1.17 1.46) | 2.91 (2.33 3.62) |
| Efavirenz | 600 mg qd¶ | 17 | 0.38 (NULL,33 0,45) | 0.65 (NULL,58 0,73) | 0.15 (NULL,10 0,23) |
| 600 mg qd# | 17 | 0.68 (NULL,58 0,80) | 0.86 (NULL,77 0,97) | 0.50 (NULL,39 0,64) | |
| CI = konfidensinterval; QD = én gang dagligt; Bud = to gange dagligt *AUC0-∞ til enkeltdosis AUC0-24 for en gang dagligt. † Ændringer i doravirin farmakokinetiske værdier er ikke klinisk relevante. ‡ Doravirin 100 mg bud resulterede i lignende farmakokinetiske værdier sammenlignet med 100 mg QD uden rifabutin. §A enkelt doravirin 50 mg dosis (NULL,5 gange den anbefalede godkendte dosis) blev administreret. ¶ Den første dag efter ophør af efavirenz -terapi og initiering af doravirin 100 mg qd. |
Baseret på lægemiddelinteraktionsundersøgelser udført med doravirin er der ikke observeret nogen klinisk signifikante lægemiddelinteraktioner efter co-administration af doravirin og følgende lægemidler: DoluteGravir TDF Lamivudin Elbasvir og Grazoprevir Ledipasvir og Sofosbuvir ketoconazol ritonavir aluminum Hydroxid/Magnesium Hydroxide/Simethicune Indeparinging Antacidepantoprazol atorvastatin en oral prævention indeholdende ethinyløstradiol og levonorgestrel metformin methadon og midazolam.
Lamivudin
Trimethoprim/sulfamethoxazol
Samtidig administration af TMP/SMX med lamivudin resulterede i en stigning på 43% ± 23% (middelværdi ± SD) i lamivudin AUC ∞ et fald på 29% ± 13% i lamivudin oral clearance og et fald på 30% ± 36% i lamivudin-renal clearance. De farmakokinetiske egenskaber af TMP og SMX blev ikke ændret ved co-administration med lamivudin.
Sorbitol (Excipient)
Co-administration af lamivudin med en enkelt dosis på 3,2 gram 10,2 gram eller 13,4 gram sorbitol resulterede i dosisafhængige fald på 14% 32% og 36% i AUC∞; og 28% 52% og 55% i henholdsvis Cmax af lamivudin.
TDF
Ingen klinisk signifikante ændringer i eksponering blev observeret for tenofovir, når de blev administreret med tacrolimus eller encavir.
Ingen klinisk signifikante ændringer i eksponering blev observeret for følgende lægemidler, når de blev administreret med tenofovir: tacrolimus entecavir methadon eller ethinyl østradiol/norestimate.
Mikrobiologi
Handlingsmekanisme
Doravirine
Doravirine is a pyridinone non-nucleoside reverse transcriptase inhibitor of HIV-1 og inhibits HIV-1 replication by non-competitive inhibition of HIV-1 reverse transcriptase (RT). The inhibitory concentration at 50% (IC50) of doravirine for RNa-dependent DNa polymerization of recombinant wild-type HIV-1 RT in a biochemical assay was 12.2±2.0 nM (n=3). Doravirine does not inhibit the human cellular DNa polymerasesα β og mitochondrial DNa polymerase γ.
Lamivudin
Lamivudin is a synthetic nucleoside analogue. Intracellularly lamivudine is phosphorylated to its active 5´-triphosphate metabolite lamivudine triphosphate (3TC-TP). The principal mode of action of 3TC-TP is inhibition of RT via DNa chain termination after incorporation of the nucleotide analogue. Lamivudin triphosphate (3TC-TP) is a weak inhibitor of mammalian DNa polymerasesα β og mitochondrial DNa polymerase γ.
TDF
TDF is an acyclic nucleoside phosphonate diester analog of adenosine monophosphate. TDF requires initial diester hydrolysis for conversion to tenofovir og subsequent phosphorylations by cellular enzymes to form tenofovir diphosphate. Tenofovir diphosphate inhibits the activity of HIV-1 RT by competing with the natural substrate deoxyadenosine 5'-triphosphate og after incorporation into DNa by DNa chain termination. Tenofovir diphosphate is a weak inhibitor of mammalian DNa polymerasesα β og mitochondrial DNa polymerase γ.
Antiviral aktivitet i cellekultur
Doravirine
Doravirine exhibited an EC50 value of 12.0±4.4 nM against wild-type laboratory strains of HIV-1 when tested in the presence of 100% normal human serum (NHS) using MT4-GFP reporter cells og a median EC50 value for HIV-1 subtype B primary isolates (n=118) of 4.1 nM (range: 1.0 nM-16.0 nM). Doravirine demonstrated Antiviral activity against a broad panel of primary HIV-1 isolates (A A1 AE AG B BF C D G H) with EC50 values ranging from 1.2 nM to 10.0 nM. The Antiviral activity of doravirine was not antagonistic when combined with lamivudine og TDF.
Lamivudin
Den antivirale aktivitet af lamivudin mod HIV-1 blev vurderet i et antal cellelinjer inklusive monocytter og perifere mononukleære blodceller (PBMC'er) under anvendelse af standardfølsomhedsassays. EC50 -værdier var i området fra 3 til 15000 nm (1000 nm = 230 ng pr. Ml). Median EC50 -værdier for lamivudin var 60 nm (rækkevidde: 20 til 70 nm) 35 nm (interval: 30 til 40 nm) 30 nm (interval: 20 til 90 nm) 20 nm (interval: 3 til 40 nm) 30 nm (interval: 1 til 60 nm) 30 nm (interval: 20 til 70 nm) HIV-1 clades A-G og gruppe O-vira (n = 3 undtagen n = 2 for clade b) henholdsvis. Ribavirin (50000 nm) anvendt til behandling af kronisk HCV-infektion reducerede anti-HIV-1-aktiviteten af lamivudin med 3,5 gange i MT-4-celler.
TDF
Den antivirale aktivitet af tenofovir mod laboratorie- og kliniske isolater af HIV-1 blev vurderet i T-lymfoblastoidcellelinjer primære monocyt/makrofagceller og perifere blodlymfocytter. EC50-værdierne for tenofovir var i området 40-8500 nm. Tenofovir viste antiviral aktivitet i cellekultur mod HIV-1 clades A B C D E F G og O (EC50-værdier varierede fra 500-2200 nm).
Modstand
I cellekultur
Doravirine
Doravirine-resistant strains were selected in cell culture starting from wild-type HIV-1 of different origins og subtypes as well as NNRTI-resistant HIV-1. Observed emergent amino acid substitutions in RT included: V106A V106I V106M V108I H221Y F227C F227I F227L F227V M230I L234I P236L og Y318F. The V106A V106M V108I H221Y F227C M230I P236L og Y318F substitutions conferred 3.4-fold to 70-fold reductions in susceptibility to doravirine. Y318F in combination with V106A V106M V108I or F227C conferred greater decreases in susceptibility to doravirine than Y318F alone which conferred a 10-fold reduction in susceptibility to doravirine.
Lamivudin
Lamivudin-resistant variants of HIV-1 have been selected in cell culture og in participants treated with lamivudine. Genotypic analysis showed that substitutions M184I or V cause resistance to lamivudine.
TDF
HIV-1-isolater valgt af tenofovir i cellekultur udtrykte en K65R-substitution i HIV-1 RT og viste en 2's 4-fold reduktion i modtagelighed for tenofovir. Derudover er en K70E-substitution i HIV-1 RT valgt af tenofovir og resulterer i reduceret modtagelighed på lavt niveau for abacavir emtricitabin-lamivudin og tenofovir.
I kliniske forsøg
Klinisk forsøg resulterer hos voksne uden antiretroviral behandlingshistorik
Doravirine
I doravirinbehandlingsarmen for den drive-ahead-forsøg (N = 364) gennem 96 uger viste 10 deltagere fremkomsten af Doravirine-resistensassocierede substitutioner blandt 24 (42%) deltagere i resistensanalysens undergruppe (deltagere med HIV-1 RNA større end 400 kopier pr. ML ved virologisk svigt eller tidlig undersøgelse af undersøgelsen af undersøgelsen og havde efter-BASELINE-resistensprøver). Emergent Doravirine-resistensassocierede substitutioner i RT inkluderede en eller flere af følgende: V90V/G A98G V106A V106I V106M/T V108i E138G Y188L H221Y P225H P225L P225P/S F227C F227C/R Y318Y/F og Y318Y/S. Seks af de 10 deltagere med nye doravirinresistensassocierede substitutioner viste doravirin-fænotypisk resistens, og alle af dem havde en større end 100 gange reduktion i doravirin-følsomhed (rækkevidde> 103 til> 211). De andre 4 virologiske fiaskoer, der kun havde aminosyreblandinger af NNRTI-resistenssubstitutioner, viste doravirin-fænotypiske fold-ændringer på mindre end 2 gange.
I EFV/FTC/TDF-behandlingsarmen for den drive-ahead-forsøg (N = 364) gennem uge 96 15 deltagerne viste fremkomsten af Efavirenz-resistensassocierede substitutioner blandt 25 (60%) deltagere i resistensanalysens undergruppe.
Lamivudin And TDF
I en samlet analyse af antiretroviral-naã¯ve-deltagere, der modtog doravirin-lamivudin- og TDF-genotyping, blev udført på plasma-HIV-1-isolater fra alle deltagere med HIV-1 RNA større end 400 kopier pr. Ml ved bekræftet virologisk svigt eller på tidspunktet for tidlig undersøgelsesmedicinsk seponering. Genotypisk resistens udviklet i 8 evaluerbare deltagere, der modtog DOR/3TC/TDF til uge 96. Modstandens tilknyttede substitutioner, der opstod, var RT M41L (n = 1) A62a/V (n = 1) K65R (n = 2) T69T/A (n = 1) V75V/I (n = 1) og M184V (n = 5). Til sammenligning udviklede genotypisk resistens over for emtricitabin eller tenofovir hos 5 evaluerbare deltagere, der modtog EFV/FTC/TDF i drevâahead; Fremkaldte resistensassocierede substitutioner var RT K65R (n = 1) D67G/K70E (n = 1) L74V/V75M/V118I (n = 1) M184I eller V (n = 5) og K219K/E (n = 1).
Klinisk forsøg resulterer i virologisk undertrykkede voksne
I det kliniske drevskift-forsøg [se Kliniske studier ] Der var 6 deltagere i den øjeblikkelige switch-gruppe (n = 447) og 2 deltagere i den forsinkede switch-gruppe (n = 209), der opfyldte de protokoldefinerede virologiske svigtskriterier (bekræftet HIV-1 RNA ≥ 50 eksemplarer/ml). To af de 6 virologiske fiasko -deltagere i den øjeblikkelige switch -gruppe havde tilgængelige resistensdata og hverken udviklet detekterbar genotypisk eller fænotypisk resistens over for doravirin -lamivudin eller tenofovir under behandling med Delstrigo. En af de to virologiske fiasko -deltagere i den forsinkede switchgruppe, der havde tilgængelige resistensdata, udviklede RT M184M/I -substitutionen og fænotypisk resistens over for emtricitabin og lamivudin under behandling med deres basislinje.
Krydsresistens
Der er ikke påvist nogen signifikant tværbestandighed mellem doravirinresistent HIV-1-varianter og lamivudin/emtricitabin eller tenofovir eller mellem lamivudin eller tenofovir-resistente varianter og doravirin.
Doravirine
Krydsresistens er blevet observeret blandt NNRTI'er. Behandling-opstående doravirinresistensassocierede substitutioner kan give tværbestandighed over for efavirenz etravirin nevirapin og rilpivirin. Af de 6 virologiske fiasko -deltagere, der udviklede doravirin -fænotypisk resistens, havde alle fænotypisk resistens over for efavirenz og nevirapin 4 havde fænotypisk resistens over for rilpivirin og 4 havde resistens over for etravirin i Monogram Phenosense Assay. Af de 11 virologiske fiasko havde deltagerne fænotypisk resistent over for Efavirenz 2 (18%) reduceret modtageligheden for doravirin (18 og 36 gange).
Den behandlingsmæssige Doravirine-resistensassocierede substitution Y318F gav ikke reduceret modtagelighed for efavirenz etravirin eller rilpivirin.
Et panel med 96 forskellige kliniske isolater indeholdende NNRTI-resistensassocierede substitutioner blev evalueret for modtagelighed for doravirin. Kliniske isolater indeholdende Y188L-substitutionen alene eller i kombination med K103N eller V106i V106A i kombination med G190A og F227L eller E138K i kombination med Y181C og M230L viste større end 100 gange reduceret modtagelighed over for Doravirin.
Lamivudin
Krydsresistens er blevet observeret blandt NRTI'er. M184I/V lamivudinresistensassocieret substitution giver resistens over for abacavir didanosin og emtricitabin. Lamivudin har også reduceret modtageligheden over for K65R -substitutionen.
TDF
Krydsresistens er blevet observeret blandt NRTI'er. K65R-substitutionen i HIV-1 RT valgt af tenofovir er også valgt hos nogle patienter, der lever med HIV behandlet med abacavir eller didanosin. HIV-1-isolater med K65R-substitutionen viste også reduceret følsomhed for emtricitabin og lamivudin. Derfor kan krydsresistens blandt disse NRTI'er forekomme hos patienter, hvis virus har K65R-substitutionen. K70E -substitutionen valgt klinisk af TDF resulterer i reduceret følsomhed for abacavir didanosinemtricitabin -lamivudin og tenofovir. HIV-1-isolater fra patienter (n = 20), hvis HIV-1 udtrykte et gennemsnit på 3 zidovudinresistensassocierede substitutioner (M41L D67N K70R L210W T215Y/F eller K219Q/E/N) viste et 3,1 gange fald i følsomheden for tiofovir. Deltagere, hvis virus udtrykte en RT L74V-substitution uden zidovudinresistensassocierede substitutioner (n = 8), havde reduceret respons på TDF. Begrænsede data er tilgængelige for patienter, hvis virus udtrykte en Y115F-substitution (n = 3) Q151M-substitution (n = 2) eller T69-indsættelse (n = 4) i HIV-1 RT, som alle havde en reduceret respons i kliniske forsøg.
Kliniske studier
Klinisk forsøg resulterer hos voksne uden antiretroviral behandlingshistorik
Effektiviteten af Delstrigo er baseret på analyserne af 96-ugers data fra et randomiseret multicenter-dobbeltblind aktivt kontrolleret fase 3-forsøg (drive-achad NCT02403674) hos deltagere, der lever med HIV uden antiretroviral behandlingshistorie (n = 728).
Deltagerne blev randomiseret og modtaget mindst 1 dosis af enten Delstrigo eller EFV 600 mg/FTC 200 mg/TDF 300 mg en gang dagligt. Ved baseline var medianalderen for deltagerne 31 år 15% var kvindelige 52% var ikke-hvide 3% havde hepatitis B eller C-møntfektion 14% havde en historie med AIDS 21% havde HIV-1 RNA større end 100000 kopier/ml og 88% havde CD4 T-celletælling større end 200 celler/mm³; Disse egenskaber var ens mellem behandlingsgrupper. Uge 96 Resultater for drive-ahead er tilvejebragt i tabel 10.
Gennemsnitlige CD4 T-celletællinger i Delstrigo og EFV/FTC/TDF-grupperne steg fra baseline med henholdsvis 238 og 223 celler/mm³.
Tabel 10: Virologisk resultat i drive-ahead i uge 96 hos HIV-1 voksne deltagere uden antiretroviral behandlingshistorik
| Resultat | Delstrigo Once Daily N = 364 | EFV/FTC/TDF en gang dagligt N = 364 |
| HIV-1 RNA <50 copies/mL | 77% | 74% |
| Behandlingsforskel (95% CI) * | 3,8% (-2,4% 10,0%) | |
| HIV-1 RNA ≥ 50 copies/mL† | 15% | 12% |
| Ingen virologiske data i vinduet uge 96 | 7% | 14% |
| Ophørt undersøgelse på grund af AE eller død ‡ | 3% | 8% |
| Afsluttet undersøgelse af andre grunde§ | 4% | 5% |
| På undersøgelse, men mangler data i vinduet | 1% | 1% |
| Andel (%) af deltagere med HIV-1 RNA <50 copies/mL at Week 96 by Baseline og Demographic Category | ||
| Køn | ||
| Han | 78% (n = 305) | 73% (n = 311) |
| Kvinde | 75% (n = 59) | 75% (n = 53) |
| Race | ||
| Hvid | 80% (n = 176) | 74% (N = 170) |
| Ikke-hvid | 76% (N = 188) | 74% (N = 194) |
| Etnicitet¶ | ||
| Hispanic eller Latino | 81% (n = 126) | 77% (N = 119) |
| Ikke latinamerikansk eller latino | 76% (N = 238) | 72% (n = 239) |
| Baseline HIV-1 RNA (copies/mL) | ||
| ≤100000 kopier/ml | 80% (n = 291) | 77% (N = 282) |
| > 100000 kopier/ml | 67% (n = 73) | 62% (n = 82) |
| CD4 T-celleoptælling (celler/mm³) | ||
| ≤200 celler/mm³ | 59% (n = 44) | 70% (n = 46) |
| > 200 celler/mm³ | 80% (n = 320) | 74% (N = 318) |
| Viral subtype¶ | ||
| Undertype b | 80% (n = 232) | 72% (n = 253) |
| Undertype ikke-B | 73% (n = 130) | 77% (N = 111) |
| *95% CI for behandlingsforskellen blev beregnet under anvendelse af stratumjusteret Mantel-Haenszel-metode. † Inkluderer deltagere, der ophørte med at studere lægemiddel eller undersøgelse før uge 96 for mangel eller tab af effektivitet og deltagere med HIV-1 RNA lig med eller over 50 kopier/ml i vinduet Uge 96. ‡ Inkluderer deltagere, der ophørte på grund af bivirkninger (AE) eller død, hvis dette resulterede i ingen virologiske data i vinduet Uge 96. §Other årsager inkluderer: tabt til opfølgning af manglende overholdelse af undersøgelsen af lægemiddellæge Beslutning Graviditetsprotokolafvigelsesskærmsvejledning af deltageren af deltageren. ¶ Inkluderer ikke deltagere, hvis etnicitet eller virale undertyper var ukendte. |
Klinisk forsøg resulterer i virologisk undertrykkede voksne
Effektiviteten af at skifte fra et basisregime bestående af to NRTI'er i kombination med en PI plus enten ritonavir eller cobicistat eller elvitegravir plus cobicistat eller en NNRTI til delstrigo blev evalueret i en randomiseret open-label-forsøg (drive-shift NCT02397096) til delstrigo i virologisk-støttet voksen voksen med Hive. Deltagerne skal have været virologisk undertrykt (HIV-1 RNA <50 copies/mL) on their baseline regimen for at least 6 months prior to trial entry with no history of virologic failure. Participants were rogomized to either switch to Delstrigo at baseline [n = 447 Immediate Switch Group (ISG)] or stay on their baseline regimen until Week 24 at which point they switched to Delstrigo [n = 223 Delayed Switch Group (DSG)].
Ved baseline var deltagernes medianalder 43 år 16% var kvindelige og 24% var ikke-hvide 21% var af latinamerikansk eller latino etnicitet 3% havde hepatitis B og/eller C-virus-co-infektion 17% havde en historie med AIDS 96% havde CD4 T-celletælling større end eller lig med 200 celler/mm³ 70% var på et regimen indeholdt en pi plus Ritonav Regime indeholdende en NNRTI 6% var på et regime indeholdende elvitegravir plus cobicistat og 1% var på et regime indeholdende en PI plus cobicistat; Disse egenskaber var ens mellem behandlingsgrupper.
Virologiske resultatresultater er vist i tabel 11.
Tabel 11: Virologiske resultater i drivskift i HIV-1 virologisk undertrykkede deltagere, der skiftede til Delstrigo
| Resultat | Delstrigo Once Daily ISG Week 48 N = 447 | Baseline Regimen DSG Week 24 N = 223 |
| HIV-1 RNA ≥ 50 copies/mL* | 2% | 1% |
| ISG-DSG Difference (95% CI) † ‡ | 0,7% (-1,3% 2,6%) | |
| HIV-1 RNA <50 copies/mL | 91% | 95% |
| Ingen virologiske data inden for tidsvinduet | 8% | 4% |
| Ophørt undersøgelse på grund af AE eller Death§ | 3% | <1% |
| Afbrydet undersøgelse af andre grunde¶ | 4% | 4% |
| På undersøgelse, men mangler data i vinduet | 0 | 0 |
| Andel (%) af deltagere med HIV-1 RNA <50 copies/mL by Baseline og Demographic Category | ||
| Alder (år) | ||
| <50 | 90% (n = 320) | 95% (N = 157) |
| ≥50 | 94% (n = 127) | 94% (n = 66) |
| Køn | ||
| Han | 91% (N = 372) | 94% (n = 194) |
| Kvinde | 91% (N = 75) | 100% (n = 29) |
| Race | ||
| Hvid | 90% (n = 344) | 95% (N = 168) |
| Ikke-hvid | 93% (n = 103) | 93% (n = 55) |
| Etnicitet | ||
| Hispanic eller Latino | 88% (n = 99) | 91% (N = 45) |
| Ikke latinamerikansk eller latino | 91% (N = 341) | 95% (N = 175) |
| CD4 T-celleoptælling (celler/mm³) | ||
| <200 cells/mm³ | 85% (n = 13) | 75% (n = 4) |
| ≥200 celler/mm³ | 91 % (n = 426) | 95% (N = 216) |
| Baseline Regimen# | ||
| Pi plus enten ritonavir eller cobicistat | 90% (n = 316) | 94% (n = 156) |
| Elvitegravir plus cobicistat eller nnrti | 93% (n = 131) | 96% (n = 67) |
| *Inkluderer deltagere, der ophørte med at studere lægemiddel eller undersøgelse før uge 48 for ISG eller før uge 24 for DSG for mangel eller tab af effektivitet og deltagere med HIV-1 RNA ≥50 kopier/ml i vinduet Uge 48 til ISG og i vinduet Uge 24 for DSG † Den 95% CI for behandlingsforskellen blev beregnet under anvendelse af stratumjusteret mantel-haenszel-metode. ‡ Vurderet ved hjælp af en ikke-mindrevinjet margin på 4%. §Includes deltagere, der afbrød på grund af bivirkninger (AE) eller død, hvis dette resulterede i ingen virologiske data om behandling i det specificerede vindue. ¶ Andre grunde inkluderer: tabt til opfølgning af manglende overholdelse af undersøgelsesprotokolens afgørelse om undersøgelsesprotokolafvigelse af deltageren. |
Klinisk forsøg resulterer i pædiatriske deltagere
Effektiviteten af Delstrigo blev evalueret i kohort 2 af en åben-mærket en-arm 2-kohortforsøg hos pædiatriske deltagere 12 til mindre end 18 år i alderen med HIV (Impaact 2014 (protokol 027) NCT03332095). I kohort 1 modtog virologisk undertrykkede deltagere (n = 9) en enkelt 100 mg dosis doravirin efterfulgt af intensiv PK-prøveudtagning. I kohort 2 blev virologisk undertrykkede deltagere (n = 43) skiftet til Delstrigo, og behandlings-naã¯ve-deltagere (n = 2) blev startet på Delstrigo.
I kohort 2 ved baseline var medianalderen for deltagerne 15 år (rækkevidde: 12 til 17) medianvægten var 52 kg (interval: 45 til 80) 58% var kvindelige 78% var asiatiske og 22% var sort og median CD4 T-celleoptælling var 713 celler pr. Mm³ (område 84 til 1397). Efter at have skiftet til Delstrigo 95% (41/43) af virologisk undertrykkede deltagere forblev undertrykt (HIV-1 RNA <50 copies/mL) at Week 24. One of the two treatment-naïve participants achieved HIV-1 RNA <50 copies/mL at Week 24. The other treatment-naïve participant met the protocol-defined virologic failure criteria (defined as 2 consecutive plasma HIV-1 RNA test results ≥200 copies/mL at or after Week 24) og was evaluated for the development of resistance; no emergence of genotypic or phenotypic resistance to doravirine lamivudine or tenofovir was detected.
Patient Information for Delstrigo
Delstrigo®
(del-stree-go)
(Doravirine lamivudin og tenofovir disoproxil fumarat) tabletter
Hvad er de vigtigste oplysninger, jeg skal vide om Delstrigo?
Delstrigo can cause serious side effects including:
Forværring af hepatitis B -virusinfektion (HBV). Hvis du har human immundefektvirus-1 (HIV-1) og HBV-infektion, kan din HBV-infektion blive værre (opblussen), hvis du holder op med at tage Delstrigo. En opblussen er, når din HBV-infektion pludselig vender tilbage på en værre måde end før. Din sundhedsudbyder tester dig for HBV -infektion, før du starter behandling med Delstrigo.
- Kør ikke tør for Delstrigo. Genopfyld din recept, eller tal med din sundhedsudbyder, før din delstrigo er væk.
- Stop ikke med at tage Delstrigo uden først at tale med din sundhedsudbyder. Hvis du holder op med at tage Delstrigo, skal din sundhedsudbyder ofte kontrollere dit helbred og udføre blodprøver regelmæssigt i flere måneder for at kontrollere din lever. Fortæl din sundhedsudbyder om eventuelle nye eller usædvanlige symptomer, du måtte have, når du holder op med at tage Delstrigo.
For mere information om bivirkninger se Hvad er de mulige bivirkninger af Delstrigo?
Hvad er Delstrigo?
Delstrigo is a prescription medicine that is used without other HIV-1 medicines to treat HIV-1 infection in adults og children who weigh at least 77 pounds (35 kg):
- der ikke har modtaget HIV-1-medicin i fortiden eller
- At erstatte deres nuværende HIV-1-medicin til personer, hvis sundhedsudbyder bestemmer, at de opfylder visse krav.
HIV-1 er den virus, der forårsager erhvervet immunmangelsyndrom (AIDS).
Delstrigo contains the prescription medicines Doravirin lamivudin og tenofovir disoproxil fumarat. It is not known if Delstrigo is safe og effective in children who weigh less than 77 pounds (35 kg).
Hvem skal ikke tage Delstrigo?
Tag ikke Delstrigo, hvis du tager nogen af følgende medicin:
- Carbamazepin
- Rifampin
- oxcarbazepin
- Rifapentine
- Phenobarbital
- Mitotan
- Phable
- St. John's Wort
- Enzalutamid
Spørg din sundhedsudbyder eller farmaceut, om du ikke er sikker på, om din medicin er en, der er anført ovenfor.
Hvis du har taget nogen af medicinen i de sidste 4 uger, skal du tale med din sundhedsudbyder eller farmaceut, før du starter behandling med Delstrigo.
Tag ikke Delstrigo, hvis du nogensinde har haft en allergisk reaktion på lamivudin.
Hvad skal jeg fortælle min sundhedsudbyder inden behandling med Delstrigo?
Før behandling med Delstrigo fortæl din sundhedsudbyder om alle dine medicinske conditioner, herunder hvis du:
- har hepatitis B -virusinfektion
- har nyreproblemer
- Har knoglerproblemer inklusive en historie med knoglerfrakturer
- er gravide eller planlægger at blive gravid. Det vides ikke, om Delstrigo kan skade din ufødte baby. EN
Graviditetsregister: Der er et graviditetsregister for folk, der tager Delstrigo under graviditet. Formålet med dette register er at indsamle oplysninger om sundheden for dig og din baby. Tal med din sundhedsudbyder om, hvordan du kan deltage i dette register. - er amning eller planlægger at amme. To af medicinerne i Delstrigo (lamivudin og tenofovir) kan passere ind i din modermælk. Doravirine kan gå til din baby i din modermælk. Tal med din sundhedsudbyder om følgende risici for din baby fra amning under behandling med Delstrigo:
- HIV-1-virussen kan gå til din baby, hvis din baby ikke har HIV-1-infektion.
- HIV-1-virussen kan blive sværere at behandle, hvis din baby har HIV-1-infektion.
- Din baby får muligvis bivirkninger fra Delstrigo.
Fortæl din sundhedsudbyder om alle de medicin, du tager inklusive recept og over-the-counter medicin vitaminer og urtetilskud.
- Nogle medicin interagerer med Delstrigo. Opbevar en liste over dine medicin for at vise din sundhedsudbyder og apotek.
- Fortæl din sundhedsudbyder, hvis du har taget Rifabutin i de sidste 4 uger.
- Du kan bede din sundhedsudbyder eller farmaceut om en liste over medicin, der interagerer med Delstrigo.
- Begynd ikke at tage en ny medicin uden at fortælle din sundhedsudbyder. Din sundhedsudbyder kan fortælle dig, om det er sikkert at tage Delstrigo med andre medicin.
Hvordan skal jeg tage Delstrigo?
- Tag Delstrigo hver dag nøjagtigt, som din sundhedsudbyder beder dig om at tage det.
- Tag Delstrigo 1 gang hver dag på omtrent samme tid hver dag.
- Delstrigo is usually taken by itself (without other HIV-1 medicines).
- Hvis du tager Medicine Rifabutin under behandling med Delstrigo, vil din sundhedsudbyder også ordinere en yderligere dosis doravirin til dig. Du har muligvis ikke nok doravirin i dit blod, hvis du tager rifabutin under behandling med Delstrigo. Følg din sundhedsudbyder forsigtigt om, hvornår du skal tage Doravirine, og hvor meget du skal tage. Dette er normalt 1 tablet doravirin ca. 12 timer efter din sidste dosis af Delstrigo.
- Tag Delstrigo med eller uden mad.
- Skift ikke din dosis eller stop med at tage Delstrigo uden at tale med din sundhedsudbyder. Bliv under en sundhedsudbyders pleje, når du tager Delstrigo.
- Det er vigtigt, at du ikke går glip af eller springer over doser af Delstrigo.
- Hvis du går glip af en dosis af Delstrigo, skal du tage den, så snart du husker. Hvis det næsten er tid til din næste dosis, skal du springe over den ubesvarede dosis og tage den næste dosis på din regelmæssige tid. Tag ikke 2 doser Delstrigo på samme tid.
- Hvis du har spørgsmål, skal du ringe til din sundhedsudbyder eller apotek.
- Hvis du tager for meget Delstrigo, skal du ringe til din sundhedsudbyder eller gå til det nærmeste hospitalets akutrum med det samme.
- Når din Delstrigo -forsyning begynder at køre lavt, skal du få mere fra din sundhedsudbyder eller Dette er meget vigtigt, fordi mængden af virus i dit blod kan stige, hvis medicinen stoppes i endda kort tid. Virussen kan udvikle modstand mod Delstrigo og blive sværere at behandle.
Hvad er de mulige bivirkninger af Delstrigo?
Delstrigo may cause serious side effects including:
- Se hvad er de vigtigste oplysninger, jeg skal vide om Delstrigo?
- Alvorlige hudreaktioner er sket hos mennesker behandlet med Delstrigo. Ring til din sundhedsudbyder med det samme, hvis du udvikler et udslæt under behandling med Delstrigo. Stop med at tage Delstrigo og få medicinsk hjælp med det samme, hvis du udvikler et smertefuldt udslæt med et af følgende symptomer: feber blisters or sores in the mouth blisters or peeling of the skin or redness or swelling of the eyes (conjunctivitis).
- Nye eller værre nyreproblemer inklusive nyresvigt. Din sundhedsudbyder skal udføre blod- og urinforsøg for at kontrollere dine nyrer, før du starter og under behandling med Delstrigo. Din sundhedsudbyder kan muligvis bede dig om at stoppe med at tage Delstrigo, hvis du udvikler nye eller værre nyreproblemer.
- Knogleproblemer Kan ske hos nogle mennesker, der tager Delstrigo. Knogeproblemer inkluderer blødgøring af knoglesmerter eller udtynding (hvilket kan føre til brud). Din sundhedsudbyder skal muligvis lave test for at kontrollere dine knogler. Fortæl din sundhedsudbyder, hvis du har nogen af følgende symptomer under behandling med Delstrigo: knoglesmerter, der ikke forsvinder eller forværrer knoglesmerter i dine arme ben hænder eller fødder ødelagte (brudte) knogler eller muskelsmerter eller svaghed. Dette kan være symptomer på et knogle- eller nyreproblem.
- Forandrings in your immune system (Immunrekonstitutionssyndrom) Kan ske, når du begynder at tage HIV-1-medicin. Dit immunsystem kan blive stærkere og begynde at bekæmpe infektioner, der er skjult i din krop i lang tid. Fortæl din sundhedsudbyder med det samme, hvis du begynder at have nye symptomer efter at have startet din HIV-1-medicin.
De mest almindelige bivirkninger af Delstrigo inkluderer svimmelhed kvalme og unormale drømme.
Dette er ikke alle de mulige bivirkninger af Delstrigo. Ring til din læge for medicinsk rådgivning om bivirkninger. Du kan rapportere bivirkninger til FDA på 1-800-FDAâ1088.
Hvordan skal der i store deleTrigo?
- Butik delstrigo -tabletter ved stuetemperatur mellem 68 ° F til 77 ° F (20 ° C til 25 ° C).
- Hold Delstrigo i den originale flaske.
- Tag ikke tabletterne ud af flasken for at opbevare i en anden beholder, såsom en pilleboks.
- Hold flasken tæt lukket for at beskytte Delstrigo mod fugt.
- Delstrigo -flasken indeholder tørremidler, der hjælper med at holde din medicin tør (beskyt den mod fugt). Hold tørremændene i flasken. Spis ikke tørremændene.
Hold Delstrigo og alle medicin uden for børns rækkevidde.
Generel information about the safe og effective use of Delstrigo.
Lægemidler er undertiden ordineret til andre formål end dem, der er anført i Patient Information -folderen. Brug ikke Delstrigo til en betingelse, som den ikke blev ordineret til. Giv ikke Delstrigo til andre mennesker, selvom de har de samme symptomer, som du har. Det kan skade dem. Du kan bede din farmaceut eller sundhedsudbyder om information om Delstrigo, der er skrevet til sundhedsfagfolk.
Hvad er ingredienserne i Delstrigo?
Aktive ingredienser: Doravirin lamivudin og tenofovir disoproxil fumarat.
Inaktive ingredienser: Kolloidal siliciumdioxid croscarmellose natriumhypromelloseacetat succinat magnesiumstearat mikrokrystallinsk cellulose og natriumstearylfumarat. Tabletfilmbelægningen indeholder hypromellose jernoxid gul lactose monohydrat titandioxid og triacetin. De coatede tabletter er poleret med carnauba voks.
Denne patientinformation er godkendt af U.S. Food and Drug Administration.