Oplysningerne På Webstedet Er Ikke Medicinsk Rådgivning. Vi Sælger Ikke Noget. Nøjagtigheden Af Oversættelsen Er Ikke Garanteret. Ansvarsfraskrivelse
Diagnostiske billeddannelsesmidler
Gallium GA 68 PSMA-11
Resume af lægemiddeloversigt
Hvad er Gallium GA 68 PSMA-11?
Gallium GA 68 PSMA -11 -injektion er et radioaktivt diagnostisk middel, der metastase Hvem er kandidater til indledende definitiv terapi eller med mistænkt tilbagefald baseret på forhøjet serumprostataspecifikt antigen ( Psa ) niveau.
Hvad er bivirkninger af Gallium GA 68 PSMA-11?
Bivirkninger af gallium GA 68 PSMA-11 inkluderer:
- kvalme
- diarré og
- svimmelhed
Søg medicinsk behandling eller ring 911 på én gang, hvis du har følgende alvorlige bivirkninger:
- Alvorlige øjensymptomer såsom pludseligt synstab sløret synet tunnel vision øje smerter eller hævelse eller at se haloer omkring lys;
- Alvorlige hjertesymptomer såsom hurtig uregelmæssige eller bankende hjerteslag; flagrende i brystet; åndenød; og pludselig svimmelhed lethed eller udlevering;
- Alvorlig hovedpine forvirring sløret talearm eller ben svaghed problemer med at gå tab af koordination føles ustabil meget stive muskler høj feber voldsom sved eller rysten.
Dette dokument indeholder ikke alle mulige bivirkninger, og andre kan forekomme. Kontakt din læge for yderligere oplysninger om bivirkninger.
Dosering til Gallium GA 68 PSMA-11
Den anbefalede voksne dosis gallium GA 68 PSMA-11 er 111 MBQ til 259 MBQ (3 MCI til 7 MCI) som en bolus intravenøs injektion.
Gallium GA 68 PSMA-11 hos børn
GA 68 PSMA-11-injektion er ikke angivet til brug i den pædiatriske population. Der er ingen undersøgelser af GA 68 PSMA-11-injektion hos pædiatriske patienter.
Hvilke stoffer stoffer eller kosttilskud interagerer med Gallium GA 68 PSMA-11?
Gallium GA 68 PSMA-11 kan interagere med andre lægemidler, såsom:
- Androgenberøvelse Therapy (ADT) og andre terapier, der er målrettet mod androgenvejen, såsom androgenreceptorantagonister.
Fortæl din læge alle medicin og kosttilskud, du bruger.
Gallium GA 68 PSMA-11 under graviditet og amning
GA 68 PSMA-11-injektion er ikke angivet til brug hos kvinder, og det er usandsynligt, at det vil blive brugt i gravide eller ammende kvinder. Alle radiofarmaceutiske stoffer, inklusive GA 68 PSMA-11-injektion, har potentialet til at forårsage føtalskade afhængigt af føtalens udviklingsstadium og størrelsen af stråledosis.
Yderligere oplysninger
Vores Gallium GA 68 PSMA-11-injektion til intravenøs brug bivirkninger Drug Center giver et omfattende overblik over tilgængelige lægemiddelinformation om de potentielle bivirkninger, når du tager denne medicin.
Dette er ikke en komplet liste over bivirkninger, og andre kan forekomme. Ring til din læge for medicinsk rådgivning om bivirkninger. Du kan rapportere bivirkninger til FDA på 1-800-FDA-1088.
FDA -lægemiddelinformation
- Lægemiddelbeskrivelse
- Indikationer
- Bivirkninger
- Advarsler
- Overdosis
- Klinisk farmakologi
- Medicin vejledning
Beskrivelse til gallium GA 68 PSMA-11-injektion
Kemiske egenskaber
GA 68 PSMA-11-injektion er et radioaktivt diagnostisk middel til intravenøs administration. Den indeholder 5 MCG PSMA-11 18,5 MBQ/ML til 185 MBQ/ml (NULL,5 MCI/ml til 5 MCI/ml) GA 68 PSMA-11 ved kalibreringstid 1 ml ethanol 1 ml vand til injektion og 10 ml 0,9% natriumchloridopløsning (ca. 12 ml total volumen). GA 68 PSMA-11-injektion tilvejebringes som en steril pyrogenfri klar farveløs opløsning til intravenøs anvendelse med en pH mellem 4,0 og 7,0.
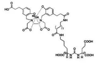
GA 68 PSMA-11 er en Urea Baseret peptidomimetisk, der har en kovalent bundet chelator (HBED-CC). Peptidet har aminosyresekvensen Glu-NH-CO-NH-LYS (AHX) -HBED-CC. GA 68 PSMA-11 har en molekylvægt på 1011,91 g/mol, og dens kemiske struktur er vist i figur 1.
Figur 1: Kemisk struktur af GA 68 PSMA-11
|
Fysiske egenskaber
Gallium-68 (GA 68) nedbrydes med en halveringstid på 68 minutter til stabil zink -68. Tabel 2 og tabel 3 viser de principielle strålingsemissionsdata og fysisk forfald af GA 68.
Tabel 2: Data om hovedstrålingemission (> 1%) for Gallium GA 68
| Stråling/ emission | % Opløsning | Gennemsnitlig energi (MEV) |
| beta | 88% | 0.8360 |
| beta | 1,1% | 0.3526 |
| Gamma | 178% | 0.5110 |
| Gamma | 3,0% | 1.0770 |
| Røntgenbillede | 2,8% | 0.0086 |
| Røntgenbillede | 1,4% | 0.0086 |
Tabel 3: Fysisk forfaldsdiagram for Gallium GA 68
| Minutter | Brøkdel tilbage |
| 0 | 1 |
| 15 | 0.858 |
| 30 | 0.736 |
| 60 | 0.541 |
| 90 | 0.398 |
| 120 | 0.293 |
| 180 | 0.158 |
| 360 | 0.025 |
Ekstern stråling
Tabel 4 viser strålingsdæmpningen ved blyafskærmning af GA 68.
Hvad bruges mirtazapin til behandling
Tabel 4: Strålingsdæmpning af 511 keV -fotoner ved bly (PB) afskærmning
| Skjoldtykkelse (PB) MM | Dæmpningskoefficient |
| 6 | 0.5 |
| 12 | 0.25 |
| 17 | 0.1 |
| 34 | 0.01 |
| 51 | 0.001 |
Anvendelser til gallium GA 68 PSMA-11-injektion
Gallium GA 68 gozetotidinjektion er indikeret til positronemissionstomografi (PET) af prostataspecifikt membranantigen (PSMA) positive læsioner hos mænd med prostatacancer:
- med mistænkt metastase der er kandidater til indledende definitiv terapi.
- med mistænkt recurrence based on elevated serum prostate-specific antigen ( Psa ) niveau.
Dosering til Gallium GA 68 PSMA-11 Injection
Strålingssikkerhed - narkotikahåndtering
Håndter gallium GA 68 gozetotide -injektion med passende sikkerhedsforanstaltninger for at minimere eksponering for stråling [se Advarsler og forholdsregler ]. Brug vandtætte handsker effektiv strålingsafskærmning og andre passende sikkerhedsforanstaltninger, når man forbereder og håndterer gallium GA 68 gozetotidinjektion.
Radiopharmaceuticals bør bruges af eller under kontrol af læger, der er kvalificerede ved specifik træning og erfaring i sikker brug og håndtering af radionuklider, og hvis erfaring og uddannelse er godkendt af det relevante statslige agentur, der autoriserede til at licensere brugen af radionuklider.
Anbefalet doserings- og administrationsinstruktioner
Anbefalet dosering
Hos voksne er den anbefalede mængde radioaktivitet, der skal administreres til PET, 111 MBQ til 259 MBQ (3 MCI til 7 MCI) administreret som en intravenøs bolusinjektion.
Administration
- Brug aseptisk teknik og strålingsafskærmning, når man trækker sig tilbage og administrerer gallium GA 68 gozetotidinjektion.
- Beregn det nødvendige volumen til administration baseret på kalibreringstid og den krævede dosis.
- Inspicér gallium GA 68 gozetotide -injektion visuelt for partikler og misfarvning før administration. Brug ikke lægemidlet, hvis opløsningen indeholder partikler eller er misfarvet.
- Gallium GA 68 gozetotidinjektion kan fortyndes med steril 0,9% natriumchloridinjektion USP.
- Analysere den endelige dosis umiddelbart før administration til patienten i en dosiskalibrator.
- Efter injektion af gallium GA 68 gozetotid -injektion administrerer en intravenøs flush af steril 0,9% natriumchloridinjektion USP for at sikre fuld levering af dosis.
- Bortskaf ethvert ubrugt lægemiddel på en sikker måde i overensstemmelse med gældende regler.
- Medmindre kontraindikeret en vanddrivende middel til at handle inden for optagelsesperioden kan administreres på tidspunktet for radiotracerinjektion for potentielt at reducere artefakt fra radiotracer -akkumulering i urinblæren og urinlederne.
Patientforberedelse inden PET -billeddannelse
Instruer patienter om at drikke en tilstrækkelig mængde vand til at sikre tilstrækkelig hydrering inden administration af gallium GA 68 gozetotide -injektion og at fortsætte med at drikke og annullerer ofte efter administration for at reducere strålingseksponering, især i løbet af den første time efter administration [se Advarsler og forholdsregler ].
Billedoptagelse
Placer patientens liggende med arme over hovedet. Begynd PET -scanning 50 til 100 minutter efter den intravenøse administration af gallium GA 68 gozetotidinjektion. Patienter skal ugyldigt umiddelbart før billedoptagelse, og dette billedoptagelse bør begynde ved de proksimale lår og fortsætte kranialt til kraniet eller kraniets toppunkt. Tilpas billeddannelsesteknik i henhold til det anvendte udstyr og patientegenskaber for at opnå den bedst mulige billedkvalitet.
Billedtolkning
Gallium GA 68 Gozetotide binder til prostataspecifikt membranantigen (PSMA). Baseret på intensiteten af signalerne PET -billeder opnået ved anvendelse af gallium GA 68 gozetotidinjektion indikerer tilstedeværelsen af PSMA i væv. Læsioner bør betragtes som mistænkelige, hvis optagelsen er større end fysiologisk optagelse i dette væv eller større end tilstødende baggrund, hvis der ikke forventes nogen fysiologisk optagelse. Tumorer, der ikke bærer PSMA, visualiseres ikke. Øget optagelse i tumorer er ikke specifikt for prostatacancer [se Advarsler og forholdsregler ].
Strålingsdosimetri
Estimeret stråling absorberede doser pr. Injiceret aktivitet for organer og væv hos voksne mandlige patienter efter en intravenøs bolus af gallium GA 68 gozetotidinjektion er vist i tabel 1.
Den effektive stråledosis som følge af administration af 259 MBQ (7 MCI) er ca. 4,4 mSv. Strålingsdoserne for denne administrerede dosis til de kritiske organer, der er nyrer urinblære og milt, er henholdsvis 96,2 mgy 25,4 mgy og 16,8 mgy.
Disse stråledoser er til gallium GA 68 gozetotidinjektion alene. Hvis CT eller en transmissionskilde bruges til dæmpningskorrektion, øges stråledosis med et beløb, der varierer efter teknik.
Tabel 1: Estimeret stråling absorberet dosis pr. Injiceret aktivitet i udvalgte organer og væv fra voksne efter intravenøs administration af gallium GA 68 gozetotidinjektion
| Organ | Absorberet dosis (MGY/MBQ) | |
| Betyde | SD | |
| Binyrer | 0.0156 | 0.0014 |
| Hjerne | 0.0104 | 0.0011 |
| Bryster | 0.0103 | 0.0011 |
| Gallblære | 0.0157 | 0.0012 |
| Lavere kolon | 0.0134 | 0.0009 |
| Tyndtarmen | 0.0140 | 0.0020 |
| Mave | 0.0129 | 0.0008 |
| Hjerte | 0.0120 | 0.0009 |
| Nyrer | 0.3714 | 0.0922 |
| Lever | 0.0409 | 0.0076 |
| Lunger | 0.0111 | 0.0007 |
| Muskel | 0.0103 | 0.0003 |
| Bugspytkirtlen | 0.0147 | 0.0009 |
| Rød marv | 0.0114 | 0.0016 |
| Hud | 0.0091 | 0.0003 |
| Milt | 0.0650 | 0.0180 |
| Testikler | 0.0111 | 0.0006 |
| Thymus | 0.0105 | 0.0006 |
| Skjoldbruskkirtel | 0.0104 | 0.0006 |
| Urinblære | 0.0982 | 0.0286 |
| Total krop | 0.0143 | 0.0013 |
| Effektiv dosis (MSV/MBQ) | 0.0169 | 0.0015 |
Hvor leveret
Doseringsformularer og styrker
Injektion: Leveres som en klar farveløs opløsning i et hætteglas med flere dosis, der indeholder 18,5 MBQ/ml til 185 MBQ/ml (NULL,5 MCI/ml til 5 MCI/ml) gallium GA 68 gozetotid i ca. 12 ml ved kalibreringstid.
Gallium GA 68 Gozetotide-injektion (NDC 76394-2642-3) er en klar farveløs opløsning leveret i et afdækket glashætteglas indeholdende 18,5 MBQ/ml til 185 MBQ/ml (NULL,5 MCI/ml til 5 MCI/ml) gallium Ga 68 gozetotid i kalibreringstiden i ca. 12 ml. Indholdet af hvert hætteglas er sterile pyrogenfrie og konserveringsmæssige. Udløbsdatoen og klokken leveres på containermærket. Brug gallium GA 68 gozetotide -injektion inden for 3 timer efter kalibreringstid.
Opbevaring og håndtering
Opbevar gallium GA 68 gozetotide -injektion lodret i en blyskærmet beholder ved 25 ° C (77 ° F); Udflugter er tilladt fra 15 ° C til 30 ° C (59 ° F til 86 ° F). Opbevar gallium GA 68 gozetotide -injektion inden for den originale beholder i strålingsafskærmning.
Kvittering af overførsel af overførsel af besiddelse eller brug af dette produkt er underlagt de radioaktive materielle regler og licenskrav i den amerikanske nukleare reguleringskommissionens aftale stater eller licensstater efter behov.
Fremstillet og distribueret af: University of California Los Angeles UCLA Biomedical Cyclotron Facility 780 Westwood Plaza Los Angeles CA 90095 (310) 794-7638. Revideret: juni 2022
Bivirkninger til gallium GA 68 PSMA-11-injektion
Kliniske forsøg oplever
Fordi kliniske forsøg udføres under vidt forskellige tilstande, kan der ikke sammenlignes bivirkninger, der er observeret i de kliniske forsøg med et lægemiddel, ikke direkte med hastigheder i de kliniske forsøg med et andet lægemiddel og muligvis ikke afspejler de satser, der er observeret i praksis.
Sikkerheden ved gallium GA 68 gozetotidinjektion blev evalueret hos 960 patienter, der hver modtog en dosis af gallium GA 68 gozetotidinjektion. Den gennemsnitlige injicerede aktivitet var 188,7 ± 40,7 MBQ (NULL,1 ± 1,1 MCI).
De mest almindeligt rapporterede bivirkninger var kvalme diarré og svimmelhed, der forekom med en hastighed på <1%.
Lægemiddelinteraktioner til gallium GA 68 PSMA-11-injektion
Androgenberøvelse terapi og andre terapier, der er målrettet mod androgenvejen
Androgenberøvelse Therapy (ADT) og andre terapier, der er målrettet mod androgenvejen, såsom androgenreceptorantagonister, kan resultere i ændringer i optagelse af gallium GA 68 gozetotid i prostatacancer. Effekten af disse terapier på ydeevne af gallium GA 68 Gozetotid PET er ikke blevet fastlagt.
Advarsler til gallium GA 68 PSMA-11-injektion
Inkluderet som en del af FORHOLDSREGLER afsnit.
Forholdsregler for gallium GA 68 PSMA-11-injektion
Risiko for fejldiagnose
Fejl på billedtolkning kan forekomme med Gallium GA 68 Gozetotide Pet. Et negativt billede udelukker ikke tilstedeværelsen af prostatacancer, og et positivt billede bekræfter ikke tilstedeværelsen af prostatacancer. Udførelsen af gallium GA 68 gozetotidinjektion til billeddannelse af biokemisk tilbagevendende prostatacancer synes at være påvirket af serum PSA -niveauer og af sygdomsstedet [Se Kliniske studier ]. The performance of Gallium Ga 68 Gozetotide Injection for imaging of metastatic pelvic lymph nodes prior to initial definitive therapy seems to be affected by Gleason score [See Kliniske studier ]. Gallium Ga 68 gozetotide uptake is not specific for prostate cancer and may occur with other types of cancer as well as non-malignant processes such as Paget’s disease fibrous dysplasia and osteophytosis. Clinical correlation which may include histopathological evaluation of the suspected prostate cancer site is recommended.
Strålingsrisici
Gallium GA 68 Gozetotide-injektion bidrager til en patients samlede langvarige kumulative eksponering for stråling. Langvarig kumulativ eksponering for stråling er forbundet med en øget risiko for kræft. Sørg for sikker håndtering for at minimere eksponering for stråling for patienten og sundhedsarbejdere. Rådgiv patienter om at hydratere før og efter administration og ofte annulleret efter administration [se Dosering og administration ].
Ikke -klinisk toksikologi
Karcinogenese mutagenese nedskrivning af fertilitet
Der blev ikke udført langvarige dyreforsøg for at evaluere kræftfremkaldende potentiale for gallium GA 68 gozetotid.
Brug i specifikke populationer
Graviditet
Risikooversigt
Gallium GA 68 gozetotidinjektion er ikke angivet til brug hos kvinder. Der er ingen tilgængelige data med gallium GA 68 gozetotide injektionsbrug hos gravide kvinder til at evaluere for en medikamentassocieret risiko for større fødselsdefekter spontanabort eller negativ moderlig eller føtalesultater. Alle radiofarmaceutiske stoffer inklusive gallium GA 68 gozetotidinjektion har potentialet til at forårsage føtalskade afhængigt af føtalens udviklingsstadium og størrelsen af stråledosis. Dyreproduktionsundersøgelser er ikke blevet udført med gallium GA 68 gozetotid.
Amning
Risikooversigt
Gallium GA 68 gozetotidinjektion er ikke angivet til brug hos kvinder. Der er ingen data om tilstedeværelsen af gallium GA 68 gozetotid i human mælk effekten på det ammede spædbarn eller effekten på mælkeproduktionen.
Pædiatrisk brug
Sikkerheden og effektiviteten af gallium GA 68 gozetotidinjektion er ikke blevet fastlagt hos pædiatriske patienter.
albuterol sulfat inhalation aerosol 90 mcg
Geriatrisk brug
Effektiviteten af gallium GA 68 gozetotid -injektion hos geriatriske patienter med prostatacancer er baseret på data fra to prospektive undersøgelser [se Kliniske studier ]. Of the total number of subjects in these studies of Gallium Ga 68 Gozetotide Injection 691 of 960 (72%) were 65 years of age and older while 195 (20%) were 75 years of age and older.
Effektiviteten og sikkerhedsprofilerne af gallium GA 68 gozetotidinjektion forekommer ens hos yngre voksne og geriatriske patienter med prostatacancer, selvom antallet af yngre voksne patienter i forsøgene ikke var stort nok til at muliggøre en definitiv sammenligning.
Overdoseringsoplysninger til gallium GA 68 PSMA-11-injektion
I tilfælde af en overdosis af GA 68 PSMA-11-injektion reducerer den stråling, der er absorberet dosis til patienten, hvor det er muligt ved at øge elimineringen af lægemidlet fra kroppen ved hjælp af hydrering og hyppig blæredomning. En vanddrivende middel kan også overvejes. Hvis det er muligt, skal der foretages et estimat af den strålingseffektive dosis, der gives til patienten.
Kontraindikationer for gallium GA 68 PSMA-11-injektion
Ingen
Klinisk farmakologi for Gallium Ga 68 PSMA-11 Injection
Handlingsmekanisme
Gallium GA 68 Gozetotide binder til prostataspecifikt membranantigen (PSMA). Det binder til celler, der udtrykker PSMA inklusive maligne prostatacancerceller, som normalt overudtrykker PSMA. Gallium-68 (GA 68) er et ß-emitterende radionuklid, der tillader positronemissionstomografi (PET).
Farmakodynamik
Forholdet mellem gallium GA 68 gozetotidplasmakoncentrationer og vellykket billeddannelse blev ikke undersøgt i kliniske forsøg.
Farmakokinetik
Fordeling
Injiceret injiceret gallium GA 68 gozetotid ryddes fra blodet og akkumuleres fortrinsvis i leveren (15%) nyrer (7%) milt (2%) og spytkirtler (NULL,5%). Gallium GA 68 Gozetotidoptagelse ses også i binyrerne og prostata. Der er ingen optagelse i cerebral cortex eller i hjertet, og normalt er lungeoptagelsen lav.
Eliminering
I alt 14% af den injicerede dosis udskilles i urin i de første 2 timer efter injektion.
Kliniske studier
Sikkerheden og effektiviteten af gallium GA 68 Gozetotide-injektion blev etableret i to potentielle OpenLabel-studier PSMA-PRERP (NCT03368547 og NCT02919111) og PSMA-BCR (NCT02940262 og NCT02918357) i mænd med prostatcancer.
PSMA-PRERP
Denne to-centerundersøgelse tilmeldte 325 patienter med biopsi-beviset prostatacancer, der blev betragtet som kandidater til prostatektomi og bækkenlymfeknude-dissektion. Alle tilmeldte patienter opfyldte mindst et af følgende kriterier: serumprostataspecifikt antigen (PSA) på mindst 10 ng/ml tumorstadium CT2B eller større eller Gleason-score større end 6. Hver patient modtog en enkelt gallium Ga 68 gozetotid PET/CT eller PET/MR fra midten af tåren til skullebasen.
I alt 123 patienter (38%) gik videre til prostatektomi og skabelon bækkenlymfeknude-dissektion og havde tilstrækkelige histopatologidata til evaluering (evaluerbare patienter). Tre medlemmer af en pulje på seks centrale læsere fortolkede uafhængigt af hver PET -scanning for tilstedeværelsen af unormale gallium GA 68 gozetotidoptagelse i bækkenlymfeknuder placeret i den almindelige iliac eksterne iliac interne iliac og obturator underregioner bilateralt såvel som i enhver anden bækkenplacering. Læserne blev blændede for al klinisk information undtagen for historien om prostatacancer inden definitiv behandling. Ekstrapelviske steder og selve prostatakirtlen blev ikke analyseret i denne undersøgelse. For hver patient gallium GA 68 gozetotid -PET -resultater og referencestandardhistopatologi opnået fra dissekerede bækkenlymfeknuder blev sammenlignet efter region (venstre hemipelvis højre hemipelvis og andet).
For de 123 evaluerbare patienter var middelalderen 65 år (område 45 til 76 år) og 89% var hvide. Median serum PSA var 11,8 ng/ml. Den summerede Gleason -score var 7 for 44% 8 for 20% og 9 for 31% af patienterne, hvor resten af patienterne havde Gleason -scoringer på 6 eller 10.
Tabel 5 sammenligner flertal PET-læsning med bækkenlymfeknudehistopatologi-resultater på patientniveau med region, der matcher, således at mindst en ægte positiv region definerer en ægte positiv patient. Som vist viste det sig, at ca. 24% af de undersøgte personer havde bækkenknodemetastaser baseret på histopatologi (95% konfidensinterval: 17% 32%).
Tabel 5: Patientniveau-ydeevne af Gallium GA 68 Gozetotid PET til påvisning af bækkenlymfeknude-metastase* i PSMA-PRERP-undersøgelsen (n = 123)
| Histopatologi | Forudsigelig værdi ** (95% CI) | |||
| Positiv | Negativ | |||
| PET -scanning | Positiv | 14 | 9 | PPV 61% (41% 81%) |
| Negativ | 16 | 84 | NPV 84% (79% 91%) | |
| Total | 30 | 93 | ||
| Diagnostisk ydeevne (95% CI) | Følsomhed 47% (29% 65%) | Specificitet 90% (84% 96%) | ||
| *Med region, der matcher, hvor mindst en ægte positiv region definerer en ægte positiv patient ** PPV: Positiv forudsigelsesværdi NPV: Negativ forudsigelsesværdi |
Blandt poolen af seks læsere varierede følsomhed fra 36% til 60% specificitet fra 83% til 96% positiv forudsigelsesværdi fra 38% til 80% og negativ forudsigelsesværdi fra 80% til 88%.
I en sonderende undergruppeanalyse baseret på summeret Gleason -score var der en numerisk tendens mod mere ægte positive hos patienter med Gleason -score på 8 eller højere sammenlignet med dem med Gleason -score på 7 eller lavere.
En sonderende analyse blev udført for at estimere følsomheden og specificiteten for detektion af bækkenknodemetastase hos alle scannede patienter, herunder de patienter, der manglede histopatologiske referencestandard. En imputationsmetode blev anvendt baseret på patientspecifikke faktorer. Denne efterforskningsanalyse resulterede i en beregnet følsomhed på 47% med et 95% konfidensinterval i området fra 38% til 55% og en beregnet specificitet på 74% med et 95% konfidensinterval i området fra 68% til 80% for alle patienter, der er afbildet med gallium Ga 68 Gozetotide PET.
PSMA-BCR
Denne to-center-undersøgelse tilmeldte 635 patienter med biokemisk bevis for tilbagevendende prostatacancer efter definitiv terapi defineret af serum PSA på> 0,2 ng/ml mere end 6 uger efter prostatektomi eller ved en stigning i serum PSA på mindst 2 ng/ml over Nadir efter definitiv radioterapi. Alle patienter modtog en enkelt gallium GA 68 Gozetotide PET/CT eller PET/MR fra midten af låret til kraniet. Tre medlemmer af en pulje på ni uafhængige centrale læsere vurderede hver scanning for tilstedeværelsen og den regionale placering (20 underregioner grupperet i fire regioner) af unormal gallium GA 68 gozetotidoptagelse, der antyder tilbagevendende prostatacancer. Læserne var blændede for alle andre kliniske oplysninger end type primær terapi og det seneste serum PSA -niveau.
I alt 469 patienter (74%) havde mindst en positiv region påvist ved gallium GA 68 gozetotid -PET -majoritet læst. Fordelingen af gallium GA 68 gozetotid PET -positive regioner var 34% knogler 25% prostata seng 25% bækkenlymfeknude og 17% ekstrapelvic blødt væv. To hundrede og ti patienter havde sammensatte referencestandardoplysninger indsamlet i et PET -positivt område (evaluable patienter) bestående af mindst et af følgende: histopatologiafbildning (knoglescintigrafi CT eller MRI) erhvervet ved baseline eller inden for 12 måneder efter gallium Ga 68 gozetotid PET eller serum serum PSA. Composite Reference Standardinformation til gallium GA 68 Gozetotide PET -negative regioner blev ikke systematisk indsamlet i denne undersøgelse.
Hos de 210 evaluerbare patienter var middelalderen 70 år (område 49 til 88 år) og 82% var 65 år eller ældre. Hvide patienter udgjorde 90% af gruppen. Median serum PSA var 3,6 ng/ml. Tidligere behandling omfattede radikal prostatektomi hos 64% og strålebehandling i 73%.
Af de 210 evaluerbare patienter blev 192 patienter (91%) fundet at være ægte positive i en eller flere regioner mod den sammensatte referencestandard (95% konfidensinterval: 88% 95%). Blandt puljen af ni læsere, der blev anvendt i undersøgelsen, var andelen af patienter, der var ægte positive i en eller flere regioner, fra 82% til 97%. Prostata-sengen havde den laveste andel af ægte positive resultater på regionniveau (76% mod 96% for ikke-prostatiske regioner).
En sonderende analyse blev også udført, hvor gallium GA 68 gozetotid PET-positive patienter, der manglede referencestandardinformation, blev tilregnet ved hjælp af en estimeret sandsynlighed for, at mindst en placeringsmatchedet PET-positiv læsion var referencestandardpositiv baseret på patientspecifikke faktorer. I denne sonderende analyse blev 340 af 475 patienter (72%) beregnet som ægte positive i en eller flere regioner (95% konfidensinterval: 68% 76%).
I en anden efterforskningsanalyse, der anvender den samme imputationsmetode for PET -positive patienter, der manglede referencestandardinformation 340 af 635 patienter (54%) blev korrekt påvist som ægte positive (95% konfidensinterval: 50% 57%) blandt alle BCR -patienter, der modtog en PET -scanning, hvad enten det blev læst som positivt eller negativt.
Sandsynligheden for at identificere en gallium GA 68 gozetotid -PET -positiv læsion i denne undersøgelse steg generelt med højere serum PSA -niveau. Tabel 6 viser gallium GA 68 gad-68 gozetotid-PET-resultater stratificeret efter serum PSA-niveau. Den gennemsnitlige tid mellem PSA -måling og PET -scanning var 40 dage med en rækkevidde fra 0 til 367 dage. Procent PET -positivitet blev beregnet som andelen af patienter med en positiv gallium GA 68 gozetotid PET ud af alle patienter, der blev scannet. Procent PET -positivitet inkluderer patienter, der er bestemt til at være enten sand positiv eller falsk positiv såvel som dem, hvor en sådan bestemmelse ikke blev foretaget på grund af fraværet af sammensatte referencestandarddata.
Tabel 6: Patientniveau gallium GA 68 gozetotid PET-resultater og procent PET-positivitet stratificeret af serum PSA-niveau i PSMA-BCR-undersøgelsen (n = 628)*
| Psa(ng/mL) | PET -positive patienter | Kæledyr negative patienter | Procent PET -positivitet *** (95% CI) | |||
| Total | TP ** | Fp ** | Uden referencestandard | |||
| Med referencestandard | ||||||
| <0.5 | 48 | 11 | 1 | 36 | 87 | 36% |
| 12 | (27% 44%) | |||||
| ≥0,5 og <1 | 44 | 15 | 3 | 26 | 35 | 56% |
| 18 | (45% 67%) | |||||
| ≥1 og <2 | 71 | 29 | 1 | 41 | 15 | 83% |
| 30 | (75% 91%) | |||||
| ≥2 | 299 | 137 | 13 | 149 | 29 | 91% |
| 150 | (88% 94%) | |||||
| Total | 462 | 192 | 18 | 252 | 166 | 74% |
| 210 | (70% 77%) | |||||
| *7 patienter blev udelukket fra denne tabel på grund af protokolafvigelser ** TP: Sandt positivt FP: Falsk positiv *** procent PET -positivitet = PET -positive patienter/samlede patienter scannet |
Patientinformation til gallium GA 68 PSMA-11-injektion
Tilstrækkelig hydrering
Instruer patienter om at drikke en tilstrækkelig mængde vand til at sikre tilstrækkelig hydrering inden deres kæledyrsundersøgelse og opfordre dem til at drikke og urinere så ofte som muligt i løbet af de første timer efter indgivelse af gallium GA 68 gozetotide -injektion for at reducere stråleeksponering [se Dosering og administration EN Advarsler og forholdsregler ].