Oplysningerne På Webstedet Er Ikke Medicinsk Rådgivning. Vi Sælger Ikke Noget. Nøjagtigheden Af Oversættelsen Er Ikke Garanteret. Ansvarsfraskrivelse
Antineoplastics, GnRH -agonister
Lupron Pediatric
Resume af lægemiddeloversigt
Hvad er Lupron Depot Pediatric?
Lupron Depot-pædiatrisk (leuprolidacetat) er en menneskeskabt form af en gonadotropin-frigivende hormon (GnRH eller LH-RH), der bruges til at behandle premoce (tidlig begyndelse) pubertet hos både mandlige og kvindelige børn.
Hvad er bivirkninger af Lupron Depot Pediatric?
Fælles bivirkninger af Lupron Depot Pediatric inkluderer
- Acne
- Øget vækst af ansigtshår
- Gennembrud Vaginal blødning hos et kvindeligt barn i de første 2 måneder af Lupron Depot Pediatrisk behandling
- svimmelhed
- svaghed
- træt følelse
- Het blink
- Natsved
- kulderystelser
- Blamme hud
- kvalme
- diarre
- forstoppelse
- mavesmerter
- Hud rødme
- Hud kløe eller skalering
- udslæt
- led eller muskelsmerter
- Vaginal kløe eller udflod
- Bryst hævelse eller ømhed
- testikel smerte
- impotens
- Tab af interesse for sex
- Depression humørsvingninger
- Søvnproblemer (søvnløshed)
- Hukommelsesproblemer
- hovedpine eller
- reaktioner på injektionsstedet (rødme brændende kløe hævelse eller abscess).
Dosering til Lupron Depot Pediatric
Lupron Depot Pediatric is administered under the supervision of a physician og is given as a single intramuscular injection once a month. The starting dose is dictated by the child's weight.
Hvilke stoffer stoffer eller kosttilskud interagerer med Lupron Depot Pediatric?
Andre lægemidler kan interagere med Lupron Depot. Fortæl din læge alle medicin og kosttilskud, du bruger.
Lupron Depot Pediatric During Graviditet or Breastfeeding
Brug ikke Lupron Depot, hvis du er gravid. Det kan forårsage fødselsdefekter. Fortæl din læge med det samme, hvis du bliver gravid under behandlingen. Brug en effektiv barriereform for fødselsbekæmpelse (såsom kondom eller membran med spermicidgel eller indsatser). Hormonelle former for prævention er muligvis ikke effektive til at forhindre graviditet, mens dette lægemiddel bruger. Amning, mens du bruger Lupron Depot, anbefales ikke.
Yderligere oplysninger
Vores Lupron Depot -pædiatriske (leuprolidacetat) bivirkninger medikamentcenter giver et omfattende overblik over tilgængelige lægemiddelinformation om de potentielle bivirkninger, når du tager denne medicin.
FDA -lægemiddelinformation
- Lægemiddelbeskrivelse
- Indikationer
- Dosering
- Bivirkninger
- Advarsler
- Overdosis
- Klinisk farmakologi
- Medicin vejledning
Beskrivelse til Lupron Depot Pediatric
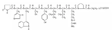
Leuprolidacetat er en syntetisk nonapeptid-analog af naturligt forekommende gonadotropin-frigivende hormon (GnRH eller LH-RH). Den analoge besidder større styrke end det naturlige hormon. Det kemiske navn er 5oxo-L-prolyl-L-histidyl-L-tryptophyl-L-seryl-L-tyrosyl-d-leucyl-L-leucyl-L-arginyl-N-ethyl-L-prolinamidacetat (salt) med følgende strukturelle formel:
|
Lupron Depot-Ped fås i en forudfyldt dobbeltkammersprøjtning indeholdende sterile lyofiliserede mikrosfærer, som når de blandes med fortyndingsmiddel bliver en suspension, der er beregnet til en enkelt intramuskulær injektion.
Amoxicillindosering til øvre luftvejsinfektion
Det forreste kammer af Lupron Depot-Ped 7,5 mg 11,25 mg og 15 mg forudfyldt dobbeltkammersprøjtning indeholder leuprolidacetat (NULL,5/11,25/15 mg) oprenset gelatin (NULL,3/1,95/2,6 mg) DL-banet og glycoliske syrer Copolymer (NULL,2/99,3/132.4 D-mannitol (NULL,2/19,8/26,4 mg). Det andet kammer med fortyndingsmiddel indeholder carboxymethylcellulose natrium (5 mg) d-mannitol (50 mg) polysorbat 80 (1 mg) vand til injektion USP og gletsjdedikesyre USP for at kontrollere PH.
Anvendelser til Lupron Depot Pediatric
Lupron Depot-Ped er indikeret i behandlingen af børn med central fornemmet pubertet (CPP).
CPP defineres som tidlig begyndelse af sekundære seksuelle egenskaber (generelt tidligere end 8 år hos piger
Før påbegyndelse af behandlingen skal en klinisk diagnose af CPP bekræftes ved måling af blodkoncentrationer af luteiniserende hormon (LH) (basal eller stimuleret med en GnRH -analoge) kønsteroider og vurdering af knoglens alder versus kronologisk alder. Baselinevalueringer bør omfatte højde- og vægtmåling af diagnostisk billeddannelse af hjernen (for at udelukke intrakraniel tumor) Bekken/testikel/binyre ultralyd (for at udelukke steroid, der udskiller tumorer) Human Chorionic gonadotropinniveau Hyperplasi.
Dosering til Lupron Depot Pediatric
Dosis og principper for dosering
Lupron Depot-Ped skal administreres under opsyn af en læge.
Lupron Depot-Ped administreres som en enkelt intramuskulær injektion en gang om måneden. Startdosis dikteres af barnets vægt som angivet i nedenstående tabel.
Tabel 1: Doseringsanbefalinger baseret på kropsvægt til Lupron Depot-Ped-1 måneders formuleringer
| Kropsvægt | Anbefalet dosis |
| ≤ 25 kg | 7,5 mg |
| > 25-37,5 kg | 11,25 mg |
| > 37,5 kg | 15 mg |
Dosis af Lupron Depot-Ped skal individualiseres for hvert barn. Hvis der ikke opnås tilstrækkelig hormonel og klinisk undertrykkelse med startdosis, skal den øges til den næste tilgængelige højere dosis (f.eks. 11,25 mg eller 15 mg ved den næste månedlige injektion). Tilsvarende kan dosis justeres med ændringer i kropsvægt. Injektionsstedet skal varieres med jævne mellemrum.
Målet med terapi er at undertrykke hypofyse gonadotropiner og perifere kønsteroider og at arrestere progression af sekundære seksuelle egenskaber. Hormonelle og kliniske parametre skal overvåges efter 1-2 måneders påbegyndelse af terapi og med hver dosisændring for at sikre tilstrækkelig hypofyse gonadotropinundertrykkelse. Når en dosis, der resulterer i tilstrækkelig hormonel undertrykkelse, findes, kan det ofte opretholdes i behandlingsvarigheden hos de fleste børn. Det anbefales imidlertid, at tilstrækkelig hormonel undertrykkelse verificeres hos patienter som vægt kan stige markant, mens den er på terapi.
Hver Lupron Depot-Ped-styrke og formulering har forskellige frigørelsesegenskaber. Brug ikke delvise sprøjter eller en kombination af sprøjter for at opnå en bestemt dosis.
Lupron Depot-Ped skal afbrydes i den passende alder af pubertets begyndelse efter lægeens skøn.
For optimal ydeevne af den forudfyldte dobbelte kammersprøjte (PDS) læst og følg instruktionerne.
Rekonstitutions- og administrationsinstruktioner
- De lyofiliserede mikrosfærer skal rekonstitueres og administreres som en enkelt intramuskulær injektion.
- Da Lupron Depot-Ped ikke indeholder et konserveringsmiddel, skal suspensionen indsprøjtes øjeblikkeligt eller kasseres, hvis det ikke bruges inden for to timer.
- Som med andre lægemidler, der administreres ved injektion, skal injektionsstedet varieres med jævne mellemrum.
1.. Lupron-depot-ped-pulveret skal inspiceres visuelt, og sprøjten bør ikke bruges, hvis klumpning eller kaging er tydeligt. Et tyndt lag pulver på sprøjten af sprøjten betragtes som normal inden blanding med fortyndingsmidlet. Fortyndingsmidlet skal synes klart.
2. For at forberede dig på injektion skru den hvide stemplet ind i slutstop, indtil stopperen begynder at dreje.
|
3. Hold sprøjten lodret. Slip fortyndingsmidlet ved langsomt at skubbe (6 til 8 sekunder) stemplet, indtil den første stopper er på den blå linje midt i tønden.
|
4. Hold sprøjten lodret. Bland mikrosfærerne (pulver) grundigt ved forsigtigt at ryste sprøjten, indtil pulveret danner en ensartet ophæng. Suspensionen vises mælkeagtig. Hvis pulveret klæber til stopperen eller kagen/klumpning er til stede, skal du trykke på sprøjten med din finger for at sprede sig. Brug ikke, hvis noget af pulveret ikke er gået i ophæng.
|
5. Hold sprøjten lodret. Med den modsatte hånd skal du trække nålhætten opad uden vridning.
6. Hold sprøjten lodret. Fremfør stemplet for at udvise luften fra sprøjten. Nu er sprøjten klar til injektion.
7. Efter rengøring af injektionsstedet med en alkoholpind skal den intramuskulære injektion udføres ved at indsætte nålen i en 90 graders vinkel i det gluteale område, der er anterior lår eller skulder; Injektionssteder skal skiftes.
|
Bemærk: Aspireret blod ville være synligt lige under Luer Lock -forbindelsen, hvis et blodkar ved et uheld er penetreret. Hvis det nuværende blod kan ses gennem den gennemsigtige LuProloc® sikkerhedsenhed. Hvis blod er til stede, skal du straks fjerne nålen. Injicér ikke medicinen.
|
8. Injicerer hele indholdet af sprøjten intramuskulært på tidspunktet for rekonstitution. Suspensionen afvikler meget hurtigt efter rekonstitution; Derfor bør Lupron Depot-Ped blandes og bruges med det samme.
Efter injektion
9. Træk nålen tilbage. Når sprøjten er trukket tilbage, aktiveres straks LuProloc® -sikkerhedsenheden ved at skubbe pilen på låsen opad mod nålespidsen med tommelfingeren eller fingeren som illustreret, indtil nåledækslet på sikkerhedsindretningen er fuldt ud udvidet over nålen og et klik høres eller føles.
|
Yderligere oplysninger
- Bortskaf sprøjten i henhold til lokale regler/procedurer.
Hvor leveret
Dosering Forms And Strengths
Lupron Depot-Ped-1 måned (NULL,5 mg 11,25 mg og 15 mg) leveres i en forudfyldt dobbeltkammersprøjte.
Opbevaring og håndtering
Lupron Depot-Ped-1 måned er pakket som følger
| Kit med forudfyldt dobbeltkammersprøjte | 7,5 mg | NDC 0074-2108-03 |
| Kit med forudfyldt dobbeltkammersprøjte | 11,25 mg | NDC 0074-2282-03 |
| Kit med forudfyldt dobbeltkammersprøjte | 15 mg | NDC 0074-2440-03 |
Hver sprøjte indeholder sterile lyofiliserede mikrosfærer af leuprolidacetat inkorporeret i en bionedbrydelig mælkesyre/glycolsyre -copolymer. Når blandet med 1 ml den ledsagende fortyndingsmiddel Lupron Depotped administreres som en enkelt intramuskulær injektion.
Hvert sæt indeholder
- En forudfyldt dobbeltkammersprøjte indeholdende 1½ tommer nål med LuProloc® Safety Device
- en stemplet
- To alkoholpinde
- En komplet ordinerende informationskabning
Opbevares ved 25 ° C (77 ° F); Udflugter tilladt til 15–30 ° C (59–86 ° F) [Se USP -kontrolleret stuetemperatur ]
Fremstillet til Abbott Laboratories North Chicago IL 60064 af Takeda Pharmaceutical Company Limited Osaka Japan 540-8645
Bivirkninger til Lupron Depot Pediatric
De mest almindelige bivirkninger med GnRH-agonister, herunder Lupron Depot-Ped, er injektionsstedets reaktioner/smerter inklusive abscess generel smerte hovedpine følelsesladet labilitet og hot flushes/sved.
I den tidlige fase af terapi stiger gonadotropiner og kønsteroider over baseline på grund af den naturlige indledende stimulerende virkning af lægemidlet (hormonel blusseffekt). Derfor kan der observeres en stigning i kliniske tegn og symptomer [se Advarsler og FORHOLDSREGLER ].
Lupron Depot -Ped - 1 måned (NULL,5 mg 11,25 mg og 15 mg injektion) - Kliniske forsøgsoplevelse
Da kliniske undersøgelser udføres under vidt forskellige tilstande, kan bivirkningsrater observeret i de kliniske undersøgelser af et lægemiddel ikke sammenlignes direkte med hastigheder i de kliniske undersøgelser af et andet lægemiddel og muligvis ikke afspejler de satser, der er observeret i praksis.
I to undersøgelser af børn med central fornemmet pubertet hos 2% eller flere af de patienter, der fik lægemidlet, blev det rapporteret, at følgende bivirkninger havde et muligt eller sandsynligt forhold til lægemiddel som tilskrives af den behandlende læge. Reaktioner, der ikke betragtes som lægemiddelrelaterede, er udelukket.
Tabel 2: Procentdel af patienter med behandlingsfremmende bivirkninger, der forekommer hos ≥ 2% af pædiatriske patienter, der modtager Lupron Depot-Ped-1 måned
| Antal patienter (n = 421) | ||
| N | (%) | |
| Krop som helhed | ||
| Injection Site Reactions Including Abscess* | 37 | (9) |
| General Pain | 12 | (3) |
| Headache | 11 | (3) |
| Kardiovaskulært system | ||
| Vasodilation | 9 | (2) |
| Integumentary System (hud og vedhæng) | ||
| Acne/Seborrhea | 13 | (3) |
| Rash Including Erythema Multiforme | 12 | (3) |
| Nervesystem | ||
| Emotional Lability | 19 | (5) |
| Urogenitalt system | ||
| Vaginitis/Vaginal Bleeding/Vaginal Discharge | 13 | (3) |
| *De fleste begivenheder var milde eller moderate i sværhedsgrad. |
Mindre almindelige bivirkninger
Følgende bivirkninger med behandling af behandlingsfremstilling blev rapporteret hos mindre end 2% af patienterne og er anført nedenfor af kropssystemet.
Krop som helhed – forværring af forudgående tumor og nedsat syn Allergisk reaktionslegem lugt feber influenza syndrom hypertrofiinfektion; Kardiovaskulært system – Bradycardia hypertension perifer vaskulær lidelse synkope; Fordøjelsessystem - forstoppelse dyspepsia dysphagia gingivitis increased appetite kvalme/vomiting; Endokrin system - Accelereret seksuel modenhed feminiseringsretter; Hemisk og lymfatisk system - purpura; Metaboliske og ernæringsmæssige lidelser - væksthæmmede perifere ødemer vægtøgning; Muskuloskeletalt system - Arthralgia Joint Disorder Myalgia Myopati; Nervesystem – Depression Hyperkinesia nervøsitet somnolens; Åndedrætssystem - Astma epistaxis pharyngitis rhinitis sinusitis; Integumentary System (hud og vedhæng) – Alopecia Hair Disorder Hirsutism Leukoderma Nail Disorder Skin Hypertrophy; Urogenitalt system – Cervix Disorder/Neoplasma Dysmenorrhea Gynecomastia/Brystforstyrrelser Menstruationsforstyrrelse Urininkontinens.
Laboratorium: Følgende laboratoriebegivenheder blev rapporteret som bivirkninger: antinuclear antistof til stede og øget sedimentationshastighed.
Postmarked
Følgende bivirkninger er blevet observeret med denne eller andre formuleringer af leuprolidacetatinjektion. Da leuprolid har flere indikationer, og derfor er patientpopulationer nogle af disse bivirkninger muligvis ikke anvendelige til enhver patient.
Allergiske reaktioner (anafylaktisk udslæt urticaria og fotosensitivitetsreaktioner) er også rapporteret.
Gastrointestinale lidelser: kvalme abdominal pain vomiting;
Generelle lidelser og administrationsstedets forhold: Reaktioner i brystsmerter, inklusive induration og abscess, er rapporteret;
Undersøgelser: Nedsat WBC -vægt steg;
Metabolisme og ernæringsforstyrrelser: Diabetes mellitus;
Muskuloskeletale og bindevævsforstyrrelser: tenosynovitis-lignende symptomer;
Nervesystem Disorders: Neuropati -perifer kramper rygmarvsfraktur/lammelse;
Hud og subkutane vævsforstyrrelser: Hot Flush Flushing Hyperhidrosis;
Reproduktionssystem og brystforstyrrelser: prostatasmerter;
Vaskulære lidelser: Hypertension hypotension.
Hypofyse apoplexy: Under overvågning af overvågning efter markedsføring er der rapporteret sjældne tilfælde af hypofyse-apoplexy (et klinisk syndrom, der er sekundært til infarkt af hypofysen) efter indgivelse af gonadotropin-frigivende hormonagonister. I et flertal af disse tilfælde blev et hypofyse adenom diagnosticeret med et flertal af hypofyse -apoplexy -tilfælde, der forekom inden for 2 uger efter den første dosis og nogle inden for den første time. I disse tilfælde har hypofyse apoplexy præsenteret som pludselig hovedpine opkast visuelle ændringer øjenleggi ændret mental status og undertiden hjerte -kar -sammenbrud. Umiddelbar lægehjælp er påkrævet.
Se andre Lupron Depot og Lupron -injektionspakkerindsatser til andre begivenheder rapporteret i forskellige patientpopulationer.
Lægemiddelinteraktioner til Lupron Depot Pediatric
Der er ikke udført nogen farmakokinetisk-baserede lægemiddel-lægemiddelinteraktionsundersøgelser; Imidlertid forventes medikamentinteraktioner ikke at forekomme [se Klinisk farmakologi ].
Interaktioner om lægemiddel/laboratorieprøve
Administration af Lupron Depot-Ped i terapeutiske doser resulterer i undertrykkelse af hypofysen-gonadal-systemet. Derfor kan diagnostiske test af hypofyse gonadotropiske og gonadale funktioner udført under behandling og op til seks måneder efter seponering af Lupron Depot-Ped påvirkes. Normal hypofyse-gonadal funktion gendannes normalt inden for seks måneder efter behandling med Lupron Depot-Ped afbrydes.
Advarsler til Lupron Depot Pediatric
Inkluderet som en del af FORHOLDSREGLER afsnit.
Forholdsregler for Lupron Depot Pediatric
Den oprindelige stigning af gonadotropiner og kønsteroidniveauer
I den tidlige fase af terapi stiger gonadotropiner og kønsteroider over baseline på grund af den oprindelige stimulerende virkning af lægemidlet. Derfor kan der observeres en stigning i kliniske tegn og symptomer på puberteten [se Klinisk farmakologi ].
Kramper
Postmarked reports of convulsions have been observed in patients on leuprolide acetate therapy. These included patients with a history of seizures epilepsy cerebrovascular disorders central nervous system anomalies or tumors og patients on concomitant medications that have been associated with convulsions such as bupropion og SSRIs. Kramper have also been reported in patients in the absence of any of the conditions mentioned above.
Overvågning og laboratorieundersøgelser
Respons på Lupron Depot-PED skal overvåges med en GnRHA-stimuleringstest Basal LH eller serumkoncentration af kønsteroidniveauer, der begynder 1-2 måneder efter påbegyndelse af terapi med ændrede doser eller potentielt under terapi for at bekræfte vedligeholdelse af effektiviteten. Måling af knoglealderen for fremme skal udføres hver 6-12 måned.
Når der er etableret en terapeutisk dosis, vil gonadotropin- og kønssteroidniveauerne falde til præpubertale niveauer. Manglende overholdelse af lægemiddelregime eller utilstrækkelig dosering kan resultere i utilstrækkelig kontrol af den pubertal proces med gonadotropiner og/eller kønsteroider, der øges over præpubertale niveauer [se Kliniske studier og Bivirkninger ].
Ikke -klinisk toksikologi
Karcinogenese mutagenese nedskrivning af fertilitet
En to-årig carcinogenicitetsundersøgelse blev udført hos rotter og mus. Hos rotter blev der observeret en dosisrelateret stigning i godartet hypofysehyperplasi og godartet hypofyse adenomer efter 24 måneder, da lægemidlet blev administreret subkutant ved høje daglige doser (NULL,6 til 4 mg/kg). Der var en signifikant, men ikke dosisrelateret stigning i pancreas-ø-celle-adenomer hos kvinder og af testikulære interstitielle celle-adenomer hos mænd (højeste forekomst i gruppen med lav dosis). Hos mus blev der ikke observeret nogen leuprolidacetatinducerede tumorer eller hypofyse abnormiteter i en dosis så høje som 60 mg/kg i to år. Voksne patienter er blevet behandlet med leuprolidacetat i op til tre år med doser så højt som 10 mg/dag og i to år med doser så høje som 20 mg/dag uden påviselige hypofyse abnormiteter.
Efter subkutan administration af Lupron Depot til mandlige og kvindelige rotter, før parringen var atrofi af reproduktionsorganerne og undertrykkelse af reproduktiv ydeevne.
Efter en undersøgelse med leuprolidacetat demonstrerede umodne hanrotter rørformet degeneration i testiklerne, selv efter en genopretningsperiode. På trods af manglen på at genvinde histologisk viste de behandlede mænd sig at være så frugtbare som kontrollerne. Der blev heller ikke observeret nogen histologiske ændringer hos de kvindelige rotter efter den samme protokol. Hos begge køn syntes afkom af de behandlede dyr normalt. Effekten af behandlingen af forældrene på den reproduktive ydeevne af F1-generationen er blevet evalueret ved hjælp af Lupron Depot-formulering til grupper af rotter som engangs subkutan dosis på 0,024 mg/kg (1/12 af pædiatrisk dosis) på dag 15 af gestation eller dosering på parturition dag i doser op til 8 mg/kg (27 foldet dosering). Der var ingen indflydelse på vækst morfologisk udvikling og reproduktiv ydeevne af F1 -generation.
Brug i specifikke populationer
Graviditet
Graviditet Category X
Lupron Depot-Ped er kontraindiceret hos kvinder, der er eller kan blive gravide, mens de modtager stoffet [se Kontraindikationer ].
Sikker anvendelse af leuprolidacetat under graviditet er ikke etableret i kliniske studier. Før start og under behandling med leuprolidacetat tilrådes det at fastslå, om patienten er gravid. Leuprolidacetat er ikke et prævention. Hvis der kræves prævention, skal der anvendes en ikke-hormonel præventionsmetode.
Da Lupron Depot blev administreret subkutant til grupper af kaniner som en gang dosering på dag 6 af graviditeten ved testdoseringer på 0,00024 0,0024 og 0,024 mg/kg (1/1200 til 1/12 af den humane pædiatriske dosis), producerede den en dosisrelateret stigning i større fetale abnormaliteter. Lignende undersøgelser hos rotter kunne ikke demonstrere en stigning i føtal misdannelser. Der var øget føtal dødelighed og nedsatte føtalvægte med de to højere doser af Lupron Depot hos kaniner og med den højeste dosis hos rotter. Ingen føtal misdannelser, men stigning i føtal resorptioner og dødelighed blev observeret i rotte og kanin, når den daglige injektionsformulering af leuprolidacetat blev doseret subkutant en gang dagligt ved lavere doser (NULL,1-1 mcg/kg/dag i kanin; 10 mcg/kg/dag i rotte) i perioden med organogenese. Virkningerne på fosterdødelighed er logiske konsekvenser af ændringerne i hormonelle niveauer, der er skabt af dette lægemiddel. Derfor findes muligheden for, at spontan abort kan forekomme, hvis lægemidlet administreres under graviditet.
Sygeplejerske mødre
Det vides ikke, om leuprolidacetat udskilles i human mælk. Lupron Depot-Ped bør ikke bruges af ammende mødre.
Pædiatrisk brug
Sikkerhed og effektivitet hos pædiatriske patienter under 2 år er ikke blevet fastlagt. Brugen af Lupron Depot-Ped hos børn under 2 år anbefales ikke.
Geriatrisk brug
Se mærkningen for Lupron Depot - 1 måned 7,5 mg, hvilket er indikeret til palliativ behandling af avanceret prostatacancer. For Lupron Depot-Ped-1 måned 11,25 mg og Lupron Depot-Ped-1 måned 15 mg er der ingen klinisk information tilgængelig for personer i alderen 65 år og derover.
Overdoseringsoplysninger til Lupron Depot Pediatric
I tidlige kliniske forsøg under anvendelse af leuprolidacetat hos voksne patienter doser så højt som 20 mg/dag i op til to år, at der ikke var nogen bivirkninger, der adskiller sig fra dem, der blev observeret med dosis på 1 mg/dag.
Hos rotter subkutan administration af leuprolidacetat som en enkelt dosis 333 gange resulterede den anbefalede humane pædiatriske dosis udtrykt på et kropsvægtbasis i dyspnø nedsat aktivitet og lokal irritation på injektionsstedet. Der er i øjeblikket ingen beviser for, at der er et klinisk modstykke til dette fænomen.
I tilfælde af overdoseringsstandard for plejeovervågning og styringsprincipper skal følges.
Kontraindikationer for Lupron Depot Pediatric
- Hypersensitivitet over for GnRH GnRH-agonister eller nogen af excipienserne i Lupron Depot-Ped. Rapporter om anafylaktiske reaktioner på GnRH -agonister er rapporteret i den medicinske litteratur.
- Alle formuleringer af Lupron Depot kan forårsage føtal skade, hvis de administreres til en gravid kvinde. Da Lupron Depot blev administreret subkutant til kaniner, producerede det en dosisrelateret stigning i større føtal abnormaliteter og føtal dødelighed. Muligheden eksisterer for, at spontan abort kan forekomme, hvis lægemidlet administreres under graviditet. Lupron Depot-Ped er kontraindiceret hos kvinder, der er eller kan blive gravide. Hvis dette lægemiddel utilsigtet bruges under graviditet, eller hvis patienten bliver gravid, mens dette lægemiddel tager patienten, skal patienten vurderes af den potentielle fare for fosteret.
Klinisk farmakologi for Lupron Depot Pediatric
Handlingsmekanisme
Leuprolidacetat A GnRH -agonist fungerer som en potent hæmmer af gonadotropinsekretion, når den gives kontinuerligt og i terapeutiske doser. Humane studier indikerer, at efter en indledende stimulering af gonadotropiner kan kronisk stimulering med leuprolidacetat resulterer i undertrykkelse eller nedregulering af disse hormoner og den deraf følgende undertrykkelse af æggestokk og testikulær steroidogenese. Disse effekter er reversible ved seponering af lægemiddelterapi.
Leuprolidacetat er ikke aktivt, når den gives oralt.
Farmakokinetik
Absorption
Efter en enkelt Lupron-depot-PED-1 måned 7,5 mg injektion til voksne patienter betyder det, at peak leuprolidplasmakoncentration var næsten 20 ng/ml ved 4 timer og faldt derefter til 0,36 ng/ml ved 4 uger. Imidlertid kunne intakt leuprolid og en inaktiv større metabolit ikke skelnes ved assayet, der blev anvendt i undersøgelsen. Nondetekterbare leuprolidplasmakoncentrationer er blevet observeret under kronisk Lupron-depot-ped 7,5 mg administration, men testosteronniveauer ser ud til at blive opretholdt på kastratniveauer.
I en undersøgelse af 55 børn med centrale fornemme pubertetsdoser på 7,5 mg 11,25 mg og 15,0 mg Lupron-depot-ped blev der givet hver 4. uge, og i en undergruppe af 22 børn blev truget leuprolidplasmaniveauer bestemt i henhold til vægtkategorier som opsummeret nedenfor:
| Patientvægtområde (kg) | Gruppevægt gennemsnit (kg) | Dosis (mg) | Trough plasma leuprolidniveau gennemsnit ± SD (ng/ml)* |
| 20.2 - 27.0 | 22.7 | 7.5 | 0,77 ± 0,033 |
| 28.4 - 36.8 | 32.5 | 11.25 | 1,25 ± 1,06 |
| 39.3 - 57.5 | 44.2 | 15.0 | 1,59 ± 0,65 |
| * Gruppens gennemsnitlige værdier bestemt i uge 4 umiddelbart før leuprolidinjektion. Lægemiddelniveauer efter 12 og 24 uger svarede til de respektive 4 ugers niveauer. |
Fordeling
Det gennemsnitlige steady-state-volumen af distribution af leuprolid efter intravenøs bolusadministration til sunde mandlige frivillige var 27 L. In vitro Binding til humane plasmaproteiner varierede fra 43% til 49%.
Metabolisme
Hos raske mandlige frivillige afslørede en 1 mg bolus leuprolid indgivet intravenøst, at den gennemsnitlige systemiske clearance var 7,6 l/h med en terminal eliminering halveringstid på cirka 3 timer baseret på en to rummodel.
Hos rotter og hunde blev administration af 14C-mærket leuprolid vist at være metaboliseret til mindre inaktive peptider A Pentapeptid (metabolit I) tripeptider (metabolitter II og III) og et dipeptid (Metabolite IV). Disse fragmenter er muligvis yderligere kataboliseret.
De vigtigste metabolit (M-I) plasmakoncentrationer målt hos 5 prostatacancerpatienter nåede maksimal koncentration 2 til 6 timer efter dosering og var ca. 6% af den maksimale medikamentkoncentration. En uge efter dosering af gennemsnitlige plasma-M-I-koncentrationer var ca. 20% af de gennemsnitlige leuprolidkoncentrationer.
Udskillelse
Efter administration af Lupron Depot 3,75 mg til 3 patienter mindre end 5% af dosis blev udvundet som forælder og M-I-metabolit i urinen.
Specifikke populationer
Farmakokinetikken af lægemidlet er ikke bestemt hos patienter med lever- og nyrefunktion.
Interaktioner med lægemiddel-lægemidler
Der er ikke udført nogen farmakokinetisk-baserede lægemiddel-lægemiddelinteraktionsundersøgelser med Lupron Depot-Ped-1 måned. Men fordi leuprolidacetat er et peptid, der primært nedbrydes af peptidase og ikke af cytochrome P-450-enzymer som bemærket i specifikke undersøgelser, og lægemidlet er kun ca. 46% bundet til plasmaproteiner lægemiddelinteraktioner forventes ikke at forekomme.
Kliniske studier
Lupron Depot Ped–1 Month
Hos børn med centrale fornemme pubertet (CPP) terapeutiske doser af Lupron Depot-Ped reducerede stimulerede og basale gonadotropiner til præpubertale niveauer. Testosteron og østradiol reduceres også til præpubertale niveauer hos mænd og kvinder. Reduktion af gonadotropiner og kønsteroider giver en tilbagevenden til aldersmæssig fysisk og psykologisk vækst og udvikling. Følgende effekter er blevet bemærket med den kroniske administration af leuprolid: ophør af menstruation (hos piger) normalisering og stabilisering af lineær vækst og knoglens avanceringsstabilisering af kliniske tegn og symptomer på puberteten.
55 CPP-forsøgspersoner (49 hunner og 6 mænd naive til tidligere GNRHA-behandling) blev behandlet med Lupron Depot-Ped-1 måneders formuleringer, indtil alder, der var passende til indgang i puberteten (se data om behandlingsperiode nedenfor), og en undergruppe af 40 forsøgspersoner blev derefter fulgt efter behandlingen (se opfølgende periode data nedenfor).
Data om behandlingsperiode
I behandlingsperioden undertrykte Lupron depot-ped gonadotropiner og kønsteroider til præpubertale niveauer. Undertrykkelse af spidsstimulerede LH -koncentrationer til <1.75 mIU/mL was achieved in 96% of subjects by month 1. The number og percentage of subjects with suppression of peak stimulated LH < 1.75 mIU/mL og mean ± SD peak stimulated LH over time is shown in Table 3. The mean ± SD age at the start of treatment was 7 ± 2 years og the duration of treatment was 4 ± 2 years. Six months after the treatment period was finished the mean peak stimulated LH was 20.6 ± SD 13.7 mIU/mL (n=30).
Tabel 3: Antallet og procentdelen af patienter med maksimal stimuleret LH <1.75 mIU/mL og Gennemsnitlig (SD) peak LH at each clinic visit
| Uger om undersøgelse | N med maksimal stimuleret LH 1,75 miu/ml/n med en LH -måling for den uge N/N % | Gennemsnitlig (SD) peak LH | |
| Baseline | 0/55 | 0% | 35.0 (21.32) |
| Uge 4 | 53/55 | 96,4% | 0,8 (NULL,57) |
| Uge 12 | 48/54 | 88,9% | 1.1 (1.77) |
| Uge 24 | 48/53 | 90,6% | 0,8 (NULL,79) |
| Uge 36 | 51/54 | 94,4% | 0,6 (NULL,43) |
| Uge 48 | 51/54 | 94,4% | 0,6 (NULL,47) |
| Uge 72 | 52/52 | 100% | 0,5 (NULL,30) |
| Uge 96 | 46/46 | 100% | 0,4 (NULL,33) |
| Uge 120 | 40/40 | 100% | 0,4 (NULL,27) |
| Uge 144 | 36/36 | 100% | 0,4 (NULL,24) |
| Uge 168 | 27/28 | 96,4% | 1.2 (4.58) |
| Uge 216 | 18/19 | 94,7% | 0,5 (NULL,90) |
| Uge 240 | 16/17 | 94,1% | 0,4 (NULL,62) |
| Uge 264 | 14/15 | 95,3% | 0,4 (NULL,41) |
| Uge 288 | 11/11 | 100% | 0,3 (NULL,22) |
| Uge 312 | 9/9 | 100% | 0,4 (NULL,20) |
| Uge 336 | 6/6 | 100% | 0,3 (NULL,10) |
| Uge 360 | 6/6 | 100% | 0,3 (NULL,13) |
| Uge 384 | 5/5 | 100% | 0,2 (NULL,10) |
| Uge 408 | 3/3 | 100% | 0,2 (NULL,09) |
| Uge 432 | 2/2 | 100% | 0,3 (NULL,04) |
| Uge 456 | 2/2 | 100% | 0,2 (NULL,04) |
| Uge 480 | 1/1 | 100% | 0,2 (at) |
| Uge 504 | 1/1 | 100% | 0,2 (at) |
Undertrykkelse (defineret som regression eller ingen ændring) af de kliniske/fysiske tegn på puberteten blev opnået hos de fleste patienter. Hos kvinder varierede undertrykkelse af brystudvikling fra 66,7 til 90,6% af forsøgspersonerne i løbet af de første 5 år af behandlingen. Den gennemsnitlige stimulerede østradiol var 15,1 pg/ml ved baseline faldt til det lavere detektionsniveau (NULL,0 pg/ml) i uge 4 og blev opretholdt der i løbet af de første 5 år af behandlingen. Hos mænd varierede undertrykkelse af kønsudvikling fra 60% til 100% af forsøgspersoner i løbet af de første 5 år af behandlingen. Den gennemsnitlige stimulerede testosteron var 347,7 ng/dL ved baseline og blev opretholdt på niveauer, der ikke var større end 25,3 ng/dL i løbet af de første 5 år af behandlingen.
En flare -effekt af kortvarig blødning eller plettet i løbet af de første 4 uger af behandlingen blev observeret i 19,4% (7/36) hunner, der ikke havde nået menarche ved baseline. Efter de første 4 uger og for resten af behandlingsperioden rapporterede intet emne menstruationslignende blødning og kun sjælden plet blev bemærket.
I mange forsøgspersoner faldt væksthastigheden ved behandlingen, ligesom knoglens alder: kronologisk aldersforhold. Gennem år 5 varierede den gennemsnitlige vækstrate mellem 3,4 og 5,6 cm/år. Det gennemsnitlige forhold mellem knoglealder og kronologisk alder faldt fra 1,5 ved baseline til 1,1 ved afslutningen af behandlingen. Den gennemsnitlige højdestandardafvigelsesscore ændrede sig fra 1,6 ved baseline til 0,7 ved afslutningen af behandlingsfasen.
Data om opfølgningsperiode
35 hunner og 5 mænd deltog i en opfølgningsperiode efter behandling for at vurdere reproduktionsfunktionen (hos kvinder) og den sidste højde. Efter 6 måneder efter behandling vendte de fleste forsøgspersoner tilbage til pubertale niveauer af LH (NULL,9%) og kliniske tegn på genoptagelse af pubertal progression var tydelige med stigning i brystudvikling hos piger (NULL,7%) og stigning i kønsudvikling hos drenge (80%).
Af de 40 patienter, der blev evalueret i opfølgningen 33, blev observeret, indtil de nåede den endelige eller nærfinale voksenhøjde. Disse patienter havde en gennemsnitlig stigning i den endelige voksne højde sammenlignet med baseline forudsagt voksenhøjde. Den gennemsnitlige endelige voksenhøjde -standardafvigelsesresultat var -0,2.
Efter at have stoppet behandlingen blev der rapporteret om regelmæssige menstruation for alle kvindelige forsøgspersoner, der nåede 12 år under opfølgningen; Den gennemsnitlige tid til menstruation var cirka 1,5 år; Middelalderen for indtræden af menstruation efter stop af behandling var 12,9 år. Data til vurdering af reproduktiv funktion blev indsamlet i en undersøgelse efter studiet af 20 piger, der nåede voksenlivet (i alderen 18-26): menstruationscyklusser blev rapporteret at være normale hos 80% af kvinderne; 12 graviditeter blev rapporteret for i alt 7 af de 20 forsøgspersoner inklusive flere graviditeter til 4 forsøgspersoner.
Patientinformation til Lupron Depot Pediatric
Før de startede terapi med Lupron Depot-Ped-patienter skal informeres om, at:
- Alle formuleringer er kontraindiceret hos kvinder, der er eller kan blive gravide. Hvis dette lægemiddel bruges under graviditet, eller hvis patienten bliver gravid, mens lægemidlet tager lægemidlet, skal patienten informeres om den potentielle risiko for fosteret.
- Kontinuerlig terapi er vigtig, og at overholdelse af en månedlig lægemiddeladministrationsplan skal accepteres, hvis terapi skal få succes. Hvis den månedlige injektionsplan ikke følges, kan pubertal udvikling begynde igen.
- I løbet af de første uger af behandlingstegn på puberteten f.eks. Vaginal blødning kan forekomme. Dette er en almindelig indledende effekt af lægemidlet. Hvis disse symptomer fortsætter ud over den anden behandlingsmåned, skal lægen underrettes.
- De mest almindelige bivirkninger, der er relateret til behandling med 1-måneders eller 3-måneders Lupron-depot-Ped i kliniske studier, er: Smerte acne/seborrhea-injektionsstedets reaktioner, herunder smerter og abscessudslæt inklusive erythema multiforme vaginitis/blødning/udladning øget vægthovedpine og ændret humør.
- Efter injektion forventes nogle smerter og irritation; Men hvis der forekommer mere alvorlige symptomer, skal lægen kontaktes. Eventuelle usædvanlige tegn eller symptomer skal rapporteres til lægen.