Oplysningerne På Webstedet Er Ikke Medicinsk Rådgivning. Vi Sælger Ikke Noget. Nøjagtigheden Af Oversættelsen Er Ikke Garanteret. Ansvarsfraskrivelse
Antiprogestiner
Mifeprex RU486
Resume af lægemiddeloversigt
Hvad er Mifeprex?
Mifeprex (Mifepristone) er et syntetisk steroid indikeret til medicinsk afslutning af intrauterin graviditet gennem 49 dage af graviditeten. Mifeprex -tabletter er tilgængelige i generisk form.
Hvad er bivirkninger af Mifeprex?
Mifeprex kan forårsage alvorlige bivirkninger, herunder:
- en feber, der er højere end 100,4 grader (38 grader C), der varer længere end 4 timer
- generel syg følelse
- Hurtige hjerteslag
- Alvorlig bækkenesmerter eller ømhed
- alvorlig eller løbende kvalme
- opkast
- diarre
- svaghed og
- Ingen vaginal blødning overhovedet efter at have taget mifeprex ru486
Få medicinsk hjælp med det samme, hvis du har nogen af de symptomer, der er anført ovenfor.
Forventede bivirkninger af mifeprex inkluderer:
- blødning og
- Kramper
Andre bivirkninger af MifePrex inkluderer:
- Bekken smerter
- kvalme
- diarre
- mavesmerter
- svimmelhed
- træt følelse
- svaghed
- Rygsmerter og
- Allergiske reaktioner såsom lukning af halsen hævelse af læber og tunge eller ansigt. Søg nødlæge, hvis der opstår nogen af disse allergiske reaktioner.
Søg medicinsk behandling eller ring 911 på én gang, hvis du har følgende alvorlige bivirkninger:
- Alvorlige øjensymptomer såsom pludseligt synstab sløret synet tunnel vision øje smerter eller hævelse eller at se haloer omkring lys;
- Alvorlige hjertesymptomer såsom hurtig uregelmæssige eller bankende hjerteslag; flagrende i brystet; åndenød; Og pludselig svimmelhed Lightheadedness eller gå ud;
- Alvorlig hovedpine forvirring sløret tale arm eller ben svaghed problemer med at gå tab af koordination føles ustabil meget stive muskler høj feber voldsom sved eller rysten.
Dette dokument indeholder ikke alle mulige bivirkninger, og andre kan forekomme. Kontakt din læge for yderligere oplysninger om bivirkninger.
Dosering til Mifeprex
Mifeprex fås i 200 mg styrke tabletter. Behandling med Mifeprex og Misoprostol til ophør af graviditet kræver tre kontorbesøg. Patienter skal forstå nødvendigheden af at gennemføre behandlingsplanen inklusive et opfølgende besøg cirka 14 dage efter at have taget Mifeprex.
Hvilke stoffer stoffer eller kosttilskud interagerer med Mifeprex?
Mifeprex kan interagere med medicin til behandling af hepatitis eller Hiv Lægemidler til at forhindre afvisning af et transplanteret organ Migræne hovedpine Medicin Antibiotika Antifungals Hjerte- eller blodtryksmedicin Anfaldsmedicin eller thyroidea -medicin. Fortæl din læge alle medicin og kosttilskud, du bruger.
Mifeprex under graviditet og amning
En anden graviditet kan forekomme efter afslutning af graviditet og før genoptagelse af normale menstruation. Amningskvinder bør konsultere deres sundhedsudbyder for at beslutte, om de skulle kassere deres modermælk i et par dage efter administration af medicinen.
Yderligere oplysninger
Vores Mifeprex (Mifepristone) bivirkninger Drug Center giver et omfattende overblik over tilgængelige lægemiddelinformation om de potentielle bivirkninger, når du tager denne medicin.
FDA -lægemiddelinformation
- Lægemiddelbeskrivelse
- Indikationer
- Bivirkninger
- Lægemiddelinteraktioner
- Advarsler
- Overdosis
- Klinisk farmakologi
- Medicin vejledning
ADVARSEL
Alvorlige og til tider dødelige infektioner eller blødning
Hvad er bivirkninger af Seroquel
Alvorlige og til tider dødelige infektioner og blødning forekommer meget sjældent efter spontane kirurgiske og medicinske aborter, herunder at følge MifePrex -brug. Der er ikke etableret nogen årsagssammenhæng mellem brugen af Mifeprex og Misoprostol og disse begivenheder.
- Atypisk præsentation af infektion. Patienter med alvorlige bakterieinfektioner (f.eks. Clostridium sordellii) og sepsis kan præsentere uden feber -bakteræmi eller signifikante fund ved bækkenundersøgelse efter en abort. Der er rapporteret om meget sjældent dødsfald hos patienter, der præsenterede uden feber med eller uden mavesmerter, men med leukocytose med et markant venstre skift -tachycardiahemoconcentration og generel ubehag. Et højt mistankeindeks er nødvendigt for at udelukke alvorlig infektion og sepsis [se advarsler og FORHOLDSREGLER ].
- Blødende. Langvarig kraftig blødning kan være et tegn på ufuldstændig abort eller andre komplikationer og hurtig medicinsk eller kirurgisk intervention kan være nødvendig. Rådgive patienter om øjeblikkelig lægehjælp, hvis de oplever langvarig tungvaginal blødning [se advarsler og FORHOLDSREGLER ].
På grund af risikoen for alvorlige komplikationer, der er beskrevet ovenfor, er Mifeprex kun tilgængelig gennem et begrænset program under en risikovurderings- og afbødningsstrategi (REMS) kaldet Mifeprex REMS -programmet [se advarsler og FORHOLDSREGLER ].
Før ordinerer MifePrex informerer patienten om risikoen for disse seriøsevents. Sørg for, at patienten ved, hvem de skal ringe, og hvad de skal gøre, herunder at gå til et alarmrum, hvis ingen af de medfølgende kontakter kan nås, hvis hun oplever vedvarende feber alvorlig abdominal smerte forlængede kraftig blødning eller synkope eller ifshe oplever abdominal smerter eller ubehag eller generel ubehag (inklusive svaghed kvalme kvalme eller diarré) i mere end 24 timer efter at have taget misoprostol.
Rådgiv patienten om at tage medicinguiden med hende, hvis hun besøger en beredskab eller en sundhedsudbyder, der ikke ordinerede MifePrex, så udbyderen ved, at hun gennemgår en medicinsk abort.
Beskrivelse af Mifeprex
Mifeprex -tabletter indeholder hver 200 mg mifepriston en syntetisk steroid med antiprogestationseffekter. Tabletterne er lys gule i farve cylindriske og bi-konvekse og er kun beregnet til oral administration. Tabletterne inkluderer de inaktive ingredienser kolloidal silica vandfri majsstivelse povidon mikrokrystallinsk cellulose og magnesiumstearat.
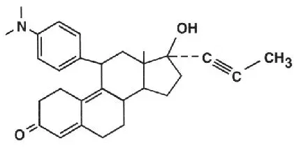
Mifepriston er en substitueret 19-nor steroidforbindelse kemisk betegnet som 11β- [P- (dimethylamino) phenyl] -17β-hydroxy-17- (1-propynyl) Estra-49-Dien-3-en. Dens empiriske formel er C 29 H 35 INGEN 2 . Dens strukturelle formel er:
|
Forbindelsen er et gult pulver med en molekylvægt på 429,6 og et smeltepunkt på 192-196 ° C. Det er meget opløseligt i methanolchloroform og acetone og dårligt opløselig i vand -hexan og isopropylether.
Anvendelser til Mifeprex
Mifeprex er indikeret i et regime med misoprostol til medicinsk afslutning af intrauterin graviditet gennem 70 dage drægtighed.
Dosering til Mifeprex
Doseringsregime
Med henblik på denne behandling er graviditet dateret fra den første dag i den sidste menstruationsperiode. Graviditetsvarigheden kan bestemmes ud fra menstruationshistorie og klinisk undersøgelse. Evaluer graviditeten ved ultrasonografisk scanning, hvis varigheden af graviditeten er usikker, eller om der er mistanke om ektopisk graviditet.
Fjern enhver intrauterin enhed (IUD), før behandling med Mifeprex begynder [se Kontraindikationer ].
Doseringsregimet for MifePrex og Misoprostol er:
- Mifeprex 200 mg oralt misoprostol 800 mcg buccally
En 200 mg tablet mifeprex tages i en enkelt oral dosis.
Fire 200 mcg -tabletter (samlet dosis 800 mcg) misoprostol tages af den buccale rut.
- Dag én: Mifeprex Administration
- Dag to eller tre: Misoprostol Administration ( minimum 24-timers interval mellem Mifeprex og Misoprostol)
Bed patienten om at placere to 200 mcg misoprostol -tabletter i hver kindpose (området mellem kinken og tandkødet) i 30 minutter og derefter sluge eventuelle rester med vand eller en anden væske (se Figur 1 ).
Figur 1
|
2 piller mellem kind og tyggegummi på venstre side 2 piller mellem kind og tyggegummi på højre side
Patienter, der tager Mifeprex, skal tage misoprostol inden for 24 til 48 timer efter at have taget Mifeprex. Effektiviteten af regimet kan være lavere, hvis misoprostol administreres mindre end 24 timer eller mere end 48 timer efter Mifepristone -administration.
Fordi de fleste kvinder udviser graviditeten inden for 2 til 24 timer efter at have taget misoprostol [se Kliniske studier ] Diskuter med patienten et passende sted for dem at være, når man tager misoprostol under hensyntagen til, at udvisning kunne begynde inden for 2 timer efter administrationen.
Patientstyring efter misoprostoladministration
I perioden umiddelbart efter administration af misoprostol kan patienten have brug for medicin til kramper eller gastrointestinale symptomer [se Bivirkninger ].
Giv patienten:
- Instruktioner om, hvad de skal gøre, hvis der forekommer betydeligt ubehageligt vaginal blødning eller andre bivirkninger
- Et telefonnummer til at ringe, hvis patienten har spørgsmål efter administrationen af misoprostol
- Navnet og telefonnummeret på sundhedsudbyderen, der vil håndtere nødsituationer.
Vurdering efter behandling
Dag 7 til 14
Patienter skal følge op med deres sundhedsudbyder ca. 7 til 14 dage efter administrationen af Mifeprex. Denne vurdering er meget vigtig for at bekræfte, at fuldstændig afslutning af graviditeten er sket, og for at evaluere graden af blødning. Opsigelse kan bekræftes af klinisk undersøgelse af medicinsk historie, human chorionisk gonadotropin (HCG) test eller ultrasonografisk scanning. Mangel på blødning efter behandling indikerer normalt fiasko; Dog langvarig eller kraftig blødning er ikke et bevis på en fuldstændig abort.
Eksistensen af affald i livmoderen (f.eks. Hvis det ses på ultrasonografi) efter behandlingsproceduren, kræver ikke nødvendigvis kirurgi for dens fjernelse.
Patienter bør forvente at opleve vaginal blødning eller plet i gennemsnit 9 til 16 dage. Kvinder rapporterer, at der oplever kraftig blødning i en median varighed på 2 dage. Op til 8% af kvinderne kan opleve en form for blødning i mere end 30 dage. Persistens af tunge eller moderat vaginal blødning på tidspunktet for opfølgningen kunne dog indikere en ufuldstændig abort.
Hvis fuldstændig udvisning ikke har fundet sted, men graviditeten er ikke igangværende patienter kan behandles med en anden dosis misoprostol 800 mcg buccally. Der har været sjældne rapporter om livmoderbrud hos kvinder, der tog Mifeprex og misoprostol inklusive kvinder med forudgående livmoderbrud eller livmoderarr og kvinder, der modtog flere doser misoprostol inden for 24 timer. Patienter, der vælger at bruge en gentagen dosis af misoprostol, skal have et opfølgningsbesøg med deres sundhedsudbyder på cirka 7 dage for at vurdere for fuldstændig opsigelse.
Kirurgisk evakuering anbefales at styre løbende graviditeter efter medicinsk abort [se Brug i specifikke populationer ]. Advise the patient whether you will provide such care or will refer them to another provider as part of counseling prior to prescribing Mifeprex.
Kontakt til konsultation
Til konsultation 24 timer om dagen 7 dage om ugen med en ekspert i Mifepristone Call Danco Laboratories på 1-877-4 Early Option (1-877-432-7596).
Hvor leveret
Doseringsformularer og styrker
Tabletter indeholdende 200 mg mifepriston leveres hver især som 1 tablet på et blisterkort. Mifeprex-tabletter er lysegul cylindriske og bi-konvekse tabletter ca. 11 mm i diameter og præget på den ene side med MF.
Opbevaring og håndtering
Er kun tilgængelig via et begrænset program kaldet Mifepristone REMS -programmet [se ADVARSELS AND FORHOLDSREGLER ].
Mifeprex leveres som lysegul cylindrisk og bi-konveks tabletter, der er præget på den ene side med MF. Hver tablet indeholder 200 mg mifepriston. En tablet blisteres individuelt på et blisterkort, der er pakket i en individuel pakke (National Drug Code 64875-001-01).
Opbevares ved 25 ° C (77 ° F); Udflugter tilladt til 15 til 30 ° C (59 til 86 ° F) [se USP -kontrolleret stuetemperatur].
Fremstillet til: Danco Laboratories LLC P.O. Boks 4816 New York NY 10185. Revideret: Jan
Bivirkninger for Mifeprex
Følgende bivirkninger er beskrevet mere detaljeret i andre sektioner:
- Infektion og sepsis [se ADVARSELS AND FORHOLDSREGLER ]
- Uterinblødning [se ADVARSELS AND FORHOLDSREGLER ]
Kliniske forsøg oplever
Da kliniske undersøgelser udføres under vidt forskellige tilstande, kan bivirkningsrater observeret i de kliniske undersøgelser af et lægemiddel ikke sammenlignes direkte med hastigheder i de kliniske undersøgelser af et andet lægemiddel og muligvis ikke afspejler de satser, der er observeret i praksis.
Oplysninger, der blev præsenteret om almindelige bivirkninger, er udelukkende afhængig af data fra amerikanske studier, fordi satser rapporteret i ikke-amerikanske undersøgelser var markant lavere og er ikke sandsynlige generaliserbare for den amerikanske befolkning. I tre amerikanske kliniske studier i alt 1248 kvinder gennem 70 dage drægtighed, der brugte mifepriston 200 mg oralt fulgte 24-48 timer senere af misoprostol 800 mcg buccally kvinder rapporterede bivirkninger i dagbøger og i interviews ved opfølgningsbesøget. Disse undersøgelser indskrev generelt sunde kvinder i reproduktiv alder uden kontraindikationer til mifepriston eller misoprostol -brug i henhold til Mifeprex -produktmærket. Testationsalder blev vurderet før undersøgelsesregistrering ved hjælp af datoen for kvindens sidste kliniske evaluering af menstruationsperioden og/eller ultralydundersøgelse.
Cirka 85% af patienterne rapporterer mindst en bivirkning efter administration af Mifeprex og Misoprostol, og mange kan forventes at rapportere mere end en sådan reaktion. De mest almindeligt rapporterede bivirkninger (> 15%) var kvalme svage feber/kulderystelser opkast hovedpine diarré og svimmelhed (se tabel 1). Hyppigheden af bivirkninger varierer mellem undersøgelser og kan være afhængig af mange faktorer, herunder patientpopulationen og svangerskabsalderen.
Abdominal smerte/kramper forventes hos alle medicinske abortpatienter, og dens forekomst rapporteres ikke i kliniske studier. Behandling med mifeprex og misoprostol er designet til at inducere livmoderblødning og kramper for at forårsage afslutning af en intrauterin graviditet. Uterinblødning og kramper forventes konsekvenser af virkningen af Mifeprex og misoprostol som anvendt i behandlingsproceduren. De fleste patienter kan forvente blødning mere tungt, end de gør i en tung menstruationsperiode [se ADVARSELS AND FORHOLDSREGLER ].
Tabel 1 viser de bivirkninger, der er rapporteret i amerikanske kliniske studier med forekomst> 15% af kvinderne.
Tabel 1
Bivirkninger rapporteret hos kvinder efter administration af mifepriston (oral) og misoprostol (buccal) i amerikanske kliniske undersøgelser
| Bivirkning | Antal evaluable kvinder | Frekvensområde (%) | Øvre svangerskabsalder for studier, der rapporterer resultatet af resultatet | |
| Kvalme | 3 | 1248 | 51-75% | 70 dage |
| Svaghed | 2 | 630 | 55-58% | 63 dage |
| Feber/kulderystelser | 1 | 414 | 48% | 63 dage |
| Opkast | 3 | 1248 | 37-48% | 70 dage |
| Hovedpine | 2 | 630 | 41-44% | 63 dage |
| Diarre | 3 | 1248 | 18-43% | 70 dage |
| Svimmelhed | 2 | 630 | 39-41% | 63 dage |
En undersøgelse gav stratificerede bivirkningsrater for svangerskabsalder for kvinder, der var 57-63 og 64-70 dage; Der var lille forskel i hyppigheden af de rapporterede fælles bivirkninger i svangerskabsalder.
Oplysninger om alvorlige bivirkninger blev rapporteret i seks U.S. og fire ikke-amerikanske kliniske studier i alt 30966 kvinder gennem 70 dage drægtighed, der brugte mifepriston 200 mg oralt fulgt 24-48 timer senere af misoprostol 800 mcg buccally. Alvorlige bivirkningsrater var ens mellem U.S. og ikke-amerikanske undersøgelser, så satser fra både U.S. og ikke-amerikanske undersøgelser præsenteres. I USA studerede man kvinder gennem 56 dages drægtighed fire til 63 dage drægtighed og en til 70 dage drægtighed, mens de ikke var U.S.A. undersøgte kvinder gennem 63 dage drægtighed og to til 70 dage drægtighed. Alvorlige bivirkninger blev rapporteret i <0.5% of women. Information from the LUS. og non-LUS. studies is presented in Tabel 2.
Tabel 2
Alvorlige bivirkninger rapporteret hos kvinder efter administration af mifepriston (oral) og misoprostol (buccal) i U.S. og ikke-U.S. Kliniske studier
| Bivirkning | LUS. | Ikke-USA. | ||||
| Antal evaluable kvinder | Frekvensområde (%) | Antal evaluable kvinder | Frekvensområde (%) | |||
| Transfusion | 4 | 17774 | 0,03-0,5% | 3 | 12134 | 0-0,1% |
| Sepsis | 1 | 629 | 0,2% | 1 | 11155 | <0.01%* |
| ER visit | 2 | 1043 | 2,9-4,6% | 1 | 95 | 0 |
| Hospitalisering relateret til medicinsk abort | 3 | 14339 | 0,04-0,6% | 3 | 1286 | 0-0,7% |
| Infektion uden sepsis | 1 | 216 | 0 | 1 | 11155 | 0,2% |
| Blødning | Ingen. | Ingen. | Ingen. | 1 | 11155 | 0,1% |
| Ingen.= Not reported * Dette resultat repræsenterer en enkelt patient, der oplevede død relateret til sepsis. |
Oplevelse af postmarketing
Følgende bivirkninger er blevet identificeret under postapproval brug af mifeprex og misoprostol. Fordi disse reaktioner rapporteres frivilligt fra en population af usikker størrelse, er det ikke altid muligt at pålideligt estimere deres frekvens eller etablere et årsagsforhold til eksponering for lægemidler.
Infektioner og angreb: Post-abortal infektion (inklusive endometritis endomyometritis parametritis bækkeninfektion bækken inflammatorisk sygdom salpingitis)
Blod og lymfesystemforstyrrelser: Anæmi
Immunsystemforstyrrelser: Allergisk reaktion (inklusive anafylakse angioødemiske bikuber udslæt kløe)
Psykiatriske lidelser: angst
Hjerteforstyrrelser: Tachycardia (inklusive racerpuls hjerte hjertebanken Hjerte dunkende)
Vaskulære lidelser: Synkope besvimelse tab af bevidsthed Hypotension (inklusive ortostatisk) lyshoveder
Respiratorisk thorax- og mediastinal lidelser: åndenød
Gastrointestinale lidelser: dyspepsi
Muskuloskeletalt bindevæv og knoglerforstyrrelser: Rygsmerter leg smerte
Reproduktionssystem og brystforstyrrelser: Uterinbrud brudt ektopisk graviditet hæmatometra leukorrhea
Hvilken type stof er coumadin
Generelle lidelser og administrationsstedets forhold: smerte
Lægemiddelinteraktioner for Mifeprex
Lægemidler, der kan reducere eksponering for mifeprex (effekt af CYP 3A4 -inducere på MifePrex)
CYP450 3A4 er primært ansvarlig for metabolismen af mifepriston. CYP3A4 -inducere såsom rifampin dexamethason St. John's Wort og visse antikonvulsiva (såsom phenytoin -phenobarbital carbamazepin) kan inducere mifepristonmetabolisme (sænke serumkoncentrationer af mifepriston). Hvorvidt denne handling har indflydelse på effektiviteten af dosisregimet er ukendt. Se opfølgningsvurderingen [se Dosering og administration ] for at kontrollere, at behandlingen har været en succes.
Lægemidler, der kan øge Mifeprex -eksponeringen (effekt af CYP 3A4 -hæmmere på MifePrex)
Selvom specifikke lægemiddel- eller fødevareinteraktioner med mifepriston ikke er blevet undersøgt på basis af dette lægemiddel metabolisme af CYP 3A4, er det muligt, at ketoconazol itraconazol erythromycin og grapefrugtjuice kan hæmme dets stofskifte (stigende serumkoncentrationer af mifepriston). Mifeprex skal bruges med forsigtighed hos patienter i øjeblikket eller for nylig behandles med CYP 3A4 -hæmmere.
Effekter af mifeprex på andre lægemidler (effekt af Mifeprex på CYP 3A4 -underlag)
Baseret på In vitro Informationsinformation Samtidig indgivelse af mifepriston kan føre til en stigning i serumkoncentrationer af lægemidler, der er CYP 3A4 -substrater. På grund af den langsomme eliminering af mifepriston fra kroppen kan sådan interaktion observeres i en længere periode efter dens administration. Derfor bør der udvises forsigtighed, når mifepriston administreres med lægemidler, der er CYP 3A4 -underlag og har et smalt terapeutisk interval.
Advarsler for Mifeprex
Inkluderet som en del af 'FORHOLDSREGLER' Afsnit
Forholdsregler for Mifeprex
Infektion og sepsis
Som med andre typer aborttilfælde af alvorlig bakterieinfektion, herunder meget sjældne tilfælde af dødeligt septisk chok er rapporteret efter brugen af Mifeprex [se Bokset advarsel ]. Udbydere af sundhedsydelser, der vurderer en patient, der gennemgår en medicinsk abort, skal være opmærksom på muligheden for denne sjældne begivenhed. En vedvarende (> 4 timer) feber på 100,4 ° F eller højere alvorlig mavesmerter eller bækkenbekæmpelse i dagene efter en medicinsk abort kan være en indikation af infektion.
Et højt mistankeindeks er nødvendigt for at udelukke sepsis (f.eks. Fra Clostridium sordellii ) Hvis en patient rapporterer mavesmerter eller ubehag eller generel ubehag (inklusive svaghed kvalme opkast eller diarré) mere end 24 timer efter at have taget misoprostol. Der er rapporteret om meget sjældent dødsfald hos patienter, der præsenterede uden feber med eller uden mavesmerter, men med leukocytose med et markant venstre skift -takykardihemokoncentration og generel ubehag. Der er ikke etableret nogen årsagssammenhæng mellem Mifeprex og misoprostolbrug og en øget risiko for infektion eller død. Clostridium sordellii Der er også rapporteret om infektioner meget sjældent efter fødsel (vaginal levering og kejsersnit) og i andre gynækologiske og ikke-gynækologiske tilstande.
Uterin blødning
Uterinblødning forekommer hos næsten alle patienter under en medicinsk abort. Langvarig kraftig blødning (blødgøring gennem to tykke sanitære puder i fuld størrelse i timen i to på hinanden følgende timer) kan være et tegn på ufuldstændig abort eller andre komplikationer og hurtig medicinsk eller kirurgisk indgreb kan være nødvendigt for at forhindre udvikling af hypovolemisk chok. Rådgiver patienter til at søge øjeblikkelig lægehjælp, hvis de oplever langvarig tung vaginal blødning efter en medicinsk abort [se Bokset advarsel ].
Kvinder bør forvente at opleve vaginal blødning eller plettet i gennemsnit 9 til 16 dage. Kvinder rapporterer, at der oplever kraftig blødning i en median varighed på 2 dage. Op til 8% af alle forsøgspersoner kan opleve en form for blødning i 30 dage eller mere. Generelt steg varigheden af blødning og plet, efterhånden som graviditetens varighed steg.
Fald i hæmoglobinkoncentration Hematokrit og antallet af røde blodlegemer kan forekomme hos patienter, der bløder kraftigt.
Overdreven livmoderblødning kræver normalt behandling af uterotonics vasokonstriktor medikamenter kirurgisk livmodervakueringsadministration af saltinfusioner og/eller blodtransfusioner. Baseret på data fra adskillige store kliniske forsøg blev vasokonstriktor -lægemidler anvendt i 4,3% af alle forsøgspersoner, der var et fald i hæmoglobin på mere end 2 g/dL hos 5,5% af forsøgspersoner, og blodtransfusioner blev administreret til ≤ 0,1% af individerne. Fordi kraftig blødning, der kræver kirurgisk evakuering af livmoderen, forekommer hos ca. 1% af patienterne, bør der gives speciel pleje til patienter med hæmostatiske lidelser hypocoagulabilitet eller alvorlig anæmi.
Mifepristone REMS -program
Mifeprex is available only through a restricted program under a REMS called the mifepristone REMS Program because of the risks of serious complications [see Infektion og sepsis Uterin blødning ].
Bemærkelsesværdige krav fra Mifepristone REMS -programmet inkluderer følgende:
- Rekressører skal certificeres med programmet ved at udfylde formularen til formen.
- Patienter skal underskrive en form for patientaftale.
- Mifeprex must only be dispensed to patients by or under the supervision of a certified prescriber or by certified pharmacies on prescriptions issued by certified prescribers.
Yderligere information er tilgængelig på 1-877-4 tidlig mulighed (1-877-432-7596).
Ektopisk graviditet
Mifeprex is contraindicated in patients with a confirmed or suspected ectopic pregnancy because Mifeprex is not effective for terminating ectopic pregnancies [see Kontraindikationer ]. Healthcare providers should remain alert to the possibility that a patient who is undergoing a medical abortion could have an undiagnosed ectopic pregnancy because some of the expected symptoms experienced with a medical abortion (abdominal smerte uterine bleeding) may be similar to those of a ruptured ectopic pregnancy. The presence of an ectopic pregnancy may have been missed even if the patient underwent ultrasonography prior to being prescribed Mifeprex.
Patienter, der blev gravide med en IUD på plads, skal vurderes for ektopisk graviditet.
Rhesus immunisering
Anvendelsen af Mifeprex antages at kræve de samme forebyggende foranstaltninger som dem, der blev truffet før og under kirurgisk abort for at forhindre rhesus -immunisering.
Oplysninger om patientrådgivning
Rådgiv patienten om at læse den FDA-godkendte patientmærkning ( Medicin vejledning ) inkluderet i hver pakke Mifeprex. Yderligere kopier af Medicin vejledning er tilgængelige ved at kontakte Danco Laboratories på 1-877-4 Tidlig mulighed (1-877-432-7596) eller fra www.earlyoptionpill.com .
Alvorlige infektioner og blødning
- Informer patienten om, at livmoderblødning og krampe i livmoderen vil forekomme [se ADVARSELS AND FORHOLDSREGLER ].
- Rådgive patienten, at alvorlige og til tider dødelige infektioner og blødning kan forekomme meget sjældent [se ADVARSELS AND FORHOLDSREGLER ].
- Mifeprex is only available through a restricted program called the Mifepristone REMS -program [see ADVARSELS AND FORHOLDSREGLER ]. Under the mifepristone REMS Program:
- Patienter skal underskrive en form for patientaftale.
- Mifeprex is only dispensed by or under the supervision of certified prescribers or by certified pharmacies on prescriptions issued by certified prescribers.
Udbyderkontakter og handlinger i tilfælde af komplikationer
- Sørg for, at patienten ved, hvem de skal ringe, og hvad de skal gøre, herunder at gå til et alarmrum, hvis ingen af de medfølgende kontakter kan nås, eller hvis patienten oplever komplikationer, herunder langvarig kraftig blødning alvorlig mavesmerter eller vedvarende feber [se Bokset advarsel ].
Overholdelse af behandlingsplan og opfølgningsvurdering
- Rådgiv patienten om, at det er nødvendigt at gennemføre behandlingsplanen inklusive en opfølgningsvurdering ca. 7 til 14 dage efter at have taget Mifeprex [se Dosering og administration ].
- Forklar det
- Langvarig tung vaginal blødning er ikke et bevis på en fuldstændig abort
- Hvis behandlingen mislykkes, og graviditeten fortsætter risikoen for, at føtal misdannelse er ukendt
- Det anbefales, at løbende graviditet styres ved kirurgisk opsigelse [se Dosering og administration ]. Advise the patient whether you will provide such care or will refer them to another provider.
Efterfølgende fertilitet
- Informer patienten om, at en anden graviditet kan forekomme efter medicinsk abort og inden genoptagelse af normale menstruation.
- Informer patienten om, at prævention kan initieres, så snart graviditetsudvisning er blevet bekræftet eller før genoptagelse af seksuel omgang.
Ikke -klinisk toksikologi
Karcinogenese mutagenese nedskrivning af fertilitet
Carcinogenese
Der er ikke udført nogen langtidsundersøgelser til evaluering af det kræftfremkaldende potentiale af mifepriston.
Mutagenese
Resultater fra undersøgte undersøgelser In vitro og in animals have revealed no genotoxic potential for mifepristone. Among the tests carried out were: Ames test with og without metabolic activation; gene conversion test in Saccharomyces cerevisiae D4 -celler; Fremadsmutation i Schizosaccharomyces pumpe P1 -celler; Induktion af ikke -planlagt DNA -syntese i dyrkede HeLa -celler; Induktion af kromosomafvigelser i CHO -celler; In vitro test for genmutation i V79 kinesiske hamster lungeceller; og Micronucleus -test hos mus.
Værdiforringelse af fertiliteten
I rotter administration af 0,3 mg/kg mifepriston om dagen forårsagede alvorlig forstyrrelse af østruscyklusserne i de tre uger i behandlingsperioden. Efter genoptagelse af estruscyklusdyrene blev parret, og der blev ikke observeret nogen effekter på reproduktiv ydeevne.
Brug i specifikke populationer
Graviditet
Risikooversigt
Mifeprex er indikeret i et regime med misoprostol til medicinsk afslutning af intrauterin graviditet gennem 70 dage drægtighed. Risks to pregnant patients are discussed throughout the labeling.
Se misoprostolmærkning for risici for gravide patienter med brug af misoprostol.
Risikoen for ugunstige udviklingsresultater med en fortsat graviditet efter en mislykket graviditetsafslutning med Mifeprex i et regime med misoprostol er ukendt; Imidlertid kan processen med en mislykket graviditetsafslutning forstyrre den normale embryo-føtaludvikling og resultere i ugunstige udviklingseffekter. Fødselsdefekter er rapporteret med en fortsat graviditet efter en mislykket graviditetsafslutning med Mifeprex i et regime med misoprostol. I dyreproduktionsundersøgelser blev der observeret forøgede fostertab hos musrotter, og kaniner og kraniet deformiteter blev observeret hos kaniner med administration af mifepriston ved doser lavere end det menneskelige eksponeringsniveau baseret på kropsoverfladeareal.
Data
Dyredata
I teratologiske undersøgelser hos mus rotter og kaniner i doser på 0,25 til 4,0 mg/kg (mindre end 1/100 til ca. 1/3 var den menneskelige eksponering baseret på kropsoverfladeareal) på grund af antiprogestationsaktiviteten af mifepristonfetale tab meget højere end i kontroldyr. Skulldeformiteter blev påvist i kaninundersøgelser ved ca. 1/6 den humane eksponering, selvom der ikke er observeret nogen teratogene virkninger af mifepriston til dato hos rotter eller mus. Disse deformiteter skyldtes sandsynligvis de mekaniske virkninger af uteruskontraktioner, der skyldes hæmning af progesteron -virkning.
Amning
Mifeprex is present in human milk. Limited data demonstrate undetectable to low levels of the drug in human milk with the relative (weight-adjusted) infant dose 0.5% or less as compared to maternal dosing. There is no information on the effects of Mifeprex in a regimen with misoprostol in a breastfed infant or on milk production. Refer to misoprostol labeling for lactation information with the use of misoprostol. The developmental og health benefits of breast-feeding should be considered along with any potential adverse effects on the breast-fed child from Mifeprex in a regimen with misoprostol.
Pædiatrisk brug
Sikkerhed og effektivitet af Mifeprex er blevet etableret hos gravide kvinder. Data fra en klinisk undersøgelse af MifePrex, der omfattede en undergruppe af 322 hunner under 17 år, demonstrerede en sikkerheds- og effektivitetsprofil svarende til den, der blev observeret hos voksne.
Oplysninger om overdosering til MifePrex
Der blev ikke rapporteret om alvorlige bivirkninger i toleranceundersøgelser i sunde ikke-gravide kvindelige og sunde mandlige forsøgspersoner, hvor mifepriston blev administreret i enkeltdoser større end 1800 mg (ni gange den anbefalede dosis til medicinsk abort). Hvis en patient indtager en massiv overdosis, skal patienten observeres nøje for tegn på binyresvigt.
Kontraindikationer for Mifeprex
- Administration af Mifeprex og Misoprostol til afslutning af graviditet (behandlingsproceduren) er kontraindiceret hos patienter med nogen af følgende betingelser:
- Bekræftet eller mistænkt ektopisk graviditet eller udiagnostiseret adnexal masse (behandlingsproceduren vil ikke være effektiv til at afslutte en ektopisk graviditet) [se ADVARSELS AND FORHOLDSREGLER ]
- Kronisk binyresvigt (risiko for akut binyreinsufficiens)
- Samtidig langvarig kortikosteroidbehandling (risiko for akut binyreinsufficiens)
- Historie om allergi mod mifepriston misoprostol eller andre prostaglandiner (allergiske reaktioner inklusive anafylaxis angioødemaudslæt bikuber og kløe er rapporteret [se Bivirkninger ])
- Hæmoragiske lidelser eller samtidig antikoagulantbehandling (risiko for kraftig blødning)
- Arvede porphyrias (risiko for forværring eller nedbør af angreb)
- Brug af mifeprex og misoprostol til afslutning af intrauterin graviditet er kontraindiceret hos patienter med en intrauterin enhed (IUD) på plads (IUD kan forstyrre graviditetsafslutning). Hvis IUD fjernes, kan mifeprex bruges.
Klinisk farmakologi for Mifeprex
Handlingsmekanisme
Den anti-progestationelle aktivitet af mifepriston er resultatet af konkurrencedygtig interaktion med progesteron på progesteron-receptorsteder. Baseret på undersøgelser med forskellige orale doser i adskillige dyrearter (mus rotte -kanin og abe) hæmmer forbindelsen aktiviteten af endogen eller eksogen progesteron, hvilket resulterer i effekter på livmoderen og livmoderhalsen, som når det kombineres med misoprostol resulterer i afslutning af en intrauterin graviditet.
Under graviditeten sensibiliserer den sammensatte myometrium til den sammentrækningsinducerende aktivitet af prostaglandiner.
Farmakodynamik
Brug af Mifeprex i et regime med misoprostol forstyrrer graviditeten ved at forårsage deciduel nekrose myometriale sammentrækninger og cervikal blødgøring, hvilket fører til udvisning af befrugtningsprodukterne.
Doser på 1 mg/kg eller større af mifepriston har vist sig at modvirke de endometriale og myometriale virkninger af progesteron hos kvinder.
Antiglucocorticoid og antiandrogen aktivitet: mifepriston udviser også antiglucocorticoid og svag antiandrogen aktivitet. Aktiviteten af glukokortikoid dexamethason hos rotter blev inhiberet efter doser på 10 til 25 mg/kg mifepriston. Doser på 4,5 mg/kg eller mere hos mennesker resulterede i en kompenserende forhøjelse af adrenocorticotropic hormon (ACTH) og cortisol. Antiandrogen aktivitet blev observeret hos rotter efter gentagen administration af doser fra 10 til 100 mg/kg.
Farmakokinetik
Mifepriston absorberes hurtigt efter oral indtagelse med ikke-lineær farmakokinetik for Cmax efter enkelt orale doser på 200 mg og 600 mg hos raske forsøgspersoner.
Absorption
Den absolutte biotilgængelighed af en 20 mg mifepriston oral dosis hos kvinder i den fødedygtige alder er 69%. Efter oral administration af en enkelt dosis på 600 mg mifepriston absorberes hurtigt med en maksimal plasmakoncentration på 1,98 ± 1,0 mg/l, der forekommer ca. 90 minutter efter indtagelse.
Efter oral administration af en enkelt dosis på 200 mg hos raske mænd (n = 8) var gennemsnitlig Cmax 1,77 ± 0,7 mg/l forekommer ca. 45 minutter efter indtagelse. Gennemsnitlig AUC0-∞ var 25,8 ± 6,2 mg*HR/L.
Fordeling
Mifepriston er 98% bundet til plasmaproteiner albumin og α1-syre glycoprotein. Binding til sidstnævnte protein er mætteligt, og lægemidlet viser ikke -lineær kinetik med hensyn til plasmakoncentration og clearance.
Eliminering
Efter en distributionsfase er eliminering af mifepriston langsomt i starten (50% elimineret mellem 12 og 72 timer) og bliver derefter hurtigere med en terminal eliminering halveringstid på 18 timer.
Metabolisme
Metabolisme of mifepristone is primarily via pathways involving N-demethylation og terminal hydroxylation of the 17-propynyl chain. In vitro Undersøgelser har vist, at CYP450 3A4 primært er ansvarlig for stofskiftet. De tre vigtigste metabolitter, der er identificeret hos mennesker, er: (1) Ru 42 633, der er mest fundet i plasma, er den N-monodemethylerede metabolit; (2) Ru 42 848, der er resultatet af tabet af to methylgrupper fra 4-dimethylaminophenyl i position 11ß; og (3) Ru 42 698, der er resultatet af terminal hydroxylering af 17-propynylkæden.
Udskillelse
Efter 11 dage efter en 600 mg dosis af tritieret sammensætning er 83% af lægemidlet blevet redegjort for af fæces og 9% af urinen. Serumkoncentrationer kan ikke påvises med 11 dage.
Specifikke populationer
Virkningerne af alderslevesygdom og nyresygdom på sikkerhedseffektiviteten og farmakokinetikken af mifepriston er ikke undersøgt.
Kliniske studier
Sikkerheds- og effektivitetsdata fra kliniske undersøgelser af mifepriston 200 mg oralt fulgt 24-48 timer senere af misoprostol 800 mcg buccally gennem 70 dage drægtighed rapporteres nedenfor. Succes blev defineret som den komplette udvisning af befrugtningsprodukterne uden behov for kirurgisk indgriben. De samlede priser for succes og fiasko vist af grund til fiasko baseret på 22 verdensomspændende kliniske studier (inklusive 7 amerikanske studier) vises i tabel 3.
Demografien hos kvinder, der deltog i de amerikanske kliniske studier, varierede afhængigt af undersøgelsesstedet og repræsenterer den racemæssige og etniske række amerikanske kvinder. Kvinder i alle reproduktionsalder blev repræsenteret, herunder hunner under 18 år og mere end 40 år; De fleste var 27 år eller yngre.
Tabel 3
Resultat efter behandling med mifepriston (oral) og misoprostol (buccal) gennem 70 dage drægtighed
| LUS. Trials | Ikke-USA. Trials | |
| N | 16794 | 18425 |
| Komplet medicinsk abort | 97,4% | 96,2% |
| Kirurgisk indgriben* | 2,6% | 3,8% |
| Løbende graviditet ** | 0,7% | 0,9% |
| * Årsager til kirurgisk indgriben inkluderer løbende graviditetsmedicinsk nødvendighed vedvarende eller kraftig blødning efter behandling af patientens anmodning eller ufuldstændig udvisning. ** Løbende graviditet er en underkategori af kirurgisk intervention, der indikerer procentdelen af kvinder, der har kirurgisk indgriben på grund af en løbende graviditet. |
Resultaterne for kliniske studier, der rapporterede resultater, herunder svigtfrekvenser for løbende graviditet ved svangerskabsalder, er vist i tabel 4.
Tabel 4
Resultat af svangerskabsalder efter behandling med mifepriston og misoprostol (buccal) for U.S. og ikke-U.S. Kliniske studier
| <49 days | 50-56 dage | 57-63 dage | 64-70 dage | |||||||||
| N | % | Antal evaluable undersøgelser | N | % | Antal evaluable undersøgelser | N | % | Antal evaluable undersøgelser | N | % | Antal evaluable undersøgelser | |
| Komplet medicinsk abort | 12046 | 98.1 | 10 | 3941 | 96.8 | 7 | 2294 | 94.7 | 9 | 479 | 92.7 | 4 |
| Kirurgisk indgriben til løbende graviditet | 10272 | 0.3 | 6 | 3788 | 0.8 | 6 | 2211 | 2 | 8 | 453 | 3.1 | 3 |
En klinisk undersøgelse bad personer gennem 70 dage drægtighed om at estimere, hvornår de udviste graviditeten med 70%, der leverede data. Af disse 23-38% rapporterede udvisning inden for 3 timer og over 90% inden for 24 timer efter anvendelse af misoprostol.
Patientinformation til Mifeprex
Mifeprex
(Mif-Eh-Pex)
(mifepristone) tabletter til oral brug
Læs disse oplysninger omhyggeligt, før du tager Mifeprex og Misoprostol. Det vil hjælpe dig med at forstå, hvordan behandlingen fungerer. Denne medicinguide indtager ikke stedet for at tale med din sundhedsudbyder.
Hvad er de vigtigste oplysninger, jeg skal vide om Mifeprex?
Hvilke symptomer skal jeg være bekymret for? Selvom kramper og blødning er en forventet del af at afslutte en graviditet, der sjældent er alvorlig og potentielt livstruende blødningsinfektioner eller andre problemer, kan forekomme efter en spontanabort kirurgisk abort medicinsk abort eller fødsel. Det er nødvendigt at søge lægehjælp så hurtigt som muligt under disse omstændigheder. Alvorlig infektion har resulteret i død i et meget lille antal tilfælde. Der er ingen oplysninger om, at brugen af Mifeprex og Misoprostol forårsagede disse dødsfald. Hvis du har spørgsmål om bekymringer eller problemer, eller hvis du er bekymret for bivirkninger eller symptomer, skal du kontakte din sundhedsudbyder. Du kan nedskrive din sundhedsudbyders telefonnummer her ________________________.
Sørg for at kontakte din sundhedsudbyder straks, hvis du har noget af følgende:
- Kraftig blødning. Kontakt din sundhedsudbyder med det samme, hvis du bløder nok til at suge gennem to tykke sanitære puder i fuld størrelse i timen i to på hinanden følgende timer, eller hvis du er bekymret for kraftig blødning. I ca. 1 ud af 100 kvinder kan blødning være så tung, at det kræver en kirurgisk procedure (kirurgisk aspiration eller D
- Mavesmerter eller føler sig syg. Hvis du har mavesmerter eller ubehag, eller du føler dig syg inklusive svaghed kvalme opkast eller diarré med eller uden feber mere end 24 timer efter at have taget misoprostol, skal du kontakte din sundhedsudbyder uden forsinkelse. Disse symptomer kan være et tegn på en alvorlig infektion eller et andet problem (inklusive en ektopisk graviditet en graviditet uden for livmoderen).
- Feber. I dagene efter behandling, hvis du har en feber på 100,4 ° F eller højere, der varer i mere end 4 timer, skal du kontakte din sundhedsudbyder med det samme. Feber kan være et symptom på en alvorlig infektion eller et andet problem.
Hvis du ikke kan nå din sundhedsudbyder, skal du gå til det nærmeste akut i hospitalet.
Hvad skal man gøre, hvis du stadig er gravid efter Mifeprex med misoprostolbehandling. Hvis du stadig er gravid, vil din sundhedsudbyder tale med dig om en kirurgisk procedure for at afslutte din graviditet. I mange tilfælde kan denne kirurgiske procedure udføres på kontoret/klinikken. Risikoen for fødselsdefekter, hvis graviditeten ikke er afsluttet, er ukendt.
Tal med din sundhedsudbyder. Før du tager MifePrex, skal du læse denne medicinvejledning, og du og din sundhedsudbyder skal diskutere fordelene og risiciene ved at bruge MifePrex.
Hvad er Mifeprex?
Mifeprex is used in a regimen with another prescription medicine called misoprostol to end an early pregnancy. Tidlig graviditet betyder, at det er 70 dage (10 uger) eller mindre, siden din sidste menstruationsperiode begyndte. Mifeprex er ikke godkendt til at afslutte graviditeter, der er længere sammen. Mifeprex blokerer et hormon, der er nødvendigt for din graviditet at fortsætte. Når du bruger Mifeprex på dag 1, skal du også tage en anden medicin kaldet misoprostol 24 til 48 timer efter, at du har taget Mifeprex for at få graviditeten til at blive passeret fra din livmoder.
Graviditeten vil sandsynligvis blive passeret fra din livmoder inden for 2 til 24 timer efter at have taget Mifeprex og Misoprostol. Når graviditeten overføres fra livmoderen, har du blødning og krampe, der sandsynligvis vil være tungere end din sædvanlige periode. Cirka 2 til 7 ud af 100 kvinder, der tager Mifeprex, har brug for en kirurgisk procedure, fordi graviditeten ikke gik helt fra livmoderen eller for at stoppe blødningen.
Hvem skal ikke tage Mifeprex?
Nogle patienter bør ikke tage Mifeprex. Tag ikke mifeprex, hvis du:
- Har en graviditet, der er mere end 70 dage (10 uger). Din sundhedsudbyder kan muligvis foretage en klinisk undersøgelse en ultralydundersøgelse eller anden test for at bestemme, hvor langt du er under graviditet.
- Bruger en IUD (intrauterin enhed eller system). Det skal tages ud, før du tager Mifeprex.
- Har fået at vide af din sundhedsudbyder, at du har en graviditet uden for livmoderen (ektopisk graviditet).
- Har problemer med dine binyrerne (kronisk binyresvigt ).
- Tag en medicin for at tynde dit blod.
- Har et blødningsproblem.
- Har porphyria.
- Tag visse steroidmedicin.
- Er allergiske over for mifepriston misoprostol eller medicin, der indeholder misoprostol, såsom cytotec eller arthrotec.
Spørg din sundhedsudbyder, om du ikke er sikker på alle dine medicinske tilstande, før du tager denne medicin for at finde ud af, om du kan tage Mifeprex.
Hvad skal jeg fortælle min sundhedsudbyder, før jeg tager Mifeprex?
Før du tager MifePrex, fortæl din sundhedsudbyder, hvis du:
- Kan ikke følge op inden for cirka 7 til 14 dage efter dit første besøg
- er amning. Mifeprex kan passere ind i din modermælk. Effekten af Mifeprex og Misoprostol -regimet på det ammede spædbarn eller på mælkeproduktionen er ukendt.
- tager medicin, herunder receptpligtig medicin og medicinsk vitaminer og urtetilskud.
Mifeprex og certain other medicines may affect each other if they are used together. This can cause side effects.
Hvordan skal jeg tage Mifeprex?
- Mifeprex will be given to you by a healthcare provider or pharmacy.
- Du og din sundhedsudbyder planlægger det mest passende sted for dig at tage misoprostol, fordi det kan forårsage blødende kramper kvalme diarré og andre symptomer, der normalt begynder inden for 2 til 24 timer efter at have taget den.
- De fleste kvinder passerer graviditeten inden for 2 til 24 timer efter at have taget misoprostol -tabletterne.
Følg instruktionen nedenfor om, hvordan man tager Mifeprex og Misoprostol:
Mifeprex (1 tablet) orally + misoprostol (4 tablets) buccally
Dag 1:
Vyleesi anmeldelser
- Tag 1 Mifeprex -tablet via munden.
24 til 48 timer efter at have taget Mifeprex:
- Tag 4 misoprostol -tabletter ved at placere 2 tabletter i hver kindpose (området mellem dine tænder og kind - se Figur a ) i 30 minutter og sluge derefter alt, hvad der er tilbage med en drink vand eller en anden væske.
- Medicinerne fungerer måske ikke så godt, hvis du tager misoprostol før 24 timer efter Mifeprex eller senere end 48 timer efter Mifeprex.
- Misoprostol forårsager ofte kramper kvalme diarré og andre symptomer. Din sundhedsudbyder kan muligvis sende dig hjem med medicin til disse symptomer.
|
Figur a (2 tabletter mellem din venstre kind og tyggegummi og 2 tabletter mellem din højre kind og tyggegummi).
Opfølgningsvurdering på dag 7 til 14:
- Denne opfølgningsvurdering er meget vigtig. Du skal følge op med din sundhedsudbyder ca. 7 til 14 dage efter, at du har taget Mifeprex for at være sikker på, at du har det godt, og at du har haft blødning, og graviditeten er gået fra din livmoder.
- Din sundhedsudbyder vurderer, om din graviditet er gået fra din livmoder. Hvis din graviditet fortsætter chancen for, at der kan være fødselsdefekter, er ukendt. Hvis du stadig er gravid, vil din sundhedsudbyder tale med dig om en kirurgisk procedure for at afslutte din graviditet.
- Hvis din graviditet er afsluttet, men endnu ikke er gået helt fra din livmoder, vil din udbyder tale med dig om andre valg, du har, herunder at vente med at tage en anden dosis misoprostol eller have en kirurgisk procedure for at tømme din livmoder.
Hvornår skal jeg begynde prævention?
Du kan blive gravid igen lige efter din graviditet er afsluttet. Hvis du ikke ønsker at blive gravid igen, skal du begynde at bruge prævention, så snart din graviditet slutter, eller inden du begynder at have samleje igen.
Hvad skal jeg undgå, mens jeg tager Mifeprex og Misoprostol?
Tag ikke nogen anden receptpligtig medicin eller medicinske medicin (inklusive urtemediciner eller kosttilskud) på ethvert tidspunkt i behandlingsperioden uden først at spørge din sundhedsudbyder om dem, fordi de kan forstyrre behandlingen. Spørg din sundhedsudbyder om, hvilke medicin du kan tage for smerter og andre bivirkninger.
Hvad er de mulige bivirkninger af Mifeprex og Misoprostol?
Mifeprex may cause serious side effects. See Hvad er de vigtigste oplysninger, jeg skal vide om Mifeprex?
Krampe og blødning. Krampe og vaginal blødning forventes med denne behandling. Normalt betyder disse symptomer, at behandlingen fungerer. Men nogle gange kan du få krampe og blødning og stadig være gravid. Derfor skal du følge op med din sundhedsudbyder ca. 7 til 14 dage efter at have taget Mifeprex. Se hvordan skal jeg tage Mifeprex? For mere information om din opfølgningsvurdering. Hvis du ikke allerede bløder efter at have taget Mifeprex, vil du sandsynligvis begynde at blø, når du tager misoprostol den medicin, du tager 24 til 48 timer efter Mifeprex. Blødning eller spotting kan forventes i gennemsnit 9 til 16 dage og kan vare i op til 30 dage. Din blødning kan svare til eller større end en normal tung periode. Du kan se blodpropper og væv. Dette er en forventet del af at passere graviditeten.
De mest almindelige bivirkninger af Mifeprex -behandling inkluderer: kvalme svage feber/kulderystelser opkast hovedpine diarré og svimmelhed. Din udbyder fortæller dig, hvordan du håndterer smerter eller andre bivirkninger. Dette er ikke alle de mulige bivirkninger af MifePrex.
Ring til din sundhedsudbyder for medicinsk rådgivning om alle bivirkninger, der generer dig eller ikke går væk. Du kan rapportere bivirkninger til FDA på 1-800-FDA-1088.
Generel information om den sikre og effektive brug af Mifeprex.
Medicin er undertiden ordineret til andre formål end dem, der er anført i en medicinguide. Denne medicinguide opsummerer de vigtigste oplysninger om Mifeprex. Hvis du gerne vil have flere oplysninger, skal du tale med din sundhedsudbyder. Du kan bede din sundhedsudbyder om information om Mifeprex, der er skrevet til sundhedspersonale.
For mere information om MifePrex, gå til www.earlyptionpill.com eller ring 1-877-4 Tidlig mulighed (1-877-432-7596).
Denne medicinguide er godkendt af U.S. Food and Drug Administration.