Oplysningerne På Webstedet Er Ikke Medicinsk Rådgivning. Vi Sælger Ikke Noget. Nøjagtigheden Af Oversættelsen Er Ikke Garanteret. Ansvarsfraskrivelse
Lokale anæstetika, amiderPossimir
Resume af lægemiddeloversigt
Hvad er Posimir?
Posimir (Bupivacaine-opløsning) indeholder en amid lokalbedøvelse og er indikeret hos voksne til administration i det subakromiale rum under direkte arthroscopic visualisering til at producere postkirurgisk analgesi i op til 72 timer efter arthroskopisk subakromial decompression.
Hvad er bivirkninger af Posimir?
Bivirkninger af posimir inkluderer:
- svimmelhed
- Ændringer i smag
- Smerter eller ubehag ved vandladning
- hovedpine
- følelsesløshed
- prikken
- ringer i ørerne ( ringer )
- kvalme
- opkast
- Anæmi
- langsom hjerterytme
- forstoppelse
- Forøget C-reaktivt protein
- diarre
- post proceduremæssig blå mærker
- proceduremæssig smerte
- kløe
- feber
- døsighed og
- Kirurgisk blødning i stedet
Søg medicinsk behandling eller ring 911 på én gang, hvis du har følgende alvorlige bivirkninger:
- Alvorlige øjensymptomer såsom pludseligt synstab sløret synet tunnel vision øje smerter eller hævelse eller at se haloer omkring lys;
- Alvorlige hjertesymptomer såsom hurtig uregelmæssige eller bankende hjerteslag; flagrende i brystet; åndenød; og pludselig svimmelhed lethed eller udlevering;
- Alvorlig hovedpine forvirring sløret talearm eller ben svaghed problemer med at gå tab af koordination føles ustabil meget stive muskler høj feber voldsom sved eller rysten.
Dette dokument indeholder ikke alle mulige bivirkninger, og andre kan forekomme. Kontakt din læge for yderligere oplysninger om bivirkninger.
Dosering til posimir
Den anbefalede dosis af posimir er 660 mg (5 ml).
Posimir hos børn
Sikkerhed og effektivitet af posimir hos pædiatriske patienter under 18 år er ikke blevet fastlagt.
Hvilke stoffer stoffer eller kosttilskud interagerer med Posimir?
Posimir kan interagere med andre medicin såsom:
- Lokale anæstetika
- nitrater/nitriter
- Antineoplastisk agenter
- Antibiotika
- Antimalarials
- Anticonvulsiva
- Acetaminophen
- metoclopramid
- kinin og
- sulfasalazin
Fortæl din læge alle medicin og kosttilskud, du bruger.
Posimir under graviditet og amning
Fortæl din læge, hvis du er gravid eller planlægger at blive gravid, før du bruger Posimir; Det er ukendt, hvordan det ville påvirke et foster. Både Posimir- og benzylalkohol (en inaktiv ingrediens i Posimir) er rapporteret at passere i modermælk. Kontakt din læge inden amning.
Yderligere oplysninger
Vores Posimir (Bupivacaine -løsning) til infiltration bruger bivirkninger Drug Center giver et omfattende overblik over tilgængelige lægemiddelinformation om de potentielle bivirkninger, når du tager denne medicin.
Dette er ikke en komplet liste over bivirkninger, og andre kan forekomme. Ring til din læge for medicinsk rådgivning om bivirkninger. Du kan rapportere bivirkninger til FDA på 1-800-FDA-1088.
FDA -lægemiddelinformation
- Lægemiddelbeskrivelse
- Indikationer
- Bivirkninger
- Lægemiddelinteraktioner
- Advarsler
- Overdosis
- Klinisk farmakologi
- Medicin vejledning
ADVARSEL
Risiko for potentielle negative emboliske effekter, der er resultatet af utilsigtet intravascaulær injektion
- Utilsigtet intravaskulær injektion kan forårsage, at posimir -dråber deponeres i lunge- og andre kapillærbed. Administrer posimir i det subakromiale rum i slutningen af arthroscopic skulderkirurgi. Direkte artroskopisk visualisering skal bruges til at bekræfte korrekt placering af nålspidsen, før den injicerer Posimir. [Se advarsler og forholdsregler].
Beskrivelse for Posimir
Posimir (Bupivacaine -opløsning) er en steril ikke -pyrogen klar lys gul til ravopløsning til infiltration. Over tid intensiveres løsningsfarven inden for rækkevidden fra lysegul til rav. Color -sortimentet er ikke forbundet med en ændring i styrke af lægemiddelproduktet. Posimir indeholder bupivacaine (132 mg/ml) benzylalkohol og saccharose acetat isobutyrat.
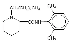
Bupivacaine En lokalbedøvelse af amid-type er 1-butyl-N- (26-dimethylphenyl) -2-piperidinecarboxamid. Det er et hvidt krystallinsk pulver med en molekylvægt på 288,43 g/mol. Strukturen af bupivacaine er vist nedenfor:
|
Bupivacaine er til stede i Posimir i en koncentration på 132 mg/ml.
Anvendelser til Posimir
Posimir er indikeret hos voksne til administration i det subakromiale rum under direkte arthroskopisk visualisering for at producere postkirurgisk analgesi i op til 72 timer efter arthroscopic subacromial dekomprimering.
Begrænsninger af brug
Sikkerhed og effektivitet er ikke blevet fastlagt i andre kirurgiske procedurer, herunder kirurgiske procedurer med blødt væv, andre ortopædiske procedurer, herunder til intraartikulær administration og boney-procedurer, eller når de bruges til neuraksiale eller perifere nerveblokade.
Dosering til posimir
Vigtige doserings- og administrationsoplysninger
- Posimir er kun beregnet til single-dosis administration.
- Fortynd eller bland ikke posimir med lokalbedøvelsesmidler eller andre lægemidler eller fortyndingsmidler.
- Da der er en potentiel risiko for alvorlige livstruende bivirkninger, der er forbundet med administrationen af bupivacaine-posimir, skal administreres i en indstilling, hvor uddannet personale og udstyr er tilgængeligt til straks at behandle patienter, der viser bevis for neurologisk eller hjerte-toksicitet.
- Forskellige formuleringer af bupivacaine er ikke bioækvivalent til posimir, selvom doseringen af milligram er den samme. Det er ikke muligt at konvertere dosering fra andre formuleringer af bupivacaine til posimir og vice versa. Erstatte ikke.
- De toksiske virkninger af lokalbedøvelse er additive. Undgå yderligere anvendelse af lokalbedøvelse inden for 168 timer efter administration af Posimir.
- Undgå intra vaskulær administration af posimir. Kvulteringer og hjertestop har fundet sted efter utilsigtet intra vaskulær injektion af bupivacain og andre amidholdige produkter.
- Posimir er ikke indikeret til følgende administrationsveje.
- Epidural
- Intratecal
- Gå ind i vaskulær
- Intra-artikulær brug [se Ikke -klinisk toksikologi ]
- Regionale nerveblokke
- Pre-incisional eller pre-Procedural Locoregional Anæstetiksteknikker, der kræver dyb og komplet sensorisk blok inden for administrationsområdet.
Anbefalet dosis
Den anbefalede dosis af posimir er 660 mg (5 ml).
Forberedelsesadministration og doseringsinstruktioner
- Posimir er klar til brug og kræver ikke fortynding eller blanding.
- Før administration trækker Posimir op i en 5 ml sprøjte ved hjælp af en stor boringsnål (16 gauge eller større). Når sprøjten er blevet fyldt, skal du kaste den store boringsnål.
- Ved afslutningen af operationen administrerer hele 5 ml dosis af posimir i det subakromiale rum ved hjælp af en 18 gauge eller større-bore nål. Nålen kan indsættes gennem en eksisterende arthroscopic port eller gennem intakt hud for at nå det subakromiale rum. Bekræft korrekt placering af nålspidsen i det subakromiale rum ved direkte arthroscopic visualisering.
- Administrer ikke posimir i det glenohumerale intraartikulære rum.
Overvejelser af kompatibilitet
Posimir er kompatibel med:
- Almindeligt implanterbare materialer såsom polypropylen og polyester
- Silke nylon tarm polypropylen polydioxanon og polyglykolsyresuturer
Hvor leveret
Doseringsformularer og styrker
Posimir (Bupivacaine -opløsning) er en steril ikke -pyrogen klar lys gul til ravopløsning i et klart glashætteglas.
- 5 ml enkeltdosis hætteglas: 660 mg/5 ml (132 mg/ml)
Opbevaring og håndtering
Possimir (Bupivacaine-løsning) fås i hætteglas med enkelt dosis. Det er en steril ikke -pyrogen klar lysegul til ravopløsning i glashætteglas.
5 ml enkeltdosis hætteglas 660 mg/5 ml (132 mg/ml) pakket i en 10-enheds karton ( NDC 51715-660-10)
Opbevaring
Possimir Hætteglas skal opbevares ved en kontrolleret stuetemperatur på 20 ° C til 25 ° C (68 ° F til 77 ° F) udflugter, der er tilladt til 15 ° C til 30 ° C (59 ° F til 86 ° F). [Se USP -kontrolleret stuetemperatur]. Hætteglas skal beskyttes mod lys og tilbageholdes i karton indtil brugstidspunktet.
Håndtering
- Administrer ikke nogen løsning, der indeholder partikler.
- Må ikke autoklave.
- Fortynd ikke.
- Kasser enhver ubrugt del på en passende måde.
| NDC No. | Beholder | Størrelse | Mængde |
| NDC | Enkeltdosis hætteglas | 5 ml | Kasse med 10 |
Distribueret af Innocoll Pharmaceuticals Limited Athlone Ireland N37 VW42. Revideret: Feb 2022.
Bivirkninger for Possimir
Følgende bivirkninger på bupivacaine -hydrochlorid er beskrevet i andre sektioner af den ordinerende information:
- Systemisk toksicitet med intravaskulær injektion [se ADVARSELS AND PRECAUTIONS ]
- Methemoglobinæmi [se ADVARSELS AND PRECAUTIONS ]
- Chondrolyse med intraartikulær infusion [se ADVARSELS AND PRECAUTIONS ]
- Cardiovaskulære systemreaktioner [se ADVARSELS AND PRECAUTIONS ]
Kliniske forsøg oplever
Da kliniske forsøg udføres under vidt forskellige tilstande, kan der ikke sammenlignes bivirkninger, der er observeret i de kliniske forsøg med et lægemiddel, ikke direkte med hastigheder, der er observeret i de kliniske forsøg med et andet lægemiddel og muligvis ikke afspejler de hastigheder, der er observeret i praksis.
Sikkerheden af posimir-doser, der spænder fra 2,5 ml til 5 ml, blev evalueret i 10 randomiserede dobbeltblinde kontrollerede forsøg. Generelt er Posimir 5 ml den anbefalede dosis administreret til i alt 735 patienter i kliniske forsøg ved anvendelse af en række administrationsmetoder, herunder den anbefalede metode til infiltration. Tre forsøg blev kontrolleret med bupivacaine HCL To forsøg blev kontrolleret med bupivacaine HCL, og køretøjets placebo, og fem forsøg blev kontrolleret med køretøjets placebo. Yderligere 47 patienter blev behandlet med saltplacebo i en af Bupivacaine HCl-kontrollerede forsøg. De evaluerede kirurgiske procedurer omfattede inguinal brokreparation subakromial dekomprimering af skuldermagehysterektomi laparotomi laparoskopisk kolecystektomi og laparoskopisk assisteret kolektomi.
Skulderkirurgiske procedurer
Der var tre undersøgelser, der vurderede sikkerheden for Posimir, der blev administreret under skulderkirurgi.
I undersøgelse 1 blev en af tre behandlinger administreret i det subakromiale rum ved afslutningen af operationen: Posimir -køretøjets placebo eller bupivacaine HCl. Tabel 1 viser almindeligt rapporterede bivirkninger fra undersøgelse 1.
Tabel 1. Almindeligt rapporterede bivirkninger fra undersøgelse 1 (forekomst ≥ 2% og hyppigere end
| Foretrukket udtryk N (%) | Possimir (N = 53) | Bupivacaine HCl (n = 29) | Køretøjets placebo (N = 25) |
| Hovedpine | 3 (NULL,7%) | 1 (NULL,4%) | 1 (NULL,0%) |
| Elektrokardiogram T Wave Inversion | 2 (NULL,8%) | 0 | 0 |
| Hypoestesi | 2 (NULL,8%) | 1 (NULL,4%) | 1 (NULL,0%) |
| Pruritus generaliseret | 2 (NULL,8%) | 0 | 0 |
I undersøgelse 2 og undersøgelse blev 3 patienter administreret enten Posimir eller køretøjsplacebo i det subakromiale rum ved afslutningen af operationen. Tabel 2 viser almindeligt rapporterede bivirkninger fra undersøgelser 2 og 3.
Tabel 2.. Almindeligt rapporterede bivirkninger samlet fra undersøgelse 2 og undersøgelse 3 (forekomst ≥ 2% og
| Foretrukket udtryk N (%)* | Possimir (N = 75) | Køretøjets placebo (N = 44) |
| Svimmelhed | 30 (NULL,3%) | 17 (NULL,3%) |
| Opkast | 22 (NULL,0%) | 12 (NULL,6%) |
| Hovedpine | 17 (NULL,3%) | 7 (NULL,3%) |
| Paræstesi | 14 (NULL,4%) | 7 (NULL,4%) |
| Dysgeusia | 13 (NULL,3%) | 7 (NULL,9%) |
| Hypoestesi | 13 (NULL,3%) | 7 (NULL,8%) |
| Ringer | 10 (NULL,2%) | 3 (NULL,7%) |
| Dysuria | 8 (NULL,1%) | 4 (NULL,1%) |
| Pyrexia | 7 (NULL,3%) | 2 (NULL,6%) |
| Søvnløshed | 5 (NULL,1%) | 0 |
| Dyspnø | 3 (NULL,8%) | 0 |
| Muskeltrækning | 3 (NULL,8%) | 0 |
| Perifer hævelse | 3 (NULL,9%) | 0 |
| Urinretention | 2 (NULL,7%) | 1 (NULL,1%) |
| Kontusion | 2 (NULL,5%) | 0 |
| Dysmenorrhea | 2 (NULL,7%) | 0 |
| Dysmenorrhea | 2 (NULL,7%) | 0 |
| Nasal overbelastning | 2 (NULL,5%) | 0 |
| Pruritus generaliseret | 2 (NULL,5%) | 0 |
| * Procentdel justeret for at redegøre for de forskellige størrelser af de samlede undersøgelser. |
Mindre almindelige bivirkninger (forekomst mindre end 2% og hyppigere end enten Bupivacaine HCL eller køretøjets placebo) efter posimir -administration i skulderkirurgiske procedurer var angina pectoris blepharospasmelektrokardiogram T bølgeamplitude nedsat træthed osteoarthritis proceduremæssig kvalme, der er proceduremæssig paintorisk og pulmonær arterial hypertension.
Yderligere opfølgningssikkerhedsdata bestående af skulder MR-fysisk undersøgelse af skulderen og vurderinger af sårheling blev indsamlet efter 6 måneder i undersøgelse 1 og efter 18 måneder i undersøgelse 2.. Der var ingen specifik langvarig opfølgningsevalueringer for patienter, der blev behandlet i undersøgelse 3; Undersøgelsesundersøgere rapporterede imidlertid ikke nogen tilfælde af chondrolyse i opfølgningsundersøgelser. Det viste sig, at alle kirurgiske snit var helbredet som forventet i alle tre undersøgelser. Tabel 3 viser resultaterne af MRIAND -fysiske undersøgelser for undersøgelse 1. Tabel 4 viser resultaterne af MR- og fysiske undersøgelser for undersøgelse 2.
Tabel 3. 6-måneders opfølgningssikkerhedsdata fra subakromial dekompressionsundersøgelse 1.
| Sikkerhedsevaluering | Possimir | Køretøjets placebo | Bupivacaine HCl |
| 53 | 25 | 29 | |
| Skulder MRI | |||
| 51 | 25 | 25 | |
| 6 (NULL,8%) | 2 (NULL,0%) | 6 (NULL,0%) | |
| 31 (NULL,8%) | 14 (NULL,0%) | 9 (NULL,0%) | |
| 14 (NULL,4%) | 9 (36%) | 10 (40%) | |
| Constant-Murley score | |||
| 52 | 25 | 26 | |
| 44,7 (NULL,5%) | 41,7 (NULL,7%) | 42 (NULL,3%) | |
| 61,6 (NULL,2%) | 63,2 (NULL,4%) | 65,6 (NULL,8%) | |
| 5 (NULL,6%) | 2 (NULL,0%) | 0 (0%) | |
| [1] Sammenlignet med præ-kirurgisk MR |
Tabel 4. 18-måneders opfølgningssikkerhedsdata fra subakromial dekompressionsundersøgelse 2.
colombia turiststeder
| Sikkerhedsevaluering | Possimir | Køretøjets placebo |
| 40 | 20 | |
| Skulder MRI | ||
| 27 | 14 | |
| 0 | 0 | |
| 0 | 0 | |
| 26 (NULL,3%) | 14 (100%) | |
| 0 | 0 | |
| 1 (NULL,7%) [1] | 0 | |
| 0 | 0 | |
| 16 (NULL,3%) | 5 (NULL,7%) | |
| 7 (NULL,9%) | 7 (NULL,0%) | |
| 1 (NULL,7%) | 0 | |
| 3 (NULL,1%) | 2 (NULL,3%) | |
| 0 | 0 | |
| 2 (NULL,4%) | 1 (NULL,1%) | |
| 0 | 1 (NULL,1%) | |
| /tendinosis | 1 (NULL,7%) | 0 |
| 24 (NULL,9%) | 12 (NULL,7%) | |
| 1 (NULL,7%) | 0 | |
| 26 (NULL,3%) | 14 (100%) | |
| 18 (NULL,7%) | 9 (NULL,3%) | |
| 9 (NULL,3%) | 5 (NULL,7%) | |
| 2 (NULL,4%) [2] | 2 (NULL,3%) [2] | |
| 25 (NULL,6%) [2] | 12 (NULL,7%) [2] | |
| 10 (NULL,0%) | 4 (NULL,6%) | |
| 16 (NULL,3%) | 10 (NULL,4%) | |
| t evaluable | 1 (NULL,7%) | 0 |
| 9 (NULL,3%) | 2 (NULL,3%) | |
| 9 (NULL,3%) [3] | 7 (NULL,0%) | |
| 3 (NULL,1%) [3] | 3 (NULL,4%) [3] | |
| 0 | 1 (NULL,1%) [3] | |
| t evaluable | 6 (NULL,2%) | 1 (NULL,1%) |
| 18 (NULL,7%) | 5 (NULL,7%) | |
| 6 (NULL,2%) | 9 (NULL,3%) [4] | |
| 3 (NULL,1%) | 0 | |
| 0 | 0 | |
| Fysisk undersøgelse | ||
| 31 | 16 | |
| rmal | 27 (NULL,1%) | 13 (NULL,3%) |
| 4 (NULL,9%) | 3 (NULL,8%) | |
| 0,9 (NULL,4%) | 1,2 (NULL,6%) | |
| 3 (NULL,7%) | 3 (NULL,8%) | |
| 28 (NULL,3%) | 13 (NULL,3%) | |
| 27 (NULL,1%) | 13 (NULL,3%) | |
| 4 (NULL,9%) | 3 (NULL,8%) | |
| [1] Humeralhovedets bruskudtynding var uændret fra baseline. [2] To Posimir -patienter var positive for signal abnormiteter ved baseline og negativ efter 18 måneder. To Posimir -patienter var negative for signal abnormiteter ved baseline og positive efter 18 måneder. En placebo -patient var positiv til signal abnormalitet ved baseline og negativ efter 18 måneder. To placebo -patienter var positive for signal abnormiteter ved både baseline og 18 måneder. [3] To posimir -patienter havde fælles effusion/synovitis, der forbedrede sig fra moderat ved baseline til mild efter 18 måneder. En Posimir -patient havde fælles effusion/synovitis, der forbedrede sig fra svær ved baseline til mild efter 18 måneder. Fire patienter (1 Posimir 3 -placebo) havde fælles effusion/synovitis, der blev forværret fra mild ved baseline til moderat efter 18 måneder. En placebo -patient havde fælles effusion/synovitis, der blev forværret fra mild ved baseline til svær efter 18 måneder. [4] En placebo -patient havde bursitis/overskydende væske, der var alvorlig ved baseline og mild efter 18 måneder. |
Kirurgiske procedurer i blødt væv
Der var to undersøgelser, der evaluerede sikkerheden for POSIMIR hos patienter, der gennemgik inguinal brokreparation (hernioplasty). Patienter i disse undersøgelser blev administreret enten Posimir 5 ml eller køretøjets placebo; 2,5 ml administreret i gulvet i inguinalkanalen og 2,5 ml administreret i det subkutane rum. Tabel 5 viser almindeligt rapporterede bivirkninger fra disse undersøgelser.
Tabel 5. Almindeligt rapporterede bivirkninger, der er samlet fra undersøgelser i inguinal brokreparation (forekomst ≥ 2% og hyppigere end placebo)
| Foretrukket udtryk N (%)* | Possimir (N = 69) | Køretøjets placebo (N = 53) |
| Bradycardia | 16 (NULL,9%) | 7 (NULL,2%) |
| Kløe † | 15 (NULL,6%) | 9 (NULL,5%) |
| Post Procedural Contusion (blå mærker) | 10 (NULL,0%) | 5 (NULL,1%) |
| Opkast | 6 (NULL,4%) | 4 (NULL,4%) |
| Hævelse af snitstedet | 4 (NULL,0%) | 3 (NULL,7%) |
| Dyspepsi | 4 (NULL,7%) | 2 (NULL,7%) |
| Pyrexia | 4 (NULL,0%) | 2 (NULL,0%) |
| Kontusion | 4 (NULL,7%) | 0 |
| Rygsmerter | 3 (NULL,1%) | 2 (NULL,4%) |
| Viral infektion | 3 (NULL,1%) | 2 (NULL,0%) |
| INSCIES SITE ERYTHEMA | 3 (NULL,1%) | 0 |
| Oropharyngeal smerte | 3 (NULL,6%) | 0 |
| Takykardi | 3 (NULL,6%) | 0 |
| Infektion i øvre luftvejsinfektion | 2 (NULL,0%) | 1 (NULL,0%) |
| Tør hals | 2 (NULL,2%) | 0 |
| Hyperhidrose | 2 (NULL,0%) | 0 |
| Hypertension | 2 (NULL,8%) | 0 |
| Lokal hævelse | 2 (NULL,0%) | 0 |
| Testikel hævelse | 2 (NULL,2%) | 0 |
| * Procentdel justeret for at redegøre for de forskellige størrelser af de samlede undersøgelser. † Snitstedets pruritus generaliseret kløe og kønsgluritus blev også rapporteret, men ingen havde forekomst ≥2% og hyppigere end placebo. |
Der var fem undersøgelser, der vurderede sikkerheden ved Posimir i laparoskopisk laparoskopisk assisteret eller åbne abdominale operationer.
I to undersøgelser hos patienter, der gennemgik laparoskopisk cholecystektomi, blev posimir eller bupivacaine HCl indgivet i de laparoskopiske portsnit i slutningen af operationen. I en af disse undersøgelser modtog en undergruppe af patienter enten Posimir eller Saline Placebo. I en undersøgelse af patienter, der gennemgik laparoskopisk assisteret colektomi-posimir eller køretøjsplacebo, blev der overvejende administreret i hånsportens snit i slutningen af operationen. I en undersøgelse af patienter, der gennemgik laparotomi, blev posimir eller bupivacaine HCl indgivet i det fulde længde af det kirurgiske snit ved afslutningen af operationen. Tabel 6 viser almindeligt rapporterede bivirkninger fra disse fire undersøgelser. Tabel 7 og tabel 8 viser henholdsvis kirurgiske bivirkninger på kirurgisk sted og tidlig forekommende centralnervesystem (CNS) -relaterede bivirkninger fra den laparoskopiske cholecystektomiundersøgelse, der omfattede en saltplacebo-kontrolarm.
Tabel 6. Almindeligt rapporterede bivirkninger samlet fra laparoskopisk laparoskopisk assisteret og åben abdominalkirurgi (forekomst ≥2% og hyppigere end bupivacaine HCI eller placebo).
| Foretrukket udtryk N (%)* | Possimir (N = 337) | Bupivacaine HCL (n = 186) | Køretøjets placebo (N = 78) |
| Post Procedural Contusion (blå mærker) | 231 (NULL,2%) | 119 (NULL,8%) | 41 (NULL,6%) |
| Kvalme | 189 (NULL,8%) | 111 (NULL,6%) | 40 (NULL,3%) |
| Forstoppelse | 112 (NULL,2%) | 80 (NULL,8%) | 8 (NULL,3%) |
| Somnolence | 92 (NULL,4%) | 80 (NULL,0%) | 3 (NULL,8%) |
| Hovedpine | 86 (NULL,2%) | 63 (NULL,3%) | 12 (NULL,4%) |
| Svimmelhed | 75 (NULL,5%) | 58 (NULL,1%) | 6 (NULL,7%) |
| Opkast | 66 (NULL,4%) | 39 (NULL,0%) | 6 (NULL,7%) |
| Dysgeusia | 50 (NULL,2%) | 33 (NULL,9%) | 2 (NULL,6%) |
| Kløe † | 45 (NULL,3%) | 36 (NULL,7%) | 5 (NULL,4%) |
| Proceduremæssig smerte | 35 (NULL,4%) | 35 (NULL,8%) | 0 |
| Diarre | 34 (NULL,8%) | 10 (NULL,5%) | 10 (NULL,8%) |
| Blødning af snitstedet | 30 (NULL,7%) | 6 (NULL,0%) | 3 (NULL,8%) |
| Pyrexia | 29 (NULL,2%) | 10 (NULL,7%) | 11 (NULL,1%) |
| Abdominal distension | 29 (NULL,2%) | 8 (NULL,8%) | 12 (NULL,4%) |
| INSCIES SITE ERYTHEMA | 29 (NULL,1%) | 5 (NULL,7%) | 10 (NULL,8%) |
| Post procedurelafladning | 26 (NULL,5%) | 8 (NULL,4%) | 7 (NULL,0%) |
| Paræstesi | 22 (NULL,9%) | 25 (NULL,1%) | 2 (NULL,6%) |
| Hypokalæmi | 18 (NULL,2%) | 2 (NULL,4%) | 10 (NULL,8%) |
| Hæmatom med snit sted | 17 (NULL,5%) | 3 (NULL,7%) | 4 (NULL,1%) |
| Anæmi | 16 (NULL,6%) | 1 (NULL,7%) | 7 (NULL,0%) |
| Flatulens | 16 (NULL,6%) | 7 (NULL,0%) | 8 (NULL,3%) |
| Hypertension | 16 (NULL,5%) | 7 (NULL,6%) | 1 (NULL,3%) |
| Infektion af snit sted | 15 (NULL,2%) | 4 (NULL,5%) | 2 (NULL,6%) |
| Muskuloskeletalsmerter | 15 (NULL,4%) | 8 (NULL,9%) | 0 |
| Mavesmerter | 14 (NULL,9%) | 1 (NULL,5%) | 1 (NULL,3%) |
| Søvnløshed | 13 (NULL,8%) | 5 (NULL,9%) | 7 (NULL,0%) |
| Dyspepsi | 13 (NULL,6%) | 3 (NULL,9%) | 4 (NULL,1%) |
| Sår dehiscens | 13 (NULL,6%) | 3 (NULL,5%) | 5 (NULL,4%) |
| Hoste | 12 (NULL,6%) | 3 (NULL,8%) | 1 (NULL,3%) |
| Oropharyngeal smerte | 12 (NULL,5%) | 2 (NULL,0%) | 0 |
| Urinretention | 10 (NULL,8%) | 2 (NULL,2%) | 4 (NULL,1%) |
| Brystsmerter | 10 (NULL,9%) | 1 (NULL,5%) | 1 (NULL,3%) |
| Ileus | 10 (NULL,7%) | 1 (NULL,7%) | 3 (NULL,8%) |
| Kropstemperaturen steg | 9 (NULL,4%) | 0 | 2 (NULL,6%) |
| Mavesmerter upper | 8 (NULL,5%) | 2 (NULL,0%) | 0 |
| Udslæt | 7 (NULL,1%) | 7 (NULL,8%) | 1 (NULL,3%) |
| Smerter i ekstremitet | 7 (NULL,1%) | 5 (NULL,8%) | 1 (NULL,3%) |
| Tør mund | 7 (NULL,2%) | 2 (NULL,0%) | 1 (NULL,3%) |
| Nasopharyngitis | 7 (NULL,1%) | 0 | 0 |
| * Procentdel justeret for at redegøre for de forskellige størrelser af de samlede undersøgelser. † Snitstedets pruritus Generaliserede kløe øjenluritus anal kløe- og infusionsstedets pruritus blev også rapporteret, men ingen havde forekomst ≥2% og hyppigere end placebo. |
Tabel 7. Forekomst af bivirkninger af kirurgisk sted fra laparoskopisk cholecystektomiundersøgelse med saltplacebo og bupivacaine HCL -kontroller.
| Prespecificeret udtryk* n (%) | Saline placebo kontrol | Bupivacaine HCl Control | ||
| Possimir (N = 45) | Saline placebo (N = 47) | Possimir (N = 148) | Bupivacaine HCl (N = 148) | |
| Synlig blå mærker | 41 (NULL,1%) | 33 (NULL,2%) | 142 (NULL,9%) | 105 (NULL,9%) |
| Kirurgisk blødning i stedet | 22 (NULL,9%) | 20 (NULL,6%) | 19 (NULL,8%) | 24 (NULL,2%) |
| Dræning fra kirurgiske snit (r) | 2 (NULL,4%) | 3 (NULL,4%) | 11 (NULL,4%) | 6 (NULL,1%) |
| Sår hæmatom | 0 | 0 | 6 (NULL,1%) | 2 (NULL,4%) |
| Sår dehiscens | 0 | 0 | 2 (NULL,4%) | 3 (NULL,0%) |
| Kirurgisk stedinfektion | 0 | 0 | 2 (NULL,4%) | 1 (NULL,7%) |
| * Betingelser blev forudbestemt til undersøgelse af en blindet bedømmer på postoperative dage 0 4 7 14 28 og 59. |
Tabel 8. CNS-relaterede bivirkninger, der blev anmodet om fra personer 6 timer efter operationen i laparoskopisk kolecystektomi-undersøgelse med saltplacebo og -bupivacaine-HCL-kontrol.
| Ordbog-afledt udtryk (symptom)* | Saline placebo kontrol | Bupivacaine HCl Control | ||
| Possimir (N = 45) | Saline placebo (N = 47) | Possimir (N = 148) | Bupivacaine HCl (N = 148) | |
| Hele undersøgelse N (%) | ||||
| 18 (NULL,0%) | 16 (NULL,0%) | 60 (NULL,5%) | 48 (NULL,4%) | |
| 9 (NULL,0%) | 13 (NULL,7%) | 48 (NULL,4%) | 57 (NULL,5%) | |
| 3 (NULL,7%) | 3 (NULL,4%) | 28 (NULL,9%) | 31 (NULL,9%) | |
| 5 (NULL,1%) | 4 (NULL,5%) | 23 (NULL,5%) | 18 (NULL,2%) | |
| 2 (NULL,4%) | 3 (NULL,4%) | 10 (NULL,8%) | 15 (NULL,1%) | |
| 0 (NULL,0%) | 4 (NULL,5%) | 9 (NULL,1%) | 10 (NULL,8%) | |
| 1 (NULL,2%) | 1 (NULL,1%) | 6 (NULL,1%) | 5 (NULL,4%) | |
| Undergruppe af undersøgelse N (%) N = 23 N = 22 | ||||
| 3 (NULL,0%) | 2 (NULL,1%) | 26 (NULL,6%) | 22 (NULL,9%) | |
| 0 | 0 | 2 (NULL,4%) | 6 (NULL,1%) | |
| 0 | 0 | 1 (NULL,7%) | 1 (NULL,7%) | |
| * Patienter reagerede på en 10-symptom tjekliste (7 symptomer for en del af den saltvand placebokontrollerede del af undersøgelsen). |
I en undersøgelse af patienter, der gennemgik total abdominal hysterektomi posimir køretøjsplacebo eller bupivacaine HCL blev administreret i det kirurgiske snit ved afslutningen af operationen. Tabel 9 viser almindeligt rapporterede bivirkninger fra denne undersøgelse.
Tabel 9. Rapporterede ofte bivirkninger fra total abdominal hysterektomiundersøgelse (forekomst ≥ 2% og hyppigere end Bupivacaine HCl).
| Foretrukket udtryk | Possimir (N = 60) | Bupivacaine HCl (N = 27) | Køretøjets placebo (N = 27) |
| Post Procedural Contusion (blå mærker) | 36 (NULL,0%) | 0 | 9 (NULL,3%) |
| Anæmi | 10 (NULL,7%) | 3 (NULL,1%) | 4 (NULL,8%) |
| Svimmelhed | 9 (NULL,0%) | 4 (NULL,8%) | 3 (NULL,1%) |
| Opkast | 9 (NULL,0%) | 4 (NULL,8%) | 8 (NULL,6%) |
| C-reaktivt protein steg | 7 (NULL,7%) | 1 (NULL,7%) | 0 |
| Pyrexia | 7 (NULL,7%) | 7 (NULL,9%) | 3 (NULL,1%) |
| Somnolence | 5 (NULL,3%) | 2 (NULL,4%) | 0 |
| Blodkalium faldt | 4 (NULL,7%) | 0 | 1 (NULL,7%) |
| Hypertension | 4 (NULL,7%) | 2 (NULL,4%) | 1 (NULL,7%) |
| Hæmatom med snit sted | 3 (NULL,0%) | 0 | 0 |
| Elektrokardiogramændring | 2 (NULL,3%) | 0 | 0 |
| Proceduremæssig blødning | 2 (NULL,3%) | 0 | 0 |
| Vaginal hæmatom | 2 (NULL,3%) | 0 | 0 |
Mindre almindelige bivirkninger (forekomst mindre end 2% og hyppigere end enten Bupivacaine HCI eller placebo) efter posimir -administration i blødt vævskirurgiske procedurer var: Anvendelsesstedirritation Atrial Fibrillation Lægemiddeludbrud Electrocardiogram QT Prolongeret udstrukturering Erythema For overdrevet Granulering Væv Begivenhed Smerter Smerter Hjertet Hjertningsfrist INSICIES SITE erosion snit sted hypoestesi snit siteinflammation snit sted ødem snit site smerter snit sted udslæt middel arterielt tryk øget micturition hastighed natt sved overdosis hjertebestandighed proceduremæssig hypertension pruritus generaliseret rash generaliseret seroma ph.
Lægemiddelinteraktioner for Possimir
Fortynd eller bland ikke posimir med lokalbedøvelsesmidler eller andre lægemidler eller fortyndingsmidler.
Undgå yderligere anvendelse af lokalbedøvelse inden for 168 timer efter administration af Posimir.
Lægemidler forbundet med methemoglobinæmi
Patienter, der administreres POSIMIR, har en øget risiko for at udvikle methemoglobinæmi, når de samtidig udsættes for følgende lægemidler, der kan omfatte andre lokale anæstetika [se ADVARSELS AND PRECAUTIONS ].
Eksempler på medikamenter forbundet med methemoglobinæmi:
| Klasse | Eksempler |
| Nitrater/nitriter | Nitrogenoxid nitroglycerin nitroprusside nitrogenoxid |
| Lokale anæstetika | Articaine benzocaine bupivacaine lidocaine mepivacaine prilocaine procaine ropivacaine tetracaine |
| Antineoplastiske midler | Cyclophosphamid flutamid hydroxyurea ifosfamid Rasburicase |
| Antibiotika | Dapsone nitrofurantoin para-aminosalicylsyre sulfonamider |
| Antimalarials | Chlorokin primaquin |
| Anticonvulsiva | phenobarbital phenytoin natrium valproat |
| Andre stoffer | Acetaminophen metoclopramid quinine sulfasalazin |
Advarsler for Posimir
Inkluderet som en del af 'FORHOLDSREGLER' Afsnit
Forholdsregler for Posimir
Risiko for potentielle negative emboliske effekter, der er resultatet af utilsigtet intra vaskulær injektion
Utilsigtet intra vaskulær injektion kan forårsage, at posimir -dråber deponeres i lunge- og andre kapillærbed. Administrer posimir i det subakromiale rum i slutningen af arthroscopic skulderkirurgi. Direkte artroskopisk visualisering skal bruges til at bekræfte korrekt placering af nålspidsen, før den injicererposimir.
Risiko for fælles brusknekrose med ikke godkendt intraartikulær anvendelse
Sikkerheden og effektiviteten af POSIMIR i andre kirurgiske procedurer end subakromial dekomprimering er ikke blevet fastlagt, og Posimir er ikke godkendt til anvendelse via intraartikulær injektion. En undersøgelse, der evaluerer virkningerne af Posimir og Posimir-køretøjet hos hunde efter en intraartikulær administration, demonstrerede fælles brusknekrose [se Ikke -klinisk toksikologi ].
Risiko for systemisk toksicitet
Utilsigtet intra vaskulær injektion af Posimir kan være forbundet med systemiske toksiciteter, herunder CNS eller kardiorespiratorisk depression og koma, der i sidste ende går til respirationsarrest. Direkte arthroscopic visualisering skal bruges til at bekræfte korrekt placering af nålspidsen i det subakromiale rum, før den injicerer posimir.
Sikkerheden og effektiviteten af bupivacaine afhænger af korrekt doseringskorrekt teknik tilstrækkelige forholdsregler og beredskab til nødsituationer. Omhyggelig og konstant overvågning af kardiovaskulær og respiratorisk (tilstrækkelighed af ventilation) vitale tegn og patientens bevidsthedstilstand skal udføres efter injektion af bupivacaine.
Mulige tidlige advarselsskilte om centralnervesystemet (CNS) -toksicitet er rastløshedsangst usammenhængende tale fyrtårnets følelsesløshed og prikken af munden og læberne metallisk smag tinnitus svimmelhed sløret synsvinter rykker CNS -depression eller døsighed. Forsinkelse i korrekt håndtering af systemisk toksicitet under ventilation fra enhver årsag og/eller ændret følsomhed kan føre til udvikling af acidosis hjertestop og muligvis død.
Undgå yderligere anvendelse af lokalbedøvelse inden for 168 timer efter administration af Posimir. Injection of repeated doses of bupivacaine may cause significant increases in plasma levels due to slow accumulation of the drug or its metabolites or to slow metabolic degradation. Tolerance to elevated blood levels varies with the status of the patient. Consider increased monitoring for systemic toxicity in debilitated elderly or acutely ill patients.
Methemoglobinæmi
Tilfælde af methemoglobinæmi er rapporteret i forbindelse med lokalbedøvelsesbrug. Selvom alle patienter er i fare for methemoglobinæmi-patienter med glukose-6-phosphatdehydrogenase-mangel medfødt eller idiopatisk methemoglobinæmi hjerte eller lungepromitterende spædbørn under 6 måneders alder og samtidigt eksponering for oxidationsmidler eller deres metabolitter er mere modtagelige for at udvikle kliniske maniferer Lægemiddelinteraktioner ]. If Lokale anæstetika must be used in these patients close monitoring for symptoms og signs of methemoglobinemia is recommended.
Tegn på methemoglobinæmi kan forekomme øjeblikkeligt eller kan blive forsinket nogle timer efter eksponering og er kendetegnet ved en cyanotisk misfarvning af hud og/eller unormal farve af blodet. Methemoglobinniveauer kan fortsætte med at stige; Derfor kræves øjeblikkelig behandling for at afværge en mere alvorlig centralnervesystem og kardiovaskulære bivirkninger, herunder anfald koma arytmier og død. Afbryd eventuelle oxidationsmidler. Afhængig af sværhedsgraden af tegn og symptomer kan patienter muligvis reagere på understøttende pleje, dvs. iltbehandlingshydrering. En mere alvorlig klinisk præsentation kan kræve behandling med methylenblå udvekslingstransfusion eller hyperbar ilt.
Chondrolyse med intraartikulær infusion af lokalbedøvelse
Intraartikulære infusioner af lokalbedøvelse inklusive bupivacaine efter arthroskopiske og andre kirurgiske procedurer er en ikke-godkendt anvendelse, og der har været efter markedsføringsrapporter om chondrolyse hos patienter, der får sådanne infusioner. Størstedelen af rapporterede tilfælde af chondrolyse har involveret skulderleddet; Tilfælde af gleno-humeral chondrolyse er beskrevet hos pædiatriske patienter og voksne patienter efter intraartikulære infusioner af lokalbedøvelse med og uden epinephrin i perioder på 48 til 72 timer. Der er utilstrækkelig information til at bestemme, om kortere infusionsperioder er forbundet med chondrolyse. Tidspunktet for symptomer som symptomer som ledssmerter og tab af bevægelse kan være varierende, men kan begynde allerede i den anden måned efter operationen. I øjeblikket er der ingen effektiv behandling af chondrolyse; Patienter, der har oplevet chondrolyse, har krævet yderligere diagnostiske og terapeutiske procedurer og nogle krævede arthroplastik eller skulderudskiftning.
pakkeliste til rejsen
Risiko for toksicitet hos patienter med nedsat leverfunktion
Fordi amidlokalbedøvelsesmidler, såsom bupivacaine, metaboliseres af leveren, overvejer reduceret dosering og øget overvågning for bupivacaine -systemisk toksicitet hos patienter med moderat til svær leverfunktion, der behandles med posimir [se Brug i specifikke populationer ].
Risiko for brug hos patienter med nedsat hjerte -kar -funktion
Der skal udvises omhu, når man overvejer brugen af posimir hos patienter med nedsat hjerte -kar -funktion (f.eks. Hypotension hjerteblok), fordi de muligvis er mindre i stand til at kompensere for funktionelle ændringer forbundet med forlængelsen af AV -ledning produceret af Bupivacaine. Overvej reduceret dosering. Overvåg patienter nøje for blodtryks hjerterytme og EKG -ændringer.
Ikke -klinisk toksikologi
Karcinogenese mutagenese nedskrivning af fertilitet
Carcinogenese
Langtidsundersøgelser hos dyr til evaluering af det kræftfremkaldende potentiale af bupivacain-hydrochlorid er ikke blevet udført.
Mutagenese
Bupivacaine was negative in the In vitro Bakteriel omvendt mutationsassay (Ames Assay) In vitro Kromosomal aberrationsassay (humane perifere blodlymfocytter) og forgæves Rotte mikronukleus assay.
Værdiforringelse af fertiliteten
Effekten af bupivacaine på fertilitet er ikke bestemt.
Brug i specifikke populationer
Graviditet
Risikooversigt
Der er ingen undersøgelser udført med Posimir hos gravide kvinder. I dyreforsøg blev embryo-føtal dødelighed bemærket, da Bupivacaine blev administreret subkutant til gravide kaniner under organogenese ved 0,6 gange den maksimale anbefalede humane dosis af posimir ved 660 mg bupivacaine. Nedsat hvalpsoverlevelse blev observeret i en rotte før- og efter-fødsel udviklingsundersøgelse (dosering fra implantation gennem fravænning) ved 0,6 gange den maksimale anbefalede humane dosis af posimir ved 660 mg bupivacaine. Baseret på dyredata rådgiver gravide kvinder om de potentielle risici for et foster. [se Data ]
Baggrundsrisikoen for store fødselsdefekter og spontanabort for den angivne befolkning er ukendt. Imidlertid er baggrundsrisikoen i den amerikanske generelle befolkning af større fødselsdefekter 2% -4%, og abort er 15% -20% af klinisk anerkendte graviditeter.
Kliniske overvejelser
Arbejde eller levering
Bupivacaine is contraindicated for obstetrical paracervical block anesthesia. While Possimir has not been studied with this technique the use of bupivacaine for obstetrical paracervical block anesthesia has resulted in fetal bradycardia og death. Bupivacaine can rapidly cross the placenta og when used for epidural caudal or pudendal block anesthesia can cause varying degrees of maternal fetal og neonatal toxicity (Possimir is not indicated for these uses). The incidence og degree of toxicity depend upon the procedure performed the type og amount of drug used og the technique of drug administration. Adverse reactions in the parturient fetus og neonate involve alterations of the central nervous system peripheral vascular tone og cardiac function.
Data
Dyredata
Bupivacaine hydrochloride produced developmental toxicity when administered subcutaneously to pregnant rats og rabbits at clinically relevant doses.
Bupivacaine hydrochloride was administered subcutaneously to rats at doses of 4.4 13.3 & 40 mg/kg og to rabbits at doses of 1.3 5.8 & 22.2 mg/kg during the period of organogenesis (implantation to closure of the hard palate). The high doses are approximately 0.6 times the daily maximum recommended human dose (MRHD) of 660 mg/day on a mg/m 2 Body Surface Area (BSA) basis. Ingen embryo-føtalvirkninger blev observeret hos rotter i den høje dosis, hvilket forårsagede øget moderlig dødelighed. Der blev observeret en stigning i embryo-føtal dødsfald hos kaniner i den høje dosis i fravær af moderlig toksicitet med føtalet NO-observeret bivirkningsniveau, der repræsenterede ca. 0,2 gange MRHD på BSA-basis.
I en rotte før og efter fødsel-udviklingsundersøgelsen (dosering fra implantation gennem fravænning) udført i subkutane doser på 4,4 13.3
Amning
Risikooversigt
Possimir has not been studied in nursing mothers. Bupivacaine can persist in plasma for up to 168 hours [see Kliniske studier ] og benzylalkohol en posimir -excipient i op til 12 timer efter Posimir -administration. Både Bupivacaine og benzylalkohol er rapporteret at blive udskilt i human mælk. De udviklingsmæssige og sundhedsmæssige fordele ved amning bør overvejes sammen med mors kliniske behov for Posimir og eventuelle bivirkninger på det ammede spædbarn fra Posimir eller fra den underliggende moderlige tilstand.
Pædiatrisk brug
Sikkerhed og effektivitet af posimir hos pædiatriske patienter under 18 år er ikke blevet fastlagt.
Geriatrisk brug
Af det samlede antal patienter, der var indskrevet i Posimir Clinical Studies (N = 1463), var 167 patienter ældre end 65 år, og 32 patienter var ældre end 75 år.
I bupivacaine -undersøgelser er der observeret forskelle i kliniske undersøgelser i forskellige farmakokinetiske parametre mellem ældre og yngre voksne patienter. Bupivacaine er kendt for at være væsentligt udskilt af nyrerne, og risikoen for bivirkninger på bupivacaine kan være større hos patienter med nedsat nyrefunktion. Fordi ældre patienter er mere tilbøjelige til at have nedsat nyrefunktionspleje, bør udtages i dosisudvælgelse, og det kan være nyttigt at overvåge nyrefunktionen. Ældre patienter kan kræve lavere doser af posimir. Overvej øget overvågning for lokalbedøvelsessystemisk toksicitet, når man administrerer Posimir til ældre patienter.
Leverskrivning i leveren
Fordi lokalbedøvelse af amid-type, såsom bupivacaine, metaboliseres af leveren, skal disse lægemidler bruges med forsigtighed hos patienter med leverfunktion. Patienter med alvorlig nedsat leverfunktion på grund af deres manglende evne til at metabolisere lokalbedøvelsesmidler har normalt en større risiko for at udvikle giftige plasmakoncentrationer og potentielt lokale anæstetiske systemiske toksicitet. Der skal udvises omhu, når man overvejer brugen af posimir hos patienter med nedsat leverfunktion og overvejer reduceret dosering. Overvej forøget overvågning for lokalbedøvelsessystemisk toksicitet hos patienter med moderat til svær leverfunktion, når man administrerer Posimir.
Nedskærmning af nyren
Bupivacaine is known to be substantially excreted by the kidney og the risk of adverse reactions to this drug may be greater in patients with impaired renal function. Care should be taken when considering the use of Possimir in patients with impaired renal function. Consider increased monitoring for local anesthetic systemic toxicity when administering Possimir to patients with impaired renal function.
Overdoseringsoplysninger til Posimir
Akutte nødsituationer fra lokale anæstetika er generelt relateret til høje plasmakoncentrationer, der er stødt på under terapeutisk brug af lokalbedøvelse eller til utilsigtet intravaskulær injektion af lokal anæstetisk løsning [se ADVARSELS AND PRECAUTIONS ].
I det kliniske undersøgelsesprogram blev der rapporteret om en maksimal plasmakoncentration (CMAX) på 2850 ng/ml. Der blev ikke observeret nogen tilsyneladende bupivacaine-relaterede bivirkninger eller kliniske følger hos patienter med høje bupivacain-plasmakoncentrationer.
kogeøer.
Kontraindikationer for Posimir
Possimir is contraindicated in:
- Patienter med en kendt overfølsomhed (f.eks. Anafylaktiske reaktioner og alvorlige hudreaktioner) på enhver amid lokalbedøvelse eller andre komponenter i posimir.
- Patienter, der gennemgår obstetrisk paracervisk blokanæstesi. Brugen af bupivacaine HCl med denne teknik har resulteret i føtal bradykardi og død.
Klinisk farmakologi for Possimir
Handlingsmekanisme
Bupivacaine blocks the generation og the conduction of nerve impulses presumably by increasing the threshold for electrical excitation in the nerve by slowing the propagation of the nerve impulse og by reducing the rate of rise of the action potential. In general the progression of anesthesia is related to the diameter myelination og conduction velocity of affected nerve fibers. Clinically the order of loss of nerve function is as follows: (1) pain (2) temperature (3) touch (4) proprioception og (5) skeletal muscle tone.
Farmakodynamik
Systemisk absorption af bupivacaine giver effekter på de kardiovaskulære og centrale nervesystemer. Ved blodkoncentrationer opnået med terapeutiske doser ændres ændringer i hjertelednings excitabilitets refraktoritetskontraktilitet og perifer vaskulær resistens minimal. Imidlertid trækker sig toksiske blodkoncentrationer på hjerteledning og excitabilitet, hvilket kan føre til atrioventrikulært blokventikulære arytmier og til hjertestop, der undertiden resulterer i dødsfald. Derudover er myocardial kontraktilitet deprimeret, og perifer vasodilatation forekommer, hvilket fører til nedsat hjerteproduktion og arterielt blodtryk. Disse kardiovaskulære ændringer er mere tilbøjelige til at forekomme efter utilsigtet intravaskulær injektion af flydende formuleringer af bupivacaine.
Efter systemisk absorptionslokale anæstetika kan producere depression i centralnervesystemet eller begge dele. Tilsyneladende central stimulering manifesteres normalt som rastløshed rystelser og ryster fremskridt til kramper efterfulgt af depression og koma, der i sidste ende går videre til respirationsarrest. Imidlertid har de lokale anæstetika en primær depressiv virkning på medulla og på højere centre. Den deprimerede fase kan forekomme uden en forudgående ophidset fase.
Farmakokinetik
Infiltration af posimir i det kirurgiske sår resulterer i plasmaniveauer af bupivacaine, der kan vedvare i 168 timer. Systemiske plasmaniveauer af bupivacaine efter administration af posimir er ikke korreleret med lokal effektivitet.
Absorption
Hastigheden af systemisk absorption af bupivacain er afhængig af den samlede dosis af lægemiddeladministrationsadministrationsvej og administrationsstedets vaskularitet.
Farmakokinetiske parametre for bupivacaine er vist i tabel 10 efter enkeltdosisinfiltration af posimir i arthroskopisk subakromial dekomprimering kirurgisk procedure.
Tabel 10. Resumé af farmakokinetiske parametre for bupivacaine efter administration af en enkelt dosis Posimir 5 ml (660 mg)
| Kirurgisk procedure | Cmax (ng/ml) | AUC0-T # (H · ng/ml) | Tmax (h) | T 1/2 (h) | |
| Arthroscopic subacromial dekompressionsundersøgelse 1* | N | 36 | 36 | 36 | 36 |
| Betyde | 593 | 19395 | 5.9 ^ | 16.4 | |
| SD | 299 | 12056 | 1.0-24.0 ^ | 5.1 | |
| Artroskopisk subakromial dekomprimering | N | 18 | 18 | 18 | 18 |
| Betyde | 1006 | 47015 | 8.0 ^ | 26.1 | |
| SD | 454 | 20040 | 2.1-26.9 ^ | 8.2 | |
| # t = sidste prøveudtagningstid ^ Median / rækkevidde (min-max) * Lækage lækage fra det kirurgiske sted blev mistænkt. |
Fordeling
Afhængig af administrationsruten fordeles bupivacaine til en vis grad til alle kropsvæv med høje koncentrationer, der findes i stærkt perfunderede organer, såsom lever lungerhjerte og hjerne.
Bupivacaine appears to cross the placenta by passive diffusion. The rate og degree of diffusion is governed by (1) the degree of plasma protein binding (2) the degree of ionization og (3) the degree of lipid solubility. Fetal/maternal ratios of Lokale anæstetika appear to be inversely related to the degree of plasma protein binding because only the free unbound drug is available for placental transfer. Bupivacaine with a high protein binding capacity (95%) has a low fetal/maternal ratio (0.2 to 0.4). The extent of placental transfer is also determined by the degree of ionization og lipid solubility of the drug. Lipid soluble non-ionized drugs such as bupivacaine readily enter the fetal blood from the maternal circulation.
Eliminering
Den gennemsnitlige halveringstid for Bupivacaine efter Posimir-administration hos voksne, der gennemgik arthroscopic subacromial dekompression, spænder fra 16,4 til 26,1 timer.
Metabolisme
Amid-type lokalbedøvelse, såsom bupivacain, metaboliseres primært i leveren via konjugering med glucuronsyre. Pipecoloxylidin er den vigtigste metabolit af bupivacaine. Eliminering af lægemiddel fra vævsfordeling afhænger i vid udstrækning af tilgængeligheden af bindingssteder i cirkulationen for at føre det til leveren, hvor den metaboliseres.
Udskillelse
Nyren er det vigtigste udskillelsesorgan for de fleste lokale anæstetika og deres metabolitter. Urinudskillelse påvirkes af urinperfusion og faktorer, der påvirker urin -pH. Kun 6% af Bupivacaine udskilles uændret i urinen.
Specifikke populationer
Leverskrivning i leveren
Farmakokinetik of Possimir have not been evaluated in patients with hepatic impairment. [see ADVARSELS AND PRECAUTIONS og Brug i specifikke populationer ].
Nedskærmning af nyren
Farmakokinetik of Possimir have not been evaluated in patients with renal impairment. [see Brug i specifikke populationer ].
Geriatriske patienter
Farmakokinetik of Possimir have not been evaluated in geriatric patients.
Ældre patienter har udstillet højere topplasmakoncentrationer end yngre patienter efter administration af Bupivacaine HCl. Den samlede plasmaklarering blev reduceret hos disse patienter [se Brug i specifikke populationer ].
Dyretoksikologi og/eller farmakologi
Nekrose af den ledbrusk blev observeret efter intraartikulær injektion af en enkelt dosis posimir eller posimir-køretøj i hundemodellen.
Kliniske studier
Effektiviteten af POSIMIR blev evalueret i ti tilstrækkelige og velkontrollerede undersøgelser hos patienter, der gennemgik åbne og laparoskopiske abdominale procedurer, abdominal hysterektomi inguinal brokreparation og åbne og arthroscopiske skulderprocedurer. Tilstrækkelig bevis for effektivitet blev demonstreret i en af tre undersøgelser udført hos patienter, der gennemgik skulderkirurgi (beskrevet detaljeret nedenfor) og blev ikke demonstreret i nogen evalueret blødt vævsprocedure.
Undersøgelse 1
Undersøgelse 1 was a rogomized multicenter assessor blinded placebo-controlled (vehicle) clinical trial in 107 patients undergoing arthroscopic subacromial decompression surgery with an intact rotator cuff. Associated procedures included inspection of the glenohumeral joint distal clavicle excision bursectomy synovectomy removal of loose body resection of coracoacromial ligament og subacromial spurs rotator cuff debridement og minor debridement of articular cartilage. There were no open surgical procedures performed during this study. The mean age was 50 years (range 21 to 70 years) 60% of treated patients were female 96% were White 2% were Hispanic 1% were Asian og 1% were Other.
Patienter blev randomiseret 2: 1: 1 for at modtage Posimir -køretøjets placebo eller bupivacaine HCI 50 mg, og alle patienter modtog generel anæstesi. Ingen smertestillende pre-medicin eller lokalbedøvelse blev administreret. Posimir og køretøjsplacebo blev administreret under direkte arthroskopisk visualisering som enkeltinjektioner i det subakromiale rum gennem en af de arthroscopic portaler i slutningen af operationen. Bupivacaine HCl 50 mg blev administreret subakromielt som en enkelt dosis. Patienter efter operativt modtog acetaminophen 500 mg eller 1000 mg hver sjette time afhængigt af kropsvægt gennem 72 timer og fik tilladelse til morfin redningsmedicin efter behov enten 2 mg IV eller 10 mg oralt. Smerteintensitet blev vurderet af patienterne ved anvendelse af en 0 til 10 numerisk vurderingsskala (NRS) på flere tidspunkter op til 72 timer.
De primære resultatmål var det normaliserede område under kurven (NAUC) af gennemsnitlig smerteintensitet på bevægelsesscore indsamlet med specificerede intervaller i løbet af de første 72 timer efter operationen og total opioid rednings analgesi (IV morfin-ækvivalent dosis) gennem 72 timer. I denne kliniske undersøgelse demonstrerede Posimir 5 ml en signifikant reduktion i gennemsnitlig smerteintensitet sammenlignet med placebo på 1,3 point på en 0 til 10 NRS -skala over 72 timer (figur 1).
Figur 1. Gennemsnitlig smerteintensitet på bevægelse gennem 72 timer efter operation Subakromial dekompressionsundersøgelse 1
|
Den median totale anvendelse af opioid redningsanalgesi (IV -morfinækvivalent dosis) fra 0 til 72 timer for Posimir -behandlingsgruppen (4 mg) var statistisk lavere end for placebo -behandlingsgruppen (12 mg). Mediananvendelsen af opioid redningsanalgesi i Bupivacaine -behandlingsgruppen var 8 mg.
Undersøgelse 2
Undersøgelse 2 was a rogomized double-blind placebo-controlled (vehicle) clinical trial in 60 patients undergoing arthroscopic subacromial decompression inspection of glenohumeral joint synovectomy removal of loose body minor debridement of articular cartilage minor debridement or minor repair of rotator cuff open distal clavicle excision bursectomy og resection of coracoacromial ligament og subacromial spurs. The mean age was 48 years (range 27 to 68 years) 55% of treated patients were female 95% were White 2% were Asian og 2% were Other.
Patienter blev randomiseret 2: 1 for at modtage Posimir eller køretøjets placebo, og alle patienter modtog generel anæstesi. Patienter efter operationerne fik tilladelse til morfin redningsmedicin efter behov enten 3 mg IV eller 10 mg til 15 mg oralt eller acetaminophen. Smerteintensitet blev vurderet af patienterne ved anvendelse af en 0 til 10 numerisk vurderingsskala (NRS) på flere tidspunkter op til 72 timer.
De primære resultatmål var gennemsnitlig smerteintensitet på bevægelse AUC gennem 72 timer og total opioid rednings analgesi (IV morfin-ækvivalent dosis) gennem 72 timer. Der var ingen statistisk signifikant forskel i nogen af det primære slutpunkt mellem Posimir og køretøjets placebo -behandlingsgrupper (figur 2).
Figur 2: Gennemsnitlig smerteintensitet på bevægelse gennem 72 timer efter operation Subakromial dekomprimeringsundersøgelse 2
|
Undersøgelse 3
Undersøgelse 3 was a rogomized double-blind placebo-controlled (vehicle) og open-label PK clinical trial in 92 patients undergoing a variety of shoulder surgical procedures including rotator cuff repair subacromial decompression glenoid labrum repair or debridement og biceps tendon repair. The majority of patients underwent arthroscopic procedures; however six patients underwent a combination of arthroscopic og open procedures. The mean age was 54 years (range 20 to 82 years) 59% of treated patients were male 87% were White 8% were African American 3% were Other og 2% were Asian.
Et lige antal patienter blev randomiseret til to kohorter. Ruterne for Posimir eller Vehicle Placebo Administration i kohort 1 var subakromial eller subkutan injektion eller en kombination. I kohort 2 blev posimir eller køretøjsplacebo administreret via injektion under direkte arthroscopic visualisering i det subakromiale rum. Kirurgiske procedurer blev afsluttet enten under lokal eller generel anæstesi. Patienter efter operativt fik tilladelse til morfin IV oxycodon oralt eller acetaminophen oralt efter behov.
De primære resultatmål var gennemsnitlig smerteintensitet på bevægelse og i hvile gennem 120 timer og smertekontrol gennem dag syv. Der var ingen statistisk signifikant forskel i nogen af det primære slutpunkt mellem Posimir og køretøjets placebo -behandlingsgrupper (figur 3).
Figur 3: Gennemsnitlig smerteintensitet ved bevægelse gennem 120 timer efter operation Subakromial dekompressionsundersøgelse 3
|
Patientinformation til Posimir
Patienter skal informeres på forhånd om, at bupivacaine-holdige produkter kan forårsage midlertidigt tab af sensation eller motorisk aktivitet inden for infiltrationsområdet. Lægen skal diskutere andre oplysninger, herunder bivirkninger i Posimir -pakkenindsatsen med deres patienter.