Oplysningerne På Webstedet Er Ikke Medicinsk Rådgivning. Vi Sælger Ikke Noget. Nøjagtigheden Af Oversættelsen Er Ikke Garanteret. Ansvarsfraskrivelse
5-alfa-reduktaseinhibitorer
Propecia
Resume af lægemiddeloversigt
Hvad er propecia?
Propecia (Finasteride) er en 5A-reduktaseinhibitor angivet til behandling af hårtab (androgenetisk Alopecia ) Kun hos mænd. Propecia er tilgængelig i generisk form.
Hvad er bivirkninger af propecia?
Propecia kan forårsage alvorlige bivirkninger, herunder:
- brystklumper
- brystsmerter eller ømhed
- Nippeludladning og
- Eventuelle andre brystændringer
Få medicinsk hjælp med det samme, hvis du har nogen af de symptomer, der er anført ovenfor.
Bivirkninger af propecia inkluderer:
- impotens
- Tab af interesse for sex
- Problemer med at have en orgasme
- unormal ejakulation
- hævelse i dine hænder eller fødder
- Hævelse eller ømhed i dine bryster
- svimmelhed
- svaghed
- Følelse af, at du måske går ud
- hovedpine
- løbende næse eller
- Skinudslæt.
De seksuelle bivirkninger af propecia kan fortsætte, når du holder op med at tage det. Tal med din læge, hvis du er bekymret for disse bivirkninger. Propecia kan også forårsage fald i blodprostata -specifikt antigen ( Psa ) niveauer og kan påvirke PSA -blodprøven.
Søg medicinsk behandling eller ring 911 på én gang, hvis du har følgende alvorlige bivirkninger:
- Alvorlige øjensymptomer såsom pludseligt synstab sløret synet tunnel vision øje smerter eller hævelse eller at se haloer omkring lys;
- Alvorlige hjertesymptomer såsom hurtig uregelmæssige eller bankende hjerteslag; flagrende i brystet; åndenød; og pludselig svimmelhed lethed eller udlevering;
- Alvorlig hovedpine forvirring sløret talearm eller ben svaghed problemer med at gå tab af koordination føles ustabil meget stive muskler høj feber voldsom sved eller rysten.
Dette dokument indeholder ikke alle mulige bivirkninger, og andre kan forekomme. Kontakt din læge for yderligere oplysninger om bivirkninger.
Dosering til propecia
Propecia fås i styrke på 1 mg tabletter; Den anbefalede dosis af propecia er en tablet (1 mg) taget en gang dagligt. Generelt er daglig brug i tre måneder nødvendig, før fordelen overholdes. Tilbagetrækning af behandlingen fører til reversering af virkningen inden for 12 måneder.
Hvilke stoffer stoffer eller kosttilskud interagerer med propecia?
Propecia kan interagere med andre lægemidler. Fortæl din læge alle medicin og kosttilskud, du bruger.
Propecia under graviditet og amning
Propecia er ikke indikeret til brug hos kvinder. Kvinder bør ikke håndtere knuste eller ødelagte propecia -tabletter, når de er gravide eller potentielt kan være gravide. Der skal bruges forsigtighed hos ældre mænd, der har godartet prostatahyperplasi (BPH) PSA -niveauer reduceres med ca. 50%. Mænd på 55 år og derover har øget risiko for prostatacancer af høj kvalitet med 5A-reduktaseinhibitorer. Der skal udvises forsigtighed i administration af propecia hos de patienter med abnormiteter i leverfunktionen. Propecia er ikke indikeret til anvendelse hos pædiatriske patienter.
Yderligere oplysninger
Vores propecia (Finasteride) bivirkninger Drug Center giver et omfattende overblik over tilgængelige lægemiddelinformation om de potentielle bivirkninger, når du tager denne medicin.
FDA -lægemiddelinformation
- Lægemiddelbeskrivelse
- Indikationer
- Bivirkninger
- Lægemiddelinteraktioner
- Advarsler
- Overdosis
- Klinisk farmakologi
- Medicin vejledning
Beskrivelse til propecia
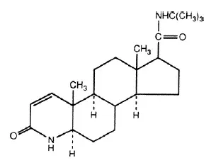
Propecia (finasterid) tabletter indeholder finasterid som den aktive ingrediens. Finasteride En syntetisk 4-azasteroidforbindelse er en specifik hæmmer af steroid type II 5a-reduktase Et intracellulært enzym, der konverterer androgen testosteron i 5a-dihydrotestosteron (DHT).
Det kemiske navn på finasterid er N-tert-butyl-3-oxo-4-aza-5a-androst-1-en-17β-carboxamid. Den empiriske formel for finasterid er C 23 H 36 N 2 O 2 og dens molekylvægt er 372,55. Dens strukturelle formel er:
|
Finasterid er et hvidt krystallinsk pulver med et smeltepunkt nær 250 ° C. Det er frit opløseligt i chloroform og i lavere alkoholopløsningsmidler, men er praktisk talt uopløselig i vand.
Propecia (finasterid) tabletter er filmbelagte tabletter til oral administration. Hver tablet indeholder 1 mg finasterid og følgende inaktive ingredienser: lactose monohydrat mikrokrystallinsk cellulose -pregelatiniseret stivelse natriumstivelse glycolat hydroxypropylmethylcellulose hydroxypropylcellulose titandioxidmagnesium stearat talcocusat sodium gult fiskede oxid- og reddikid.
Anvendelser til propecia
Propecia® er kun indikeret til behandling af hårtab af mandligt mønster (androgenetisk alopecia) hos mænd.
Effektivitet i bitemporal recession er ikke fastlagt.
Propecia er ikke indikeret til brug hos kvinder.
Dosering til propecia
Propecia kan administreres med eller uden måltider.
Den anbefalede dosis propecia er en tablet (1 mg) taget en gang dagligt.
Generelt er daglig brug i tre måneder eller mere nødvendigt, før fordelen overholdes. Fortsat brug anbefales til at opretholde fordel, som bør evalueres med jævne mellemrum. Tilbagetrækning af behandling fører til reversering af virkningen inden for 12 måneder.
Hvor leveret
Doseringsformularer og styrker
Propecia Tabletter (1 mg) er solbrun ottekantet filmbelagte konvekse tabletter med stiliseret P-logo på den ene side og propecia på den anden.
Propecia Tabletter 1 mg er solbrun ottekantet filmbelagte konvekse tabletter med stiliseret P-logo på den ene side og propecia på den anden. De leveres som følger:
NDC 78206-152-01 flasker på 30 (med tørremiddel)
NDC 78206-152-02 Propak®-flasker på 90 (med tørremiddel).
Opbevaring og håndtering
Opbevares ved stuetemperatur 15-30 ° C (59-86 ° F). Hold beholderen lukket og beskyt mod fugt.
Gør lidocaine -patches dig højt
Kvinder bør ikke håndtere knuste eller ødelagte propecia -tabletter, når de er gravide eller potentielt kan være gravide på grund af muligheden for absorption af finasterid og den efterfølgende potentielle risiko for et mandligt foster. Propecia -tabletter er belagt og forhindrer kontakt med den aktive ingrediens under normal håndtering, forudsat at tabletterne ikke er brudt eller knust [se Advarsler og forholdsregler Brug i specifikke populationer og Patientinformation ].
Dist. Af: Organon LLC et datterselskab af Organon
Bivirkninger for Propecia
Kliniske forsøg oplever
Fordi kliniske forsøg udføres under vidt forskellige tilstande, kan der ikke sammenlignes bivirkninger, der er observeret i de kliniske forsøg med et lægemiddel, ikke direkte med hastigheder i de kliniske forsøg med et andet lægemiddel og afspejler muligvis ikke de hastigheder, der er observeret i klinisk praksis.
Kliniske studier til propecia (finasterid 1 mg) i behandlingen af hårtab af mandligt mønster
I tre kontrollerede kliniske forsøg med propecia af 12-måneders varighed blev 1,4% af patienterne, der tog propecia (n = 945), afbrudt på grund af ugunstige oplevelser, der blev betragtet som muligvis sandsynligvis eller bestemt lægemiddelrelateret (NULL,6% for placebo; n = 934).
Kliniske bivirkninger, der blev rapporteret som muligvis sandsynligvis eller bestemt lægemiddelrelateret hos ≥1% af patienterne behandlet med propecia eller placebo, er vist i tabel 1.
Tabel 1: Lægemiddelrelaterede bivirkninger for propecia (finasteride 1 mg) i år 1 (%) Mønstermønsterhårtab
| Propecia N = 945 | Placebo N = 934 | |
| Nedsat libido | 1.8 | 1.3 |
| Erektil dysfunktion | 1.3 | 0.7 |
| Ejakulationsforstyrrelse (nedsat volumen af ejakulat) | 1.2 (NULL,8) | 0,7 (NULL,4) |
| Seponering på grund af narkotikarelaterede seksuelle negative oplevelser | 1.2 | 0.9 |
Integreret analyse af kliniske bivirkninger viste, at under behandling med propecia 36 (NULL,8%) af 945 mænd havde rapporteret en eller flere af disse bivirkninger sammenlignet med 20 (NULL,1%) af 934 mænd behandlet med placebo (p = 0,04). Opløsning forekom hos mænd, der ophørte med terapi med propecia på grund af disse bivirkninger og hos de fleste af dem, der fortsatte terapi. Forekomsten af hver af ovennævnte ugunstige oplevelser faldt til ≤0,3% med det femte behandlingsår med propecia.
kroatien hvad man skal gøre og se
I en undersøgelse af finasterid 1 mg dagligt hos raske mænd blev der observeret et medianfald i ejakulatvolumen på 0,3 ml (- 11%) sammenlignet med 0,2 ml (-8%) for placebo efter 48 ugers behandling. To andre undersøgelser viste, at finasterid ved 5 gange doseringen af propecia (5 mg dagligt) frembragte signifikante medianfald på ca. 0,5 ml (-25%) sammenlignet med placebo i ejakulatvolumen, men dette var reversibelt efter ophør af behandlingen.
I de kliniske undersøgelser med propecia var forekomsten for bryst ømhed og forstørrelse af overfølsomhedsreaktioner og testikelsmerter hos finasteridbehandlede patienter ikke forskellige fra dem hos patienter, der blev behandlet med placebo.
Kontrollerede kliniske forsøg og langsigtede åbne udvidelsesundersøgelser for Proscar® (Finasteride 5 mg) og Avodart (Dutasteride) i behandlingen af godartet prostatahyperplasi
I PROSCAR langtidseffektivitet og sikkerhedsundersøgelse (PLESS) blev en 4-årig kontrolleret klinisk undersøgelse 3040 patienter i alderen 45 og 78 år med symptomatisk BPH og en forstørret prostata evalueret for sikkerhed over en periode på 4 år (1524 på proscar 5 mg/dag og 1516 på placebo). 3,7% (57 patienter) behandlet med proscar 5 mg og 2,1% (32 patienter) behandlet med placebo ophørte terapi som et resultat af bivirkninger relateret til seksuel funktion, som er de hyppigst rapporterede bivirkninger.
Tabel 2 viser de eneste kliniske bivirkninger, der betragtes som muligvis sandsynligvis eller bestemt lægemiddelrelateret af den efterforsker, som forekomsten af proscar var ≥1% og større end placebo i løbet af de 4 år af undersøgelsen. I årene 2-4 af undersøgelsen var der ingen signifikant forskel mellem behandlingsgrupper i forekomsten af impotens reduceret libido og ejakulationsforstyrrelse.
Tabel 2: Lægemiddelrelaterede bivirkninger for proscar (finasteride 5 mg) godartet prostatahyperplasi
| År 1 (%) | År 2 3 og 4* (%) | |||
| Finasteride 5 mg | Placebo | Finasteride 5 mg | Placebo | |
| Impotens | 8.1 | 3.7 | 5.1 | 5.1 |
| Nedsat libido | 6.4 | 3.4 | 2.6 | 2.6 |
| Nedsat volumen ejakuleret | 3.7 | 0.8 | 1.5 | 0.5 |
| Ejakulationsforstyrrelse | 0.8 | 0.1 | 0.2 | 0.1 |
| Brystforstørrelse | 0.5 | 0.1 | 1.8 | 1.1 |
| Bryst ømhed | 0.4 | 0.1 | 0.7 | 0.3 |
| Udslæt | 0.5 | 0.2 | 0.5 | 0.1 |
| *Kombinerede år 2-4 N = 1524 og 1516 Finasteride vs placebo |
De skadelige oplevelsesprofiler i den 1-årige placebokontrollerede fase III BPH-undersøgelser og de 5-årige åbne udvidelser med proscar 5 mg og pless var ens.
Der er ingen tegn på øgede seksuelle bivirkninger med øget behandlingsvarighed med proscar 5 mg. Nye rapporter om narkotikarelaterede seksuelle bivirkninger faldt med behandlingsvarigheden.
I løbet af 4- til 6-årig placebo- og komparatorstyret medicinsk terapi af prostatasymptomer (MTOPS) -undersøgelse, der tilmeldte 3047 mænd, var der 4 tilfælde af brystkræft hos mænd, der blev behandlet med proscar, men ingen tilfælde hos mænd, der ikke blev behandlet med proscar. I løbet af den 4-årige placebokontrollerede Pless-undersøgelse, der tilmeldte 3040 mænd, var der 2 tilfælde af brystkræft i placebo-behandlede mænd, men ingen tilfælde blev rapporteret hos mænd, der blev behandlet med proscar.
I løbet af det 7-årige placebokontrollerede forsøgsforebyggelse af prostatacancer (PCPT), der tilmeldte 18882 mænd, var der 1 tilfælde af brystkræft hos mænd, der blev behandlet med proscar og 1 tilfælde af brystkræft hos mænd, der blev behandlet med placebo. Forholdet mellem langvarig brug af finasterid og mandlig brystneoplasi er i øjeblikket ukendt.
PCPT-forsøget var en 7-årig randomiseret dobbeltblind placebokontrolleret forsøg, der tilmeldte 18882 raske mænd ≥55 år med en normal digital rektal undersøgelse og en PSA ≤3,0 ng/ml. Mænd modtog enten proscar (Finasteride 5 mg) eller placebo dagligt. Patienter blev evalueret årligt med PSA og digitale rektale eksamener. Biopsier blev udført for forhøjet PSA en unormal digital rektal eksamen eller slutningen af studiet. Forekomsten af Gleason-score 8-10 prostatacancer var højere hos mænd behandlet med finasterid (NULL,8%) end hos dem, der blev behandlet med placebo (NULL,1%). I et 4-årigt placebokontrolleret klinisk forsøg med en anden 5a-reduktaseinhibitor [Avodart (Dutasteride)] blev lignende resultater for Gleason-score 8-10 prostatacancer observeret (1% Dutasterid vs 0,5% placebo). Den kliniske betydning af disse fund med hensyn til brug af propecia af mænd er ukendt.
Der er ikke påvist nogen klinisk fordel hos patienter med prostatacancer behandlet med proscar. Proscar er ikke godkendt til at reducere risikoen for at udvikle prostatacancer.
Spørgeskema for seksuel funktion
Et spørgeskema for seksuel funktion blev selvadministreret af patienter, der deltog i de to skaldekarvhedsforsøg for at opdage mere subtile ændringer i seksuel funktion. Ved måned 12 blev der fundet statistisk signifikante forskelle til fordel for placebo på 3 ud af 4 domæner (erektioner af seksuel interesse og opfattelse af seksuelle problemer). Imidlertid blev der ikke set nogen signifikant forskel i spørgsmålet om den samlede tilfredshed med sexlivet.
I en af de to toppunktskaldhedsundersøgelser blev patienter stillet spørgsmålstegn ved vækst ikke-skalpende kropshårvækst. Propecia så ikke ud til at påvirke ikke-scalp kropshår.
Oplevelse af postmarketing
Følgende bivirkninger er blevet identificeret under anvendelse af propecia efter godkendelse af propecia. Fordi disse reaktioner rapporteres frivilligt fra en population af usikker størrelse, er det ikke altid muligt at pålideligt estimere deres frekvens eller etablere et årsagsforhold til eksponering for lægemidler:
Overfølsomhedsreaktion: Overfølsomhedsreaktioner såsom udslæt kløe urticaria og angioødem (inklusive hævelse af læbens tunge hals og ansigt);
Reproduktionssystem: seksuel dysfunktion, der fortsatte efter seponering af behandlingen inklusive erektil dysfunktion libido lidelser ejakulationsforstyrrelser og orgasmeforstyrrelser; Mandlig infertilitet og/eller dårlig sædkvalitet (normalisering eller forbedring af sædkvalitet er rapporteret efter seponering af finasterid); testikel smerte; Hematospermia.
Neoplasmer: mandlig brystkræft;
Brystforstyrrelser: bryst ømhed og udvidelse;
Nervesystem/psykiatrisk: Depression Suicidal Ideation and Behaviour.
Lægemiddelinteraktioner for Propecia
Cytochrome P450-bundne lægemiddelmetaboliserende enzymsystem
Der er ikke identificeret nogen lægemiddelinteraktioner af klinisk betydning. Finasterid ser ikke ud til at påvirke det cytochrome P450-bundne lægemiddel-metaboliserende enzymsystem. Forbindelser, der er testet hos mennesker, inkluderer antipyrin digoxin -propranolol -teofyllin og warfarin, og der blev ikke fundet nogen klinisk meningsfulde interaktioner.
Anden samtidig terapi
Selvom specifikke interaktionsundersøgelser ikke blev udført finasterid-doser på 1 mg eller mere, blev der samtidig anvendt i kliniske studier med acetaminophen acetylsalicylsyre α-blokkere analgetika angiotensin-konverterende enzym (ess) hæmmere antikonvulsiv HMG-CoA-reduktaseinhibitorer prostaglandin-syntetaseinhibitorer (også benævnt NSAID'er) og quinolon-anti-infektive uden bevis for klinisk signifikante ugunstige interaktioner.
Advarsler om propecia
Inkluderet som en del af FORHOLDSREGLER afsnit.
Forholdsregler for propecia
Eksponering af kvinder - risiko for mandlig foster
Propecia er ikke indikeret til brug hos kvinder. Women should not hogle crushed or broken Propecia tablets when they are pregnant or may potentially be pregnant because of the possibility of absorption of finasteride og the subsequent potential risk to a male fetus. Propecia tablets are coated og will prevent contact with the active ingredient during normal hogling provided that the tablets have not been broken or crushed. [See Indikationer og brug Kontraindikationer Brug i specifikke populationer Hvor leveret / Opbevaring og håndtering og Oplysninger om patientrådgivning ]
Effekter på prostataspecifikt antigen (PSA)
I kliniske studier med propecia (finasterid 1 mg) hos mænd 18-41 år gammel er middelværdien af serumprostataspecifikt antigen ( Psa ) faldt fra 0,7 ng/ml ved baseline til 0,5 ng/ml ved måned 12. Yderligere i kliniske studier med proscar (finasterid 5 mg), når de bruges i ældre mænd, der har godartet prostatahyperplasi (BPH) PSA -niveauer, reduceres med ca. 50%. Andre undersøgelser med proscar viste, at det også kan forårsage fald i serum PSA i nærvær af prostatacancer. Disse fund bør tages i betragtning for korrekt fortolkning af serum PSA, når de evaluerer mænd behandlet med finasterid. Enhver bekræftet stigning fra den laveste PSA-værdi, mens den er på propecia, kan signalere tilstedeværelsen af prostatacancer og bør evalueres, selvom PSA-niveauer stadig er inden for det normale interval for mænd, der ikke tager en 5a-reduktaseinhibitor. Ikke-overholdelse af terapi med propecia kan også påvirke PSA-testresultater.
Øget risiko for høj kvalitet prostatacancer med 5a-reduktaseinhibitorer
Mænd i alderen 55 år og derover med en normal digital rektal undersøgelse og PSA ≤3,0 ng/ml ved baseline, der tog finasterid 5 mg/dag (5 gange dosis af propecia) i den 7-årige prostatacancerforebyggelsesforsøg (PCPT) havde en øget risiko for GLEA-score 8-10 prostatacancer (Finasteride 1,8% vs placeringsbo 1,1%). [Se Bivirkninger ] Lignende resultater blev observeret i et 4-årigt placebokontrolleret klinisk forsøg med en anden 5a-reduktaseinhibitor (Dutasteride Avodart) (1% Dutasterid vs 0,5% placebo). 5a-reduktaseinhibitorer kan øge risikoen for udvikling af høj kvalitet prostatacancer. Hvorvidt virkningen af 5a-reduktaseinhibitorer for at reducere prostata-volumen eller undersøgelsesrelaterede faktorer påvirkede resultaterne af disse undersøgelser er ikke blevet fastlagt.
Pædiatriske patienter
Propecia is not indicated for use in pediatric patients [see Brug i specifikke populationer ].
Oplysninger om patientrådgivning
Rådgiv patienten om at læse den FDA-godkendte patientmærkning ( Patientinformation ).
Eksponering af kvinder - risiko for mandlig foster
Læger skal informere patienter om, at kvinder, der er gravide eller potentielt kan være gravide, ikke skal håndtere knuste eller ødelagte propecia -tabletter på grund af muligheden for at absorption af finasterid og den efterfølgende potentielle risiko for et mandligt foster. Propecia -tabletter er belagt og forhindrer kontakt med den aktive ingrediens under normal håndtering, forudsat at tabletterne ikke er blevet brudt eller knust. Hvis en kvinde, der er gravid eller potentielt kan være gravid, kommer i kontakt med knuste eller ødelagte propecia -tabletter, skal kontaktområdet ikke vaskes med sæbe og vand [se Kontraindikationer Advarsler og forholdsregler Brug i specifikke populationer og Hvor leveret / Opbevaring og håndtering ].
Øget risiko for høj kvalitet prostatacancer
Patienter skal informeres om, at der var en stigning i prostatacancer i høj kvalitet hos mænd behandlet med 5a-reduktaseinhibitorer, der er angivet til BPH-behandling sammenlignet med dem, der blev behandlet med placebo i undersøgelser, der ser på brugen af disse lægemidler for at forhindre prostatacancer [se Advarsler og forholdsregler og Bivirkninger ].
Seksuelle bivirkninger
Læger skal informere patienterne om, at propecia kan forårsage symptomer på seksuel dysfunktion, såsom nedsat libido erektil dysfunktion og ejakulationsforstyrrelse, herunder nedsat ejakulatvolumen.
min lanta
Yderligere instruktioner
Læger skal instruere deres patienter om straks at rapportere eventuelle ændringer i deres bryster, såsom klumpesmerter eller nippeludladning. Brystændringer inklusive ømhed i brystforstørrelsen og neoplasma er rapporteret [se Bivirkninger ].
Læger skal instruere deres patienter til at læse indsatsen for patientpakken, inden de starter terapi med propecia og til at læse den igen hver gang recept er fornyet, så de er opmærksomme på aktuelle oplysninger til patienter vedrørende propecia.
Ikke -klinisk toksikologi
Karcinogenese mutagenese nedskrivning af fertilitet
Der blev ikke observeret noget bevis for, at en tumorigen virkning blev observeret i en 24-måneders undersøgelse i Sprague-Dawley-rotter, der fik doser af finasteride op til 160 mg/kg/dag hos mænd og 320 mg/kg/dag hos kvinder. Disse doser producerede respektive systemiske eksponering hos rotter på 888 og 2192 gange dem, der blev observeret hos mennesker, der modtog den anbefalede humane dosis på 1 mg/dag. Alle eksponeringsberegninger var baseret på beregnet AUC (0-24 timer) for dyr og betyder AUC (0-24 timer) for MAN (NULL,05 μg • HR/ml).
I en 19-måneders carcinogenicitetsundersøgelse i CD-1-mus blev der observeret en statistisk signifikant (p≤0,05) stigning i forekomsten af testikulære Leydig-celleadenomer ved 1824 gange den menneskelige eksponering (250 mg/kg/dag). Hos mus ved 184 gange estimerede den humane eksponering (25 mg/kg/dag) og hos rotter ved 312 gange den menneskelige eksponering (≥40 mg/kg/dag) en stigning i forekomsten af Leydig -cellehyperplasi blev observeret. En positiv sammenhæng mellem de proliferative ændringer i Leydig-cellerne og en stigning i serum LH-niveauer (2- til 3 gange over kontrol) er blevet påvist i begge gnaverarter behandlet med høje doser af finasterid. Ingen lægemiddelrelaterede Leydig-celleændringer blev set i hverken rotter eller hunde behandlet med finasterid i 1 år ved 240 og 2800 gange (20 mg/kg/dag og 45 mg/kg/dag) eller i mus behandlet i 19 måneder ved 18,4 gange den estimerede menneskelige eksponering (NULL,5 mg/kg/dag).
Der blev ikke observeret noget bevis for mutagenicitet i en in vitro -bakteriel mutageneseassay et pattedyrcellemutageneseassay eller i et in vitro -alkalisk elueringsassay. I et in vitro -kromosomafvigelsesassay ved anvendelse af kinesiske hamster -æggestokkceller var der en lille stigning i kromosomafvigelser. I et in vivo-kromosomafvigelsesassay hos mus blev der ikke observeret nogen behandlingsrelateret stigning i kromosomafvigelse med finasterid ved de maksimale tolererede dosis på 250 mg/kg/dag (1824 gange den humane eksponering) som bestemt i carcinogenicitetsundersøgelserne.
Hos seksuelt modne mandlige kaniner behandlet med finasterid ved 4344 gange den menneskelige eksponering (80 mg/kg/dag) i op til 12 uger blev der ikke set nogen effekt på frugtbarheds sædtælling eller ejakulatvolumen. I seksuelt modne mandlige rotter behandlet med 488 gange den menneskelige eksponering (80 mg/kg/dag) var der ingen signifikante effekter på fertilitet efter 6 eller 12 ugers behandling; Men når behandlingen blev fortsat i op til 24 eller 30 uger, var der et tilsyneladende fald i fertilitetsfecundity og et tilknyttet signifikant fald i vægterne af sædvesiklerne og prostata. Alle disse effekter var reversible inden for 6 uger efter seponering af behandlingen. Ingen lægemiddelrelateret effekt på testikler eller på parringsydelse er blevet set hos rotter eller kaniner. Dette fald i fertilitet i finasterid-behandlede rotter er sekundært med dens virkning på tilbehørsexorganer (prostata og sædvesikler), hvilket resulterer i manglende dannelse af et sædvanligt stik. Seminalstikket er vigtigt for normal fertilitet hos rotter, men er ikke relevant hos mennesker.
Brug i specifikke populationer
Graviditet
Graviditet Category X [see Kontraindikationer ]. Propecia is contraindicated for use in women who are or may become pregnant. Propecia is a Type II 5α-reductase inhibitor that prevents conversion of testosteron to 5α-dihydrotestosteron (DHT) a hormone necessary for normal development of male genitalia. In animal studies finasteride caused abnormal development of external genitalia in male fetuses. If this drug is used during pregnancy or if the patient becomes pregnant while taking this drug the patient should be apprised of the potential hazard to the male fetus.
Unormal mandlig kønsorganudvikling er en forventet konsekvens, når konvertering af testosteron til 5a-dihydrotestosteron (DHT) hæmmes af 5a-reduktaseinhibitorer. Disse resultater ligner dem, der er rapporteret hos mandlige spædbørn med genetisk 5a-reduktasemangel. Kvinder kunne udsættes for finasterid gennem kontakt med knuste eller ødelagte propecia -tabletter eller sæd fra en mandlig partner, der tager propecia. Med hensyn til eksponering for finasterid gennem hudens propecia -tabletter coates og forhindrer hudkontakt med finasterid under normal håndtering, hvis tabletterne ikke er blevet knust eller brudt. Kvinder, der er gravide eller kan blive gravide, bør ikke håndtere knuste eller ødelagte propecia -tabletter på grund af mulig eksponering af et mandligt foster. Hvis en gravid kvinde kommer i kontakt med knuste eller ødelagte propecia -tabletter, skal kontaktområdet vaskes øjeblikkeligt med sæbe og vand. Med hensyn til potentiel eksponering for finasterid gennem sæd er der foretaget en undersøgelse hos mænd, der modtager propecia 1 mg/dag, der målte finasteridkoncentrationer i sæd [se Klinisk farmakologi ].
I en embryo-føtal udviklingsundersøgelse modtog gravide rotter finasterid i perioden med større organogenese (drægtighedsdage 6 til 17). Ved moderens doser af oral finasterid ca. 1 til 684 gange den anbefalede humane dosis (RHD) på 1 mg/dag (baseret på AUC i dyre doser på 0,1 til 100 mg/kg/dag) var der en dosisafhængig stigning i hypospadier, der forekom i 3,6 til 100% af mandlige afkom. Eksponeringsmultipler blev estimeret ved hjælp af data fra ikke -gravide rotter. Dage 16 til 17 drægtighed er en kritisk periode hos mandlige føtalrotter til differentiering af de eksterne kønsorganer. Ved orale moderlige doser ca. 0,2 gange RHD (baseret på AUC ved dyre dosis på 0,03 mg/kg/dag) havde mandlige afkom reduceret prostata og sædvanlige vesikulære vægte forsinket preputial adskillelse og kortvarig nippeludvikling. Nedsat anogenital afstand forekom hos mandlige afkom af gravide rotter, der modtog ca. 0,02 gange RHD (baseret på AUC ved dyredosis på 0,003 mg/kg/dag). Der blev ikke observeret nogen abnormiteter hos kvindelige afkom, der blev udsat for nogen dosis finasterid i utero.
Der blev ikke observeret nogen udviklingsmæssige abnormiteter hos afkom af ubehandlede hunner parret med finasterid-behandlede hanrotter, der modtog ca. 488 gange RHD (baseret på AUC ved dyre dosis på 80 mg/kg/dag). Lidt nedsat fertilitet blev observeret i mandlige afkom efter administration af ca. 20 gange RHD (baseret på AUC ved dyre dosis på 3 mg/kg/dag) til hunrotter under sen drægtighed og amning. Ingen effekter på fertilitet blev set hos kvindelige afkom under disse forhold.
Der blev ikke observeret noget bevis for mandlige eksterne kønsorganer eller andre abnormiteter i kaninfostre, der blev udsat for finasterid i perioden med større organogenese (drægtighedsdage 6-18) ved mødroser op til 100 mg/kg/dag (finasterideksponeringsniveauer blev ikke målt i rabbiterne). Imidlertid har denne undersøgelse muligvis ikke inkluderet den kritiske periode for finasterideffekter på udvikling af mandlige eksterne kønsorganer i kaninen.
De føtale virkninger af eksponering af moderlig finasterid i perioden med embryonal og føtal udvikling blev evalueret i rhesus-abe (drægtighedsdage 20-100) i en art og udviklingsperiode, der var mere forudsigelig for specifikke effekter hos mennesker end undersøgelserne hos rotter og kaniner. Intravenøs administration af finasterid til gravide aber ved doser så høje som 800 ng/dag (estimeret maksimal blodkoncentration på 1,86 ng/ml eller ca. 930 gange den højeste estimerede eksponering af gravide kvinder til finasterid fra sæd af mænd, der tog 1 mg/dag), resulterede ikke i abnormiteter i mandlige fede. Som bekræftelse af relevansen af Rhesus -modellen for human føtal udviklingsoral administration af en dosis finasterid (2 mg/kg/dag eller ca. 120000 gange resulterede de højeste estimerede blodniveauer af finasterid fra sæd af mænd 1 mg/dag) til gravide aber i eksterne genitale abnormaliteter i mandlige fetus. Der blev ikke observeret nogen andre abnormiteter i mandlige fostre, og der blev ikke observeret nogen finasteridrelaterede abnormiteter i kvindelige fostre i nogen dosis.
Sygeplejerske mødre
Propecia er ikke indikeret til brug hos kvinder.
Det vides ikke, om finasterid udskilles i human mælk.
Pædiatrisk brug
Propecia is not indicated for use in pediatric patients.
Sikkerhed og effektivitet hos pædiatriske patienter er ikke etableret.
Geriatrisk brug
Kliniske effektivitetsundersøgelser med propecia inkluderede ikke personer i alderen 65 år og derover. Baseret på farmakokinetikken af finasterid 5 mg Ingen doseringsjustering er nødvendig hos ældre for propecia [se Klinisk farmakologi ]. However the efficacy of Propecia in the elderly has not been established.
Leverskrivning i leveren
Der skal udvises forsigtighed i administrationen af propecia hos de patienter med leverfunktions abnormiteter, da finasterid metaboliseres i vid udstrækning i leveren [se Klinisk farmakologi ].
Nedskærmning af nyren
Ingen doseringsjustering er nødvendig hos patienter med nedsat nyrefunktion [se Klinisk farmakologi ].
Overdoseringsoplysninger til propecia
I kliniske undersøgelser af finasteride op til 400 mg og flere doser af finasteride op til 80 mg/dag i tre måneder resulterede ikke i bivirkninger. Indtil der opnås yderligere erfaring, kan der ikke anbefales nogen specifik behandling af en overdosis med finasterid.
Signifikant dødelighed blev observeret hos han- og hunmus ved enkelt orale doser på 1500 mg/m² (500 mg/kg) og hos hunrotter og hanrotter på enkelt orale doser på 2360 mg/m² (400 mg/kg) og 5900 mg/m² (1000 mg/kg).
Kontraindikationer for propecia
Propecia is contraindicated in the following:
- Graviditet. Finasteride use is contraindicated in women when they are or may potentially be pregnant. Because of the ability of Type II 5α-reductase inhibitors to inhibit the conversion of testosteron to 5α-dihydrotestosteron (DHT) finasteride may cause abnormalities of the external genitalia of a male fetus of a pregnant woman who receives finasteride. If this drug is used during pregnancy or if pregnancy occurs while taking this drug the pregnant woman should be apprised of the potential hazard to the male fetus. [See Advarsler og forholdsregler Brug i specifikke populationer Hvor leveret / Opbevaring og håndtering og Oplysninger om patientrådgivning ] Hos kvindelige rotter har lave doser af finasterid indgivet under graviditet produceret abnormiteter i de eksterne kønsorganer hos mandlige afkom.
- Overfølsomhed over for enhver komponent i denne medicin.
Klinisk farmakologi for Propecia
Handlingsmekanisme
Finasterid er en konkurrencedygtig og specifik hæmmer af type II 5a-reduktase et intracellulært enzym, der omdanner androgen-testosteronet til DHT. To forskellige isozymer findes i mus rotter aber og mennesker: type I og II. Hver af disse isozymer udtrykkes differentielt i væv og udviklingsstadier. Hos mennesker er type I 5a-reduktase fremherskende i talgkirtlerne i de fleste hudområder inklusive hovedbund og lever. Type I 5a-reduktase er ansvarlig for cirka en tredjedel af cirkulerende DHT. Type II 5a-reduktase-isozym findes primært i prostata-sædvesiklerepididymider og hårsækker såvel som lever og er ansvarlig for to tredjedele af cirkulerende DHT.
Hos mennesker er finasteridmekanismen baseret på dens præferentielle inhibering af type II isozym. Ved anvendelse af native væv (hovedbund og prostata) in vitro-bindingsundersøgelser, der undersøgte potentialet for finasterid til at hæmme enten isozym, afslørede en 100 gange selektivitet for den humane type II 5a-reduktase over type I-isozym (IC50 = 500 og 4,2 nm for henholdsvis type I og II). For begge isozymer ledsages inhiberingen af finasterid af reduktion af inhibitoren til dihydrofinasterid og adduktdannelse med NADP. Omsætningen for enzymkomplekset er langsom (T½ ca. 30 dage for type II -enzymkomplekset og 14 dage for type I -komplekset). Inhibering af type II 5a-reduktase blokerer den perifere omdannelse af testosteron til DHT, hvilket resulterer i signifikante fald i serum- og væv-DHT-koncentrationer.
Hos mænd med mandligt mønsterhårtab (androgenetisk alopecia) indeholder den baldende hovedbund miniaturiserede hårsækker og øgede mængder DHT sammenlignet med behåret hovedbund. Administration af finasterid reducerer hovedbunden og serum -DHT -koncentrationer hos disse mænd. De relative bidrag fra disse reduktioner til behandlingseffekten af finasterid er ikke defineret. Ved denne mekanisme ser finasterid ud til at afbryde en nøglefaktor i udviklingen af androgenetisk alopecia hos de patienter, der er genetisk disponeret.
Farmakodynamik
Finasterid producerer en hurtig reduktion i serum-DHT-koncentration, der når 65% undertrykkelse inden for 24 timer efter oral dosering med en 1 mg tablet. Gennemsnitlige cirkulerende niveauer af testosteron og østradiol blev forøget med ca. 15% sammenlignet med baseline, men disse forblev inden for det fysiologiske interval.
Finasteride har ingen tilknytning til androgenreceptoren og har ingen ogrogenic Antiandrogen østrogen antiestrogeniske eller progestationelle virkninger. Forholdet mellem disse farmakodynamiske aktiviteter og mekanismerne (e), hvormed propecia udøver sin kliniske virkning, er ukendt. I undersøgelser med finasterid blev der ingen klinisk meningsfulde ændringer i luteiniserende hormon (LH) follikelstimulerende hormon (FSH) eller prolactin detekteret. I sunde frivillige behandling med finasterid ændrede ikke responsen fra LH og FSH på gonadotropin-frigivende hormon, hvilket indikerede, at den hypothalamiske-hypofyse-testikulære akse ikke blev påvirket. Finasterid havde ingen indflydelse på cirkulerende niveauer af cortisol-skjoldbruskkirtelstimulerende hormon eller thyroxin, og det påvirkede heller ikke plasmalipidprofilen (f.eks. Total kolesterol-lipoproteiner med lav densitet lipoproteiner og lipoproteiner med lav densitet og lipoproteiner og lipoproteiner og lipoproteiner og triglycerider ) eller knoglemineraltæthed.
Farmakokinetik
Absorption
I en undersøgelse i 15 raske unge mandlige forsøgspersoner var den gennemsnitlige biotilgængelighed af finasterid 1 mg tabletter 65% (område 26-170%) baseret på forholdet mellem areal under kurven (AUC) i forhold til en intravenøs (IV) referencedosis. Ved stabil tilstand efter dosering med 1 mg/dag (n = 12) maksimal finasteridplasmakoncentration var i gennemsnit 9,2 ng/ml (område 4,9-13,7 ng/ml) og blev nået 1 til 2 timer efter dosering; AUC (0-24 HR) var 53 ng • HR/ml (område 20-154 ng • HR/ml). Biotilgængelighed af finasterid blev ikke påvirket af mad.
Fordeling
Gennemsnitlig steady-state distributionsvolumen var 76 liter (område 44-96 liter; n = 15). Cirka 90% af cirkulerende finasterid er bundet til plasmaproteiner. Der er en langsom akkumuleringsfase for finasterid efter flere dosering.
Finasterid har vist sig at krydse blod-hjerne-barrieren.
Sædniveauer er blevet målt hos 35 mænd, der tager finasterid 1 mg/dag i 6 uger. I 60% (21 af 35) af prøverne var finasteridniveauer ikke påviselige ( <0.2 ng/mL). The mean finasteride level was 0.26 ng/mL og the highest level measured was 1.52 ng/mL. Using the highest semen level measured og assuming 100% absorption from a 5-mL ejaculate per day human exposure through vaginal absorption would be up to 7.6 ng per day which is 650-fold less than the dose of finasteride (5 μg) that had no effect on circulating DHT levels in men. [See Brug i specifikke populationer ]
Metabolisme
Finasterid metaboliseres i vid udstrækning i leveren primært via cytochrome P450 3A4 -enzymunderfamilien. To metabolitter T-butyl-sidekæden monohydroxylerede og monocarboxylsyremetabolitter er blevet identificeret, der ikke har mere end 20% af 5a-reduktaseinhiberende aktivitet af finasterid.
Udskillelse
Efter intravenøs infusion hos raske unge forsøgspersoner (n = 15) var gennemsnitlig plasmaklarering af finasterid 165 ml/min (område 70-279 ml/min). Den gennemsnitlige terminal halveringstid i plasma var 4,5 timer (område 3,3- 13,4 timer; n = 12). Efter en oral dosis på 14C-finasterid hos MAN (n = 6) blev et gennemsnit på 39% (område 32- 46%) af dosis udskilt i urinen i form af metabolitter; 57% (område 51-64%) blev udskilt i fæces.
Den gennemsnitlige terminal halveringstid er cirka 5-6 timer hos mænd 18-60 år og 8 timer hos mænd mere end 70 år.
Tabel 3: Gennemsnit (SD) Farmakokinetiske parametre hos raske mænd (i alderen 18-26 år)
Hvad er bupivacaine -injektion brugt til
| Gennemsnit (± SD) n = 15 | |
| Biotilgængelighed | 65% (26-170%)* |
| Clearance (ml/min) | 165 (55) |
| Distributionsvolumen (L) | 76 (14) |
| *Rækkevidde |
Tabel 4: Gennemsnitlig (SD) ikke-kompartementale farmakokinetiske parametre efter flere doser på 1 mg/dag hos raske mænd (i alderen 19-42)
| Gennemsnit (± SD) (n = 12) | |
| AUC (NG • HR/ML) | 53 (33.8) |
| Peak Concentration (af/ml) | 9.2 (2.6) |
| Tid til top (timer) | 1,3 (NULL,5) |
| Half-life (timer)* | 4.5 (1.6) |
| *Første dosisværdier; Alle andre parametre er sidste dosisværdier |
Nedskærmning af nyren
Ingen doseringsjustering er nødvendig hos patienter med nedsat nyrefunktion. Hos patienter med kronisk nedsat nyrefunktion med kreatininklareringer fra 9,0 til 55 ml/min. AUC maksimal plasmakoncentration Halveringstid og proteinbinding efter en enkelt dosis på 14 C-finasterid svarede til dem, der blev opnået hos raske frivillige. Urinudskillelse af metabolitter blev reduceret hos patienter med nedsat nyrefunktion. Dette fald var forbundet med en stigning i fækal udskillelse af metabolitter. Plasmakoncentrationer af metabolitter var signifikant højere hos patienter med nedsat nyrefunktion (baseret på en 60% stigning i den samlede radioaktivitet AUC). Finasterid er dog blevet tolereret hos mænd med normal nyrefunktion, der modtager op til 80 mg/dag i 12 uger, hvor eksponering af disse patienter for metabolitter formodentlig ville være meget større.
Leverskrivning i leveren
Effekten af leverindtægt på finasterid -farmakokinetik er ikke undersøgt. Forsigtighed bør anvendes til administration af propecia hos patienter med leverfunktions abnormiteter, da finasterid metaboliseres i vid udstrækning i leveren.
Kliniske studier
Undersøgelser hos mænd
Effektiviteten af propecia blev demonstreret hos mænd (88% kaukasisk) med mild til moderat androgenetisk alopecia (mandligt hårtab i mønster) mellem 18 og 41 år. For at forhindre seborrheisk dermatitis, der kan forvirre vurderingen af hårvækst i disse undersøgelser, blev alle mænd behandlet med finasterid eller placebo instrueret om at bruge en specificeret medicinsk tarbaseret shampoo (Neutrogena T/Gel® Shampoo) i de første 2 år af undersøgelserne.
Der var tre dobbeltblinde randomiserede placebokontrollerede undersøgelser af 12-måneders varighed. De to primære endepunkter var hårtælling og patientens selvvurdering; De to sekundære slutpunkter var efterforskervurdering og vurderinger af fotografier. Derudover blev der indsamlet information om seksuel funktion (baseret på et selvadministreret spørgeskema) og ikke-scalp kropsvækst. De tre undersøgelser blev udført i 1879 mænd med mild til moderat, men ikke komplet hårtab. To af de undersøgelser tilmeldte mænd med overvejende mild til moderat toppunkt hårtab (n = 1553). De tredje tilmeldte mænd, der har mildt til moderat hårtab i det forreste midtskalpområde med eller uden toppunktbalding (n = 326).
Undersøgelser hos mænd With Vertex Baldness
Af de mænd, der afsluttede de første 12 måneder af de to skaldex-skaldethedsforsøg, valgte 1215 at fortsætte i dobbeltblind placebokontrollerede 12-måneders udvidelsesundersøgelser. Der var 547 mænd, der modtog propecia for både den indledende undersøgelse og første forlængelsesperioder (op til 2 års behandling) og 60 mænd, der modtog placebo i samme perioder. Udvidelsesundersøgelserne blev fortsat i 3 yderligere år med 323 mænd på propecia og 23 på placebo, der kom ind i det femte år af undersøgelsen.
For at evaluere effekten af seponering af terapi var der 65 mænd, der modtog propecia i de første 12 måneder efterfulgt af placebo i den første 12-måneders forlængelsesperiode. Nogle af disse mænd fortsatte i yderligere udvidelsesundersøgelser og blev skiftet tilbage til behandling med propecia med 32 mænd, der kom ind i det femte år af undersøgelsen. Til sidst var der 543 mænd, der modtog placebo i de første 12 måneder efterfulgt af Propecia i den første 12-måneders forlængelsesperiode. Nogle af disse mænd fortsatte i yderligere udvidelsesundersøgelser, der modtog propecia med 290 mænd, der kom ind i det femte år af undersøgelsen (se figur 1 nedenfor).
Håroptællinger blev vurderet ved fotografiske udvidelser af et repræsentativt område med aktivt hårtab. I disse to undersøgelser hos mænd med toppunkt skaldethed blev der påvist betydelige stigninger i hårtælling efter 6 og 12 måneder hos mænd behandlet med propecia, mens der blev påvist betydeligt hårtab fra baseline hos dem, der blev behandlet med placebo. Efter 12 måneder var der en 107-hårs forskel fra placebo (P <0.001 Propecia [n=679] vs placebo [n=672]) within a 1-inch diameter circle (5.1 cm²). Hair count was maintained in those men taking Propecia for up to 2 years resulting in a 138-hair difference between treatment groups (p <0.001 Propecia [n=433] vs placebo [n=47]) within the same area. In men treated with Propecia the maximum improvement in hair count compared to baseline was achieved during the first 2 years. Although the initial improvement was followed by a slow decline hair count was maintained above baseline throughout the 5 years of the studies. Furthermore because the decline in the placebo group was more rapid the difference between treatment groups also continued to increase throughout the studies resulting in a 277-hair difference (p <0.001 Propecia [n=219] vs placebo [n = 15]) at 5 years (see Figure 1 below).
Patienter, der skiftede fra placebo til propecia (n = 425), havde et fald i hårtælling i slutningen af den første 12-måneders placebo-periode efterfulgt af en stigning i hårtælling efter 1 års behandling med propecia. Denne stigning i hårtælling var mindre (56 hår over den originale baseline) end stigningen (91 hår over den originale baseline) observeret efter 1 års behandling hos mænd, der oprindeligt var randomiseret til propecia. Selvom stigningen i hårtælling i forhold til, hvornår terapi blev påbegyndt, var sammenlignelig mellem disse to grupper, der blev opnået et højere absolutt hårantal hos patienter, der blev startet med behandling med propecia i den indledende undersøgelse. Denne fordel blev opretholdt gennem de resterende 3 år af undersøgelserne. En ændring af behandlingen fra propecia til placebo (n = 48) ved udgangen af de første 12 måneder resulterede i reversering af stigningen i hårtælling 12 måneder senere efter 24 måneder (se figur 1 nedenfor).
Efter 12 måneder havde 58% af mændene i placebogruppen yderligere hårtab (defineret som ethvert fald i hårtælling fra baseline) sammenlignet med 14% af mændene behandlet med propecia. Hos mænd, der blev behandlet i op til 2 år, demonstrerede 72% af mændene i placebogruppen hårtab sammenlignet med 17% af mændene behandlet med propecia. Efter 5 år demonstrerede 100% af mændene i placebogruppen hårtab sammenlignet med 35% af mændene behandlet med propecia.
Figur 1: Effekt på hårtælling † â
|
Patientens selvvurdering blev opnået ved hvert klinikbesøg fra et selvadministreret spørgeskema, der indeholdt spørgsmål om deres opfattelse af hårvæksthårtab og udseende. Denne selvvurdering demonstrerede en stigning i hårbeløbet et fald i hårtab og forbedring af udseende hos mænd behandlet med propecia. Den samlede forbedring sammenlignet med placebo blev set så tidligt som 3 måneder (s <0.05) with improvement maintained over 5 years.
Undersøgelsesvurdering var baseret på en 7-punkts skala, der vurderede stigninger eller fald i hovedbundshår ved hvert patientbesøg. Denne vurdering viste signifikant større stigninger i hårvækst hos mænd behandlet med propecia sammenlignet med placebo allerede i 3 måneder (P <0.001). At 12 months the investigators rated 65% of men treated with Propecia as having increased hair growth compared with 37% in the placebo group. At 2 years the investigators rated 80% of men treated with Propecia as having increased hair growth compared with 47% of men treated with placebo. At 5 years the investigators rated 77% of men treated with Propecia as having increased hair growth compared with 15% of men treated with placebo.
Et uafhængigt panel vurderede standardiserede fotografier af hovedet på en blindet måde baseret på stigninger eller fald i hovedbundshår ved hjælp af den samme 7-punkts skala som efterforskervurderingen. Efter 12 måneder havde 48% af mændene behandlet med propecia en stigning sammenlignet med 7% af mændene behandlet med placebo. Ved 2 år blev der påvist en stigning i hårvækst hos 66% af mændene behandlet med propecia sammenlignet med 7% af mændene behandlet med placebo. Efter 5 år demonstrerede 48% af mændene, der blev behandlet med propecia, en stigning i hårvækst 42% blev bedømt som ikke at have nogen ændring (ingen yderligere synlig progression af hårtab fra baseline) og 10% blev bedømt som at have mistet håret sammenlignet med baseline. Til sammenligning demonstrerede 6% af mændene, der blev behandlet med placebo, en stigning i hårvækst 19% blev bedømt som ikke at have nogen ændring, og 75% blev bedømt som mistet hår sammenlignet med baseline.
En 48-ugers placebokontrolleret undersøgelse designet til at vurdere ved fototrichogram Effekten af propecia på total og aktivt voksende (anagen) hovedbundshår i toppunkt skaldethed indskrev 212 mænd med androgenetisk alopecia. Ved baseline og 48 ugers i alt blev tællinger i anagenhår opnået i et 1 cm² målområde i hovedbunden. Mænd, der blev behandlet med propecia, viste stigninger fra i alt baseline og anagenhårtællinger på henholdsvis 7 hår og 18 hår, mens mænd, der blev behandlet med placebo, havde fald på henholdsvis 10 hår og 9 hår. Disse ændringer i hårtællinger resulterede i en forskel mellem gruppen på 17 hår i total hårtælling (P <0.001) og 27 hairs in anagen hair count (p <0.001) og an improvement in the proportion of anagen hairs from 62% at baseline to 68% for men treated with Propecia.
Undersøg hos mænd med hårtab i det forreste mid-skalpsområde
En undersøgelse af 12-måneders varighed designet til at vurdere effektiviteten af propecia hos mænd med hårtab i det forreste midtskalpområde demonstrerede også signifikante stigninger i hårtælling sammenlignet med placebo. Stigninger i hårtælling blev ledsaget af forbedringer i patientens selvvurderingsundersøgelsesvurdering og ratings baseret på standardiserede fotografier. Håroptællinger blev opnået i det forreste midterste skalpsområde og inkluderede ikke området med bitemporal recession eller den forreste hårgrænse.
Resumé af kliniske studier hos mænd
Kliniske undersøgelser blev udført hos mænd i alderen 18 til 41 år med milde til moderate grader af androgenetisk alopecia. Alle mænd, der blev behandlet med propecia eller placebo, modtog en tar-baseret shampoo (Neutrogena T/Gel® shampoo) i løbet af de første 2 år af undersøgelserne. Klinisk forbedring blev set så tidligt som 3 måneder hos de patienter, der blev behandlet med propecia, og førte til en nettoforøgelse i hovedbundshårantal og hårvækst. I kliniske studier i op til 5 års behandling med propecia bremsede den yderligere progression af hårtab observeret i placebogruppen. Generelt fortsatte forskellen mellem behandlingsgrupper med at stige gennem de 5 år af undersøgelserne.
Etnisk analyse af kliniske data fra mænd
I en kombineret analyse af de to undersøgelser af toppunkt skaldethed betyder det, at hårtællingsændringer fra baseline var 91 mod -19 hår (propecia vs placebo) blandt kaukasiere (n = 1185) 49 vs -27 hår blandt sorte (n = 84) 53 vs -38 hår blandt asiat Blandt andre etniske grupper (n = 20). Patientens selvvurdering viste forbedring på tværs af racegrupper med propecia-behandling undtagen tilfredshed med den frontale hårgrænse og toppunktet hos sorte mænd, der generelt var tilfredse.
Undersøg hos kvinder
I en undersøgelse, der involverede 137 postmenopausale kvinder med androgenetisk alopecia, som blev behandlet med propecia (n = 67) eller placebo (n = 70) i 12 måneder, kunne effektiviteten ikke demonstreres. Der var ingen forbedring i hårtællinger til patientens selvvurderingsundersøgelsesvurdering eller ratings af standardiserede fotografier hos kvinderne behandlet med propecia sammenlignet med placebogruppen [se Indikationer og brug ].
Patientinformation til propecia
Ingen oplysninger leveret. Se Advarsler og forholdsregler afsnit.