Oplysningerne På Webstedet Er Ikke Medicinsk Rådgivning. Vi Sælger Ikke Noget. Nøjagtigheden Af ​​Oversættelsen Er Ikke Garanteret. Ansvarsfraskrivelse



Roxanol

Resume af lægemiddeloversigt

Hvad er Roxanol?

Roxanol (morfin sulfat) er en stærkt koncentreret opløsning af det narkotiske smertestillende morfin sulfat til oral indgivelse, der anvendes til behandling af svær kronisk smerte.

Hvad er bivirkninger af Roxanol?

Bivirkninger af Roxanol inkluderer:



  • forstoppelse
  • kvalme
  • opkast
  • mavesmerter
  • diarre
  • Tab af appetit
  • vægttab
  • hovedpine
  • svimmelhed
  • Spinning sensation
  • angst
  • Flushing (varme rødme eller prikkende følelse)
  • Hukommelsesproblemer eller
  • Søvnproblemer (søvnløshed eller mærkelige drømme).

Dosering til Roxanol

Den sædvanlige voksne orale dosis af roxanol er 10 til 30 mg hver 4. time eller som instrueret af læge.



Hvilke stoffer stoffer eller kosttilskud interagerer med Roxanol?

Roxanol kan interagere med alkohol andre narkotiske smertestillende medicin Antidepressiva Sedativer Tranquilizers Sleeping Pills Muskelafslappere Andre lægemidler, der kan gøre dig søvnig eller bremse dine vejrtrækningskimetidin buprenorphin butorphanol nalbuphine pentazocin eller diuretika (vandpiller). Fortæl din læge alle medicin og kosttilskud, du bruger.

Roxanol under graviditet og amning

Det vides ikke, om morfin kan forårsage føtal skade, når den administreres til en gravid kvinde, så morfin kun skal gives til en gravid kvinde, hvis det er klart nødvendigt. Morfin krydser let placentabarrieren, og hvis den administreres under fødslen kan føre til respirationsdepression i nyfødte. Morfin er blevet påvist i human mælk. Af denne grund bør der udvises forsigtighed, når morfin administreres til en ammende kvinde.



Forårsager Lisinopril HCTZ vægttab

Yderligere oplysninger

Vores Roxanol -bivirkninger Drug Center giver et omfattende overblik over tilgængelige lægemiddelinformation om de potentielle bivirkninger, når du tager denne medicin.

FDA -lægemiddelinformation

Beskrivelse for Roxanol

Hver ML af Roxanol ™ indeholder:

Morfin sulfat ...................................... 20 mg

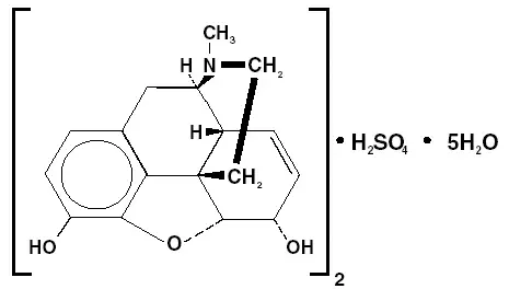
Kemisk morfinsulfat er Morphinan-36-Diol 78-Didehydro-45-Epoxy-17-methyl- (5a6a)-Sul-Fate (2: 1) (salt) pentahydrat, som kan repræsenteres ved følgende strukturformel:

Morfin sulfat fungerer som et narkotisk smertestillende middel.

Anvendelser til Roxanol

Morfin er indikeret til lindring af svær akut og svær kronisk smerte.

Dosering til Roxanol

FORSIGTIGHED : Roxanol ™ (Morphinsulfat 20 mg/ml) er en stærkt koncentreret opløsning af morfinsulfat til oral indgivelse.Error i dosering eller forvirring mellem milligram (mg) morfin og ml (ml) opløsning kan forårsage betydelig overdosering. Doseringsinstruktioner skal tydeligt er forudskrevet i milligram (Mg) morfin og milliliter (ml) opløsning. Kontroller korrekt dosis og volumen inden administration til patienten .

Almindelig voksen oral dosis

10 til 30 mg hver 4. time eller som instrueret af læge. Dosering er en patientafhængig variabel, derfor kan øget dosering være påkrævet for at opnå tilstrækkelig analgesi.

Til kontrol af svær kronisk smerte hos patienter med visse terminale sygdomme skal dette lægemiddel administreres regelmæssigt planlagt hver 4. time på det laveste doseringsniveau, der vil opnå tilstrækkelig analgesi.

Note : Medicin kan undertrykke respiration hos ældre de meget syge, og de patienter med luftvejsproblemer kan derfor være nødvendige med lavere doser.

Morfindoseringsreduktion

I løbet af de første to til tre dage med effektiv smertelindring kan patienten sove i mange timer. Dette kan fortolkes fejlagtigt som effekten af ​​overdreven smertestillende dosering snarere end det første tegn på lettelse hos en smerte, der er udmattet af patienten. Dosis bør derfor opretholdes i mindst tre dage før reduktion, hvis åndedrætsaktivitet og andre vitaler tegn er tilstrækkelige.

Efter vellykket lindring af alvorlige smerter periodiske forsøg på at reducere den narkotiske dosis bør gøres. Mindre doser eller fuldstændig seponering af det narkotiske smertestillende middel kan blive muligt på grund af en fysiologisk ændring eller patientens forbedrede mentale tilstand.

Hvor leveret

Roxanol ™
Morfin sulfat (øjeblikkelig frigivelse)
Oral opløsning (koncentrat)

20 mg pr. Ml

NDC 66479-560-03: flasker med 30 ml med kalibreret dropper.

NDC 66479-560-12: flasker på 120 ml med kalibreret dropper.

NDC 66479-560-24: flasker med 240 ml med kalibreret ske.

Opbevaring ved 25 ° C (77 ° F); udflugter er tilladt til 15 ° -30 ° C (59 ° -86 ° F) [se USP-kontrolleret stuetemperatur]

DEA -ordreformular krævet.
Roxanol (morfin sulfat) er et varemærke til Xanodyne Pharmaceuticals Inc.
© 2005 Xanodyne Pharmaceuticals Inc. Fremstillet af: Boehringer Ingelheim Roxane Inc. Columbus OH 43216
Markedsført af: Xanodyne Pharmaceuticals Inc. Newport KY 41071. Rev.10-2005. FDA Rev Date:

Bivirkninger for roxanol

De vigtigste farer ved morfin som andre narkotiske smertestillende midler er respira-tory depression, og i mindre grad af cirkulationsdepression. Respiratorisk anholdelseschok og hjertestop har forekommet.

De hyppigst observerede bivirkninger inkluderer svimmelhed i svimmelhed i svimmelhed, der opkast og sved. Disse effekter synes at være mere fremtrædende hos ambulante patienter og hos dem, der lider af alvorlige smerter. I sådanne individer er der lavere doser tilgængelige. Nogle bivirkninger kan afhjælpes hos den ambulante patient, hvis han ligger ned.

Andre bivirkninger inkluderer følgende

Centralnervesystem: Euphoria dysfori svaghed hovedpine søvnløshedsafviklingsusorientering og synsforstyrrelser.

Gastrointestinal: Dørmund Anorexia Forstoppelse og galdebane Spasmer.

Kardiovaskulær: Skylning af ansigtet Bradycardia Palpitation Weasness and Syncope.

Allergisk: Pruritus urticaria Andre hududslæt ødemer og sjældent hæmoragisk urticaria.

Behandling af de hyppigste bivirkninger

Forstoppelse

Rigelig indtagelse af vand eller andre væsker bør fremmes. Samtidig administration af en afføringblødgøringsmiddel og et peristaltisk stimulant med det narkotiske smertestillende middel kan være en effektiv forebyggende foranstaltning for de patienter, der har behov for terapeutika. Hvis eliminering ikke forekommer i to dage, skal et klyster administreres for at forhindre påvirkning.

I tilfælde af, at der forekommer diarré, er der anvendt sivning omkring fækal påvirkning, før der anvendes antidiarrhealforanstaltninger.

Kvalme og opkast

Phenothiaziner og antihistaminer kan være effektive behandlinger af kvalme af henholdsvis medullære og vestibulære kilder. Imidlertid kan disse lægemidler forstærke bivirkningerne af det narkotiske eller antinuseant.

Døsighed (sedation)

Når smertekontrol er opnået, kan uønsket sedation minimeres ved at titrere doseringen til et niveau, der bare opretholder en acceptabel smerte eller smertefri tilstand.

Stofmisbrug og afhængighed

Morfin sulfat Et narkotisk er et skema II -kontrolleret stof i henhold til loven om føderal kontrolleret stof. Som med andre narkotika kan nogle patienter udvikle en fysisk og psykologisk afhængighed af morfin. De kan øge doseringen uden at konsultere en læge og efterfølgende kan udvikle en fysisk afhængighed af lægemidlet. I sådanne tilfælde kan pludselig ophør udfælde typiske abstinenssymptomer inklusive kramper. Derfor skal lægemidlet gradvist trækkes tilbage fra enhver patient, der vides at tage for store doser over en lang periode.

Ved behandling af den terminalt syge patient kan fordelen ved smertelindring opveje muligheden for lægemiddelafhængighed. Risikoen for medikamentafhængighed reduceres væsentligt, når patienten placeres på planlagte narkotiske programmer i stedet for en smerte til lindringscyklus, der er typisk for et PRN-regime.

Lægemiddelinteraktioner for Roxanol

Generelt kan virkningerne af morfin styrkes af alkaliserende midler og antagoniseret af forsurende midler. Analgetisk virkning af morfin potentieres af chlorpromazin og methocarbamol. CNS-depressiva, såsom anæstetika Hypnotik Barbiturerer phenothiaziner Chlorhydratglutethimid-beroligende MaO-hæmmere (inklusive procarbazinhydro-chlorid) Antihistaminer ß-blokke (propranolol) alkoholfurazolidon og andre narcotics kan forbedre de depressende effekter af morfine.

Morfin kan øge antikoagulanten

Advarsler for Roxanol

Morfin kan forårsage tolerance psykologisk og fysisk afhængighed. Tilbagetrækning vil forekomme ved pludselig seponering eller administration af en narkotisk antagonist.

Grøn og gul kapsel E 91

Interaktion med andre depressiva i centralnervesystemet

Morfin skal anvendes med forsigtighed og i reduceret dosering hos patienter, der samtidig modtager andre narkotiske analgetika Generelle anæstetiske fenothiaziner Andre beroligende midler, der er beroligende-hypnotika tricykliske antidepressiva og andre CNS-depressiva (inklusive alkohol). Respiratorisk depression hypotension og dyb sedation eller koma kan resultere.

Forholdsregler for Roxanol

Generel

Hovedskade og øget intrakranielt tryk

De respiratoriske depressive virkninger af morfin og dens kapacitet til at hæve cerebrospinal-fluid-tryk kan være markant overdrevet i nærvær af øget intrakranielt tryk. Endvidere producerer narkotika bivirkninger, der kan skjule det kliniske forløb for patienter med hovedskader. Hos sådanne patienter skal morfin anvendes med forsigtighed, og kun hvis det anses for afgørende.

Astma og andre åndedrætsbetingelser

Morfin skal anvendes med forsigtighed hos patienter, der har et akut astmatisk angreb hos dem med kronisk obstruktiv lungesygdom eller COR-pulmonale og hos personer med en væsentligt nedsat respiratorisk genindførelse af forudgående respiratorisk depression hypoxia eller hypercapnia. Hos sådanne patienter kan endda sædvanlige terapeutiske doser af narkotika reducere åndedrætsdrevet og samtidig øge luftvejsresistensen til apnøen.

Hypotensiv effekt

Administrationen af ​​morfin kan resultere i alvorlig hypotension hos en person, hvis evne til at opretholde hans blodtryk allerede er kompromitteret af et udtømt blodvolumen eller samtidig administration af sådanne lægemidler som fenothiaziner eller visse anæstetika.

Patienter med særlig risiko

Morfin skal gives med forsigtighed, og den indledende dosis skal reduceres hos visse patienter, såsom ældre eller svækkede og dem med alvorlig svækkelse af lever- eller nyrefunktionshypothyreoidisme Addisons sygdoms prostata hy-pertrofi eller urethral strengur.

Akutte abdominale forhold

Administration af morfin eller andre narkotika kan skjule diagnosen eller klinisk forløb hos patienter med akutte abdominale forhold.

Karcinogenicitet/mutagenicitet

Langtidsundersøgelser for at bestemme det kræftfremkaldende og mutagene potentiale af morfin er ikke tilgængelige.

Graviditet

Teratogene effekter

Graviditet Category C

Dyreproduktionsundersøgelser er ikke blevet udført med morfin. Det vides heller ikke, om morfin kan forårsage føtal skade, når den administreres til en gravid kvinde eller kan påvirke reproduktionskapaciteten. Morfin bør kun gives til en gravid kvinde, hvis det er klart nødvendigt.

Arbejde og levering

Morfin krydser let placentabarrieren, og hvis den administreres under fødslen kan føre til respirationsdepression i nyfødte.

Sygeplejerske mødre

Morfin er blevet påvist i human mælk. Af denne grund bør der udvises forsigtighed, når morfin administreres til en sygeplejekvinde.

Pædiatrisk brug

Sikkerhed og effektivitet hos børn er ikke etableret.

Overdoseringsoplysninger til Roxanol

Tegn og symptomer

Alvorlig overdosis med morfin er kendetegnet ved luftvejsdepression (et fald i respirationshastighed og/eller tidevandsvolumen Cheyne-stokes respiration cyanose) ekstrem somnolens, der skrider frem til stupor eller koma-skeletmuskel-flacciditet kold eller klam hud og undertiden bradycardia og hypotension. Ved alvorlig overdoseringsapnø kan kredsløbskollaps hjertestop og død forekomme.

Behandling

I alle tilfælde af mistænkt overdosering ring 800-222-1222 for at opnå de mest ajourførte oplysninger om behandlingen af ​​overdosering. Ved at ringe til dette nummer vil du automatisk blive tilsluttet dit lokale giftkontrolcenter.

Primær opmærksomhed bør rettes mod genoprettelse af tilstrækkelig åndedrætsudveksling gennem tilvejebringelse af en patentluftvej og institutionen for assisteret eller kontrolleret ventilation. Den narkotiske antagonist naloxon er en specifik modgift mod luftvejsdepression, der kan være resultatet af overdosering eller usædvanlig følsomhed over for narkotika inklusive morfin. Derfor bør en passende dosis af naloxon (sædvanlig indledende voksen dosis: 0,4 mg) administreres foretrukket ved den intravenøse rute og samtidig med indsats for respiratorisk genoplivning. Da virkningen af ​​morfin virkning kan overstige antagonisten, skal patienten holdes under fortsat overvågning, og gentagne doser af antagonisten skal administreres efter behov for at opretholde tilstrækkelig respiration.

En antagonist bør ikke administreres i fravær af klinisk signifikant respiratorisk eller hjerte-vaskulær depression.

Oxygen intravenøse væsker vasopressorer og andre understøttende foranstaltninger bør anvendes som angivet.

Gastrisk tømning kan være nyttigt til fjernelse af uabsorberet lægemiddel.

Kontraindikationer for Roxanol

Overfølsomhed over for morfin; respiratorisk insufficiens eller depression; alvorlig CNS -depression; angreb af bronchial astma; hjertesvigt sekundær til kronisk lungesygdom; hjertearytmier; øget intrakranielt eller cerebrospinaltryk; hovedskader; hjernesvulst; akut alkoholisme; delirium tremens; krampende lidelser; Efter galdestyrkirurgi; mistænkt kirurgisk mave; kirurgisk anastomose; Samtidig med MAO -hæmmere eller inden for 14 dage efter en sådan behandling.

Klinisk farmakologi for Roxanol

De vigtigste virkninger af morfin er på centralnervesystemet og tarmen. Opioider fungerer som agonister, der interagerer med stereospecifikke og mættelige bindingssteder eller receptorer i hjernen og andre væv.

Morfin er omkring to tredjedele absorberet fra mave-tarmkanalen med den maksimale smertestillende effekt, der forekommer 60 minutter efter administration.

Patientinformation til Roxanol

Brug hos ambulante patienter

Morfin kan forringe de mentale og/eller fysiske evner, der kræves til udførelse af potentielt farlige opgaver, såsom at køre en bil eller betjeningsmaskiner. Patienten skal advares i overensstemmelse hermed.

Morfin som andre narkotika kan produkt orthos-tatisk hypotension hos ambulante patienter.

Patienter skal advares om de kombinerede virkninger af alkohol eller andre depressivaer med depressivaer med morfin.