Oplysningerne På Webstedet Er Ikke Medicinsk Rådgivning. Vi Sælger Ikke Noget. Nøjagtigheden Af Oversættelsen Er Ikke Garanteret. Ansvarsfraskrivelse
Acne -agenter, aktuelle kombinationer
Uklar
Resume af lægemiddeloversigt
Hvad er Aktipak?
Aktipak (erythromycin 3% -benzoylperoxid 5% topisk gel) er en kombination af et makrolidantibiotikum og et oxidationsmiddel med antibakterielle egenskaber, der er indikeret til den aktuelle behandling af acne vulgaris.
Hvad er bivirkninger af Aktipak?
Uklar
- elveblest
- Besvær
- Hævelse af dine ansigtslæber tunge eller hals
- kløe
- Lightheadedness
- Alvorlig rødme brændende stikkende eller skrælning af behandlede hudområder og
- diarré, der er vandig eller blodig
Få medicinsk hjælp med det samme, hvis du har nogen af de symptomer, der er anført ovenfor.
tur til påskeøen
Almindelige bivirkninger af Aktipak inkluderer:
- tør hud
- Applikationsstedets reaktioner (stikkende rødme og brændende)
- hævede eller puffede øjenlåg
- kløe
- Fotosensitivitetsreaktioner (solskoldning af soleksponering) og
- skrælning.
Søg medicinsk behandling eller ring 911 på én gang, hvis du har følgende alvorlige bivirkninger:
- Alvorlige øjensymptomer såsom pludseligt synstab sløret synet tunnel vision øje smerter eller hævelse eller at se haloer omkring lys;
- Alvorlige hjertesymptomer såsom hurtig uregelmæssige eller bankende hjerteslag; flagrende i brystet; åndenød; og pludselig svimmelhed letthed eller udlevering;
- Alvorlig hovedpine forvirring sløret talearm eller ben svaghed problemer med at gå tab af koordination føles ustabil meget stive muskler høj feber voldsom sved eller rysten.
Dette dokument indeholder ikke alle mulige bivirkninger, og andre kan forekomme. Kontakt din læge for yderligere oplysninger om bivirkninger.
Dosage for Aktipak
Aktipak kræver grundig blanding af patienten umiddelbart før hver brug. Aktipak skal påføres to gange dagligt morgen og aften eller som instrueret af en læge til de berørte områder, efter at huden er grundigt vasket skyllet med varmt vand og forsigtigt klappet tør.
Hvilke stoffer stoffer eller kosttilskud interagerer med Aktipak?
Aktipak kan interagere med andre lægemidler. Fortæl din læge alle medicin og kosttilskud, du bruger.
Aktipak under graviditet eller amning
Fortæl din læge, hvis du er gravid eller planlægger at blive gravid, før du bruger Aktipak; Det er ukendt, om det ville påvirke et foster. Det er ukendt, om aktuelle Aktipak passerer til modermælk, men oral erythromycin passerer ind i modermælk. Kontakt din læge inden amning.
Yderligere oplysninger
Vores Aktipak (erythromycin 3% -benzoylperoxid 5% topisk gel) Bivirkninger Lægemiddelcenter giver et omfattende overblik over tilgængelige lægemiddelinformation om de potentielle bivirkninger, når du tager denne medicin.
FDA -lægemiddelinformation
- Lægemiddelbeskrivelse
- Indikationer
- Bivirkninger
- Advarsler
- Overdosis
- Klinisk farmakologi
- Medicin vejledning
Beskrivelse af Aktipak
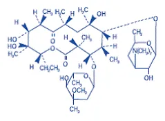
Uklar Indeholder erythromycin [(3r* 4s* 5s* 6r* 7r* 9r* 11r* 12r* 13s* 14r*)-4-[(26-dideoxy3c-methyl-3-o-methyl-a-l-ribo-hexopyranosyl) -oxy] -14-ethyl-71213-trihydroxy35791113- hexa-methyl-6-[[346-trideoxy-3- (dimethylamino) -b-d-xylohexopyranosyl] oxycycyclotetradecane-210-dion]. Erythromycin er et makrolidantibiotikum produceret fra en stamme på Saccharopolyspora erythraea (tidligere Streptomyces erythreus ). Det er en base og danner let salte med syrer.
Kemisk erytromycin er (c 37 H 67 INGEN 13 ). Det har følgende strukturelle formel:
|
Erythromycin har den molekylvægt på 733,94. Det er et hvidt krystallinsk pulver og har en opløselighed på ca. 1 mg/ml i vand og er opløselig i alkohol ved 25 ° C.
Uklar also contains benzoyl peroxide for topical use. Benzoyl peroxide is an oxidizing agent demonstrating antibacterial activity. Chemically benzoyl peroxide is (C 14 H 10 O 4 ). Det har følgende strukturelle formel:
|
Benzoylperoxid har den molekylvægt på 242,23. Det er et hvidt granulært pulver og er sparsomt opløseligt i vand og alkohol og opløselig i acetone chloroform og ether. Hvert gram produkt som dispenseret indeholder 30 mg erythromycin og 50 mg benzoylperoxid i en base af SD -alkohol 40B oprenset vandhydroxypropylcellulosecarbomer homopolymer type B -natriumhydroxiddioktylatriumsulfosuccinat 75%. Hver Aktipak indeholder 0,8 gram produkt.
Bruger til Aktipak
Uklar is indicated for the topical treatment of acne vulgaris.
Dosage for Aktipak
Uklar requires thorough mixing by the patient immediately prior to each use. The medication should be applied twice daily morning and evening or as directed by a physician to affected areas after the skin is thoroughly washed rinsed with warm water and gently patted dry.
Hvor leveret
60 poser pr. Karton NDC 70363-007-60
Opbevares ved stuetemperatur 20 til 25 ° C (68 til 77 ° F).
Hold dig væk fra varmen og enhver åben flamme.
Hold børn uden for børn.
Fremstillet til: Cutanea Life Sciences Inc. Wayne PA 19087. Revideret: SEP 2016
Bivirkninger til Aktipak
Under kliniske forsøg blev 550 acne -patienter undersøgt. Af disse patienter blev 236 behandlet med Aktipak. Den hyppigst rapporterede bivirkning, der blev betragtet som mindst muligvis relateret, var tør hud (NULL,6%) sammenlignet med køretøjet (NULL,9%). Reaktioner på applikationsstedet (stikkende brændende sensations -prikkende erythema) blev rapporteret hos 2,5% af patienterne mod 1,3% af køretøjspatienterne. Blepharitis kløe- og fotosensitivitetsreaktioner blev rapporteret i <2% of patients who used the dual pouch product.
Behandlingsgrupper resume Antal patienter (%)
| Costart term | Uklar N = 236 | Uklar Vehicle N = 153 | Aktuelle gelbehov N = 121 | Aktuelle gelbehov Vehicle N = 40 |
| Tør hud | 18 (NULL,6%) | 6 (NULL,9%) | 5 (NULL,0%) | 0 |
| Application Site Reaction (Stingingerythema og Burning | 6 (NULL,5%) | 2 (NULL,3%) | 1 (NULL,8%) | 0 |
| Blepharitis | 4 (NULL,7%) | 1 (NULL,7%) | 0 | 1 (NULL,5%) |
| Kløe | 4 (NULL,7%) | 2 (NULL,3%) | 3 (NULL,5%) | 0 |
| Fotosensitivitetsreaktion (solskoldning af soleksponering) | 3 (NULL,3%) | 0 | 0 | 0 |
| Skrælning | 1 (NULL,5%) | 1 (NULL,7%) | 0 | 0 |
Lægemiddelinteraktioner for Aktipak
Ingen oplysninger leveret.
Advarsler for Aktipak
Ingen oplysninger leveret.
Forholdsregler for Aktipak
Generel
Kun til topisk brug; Ikke til Opthamalic brug. Samtidig topisk acne -terapi bør anvendes med forsigtighed, fordi der kan forekomme en mulig kumulativ irritationseffekt, især ved anvendelse af skrælning af desquamating eller slibemidler. Hvis der udvikler alvorlig irritation, skal du afbryde brug af brug af passende terapi. Anvendelsen af antibiotiske midler kan være forbundet med overvæksten af ikke -optagelige organismer. Hvis dette sker, ophører brugen og træffer passende foranstaltninger. Undgå kontakt med øjne og alle slimhinder.
Karcinogenese mutagenese nedskrivning af fertilitet
Kombinationen af benzoylperoxid og erythromycin i Aktipak er ikke blevet evalueret for sit kræftfremkaldende eller mutagene potentiale eller for dets virkning på fertilitet.
Benzoylperoxid har vist sig at være en tumorpromotor og progressionsmiddel i en række dyreforsøg. Den kliniske betydning af dette er ukendt.
Benzoylperoxid i acetone ved doser på 5 og 10 mg indgivet to gange om ugen inducerede hudtumorer i transgene TG.AC -mus i en undersøgelse ved anvendelse af 20 ugers topisk behandling.
10 meq kalium hæver serumkalium
Benzoylperoxid har vist sig at forårsage, at DNA -strengpauser i en række pattedyrscelletyper er mutagene i Salmonella typhimurium -tests af nogle, men ikke alle efterforskere og at forårsage søsterchromatidudvekslinger i kinesiske hamster æggestokkeceller.
Der er ikke udført nogen dyreforsøg for at evaluere det kræftfremkaldende potentiale eller virkninger på fertiliteten af topisk erythromycin. Imidlertid langvarige (2-årige) orale undersøgelser hos rotter med erythromycinbase og erythromycin-ethylsuccinat og hos rotter og mus med erythromycin-stearat tilvejebragte ikke bevis for tumorigenicitet.
Genotoksiciteten af erythromycin -stearat er blevet evalueret i Salmonella Typhimurium omvendt mutationsassay Mus L5178Y lymfomcelleanalysen og til søsterchromatidudvekslinger og kromosomale afvigelser i CHO -celler. Disse undersøgelser indikerede, at erythromycin -stearat ikke var genotoksisk.
Der var ingen åbenbar effekt på mandlig eller kvindelig fertilitet hos rotter, der blev fodret med erythromycinbase på niveauer op til 0,25% af kosten.
Graviditet
Teratogene effekter
Graviditet CATEGORY C : Dyreproduktionsundersøgelser er ikke blevet udført med Aktipak eller benzoylperoxid. Der var ingen tegn på teratogenicitet eller nogen anden negativ virkning på reproduktion hos hunrotter, der fodres erythromycinbase (op til 0,25% diæt) før og under parring under drægtighed og gennem fravænning af to succesrige kuld.
Der er ingen velkontrollerede forsøg hos gravide kvinder med Aktipak. Det vides heller ikke, om Aktipak kan forårsage fosterskader, når den administreres til en gravid kvinde eller kan påvirke reproduktionskapaciteten. Aktipak bør kun gives til gravide kvinder, hvis det er klart nødvendigt.
Sygeplejerske kvinder
Det vides ikke, om ingredienserne i Aktipak udskilles i human mælk efter topisk anvendelse. Erythromycin udskilles imidlertid i human mælk efter oral og parenteral erythromycin -administration. Derfor bør der udvises forsigtighed, når erythromycin administreres til en sygeplejekvinde.
Pædiatrisk brug
Sikkerhed og effektivitet af dette produkt hos pædiatriske patienter under 12 år er ikke blevet fastlagt.
Overdoseringsoplysninger til Aktipak
Ingen oplysninger leveret.
Kontraindikationer for Aktipak
Uklar is contraindicated in those individuals who have shown hypersensitivity to any of its components.
Klinisk farmakologi for Uklar
Farmakokinetik
Det har vist sig, at benzoylperoxid er absorberet af huden, hvor det omdannes til benzoesyre. En enkelt dosis farmakokinetisk undersøgelse, der involverede anvendelsen af enten en eller tre enheder af Aktipak, blev udført hos 16 voksne acne -patienter for at bestemme systemisk absorption af erythromycin. Erythromycin (med en plasma -nedre kvantificeringsgrænse på 2 ng/ml) var ikke påviselig undtagen hos en patient, der var i den ene enhedsapplikationsgruppe.
Farmakodynamik
Den nøjagtige mekanisme, hvormed erythromycin og benzoylperoxid reducerer læsioner af acne vulgaris, er ikke fuldt ud kendt.
Kliniske studier
I to tilstrækkelige og godt kontrollerede kliniske studier anvendte 228 patienter Aktipak 113 patienter anvendte de aktuelt markedsførte benzamycin -aktuelle gel og 183 patienter anvendte køretøj. Aktipak påført to gange dagligt i 8 uger var signifikant mere effektiv end køretøj og sammenlignelig med benzamycin -topisk gel i behandlingen af moderat til moderat svær ansigtsacne vulgaris. Patienter, der deltog i undersøgelsen, havde mindst 15 og maksimalt 80 ansigtsinflammatoriske læsioner (papules og pustules) og mindst 20 og maksimalt 140 ansigtets ikke-inflammatoriske læsioner (åbne og lukkede komedoner). De primære effektivitetsforanstaltninger, der blev evalueret i uge 8, var læsionstællingerne og efterforskerens globale vurdering. Patienter blev bedt om at vaske deres ansigt to gange dagligt (morgen og aften) med varmt vand og en mild rengøringsmiddel leveret af sponsor. Der blev ikke anvendt slibende klæder eller svampe alkoholiske tonere på astringenter eller medicinske opløsninger. Medicinen skulle påføres 15 minutter efter vask i en tynd film over hele ansigtsområdet. En fugtighedscreme (leveret af sponsoren) eller ikke-medicinsk make-up kunne påføres en time efter påføring efter behov. Alle medicin skulle holdes væk fra øjnene. Soleksponering for ansigtet skulle være begrænset.
Hvad er metronidazol -tabletter brugt til
Resultater for gennemsnitlige procentvise reduktioner i læsionstællinger og efterforskere Global vurdering efter 8 ugers behandling er vist nedenfor:
| Undersøgelse 1 | Uklar N = 119 | Aktuelle gelbehov N = 113 | Uklar Vehicle N = 38 | Aktuelle gelbehov Vehicle N = 37 |
| Gennemsnitlig % læsionstællinger reduktion | ||||
| 49% | 45% | 17% | 28% | |
| 46% | 43% | 24% | 20% | |
| 48% | 44% | 22% | 26% | |
| Undersøgerens globale | ||||
| 28% | 27% | 3% | 11% | |
| *p-værdi <0.05 is for the comparison between Uklar and Uklar vehicle |
| Undersøgelse 2 | Uklar N = 109 | Uklar Vehicle N = 108 |
| Gennemsnit % reduktion af læsionstælling | ||
| 57% | 34% | |
| 36% | 30% | |
| 45% | 31% | |
| Undersøgerens globale | ||
| 36% | 12% | |
| *p-værdi <0.05 |
Mikrobiologi
Erythromycin virker ved inhibering af proteinsyntese i modtagelige organismer ved reversibelt bindende til 50 s ribosomale underenheder, hvilket hæmmer translokation af aminoacyloverførsels-RNA og hæmmer polypeptidsyntese. Antagonisme er blevet påvist In vitro Mellem erythromycin Lincomycin chloramphenicol og clindamycin. Benzoylperoxid har vist sig at være effektiv In vitro mod Propionibacterium acnes En anaerobe fundet i talgsækksler og komedoner. Benzoylperoxid antages at virke ved at frigive aktivt ilt.
Patientinformation til Aktipak
Patienter, der bruger Aktipak, skal modtage følgende oplysninger og instruktioner:
- Patienter skal informeres om, at de bliver nødt til at blande denne medicin inden brug. Medicinen udleveres i en foliepose, der indeholder medicin i to adskilte rum.
- Indholdet skal blandes grundigt af patienten (i håndfladen) inden påføring.
- Patienter skal anvende produktet umiddelbart efter blanding, så skal hænderne vaskes.
- Bland ikke eller påfør i nærheden af en åben flamme.
- Uklar may bleach hair or colored fabric.
- Overdreven eller langvarig eksponering for sollys skal være begrænset. For at minimere eksponeringen for sollys skal en hat eller andet tøj bæres.
- Denne medicin skal bruges som instrueret af en læge. Det er kun til ekstern brug. Undgå kontakt med øjnens mund og alle slimhinder, da dette produkt kan være irriterende.
- Patienter skal rapportere til deres læge tegn på lokale bivirkninger.
- Denne medicin bør ikke bruges til nogen anden lidelse end den, som den blev ordineret for.
- Patienter bør ikke bruge nogen anden aktuel acne -præparat, medmindre andet er instrueret af læge.
- Patienter skal instrueres i at gennemgå instruktionerne til brug på produktkartonen.
- Denne medicin skal opbevares ved stuetemperatur væk fra varmen og enhver åben flamme.