Oplysningerne På Webstedet Er Ikke Medicinsk Rådgivning. Vi Sælger Ikke Noget. Nøjagtigheden Af ​​Oversættelsen Er Ikke Garanteret. Ansvarsfraskrivelse



Cellcept

Resume af lægemiddeloversigt

Hvad er Cellcept?

Cellcept (mycophenolat mofetil) er et immunsuppressivt middel, der bruges til at forhindre din krop i at afvise en nyrelever eller hjertetransplantation. Cellcept gives normalt med cyclosporin (Sandimmune Neoral) og en steroidmedicin. Cellcept fås i generisk form.

Hvad er bivirkninger af cellcept?

Cellcept



  • feber
  • hævede kirtler
  • Smertefulde mundsår
  • kolde eller influenza symptomer
  • hovedpine
  • øresmerter
  • mavesmerter
  • opkast
  • diarre
  • vægttab
  • Svaghed på den ene side af din krop
  • Tab af muskelkontrol
  • forvirring
  • Tænkningsproblemer
  • tab af interesse for ting, der normalt interesserer dig
  • Smerter eller brændende, når du tisser
  • ømhed omkring transplanteret nyre
  • Hævelse af varme rødme eller oser rundt om et hudsår
  • ny hudlæsion eller muldvarp, der har ændret sig i størrelse eller farve
  • blodige eller tarry afføring
  • hoste blod eller opkast, der ligner kaffegrunde
  • Alvorlig hovedpine
  • sløret vision
  • dunkende i din hals eller ører
  • angst
  • næseblod
  • kulderystelser
  • træthed
  • Hudsår
  • Let blå mærker
  • Usædvanlig blødning
  • Bleg hud
  • kolde hænder eller fødder og
  • Lightheadedness

Få medicinsk hjælp med det samme, hvis du har nogen af ​​de symptomer, der er anført ovenfor.



Almindelige bivirkninger af cellcept inkluderer:

  • forstoppelse
  • kvalme
  • hovedpine
  • diarre
  • opkast
  • mavesmerter eller upset
  • Tab af appetit
  • gas
  • rysten
  • Problemer med at sove (søvnløshed)
  • svaghed
  • hævelse i dine hænder eller fødder
  • følelsesløshed eller prikkende følelse eller
  • angst.

Fortæl din læge, hvis du oplever usandsynlig, men seriøse bivirkninger af cellcept, herunder:



  • usædvanlig træthed
  • Hurtig eller uregelmæssig hjerteslag
  • muskelsvaghed
  • let blødning eller blå mærker
  • Hævelse af fødderne eller anklerne
  • Mental/humørændringer
  • svaghed on one side of the body eller
  • Usædvanlig ændring i mængden af ​​urin.

Ring til din læge med det samme, hvis du har følgende alvorlige bivirkninger:

  • sløret vision tunnel vision eye smerte eller swelling eller seeing halos around lights;
  • Hurtige eller dunkende hjerteslag, der flagrer i din brystkort af åndedrættet og pludselig svimmelhed;
  • Lave niveauer af natrium i kroppen med svær hovedpine forvirring sløret tale alvorlig svaghed opkastning af tab af koordinationsfølelse ustabil; eller
  • Alvorlig nervesystemreaktion med meget stive (stive) muskler med høj feber svedende forvirring Hurtig eller ujævne hjerteslag ryster og føles som om du måske går ud.

Dosering til cellcept

Dosis af cellecept afhænger af den udførte type transplantation.

Hvilke stoffer stoffer eller kosttilskud interagerer med cellcept?

Cellcept kan interagere med cholestyramin antibiotika acyclovir ganciclovir valacyclovir eller andre lægemidler, der svækker immunsystemet. Fortæl din læge alle medicin, du bruger.

Cellcept under graviditet og amning

Cellcept anbefales ikke til brug under graviditet på grund af mulig skade på fosteret. Kvinder i den fødedygtige alder skal have en negativ graviditetstest inden for 1 uge efter start af denne medicin. Brug to former for fødselsbekæmpelse, der starter 4 uger, før terapi begynder, og fortsæt i mindst 6 uger efter, at lægemidlet er stoppet. Kontakt din læge. Det er ukendt, om dette stof passerer til modermælk, men det kan have uønskede effekter på et sygeplejemiddel. Amning anbefales ikke, mens du bruger dette stof og i 6 uger efter at have stoppet det. Kontakt din læge for detaljer.

Yderligere oplysninger

Vores cellecept (mycophenolate mofetil) bivirkninger Drug Center giver et omfattende overblik over tilgængelige lægemiddelinformation om de potentielle bivirkninger, når du tager denne medicin.

FDA -lægemiddelinformation

ADVARSEL

Embryofetal toksicitet maligniteter og alvorlige infektioner

Brug under graviditet er forbundet med øgede risici ved graviditetstab i første trimester og medfødte misdannelser. Kvinder af reproduktionspotentiale (FRP) skal rådes om graviditetsforebyggelse og planlægning (se ADVARSELS og FORHOLDSREGLER ).

Immunsuppression kan føre til øget modtagelighed for infektion og mulig udvikling af lymfom. Kun læger, der er oplevet i immunsuppressiv terapi og håndtering af nyrekardiak eller levertransplantationspatienter, skal ordinere cellecept. Patienter, der modtager lægemidlet, skal styres i faciliteter udstyret og bemandet med tilstrækkeligt laboratorie- og støttende medicinske ressourcer. Den læge, der er ansvarlig for vedligeholdelsesbehandling, skal have komplet information, der kræves for opfølgningen af ​​patienten (se ADVARSELS og FORHOLDSREGLER ).

Beskrivelse til cellecept

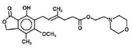
Cellcept (mycophenolat mofetil) er den 2-morpholinoethylester af mycophenolsyre (MPA) et immunsuppressivt middel; Inosin -monophosphatdehydrogenase (IMPDH) -inhibitor.

Det kemiske navn for mycophenolat mofetil (MMF) er 2-morpholinoethyl (E) -6- (13-dihydro-4-hydroxy-6-methoxy-7-methyl-3-oxo-5-isobenzofuranyl) -4-methyl-4-hexenoat. Det har en empirisk formel med C 23 H 31 INGEN 7 En molekylvægt på 433,50 og følgende strukturelle formel:

Mycophenolat mofetil er et hvidt til off-white krystallinsk pulver. Det er lidt opløseligt i vand (43 μg/ml ved pH 7,4); Opløseligheden øges i surt medium (NULL,27 mg/ml ved pH 3,6). Det er frit opløseligt i acetone opløseligt i methanol og sparsomt opløselig i ethanol. Den tilsyneladende partitionskoefficient i 1-octanol/vand (pH 7,4) pufferopløsning er 238. PKA-værdierne for mycophenolat mofetil er 5,6 for Morpholino-gruppen og 8,5 for den phenoliske gruppe.

Mycophenolat mofetil hydrochlorid har en opløselighed på 65,8 mg/ml i 5% dextrose -injektion USP (D5W). PH i den rekonstituerede opløsning er 2,4 til 4,1.

Cellcept er tilgængelig til oral administration som kapsler indeholdende 250 mg mycophenolat mofetil -tabletter indeholdende 500 mg mycophenolat mofetil og som en pulver til oral suspension, som når den er sammensat indeholder 200 mg/ml mycophenolat mofetil.

Inaktive ingredienser i cellecept 250 mg kapsler inkluderer croscarmellose natriummagnesiumstarat povidon (K-90) og pregelatiniseret stivelse. Kapselskaller indeholder sort jernoxid FD

Inaktive ingredienser i cellecept 500 mg tabletter inkluderer sort jernoxid croscarmellose natrium FD

Inaktive ingredienser i cellecept oral suspension inkluderer aspartam citronsyre vandfri kolloidal siliciumdioxidmethylparaben blandet frugtsmag natriumcitrat dihydrat sorbitol sojabønne lecithin og xanthan gummi.

Cellcept intravenøs er hydrochlorid salt af mycophenolat mofetil. Det kemiske navn for hydrochlorid-salt af mycophenolat mofetil er 2-morpholinoethyl (E) -6- (13-dihydro-4-hydroxy-6-methoxy-7-methyl-3-oxo-5-isobenzofuranyl) -4-methyl-4-hexenoate-hydrochlorid. Det har en empirisk formel med C 23 H 31 INGEN 7 HCI og en molekylvægt på 469,96.

Cellcept intravenøs fås som en steril hvid til off-white lyofiliseret pulver i hætteglas, der indeholder mycophenolat mofetil hydrochlorid til administration ved intravenøs infusion. Hvert hætteglas af cellecept intravenøs indeholder ækvivalenten på 500 mg mycophenolat mofetil som hydrochloridsalt. De inaktive ingredienser er polysorbat 80 25 mg og citronsyre 5 mg. Natriumhydroxid kan have været anvendt til fremstilling af cellecept intravenøs til at justere pH. Rekonstitution og fortynding med 5% dextrose -injektion USP giver en let gul opløsning af mycophenolat mofetil 6 mg/ml. (For detaljeret metode til forberedelse se Dosering og administration ).

Bruger til Cellcept

Cellcept [mycophenolat mofetil (MMF)] er indikeret til profylaksen om organafvisning hos voksne og pædiatriske modtagere 3 måneders alder og ældre af allogen nyre [se Kliniske studier ] Hjerte [se Kliniske studier ] eller levertransplantationer [se Kliniske studier ] i kombination med andre immunsuppressiva.

Dosering til cellcept

Vigtige administrationsinstruktioner

Cellcept bør ikke bruges uden overvågning af en læge med erfaring i immunsuppressiv terapi.

Cellcept -kapsler tabletter og oral ophæng

Cellcept orale doseringsformer (kapsler tabletter eller oral ophæng) Bør ikke bruges ombytteligt med mycophenolsyre forsinket tabletter uden overvågning af en læge med erfaring i immunsuppressiv terapi Fordi absorptionshastighederne efter indgivelse af cellecept orale doseringsformer og mycophenolsyre forsinkede tabletter med forsinket frigivelse er ikke ækvivalente.

Cellcept -tabletter bør ikke knuses, og celleceptkapsler bør ikke åbnes eller knuses. Patienter bør undgå inhalation eller kontakt af huden eller slimhinderne med pulveret indeholdt i cellepunktskapsler og oral ophæng. Hvis sådan kontakt opstår, skal de vaske kontaktområdet grundigt med sæbe og vand. I tilfælde af okulær kontaktskyl øjnene med almindeligt vand.

Den indledende orale dosis af cellecept skal gives så hurtigt som muligt efter nyrehjerte eller levertransplantation. Det anbefales, at cellcept administreres på tom mave. Hos stabile transplantationspatienter kan cellecept dog administreres med mad om nødvendigt [se Klinisk farmakologi ]. Når den er rekonstitueret cellecept oral suspension må ikke blandes med væsker før dosisadministration. Om nødvendigt kan cellecept oral suspension administreres via et nasogastrisk rør med en minimumsstørrelse på 8 fransk (mindst 1,7 mm indvendig diameter).

Patienter skal instrueres i at tage en ubesvaret dosis, så snart de husker, undtagen om det er tættere end 2 timer på den næste planlagte dosis; I dette tilfælde bør de fortsætte med at tage Cellcept på de sædvanlige tidspunkter.

Cellecept intravenøs

Cellecept intravenøs is recommended feller patients unable til take elleral Cellcept. Cellecept intravenøs should be administered within 24 hours following transplant. Cellecept intravenøs can be administered feller up til 14 days; however patients should be switched til elleral Cellcept as soon as they can tillerate elleral medication.

Cellecept intravenøs must be reconstituted befellere use [se Forberedelsesinstruktioner af oral suspension og intravenøs for farmaceuter ]. Cellcept -intravenøs er uforenelig med andre intravenøse infusionsopløsninger og bør ikke blandes eller administreres samtidigt via det samme infusionskateter med andre intravenøse lægemidler eller infusionsblandinger.

Cellecept intravenøs must not be administered as a bolus. Following reconstitution Cellecept intravenøs must be administered by slow intravenous infusion over a period of no less than 2 hours by either peripheral eller central vein as rapid infusion increases the risk of local adverse reactions such as phlebitis og thrombosis [se Bivirkninger ].

Hyaluronsyre knæinjektioner bivirkninger

Doseringsanbefalinger til nyretransplantationspatienter

Voksne

Den anbefalede dosering til voksne nyretransplantationspatienter er 1 g oralt eller intravenøst ​​tilført over ikke mindre end 2 timer to gange dagligt (samlet daglig dosis på 2 g).

Pædiatri (3 måneder og ældre)

Pædiatrisk dosering er baseret på kropsoverfladeareal (BSA). Den anbefalede dosering af cellecept oral suspension til pædiatriske nyretransplantationspatienter 3 måneder og ældre er 600 mg/m 2 administreres to gange dagligt (maksimal total daglig dosis på 2 g eller 10 ml af oral suspension). Pædiatriske patienter med BSA ≥ 1,25 m 2 kan doseres med kapsler eller tabletter som følger:

Tabel 1 Pædiatrisk nyretransplantation: Dosering ved hjælp af kapsler eller tabletter

Kropsoverfladeareal Dosering
1,25 m 2 til <1.5 m 2 Cellcept Capsule 750 mg to gange dagligt (NULL,5 g samlet daglig dosis)
≥ 1,5 m 2 Cellcept -kapsler eller tabletter 1 g to gange dagligt (2 g samlet dagligt
dosis)

Dosering Recommendations Feller Heart Transplant Patients

Voksne

Den anbefalede dosering af cellecept for voksne hjertetransplantationspatienter er 1,5 g oralt eller intravenøst ​​infunderet over ikke mindre end 2 timer administreret to gange dagligt (samlet daglig dosis på 3 g).

Pædiatri (3 måneder og ældre)

Den anbefalede startdosis af cellecept oral suspension til pædiatriske hjertetransplantationspatienter 3 måneder og ældre er 600 mg/m 2 administreret to gange dagligt. Hvis det tolereres godt, kan dosis øges til en vedligeholdelsesdosis på 900 mg/m 2 To gange dagligt (maksimal total daglig dosis på 3 g eller 15 ml af oral suspension). Dosis kan individualiseres baseret på klinisk vurdering.

Pædiatriske patienter med BSA ≥1,25 m 2 kan startes på terapi med kapsler eller tabletter som følger:

Tabel 2 Pædiatrisk hjertetransplantation: Pædiatrisk startdosering ved hjælp af kapsler eller tabletter

Kropsoverfladeareal Startdosering*
1,25 m 2 til <1.5 m 2 Cellcept Capsule 750 mg to gange dagligt (NULL,5 g samlet daglig dosis)
≥ 1,5 m 2 Cellcept -kapsler eller tabletter 1 g to gange dagligt (2 g samlet dagligt
dosis)
*Maksimal vedligeholdelsesdosis: 3 g samlet dagligt.

Dosering Recommendations Feller Liver Transplant Patients

Voksne

Den anbefalede dosering af cellecept til voksne levertransplantationspatienter er 1,5 g administreret oralt to gange dagligt (samlet daglig dosis på 3 g) eller 1 g infunderet intravenøst ​​over ikke mindre end 2 timer to gange dagligt (samlet daglig dosis på 2 g).

Pædiatri (3 måneder og ældre)

Den anbefalede startdosering af cellecept oral suspension til pædiatriske levertransplantationspatienter 3 måneders alder og ældre er 600 mg/m 2 administreret to gange dagligt. Hvis det tolereres godt, kan dosis øges til en vedligeholdelsesdosis på 900 mg/m 2 To gange dagligt (maksimal total daglig dosis på 3 g eller 15 ml af oral suspension). Dosis kan individualiseres baseret på klinisk vurdering.

Pædiatriske patienter med BSA ≥1,25 m 2 kan startes på terapi med kapsler eller tabletter som følger:

Tabel 3 Pædiatrisk levertransplantation: Pædiatrisk startdosering ved hjælp af kapsler eller tabletter

Kropsoverfladeareal Startdosering*
1,25 m 2 til <1.5 m 2 Cellcept Capsule 750 mg to gange dagligt (NULL,5 g samlet daglig dosis)
≥ 1,5 m 2 Cellcept -kapsler eller tabletter 1 g to gange dagligt (2 g samlet dagligt
dosis)

Dosering Modifications

Patienter med nyrefunktionsneutropeni

Nedskærmning af nyren

Ingen doseringsændringer er nødvendige hos nyretransplantationspatienter med forsinket transplantatfunktion postoperativt [se Klinisk farmakologi ]. In Nyretransplantationspatienter med alvorlig kronisk svækkelse af transplantatet (Gfr <25 mL/min/1.73 m 2 ) Administrer ikke doser af cellecept på mere end 1 g to gange om dagen. Disse patienter skal overvåges omhyggeligt [se Klinisk farmakologi ].

Neutropeni

Hvis neutropeni udvikler sig (ANC <1.3 x 10 3 /ml) Dosering med cellecept skal afbrydes eller reduceres passende diagnostiske tests udført, og patienten klarede sig korrekt [se ADVARSELS OG FORHOLDSREGLER og Bivirkninger ].

Forberedelsesinstruktioner af oral suspension og intravenøs for farmaceuter

Generelle forberedelsesinstruktioner, inden de håndterer formuleringerne

Mycophenolat mofetil (MMF) har vist teratogene virkninger hos mennesker. Følg relevante procedurer for speciel håndtering og bortskaffelse 1 [se ADVARSELS OG FORHOLDSREGLER Bivirkninger Brug i specifikke populationer Hvor leveret ].

Der skal udvises omhu for at undgå inhalation eller direkte kontakt med hud eller slimhinder i det tørre pulver eller den konstituerede suspension, fordi MMF har vist teratogene virkninger hos mennesker. At bære engangshandsker anbefales under rekonstitution, og når man tørrer den ydre overflade af flasken/hætten og bordoverfladen efter rekonstitution. Hvis sådan kontakt forekommer, vasker hænderne grundigt med sæbe og vand; Skyl øjnene med vand.

Alarmpatienter om, at de og andre også bør undgå inhalation eller kontakt af huden eller slimhinderne med den orale ophæng. Rådgiv dem om at vaske området grundigt med sæbe og vand, hvis sådan kontakt opstår; Hvis okulær kontakt forekommer skyl øjnene med almindeligt vand.

Cellcept oral suspension

Cellcept oral suspension must be reconstituted by the pharmacist prieller til dispensing til the patient. Cellcept oral suspension should not be mixed with any other medication. After reconstitution the elleral affjedring contains 200 mg/mL MMF.

Før du fortsætter med rekonstitutionstrinnene, skal du læse de generelle forberedelsesinstruktioner ovenfor [se Generelle forberedelsesinstruktioner, inden de håndterer formuleringerne ]. The following are the steps feller reconstitution:

  1. Tryk på den lukkede flaske flere gange for at løsne pulveret.
  2. Mål 94 ml vand i en gradueret cylinder.
  3. Tilsæt cirka halvdelen af ​​den samlede mængde vand til rekonstitution til flasken, og ryst den lukkede flaske godt i cirka 1 minut.
  4. Tilsæt resten af ​​vandet, og ryst den lukkede flaske godt i cirka 1 minut.
  5. Fjern den børnebestandige hætte, og skub flaskeadapteren i flaskehalsen.
  6. Luk flaske med børnebestandig hætte tæt. Dette vil sikre den rette siddeplads på flaskeadapteren i flasken og børnebestandig status for hætten.
  7. Skriv datoen for udløbet af den konstituerede suspension på flaskemærket. (Den konstituerede suspension af holdbarheden er 60 dage.)
  8. Dispenser med instruktionen til brug og mundtlige dispensere. Alert patienter om at læse de vigtige håndteringsoplysninger, der er beskrevet i brugsinstruktionerne.

Opbevares rekonstitueret suspension ved 25 ° C (77 ° F); Udflugter tilladt til 15 ° C til 30 ° C (59 ° F til 86 ° F). Opbevaring i et køleskab ved 2 ° C til 8 ° C (36 ° F til 46 ° F) er acceptabel. Frys ikke. Kasser enhver ubrugt del 60 dage efter forfatning.

Cellecept intravenøs

Før du fortsætter med forberedelsestrinene til cellecept intravenøs, skal du læse de generelle forberedelsesinstruktioner [se Generelle forberedelsesinstruktioner, inden de håndterer formuleringerne ] og bemærk følgende:

  • Cellecept intravenøs does not contain an antibacterial preservative; therefellere reconstitution og dilution of the product must be perfellermed under aseptic conditions.
  • Dette produkt er forseglet under vakuum og bør bevare et vakuum gennem hele dets holdbarhed. Hvis en mangel på vakuum i hætteglasset bemærkes, mens det tilsætning af fortyndingsmættet ikke skal bruges.

Cellecept intravenøs must be reconstituted og further diluted. A detailed description of the preparation is given below.

Tabel 4 Forberedelsesinstruktioner af cellecept intravenøs for farmaceuter

Forberedelse af
1G dosis
  1. Rekonstitueret To (2) hætteglas af cellecept intravenøs ved at injicere 14 ml 5% dextrose -injektion USP i hvert hætteglas.
  2. Ryst forsigtigt hætteglasset for at opløse stoffet.
  3. Undersøg den resulterende lidt gul opløsning for partikler og misfarvning inden yderligere fortynding. Kasser hætteglassene, hvis der observeres partikler eller misfarvning.
  4. Udvande Indholdet af de to rekonstituerede hætteglas (ca. 2 x 15 ml) i 140 ml 5% dextrose -injektion USP.
  5. Undersøg den resulterende infusionsopløsning, og kasser, hvis partikler eller misfarvning observeres.
Forberedelse af
1,5 g dosis
  1. Rekonstitueret three (3) vials of Cellecept intravenøs by injecting 14 mL of 5% Dextrose Indsprøjtning USP intil each vial.
  2. Ryst forsigtigt hætteglasset for at opløse stoffet.
  3. Undersøg den resulterende lidt gul opløsning for partikler og misfarvning inden yderligere fortynding. Kasser hætteglassene, hvis der observeres partikler eller misfarvning.
  4. Udvande Indholdet af de tre rekonstituerede hætteglas (ca. 3 x 15 ml) i 210 ml 5% dextrose -injektion USP.
  5. Undersøg den resulterende infusionsopløsning, og kasser, hvis partikler eller misfarvning observeres.

Administrationen af ​​infusionen skal påbegyndes inden for 4 timer efter rekonstitution og fortynding af lægemiddelproduktet. Opbevar opløsninger ved 25 ° C (77 ° F); Udflugter tilladt til 15 ° C til 30 ° C (59 ° F til 86 ° F). Kasser ubrugt del af de rekonstituerede løsninger.

Cellceptinjektion bør ikke blandes eller administreres samtidigt via det samme infusionskateter med andre intravenøse lægemidler eller infusionsblandinger.

Hvor leveret

Dosering Fellerms And Strengths

Cellcept fås i følgende doseringsformer og styrker:

omeprazol er generisk for hvad medicin
Kapsler 250 mg mycophenolat mofetil todelt hård gelatinekapsler Bluebrown Cellcept 250 Trykt i sort på den blå hætte og Roche på den brune krop
Tabletter 500 mg mycophenolat mofetil lavendelfarvet capletformet filmcoated tabletter trykt i sort med cellcept 500 på den ene side og Roche på den anden
Til mundtlig
affjedring
35 g mycophenolat mofetil hvid til off-white pulver til rekonstitution
(200 mg/ml efter rekonstitution)
Til injektion 500 mg mycophenolat mofetil hvid til off-white lyofiliseret pulver i et enkeltdosis hætteglas til rekonstitution

Opbevaring og håndtering

Håndtering og bortskaffelse

Mycophenolat mofetil (MMF) har vist teratogene effekter hos mennesker [se ADVARSELS OG FORHOLDSREGLER og Brug i specifikke populationer ]. Cellcept tablets should not be crushed og Cellcept capsules should not be opened eller crushed. Wearing disposable gloves is recommended during reconstitution og when wiping the outer surface of the bottle/cap og the table after reconstitution. Avoid inhalation eller direct contact with skin eller mucous membranes of the powder contained in Cellcept capsules Cellcept oral suspension (befellere eller after constitution) eller Cellecept intravenøs (during eller after preparation) [se Dosering og administration ]. Follow applicable special hogling og disposal procedures 1 .

Cellcept (Mycophenolate Mofetil Kapsler) 250 mg

Kapsler
Blåbrun todelt hårde gelatinekapsler trykt i sort med cellcept 250 på
Den blå hætte og Roche på den brune krop.
Størrelser
Flaske på 100 - NDC 0004-0259-01
Flaske med 500 - NDC 0004-0259-43
Opbevaring
Opbevares ved 25 ° C (77 ° F); Udflugter tilladt til 15 ° C til 30 ° C (59 ° F til 86 ° F)

Cellcept (Mycophenolate Mofetil Tabletter) 500 mg

Tabletter
Lavendel-farvet capletformet filmbelagte tabletter trykt i sort med cellecept
500 på den ene side og Roche på den anden
Størrelser
Flaske på 100 - NDC 0004-0260-01
Flaske med 500 - NDC 0004-0260-43
Opbevaring og Dispensing Infellermation:
  • Opbevares ved 25 ° C (77 ° F); Udflugter tilladt til 15 ° C til 30 ° C (59 ° F til 86 ° F).
  • Dispens i lysbestandige containere, såsom producentens originale containere.

Cellcept oral suspension (Mycophenolate Mofetil) Feller Oral Suspension

Til mundtlig affjedring : 35 g mycophenolat mofetil hvid til off-white pulverblanding til forfatning til en hvid til off-white blandet frugter smagsophæng
225 ml flaske med flaskeadapter og 2 orale dispensere NDC 0004-0261-29
Opbevaring
  • Opbevar tørt pulver ved 25 ° C (77 ° F); Udflugter tilladt til 15 ° C til 30 ° C (59 ° F til 86 ° F).
  • Butik udgjorde suspension ved 25 ° C (77 ° F); Udflugter tilladt til 15 ° C til 30 ° C (59 ° F til 86 ° F) i op til 60 dage. Opbevaring i et køleskab ved 2 ° C til 8 ° C (36 ° F til 46 ° F) er acceptabel. Frys ikke.

Cellecept intravenøs (Mycophenolate Mofetil Feller Indsprøjtning)

Til injektion : 500 mg mycophenolat mofetil i en 20 ml steril enkeltdosis hætteglas kartoner med 4 hætteglas
Kartoner med 4 enkeltdosis hætteglas NDC 0004-0298-09
Opbevaring
  • Opbevar pulver og rekonstitueret infusionsopløsning ved 25 ° C (77 ° F); Udflugter tilladt til 15 ° C til 30 ° C (59 ° F til 86 ° F).

Referencer

1. OSHA farlige stoffer. OSHA. https://www.osha.gov/sltc/hazzardousdrugs/index.html

Distribueret af: Genentech USA Inc. Et medlem af Roche Group 1 DNA Way South San Francisco CA 94080-4990. Revideret: Aug 2022

Bivirkninger feller Cellcept

Følgende bivirkninger diskuteres mere detaljeret i andre sektioner af etiketten:

  • Embryofetal -toksicitet [se ADVARSELS OG FORHOLDSREGLER ]
  • Lymfomer og andre maligniteter [se ADVARSELS OG FORHOLDSREGLER ]
  • Alvorlige infektioner [se ADVARSELS OG FORHOLDSREGLER ]
  • Bloddyscrasias: Neutropenia Pure Red Cell Aplasia [se ADVARSELS OG FORHOLDSREGLER ]
  • Gastrointestinale komplikationer [se ADVARSELS OG FORHOLDSREGLER ]
  • Akut inflammatorisk syndrom forbundet med mycophenolatprodukter [se ADVARSELS OG FORHOLDSREGLER ]

Kliniske forsøg oplever

Fordi kliniske forsøg udføres under vidt forskellige tilstande, kan der ikke sammenlignes bivirkninger, der er observeret i de kliniske forsøg med et lægemiddel, ikke direkte med hastigheder i de kliniske forsøg med et andet lægemiddel og muligvis ikke afspejler de satser, der er observeret i praksis.

Det anslåede i alt 1557 voksne patienter modtog cellecept under pivotale kliniske forsøg i forebyggelse af akut organafvisning. Af disse 991 blev inkluderet i de tre nyreundersøgelser 277 blev inkluderet i en leverundersøgelse, og 289 blev inkluderet i en hjerteundersøgelse. Patienter i alle undersøgelsesarme modtog også cyclosporin og kortikosteroider.

Dataene beskrevet nedenfor stammer primært fra fem randomiserede aktivkontrollerede dobbeltblinde 12-måneders forsøg med cellecept i igen nyre (3) hjerte (1) og lever (1) transplantationspatienter [se Kliniske studier ].

Cellcept Oral

Forekomsten af ​​bivirkninger for cellecept blev bestemt i fem randomiserede komparative dobbeltblinde forsøg i forebyggelse af afvisning i nyretransplantationspatienter (to aktive og en placebokontrollerede forsøg med en aktiv kontrolleret forsøg og en aktiv kontrolleret forsøg) [se henholdsvis Kliniske studier ].

De tre igen Nyrestudier med 12-måneders varighed sammenlignede to dosisniveauer af oral cellecept (1 g to gange dagligt og 1,5 g to gange dagligt) med azathioprin (2 undersøgelser) eller placebo (1 undersøgelse), når de administreres i kombination med cyclosporin (Sandimmune ® ) og kortikosteroider for at forhindre akutte afvisningsepisoder. En undersøgelse omfattede også anti-thymocyt globulin (Atgam ® ) induktionsterapi.

I igen Hjertetransplantationsundersøgelse med 12-måneders varighedspatienter modtog cellepept 1,5 g to gange dagligt (n = 289) eller azathioprin 1,5 til 3 mg/kg/dag (n = 289) i kombination med cyclosporin (Sandimmune ® eller neoral ® ) og kortikosteroider som vedligeholdelsesimmunsuppressiv terapi.

I igen Levertransplantationsundersøgelse med 12-måneders varighedspatienter modtog cellecept 1 g to gange dagligt intravenøst ​​i op til 14 dage efterfulgt af cellecept 1,5 g to gange dagligt oralt eller azathioprin 1 til 2 mg/kg/dag intravenøst ​​efterfulgt af azathioprin 1 til 2 mg/kg/dag oralt i kombination med cyclosporin (neoral efterfulgt af azathioprine 1 til 2 mg/kg/dag oralt i kombination med cyclosporine (neoral efterfulgt ® ) og kortikosteroider som vedligeholdelsesimmunsuppressiv terapi. The tiltal number of patients enrolled was 565.

Cirka 53% af nyretransplantationspatienterne 65% af hjertetransplantationspatienterne og 48% af levertransplantationspatienterne blev behandlet i mere end 1 år. Bivirkninger rapporteret hos ≥ 20% af patienterne i cellcept -behandlingsgrupperne er præsenteret nedenfor. Sikkerhedsdataene for tre nyretransplantationsundersøgelser samles sammen.

Tabel 5 bivirkninger i kontrollerede undersøgelser af de novo nyrehjerte eller levertransplantation rapporteret hos ≥20% af patienterne i cellcept -gruppen

Bivirkning af lægemiddelreaktion Nyrestudier Hjerteundersøgelse Leverundersøgelse
Cellcept
2g/dag
(n = 501)
eller 3g/dag
(n = 490)
Gør det ikke
1 til 2
mg/kg/dag
eller 100 til
150
mg/dag
Placebo Cellcept
3G/dag
Gør det ikke
1,5 til 3
mg/kg/dag
Cellcept
3G/dag
Gør det ikke 1 til 2
mg/kg/dag
System Organ Class (n = 991) (n = 326) (n = 166) (n = 289) (n = 289) (n = 277) (n = 287)
% % % % % % %
Infektioner og angreb
Bakterielle infektioner 39.9 33.7 37.3 - - 27.4 26.5
Virale infektioner - a - - 31.1 24.9 - -
Blod- og lymfesystemforstyrrelser
Anæmi 20.0 23.6 2.4 45.0 47.1 43.0 53.0
Ecchymosis - - - 20.1 9.7 - -
Leukocytose - - - 42.6 37.4 22.4 21.3
Leukopeni 28.6 24.8 4.2 34.3 43.3 45.8 39.0
Thrombocytopeni - - - 24.2 28.0 38.3 42.2
Metabolisme og ernæringsforstyrrelser
Hypercholesterolæmi - - - 46.0 43.9 - -
Hyperglykæmi - - - 48.4 53.3 43.7 48.8
Hyperkalæmi - - - - - 22.0 23.7
Hypocalcæmi - - - - - 30.0 30.0
Hypokalæmi - - - 32.5 26.3 37.2 41.1
Hypomagnesæmi - - - 20.1 14.2 39.0 37.6
Psykiatriske lidelser
Depression - - - 20.1 15.2 - -
Søvnløshed - - - 43.3 39.8 52.3 47.0
Nervesystemforstyrrelser
Svimmelhed - - - 34.3 33.9 - -
Hovedpine - - - 58.5 55.4 53.8 49.1
Rysten - - - 26.3 25.6 33.9 35.5
Hjerteforstyrrelser
Takykardi - - - 22.8 21.8 22.0 15.7
Vaskulære lidelser
Hypertension 27.5 32.2 19.3 78.9 74.0 62.1 59.6
Hypotension - - - 34.3 40.1 - -
Respiratorisk thorax- og mediastinal lidelser
Hoste - - - 40.5 32.2 - -
Dyspnø - - - 44.3 44.3 31.0 30.3
Pleural effusion - - - - - 34.3 35.9
Gastrointestinale lidelser
Mavesmerter 22.4 23.0 11.4 41.9 39.4 62.5 51.2
Forstoppelse - - - 43.6 38.8 37.9 38.3
Nedsat appetit - - - - - 25.3 17.1
Diarre 30.4 20.9 13.9 52.6 39.4 51.3 49.8
Dyspepsi - - - 22.1 22.1 22.4 20.9
Kvalme - - - 56.1 60.2 54.5 51.2
Opkast - - - 39.1 34.6 32.9 33.4
Hepatobiliære lidelser
Blodlactatdehydrogenase steg - - - 23.5 18.3 - -
Hepatisk enzym steg - - - - - 24.9 19.2
Hud og subkutane vævsforstyrrelser
Udslæt - - - 26.0 20.8 - -
Nyre- og urinforstyrrelser
Blodkreatinin steg - - - 42.2 39.8 - -
Blod urinstof steg - - - 36.7 34.3 - -
Generelle lidelser og administrationsstedets forhold
Asthenia - - - 49.1 41.2 35.4 33.8
Ødemer b 21.0 28.2 8.4 67.5 55.7 48.4 47.7
Smerte c 24.8 32.2 9.6 79.2 77.5 74.0 77.5
Pyrexia - - - 56.4 53.6 52.3 56.1
a : - Angiver, at forekomsten var under cutoff -værdien på 20% til optagelse i tabellen.
b : Ødem inkluderer perifert ødem ansigtsødem -scrotalødem.
c : Smerter inkluderer muskuloskeletalsmerter (myalgia nakkesmerter rygsmerter).

I three igen Nyrestudier Patienter, der modtog 2 g/dag cellecept, havde en samlet bedre sikkerhedsprofil end patienter, der fik 3 g/dag cellecept.

Lymfoproliferativ sygdom efter transplantation (PTLD-pseudolymfom) udviklede sig i 0,4% til 1% af patienterne, der modtog cellescept (2 g eller 3 g dagligt) med andre immunsuppressive midler i kontrollerede kliniske forsøg med nyrehjerte- og levertransplantationspatienter, fulgte mindst 1 år [se [se ADVARSELS OG FORHOLDSREGLER ]. Nonmelanoma skin carcinomas occurred in 1.6% til 4.2% of patients other types of malignancy in 0.7% til 2.1% of patients. Three-year safety data in kidney og heart transplant patients did not reveal any unexpected changes in incidence of malignancy compared til the 1-year data. In pediatric patients PTLD was observed in 1.35% (2/148) by 12 months post-transplant.

Cytopenier inklusive leukopeni -anæmi -thrombocytopeni og pancytopeni er en kendt risiko forbundet med mycophenolat og kan føre eller bidrage til forekomsten af ​​infektioner og blødninger [se ADVARSELS OG FORHOLDSREGLER ]. Severe neutropenia (ANC <0.5 x 10 3 /ml) udviklet i op til 2% af nyretransplantationspatienterne op til 2,8% af patienter med hjertetransplantation og op til 3,6% af levertransplantationspatienter, der modtager cellecept 3 g dagligt [se ADVARSELS OG FORHOLDSREGLER og Dosering og administration ].

De mest almindelige opportunistiske infektioner hos patienter, der fik cellecept med andre immunsuppressiva, var mucocutane Candida CMV -viræmi/syndrom og herpes simplex. Andelen af ​​patienter med CMV -viræmi/syndrom var 13,5%. Hos patienter, der modtager cellecept (2 g eller 3 g) i kontrollerede undersøgelser til forebyggelse af nyrehjerte eller leverafvisning af dødelig infektion/sepsis forekom hos ca. 2% af nyr- og hjertepatienter og hos 5% af leverpatienterne [se ADVARSELS OG FORHOLDSREGLER ].

De mest alvorlige gastrointestinale lidelser, der blev rapporteret, var ulceration og blødning, som er kendte risici forbundet med cellecept. Mund esophageal gastrisk duodenal og tarmsår kompliceres ofte af blødning såvel som hæmatemese melena og hæmoragiske former for gastritis, og colitis blev ofte rapporteret under de pivotale kliniske forsøg, mens de mest almindelige gastrointestinale lidelser var diarrhea kvalm og stammende. Endoskopisk undersøgelse af patienter med cellcept-relateret diarré afslørede isolerede tilfælde af tarmvillous atrofi [se ADVARSELS OG FORHOLDSREGLER ].

Følgende bivirkninger blev rapporteret med 3% til <20% incidence in kidney heart og liver transplant patients treated with Cellcept in combination with cyclospellerine og cellerticosteroids.

Tabel 6 Bivirkninger i kontrollerede undersøgelser af de novo nyrehjerte eller levertransplantation rapporteret i 3% til <20% of Patients Treated with Cellcept in Combination with Cyclosporin og Cellerticosteroids

System Organ Class Bivirkninger
Krop som en
Hel
Cellulitis Chills Hernia Malaise
Infektioner og
Angreb
Svampeinfektioner
Hæmatologisk
og Lymphatic
Koaguleringsforstyrrelse Ekchymose Pancytopenia
Urogenital hæmaturi
Kardiovaskulær Hypotension
Metabolisk og
Ernæringsmæssig
Acidose Alkalisk phosphatase Forøget hyperlipæmi
Hypophosphatemia vægttab
Fordøjelsesmulighed esophagitis flatulens gastritis gastrointestinal blødning
Hepatitis ileus kvalme og opkast mavesår
Neoplasma
godartet
ondartet og
uspecificeret
Neoplasma
Hud og
Vedhæng
hud godartet neoplasma hudkarcinom
Psykiatrisk forvirringal state
Nervøs Hypertonia paræstesi somnolens
Muskuloskeletal Arthralgia myasthenia
Pædiatri

Typen og hyppigheden af ​​bivirkninger i en klinisk undersøgelse til forebyggelse af afvisning af nyre allograft hos 100 pædiatriske patienter 3 måneder til 18 år doseret med cellecept oral suspension 600 mg/m 2 To gange to gange dagligt (op til 1 g to gange dagligt) svarede generelt til dem, der blev observeret hos voksne patienter doseret med celleceptkapsler i en dosis på 1 g to gange dagligt med undtagelse af abdominal smerte feber infektionssmerter sepsis diarré opkastende faryngitis luftvejsinfektionshypertension leukopeni og anæmi, som blev observeret i en højere andel hos pediatriske patienter.

Sikkerhedsoplysninger i pædiatrisk hjertetransplantation eller pædiatriske levertransplantationspatienter, der behandles med cellecept, understøttes af en open-label-undersøgelse hos pædiatriske levertransplantationspatienter og publikationer; Typen og hyppigheden af ​​de rapporterede bivirkninger er i overensstemmelse med dem, der er observeret hos pædiatriske patienter efter nyretransplantation og hos voksne.

Geriatri

Geriatriske patienter (≥65 år), især dem, der modtager cellecept som en del af en kombination af immunsuppressivt regime, kan have en øget risiko for visse infektioner (inklusive cytomegalovirus [CMV] vævs invasiv sygdom) og muligvis gastrointestinal blødning og pulmonalødema sammenlignet med yngre individer [se ADVARSELS OG FORHOLDSREGLER og Kliniske forsøg oplever ].

Cellecept intravenøs

Sikkerhedsprofilen for cellecept intravenøs blev bestemt ud fra en enkelt dobbeltblind kontrolleret komparativ undersøgelse af sikkerheden på 2 g/dag intravenøs og oral cellecept hos nyretransplantationspatienter i den øjeblikkelige periode efter transplantation (administreret i de første 5 dage). Den potentielle venøs irritation af cellecept intravenøs blev evalueret ved at sammenligne de bivirkninger, der kan tilskrives perifer venøs infusion af cellecept intravenøs med dem, der blev observeret i den intravenøse placebogruppe; Patienter i placebogruppen modtog aktiv medicin ved den orale rute.

Bivirkninger, der kan henføres til perifer venøs infusion, var phlebitis og trombose begge observeret hos 4% hos patienter behandlet med cellecept intravenøs.

Oplevelse af postmarketing

Følgende bivirkninger er blevet identificeret under anvendelse af cellecept efter godkendelse. Fordi disse reaktioner rapporteres frivilligt fra en population af usikker størrelse, er det ikke altid muligt at pålideligt estimere deres frekvens eller etablere et årsagsforhold til eksponering for lægemidler:

  • Embryo-føtal toksicitet: Medfødte misdannelser og spontane aborter hovedsageligt i første trimester er rapporteret efter eksponering for mycophenolat mofetil (MMF) i kombination med andre immunsuppressiva under graviditet [se ADVARSELS OG FORHOLDSREGLER og Brug i specifikke populationer ]. Congenital malfellermations include:
    • Ansigtsmisdannelser: spalte læbe spalte gane mikrognathia hypertelorisme af kredsløb
    • Abnormiteter i øret og øjet: unormalt dannet eller fraværende ekstern/mellemør coloboma mikrophthalmos
    • Misdannelser af fingrene: Polydactyly syndactyly brachydactyly
    • Hjerte abnormaliteter: Atrial og ventrikulære septumdefekter
    • Esophageal misdannelser: esophageal atresia
    • Nervøs system malfellermations: såsom spina bifida.
  • Kardiovaskulær: Venøs trombose er rapporteret hos patienter behandlet med cellecept indgivet intravenøst.
  • Fordøjelsesmulighed: Colitis pancreatitis
  • Hæmatologisk og Lymphatic: Knoglemarvssvigt tilfælde af ren rød celle aplasi (PRCA) og hypogammaglobulinæmi er rapporteret hos patienter, der er behandlet med cellepept i kombination med andre immunsuppressive midler [se ADVARSELS OG FORHOLDSREGLER ].
  • Immun: Hypersensitivitetshypogammaglobinæmi.
  • Infektioner: Meningitis infektiøs endokarditis tuberkulose atypisk mycobacterial infektion Progressiv multifokal leukoencephalopati BK -virusinfektion Viral reaktivering af hepatitis B og hepatitis C -protozoale infektioner [se ADVARSELS OG FORHOLDSREGLER ].
  • Respiratorisk: Bronchiectasis Interstitiel lungesygdom dødelig lungefibrose er sjældent rapporteret og bør overvejes i den differentielle diagnose af lungesymptomer, der spænder fra dyspnø til respirationssvigt hos post-transplantationspatienter, der modtager cellecept.
  • Vaskulær: Lymfocele

Lægemiddelinteraktioner feller Cellcept

Effekt af andre lægemidler på cellcept

Tabel 7 medikamentinteraktioner med cellecept, der påvirker mycophenolsyre (MPA) eksponering

Antacida med magnesium eller aluminiumhydroxid
Klinisk påvirkning Samtidig brug med et antacida indeholdende magnesium eller aluminiums hydroxid reducerer MPA -systemisk eksponering [se Klinisk farmakologi ] hvilket kan reducere cellecept -effektiviteten.
Forebyggelse eller styring Administrer magnesium- eller aluminiumhydroxid indeholdende antacida mindst 2 timer efter cellecept -administration.
Protonpumpeinhibitorer (PPI'er)
Klinisk påvirkning Samtidig brug med PPI'er reducerer MPA -systemisk eksponering [se Klinisk farmakologi ] hvilket kan reducere cellecept -effektiviteten.
Forebyggelse eller styring Overvåg patienter for ændringer i effektiviteten, når PPI'er samtidig administreres med cellecept.
Eksempler Lansoprazol pantoprazol
Medicin, der forstyrrer enterohepatisk recirkulation
Klinisk påvirkning Samtidig brug med medikamenter, der direkte forstyrrer enterohepatisk recirkulation eller indirekte forstyrrer enterohepatisk recirkulation ved at ændre mave -tarmfloraen kan reducere MPA -systemisk eksponering [se Klinisk farmakologi ] hvilket kan reducere cellecept -effektiviteten.
Forebyggelse eller styring Overvåg patienter for ændringer i effektivitet eller celleceptrelaterede bivirkninger, når disse lægemidler administreres med cellcept.
Eksempler Cyclosporin A trimethoprim/sulfamethoxazol galdesyre sekvestranter (cholestyramin) rifampin såvel som aminoglycosid cephalosporin fluoroquinolon og penicillin klasser af antimikrobielle stoffer
Lægemidler modulerer glukuronidering
Klinisk påvirkning Samtidig brug med medikamenter, der inducerer glukuronidering, reducerer MPA -systemisk eksponering, der potentielt reducerer cellecept -effektiviteten, mens brug med lægemidler, der hæmmer glucuronidering, øger MPA -systemisk eksponering [se Klinisk farmakologi ] hvilket kan øge risikoen for celleceptrelaterede bivirkninger.
Forebyggelse eller styring Overvåg patienter for ændringer i effektivitet eller celleceptrelaterede bivirkninger, når disse lægemidler administreres med cellcept.
Eksempler Telmisartan (inducerer glucuronidering); isavuconazol (hæmmer glucuronidering).
Calciumfrie fosfatbindemidler
Klinisk påvirkning Samtidig brug med calciumfrie phosphatbindemidler mindsker MPA -systemisk eksponering [se Klinisk farmakologi ] hvilket kan reducere cellecept -effektiviteten.
Forebyggelse eller styring Administrer calciumfrie phosphatbindemidler mindst 2 timer efter cellcept.
Eksempler Sevelamer

Effekt af cellecept på andre lægemidler

Tabel 8 Lægemiddelinteraktioner med cellecept, der påvirker andre lægemidler

Lægemidler, der gennemgår renal tubulær sekretion
Klinisk påvirkning Når det samtidig anvendes med cellecept, kan dens metabolit MPAG konkurrere med lægemidler, der elimineres af renal tubulær sekretion, hvilket kan øge plasmakoncentrationer og/eller bivirkninger forbundet med disse lægemidler.
Forebyggelse eller styring Monitor for lægemiddelrelaterede bivirkninger hos patienter med nedsat nyrefunktion.
Eksempler Acyclovir ganciclovir probenecid valacyclovir valganciclovir
Kombination af orale prævention
Klinisk påvirkning Samtidig brug med cellecept reducerede den systemiske eksponering for levonorgestrel, men påvirkede ikke den systemiske eksponering for ethinylestradiol [se Klinisk farmakologi ] hvilket kan resultere i reduceret oral præventiv effektivitet.
Forebyggelse eller styring Brug yderligere barriere -præventionsmetoder.

Advarsler om Cellcept

Inkluderet som en del af 'FORHOLDSREGLER' Afsnit

Forholdsregler for Cellcept

Embryofetal toksicitet

Brug af MMF under graviditet er forbundet med en øget risiko for graviditetstab i første trimester og en øget risiko for medfødte misdannelser, især eksternt øre og andre ansigts abnormiteter, herunder spalte læbe og gane og anomalier af de distale lemmer hjerte spiserør nyresystem og nervesystem. Kvinder af reproduktivt potentiale skal gøres opmærksomme på disse risici og skal rådes om forebyggelse og planlægning af graviditet. Undgå brug af MMF under graviditet, hvis der er sikrere behandlingsmuligheder (se Brug i specifikke populationer ].

Lymfom og andre maligniteter

Patienter, der får immunsuppressiva, inklusive cellecept, har en øget risiko for at udvikle lymfomer og andre maligniteter, især af huden [se Bivirkninger ]. The risk appears til be related til the intensity og duration of immunosuppression rather than til the use of any specific agent. Feller patients with increased risk feller skin cancer exposure til sunlight og UV light should be limited by wearing protective clothing og using a broad-spectrum sunscreen with a high protection factilr.

Lymfoproliferativ lidelse efter transplantation (PTLD) udviklede sig i 0,4% til 1% af patienterne, der modtog cellecept (2 g eller 3 g) med andre immunsuppressive stoffer i kontrollerede kliniske forsøg med nyrehjerte- og levertransplantationspatienter [se [se Bivirkninger ]. The majellerity of PTLD cases appear til be related til Epstein Barr Virus (EBV) infektion. The risk of PTLD appears greatest in those individuals who are EBV seronegative a population which includes many young children. In pediatric patients no other malignancies besides PTLD were observed in clinical trials [se Bivirkninger ].

Alvorlige infektioner

Patienter, der modtager immunsuppressiva, inklusive cellecept, har en øget risiko for at udvikle bakteriel svampeprotozoal og nye eller genaktiverede virale infektioner, herunder opportunistiske infektioner. Risikoen øges med den samlede immunsuppressive belastning. Disse infektioner kan føre til alvorlige resultater, herunder indlæggelser og død [se Bivirkninger ].

Alvorlige rapporterede virale infektioner inkluderer:

  • Polyomavirus-associeret nefropati (Pvan) især på grund af BK-virusinfektion
  • JC-virusassocieret progressiv multifokal leukoencephalopati (PML) og
  • Cytomegalovirus (CMV) infektioner: CMV -seronegative transplantationspatienter, der får et organ fra en CMV -seropositiv donor, har den højeste risiko for CMV -viræmi og CMV -sygdom.
  • Viral reaktivering hos patienter inficeret med hepatitis B og C
  • COVID-19

Overvej doseringsreduktion eller seponering af cellescept hos patienter, der udvikler nye infektioner eller genaktiverer virale infektioner, der vejer risikoen for, at reduceret immunsuppression repræsenterer for det fungerende allograft.

PVAN især på grund af BK -virusinfektion er forbundet med alvorlige resultater, herunder forværret nyrefunktion og nyretransplantattab [se Bivirkninger ]. Patient monitilring may help detect patients at risk feller PVAN.

PML, som undertiden er dødelig, præsenterer ofte med hemiparese apati forvirring kognitive mangler og ataksi [se Bivirkninger ]. In immunosuppressed patients physicians should consider PML in the differential diagnosis in patients repellerting neurological symptilms.

Risikoen for CMV -viræmi og CMV -sygdom er højest blandt transplantationsmodtagere seronegativ for CMV på tidspunktet for transplantation, der modtager et transplantat fra en CMV -seropositiv donor. Terapeutiske tilgange til begrænsning af CMV -sygdom findes og bør rutinemæssigt tilvejebringes. Patientovervågning kan hjælpe med at påvise patienter i fare for CMV -sygdom.

Viral reaktivering er rapporteret hos patienter inficeret med HBV eller HCV. Overvågning af inficerede patienter til kliniske og laboratorietegn på aktiv HBV- eller HCV -infektion anbefales.

Bloddyscrasias

Neutropeni And Pure Red Cell Aplasia (PRCA)

Alvorlig neutropeni [ Absolut neutrofil tælling (ANC) <0.5 x 10 3 /ml] udviklet i transplantationspatienter, der modtog cellecept 3 g dagligt [se Bivirkninger ]. Patients receiving Cellcept should be monitilred feller neutropenia. Neutropeni has been observed most frequently in the period from 31 til 180 days post-transplant in patients treated feller prevention of kidney heart og liver rejection. The development of neutropenia may be related til Cellcept itself concomitant medications viral infektioner eller a combination of these causes. Hvis neutropeni udvikler sig (ANC <1.3 x 10 3 /ml) Dosering med cellecept skal afbrudt, eller dosis reduceres passende diagnostiske tests udført, og patienten lykkedes korrekt [se Dosering og administration ]. Patients receiving Cellcept should be instructed til repellert immediately any evidence of infektion unexpected bruising bleeding eller any other manifestation of bone marrow depression.

Overvej at overvåge med komplette blodtællinger ugentligt for den første måned to gange månedligt i den anden og tredje måned og månedlig for resten af ​​det første år.

Tilfælde af ren rød celle aplasi (PRCA) er rapporteret hos patienter behandlet med cellepept i kombination med andre immunsuppressive midler. I nogle tilfælde viste det sig, at PRCA var reversibel med dosisreduktion eller ophør af cellecept -terapi. Hos transplantationspatienter kan imidlertid reduceret immunsuppression imidlertid placere transplantatet i fare.

Gastrointestinale komplikationer

Gastrointestinal blødning, der krævede ulceration af hospitalisering og perforeringer, blev observeret i kliniske forsøg. Læger skal være opmærksomme på disse alvorlige bivirkninger, især når de administrerer cellepept til patienter med en gastrointestinal sygdom.

Patienter med hypoxanthin-guanin-phosphoribosyl-transferase-mangel (HGPRT)

Cellcept is an inosine monophosphate dehydrogenase (IMPDH) inhibitilr; therefellere it should be avoided in patients with hereditary deficiencies of hypoxanthine-guanine phosphelleribosyl-transferase (HGPRT) such as Lesch-Nyhan og Kelley-Segmiller syndromes because it may cause an exacerbation of disease symptilms characterized by the overproduction og accumulation of uric acid leading til symptilms associated with gout such as acute arthritis tilphi nephrolithiasis eller urolithiasis og renal disease including renal failure.

Akut inflammatorisk syndrom forbundet med mycophenolatprodukter

Akut inflammatorisk syndrom (AIS) er rapporteret ved anvendelse af MMF- og mycophenolatprodukter, og nogle tilfælde har resulteret i hospitalisering. AIS er et paradoksalt pro-inflammatorisk reaktion, der er kendetegnet ved feber arthralgias arthritis muskelsmerter og forhøjede inflammatoriske markører, herunder C-reaktivt protein og erythrocytsedimentationshastighed uden bevis for infektion eller underliggende sygdoms tilbagefald. Symptomer forekommer inden for uger til måneder efter påbegyndelse af behandling eller en dosisforøgelse. Efter seponeringsforbedring af symptomer og inflammatoriske markører observeres normalt inden for 24 til 48 timer.

Overvåg patienter for symptomer og laboratorieparametre for AIS, når man starter behandling med mycophenolatprodukter eller når de øger doseringen. Afbryd behandlingen og overvej andre behandlingsalternativer baseret på risikoen og fordelen for patienten.

Immuniseringer

Under behandling med cellecept bør brugen af ​​levende svækkede vacciner undgås (f.eks. Intranasal influenza mæslinger fåresyge rubella oral polio BCG gul feber varicella og Ty21a tyfoidvacciner) og patienter skal rådes til, at vaccinationer kan være mindre effektive. Rådgiv patienter om at diskutere med lægen, før de søger immuniseringer.

Lokale reaktioner med hurtig intravenøs administration

Cellecept intravenøs solution must not be administered by rapid eller bolus intravenous injection as rapid infusion increases the risk of local adverse reactions such as phlebitis og thrombosis [se Bivirkninger ].

Risici hos patienter med phenylketonuri

Phenylalanin kan være skadeligt for patienter med phenylketonuri (PKU). Cellcept oral suspension indeholder aspartam En kilde til phenylalanin (NULL,56 mg phenylalanin/ml suspension). Før ordinerer cellecept oral suspension til en patient med PKU overvej den kombinerede daglige mængde phenylalanin fra alle kilder inklusive cellcept.

Bloddonation

Patienter bør ikke donere blod under terapi og i mindst 6 uger efter seponering af cellecept, fordi deres blod eller blodprodukter muligvis administreres til en kvinde med reproduktionspotentiale eller en gravid kvinde.

Sæddonation

Baseret på dyredata bør mænd ikke donere sæd under terapi og i 90 dage efter seponering af cellecept [se Brug i specifikke populationer ].

Effekt af samtidig medicin på mycophenolsyrekoncentrationer

En række lægemidler har potentiale til at ændre systemisk MPA-eksponering, når den blev administreret med cellecept. Derfor bestemmelse af MPA -koncentrationer i plasma før og efter at have foretaget ændringer i immunsuppressiv terapi, eller når der tilsættes eller afbryder samtidig medicin, kan det være passende for at sikre, at MPA -koncentrationer forbliver stabile.

Potentiel forringelse af evnen til at drive eller betjene maskineri

Cellcept may impact the ability til drive og use machines. Patients should avoid driving eller using machines if they experience somnolence forvirring dizziness rysten eller Hypotension during treatment with Cellcept [se Bivirkninger ].

Oplysninger om patientrådgivning

Rådgiv patienten om at læse den FDA-godkendte patientmærkning ( Medicin vejledning og Brug til brug ).

Embryofetal toksicitet

Graviditetstab og misdannelser

  • Informere kvinder om reproduktionspotentiale og gravide kvinder om, at brug af cellcept under graviditet er forbundet med en øget risiko for graviditetstab i første trimester og en øget risiko for medfødte misdannelser. Rådgive om, at de skal bruge en acceptabel form for prævention [se ADVARSELS OG FORHOLDSREGLER Brug i specifikke populationer ].
  • Opmuntr gravide kvinder til at tilmelde sig graviditetseksponeringsregistret. Dette register overvåger graviditetsresultater hos kvinder udsat for mycophenolat [se Brug i specifikke populationer ].

Svangerskabsforebyggelse

  • Diskuter graviditetstest graviditetsforebyggelse og planlægning med kvinder med reproduktionspotentiale [se Brug i specifikke populationer ].
  • Kvinder af reproduktionspotentiale skal bruge en acceptabel form for fødselskontrol under hele cellecept -terapien og i 6 uger efter at have stoppet cellcept, medmindre patienten vælger afholdenhed. Cellcept kan reducere effektiviteten af ​​orale prævention. Brug af yderligere barriere -præventionsmetoder anbefales [se Brug i specifikke populationer ].
  • For patienter, der overvejer graviditet, diskuterer passende alternative immunsuppressiva med mindre potentiale for embryofetal toksicitet. Risici og fordele ved Cellcept bør diskuteres med patienten.
  • Rådgive seksuelt aktive mandlige patienter og/eller deres partnere til at bruge effektiv prævention under behandlingen af ​​den mandlige patient og i mindst 90 dage efter ophør af behandlingen. Denne anbefaling er baseret på fund fra dyreforsøg [se Brug i specifikke populationer Ikke -klinisk toksikologi ].
Udvikling af lymfom og andre maligniteter
  • Informer patienter om, at de har en øget risiko for at udvikle lymfomer og andre maligniteter, især om huden på grund af immunsuppression [se ADVARSELS OG FORHOLDSREGLER ].
  • Rådgiv patienter om at begrænse eksponering for sollys og ultraviolet (UV) lys ved at bære beskyttelsesbeklædning og brug af bredspektret solcreme med høj beskyttelsesfaktor.
Øget risiko for alvorlige infektioner

Informer patienter om, at de har en øget risiko for at udvikle en række infektioner på grund af immunsuppression. Instruer dem om at kontakte deres læge, hvis de udvikler nogen af ​​tegnene og symptomerne på infektion, der er forklaret i medicinalvejledningen [se ADVARSELS OG FORHOLDSREGLER ].

Hvad bruges clobex spray til
Bloddyscrasias

Informer patienter om, at de har en øget risiko for at udvikle blodbivirkninger såsom anæmi eller lave hvide blodlegemer. Rådgive patienter om straks at kontakte deres sundhedsudbyder, hvis de oplever bevis for infektion uventet blå mærker eller blødning eller enhver anden manifestation af knoglemarvsundertrykkelse [se ADVARSELS OG FORHOLDSREGLER ].

Mave -tarmkanalkomplikationer

Informer patienter om, at cellecept kan forårsage mave -tarmkanalkomplikationer, herunder blødning tarmperforeringer og gastriske eller duodenalsår. Rådgiv patienten om at kontakte deres sundhedsudbyder, hvis de har symptomer på gastrointestinal blødning eller pludselig begyndelse eller vedvarende mavesmerter [se ADVARSELS OG FORHOLDSREGLER ].

Akut inflammatorisk syndrom

Informer patienter om, at der er rapporteret om akutte inflammatoriske reaktioner hos nogle patienter, der modtog cellecept. Nogle reaktioner var alvorlige, der krævede indlæggelse. Rådgive patienter om at kontakte deres læge, hvis de udvikler feberfedstivheds ledssmerter eller muskelsmerter [se ADVARSELS OG FORHOLDSREGLER ].

Immuniseringer

Informer patienter om, at Cellcept kan forstyrre det sædvanlige respons på immuniseringer. Før de søger vacciner på egen hånd, rådgiver patienterne først til at diskutere med deres læge [se ADVARSELS OG FORHOLDSREGLER ].

Administrationsinstruktioner

  • Rådgiv patienter om ikke at knuse cellecept -tabletter og ikke åbne celleceptkapsler.
  • Rådgive patienter om at undgå inhalation eller kontakt af huden eller slimhinderne med pulveret indeholdt i celleceptkapsler og med den orale ophæng. Hvis sådan kontakt opstår, skal de vaske kontaktområdet grundigt med sæbe og vand. I tilfælde af okulær kontaktskyl øjnene med almindeligt vand.
  • Rådgive patienter om at tage en ubesvaret dosis, så snart de husker, undtagen om det er tættere end 2 timer på den næste planlagte dosis; I dette tilfælde bør de fortsætte med at tage Cellcept på de sædvanlige tidspunkter.
Bloddonation

Rådgiv patienter om ikke at donere blod under terapi og i mindst 6 uger efter seponering af cellecept [se ADVARSELS OG FORHOLDSREGLER ].

Sæddonation

Rådgiv mænd med fødedygtige potentiale til ikke at donere sæd under terapi og i 90 dage efter seponering af cellcept [se ADVARSELS OG FORHOLDSREGLER ].

Potentiale til at forringe kørsel og brug af maskiner

Rådgiv patienter om, at Cellcept kan påvirke evnen til at køre eller betjene maskiner. Patienter bør undgå at køre eller driftsmaskiner, hvis de oplever somnolens forvirring svimmelhed rystelse eller hypotension under behandling med cellecept [se ADVARSELS OG FORHOLDSREGLER ].

Ikke -klinisk toksikologi

Karcinogenese mutagenese nedskrivning af fertilitet

I en 104-ugers oral carcinogenicitetsundersøgelse hos mus var MMF i daglige doser op til 180 mg/kg ikke tumorigen. Den højeste testede dosis var 0,2 gange den anbefalede kliniske dosis (2 g/dag) hos nyretransplantationspatienter og 0,15 gange den anbefalede kliniske dosis (3 g/dag) hos hjertetransplantationspatienter, når de korrigeres for forskelle i kropsoverfladeareal (BSA). I en 104-ugers oral carcinogenicitetsundersøgelse hos rotter var MMF i daglige doser op til 15 mg/kg ikke tumorigenisk. Den højeste dosis var 0,035 gange den anbefalede kliniske dosis hos nyretransplantationspatienter og 0,025 gange den anbefalede kliniske dosis hos hjertetransplantationspatienter, når de korrigeres for BSA. Mens disse dyredoser var lavere end dem, der blev givet til patienter, var de maksimale i disse arter og blev betragtet som tilstrækkelige til at evaluere potentialet for menneskelig risiko [se ADVARSELS OG FORHOLDSREGLER ].

Det genotoksiske potentiale af MMF blev bestemt i fem assays. MMF var genotoksisk i muselymfom/thymidinkinaseassay og forgæves Musmikronukleusassay. MMF var ikke genotoksisk i bakteriemutationsassayet Gær -mitotisk genomdannelsesassay eller den kinesiske hamster -æggestokkekromosomal aberrationsassay.

MMF havde ingen indflydelse på fertiliteten af ​​hanrotter ved orale doser op til 20 mg/kg/dag. Denne dosis repræsenterer 0,05 gange den anbefalede kliniske dosis hos nyretransplantationspatienter og 0,03 gange den anbefalede kliniske dosis hos hjertetransplantationspatienter, når de korrigeres for BSA. I en kvindelig fertilitets- og reproduktionsundersøgelse, der blev udført i rotter orale doser på 4,5 mg/kg/dag, forårsagede misdannelser (hovedsageligt af hovedet og øjnene) i den første generation afkom i fravær af moderlig toksicitet. Denne dosis var 0,01 gange den anbefalede kliniske dosis hos nyretransplantationspatienter og 0,005 gange den anbefalede kliniske dosis hos hjertetransplantationspatienter, når de blev korrigeret for BSA. Ingen effekter på fertilitet eller reproduktive parametre var tydelige i dæmningerne eller i den efterfølgende generation.

Brug i specifikke populationer

Graviditet

Graviditet Exposure Registry

Der er et graviditetseksponeringsregister, der overvåger graviditetsresultater hos kvinder, der udsættes for mycophenolat under graviditet, og dem, der bliver gravide inden for 6 uger efter ophør af cellepept -behandling. At rapportere en graviditet eller få information om registreringsdatabasen besøg www.mycophenolaterems.com eller ring 1-800-617- 8191.

Risikooversigt

Brug af mycophenolat mofetil (MMF) under graviditet er forbundet med en øget risiko for første trimester graviditetstab og en øget risiko for flere medfødte misdannelser i flere organsystemer [se Menneskelige data ]. Oral administration of mycophenolate til rats og rabbits during the period of ellerganogenesis produced congenital malfellermations og pregnancy loss at doses less than the recommended clinical dose (0.01 til 0.05 times the recommended clinical doses in kidney og heart transplant patients) [se Dyredata ].

Overvej alternative immunsuppressiva med mindre potentiale for embryofetal -toksicitet. Risici og fordele ved Cellcept bør diskuteres med den gravide kvinde.

Den estimerede baggrundsrisiko for graviditetstab og medfødte misdannelser i organtransplantationspopulationer er ikke klar. I den amerikanske generelle befolkning er den estimerede baggrundsrisiko for større fødselsdefekter og spontanabort i klinisk anerkendte graviditeter henholdsvis 2 til 4% og 15 til 20%.

Data

Menneskelige data

Der er rapporteret om et spektrum af medfødte misdannelser (inklusive flere misdannelser hos individuelle nyfødte) hos 23 til 27% af levende fødsler i MMF -eksponerede graviditeter baseret på offentliggjorte data fra graviditetsregistre. Misdannelser, der er dokumenteret, inkluderer eksterne øreøjet og andre ansigts abnormiteter, herunder spalte læbe og gane og anomalier fra de distale lemmer hjerte spiserør nyr og nervesystem.

Baseret på offentliggjorte data fra graviditetsregistreringer er risikoen for graviditetstab i første trimester rapporteret til 45 til 49% efter MMF -eksponering.

Dyredata

I dyrefor reproduktive toksikologiske undersøgelser var der øgede satser for føtal resorptioner og misdannelser i fravær af moderlig toksicitet. Oral administration af MMF til gravide rotter fra svangerskabsdag 7 til dag 16 frembragte øget embryofetal letalitet og føtal misdannelser inklusive anophthalmia Agnathia og hydrocephaly i doser svarende til henholdsvis 0,015 og 0,01 gange de anbefalede humane doser til renale og hjerte -transplantationspatienter, når de var korrigeret til BSA. Oral administration af MMF til gravide kaniner fra svangerskabsdag 7 til dag 19 producerede øget embryofetal dødelighed og føtal misdannelser inkluderede ektopi cordis ectopic nyrer membraner brok og umbilical broklystne ved dosis ækvivalenter så lavt som 0,05 og 0,03 gange de anbefalede humane doser til nyre- og hjerte- og hjertetransplantationspatienter også, når de var tilrådt for BSA.

Amning

Risikooversigt

Der er ingen data om tilstedeværelsen af ​​mycophenolat i human mælk eller virkningerne på mælkeproduktionen. Der er begrænsede data i National Transplantation Graviditetsregistret på virkningerne af mycophenolat på et ammende barn [se Data ]. Studies in rats treated with MMF have shown mycophenolic acid (MPA) til be present in milk. Because available data are limited it is not possible til exclude potential risks til a breastfeeding infant.

De udviklingsmæssige og sundhedsmæssige fordele ved amning bør overvejes sammen med mors kliniske behov for cellecept og eventuelle bivirkninger på det ammede spædbarn fra cellcept eller fra den underliggende moderlige tilstand.

Data

Begrænset information er tilgængelig fra National Transplantation Graviditetsregistret. Af syv spædbørn, der blev rapporteret af National Transplantation Graviditetsregisteret for at være ammet, mens moderen tog mycophenolat, blev alle født ved 34-40 ugers drægtighed og ammet i op til 14 måneder. Der blev ikke rapporteret om bivirkninger.

Kvinder og mænd med reproduktivt potentiale

Kvinder af reproduktivt potentiale skal gøres opmærksomme på den øgede risiko for graviditetstab i første trimester og medfødte misdannelser og skal rådes om graviditetsforebyggelse og -planlægning.

Graviditet Planning

For patienter, der overvejer graviditet, skal du overveje alternative immunsuppressiva med mindre potentiale for embryofetal -toksicitet, når det er muligt. Risici og fordele ved Cellcept bør diskuteres med patienten.

Graviditet Testing

For at forhindre ikke -planlagt eksponering under graviditet skal alle hunner med reproduktionspotentiale have en serum eller urin graviditetstest med en følsomhed på mindst 25 miu/ml umiddelbart før cellepept. En anden graviditetstest med den samme følsomhed bør udføres 8 til 10 dage senere. Gentag graviditetstest skal udføres under rutinemæssige opfølgningsbesøg. Resultaterne af alle graviditetstest bør diskuteres med patienten. I tilfælde af en positiv graviditetstest skal du overveje alternative immunsuppressiva med mindre potentiale for embryofetal -toksicitet, når det er muligt.

Svangerskabsforebyggelse

Kvindelige patienter

Kvinder af reproduktivt potentiale, der tager cellecept, skal modtage præventionsrådgivning og bruge acceptabel prævention (se Tabel 9 til acceptable præventionsmetoder). Patienter skal bruge acceptabel prævention under hele cellecept -terapien og i 6 uger efter stop af cellcept, medmindre patienten vælger afholdenhed.

Patienterne skal være opmærksomme på, at cellecept reducerer blodniveauerne af hormonerne fra den orale præventionspiller og kunne teoretisk reducere dens effektivitet [se Lægemiddelinteraktioner ].

Tabel 9 Acceptable Svangerskabsforebyggelse Methods feller Females of Reproductive Potential
Vælg fra de følgende muligheder for fødselsbekæmpelse:

Valgmulighed 1
Metoder til
Brug alene
  • Intrauterine enheder (IUD)
  • Tubal sterilisering
  • Patientens partner vasektomi

ELLER

Valgmulighed 2 Hormonmetoder
Vælg 1
Barriere -metoder
Vælg 1
Vælg en hormonmetode OG En barriere -metode Østrogen og progesteron
  • Oral præventionspiller
  • Transdermal patch
  • Vaginal ring
OG
  • Membran med spermicid
  • Cervikal cap med sædceller
  • Præventiv svamp
  • Mandlig kondom
  • Kvindeligt kondom
Progesteron-kun
  • Indsprøjtning
  • Implantat

ELLER

Valgmulighed 3 Barriere -metoder
Vælg 1
Barriere -metoder
Vælg 1
Vælg en barriere -metode fra hver kolonne
(skal vælge to metoder)
  • Membran med spermicid
  • Cervikal cap med sædceller
  • Præventiv svamp
OG
  • Mandlig kondom
  • Kvindeligt kondom

Mandlige patienter

Genotoksiske effekter er blevet observeret i dyreforsøg ved eksponeringer, der overskrider de humane terapeutiske eksponeringer med cirka 1,25 gange. Således kan risikoen for genotoksiske effekter på sædceller ikke udelukkes. Baseret på denne potentielle risiko, anbefales seksuelt aktive mandlige patienter og/eller deres kvindelige partnere at bruge effektiv prævention under behandling af den mandlige patient og i mindst 90 dage efter behandling af behandling. Baseret på den potentielle risiko for genotoksiske effekter bør mandlige patienter ikke donere sædceller under behandling med cellecept og i mindst 90 dage efter ophør af behandlingen [se Graviditet Ikke -klinisk toksikologi Patientinformation ].

Pædiatrisk brug

Der er etableret sikkerhed og effektivitet hos pædiatriske patienter 3 måneder og ældre for profylaksen om organ afvisning af allogenisk nyrehjerte eller levertransplantationer.

Nyretransplantation

Brug af cellcept i denne population understøttes af beviser fra tilstrækkelige og velkontrollerede undersøgelser af cellecept hos voksne med yderligere data fra en open-label farmakokinetisk og sikkerhedsundersøgelse af cellescept hos pædiatriske patienter efter at have modtaget allogen nyretransplantation (100 patienter 3 måneder til 18 år) [se Dosering og administration Bivirkninger Klinisk farmakologi Kliniske studier ].

Hjertetransplantation og levertransplantation

Anvendelse af cellecept i pædiatrisk hjertetransplantation og levertransplantationspatienter understøttes af tilstrækkelige og velkontrollerede studier og farmakokinetiske data hos voksne hjertetransplantations- og levertransplantationspatienter. Yderligere understøttende data inkluderer farmakokinetiske data i pædiatrisk nyretransplantation og pædiatrisk levertransplantationspatienter (8 levertransplantationspatienter 9 måneder til 5 år i en open-label farmakokinetiske og sikkerhedsundersøgelse) og offentliggjorde bevis for klinisk effektivitet og sikkerhed i pædiatrisk hjertetransplantations- og pediatrisk levertransplantationspatienter [se se beviser Dosering og administration Bivirkninger Klinisk farmakologi Kliniske studier ].

Geriatrisk brug

Kliniske undersøgelser af cellcept inkluderede ikke tilstrækkeligt antal forsøgspersoner i alderen 65 år og derover for at afgøre, om de reagerer forskelligt fra yngre forsøgspersoner. Andre rapporterede kliniske erfaringer har ikke identificeret forskelle i responser mellem geriatriske og yngre patienter. Generelt skal dosisudvælgelse for en geriatrisk patient tage hensyn til tilstedeværelsen af ​​nedsatte leverrenal eller hjertefunktion og af samtidige lægemiddelterapier [se Bivirkninger Lægemiddelinteraktioner ].

Patienter med nedsat nyrefunktion

Patienter med nyretransplantation

Ingen doseringsjusteringer er nødvendige hos patienter med nyretransplantation, der oplever forsinket transplantatfunktion postoperativt, men patienter skal overvåges omhyggeligt [se Klinisk farmakologi ]. In Nyretransplantationspatienter med alvorlig kronisk svækkelse af transplantatet (Gfr <25 mL/min/1.73 m 2 ) ingen dosisjusteringer er nødvendige; Imidlertid bør doser større end 1 g administreret to gange om dagen undgås.

Patienter med hjerte- og levertransplantation

Ingen data er tilgængelige for hjerte- eller levertransplantationspatienter med alvorlig kronisk nedsat nyrefunktion. Cellcept kan bruges til hjerte- eller levertransplantationspatienter med alvorlig kronisk nedsat nyrefunktion, hvis de potentielle fordele opvejer de potentielle risici.

Patienter med nedsat leverfunktion

Patienter med nyretransplantation

Ingen doseringsjusteringer anbefales til nyretransplantationspatienter med svær leverparenchymal sygdom. Det vides dog ikke, om doseringsjusteringer er nødvendige for leversygdom med andre etiologier [se Klinisk farmakologi ].

Patienter med hjertetransplantation

Ingen data er tilgængelige for patienter med hjertetransplantation med svær leverparenchymal sygdom.

Overdoseringsoplysninger til Cellcept

Mulige tegn og symptomer på akut overdosis inkluderer hæmatologiske abnormiteter, såsom leukopeni og neutropeni og mave -tarmsymptomer, såsom mavesmerter diarré kvalme opkast og dyspepsi.

Oplevelsen med overdosis af cellcept hos mennesker er begrænset. De rapporterede effekter, der er forbundet med overdosering, falder inden for lægemidlets kendte sikkerhedsprofil. Den højeste dosis indgivet til nyretransplantationspatienter i kliniske forsøg har været 4 g/dag. I begrænset erfaring med hjerte- og levertransplantationspatienter i kliniske forsøg var de anvendte højeste doser 4 g/dag eller 5 g/dag. Ved doser på 4 g/dag eller 5 g/dag ser det ud til at være en højere hastighed sammenlignet med brugen af ​​3 g/dag eller mindre af gastrointestinal intolerance (kvalme opkast og/eller diarré) og lejlighedsvis hæmatologiske abnormaliteter, især neutropeni [se ADVARSELS OG FORHOLDSREGLER ].

Behandling og styring

MPA og den phenoliske glucuronidmetabolit af MPA (MPAG) fjernes normalt ikke ved hæmodialyse. Ved høje MPAG -plasmakoncentrationer (> 100 mg/ml) fjernes dog små mængder MPAG. Ved at øge udskillelsen af ​​lægemidlet kan MPA fjernes af galdesyre -sekvestranter, såsom cholestyramin [se Klinisk farmakologi ].

Kontraindikationer for cellcept

Allergiske reaktioner på cellcept er blevet observeret; Derfor er cellcept kontraindiceret hos patienter med en overfølsomhed over for mycophenolat mofetil (MMF) mycophenolsyre (MPA) eller enhver komponent i lægemiddelproduktet. Cellcept intravenøs er kontraindiceret hos patienter, der er allergiske over for polysorbat 80 (Tween).

Klinisk farmakologi feller Cellcept

Handlingsmekanisme

Mycophenolat mofetil (MMF) absorberes efter oral administration og hydrolyseres til mycophenolsyre (MPa) den aktive metabolit. MPA er en selektiv konkurrencedygtig hæmmer af de to isoformer (type I og type II) af inosinmonophosphatdehydrogenase (IMPDH), der fører til hæmning af den igen Sti af guanosin -nukleotidsyntese og blokerer DNA -syntese. Virkningsmekanismen for MPA er mangefacetteret og inkluderer effekter på cellulære kontrolpunkter, der er ansvarlige for metabolisk programmering af lymfocytter. MPA skifter transkriptionelle aktiviteter i lymfocytter fra en proliferativ tilstand til kataboliske processer. In vitro Undersøgelser antyder, at MPA modulerer transkriptionelle aktiviteter i humane CD4 T-lymfocytter ved at undertrykke Akt/mTOR- og STAT5-veje, der er relevante for metabolisme og overlevelse, der fører til en anergisk tilstand af T-celler, hvorved cellerne bliver mindre lydhøre over for antigen stimulering. Derudover forbedrede MPA ekspressionen af ​​negative co-stimulatorer, såsom CD70 PD-1 CTLA-4 og transkriptionsfaktor FOXP3, samt reducerede ekspressionen af ​​positive co-stimulatorer CD27 og CD28.

MPA reducerer proliferative responser af T- og B-lymfocytter til både mitogene og allo-antigenstimuleringsantistofresponser såvel som produktionen af ​​cytokiner fra lymfocytter og monocytter, såsom GM-CSF IFN-? IL-17 og TNF-a. Derudover forhindrer MPA glycosylering af lymfocyt og monocytglycoproteiner, der er involveret i intercellulær adhæsion til endotelceller og kan hæmme rekruttering af leukocytter til steder med betændelse og transplantatafvisning.

Generelt er virkningen af ​​MPA cytostatisk og reversibel.

Farmakodynamik

Der mangler information om de farmakodynamiske virkninger af MMF.

Farmakokinetik

Absorption

Efter oral og intravenøs administration gennemgår MMF fuldstændig omdannelse til MPA den aktive metabolit. Hos 12 raske frivillige var den gennemsnitlige absolutte biotilgængelighed af oral MMF i forhold til intravenøs MMF 94%. To 500 mg cellecept -tabletter har vist sig at være bioækvivalente til fire 250 mg celleceptkapsler. Fem ml af de 200 mg/ml, der er sammensat af cellecept oral suspension, har vist sig at være bioækvivalent til fire 250 mg kapsler.

De gennemsnitlige (± SD) farmakokinetiske parametre -estimater for MPA efter administration af MMF, der er givet som enkeltdoser til raske frivillige og flere doser til nyrehjerte- og levertransplantationspatienter, er vist i Tabel . Området under plasmakoncentrationstidskurve (AUC) for MPA ser ud til at stige på en dosisproportional måde hos nyretransplantationspatienter, der får flere orale doser af MMF op til en daglig dosis på 3 g (NULL,5 g to gange dagligt) (se Tabel 10 ).

Tabel 10 Pharmacokinetic Parameters feller MPA [mean (±SD)] Following Administration of MMF til Sunde frivillige (Single Dosis) og Kidney Heart og Liver Transplant Patients (Multiple Dosiss)

Sunde frivillige Dosis/vej Tmax
(h)
Cmax
(MCG/ML)
Total AUC
(MCG • H/ml)
Enkelt dosis 1 g/oral 0.80
(± 0,36)
(n = 129)
24.5
(± 9.5)
(n = 129)
63.9
(± 16.2)
(n = 117)
Nyretransplantation Patients
(to gange daglig dosering) tid efter
Transplantation
Dosis/vej Tmax
(h)
Cmax
(MCG/ML)
Interdosing
Interval
AUC (0-12H)
(MCG • H/ml)
5 dage 1 g/iv 1.58
(± 0,46)
(n = 31)
12.0
(± 3,82)
(n = 31)
40.8
(± 11.4)
(n = 31)
6 dage 1 g/oral 1.33
(± 1,05)
(n = 31)
10.7
(± 4,83)
(n = 31)
32.9
(± 15.0)
(n = 31)
Tidligt (mindre end 40 dage) 1 g/oral 1.31
(± 0,76)
(n = 25)
8.16
(± 4,50)
(n = 25)
27.3
(± 10.9)
(n = 25)
Tidligt (mindre end 40 dage) 1,5 g/oral 1.21
(± 0,81)
(n = 27)
13.5
(± 8.18)
(n = 27)
38.4
(± 15.4)
(n = 27)
Sent (større end 3 måneder) 1,5 g/oral 0.90
(± 0,24)
(n = 23)
24.1
(± 12.1)
(n = 23)
65.3
(± 35.4)
(n = 23)
Patienter med hjertetransplantation
(to gange daglig dosering) tid efter
Transplantation
Dosis/vej Tmax
(h)
Cmax
(MCG/ML)
Interdosing
Interval
AUC (0-12H)
(MCG • H/ml)
Tidlig
(Dag før udskrivning)
1,5 g/oral 1.8
(± 1,3)
(n = 11)
11.5
(± 6,8)
(n = 11)
43.3
(± 20.8)
(n = 9)
Sent (større end 6 måneder) 1,5 g/oral 1.1
(± 0,7)
(n = 52)
20.0
(± 9.4)
(n = 52)
54.1 a
(± 20.4)
(n = 49)
Levertransplantationspatienter
(to gange daglig dosering) tid efter
Transplantation
Dosis/vej Tmax
(h)
Cmax
(MCG/ML)
Interdosing
Interval
AUC (0-12H)
(MCG • H/ml)
4 til 9 dage 1 g/iv 1.50
(± 0,517)
(n = 22)
17.0
(± 12.7)
(n = 22)
34.0
(± 17.4)
(n = 22)
Tidlig (5 til 8 days) 1,5 g/oral 1.15
(± 0,432)
(n = 20)
13.1
(± 6,76)
(n = 20)
29.2
(± 11.9)
(n = 20)
Sent (større end 6 måneder) 1,5 g/oral 1.54
(± 0,51)
(n = 6)
19.3
(± 11.7)
(n = 6)
49.3
(± 14.8)
(n = 6)
a AUC (0-12H) values quoted are extrapolated from data from samples collected over 4 hours.

I early post-transplant period (less than 40 days post-transplant) kidney heart og liver transplant patients had mean MPA AUCs approximately 20% til 41% lower og mean Cmax approximately 32% til 44% lower compared til the late transplant period (i.e. 3 til 6 months post-transplant) (non-stationarity in MPA pharmacokinetics).

Gennemsnitlige MPA AUC-værdier efter administration af 1 g to gange dagligt intravenøs cellescept over 2 timer til nyretransplantationspatienter i 5 dage var ca. 24% højere end dem, der blev observeret efter oral administration af en lignende dosis i den øjeblikkelige fase efter transplantation.

Hos levertransplantationspatienter resulterede administration af 1 g to gange dagligt intravenøs cellecept efterfulgt af 1,5 g to gange dagligt oral cellcept i gennemsnit MPA AUC -estimater svarende til dem, der findes hos nyretransplantationspatienter, der blev administreret 1 G Cellcept to gange dagligt.

Effekt af mad

Mad (27 g fedt 650 kalorier) havde ingen indflydelse på omfanget af absorption (MPA AUC) af MMF, når de blev administreret i doser på 1,5 g to gange dagligt til nyretransplantationspatienter. MPA Cmax blev dog reduceret med 40% i nærvær af mad [se Dosering og administration ].

Fordeling

Den gennemsnitlige (± SD) tilsyneladende mængde fordeling af MPA hos 12 raske frivillige var ca. 3,6 (± 1,5) L/kg. Ved klinisk relevante koncentrationer er MPA 97% bundet til plasmaalbumin. Den phenoliske glucuronidmetabolit af MPA (MPAG) er 82% bundet til plasmaalbumin ved MPAG -koncentrationsområder, der normalt ses hos stabile nyretransplantationspatienter; Ved højere MPAG -koncentrationer (observeret hos patienter med nyresvækkelse eller forsinket nyretransplantatfunktion) kan bindingen af ​​MPA reduceres som et resultat af konkurrence mellem MPAG og MPA til proteinbinding. Gennemsnitlig blod / plasmaforhold mellem radioaktivitetskoncentrationer var ca. 0,6, hvilket indikerede, at MPA og MPAG ikke i vid udstrækning fordeler i de cellulære brøkdel af blod.

In vitro Undersøgelser til evaluering af virkningen af ​​andre midler på bindingen af ​​MPA til humant serumalbumin (HSA) eller plasmaproteiner viste, at salicylat (ved 25 mg/dL med humant serumalbumin) og MPAG (ved ≥ 460 mcg/ml med plasmaproteiner) øgede den frie fraktion af MPA. MPA i koncentrationer så høje som 100 mcg/ml havde ringe indflydelse på bindingen af ​​warfarin digoxin eller propranolol, men reducerede bindingen af ​​teofyllin fra 53% til 45% og phenytoin fra 90% til 87%.

Eliminering

Gennemsnitlig (± SD) tilsyneladende halveringstid og plasmaklarering af MPA er 17,9 (± 6,5) timer og 193 (± 48) ml/min efter oral administration og 16,6 (± 5,8) timer og 177 (± 31) ml/min efter intravenøs administration.

Metabolisme

Det overordnede lægemiddel MMF kan måles systemisk under den intravenøse infusion; Dog ca. 5 minutter efter infusionen er stoppet eller efter oral administration er MMF -koncentrationer under kvantificeringsgrænsen (NULL,4 mcg/ml).

Metabolisme til MPA occurs pre-systemically after elleral dosing. MPA is metabolized principally by glucuronyl transferase til fellerm MPAG which is not pharmacologically active. Forgæves MPAG konverteres til MPA under enterohepatisk recirkulation. Følgende metabolitter af 2-hydroxyethyl-morpholino-gruppen udvindes også i urinen efter oral indgivelse af MMF til raske forsøgspersoner: N- (2-carboxymethyl)-morpholin N- (2-hydroxyethyl) -morpholin og N-oxid af N-(2-hydroxyethyl) -molin. På grund af den enterohepatiske recirkulation af MPAG/MPA sekundære toppe i plasma-MPA-koncentrationstidsprofilen observeres normalt 6 til 12 timer efter dosis. Endog Sequestrants såsom cholestyramin reducerer MPA AUC ved at blande sig i denne enterohepatiske recirkulation af lægemidlet [se OVERDOSIS og Lægemiddelinteraktionsundersøgelser under].

Udskillelse

N-acetyl-glucosaminangst

Ubetydelig mængde lægemiddel udskilles som MPA (mindre end 1% af dosis) i urinen. Oralt administreret radiomærket MMF resulterede i fuldstændig genvinding af den administrerede dosis med 93% af den indgivne dosis, der blev udvundet i urinen og 6%, der blev udvundet i fæces. De fleste (ca. 87%) af den administrerede dosis udskilles i urinen som MPAG. Ved klinisk opstået koncentration fjernes MPA og MPAG normalt ikke ved hæmodialyse. Ved høje MPAG -plasmakoncentrationer (> 100 mcg/ml) fjernes små mængder MPAG.

Forøgede plasmakoncentrationer af MMF-metabolitter (MPA 50% stigning og MPAG omkring en 3 gange til 6 gange stigning) observeres hos patienter med nyreinsufficiens [se Specifikke populationer ].

Specifikke populationer

Patienter med nedsat nyrefunktion

De gennemsnitlige (± SD) farmakokinetiske parametre for MPA efter administration af oral MMF givet som enkeltdoser til ikke-transplantationspersoner med nedsat nyrefunktion er præsenteret i Tabel .

I en enkeltdosisundersøgelse blev MMF administreret som en kapsel eller som en intravenøs infusion over 40 minutter. Plasma MPA AUC observeret efter oral dosering til frivillige med alvorlig kronisk nyrefunktion (GFR <25 mL/min/1.73 m 2 ) var ca. 75% højere i forhold til det, der blev observeret hos raske frivillige (GFR> 80 ml/min/1,73 m 2 ). In addition the single-dose plasma MPAG AUC was 3-fold til 6-fold higher in volunteers with severe renal impairment than in volunteers with mild renal impairment eller healthy volunteers consistent with the known renal elimination of MPAG. No data are available on the safety of long-term exposure til this level of MPAG.

Plasma MPA AUC observeret efter enkeltdosis (1 g) intravenøs dosering til frivillige (n = 4) med svær kronisk nedsat nyrefunktion <25 mL/min/1.73 m 2 ) var 62,4 mcg • H/ml (± 19,3). Flere dosering af MMF hos patienter med svær kronisk nedsat nyrefunktion er ikke undersøgt.

Patienter med forsinket transplantatfunktion eller ikke -funktion

Hos patienter med forsinket nyrefunktionsfunktion efter transplantation var MPA AUC (0-12H) sammenlignelig med det, der blev set hos patienter efter transplantation uden forsinket nyrefunktion. Der er et potentiale for en kortvarig stigning i den frie fraktion og koncentration af plasma MPA hos patienter med forsinket nyrefunktion. Dosisjustering ser imidlertid ikke ud til at være nødvendig hos patienter med forsinket nytransplantatfunktion. Gennemsnitlig plasma MPAG AUC (0-12H) var 2 gange til 3 gange højere end hos patienter efter transplantation uden forsinket nyrefunktion [se Dosering og administration ].

Hos otte patienter med primær transplantat ikke-funktion efter nyretransplantationsplasmakoncentrationer af MPAG akkumulerede omkring 6 gange til 8 gange efter flere doseringer i 28 dage. Akkumulering af MPA var ca. 1 gange til 2 gange.

Farmakokinetikken af ​​MMF ændres ikke ved hæmodialyse. Hæmodialyse fjerner normalt ikke MPA eller MPAG. Ved høje koncentrationer af MPAG (> 100 mcg/ml) fjerner hæmodialyse kun små mængder MPAG.

Patienter med nedsat leverfunktion

De gennemsnitlige (± SD) farmakokinetiske parametre for MPA efter administration af oral MMF givet som enkeltdoser til ikke-transplantationspersoner med leverindsættelse er præsenteret i Tabel 11 .

I en enkeltdosis (1 g oral) undersøgelse af 18 frivillige med alkoholisk cirrhose og 6 raske frivillige lever MPA-glukuronideringsprocesser syntes at være relativt upåvirket af leverparenchymal sygdom, når farmakokinetiske parametre for raske frivillige og alkoholiske cirrhose-patienter inden for denne undersøgelse blev sammenlignet. Det skal dog bemærkes, at de sunde frivillige i denne undersøgelse af uforklarlige grunde havde ca. 50% lavere AUC sammenlignet med raske frivillige i andre undersøgelser, hvilket gjorde sammenligninger mellem frivillige med alkoholisk cirrhose og raske frivillige. I en enkeltdosis (1 g intravenøs) undersøgelse af 6 frivillige med alvorlig nedskrivning af leverfunktionen (aminopyrin-åndedrætstest mindre end 0,2% af dosis) på grund af alkoholisk cirrhose MMF blev hurtigt konverteret til MPA. MPA AUC var 44,1 mcg • H/ml (± 15,5).

Tabel 11 Pharmacokinetic Parameters feller MPA [mean (±SD)] Following Single Dosiss of MMF Kapsler in Chronic Renal og Hepatic Impairment

Farmakokinetiske parametre til nedsat nyrefunktion
Dosis Tmax
(h)
Cmax
(MCG/ML)
AUC (0-96H)
(MCG • H/ml)
Sunde frivillige 1 g 0.75
(± 0,27)
25.3
(± 7,99)
45.0
(± 22.6)
2
Mild nedsat nyrefunktion 1 g 0.75
(± 0,27)
26.0
(± 3,82)
59.9
(± 12.9)
2
Moderat nedsat nyrefunktion 1 g 0.75
(± 0,27)
19.0
(± 13.2)
52.9
(± 25.5)
2
Alvorlig nedsat nyrefunktion 1 g 1.00
(± 0,41)
16.3
(± 10.8)
78.6
(± 46.4)
2
Farmakokinetiske parametre til nedsat leverfunktion
Dosis Tmax
(h)
Cmax
(MCG/ML)
AUC (0-48H)
(MCG • H/ml)
Sunde frivillige
1 g 0.63
(± 0,14)
24.3
(± 5,73)
29.0
(± 5,78)
Alkoholisk cirrhose
1 g 0.85
(± 0,58)
22.4
(± 10.1)
29.8
(± 10.7)
Pædiatriske patienter

De farmakokinetiske parametre for MPA og MPAG er blevet evalueret hos 55 pædiatriske patienter (i området fra 1 år til 18 år), der modtager cellecept oral suspension i en dosis på 600 mg/m 2 To gange dagligt (op til maksimalt 1 g to gange dagligt) efter allogen nyretransplantation. De farmakokinetiske data for MPA findes i Tabel .

Tabel 12 Mean (±SD) Computed Pharmacokinetic Parameters feller MPA by Age og Tid after Allogeneic Nyretransplantationation

Aldersgruppe (n) Tid Tmax
(h)
Dosis Adjusted a Cmax
(MCG/ML)
Dosis Adjusted a
AUC0-12
(MCG • H/ml)
1 til mindre end 2 år (6) d Tidlig (Day 7) 3.03 (4.70) 10.3 (5.80) 22.5 (6.66)
1 til mindre end 6 år (17) 1.63 (2.85) 13.2 (7.16) 27.4 (9.54)
6 til mindre end 12 år (16) 0.940 (0.546) 13.1 (6.30) 33.2 (12.1)
12 til 18 år (21) 1.16 (NULL,830) 11.7 (10.7) 26.3 (9.14) b
1 til mindre end 2 år (4) d Sent (måned 3) 0.725 (NULL,276) 23.8 (13.4) 47.4 (14.7)
1 til mindre end 6 år (15) 0.989 (0.511) 22.7 (10.1) 49.7 (18.2)
6 til mindre end 12 år (14) 1.21 (NULL,532) 27.8 (14.3) 61.9 (19.6)
12 til 18 år (17) 0.978 (NULL,484) 17.9 (9.57) 53.6 (20.3) c
1 til mindre end 2 år (4) d Sent (måned 9) 0.604 (NULL,208) 25.6 (4.25) 55.8 (11.6)
1 til mindre end 6 år (12) 0.869 (NULL,479) 30.4 (9.16) 61.0 (10.7)
6 til mindre end 12 år (11) 1.12 (NULL,462) 29.2 (12.6) 66.8 (21.2)
12 til 18 år (14) 1.09 (NULL,518) 18.1 (7.29) 56.7 (14.0)
a justeret til en dosis på 600 mg/m 2
b n = 20
c n = 16
d en undergruppe på 1 til <6 yr

Cellcept oral ophængsdosis på 600 mg/m 2 To gange dagligt (op til maksimalt 1 g to gange dagligt) opnåede gennemsnitlige MPA AUC-værdier hos pædiatriske patienter, der ligner dem, der blev set hos voksne nyretransplantationspatienter, der modtog celleceptkapsler i en dosis på 1 g to gange dagligt i den tidlige periode efter transplantation. Der var bred variation i dataene. Som observeret hos voksne tidlige MPA AUC-værdier efter transplantation var ca. 45% til 53% lavere end dem, der blev observeret i den senere periode efter transplantation (> 3 måneder). MPA AUC-værdier var ens i den tidlige og sene post-transplantationsperiode over aldersgruppen 1 til 18-årig.

En sammenligning af dosisnormaliseret (til 600 mg/m 2 ) MPA AUC-værdier hos 12 pædiatriske nyretransplantationspatienter mindre end 6 år efter 9 måneder efter transplantation med disse værdier i 7 pædiatriske levertransplantationspatienter [medianalder 17 måneder (rækkevidde: 10-60 måneder)] og efter 6 måneder og ud over post-transplantat afslørede, at der ved den samme dale var i gennemsnit 23% lavere AUC-værdier i den pediatriske lever sammenlignet med Pediatric-nyren. Dette er i overensstemmelse med behovet for højere dosering hos voksne levertransplantationspatienter sammenlignet med nyretransplantationspatienter for at opnå den samme eksponering.

Hos voksne transplantationspatienter, der blev administreret den samme dosering af cellecept, er der lignende MPA -eksponering blandt nyretransplantations- og hjertetransplantationspatienter. Baseret på den etablerede lighed i MPA -eksponering mellem pædiatrisk nyretransplantation og voksne nyretransplantationspatienter ved deres respektive godkendte doser forventes det, at MPA -eksponering ved den anbefalede dosering vil være ens hos pædiatriske hjertetransplantations- og voksne hjertetransplantationspatienter.

Mandlige og kvindelige patienter

Data obtained from several studies were pooled til look at any gender-related differences in the pharmacokinetics of MPA (data were adjusted til 1 g elleral dosis). Mean (±SD) MPA AUC (0-12h) feller males (n=79) was 32.0 (±14.5) og feller females (n=41) was 36.5 (±18.8) mcg•h/mL while mean (±SD) MPA Cmax was 9.96 (±6.19) in the males og 10.6 (±5.64) mcg/mL in the females. These differences are not of clinical significance.

Geriatriske patienter

Farmakokinetikken for mycophenolat mofetil og dets metabolitter har ikke vist sig at blive ændret hos geriatriske transplantationspatienter sammenlignet med yngre transplantationspatienter.

Lægemiddelinteraktionsundersøgelser

Acyclovir

Coadministration af MMF (1 g) og acyclovir (800 mg) til 12 raske frivillige resulterede ikke i nogen signifikant ændring i MPA AUC og Cmax. Imidlertid blev MPAG- og acyclovir -plasma -AUC'er forøget henholdsvis 10,6% og 21,9%.

Antacida med magnesium og aluminiumshydroxider

Absorption of a single dose of MMF (2 g) was decreased when administered til 10 rheumatilid arthritis patients also taking Maalox ® TC (10 ml qid). Cmax og AUC (0-24H) for MPA var henholdsvis 33% og 17% lavere end når MMF blev administreret alene under fastende forhold.

Protonpumpeinhibitorer (PPI'er)

Coadministration af PPI'er (f.eks. Lansoprazol pantoprazol) i enkeltdoser til raske frivillige og flere doser til transplantationspatienter, der modtager cellecept, er rapporteret at reducere eksponeringen for MPA. En omtrentlig reduktion på 30 til 70% i Cmax og 25% til 35% i AUC af MPA er muligvis observeret på grund af et fald i MPA -opløselighed ved en øget gastrisk pH.

Cholestyramin

Efter enkeltdosisadministration på 1,5 g mmf til 12 raske frivillige forbehandlet med 4 g tre gange om dagen med cholestyramin i 4 dage MPA AUC faldt ca. 40%. Dette fald er i overensstemmelse med afbrydelse af enterohepatisk recirkulation, som kan skyldes binding af recirkulerende MPAG med cholestyramin i tarmen.

Cyclosporin

Cyclosporin (Sogimmune ® ) Farmakokinetik (i doser på 275 til 415 mg/dag) blev ikke påvirket af enkelt- og flere doser på 1,5 g to gange dagligt af MMF hos 10 stabile nyretransplantationspatienter. The mean (±SD) AUC(0-12h) and Cmax of cyclosporine after 14 days of multiple doses of MMF were 3290 (±822) ng•h/mL and 753 (±161) ng/mL respectively compared to 3245 (±1088) ng•h/mL and 700 (±246) ng/mL respectively 1 week before administration of MMF.

Cyclosporin A interferes with MPA enterohepatic recirculation. In kidney transplant patients mean MPA exposure (AUC (0-12H)) was approximately 30-50% greater when MMF was administered without cyclospellerine compared with when MMF was coadministered with cyclospellerine. This interaction is due til cyclospellerine inhibition of multidrug-resistance-associated protein 2 (MRP-2) transpellerter in the biliary tract thereby preventing the excretion of MPAG intil the bile that would lead til enterohepatic recirculation of MPA. This infellermation should be taken intil consideration when MMF is used without cyclospellerine.

Lægemidler, der påvirker glucuronidering

Samtidig administration af lægemidler, der hæmmer glucuronidering af MPA, kan øge MPA-eksponering (f.eks. Forøgelse af MPA AUC (0-∞) med 35% blev observeret med samtidig administration af isavuconazol). Samtidig administration af telmisartan og cellcept resulterede i et ca. 30% fald i MPA -koncentrationer. Telmisartan ændrer MPA's eliminering ved at forbedre PPAR gamma (peroxisomproliferatoraktiveret receptor gamma) -ekspression, hvilket igen resulterer i et forbedret UGT1A9 -ekspression og glukuronideringsaktivitet.

Ganciclovir

Efter enkeltdosisadministration til 12 stabile nyretransplantationspatienter blev der ikke observeret nogen farmakokinetisk interaktion mellem MMF (NULL,5 g) og intravenøs ganciclovir (5 mg/kg). Mean (±SD) ganciclovir AUC and Cmax (n=10) were 54.3 (±19.0) mcg•h/mL and 11.5 (±1.8) mcg/mL respectively after coadministration of the two drugs compared to 51.0 (±17.0) mcg•h/mL and 10.6 (±2.0) mcg/mL respectively after administration of intravenous Ganciclovir alene. Gennemsnittet (± SD) AUC og Cmax for MPA (n = 12) efter samtidig administration var 80,9 (± 21,6) MCG • H/ml og 27,8 (± 13,9) MCG/ml henholdsvis sammenlignet med værdier på henholdsvis 80,3 (± 16,4) Mg • H/ml og 30,9 (± 11,2) MCG/ml efter henholdsvis mm.

Orale prævention

En undersøgelse af samtidig administration af cellcept (1 g to gange dagligt) og kombinerede orale prævention, der indeholder ethinylestradiol (NULL,02 mg til 0,04 mg og levonorgestrel (NULL,05 mg til 0,20 mg) desogestrel (NULL,15 mg) eller gestodene (NULL,05 mg til 0,10 mg) blev udført i 18 kvinder med PSoris over 3 på 3 på 3 -påhaven (NULL,05 mg til 0,10 mg). menstruationscyklusser. Gennemsnitlige serumniveauer af LH FSH og progesteron blev ikke signifikant påvirket. Gennemsnitlig AUC (0-24H) var ens for ethinylestradiol og 3-keto desogestrel; Imidlertid faldt gennemsnitlig levonorgestrel AUC (0-24H) signifikant med ca. 15%. Der var stor variation mellem patienten (%CV i området 60%til 70%) i dataene, især for ethinylestradiol.

Sevelamer

Samtidig administration af Sevelamer og MMF hos voksne og pædiatriske patienter faldt den gennemsnitlige MPA Cmax og AUC (0-12H) med henholdsvis 36% og 26%.

Antimikrobielle stoffer

Antimikrobielle stoffer eliminating beta-glucuronidase-producing bacteria in the intestine (e.g. aminoglycoside cephalospellerin fluelleroquinolone og penicillin classes of antimicrobials) may interfere with the MPAG/MPA enterohepatic recirculation thus leading til reduced systemic MPA exposure. Infellermation concerning antibiotics is as follows:

  • Trimethoprim/sulfamethoxazol: Efter enkeltdosisadministration af MMF (NULL,5 g) til 12 raske mandlige frivillige på dag 8 af et 10-dages forløb med trimethoprim 160 mg/sulfamethoxazol 800 mg administreret to gange dagligt ingen effekt på biotilgængeligheden af ​​MPA blev observeret. Gennemsnittet (± SD) AUC og Cmax for MPA efter samtidig administration var 75,2 (± 19,8) MCG • H/ml og 34,0 (± 6,6) mg/ml henholdsvis sammenlignet med 79,2 (± 27,9) MCG • H/ML og 34,2 (± 10,7) MCG/ML efter administration af MMF alene.
  • Norfloxacin og metronidazol: Efter enkeltdosis administration af MMF (1 g) til 11 raske frivillige på dag 4 i et 5-dages forløb af en kombination af norfloxacin og metronidazol blev den gennemsnitlige MPA AUC (0-48H) signifikant reduceret med 33% sammenlignet med administrationen af ​​MMF alene (P <0.05). The mean (±SD) MPA AUC (0-48H) after coadministration of MMF with nellerfloxacin eller metronidazole separately was 48.3 (±24) mcg·h/mL og 42.7 (±23) mcg·h/mL respectively compared with 56.2 (±24) mcg·h/mL after administration of MMF alone.
  • Ciprofloxacin og amoxicillin plus clavulansyre: I alt 64 cellcept-behandlede nyretransplantationsmodtagere modtog enten oral ciprofloxacin 500 mg to gange dagligt eller amoxicillin plus clavulansyre 375 mg tre gange dagligt i 7 eller mindst 14 dage. Cirka 50% reduktion i mediantrug MPA-koncentrationer (pre-dosis) fra baseline (cellcept alene) blev observeret i 3 dage efter påbegyndelse af oral ciprofloxacin eller amoxicillin plus clavulansyre. Disse reduktioner i Trough MPA -koncentrationer havde en tendens til at formindske inden for 14 dage efter antimikrobiel terapi og ophørte inden for 3 dage efter ophør af antibiotika.
  • Rifampin: I en enkelt hjerte-lungetransplantationspatient efter korrektion for dosis er der observeret et 67% fald i MPA-eksponering (AUC (0-12H)) med samtidig administration af MMF og Rifampin.

Kliniske studier

Nyretransplantationation

Voksne

De tre igen Nyretransplantationsundersøgelser sammenlignede to dosisniveauer af oral cellcept (1 g to gange dagligt og 1,5 g to gange dagligt) med azathioprin (2 studier) eller placebo (1 undersøgelse) for at forhindre akutte afvisningsepisoder. En af de to undersøgelser med azathioprin (AZA) kontrolarm inkluderede også anti-thymocyt globulin (Atgam ® ) induktionsterapi. The geographic location of the investigational sites of these studies are included in Tabel .

I alle tre igen Nyretransplantationsundersøgelser Det primære effektendepunkt var andelen af ​​patienter i hver behandlingsgruppe, der oplevede behandlingssvigt inden for de første 6 måneder efter transplantation. Behandlingssvigt blev defineret som biopsi-beviset akut afvisning på behandlingen eller forekomsten af ​​dødsdrafttab eller tidlig afslutning fra undersøgelsen af ​​en eller anden grund uden forudgående afvisning af biopsi.

Cellcept in combination with cellerticosteroids og cyclospellerine reduced (statistically significant at 0.05 level) the incidence of treatment failure within the first 6 months following transplantation ( Tabel 13 ). Patients who prematurely discontinued treatment were followed feller the occurrence of death eller graft loss og the cumulative incidence of graft loss og patient death combined are summarized in Tabel . Patienter, der for tidligt ophørte med behandlingen, blev ikke fulgt for forekomsten af ​​akut afvisning efter opsigelse.

Tabel 13 Treatment Failure in De Novo Nyretransplantationation Studies

USA Study
(N = 499 patienter)
Cellcept
2 g/dag
(n = 167 patienter)
Cellcept
3 g/dag
(n = 166 patienter)
Gør det ikke
1 til 2 mg/kg/dag
(n = 166 patienter)
Alle 3 grupper modtog anti-thymocyt globulininduktion cyclosporin og kortikosteroider
Alle behandlingsfejl 31,1% 31,3% 47,6%
Tidlig termination without prieller
akut afvisning
9,6% 12,7% 6,0%
Biopsi-beviset afvisningsepisode
Ved behandling
19,8% 17,5% 38,0%
Europa/Canada/
Australiens undersøgelse
(N = 503 patienter)
Cellcept
2 g/dag
(n = 173 patienter)
Cellcept
3 g/dag
(n = 164 patienter)
Gør det ikke
100 til 150 mg/dag
(n = 166 patienter)
Ingen induktionsbehandling administreret; Alle 3 grupper modtog cyclosporin
og cellerticosteroids.
Alle behandlingsfejl 38,2% 34,8% 50,0%
Tidlig termination without prieller
akut afvisning
13,9% 15,2% 10,2%
Biopsi-beviset afvisningsepisode
Ved behandling
19,7% 15,9% 35,5%
Europa -undersøgelse
(N = 491 patienter)
Cellcept
2 g/dag
(n = 165 patienter)
Cellcept
3 g/dag
(n = 160 patienter)
Placebo
(n = 166 patienter)
Ingen induktionsbehandling administreret; Alle 3 grupper modtog cyclosporin
og cellerticosteroids.
Alle behandlingsfejl 30,3% 38,8% 56,0%
Tidlig termination without prieller
akut afvisning
11,5% 22,5% 7,2%
Biopsi-beviset afvisningsepisode
Ved behandling
17,0% 13,8% 46,4%
*Inkluderer ikke tab af død og transplantat som grund til tidlig opsigelse.

Ingen fordel ved cellcept efter 12 måneder med hensyn til transplantattab eller patientdød (kombineret) blev etableret ( Tabel 14 ). Numerically patients receiving Cellcept 2 g/dag og 3 g/dag experienced a better outcome than controls in all three studies; patients receiving Cellcept 2 g/dag experienced a better outcome than Cellcept 3 g/dag in two of the three studies. Patients in all treatment groups who terminated treatment early were found til have a poeller outcome with respect til graft loss eller patient death at 1 year.

Tabel 14 De Novo Nyretransplantationation Studies Cumulative Incidence of Combined Graft Loss eller Patient Death at 12 Months

Studere Cellcept
2 g/dag
Cellcept
3 g/dag
Kontrollere
(Aza eller placebo)
hjort 8,5% 11,5% 12,2%
Europa/Canada/Australia 11,7% 11,0% 13,6%
Europa 8,5% 10,0% 11,5%
Pædiatri

De novo nyretransplantation PK-undersøgelse med langvarig opfølgning

En åben sikkerhedssikkerhed og farmakokinetisk undersøgelse af cellecept oral suspension 600 mg/m 2 To gange dagligt (op til 1 g to gange dagligt) i kombination med cyclosporin og kortikosteroider blev udført i centre i USA (9) Europa (5) og Australien (1) hos 100 pædiatriske patienter (3 måneder til 18 år) til forebyggelse af nyre -afvisning af nyre allograft. Cellcept blev godt tolereret hos pædiatriske patienter [se Bivirkninger ] og farmakokinetikprofilen svarede til den, der blev set hos voksne patienter doseret med 1 g to gange daglige celleceptkapsler [se Klinisk farmakologi ]. The rate of biopsy-proven rejection was similar across the age groups (3 months til <6 years 6 years til <12 years 12 years til 18 years). The overall biopsy-proven rejection rate at 6 months was comparable til adults. The combined incidence of graft loss (5%) og patient death (2%) at 12 months post-transplant was similar til that observed in adult kidney transplant patients.

Hjertetransplantation

En dobbeltblind randomiseret komparativ parallel-gruppe multicenterundersøgelse i primær igen Modtagere af hjertetransplantation blev udført på centre i USA (20) i Canada (1) i Europa (5) og i Australien (2). Det samlede antal tilmeldte patienter (ITT -population) var 650; 72 modtog aldrig undersøgelsesmedicin og 578 modtog undersøgelsesmedicin (sikkerhedspopulation). Patienter modtog cellecept 1,5 g to gange dagligt (n = 289) eller AZA 1,5 til 3 mg/kg/dag (n = 289) i kombination med cyclosporin (Sandimmune ® eller neoral ® ) og kortikosteroider som vedligeholdelsesimmunsuppressiv terapi. The two primary efficacy endpoints were: (1) the propellertion of patients who after transplantation had at least one endomyocardial biopsy-proven rejection with hemodynamic compromise eller were re-transplanted eller died within the first 6 months og (2) the propellertion of patients who died eller were re-transplanted during the first 12 months following transplantation. Patients who prematurely discontinued treatment were followed feller the occurrence of allograft rejection feller up til 6 months og feller the occurrence of death feller 1 year.

Analyserne af slutpunkterne viste:

  • Afvisning: Der blev ikke etableret nogen forskel mellem Cellcept og AZA med hensyn til biopsi-beviset afvisning med hæmodynamisk kompromis.
  • Overlevelse: Cellcept viste sig at være mindst lige så effektiv som AZA til at forhindre død eller genanvendelse efter 1 år (se Tabel ).

Tabel 15 De Novo Hjertetransplantation Studere Rejection at 6 Months/Death eller Re-transplantation at 1 Year

Alle patienter (ITT) Behandlede patienter
Gør det ikke
N = 323
Cellcept
N = 327
Gør det ikke
N = 289
Cellcept
N = 289
Biopsi-beviset afvisning med hæmodynamisk kompromis efter 6 måneder a 121 (38%) 120 (37%) 100 (35%) 92 (32%)
Død eller gentransplantation efter 1 år 49
(NULL,2%)
42 (NULL,8%) 33 (NULL,4%) 18 (NULL,2%)
a Hæmodynamisk kompromis forekom, hvis nogen af ​​følgende kriterier blev opfyldt: lungehøjskapillærkiletryk ³20 mm eller en stigning på 25%; Hjerteindeks <2.0 L/min/m 2 eller et 25% fald; Ejektionsfraktion £ 30%; Pulmonal arterie iltmætning £ 60% eller et 25% fald; tilstedeværelse af ny S3 Gallop; Fraktioneret forkortelse var £ 20% eller et 25% fald; Inotropisk støtte krævet for at styre den kliniske tilstand.

Levertransplantation

En dobbeltblind randomiseret komparativ parallel-gruppe multicenterundersøgelse i primær hepatic transplant recipients was perfellermed at centers in the United States (16) in Canada (2) in Europa (4) og in Australia (1). The tiltal number of patients enrolled was 565. Per protilcol patients received Cellcept 1 g twice daily intravenously feller up til 14 days followed by Cellcept 1.5 g twice daily ellerally eller Gør det ikke 1 til 2 mg/kg/dag intravenously followed by Gør det ikke 1 til 2 mg/kg/dag ellerally in combination with cyclospellerine (Neelleral ® ) og kortikosteroider som vedligeholdelsesimmunsuppressiv terapi. The actual median elleral dose of Gør det ikke on study was 1.5 mg/kg/dag (range of 0.3 til 3.8 mg/kg/dag) initially og 1.26 mg/kg/dag (range of 0.3 til 3.8 mg/kg/dag) at 12 months. The two primary endpoints were: (1) the propellertion of patients who experienced in the first 6 months post-transplantation one eller mellere episodes of biopsy-proven og treated rejection eller death eller re-transplantation og (2) the propellertion of patients who experienced graft loss (death eller re-transplantation) during the first 12 months post-transplantation. Patients who prematurely discontinued treatment were followed feller the occurrence of allograft rejection og feller the occurrence of graft loss (death eller re-transplantation) feller 1 year.

I kombination med kortikosteroider og cyclosporincellecept demonstrerede en lavere hastighed af akut afvisning efter 6 måneder og en lignende dødshastighed eller re-transplantation efter 1 år sammenlignet med AZA (tabel 16).

Tabel 16 De Novo Levertransplantation Studere Rejection at 6 Months/Death eller Retransplantation at 1 Year

Gør det ikke
N = 287
Cellcept
N = 278
Biopsi-beviset behandlet afvisning
Efter 6 måneder (inkluderer død eller retransplantation)
137 (NULL,7%) 107 (NULL,5%)
Død eller gentransplantation efter 1 år 42 (NULL,6%) 41 (NULL,7%)

Patientinformation til Cellcept

Cellcept ®
[SEL-SEPT]
(mycophenolat mofetil kapsler)
(mycophenolat mofetil tabletter)

Cellcept ®
[SEL-SEPT]
(mycophenolat mofetil til oral suspension)

Cellcept ®
[SEL-SEPT]
(mycophenolat mofetil til injektion)

Læs medicinguiden, der følger med Cellcept, før du begynder at tage den, og hver gang du genopfylder din recept. Der kan være nye oplysninger. Denne medicinguide indtager ikke stedet for at tale med din læge om din medicinske tilstand eller behandling.

Hvad er de vigtigste oplysninger, jeg skal vide om Cellcept?

Cellcept can cause serious side effects including:

Øget risiko for tab af en graviditet (spontanabort) og højere risiko for fødselsdefekter. Kvinder, der tager cellcept under graviditet, har en højere risiko for spontanabort i de første 3 måneder (første trimester) og en højere risiko for, at deres baby vil blive født med fødselsdefekter.

Du skal bruge acceptabel fødselsbekæmpelse under hele din cellecept -behandling og i 6 uger efter at have stoppet Cellcept, medmindre du på et hvilket som helst tidspunkt vælger at undgå seksuel omgang (afholdenhed) med en mand fuldstændigt. Cellcept mindsker blodniveauerne af hormonerne i p -piller, som du tager gennem munden. P -piller fungerer måske ikke så godt, mens du tager Cellcept, og du kan blive gravid. Hvis du tager p -piller, mens du bruger Cellcept, skal du også bruge en anden form for prævention. Tal med din læge om andre præventionsmetoder, som du kan bruge, mens du tager Cellcept.

Øget risiko for at få alvorlige infektioner. Cellcept weakens the body’s immune system og affects your ability til fight infektioner. Serious infektioner can happen with Cellcept og can lead til hospitalizations og death. These serious infektioner can include:

  • Hvis du er en kvinde, der kan blive gravid Din læge skal tale med dig om acceptable fødselsbekæmpelsesmetoder (præventionsrådgivning) for at bruge, mens du tager Cellcept. Du skal have 1 graviditetstest umiddelbart før du starter cellecept og en anden graviditetstest 8 til 10 dage senere. Graviditetstest skal gentages under rutinemæssige opfølgningsbesøg med din læge. Tal med din læge om resultaterne af alle dine graviditetstest.
  • Hvis du er en seksuelt aktiv mand, hvis kvindelige partner kan blive gravid, mens du tager Cellcept Brug effektiv prævention under behandlingen og i mindst 90 dage efter stop af cellcept.
  • Hvis du planlægger at blive gravid Tal med din læge. Din læge vil beslutte, om andre lægemidler til at forhindre afvisning kan være det rigtige for dig.
  • Hvis du bliver gravid, mens du tager Cellcept, skal du ikke stoppe med at tage Cellcept. Ring til din læge med det samme. Du og din læge kan beslutte, at andre medicin for at forhindre afvisning kan være det rigtige for dig. Du og din læge skal rapportere din graviditet til mycophenolat graviditetsregisteret enten:

    Formålet med dette register er at indsamle oplysninger om sundheden for dig og din baby.

    Øget risiko for at få visse kræftformer. Mennesker, der tager Cellcept, har en højere risiko for at få lymfom og andre kræftformer, især hudkræft. Fortæl din læge, hvis du har:

    fem dage i amsterdam
    • Via telefon 1-800-617-8191 eller
    • Ved at besøge REMS -webstedet på: www.mycophenolaterems.com
    • Uforklarlig feber Langst træthed Vægttab eller lymfeknude hævelse
    • En brun eller sort hudlæsion med ujævne grænser eller den ene del af læsionen ligner ikke den anden
    • en ændring i størrelsen og farve på en muldvarp
    • En ny hudlæsion eller bump
    • Eventuelle andre ændringer i dit helbred
  • Virale infektioner. Visse vira kan leve i din krop og forårsage aktive infektioner, når dit immunsystem er svagt. Virale infektioner, der kan ske med cellecept, inkluderer:
    • Helvedesild andre herpesinfektioner og cytomegalovirus (CMV). CMV kan forårsage alvorlige vævs- og blodinfektioner.
    • BK -virus. BK -virus kan påvirke, hvordan din nyre fungerer og få din transplanterede nyre til at mislykkes.
    • Hepatitis B- og C -vira. Hepatitis -vira kan påvirke, hvordan din lever fungerer. Tal med din læge om, hvordan hepatitisvirus kan påvirke dig.
    • COVID-19
  • En hjerneinfektion kaldet progressiv multifokal leukoencefalopati (PML). Hos nogle patienter kan cellecept forårsage en infektion i hjernen, der kan forårsage død. Du er i fare for denne hjerneinfektion, fordi du har et svækket immunsystem. Ring til din læge med det samme, hvis du har nogen af ​​følgende symptomer:
    • svaghed on one side of the body
    • Du er ligeglad med ting, du normalt er interesseret i (apati)
    • Du er forvirret eller har problemer med at tænke
    • Du kan ikke kontrollere dine muskler
  • Svampeinfektioner. Gær og andre typer svampeinfektioner kan ske med cellecept og kan forårsage alvorlige vævs- og blodinfektioner (se Hvad er de mulige bivirkninger af cellcept? ).

Ring til din læge med det samme, hvis du har nogen af ​​følgende tegn og symptomer på infektion:

  • temperatur på 100,5 ° F eller større
  • kolde symptomer som en løbende næse eller ondt i halsen
  • Influenzasymptomer såsom en forstyrrelse af maven mavesmerter eller diarré
  • Earache eller hovedpine
  • Smerter under vandladning
  • Hvide pletter i munden eller halsen
  • uventet blå mærker eller blødning
  • skærer skrammer eller snit, der er røde varme og oser af pus

Se Hvad er de mulige bivirkninger af cellcept? For information om andre alvorlige bivirkninger.

Hvad er Cellcept?

  • Cellcept is a prescription medicine til prevent rejection (antirejection medicine) in people who have received a kidney heart eller liver transplant. Rejection is when the body’s immune system perceives the new ellergan as a fellereign threat og attacks it.
  • Cellcept is used with other medicines containing cyclospellerine og cellerticosteroids.

Hvem skal ikke tage Cellcept?

Tag ikke cellecept, hvis du er allergisk over for mycophenolat mofetil eller nogen af ​​ingredienserne i cellcept.

Se the end of this Medicin vejledning feller a complete list of ingredients in Cellcept.

Hvad skal jeg fortælle min læge, før jeg tager Cellcept?

Fortæl din læge om alle dine medicinske tilstande, herunder hvis du:

  • har fordøjelsesproblemer såsom mavesår.
  • Har phenylketonuri (PKU). Cellcept oral suspension indeholder aspartam (en kilde til phenylalanin).
  • Har Lesch-Nyhan-syndrom Kelley-Seegmiller-syndrom eller en anden sjælden arvelig mangel hypoxanthineguaninphosphoribosyl-transferase (HGPRT). Du bør ikke tage cellcept, hvis du har en af ​​disse lidelser.
  • Planlæg at modtage vacciner. Mennesker, der tager Cellcept, bør ikke modtage levende vacciner. Nogle vacciner fungerer måske ikke så godt under behandling med Cellcept.
  • er gravide eller planlægger at blive gravid. Se Hvad er de vigtigste oplysninger, jeg skal vide om Cellcept?
  • er amning eller planlægger at amme. Det vides ikke, om Cellcept passerer til modermælk. Du og din læge vil beslutte, om du vil tage cellecept eller amning.

Fortæl din sundhedsudbyder om alle de medicin, du tager inklusive receptpligtige og over-the-counter medicin vitaminer og urtetilskud. Nogle lægemidler kan påvirke den måde, cellcept fungerer på, og cellcept kan påvirke, hvordan nogle medicin fungerer.

Fortæl især din læge, hvis du tager:

  • P -piller (orale prævention). Se Hvad er de vigtigste oplysninger, jeg skal vide om Cellcept?
  • Sevelamer (Renagel ® Renvelaä). Disse produkter skal tages mindst 2 timer efter at have taget cellcept.
  • Acyclovir (Zovirax ® ) Valacyclovir (Valtrex ® ) ganciclovir (Cytovene ® -V Vitrasert ® ) valganciclovir (Valcyte ® ).
  • Rifampin (rifathers ® Rifamate ® Rimactane ® Reb ® ).
  • Antacida, der indeholder magnesium og aluminium (cellcept og antacida, bør ikke tages på samme tid).
  • Protonpumpeinhibitorer (PPI'er) (Prevacid ® Protonix ® ).
  • Sulfamethoxazol/trimethoprim (Bactrimä Bactrim Dsä).
  • Norfloxacin (Noroxin ® ) og metronidazol (flagyl ® Flagyl ® ER Flagyl ® IV Metro IV Helidac ® Pylra).
  • Ciprofloxacin (Cipro ® Cipro ® XR Ciloxan ® Proquin ® XR) og amoxicillin plus clavulansyre (augmentin ® Augmentin Xrä).
  • Azathyioprin (Azasan ® Imura ® ).
  • Cholestyramine (Questran Light ® Questran ® LOCHOLEST LIGHT LOCHOLEST PREMALITE ® ).

Kend de medicin, du tager. Opbevar en liste over dem for at vise din læge eller sygeplejerske og farmaceut, når du får en ny medicin. Tag ikke nogen ny medicin uden at tale med din læge.

Hvordan skal jeg tage Cellcept?

  • Tag Cellcept nøjagtigt som foreskrevet.
  • Gør ikke Stop med at tage cellecept eller ændre dosis, medmindre din læge fortæller dig det.
  • Hvis du går glip af en dosis cellecept, eller du ikke er sikker på, hvornår du tog din sidste dosis, skal du tage din ordinerede dosis cellecept, så snart du husker. Hvis din næste dosis er mindre end 2 timer væk, skal du springe over den ubesvarede dosis og tage din næste dosis på dit normale planlagte tidspunkt. Gør ikke Tag 2 doser på samme tid. Ring til din læge, hvis du ikke er sikker på, hvad du skal gøre.
  • Tag Cellcept -kapsler tabletter og oral ophæng på tom mave, medmindre din læge fortæller dig andet. Gør ikke Knus cellecept -tabletter.
  • Gør ikke Åbn eller knus celleceptkapsler.
  • Hvis du ikke er i stand til at sluge cellecept -tabletter eller kapsler, kan din læge ordinere cellecept oral ophæng. Dette er en flydende form for cellcept. Din farmaceut vil blande medicinen, før du henter det fra et apotek.
  • Gør ikke Bland cellecept oral suspension med enhver anden medicin. Cellcept oral suspension bør ikke blandes med nogen form for væsker, før de tager dosis. Se instruktionerne til brug i slutningen af ​​denne medicinguide for detaljerede instruktioner om, hvordan man tager cellecept oral suspension på den rigtige måde.
  • Gør ikke Træk vejret ind (inhaleret) eller lad celleceptpulver eller oral ophængning komme i kontakt med din hud eller slimhinder.
    • Hvis du ved et uheld får pulveret eller oral ophæng på huden, skal du vaske området godt med sæbe og vand.
    • Hvis du ved et uheld får pulveret eller oral suspension i dine øjne eller andre slimhinder, skylles med almindeligt vand.
  • Hvis du tager for meget cellcept, skal du straks, ring til din læge eller Poison Control Center.

Hvad skal jeg undgå, mens jeg tager Cellcept?

  • Undgå at blive gravid. (Se Hvad er de vigtigste oplysninger, jeg skal vide om Cellcept?).
  • Begræns den mængde tid, du bruger i sollys. Undgå at bruge garvningssenge eller sollygter. Folk, der tager Cellcept, har en højere risiko for at få hudkræft (se Hvad er de vigtigste oplysninger, jeg skal vide om Cellcept? ). Wear protective clothing when you are in the sun og use a broad-spectrum sunscreen with a high protection factilr. This is especially impellertant if your skin is very fair eller if you have a family histilry of skin cancer.
  • Du bør ikke donere blod, mens du tager Cellcept og i mindst 6 uger efter at have stoppet Cellcept.
  • Du bør ikke donere sæd, mens du tager Cellcept og i 90 dage efter at have stoppet Cellcept.
  • Cellcept may influence your ability til drive og use machines (Se Hvad er de mulige bivirkninger af cellcept? . Hvis du oplever døsighed forvirring svimmelhed rystelse eller lavt blodtryk under behandling med cellecept, skal du være forsigtig med at køre eller bruge tunge maskiner.

Hvad er de mulige bivirkninger af cellcept?

Cellcept may cause serious side effects including:

  • Se Hvad er de vigtigste oplysninger, jeg skal vide om Cellcept?
  • Tællinger med lavt blodlegemer. Mennesker, der tager høje doser cellecept hver dag, kan have et fald i blodtællinger, herunder:
    • Hvide blodlegemer især neutrofiler. Neutrofiler kæmper mod bakterieinfektioner. Du har en større chance for at få en infektion, når dit hvide blodlegemer er lavt. Dette er mest almindeligt fra 1 måned til 6 måneder efter din transplantation.
    • Røde blodlegemer. Røde blodlegemer bærer ilt til dit kropsvæv. Du har en større chance for at få svær anæmi, når dit røde blodlegemer er lavt.
    • blodplader. Blodplader hjælper med blodkoagulation.

Din læge foretager blodprøver, før du begynder at tage cellecept og under behandling med Cellcept for at kontrollere dine blodlegemer. Fortæl din læge med det samme, hvis du har tegn på infektion (se Hvad er de vigtigste oplysninger, jeg skal vide om Cellcept? ) inklusive enhver uventet blå mærker eller blødning. Fortæl også din læge, hvis du har usædvanlig træthed Mangel på energisid eller besvimelse.

  • Maveproblemer. Maveproblemer, herunder tarmblødning af en tåre i din tarmvæg (perforering) eller mavesår kan ske hos mennesker, der tager cellecept. Blødning kan være alvorlig, og du skal muligvis blive indlagt på hospitalet for behandling. Ring med din læge med det samme, hvis du har pludselig eller alvorlige smerter i maveområdet eller smerter i maven, der ikke forsvinder, eller hvis du har diarré.
  • Inflammatoriske reaktioner. Nogle mennesker, der tager cellcept, kan have en inflammatorisk reaktion med feberfedstivhedsfoldningssmerter og muskelsmerter. Nogle af disse reaktioner kan kræve indlæggelse. Denne reaktion kan ske inden for uger til måneder efter din behandling med cellcept starter, eller hvis din dosis øges. Ring til din læge med det samme, hvis du oplever disse symptomer.

De mest almindelige bivirkninger af cellcept inkluderer:

  • diarre
  • Blodproblemer inklusive lav hvide og røde blodlegemer tæller
  • infektioner
  • Problemer med blodtryk
  • Hurtig hjerteslag
  • Hævelse af underbenene ankler og fødder
  • Ændringer i laboratorieblodniveauer inklusive høje niveauer af blodsukker (hyperglykæmi)
  • Maveproblemer inklusive diarré Forstoppelse kvalme og opkast
  • udslæt
  • Problemer med nervesystemer som hovedpine svimmelhed og rysten

Bivirkninger, der kan ske oftere hos børn end hos voksne, der tager cellecept, inkluderer:

  • Smerter i mavepladsen
  • feber
  • infektion
  • smerte
  • Blodinfektion (sepsis)
  • diarre
  • opkast
  • ondt i halsen
  • forkølelse (luftvejsinfektioner)
  • højt blodtryk
  • Tælling med lavt hvide blodlegemer
  • Tælling med lavt røde blodlegemer

Dette er ikke alle de mulige bivirkninger af cellcept. Fortæl din læge om enhver bivirkning, der generer dig, eller som ikke forsvinder.

Ring til din læge for medicinsk rådgivning om bivirkninger. Du kan rapportere bivirkninger til FDA på 1-800-FDA- 1088. Du kan også rapportere bivirkninger til Genentech på 1-888-835-2555.

Hvordan skal jeg opbevare cellcept?

  • Opbevar celleceptkapsler og tabletter ved stuetemperatur mellem 59 af til 86of (15oC til 30OC).
  • Hold cellecept -tabletter i den lette resistente beholder, som den kommer i.
  • Opbevar cellcept oral suspension ved stuetemperatur mellem 59 af til 86of (15oC til 30oC) i op til 60 dage. Du kan også opbevare cellcept oral suspension i køleskabet mellem 36of til 46of (2oC til 8oC). Gør ikke fryse.

Opbevar cellcept og alle medicin uden for børns rækkevidde.

Generel information om sikker og effektiv anvendelse af cellcept.

Medicin er undertiden ordineret til andre formål end dem, der er anført i en medicinguide. Brug ikke cellecept til en betingelse, som den ikke blev ordineret til. Giv ikke Cellcept til andre mennesker, selvom de har de samme symptomer, som du har. Det kan skade dem.

Denne medicinguide opsummerer de vigtigste oplysninger om Cellcept. Hvis du gerne vil have flere oplysninger, skal du tale med din læge. Du kan spørge din læge eller farmaceut om Cellcept, der er skrevet til sundhedsfagfolk.

Hvad er ingredienserne i Cellcept?

Aktiv ingrediens: Mycophenolat mofetil

Inaktive ingredienser:

Cellcept 250 mg capsules: Croscarmellose natriummagnesiumstarat povidon (K-90) og pregelatiniseret stivelse. Kapselskaller indeholder sort jernoxid FD

Cellcept 500 mg tablets: sort jernoxid croscarmellose natrium FD

Cellcept oral suspension: Aspartam citronsyre vandfri kolloidal siliciumdioxid methylparaben blandet frugtsmag natriumcitrat dihydrat sorbitol sojabønne lecithin og xanthan tyggegummi.

Cellecept intravenøs: Polysorbat 80 og citronsyre. Natriumhydroxid og saltsyre kan have været anvendt til fremstilling af cellecept intravenøs til at justere pH.

Denne medicinguide er godkendt af U.S. Food and Drug Administration.