Oplysningerne På Webstedet Er Ikke Medicinsk Rådgivning. Vi Sælger Ikke Noget. Nøjagtigheden Af ​​Oversættelsen Er Ikke Garanteret. Ansvarsfraskrivelse



Epipen

Resume af lægemiddeloversigt

Hvad er EpiPen?

EpiPen (Epinephrine) er en sympatomimetisk Catecholamine Bruges til behandling af nødsituationsallergiske reaktioner, herunder anafylaksi til svirrende insekter og bitende insekter Allergenimmunoterapi Fødevarer medikamenter Diagnostics-teststoffer og andre allergener såvel som idiopatisk anafylaksi eller træningsinduceret anafylaksi.

Hvad er bivirkninger af EpiPen?

Epipen



  • Smerter hævelse varme rødme eller andre tegn på infektion omkring det område, hvor du gav injektionen

Få medicinsk hjælp med det samme, hvis du har nogen af ​​de symptomer, der er anført ovenfor.



Bivirkninger af EpiPen inkluderer:

  • ked af maven
  • kvalme
  • opkast
  • svimmelhed
  • sved
  • nervøsitet
  • svaghed
  • Bleg hud
  • hovedpine
  • angst
  • rystelser og
  • ryster hænder, der ikke kan kontrolleres.

Fortæl din læge, hvis du har alvorlige bivirkninger af EpiPen, herunder:



  • øget åndedrætsbesvær
  • farligt højt blodtryk
  • Alvorlig hovedpine
  • sløret vision
  • summende i dine ører
  • forvirring
  • brystsmerter
  • åndenød
  • uregelmæssige hjerteslag eller
  • anfald.

Søg medicinsk behandling eller ring 911 på én gang, hvis du har følgende alvorlige bivirkninger:

  • Alvorlige øjensymptomer såsom pludseligt synstab sløret synet tunnel vision øje smerter eller hævelse eller at se haloer omkring lys;
  • Alvorlige hjertesymptomer såsom hurtig uregelmæssige eller bankende hjerteslag; flagrende i brystet; åndenød; og pludselig svimmelhed letthed eller udlevering;
  • Alvorlig hovedpine forvirring sløret talearm eller ben svaghed problemer med at gå tab af koordination føles ustabil meget stive muskler høj feber voldsom sved eller rysten.

Dette dokument indeholder ikke alle mulige bivirkninger, og andre kan forekomme. Kontakt din læge for yderligere oplysninger om bivirkninger.

Dosering til EpiPen

EpiPen Auto-Injector (NULL,15 og 0,3 mg styrker) sundhedspersonale bør sikre, at patienten eller plejepersonalet forstår indikationerne og brugen af ​​disse produkter. Injicer EpiPen intramuskulært eller subkutant i det anterolaterale aspekt af låret gennem tøj om nødvendigt. Injicér ikke i balderen.

Hvilke stoffer stoffer eller kosttilskud interagerer med EpiPen?

EpiPen kan interagere med digoxin-diuretika (vandpiller) levothyroxinchlorpheniramin eller diphenhydramin (antihistaminer, der er almindeligt indeholdt i kold allergi eller over-the-counter søvnmedicin) antidepressiva beta-blockere ergot medicin hjerte rhythm medicin eller MAO-hæmmere. Fortæl din læge alle medicin og kosttilskud, du bruger.

EpiPen under graviditet og amning

Epinephrin bør kun bruges i graviditeten, hvis den potentielle fordel retfærdiggør den potentielle risiko for fosteret. Brug ikke EpiPen uden din læges råd, hvis du ammer. Pædiatriske patienter under 15 kg har større risiko for at udvikle bivirkninger med EpiPen.

Yderligere oplysninger

Vores EpiPen (Epinephrine) bivirkninger Drug Center giver et omfattende overblik over tilgængelige lægemiddelinformation om de potentielle bivirkninger, når du tager denne medicin.

FDA -lægemiddelinformation


Beskrivelse for EpiPen

EpiPen (epinephrin-injektion USP) 0,3 mg og EpiPen JR (epinephrin-injektion USP) 0,15 mg AR e autoinjektorer og kombinationsprodukter, der indeholder lægemiddel- og enhedskomponenter.

Hver EpiPen-autoinjektor 0,3 mg leverer en enkelt dosis på 0,3 mg epinephrin fra epinephrininjektion USP 1: 1000 (NULL,3 ml) i en steril opløsning.

Hver EpiPen JR autoinjektor 0,15 mg leverer en enkelt dosis på 0,15 mg epinephrin fra epinephrin-injektion USP 1: 2000 (NULL,3 ml) i en steril opløsning.

EpiPen og EpiPen JR indeholder hver 2 ml epinephrinopløsning. Cirka 1,7 ml forbliver i autoinjektoren efter aktivering, men er ikke tilgængelig til fremtidig brug og bør kasseres.

Hver 0,3 ml i EpiPen-autoinjektoren indeholder 0,3 mg epinephrin 1,8 mg natriumchlorid 0,5 mg natriummetabisulfithaltsyre til justering af pH og vand til injektion. PH-området er 2,2-5,0.

Hver 0,3 ml i EpiPen JR-autoinjektoren indeholder 0,15 mg epinephrin 1,8 mg natriumchlorid 0,5 mg natriummetabisulfithaltsyre for at justere pH og vand til injektion. PH-området er 2,2-5,0.

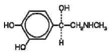
Epinephrin er en sympatomimetisk catecholamin. Kemisk epinephrin er (-)-34-dihydroxy-a-[(methylamino) methyl] benzylalkohol med følgende struktur:

Epinephrinopløsning forværres hurtigt ved eksponering for luft eller lys, der bliver lyserød fra oxidation til adrenokrom og brun fra dannelsen af ​​melanin. Udskift EpiPen og EpiPen JR, hvis epinephrinopløsningen forekommer misfarvet (lyserød eller brun farve) overskyet eller indeholder partikler.

Gennemgå grundigt patientinstruktionerne og driften af ​​EpiPen eller EpiPen JR med patienter og plejere inden brug [se Patientinformation ].

Bruger til EpiPen

EpiPen og EpiPen JR er angivet i akut behandling af allergiske reaktioner (type I) inklusive anafylaksi til svirrende insekter (f.eks Allergener såvel som idiopatisk anafylaksi eller træningsinduceret anafylaksi.

EpiPen og EpiPen JR er beregnet til øjeblikkelig administration hos patienter, der er fast besluttet på at have øget risiko for anafylaksi, herunder individer med en historie med anafylaktiske reaktioner.

Anafylaktiske reaktioner kan forekomme inden for få minutter efter eksponering og består af skylning af bekymringssynkope tachycardia Thready eller uopnåelig puls forbundet med et fald i blodtrykskramper, der opkast diarré og abdominale kramper ufrivillig annullering af weezing dyspnø på grund af laryngeal spasm pruritus rashes urticaria eller angioedem.

EpiPen og EpiPen JR er kun beregnet til øjeblikkelig administration som nødstøttende terapi og er ikke en erstatning for øjeblikkelig medicinsk behandling.

Dosering til EpiPen

Anbefalet dosering i henhold til patientens kropsvægt

  • Patienter, der er større end eller lig med 30 kg (ca. 66 pund eller mere): EpiPen 0,3 mg
  • Patienter 15 kg til 30 kg (33 pund til 66 pund): EpiPen Jr 0,15 mg

Administrationsinstruktioner

  • Injicér den enkeltdosis EpiPen eller EpiPen JR intramuskulært eller subkutant i det anterolaterale aspekt af låret gennem tøj om nødvendigt. Injicer ikke intravenøst ​​og injiceres ikke i balderne i cifre hænder eller fødder [se Advarsler og forholdsregler ].
  • Instruer plejere af små børn, der har ordineret en EpiPen eller EpiPen Jr, og som muligvis er samarbejdsvillig og sparker eller bevæger sig under en injektion for at holde benet fast på plads og begrænse bevægelse før og under en injektion [se Advarsler og forholdsregler ].
  • Hver EpiPen eller EpiPen JR er en enkeltdosis epinephrininjektion til engangsbrug. Da doserne af epinephrin leveret fra EpiPen eller EpiPen JR er fikseret overvejelse af andre former for injicerbar epinephrin, hvis doser lavere end 0,15 mg anses for nødvendige.
  • Med alvorlige vedvarende anafylakse kan gentagelsesinjektioner med en yderligere epipen eller epipen JR være nødvendig. Mere end to sekventielle doser af epinephrin bør kun administreres under direkte medicinsk tilsyn [se Advarsler og forholdsregler ].
  • Epinephrinopløsningen i det klare vindue i EpiPen eller EpiPen JR-autoinjektoren skal inspiceres visuelt for partikler og misfarvning.
Kassering efter brug

EpiPen og EpiPen JR indeholder hver 2 ml epinephrinopløsning. Cirka 1,7 ml forbliver i autoinjektoren efter aktivering, men er ikke tilgængelig til fremtidig brug og bør kasseres.

Hvor leveret

Dosering Forms And Strengths

  • Indsprøjtning : 0,3 mg (NULL,3 mg/0,3 ml) Klar og farveløs opløsning i enkeltdosis forudfyldt autoinjektor
  • Indsprøjtning : 0,15 mg (NULL,15 mg/0,3 ml) Klar og farveløs opløsning i en enkelt dosis forfyldt autoinjektor

EpiPen 2-PAK (Epinephrine) injektion leveres med 2 enkeltdosis forudfyldte autoinjektorer og 1 autoinjektortrænerenhed: 0,3 mg/0,3 ml ( NDC 49502-500-02)

EpiPen JR 2-PAK (Epinephrine) injektion leveres med 2 enkeltdosis forudfyldte autoinjektorer og 1 autoinjektortrænerenhed: 0,15 mg/0,3 ml ( NDC 49502-501-02)

EpiPen 2-PAK® og EpiPen JR 2-PAK® inkluderer også en S-Clip til at klemme to bærerør sammen.

Opbevaring og håndtering

  • Beskyt mod lys. Epinephrin er lysfølsom og bør opbevares i bærerøret, der leveres for at beskytte det mod lys.
  • Opbevares ved 20 ° C til 25 ° C (68 ° F til 77 ° F); Udflugter tilladt til 15 ° C til 30 ° C (59 ° F til 86 ° F) [se USP -kontrolleret stuetemperatur ].
  • Køl ikke ned.
  • Før du bruger check for at sikre dig, at løsningen i autoinjektoren er klar og farveløs.
  • Udskift autoinjektoren, hvis opløsningen er misfarvet (lyserød eller brun farve) overskyet eller indeholder partikel.
  • Bortskaf alle anvendte eller udløbne Epipen og EpiPen JR Auto-injektorer korrekt.

Fremstillet til Mylan Specialitet L.P. Morgantown WV 26505 U.S.A. af Meridian Medical Technologies LLC St. Louis MO 63146 U.S.A. Revideret: Feb 2023

Bivirkninger for Epipen

På grund af manglen på randomiserede kontrollerede kliniske forsøg med epinephrin til behandling af anafylaksi er den sande forekomst af bivirkninger, der er forbundet med den systemiske anvendelse af epinephrin, vanskelig at bestemme. Bivirkninger rapporteret i observationsforsøg Case -rapporter og undersøgelser er anført nedenfor.

Almindelige bivirkninger på systemisk administreret epinephrin inkluderer angst; ængstelighed; rastløshed; rysten; svaghed; svimmelhed; svedende; hjertebanken; blekhed; kvalme og opkast; hovedpine; og/eller åndedrætsbesvær. Disse symptomer forekommer hos nogle personer, der får terapeutiske doser af epinephrin, men er mere tilbøjelige til at forekomme hos patienter med hypertension eller hyperthyreoidisme [se Advarsler og forholdsregler ].

Kardiovaskulære reaktioner

  • Arytmier inklusive dødelig ventrikelflimmer er rapporteret, især hos patienter med underliggende hjertesygdom eller dem, der får visse lægemidler [se Advarsler og forholdsregler og Lægemiddelinteraktioner ].
  • Hurtige stigninger i blodtrykket har produceret cerebral blødning, især hos ældre patienter med hjerte -kar -sygdom [se Advarsler og forholdsregler ].
  • Angina kan forekomme hos patienter med koronararteriesygdom [se Advarsler og forholdsregler ].
  • Sjældne tilfælde af stress -kardiomyopati er rapporteret hos patienter behandlet med epinephrin.
Reaktioner fra utilsigtet injektion og/eller forkert teknik
  • Tilfældig injektion i cifrene hænder eller fødder kan resultere i tab af blodstrøm til det berørte område [se Advarsler og forholdsregler ].
  • Bivirkninger, der er oplevet som et resultat af utilsigtede injektioner, kan omfatte øgede hjerterytme lokale reaktioner, herunder injektionsstedets blødhedskoldhed og hypoestesi eller skade på injektionsstedet, hvilket resulterer i blå mærker blødning af misfarvning erythema eller skeletskade.
  • Lacerationer bøjede nåle og indlejrede nåle er rapporteret, når EpiPen er blevet injiceret i låret for små børn, der er ikke samarbejdsvillig og sparker eller bevæger sig under injektionen [se Advarsler og forholdsregler ].
  • Indsprøjtning into the buttock has resulted in cases of gas gangrene [see Advarsler og forholdsregler ].
Hud- og bløddelsinfektioner
  • Sjældne tilfælde af alvorlig hud- og bløddelsinfektioner, herunder nekrotiserende fasciitis og myonecrosis forårsaget af Clostridia (gasbrandren), er rapporteret efter epinephrininjektion inklusive EpiPen i låret [Se Advarsler og forholdsregler ].

Lægemiddelinteraktioner for Epipen

Hjerte glycosider diuretika og anti-arrytmik

Patienter, der modtager epinephrin, mens de samtidig tager hjerte-glycosider-diuretika eller anti-arrytmiske, skal observeres omhyggeligt for udviklingen af ​​hjertearytmier [se Advarsler og forholdsregler ].

Antidepressiva monoaminoxidaseinhibitorer levothyroxin og antihistaminer

Virkningerne af epinephrin kan forstærkes af tricykliske antidepressiva monoaminoxidaseinhibitorer levothyroxin natrium og visse antihistaminer især chlorpheniramin tripelennamin og diphenhydramin.

Beta-adrenerge blokkeere

De kardiostimulerende og bronchodilerende virkninger af epinephrin antagoniseres af betaadrenergiske blokerende lægemidler, såsom propranolol.

Alfa-adrenerge blokkeere

De vasokonstrating og hypertensive virkninger af epinephrin antagoniseres af alfaadrenergiske blokerende lægemidler, såsom phentolamin.

Ergot alkaloider

Ergot -alkaloider kan også vende pressoreffekterne af epinephrin.

Advarsler for EpiPen

Inkluderet som en del af FORHOLDSREGLER afsnit.

Forholdsregler for EpiPen

Nødbehandling

EpiPen og EpiPen JR er beregnet til øjeblikkelig administration som nødstøttende terapi og er ikke beregnet til at erstatte øjeblikkelig medicinsk behandling. I forbindelse med administrationen af ​​epinephrin bør patienten søge øjeblikkelig medicinsk eller hospitalpleje. Mere end to sekventielle doser af epinephrin bør kun administreres under direkte medicinsk tilsyn [se Indikationer og brug Dosering og administration og Patientinformation ].

Indsprøjtning-Related Complications

EpiPen og EpiPen Jr bør kun injiceres i det anterolaterale aspekt af låret [se Dosering og administration og Patientinformation ].

Injicer ikke intravenøst

Store doser eller utilsigtet intravenøs injektion af epinephrin kan resultere i cerebral blødning på grund af kraftig stigning i blodtrykket. Hurtigt fungerende vasodilatorer kan modvirke de markante pressoreffekter af epinephrin, hvis der er en sådan utilsigtet administration.

Injicer ikke i balderen

Indsprøjtning into the buttock may not provide effective treatment of anaphylaxis. Advise the patient to go immediately to the nearest emergency room for further treatment of anaphylaxis. Additionally injection into the buttock has been associated with Clostridial infections (gas gangrene). Cleansing with alcohol does not kill bacterial spores og therefore does not lower this risk.

Injicer ikke i cifre hænder eller fødder

Da epinephrin er en stærk vasokonstriktor utilsigtet injektion i cifrene hænder eller fødderâ Bivirkninger ].

bivirkninger af methocarbamol 750 mg
Hold benet fast under injektion

Lacerationer bøjede nåle og indlejrede nåle er rapporteret, når EpiPen og EpiPen JR er blevet injiceret i låret for små børn, der er ikke samarbejdsvillig og sparker eller bevæger sig under en injektion. For at minimere risikoen for injektionsrelateret skade, når man administrerer, skal du holde barnets ben fast på plads og begrænse bevægelse før og under injektion.

Alvorlige infektioner på injektionsstedet

Sjældne tilfælde af alvorlig hud- og bløddelsinfektioner, herunder nekrotiserende fasciitis og myonekrose forårsaget af Clostridia (gasbrangren), er rapporteret på injektionsstedet efter epinephrininjektion til anafylaksi. Clostridium -sporer kan være til stede på huden og introduceres i det dybe væv med subkutan eller intramuskulær injektion. Mens rensning med alkohol kan reducere tilstedeværelsen af ​​bakterier på hudalkoholens rensning, dræber ikke Clostridium -sporer. For at mindske risikoen for Clostridium -infektion sprænger ikke Epipen i bagdelen [se Advarsler og forholdsregler ]. Advise patients to seek medical care if they develop signs or symptoms of infection such as persistent redness warmth hævelse or ømhed at the epinephrine injection site.

Allergiske reaktioner forbundet med sulfit

Tilstedeværelsen af ​​en sulfit i dette produkt bør ikke afskrække administration af lægemidlet til behandling af alvorlige allergiske eller andre nødsituationer, selvom patienten er sulfitfølsom.

Epinephrin er den foretrukne behandling af alvorlige allergiske reaktioner eller andre nødsituationer, selvom dette produkt indeholder natriummetabisulfit A-sulfit, der kan i andre produkter forårsage allergiske typere reaktioner, herunder anafylaktiske symptomer eller livstruende eller mindre alvorlige astmatiske episoder i visse modtagelige personer.

Alternativerne til at bruge epinephrin i en livstruende situation er muligvis ikke tilfredsstillende.

Sygdomsinteraktioner

Nogle patienter kan være i større risiko for at udvikle bivirkninger efter epinephrinadministration. På trods af disse bekymringer skal det erkendes, at tilstedeværelsen af ​​disse tilstande ikke er en kontraindikation for epinephrinadministration i en akut livstruende situation. Derfor skal patienter med disse tilstande og/eller enhver anden person, der måtte være i stand til at administrere EpiPen eller EpiPen JR til en patient, der oplever anafylaksi, omhyggeligt instrueres med hensyn til de omstændigheder, under hvilke epinephrin skal anvendes.

Patienter med hjertesygdom

Epinephrin skal administreres med forsigtighed til patienter, der har hjertesygdomme, herunder patienter med hjertearytmier koronararterie eller organisk hjertesygdom eller hypertension. Hos sådanne patienter eller hos patienter, der er på medikamenter, der kan sensibilisere hjertet for arytmier, kan epinephrin udfælde eller forværre angina pectoris samt producere ventrikulære arytmier [se Lægemiddelinteraktioner og Bivirkninger ].

Andre patienter og sygdomme

Epinephrin skal administreres med forsigtighed til patienter med hyperthyreoidisme diabetes ældre individer og gravide kvinder. Patienter med Parkinsons sygdom kan muligvis bemærke en midlertidig forværring af symptomer.

Oplysninger om patientrådgivning

Se FDA-godkendt patientmærkning ( Patientinformation og Brug til brug )

En sundhedsudbyder bør gennemgå patientinstruktionerne og driften af ​​EpiPen og EpiPen JR i detaljer med patienten eller plejeren.

Epinephrin er afgørende for behandlingen af ​​anafylaksi. Patienter, der risikerer eller med en historie med alvorlige allergiske reaktioner (anafylaksi) på insektstikkene eller bider fødevarer medikamenter og andre allergener såvel som idiopatisk og træningsinduceret anafylakse skal instrueres omhyggeligt om de omstændigheder, under hvilke epinephrin skal anvendes.

Administration

Instruer patienter og/eller plejere i passende anvendelse af EpiPen og EpiPen Jr. EpiPen skal injiceres i midten af ​​det ydre lår (gennem tøj om nødvendigt). Hver enhed er en enkeltbrugsinjektion. Rådgiver patienter om at søge øjeblikkelig medicinsk behandling i forbindelse med administration af EpiPen.

Instruer plejere om at holde benene af små børn fast på plads og begrænse bevægelse før og under injektion. Lacerationer bøjede nåle og indlejrede nåle er rapporteret, når EpiPen og EpiPen Jr er blevet injiceret i låret for små børn, der er ikke samarbejdsvillig og sparker eller bevæger sig under en injektion [se Advarsler og forholdsregler ].

Instruer patienter og/eller plejere om at smide den blå sikkerhedsfrigivelse umiddelbart efter at have brugt EpiPen og EpiPen Jr. Denne lille del kan udgøre en kvælningsfare for børn.

Komplet patientinformation inklusive doseringsretninger for korrekt administration og forholdsregler kan findes inde i hver EpiPen eller EpiPen JR -karton. En trykt etiket på overfladen af ​​EpiPen viser instruktioner til brug og et diagram, der viser injektionsprocessen.

Uddannelse

Instruer patienter og/eller plejepersonale til at bruge og praktisere med træneren for at gøre sig bekendt med brugen af ​​EpiPen i en allergisk nødsituation. Træneren kan bruges flere gange. En trænerenhed findes i 2-pak-kartoner.

Instruer patienter og/eller plejere om straks at placere den blå sikkerhedsudgivelse tilbage på træneren og nulstille den efter at have øvet. Denne lille del kan udgøre en kvælningsfare for børn.

Bivirkninger

Epinephrin kan producere symptomer og tegn, der inkluderer en stigning i hjerterytmen fornemmelsen af ​​en mere kraftfuld hjerteslagsbethandling, der sveder kvalme og opkastningsproblemer med at trække vejret blekhed svimmelhed svaghed eller rystende hovedpine ængstelse nervøsitet eller angst. Disse tegn og symptomer falder normalt hurtigt, især med hvile stille og recumbumency. Patienter med hypertension eller hyperthyreoidisme kan udvikle mere alvorlige eller vedvarende effekter, og patienter med koronararteriesygdom kan opleve angina. Patienter med diabetes kan udvikle øgede blodsukkerniveauer efter epinephrinadministration. Patienter med Parkinsons sygdom kan muligvis bemærke en midlertidig forværring af symptomer [se Advarsler og forholdsregler ].

Utilsigtet injektion

Rådgive patienter om at søge øjeblikkelig medicinsk behandling i tilfælde af utilsigtet injektion. Da epinephrin er en stærk vasokonstriktor, når det injiceres i cifrene hænder eller fødder, skal behandlingen rettes mod vasodilatation, hvis der er en så utilsigtet injektion af disse områder [se Advarsler og forholdsregler ].

Alvorlige infektioner på injektionsstedet

Sjældne tilfælde af alvorlig hud- og bløddelsinfektioner, herunder nekrotiserende fasciitis og myonekrose forårsaget af Clostridia (gasbrangren), er rapporteret på injektionsstedet efter epinephrininjektion til anafylaksi. Rådgiv patienter om at søge lægehjælp, hvis de udvikler tegn eller symptomer på infektion, såsom vedvarende rødme -varme hævelse eller ømhed på epinephrininjektionsstedet [se Advarsler og forholdsregler ].

Opbevaring og håndtering

Instruer patienter om at inspicere epinephrinopløsningen visuelt gennem det klare vindue på autoinjektoren med jævne mellemrum. Udskift EpiPen og EpiPen JR, hvis epinephrinopløsningen forekommer misfarvet (lyserød eller brun farve) overskyet eller indeholder partikler. Epinephrin er lysfølsom og bør opbevares i bærerøret, der leveres for at beskytte det mod lys. Bærerøret er ikke vandtæt. Instruer patienter om, at EpiPen og EpiPen JR skal bruges eller bortskaffes korrekt, når den blå sikkerhedsfrigivelse er fjernet eller efter brug [se Opbevaring og håndtering ].

Rådgive patienter og plejere om at give brugte EpiPen og EpiPen JR autoinjektorer til deres sundhedsudbyder til inspektion og korrekt bortskaffelse.

Rådgive patienter og plejere om straks at bortskaffe medicin, der ikke længere er nødvendige. Bortskaffelse af udløbne uønskede eller ubrugte EpiPen og EpiPen JR Auto-injektorer i en FDA-Cleared Sharps-beholder. Instruer patienter om ikke at bortskaffe EpiPen eller EpiPen JR i deres husholdningspass.

Instruer patienter om, at hvis de ikke har en FDA-klaret skarp bortskaffelsesbeholder, kan de bruge en husholdningscontainer, der er lavet af en kraftig plastik, kan lukkes med en tæt passende og punkteringsbestandig låg uden at skarpe er i stand til at komme ud oprejst og stabilt under brug af lækagebestandigt og korrekt mærket for at advare om farligt affald inde i beholderen. Informer patienter om, at de kan besøge FDA -webstedet for at få yderligere oplysninger om bortskaffelse af ubrugte medicin.

Komplet patientinformation inklusive doseringsretninger for korrekt administration og forholdsregler kan findes inde i hver EpiPen Auto-Injector-karton.

Hvad bruges metoclopramid 5 mg til

Ikke -klinisk toksikologi

Karcinogenese mutagenese nedskrivning af fertilitet

Langtidsundersøgelser til evaluering af det kræftfremkaldende potentiale for epinephrin er ikke blevet udført.

Epinephrin og andre catecholaminer har vist sig at have mutagene potentiale in vitro. Epinephrin var positiv i Salmonella Bakteriel omvendt mutationsassay positivt i muselymfomassayet og negativt i in vivo micronucleus -assayet. Epinephrin er et oxidativt mutagen baseret på E. coli WP2 Mutoxitest bakteriel omvendt mutationsassay. Dette bør ikke forhindre brugen af ​​epinephrin, hvor det er angivet [se Indikationer og brug ].

Potentialet for epinephrin til at forringe reproduktionsydelsen er ikke blevet evalueret, men epinephrin har vist sig at reducere implantation hos kvindelige kaniner doseret subkutant med 1,2 mg/kg/dag (40 gange den højeste humane intramuskulære eller subkutan daglige dosis) i drejsdage dage 3 til 9.

Brug i specifikke populationer

Graviditet

Risikooversigt

Der er ingen tilstrækkelige og godt kontrollerede undersøgelser af den akutte virkning af epinephrin hos gravide kvinder. I dyrefor reproduktionsundersøgelser, der blev administreret af den subkutane rute til kaninermus og hamstere i perioden med organogenese, var teratogen ved doser 7 gange og højere end den maksimale anbefalede humane intramuskulære og subkutan dosis på en mg/m² -basis. Epinephrin er den første linje medicin, der vælges til behandling af anafylaksi under graviditet hos mennesker. Epinephrin skal anvendes til behandling af anafylaksi under graviditet på samme måde som det bruges hos ikke-gravide patienter.

I den amerikanske generelle befolkning er den estimerede baggrundsrisiko for større fødselsdefekter og spontanabort i klinisk anerkendte graviditeter henholdsvis 2 til 4% og 15 til 20%.

Kliniske overvejelser

Sygdomsassocieret moderlig og embryo/føtal risiko

Under graviditet kan anafylaksi være katastrofal og kan føre til hypoxisk-iskæmisk encephalopati og permanent skade i centralnervesystemet eller død hos moren og mere almindeligt i fosteret eller nyfødte. Forekomsten af ​​anafylaksi, der forekommer under graviditet, rapporteres at være ca. 3 tilfælde pr. 100000 leverancer.

Håndtering af anafylaksi under graviditet ligner styring i den generelle befolkning. Epinephrin er den første linjemedicinering, der vælges til behandling af anafylaksi; Det skal bruges på samme måde hos gravide og ikke-gravide patienter. I forbindelse med administrationen af ​​epinephrin bør patienten søge øjeblikkelig medicinsk eller hospitalpleje.

Data

Dyredata

I en embryofetaludviklingsundersøgelse med kaniner, der blev doseret i perioden med organogenese, blev epinephrin vist at være teratogen (inklusive gastroschisis og embryonal dødelighed) ved doser ca. 40 gange den maksimale anbefalede intramuskulære eller subkutan dosis (på en mg/m² basis i en mødre subkutan dosis på 1,2 mg/kg/kg/dag for to til tre til tre til tre).

I en embryofetaludviklingsundersøgelse med mus, der blev doseret i perioden med organogenese, blev epinephrin vist at være teratogen (inklusive embryonal dødelighed) ved doser ca. 8 gange den maksimale anbefalede intramuskulære eller subkutan dosis (på mg/m² basis i moderlig subcutan dosis af 1 mg/kg/dag i 10 dage). Disse effekter blev ikke set hos mus ca. 4 gange den maksimale anbefalede daglige intramuskulære eller subkutan dosis (på mg/m² basis på en subkutan moderlig dosis på 0,5 mg/kg/dag i 10 dage).

I en embryofetaludviklingsundersøgelse med hamstere doseret i perioden med organogenese fra drægtighedsdage 7 til 10 epinephrin viste det sig at være teratogen ved dosos ca. 7 gange den maksimale anbefalede intramuskulære eller subkutan dosis (på en mg/m² basis i en moderlig subcutan dosis på 0,5 mg/kg/kg/dag).

Amning

Risikooversigt

Der er ingen oplysninger om tilstedeværelsen af ​​epinephrin i human mælk virkningerne på ammede spædbørn eller virkningerne på mælkeproduktionen. Epinephrin er den første linjemedicinering, der vælges til behandling af anafylaksi; Det skal bruges på samme måde til amning og ikke -breastfeeding patienter.

Pædiatrisk brug

EpiPen eller EpiPen JR kan administreres til pædiatriske patienter i en dosering, der er passende til kropsvægt [se Dosering og administration ]. Clinical experience with the use of epinephrine suggests that the adverse reactions seen in children are similar in nature og extent to those both expected og reported in adults. Since the doses of epinephrine delivered from EpiPen og EpiPen Jr are fixed consider using other forms of injectable epinephrine if doses lower than 0.15 mg are deemed necessary.

Geriatrisk brug

Kliniske undersøgelser til behandling af anafylaksi er ikke blevet udført hos personer i alderen 65 år og derover for at afgøre, om de reagerer forskelligt fra yngre forsøgspersoner. Imidlertid har anden rapporteret klinisk erfaring med brug af epinephrin til behandling af anafylaksi identificeret, at geriatriske patienter kan være særligt følsomme over for virkningerne af epinephrin. Derfor bør EpiPen administreres med forsigtighed hos ældre individer, der kan have større risiko for at udvikle bivirkninger efter epinephrinadministration [se Advarsler og forholdsregler Overdosering ].

Overdoseringsoplysninger til EpiPen

Overdosering af epinephrin kan producere ekstremt forhøjet arterielt tryk, hvilket kan resultere i cerebrovaskulær blødning, især hos ældre patienter. Overdosering kan også resultere i lungeødem på grund af perifer vaskulær indsnævring sammen med hjertestimulering. Behandling består af hurtigt fungerende vasodilatorer eller alfa-adrenerge blokerende lægemidler og/eller respiratorisk støtte.

Epinephrin overdosering kan også forårsage forbigående bradykardi efterfulgt af takykardi, og disse kan ledsages af potentielt dødelige hjertearytmier. For tidlige ventrikulære sammentrækninger kan forekomme inden for et minut efter injektion og kan følges af multifokal ventrikulær takykardi (præibrilleringsrytme). Sænkning af ventrikulære effekter kan følges af atrial takykardi og lejlighedsvis af atrioventrikulær blok. Behandling af arytmier består af administration af et beta-adrenerg blokerende lægemiddel, såsom propranolol.

Overdosering resulterer undertiden i ekstrem blekhed og kulde af hudens metaboliske acidose og nyresvigt. Egnede korrigerende foranstaltninger skal træffes i sådanne situationer.

Kontraindikationer for EpiPen

Ingen

Klinisk farmakologi for Epipen

Handlingsmekanisme

Epinephrin virker på både alfa- og beta-adrenergiske receptorer.

Farmakodynamik

Gennem sin virkning på alfa-adrenergiske receptorer mindsker epinephrin vasodilatationen og øget vaskulær permeabilitet, der forekommer under anafylaksi, hvilket kan føre til tab af intravaskulær væskevolumen og hypotension.

Gennem sin handling på beta-adrenergiske receptorer forårsager epinephrin bronchial glat muskelafslapning og hjælper med at lindre bronchospasme hvæsende og dyspnø, der kan forekomme under anafylaksi.

Epinephrin lindrer også kløeuritus urticaria og angioødem og kan lindre mave -tarm- og genitourinary -symptomer forbundet med anafylaksi på grund af dens relaxer -virkninger på den glatte muskel i mavetarmens uterus og urinblære.

Når den gives subkutant eller intramuskulært epinephrin, har en hurtig indtræden og kort varighed af virkningen.

Patientinformation til EpiPen

Brug til brug

EpiPen®
[/epeepen/] (Epinephrin-injektion USP) Autoinjektor 0,3 mg epipen® = en dosis på 0,3 mg epinephrin USP 0,3 mg/0,3 ml

EpiPen JR®
EN

Til allergiske nødsituationer (anafylaksi)

Læs denne Patient Information Pleedlet omhyggeligt, før du bruger EpiPen® eller EpiPen JR® Auto-Injector, og hver gang du får en påfyldning. Der kan være nye oplysninger. Enhver, der muligvis kan administrere EpiPen eller EpiPen JR Auto-Injector, skal vide, hvordan du bruger den, før du har en allergisk nødsituation.

Disse oplysninger indtager ikke stedet for at tale med din sundhedsudbyder om din medicinske tilstand eller din behandling.

Hvad er de vigtigste oplysninger, jeg skal vide om EpiPen og EpiPen Jr?

1. EpiPen og EpiPen JR er enkeltdosis automatiske injektionsenheder (autoinjektorer), der indeholder epinephrin. Epinephrin er en medicin, der bruges til behandling af allergiske nødsituationer (anafylaksi). Anafylaksi kan være livstruende og kan ske inden for få minutter. Hvis ubehandlet anafylaksi kan føre til død. Denne allergiske nødsituation kan være forårsaget af stikkende og bitende insekter Allergiinjektioner Fødevarer Medicinansøvelse eller ukendte årsager.

Symptomer på anafylaksi kan omfatte:

  • problemer med at trække vejret
  • hvæsende
  • heshed (ændringer i den måde din stemme lyder på)
  • Beløb (hævet rødmet udslæt, der kan kløe)
  • Alvorlig kløe
  • Hævelse af dit ansigtslæber mund eller tunge
  • hududslæt rødme eller hævelse
  • Hurtig hjerteslag
  • svag puls
  • føler sig meget ængstelig
  • forvirring
  • mavesmerter
  • At miste kontrol over urin- eller tarmbevægelser (inkontinens)
  • Diarré eller mavekramper
  • svimmelhed fainting or passing out (unconsciousness)

2. Bær altid 2 EpiPen eller 2 EpiPen JR Auto-injektorer Med dig, fordi nogle gange er en enkelt dosis af epinephrin muligvis ikke nok til at behandle en alvorlig allergisk reaktion, før man søger medicinsk behandling. Du skal også altid bære 2 autoinjektorer med dig, hvis den første autoinjektor er aktiveret, før dosis kan gives. En enhed, der er blevet aktiveret ved et uheld, kan ikke bruges i en allergisk nødsituation (anafylaksi).

Bemærk: EpiPen eller EpiPen JR Auto-Injector er blevet aktiveret, når den blå sikkerhedstop fjernes, og en pop høres den orange nålenden af ​​autoinjektoren udvides, eller at medicinvisningsvinduet er blokeret.

Du ved muligvis ikke, hvornår anafylaksi vil ske. Tal med din sundhedsudbyder, hvis du har brug for flere autoinjektorer for at holde på arbejdsskolen eller andre steder. Hvis du bruger 1 EpiPen eller 1 EpiPen JR til behandling af en nødsituationsallergisk reaktion, skal du sørge for at udskifte den, så du altid har 2 autoinjektorer. Fortæl dine familiemedlemmer plejere og andre, hvor du holder din EpiPen eller EpiPen JR autoinjektorer. Sørg for, at de ved, hvordan du bruger det, før du har brug for det. Du kan muligvis ikke tale i en allergisk nødsituation.

3. Når du har en allergisk nødsituation (anafylaksi), skal du bruge din EpiPen eller EpiPen JR Auto-Injector med det samme.

Få nødmedicinsk hjælp med det samme, selvom du har brugt EpiPen eller EpiPen JR Auto-Injector. Du kan bruge en anden EpiPen eller EpiPen JR auto-injektor, hvis symptomerne fortsætter eller kommer tilbage, eller hvis den første autoinjektor aktiveres, før dosis kan gives. Af denne grund skal du bære 2 EpiPen eller 2 EpiPen JR Auto-injektorer med dig til enhver tid. Hvis du har brug for mere end 2 doser til en allergisk nødsituation, skal de gives af en sundhedsudbyder.

Hvad er EpiPen og EpiPen JR auto-injektorer?

  • EpiPen og EpiPen JR Auto-injektorer er disponible forudfyldte autoinjektorer, der bruges til at behandle livstruende allergiske nødsituationer hos mennesker, der er i fare for eller har en historie med alvorlige allergiske nødsituationer. Hver enhed indeholder en dosis epinephrin.
  • EpiPen og EpiPen JR Auto-injektorer er til øjeblikkelig administration af dig eller din plejeperson. De indtager ikke stedet for akut medicinsk behandling. Du skal få nødhjælp med det samme efter at have brugt din EpiPen eller EpiPen JR Auto-Injector.
  • EpiPen og EpiPen JR Auto-injektorer er til folk, der har fået ordineret denne medicin af deres sundhedsudbyder.
  • EpiPen (NULL,3 mg) autoinjektor er til folk, der vejer 66 pund eller mere (30 kg eller mere).
  • EpiPen Jr (NULL,15 mg) autoinjektor er for folk, der vejer ca. 33 til 66 pund (15 til 30 kg).
  • Det vides ikke, om EpiPen og EpiPen JR er sikre og effektive hos børn, der vejer mindre end 33 pund (15 kg).

Hvad skal jeg fortælle min sundhedsudbyder, før jeg bruger EpiPen eller EpiPen Jr?

Før du bruger din EpiPen eller EpiPen JR Auto-Injector, fortæl din sundhedsudbyder om alle dine medicinske tilstande. Din sundhedsudbyder giver dig muligvis flere instruktioner om, hvornår og hvordan du bruger EpiPen eller EpiPen JR, hvis du har følgende:

  • Hjerteproblemer eller højt blodtryk
  • diabetes
  • Skjoldbruskkirtelproblemer
  • astma
  • En historie med depression
  • Parkinsons sygdom

Du kan også modtage flere instruktioner, hvis du:

  • er gravide eller planlægger at blive gravid. Det vides ikke, om epinephrin vil skade din ufødte baby.
  • er amning eller planlægger at amme. Det vides ikke, om epinephrin passerer ind i din modermælk.

Fortæl din sundhedsudbyder om alle de medicin, du tager, herunder recept- og over-the-counter medicin vitaminer og urtetilskud.

Fortæl din sundhedsudbyder om alle dine kendte allergier.

Fortæl især din sundhedsudbyder, hvis du tager visse astmamedicin.

EpiPen eller EpiPen JR og andre lægemidler kan påvirke hinanden, der forårsager bivirkninger. EpiPen eller EpiPen JR kan påvirke den måde, andre medicin fungerer på. Andre lægemidler kan påvirke, hvordan EpiPen eller EpiPen JR fungerer.

Kend de medicin, du tager. Opbevar en liste over alle dine lægemidler inklusive medicin, der er over-counter-medicin, vitaminer og urtetilskud for at vise din sundhedsudbyder og farmaceut, når du får en ny medicin.

Brug din EpiPen eller EpiPen JR Auto-Injector til behandling af anafylaksi som foreskrevet af din sundhedsudbyder uanset dine medicinske tilstande eller de medicin, du tager.

Hvordan skal jeg bruge EpiPen eller EpiPen JR Auto-Injector?

  • Brug din enkeltdosis EpiPen eller EpiPen JR Auto-Injector nøjagtigt som din sundhedsudbyder fortæller dig at bruge den. Det kan være nødvendigt at bruge en anden EpiPen eller EpiPen JR Auto-Injector, hvis symptomerne fortsætter eller kommer tilbage, mens du venter på nødhjælp, eller hvis den første autoinjektor aktiveres, før dosis kan gives. Hvis du har brug for mere end 2 doser af epinephrin til en enkelt anafylakse -episode, skal flere doser administreres af en sundhedsudbyder.
  • EpiPen eller EpiPen JR skal injiceres i midten af ​​dit ydre lår (overben). Det kan injiceres gennem dit tøj om nødvendigt. Injonerer ikke i en vene eller i bagdelens fingre tæer hænder eller fødder.
  • Læs og sørg for at forstå instruktionerne til brug i slutningen af ​​denne patientinformations-folder for at lære den rigtige måde at bruge EpiPen og EpiPen JR Auto-Injector.
  • Din sundhedsudbyder viser dig, hvordan du sikkert bruger EpiPen eller EpiPen JR Auto-Injector.
  • Det er meget vigtigt, at du holder EpiPen eller EpiPen JR Auto-Injector ned fast i midten af ​​det ydre lår (overben) i mindst 3 fulde sekunder. Hvis du ikke holder den på plads længe nok, har EpiPen eller EpiPen JR Auto-Injector muligvis ikke tid til at levere den rigtige dosis medicin.
  • FORSIGTIG: Sæt aldrig dine tommelfingre eller hånd over den orange nålenden. Tryk aldrig eller skub den orange nålenden med tommelfingerfingre eller hånd. Nålen kommer ud af den orange nålenden. Tilfældig injektion i fingrehænder eller fødder kan forårsage et tab af blodstrøm til disse områder. Hvis der sker en utilsigtet injektion, skal du straks, til det nærmeste alarmrum.
  • ADVARSEL: Gør ikke Vend den blå sikkerhedstop ved hjælp af en tommelfinger eller ved at trække den sidelæns eller ved at bøje og dreje den blå sikkerhedstop. Dette kan medføre, at enheden aktiveres ved et uheld: En pop høres den orange nålenden forlænges, og vinduet med medicinsk visning er blokeret. En enhed, der er aktiveret ved et uheld, kan ikke bruges i en nødsituation. Hvis dette sker, skal du udskifte det med en ny EpiPen eller EpiPen Jr.
  • Når du er klar til at injicere, skal du trække den blå sikkerhedstop lige op og væk fra autoinjektoren.
  • Din EpiPen og EpiPen JR Auto-Injector kan komme i en pakke med en grå træner og separate trænerinstruktioner til brug. Den grå træner indeholder ingen medicin og ingen nål. Hold træneren og den rigtige EpiPen og EpiPen JR auto-injektorer væk fra små børn. De virkelige EpiPen og EpiPen JR autoinjektorer og træner er ikke legetøj. For små børn skal brugen af ​​træneren og den virkelige EpiPen og EpiPen JR autoinjektorer overvåges af en voksen. Øv regelmæssigt med din grå træner i ikke-nødsituationer for at sikre dig, at du sikkert kan bruge den rigtige EpiPen eller EpiPen JR Auto-Injector i en nødsituation. Bær altid dine 2 rigtige EpiPen eller EpiPen JR auto-injektorer med dig i tilfælde af en allergisk nødsituation. Yderligere træningsoplysninger er tilgængelige på www.epipen.com.
  • Slip ikke den beskyttende sag EpiPen Auto-Injector eller EpiPen JR Autoinjector. Hvis den beskyttende sag eller autoinjektor falder, skal du kontrollere for skader og lækage. Hvis der bemærkes eller mistænkes for at kaste skader eller lækage (bortskaffer) EpiPen eller EpiPen JR Auto-Injector og beskyttende sag og erstatter den.

Hvad er de mulige bivirkninger af EpiPen eller EpiPen Jr?

EpiPen og EpiPen JR kan forårsage alvorlige bivirkninger.

  • EpiPen eller EpiPen JR bør kun injiceres i midten af ​​dit ydre lår (overben). Injicer ikke EpiPen eller EpiPen Jr i din:
    • vener
    • balder
    • Fingre tæer hænder eller fødder

Hvis du ved et uheld injicerer EpiPen eller EpiPen Jr ind på et andet sted end midten af ​​dit ydre lår, skal du med det samme til det nærmeste akuttrum med det samme. Fortæl sundhedsudbyderen, hvor du på din krop fik den utilsigtede injektion.

  • Sjældent kan mennesker, der har brugt EpiPen eller EpiPen JR Auto-Injector, få infektioner på injektionsstedet inden for et par dage efter en injektion. Nogle af disse infektioner kan være alvorlige. Ring til din sundhedsudbyder med det samme, hvis du ser noget af følgende på et injektionssted:
    • Rødhed, der ikke forsvinder
    • hævelse
    • ømhed
    • Området føles varmt at røre ved
  • Snit på huden bøjede nåle og nåle, der forbliver i huden, efter at injektionen kan ske, når små børn sparker eller bevæger sig under en injektion. Hvis du injicerer et lille barn med en EpiPen eller EpiPen JR Auto-Injector, skal du holde deres ben fast på plads før og i løbet af den 3 sekunders injektion for at forhindre skader. Følg instruktionerne til brug i slutningen af ​​denne plastinformation. Bed din sundhedsudbyder om at vise dig, hvordan du skal:
    1. Hold det lille barn fast på plads (begræns).
    2. Med den ene hånd greb autoinjektoren med den orange nålend, der peger ned.
    3. Med den anden hånd skal du trække den blå sikkerhed top lige op og væk fra autoinjektoren.
  • Hvis du har visse medicinske tilstande eller tager visse medicin, kan din tilstand blive værre, eller du kan have længere varige bivirkninger, når du bruger din EpiPen eller EpiPen JR Auto-Injector. Tal med din sundhedsudbyder om alle dine medicinske tilstande.

Almindelige bivirkninger af EpiPen og EpiPen Jr inkluderer:

Er der en generisk for Denavir
  • Hurtig uregelmæssig eller bankende hjerteslag
  • sved
  • hovedpine
  • svaghed
  • Shakakess
  • Paleness
  • følelser af overspænding nervøsitet eller angst
  • svimmelhed
  • kvalme or opkast
  • åndedrætsproblemer

Disse bivirkninger kan forsvinde med hvile. Fortæl din sundhedsudbyder, hvis du har nogen bivirkning, der generer dig, eller som ikke forsvinder.

Dette er ikke alle de mulige bivirkninger af EpiPen eller EpiPen Jr. for mere information, bed din sundhedsudbyder eller farmaceut.

Ring til din læge for medicinsk rådgivning om bivirkninger. Du kan rapportere bivirkninger til FDA på 1-800-FDA-1088.

Hvordan skal jeg gemme EpiPen eller EpiPen JR Auto-injektorer?

  • Opbevar EpiPen og EpiPen JR Auto-injektorer ved stuetemperatur mellem 68 ° F til 77 ° F (20 ° C til 25 ° C).
  • Hold denne medicin ude af synet og rækkevidde af små børn.
  • Opbevar beskyttelsessag i den ydre karton for at beskytte mod lys. Når den udsættes for luft eller lys, ændres epinephrin hurtigt til en lyserød eller brun farve og bør ikke bruges.
  • Udsæt ikke for ekstrem kulde eller varme. For eksempel skal du ikke opbevare i dit køretøjs handskekasse eller bagagerum. Opbevar ikke i køleskabet eller fryseren.
  • Undersøg indholdet i vinduet Medicinsk visning af din EpiPen eller EpiPen JR Auto-injektor regelmæssigt. Medicinen skal være klar. Hvis medicinen er misfarvet (lyserød eller brun farve) eller indeholder faste partikler, skal du erstatte autoinjektoren.
  • Hold altid dine 2 EpiPen eller 2 EpiPen JR Auto-injektorer i de beskyttende tilfælde for at forhindre skade på enheden. Den beskyttende sag er ikke vandtæt.
  • Den blå sikkerhedstop hjælper med at forhindre utilsigtet injektion. Hold den blå sikkerhedstop på plads, indtil du skal bruge EpiPen eller EpiPen JR Auto-injektoren. Efter at autoinjektoren er brugt, skal du smide den blå sikkerhedstop, da dette kan udgøre en kvælningsfare for små børn.

Bortskaffelse af en udløbet ubrugt eller brugt EpiPen eller EpiPen JR Auto-injektor

Din EpiPen eller EpiPen JR Auto-Injector har en udløbsdato. Udskift pakken med autoinjektorer inden udløbsdatoen. Kast væk (bortskaffer) udløbet uønsket eller ubrugt EpiPen og EpiPen JR Auto-injektorer i en FDA-Cleared Sharps bortskaffelsesbeholder med det samme efter brug. Kast ikke EpiPen eller EpiPen Jr i dit husholdningspass. Hvis du ikke har en FDA-Cleared Sharps bortskaffelsesbeholder, kan du bruge en husholdningscontainer, der er:

  • Lavet af kraftig plastik
  • Kan lukkes med et tæt passende punkteringsbestandigt låg uden at skarpe er i stand til at komme ud
  • Lodret og stabil under brug
  • Lækagebestandig og
  • Korrekt mærket til at advare om farligt affald inde i beholderen.

Når din Sharps -bortskaffelsescontainer er næsten fuld, skal du følge dine samfundsretningslinjer for den rigtige måde at bortskaffe din Sharps Disposal Container. Der kan være statslige eller lokale love om, hvordan du skal smide brugte nåle og sprøjter. For mere information om Safe Sharps bortskaffelse og for specifik information om Sharps bortskaffelse i den stat, du bor i, skal du gå til FDAs websted på: https://www.fda.gov/safesharpsdisposal

Besøg FDAs websted (https://www.fda.gov/drugs/safe-disposalmedicines/ bortskaffelse-ubrugte-medicines-hvad-du-should-know) for mere information om, hvordan man kan smide ubrugte uønskede eller udløbne medicin.

Efter at have brugt din EpiPen eller EpiPen JR Auto-Injector i en allergisk nødsituation får medicinsk nødhjælp med det samme. Tag din brugte EpiPen eller EpiPen JR Autoinjector med dig for at give til din sundhedsudbyder til bortskaffelse.

Generel information om sikker og effektiv anvendelse af EpiPen og EpiPen JR Auto-injektorer.

Medicin er undertiden ordineret til andre formål end dem, der er anført i en patientoplysning. Brug ikke EpiPen eller EpiPen JR Auto-Injector til en betingelse, som den ikke blev ordineret til. Giv ikke din EpiPen eller EpiPen JR auto-injektor til andre mennesker.

Denne patientinformationsbrættet opsummerer de vigtigste oplysninger om EpiPen og EpiPen JR Auto-injektorer. Hvis du gerne vil have flere oplysninger, skal du tale med din sundhedsudbyder. Du kan bede din farmaceut eller sundhedsudbyder om information om EpiPen og EpiPen JR auto-injektorer, der er skrevet til sundhedsfagfolk.

Hvad er ingredienserne i EpiPen og EpiPen Jr?

Aktive ingredienser: Epinephrin

Inaktive ingredienser: natriumchlorid natriummetabisulfit saltsyre og vand

Vigtig information

  • EpiPen Auto-Injector har en gul farvet etiket.
  • EpiPen JR Auto-Injector har en grøn farvet etiket.
  • Din EpiPen eller EpiPen JR Auto-Injector er designet til at arbejde gennem tøj.
  • Når du modtager en EpiPen eller EpiPen JR Auto-Injector, og inden du skal bruge EpiPen eller EpiPen JR Auto-Injector, skal du fjerne autoinjektoren fra den beskyttende sag og kontrollere autoinjektoren for at sikre, at den blå sikkerhedstop ikke hæves (se figur D i instruktionerne til brug). Hvis den blå sikkerhedstop hæves, skal autoinjektoren ikke bruges, fordi enheden kunne aktivere ved et uheld. Forsøg ikke at skubbe den blå sikkerhed på toppen af ​​tilbage. Sæt autoinjektoren tilbage i den beskyttende sag, og udskift den med en ny EpiPen eller EpiPen Jr.
  • Kvælningsfare: Den blå sikkerhedstop er en lille del, der kan blive en kvælningsfare for børn. Kast den blå sikkerhedstop umiddelbart efter brug af EpiPen eller EpiPen JR Auto-Injector.
  • Det er meget vigtigt, at du holder EpiPen eller EpiPen JR Autoinjector nede fast midt i det ydre lår (overben) i mindst 3 fulde sekunder. Hvis du ikke holder den på plads længe nok, leverer EpiPen eller EpiPen JR autoinjektor muligvis ikke den rigtige dosis medicin.
  • Hvis der sker en utilsigtet injektion, skal du med det samme få akutmedicinsk hjælp.
  • Placer ikke patientoplysninger eller andre fremmedlegemer i den beskyttende sag med EpiPen eller EpiPen JR Auto-Injector, da dette kan forhindre dig i at fjerne autoinjektoren til brug.
  • Hver EpiPen eller EpiPen JR Auto-injektor kan kun bruges 1 gang (engangsbrug). Autoinjektorerne leverer en fast dosis af epinephrin og kan ikke genbruges. Forsøg ikke at genbruge EpiPen eller EpiPen JR, efter at enheden er aktiveret. Det er normalt, at det meste af medicinen forbliver i autoinjektoren, efter at dosis er injiceret. Den korrekte dosis er blevet administreret, hvis den orange nålenden forlænges til at dække nålen, og vinduet med medicinvisning er blokeret.
  • Forkert brug og korrekt brug af EpiPen og EpiPen JR
Forkert brug Korrekt brug og vigtige påmindelser
Opbevaring uden for den beskyttende sag eller opbevaring af EpiPen eller EpiPen JR Auto-injektor i ekstrem kulde eller varme. Hold altid din EpiPen eller EpiPen JR opbevaret i den beskyttende sag og ved stuetemperatur. Opbevar beskyttelsessag i den ydre karton for at beskytte mod lys. Forkert opbevaring kan forhindre EpiPen eller EpiPen JR i at arbejde. Hvis enheden har været i ekstrem kulde eller opvarme EpiPen eller EpiPen JR skal udskiftes.
Manglende fjernelse af autoinjektoren fra den beskyttende sag før brug. EpiPen eller EpiPen JR Auto-injektoren skal fjernes fra den beskyttende sag, den kommer ind inden brug.
Undlader at fjerne den blå sikkerhedstop før brug. Fjern den blå sikkerhedstop inden brug. EpiPen eller EpiPen JR aktiveres ikke med den blå sikkerhedstop på plads.
Aktivering af autoinjektoren på hovedet, hvilket vil forårsage en injektion i hånden. Nålen udgår fra den orange ende af Epipen og EpiPen JR Auto-injektoren, som skal være i kontakt med det ydre lår (overben) i en 90 ° vinkel (vinkelret) til låret før og under aktivering. Den orange nålenden udvides til at dække nålen efter aktivering. Hvis du stadig kan se nålen, skal du ikke prøve at genbruge autoinjektoren.
Manglende anvendelse nok kraft til at aktivere EpiPen eller EpiPen JR autoinjektor. EpiPen og EpiPen JR skal administreres ved at svinge og skubbe autoinjektoren fast mod det ydre lår. EpiPen og EpiPen JR Autoinjectors laver en tydelig poplyd, når de skubbes mod låret. Pop -lyd signaliserer, at injektionen er startet. Den korrekte dosis er blevet administreret, hvis den orange nålenden forlænges, og vinduet er blokeret.
Administration på et andet injektionssted end det ydre lår. Administrer EpiPen eller EpiPen JR kun i det ydre lår.
Undlader at holde autoinjektoren på plads i hele 3 sekunder. Hold EpiPen eller EpiPen JR Autoinjector på plads i hele 3 sekunder efter aktivering (tæl langsomt 1 23)

For mere information og videoinstruktioner om brugen af ​​EpiPen og EpiPen JR Auto-injektorer, gå til www.epipen.com eller ring 1-800-395-3376.

Brug til brug

EpiPen®
[/epeepen/] (Epinephrin-injektion USP) Autoinjektor 0,3 mg epipen® = en dosis på 0,3 mg epinephrin USP 0,3 mg/0,3 ml for intramuscular og subcutaneous use

EpiPen JR®
!

Denne brugsanvisning indeholder oplysninger om, hvordan man administrerer EpiPen og EpiPen JR Auto-Injector.

Figur A: Enkelt 0,3 mg dosis EpiPen Auto-injektor (med gul etiket) og enkelt 0,15 mg dosis epiPen JR Auto-injektor (med grøn etiket)

Vigtig information You Need to Know Before Administering the EpiPen og EpiPen Jr Auto-Injector

  • Den enkeltdosis EpiPen eller EpiPen JR auto-injektor er til allergisk nødsituation (anafylaksi) og skal bruges med det samme. Du kan bruge en anden EpiPen eller EpiPen JR auto-injektor, hvis symptomerne fortsætter, eller symptomerne kommer tilbage.
  • Før du har brug for at bruge din EpiPen eller EpiPen JR Auto-Injector, skal du sørge for, at din sundhedsudbyder viser dig den rigtige måde at bruge den på. Enhver, der muligvis kan administrere EpiPen eller EpiPen JR Auto-Injector, skal også forstå, hvordan man bruger den.
  • Læs omhyggeligt instruktionerne til brug i en ikke-nødsituation, og sørg for at forstå dem, før du bruger din EpiPen eller EpiPen JR Auto-Injector.
  • Hvis du har spørgsmål, skal du stille din sundhedsudbyder.
  • Det er meget vigtigt, at du holder EpiPen eller EpiPen JR Auto-Injector nede i mindst 3 fulde sekunder. Hvis du ikke holder den på plads længe nok, har EpiPen eller EpiPen JR Auto-Injector muligvis ikke tid til at levere den rigtige dosis medicin.
  • Sørg for altid at bære 2 EpiPen eller 2 EpiPen JR auto-injektorer. En dosis er muligvis ikke nok.
  • Injicer EpiPen eller EpiPen Jr i muskelen (intramuskulær) eller under huden (subkutan) midt i det ydre lår (se figur B). Injicer ikke EpiPen eller EpiPen Jr i nogen anden del af kroppen.
  • Injektionen kan gives gennem tøj.

Figur B: Injekt i midten af ​​det ydre lår

  • Hver EpiPen eller EpiPen JR Auto-injektor kan kun bruges 1 gang (engangsbrug). Det er normalt, at det meste af medicinen forbliver i autoinjektoren, efter at dosis er injiceret. Den korrekte dosis er blevet administreret, hvis den orange nålenden forlænges til at dække nålen, og vinduet med medicinvisning er blokeret.
  • ADVARSEL: Gør ikke Vend den blå sikkerhedstop ved hjælp af en tommelfinger eller ved at trække iTideways eller ved at bøje og vride den blå sikkerhedstop. Dette kan medføre, at enheden aktiveres ved et uheld: En pop høres den orange nålenden forlænges, og vinduet med medicinsk visning er blokeret. En enhed, der er aktiveret ved et uheld, kan ikke bruges i en nødsituation. Hvis dette sker, skal du udskifte det med en ny EpiPen eller EpiPen Jr.
  • Tag ikke EpiPen eller EpiPen JR Auto-Injector fra hinanden.
  • Hold den blå sikkerhedstop på plads, indtil du er klar til at injicere.
  • Peg altid den orange nålenden ned (se figur C). Hold fingrene tommelfinger og hånd væk fra den orange nålenden. Tilfældig injektion i fingrene tommelfinger eller fødder kan forårsage tab af blodstrøm til disse områder.

Figur C: Korrekt måde at holde EpiPen eller EpiPen JR Auto-injektoren med Orange Need

Kontrol af den blå sikkerhedstop

Når du modtager en EpiPen eller EpiPen JR Auto-Injector, og inden du skal bruge EpiPen eller EpiPen JR Auto-Injector, skal du gøre følgende:

  • Fjern EpiPen eller EpiPen JR Auto-injektoren fra den beskyttende sag, og kontroller autoinjektoren for at sikre, at den blå sikkerhedstop ikke hæves (se figur D). Hvis den blå sikkerhedstop ikke hæves, er autoinjektoren okay at bruge. Sæt autoinjektoren tilbage i den beskyttende sag, så den er klar til at blive brugt i en allergisk nødsituation.
  • Hvis den blå sikkerhedstop hæves (se figur e) skal autoinjektoren ikke bruges Fordi enheden kunne aktivere ved et uheld. Forsøg ikke at skubbe den blå sikkerhed på toppen af ​​tilbage. Sæt autoinjektoren tilbage i den beskyttende sag, og udskift den med en ny EpiPen eller EpiPen Jr.

Figur D og figur E

Forbereder sig på at injicere EpiPen eller EpiPen Jr

Bemærk følgende, mens du forbereder sig på at injicere EpiPen eller EpiPen Jr:

  • Fjern noget i eller omkring injektionsstedet, der blokerer dig for at give injektionen.
  • Kontroller autoinjektoren inden brug. Hvis autoinjektoren ser ud til at være beskadiget, skal du smide den væk (bortskaffe) og ikke bruge.
  • Den grå træner indeholder ingen medicin og ingen nål. Øv dig med den grå træner, før en allergisk nødsituation tilfældigvis sørger for, at du sikkert kan bruge den rigtige EpiPen i en nødsituation.

Figur F: Grå træner

  • Hold træneren og den rigtige EpiPen og EpiPen JR auto-injektorer væk fra små børn. EpiPen og EpiPen JR auto-injektorer og træner er ikke legetøj. Brug af små børn skal overvåges af en voksen.
  • Mens du forbereder dig på at injicere, skal du sørge for at vide, hvor du skal injicere (se figur B), og hvordan man holder EpiPen og EpiPen JR Auto-Injector (se figur C).
  • EpiPen og EpiPen JR Auto-injektorer har en aldrig-se-nål®, der dækker nålen før og efter du injicerer (se figur G). Du skal aldrig se en nål. Hvis du kan se en nål, skal du ikke bruge EpiPen eller EpiPen JR Auto-Injector.

Figur G: Aldrig se-nål

Sørg for, at EpiPen eller EpiPen JR Auto-Injector ikke er blevet brugt. Hvis en EpiPen eller EpiPen JR auto-injektor er blevet brugt:

  • Den orange nålenden forlænges (se trin 4)
  • Vinduet Medicinsk visning blokeres og
  • EpiPen eller EpiPen JR Auto-Injector passer ikke længere i den beskyttende sag.

Forbereder sig på at injicere et barn

  • Hvis du giver EpiPen eller EpiPen JR til et lille barn, skal du først holde barnet fast på plads (begrænse) og derefter bruge begge hænder til at fjerne den blå sikkerhedstop som vist (se figur J). Brug den ene hånd til at holde autoinjektoren med den orange nålend, der peger ned og din anden hånd for at fjerne den blå sikkerhedstop for at aktivere autoinjektoren. Injicer derefter midt i det ydre lår (se figur L). Husk at holde benet fast på plads før og i løbet af den 3 sekunders injektion for at undgå Needlestick -skader inklusive snit til låret.
  • Hold træneren og den rigtige EpiPen og EpiPen JR auto-injektorer væk fra små børn. De virkelige EpiPen og EpiPen JR auto-injektorer og træner er ikke legetøj. Brug af små børn skal overvåges af en voksen.

Kontrol af medicinfarven

Undersøg væsken i vinduet med medicinvisning af din EpiPen eller EpiPen JR Auto-injektor regelmæssigt. Se nedenstående oplysninger:

Medicinfarve:

Medicinen kan ses gennem vinduet Medicine Viewing nær midten af ​​EpiPen eller EpiPen JR Auto-Injector.

For at kontrollere medicinfarven skal du holde autoinjektoren foran en hvid baggrund i et godt oplyst område og kigge gennem medicinsk visningsvinduet.

Figur H: Vindue med medicinvisning

Brug medicinen, hvis det er klart og farveløst.

Brug ikke medicinen, hvis den er misfarvet (lyserød eller brun farve), eller hvis medicinen har partikler, der flyder i den. Kast det væk (bortskaffer) og brug en ny EpiPen eller EpiPen JR Auto-Injector (se sektionen Bortskaffelse af en udløbet ubrugt eller brugt EpiPen eller EpiPen JR Auto-injektor på patientens informationsside af denne indlægsseddel).

Injektion af EpiPen eller EpiPen Jr

Trin 1: Skub EpiPen eller EpiPen JR Auto-Injector ud af sagen (figur I)

Fjern autoinjektoren fra den beskyttende sag.

Figur i

Trin 2: Træk den blå sikkerhedstop (figur J) af

Grib EpiPen eller EpiPen JR Auto-injektoren med den ene hånd og med den orange nålend, der peger ned. Brug den anden hånd til at fjerne den blå sikkerhedstop. Træk det lige op og væk.

Figur j

Note: Vend ikke eller bøj den blå sikkerhedstop. Undladelse af at trække den blå sikkerhedstop korrekt (lige op og væk) kan forårsage utilsigtet aktivering.

Note: For at undgå en utilsigtet injektion læg aldrig dine tommelfingre eller hånd over den orange nålenden. Hvis der sker en utilsigtet injektion, skal du med det samme få akutmedicinsk hjælp.

Injicere medicinen med selv (figur K) eller plejer (figur L) administration

Placer den orange nålenden mod det ydre lår gennem tøj om nødvendigt. Skub fast ned og hold på plads i 3 sekunder.

Note: EpiPen og EpiPen JR Auto-injektorer laver en tydelig poplyd, når de skubbes mod låret. Dette er normalt og betyder, at EpiPen eller EpiPen figur K.

Figur k

JR Auto-Injector fungerer. Efter at popen fortsatte med at trykke på EpiPen eller EpiPen JR Auto-Injector ned fast på det ydre lår i 3 sekunder for at sikre, at medicinen gives.

Figur l

Trin 4: Kontroller, om det bruges (figur M)

Løft autoinjektoren lige ud fra låret.

Norco 10 325 mg bivirkninger

Den orange nålenden vil strække sig til at dække nålen. Hvis nålen er synlig, skal du ikke genbruge den. Brug en ny autoinjektor.

Kast den blå sikkerhedstop væk.

Figur m

Trin 5: Få nødmedicinsk hjælp

Efter injektion af EpiPen eller EpiPen Jr får du med medicinsk akutmedicinsk hjælp med det samme. Du kan bruge en anden EpiPen eller EpiPen JR Autoinjector, hvis symptomerne fortsætter eller kommer tilbage.

  • Tag din brugte EpiPen eller EpiPen JR Auto-Injector til din sundhedsudbyder.
  • EpiPen og EpiPen JR er enkeltdosis autoinjektorer og kan ikke genbruges.
  • Hvis nålen er synlig, skal du ikke prøve at genbruge den.

Opbevaring af EpiPen og EpiPen JR Auto-injektorer

Opbevar EpiPen og EpiPen JR autoinjektorer ved stuetemperatur mellem 68 ° F til 77 ° F (20 ° C (20 ° C).

Opbevar beskyttelsessag i den ydre karton for at beskytte mod lys. Når den udsættes for luft eller tænder medicinen i EpiPen og EpiPen JR Auto-injektor ændres hurtigt til en lyserød eller brun farve og bør ikke bruges.

Bortskaffelse af EpiPen og EpiPen JR Auto-injektorer

Efter at have brugt din EpiPen eller EpiPen JR Auto-Injector, skal du med det samme akutmedicinsk hjælp. Tag din brugte autoinjektor med dig for at give til din sundhedsudbyder til bortskaffelse.

Vigtig: Den blå sikkerhedstop er en lille del, der kan blive en kvælningsfare for børn. Kast den blå sikkerhedstop umiddelbart efter brug af EpiPen eller EpiPen JR Auto-Injector.

Din EpiPen eller EpiPen JR Auto-Injector har en udløbsdato. Udskift det inden udløbsdatoen.

For mere information om, hvordan du smider væk (bortskaffer) din udløbne EpiPen eller EpiPen JR Auto-injektor se sektionen Bortskaffelse af en udløbet ubrugt eller brugt EpiPen eller EpiPen JR Auto-injektor På patientens informationsside af denne indlægsseddel.

EpiPen® Trainer

Brug til brug

EpiPen Trainer -instruktioner til brug

I en nødsituation: Brug ikke den grå træner. Brug din rigtige gule EpiPen® eller Real Green EpiPen JR® Auto-Injector.

Vigtig information

  • Trænermærket har en grå farve.
  • Træneren indeholder ingen medicin og ingen nål. Trænerens orange ende er nålenden af ​​den rigtige gule epipen eller ægte grønne epipen JR auto-injektor.
  • Praksis regelmæssigt med den grå træner i ikke-nødsituationer for at sikre dig, at du er i stand til sikkert at bruge den rigtige gule epipen eller ægte grønne EpiPen JR-autoinjektor i en nødsituation.
  • Bær altid dine 2 rigtige gule epipen eller ægte grønne epipen JR auto-injektorer i tilfælde af en allergisk nødsituation.
  • I en faktisk nødsituation skal du straks bruge din rigtige gule epipen eller rigtige grønne EpiPen JR -autoinjektor. Du skal få akutmedicinsk hjælp med det samme efter at have brugt din rigtige gule epipen eller rigtige grønne epipen JR auto-injektor.
  • Når du modtager den rigtige gule epipen eller ægte grønne epipen JR Auto-injektor, og inden du skal bruge den rigtige gule epipen eller rigtige grønne epipen JR Auto-injektor, skal du kontrollere autoinjektoren for at sikre, at den blå sikkerhedstop ikke hæves (se Patientinformationsbrættet ). Hvis den blå sikkerhedstop hæves, skal autoinjektoren ikke bruges Fordi enheden kunne aktivere ved et uheld. Forsøg ikke at skubbe den blå sikkerhed på toppen af ​​tilbage. Sæt autoinjektoren tilbage i den beskyttende sag, og udskift den med en ny ægte gul epipen eller ægte grøn EpiPen Jr.
  • Kvælningsfare: Den blå sikkerhedstop er en lille del, der kan blive en kvælningsfare for børn. Sæt den blå sikkerhed på toppen af ​​træneren og nulstil den umiddelbart efter at have øvet.
  • Hold den grå træner væk fra små børn. Træneren er ikke et legetøj. Børn skal kun øve med træneren under voksenovervågning.
  • Læs omhyggeligt instruktionerne til brug til den rigtige gule epipen og ægte grønne EpiPen JR Autoinjector i en ikke-nødsituation, og sørg for at forstå dem, før du bruger den rigtige gule epipen eller den rigtige grønne Epipen Jr.

EpiPen -træneren

Gør dig bekendt med denne grå træner. Øv dig, indtil du har det godt med at bruge det.

Din grå træner:

Figur A: Din grå træner

FORSIGTIG: Kend forskellen mellem træneren og din rigtige gule epipen og ægte grønne EpiPen Jr Auto-Injector

Vigtige forskelle mellem træneren og din rigtige gule epipen eller ægte grønne epipen JR auto-injektor

Træner (grå) EpiPen (gul) EpiPen Jr (grøn)
Indeholder medicin? Ingen Ja Ja
Har nålen? Ingen Ja Ja
Kommer i beskyttende sag? Ingen Ja Ja
Farve på etiket? Grå Gul Grøn
Har udløbsdato? Ingen Ja Ja
Kan genbruges? Ja Ingen (Brug kun én gang) Ingen (Brug kun én gang)
Okay at fjerne og udskifte blå sikkerhedstop? Ja Ingen (Fjern kun én gang før brug) Ingen (Fjern kun én gang før brug)
Pres, der er nødvendigt for at holde mod låret? Moderat Stærk Stærk

Øv instruktioner

Ved hjælp af træneren

Trin 1: Træk den blå sikkerhedstop (figur B) af

Greb den grå træner med den ene hånd og med den orange ende, der peger ned. Brug den anden hånd til at fjerne den blå sikkerhedstop. Træk det lige op og væk.

Note: Vend ikke eller bøj den blå sikkerhedstop.

ADVARSEL: Gør ikke Vend den blå sikkerhedstop ved hjælp af en tommelfinger eller ved at trække den sidelæns eller ved at bøje og dreje den blå sikkerhedstop. Dette kan medføre, at den rigtige gule epipen eller ægte grønne epipen JR -autoinjektor ved et uheld aktiveres. En EpiPen eller EpiPen JR auto-injektor, der er aktiveret ved et uheld, kan ikke bruges til en patient i en nødsituation og skal udskiftes.

Figur b

Trin 2: Trænerinjektionssimulering ved selv (figur C) eller plejer (figur D) administration

Placer den orange ende mod det ydre lår over tøj om nødvendigt.

Skub fast ned og hold på plads i 3 sekunder. Hvis du praktiserer en injektion på et lille barn, skal du først holde barnet fast (begrænse) og derefter bruge en hånd til at holde træneren med den orange ende, der peger ned og din anden hånd for at fjerne den blå sikkerhedstop. Hold benet fast på plads før og under injektionen på 3 sekunders praksis for at forhindre skader.

Note: Træneren laver en tydelig poplyd, når den skubbes mod låret. Dette er normalt og betyder, at autoinjektoren fungerer. Efter at popen fortsætter med at trykke træneren ned på det ydre lår i 3 sekunder.

Figur c

Figur d

Trin 3: Kontroller, om det bruges (figur E)

Løft træneren lige ud fra låret. Inspektion: Træneren blev aktiveret korrekt, hvis den orange ende forlænges. Hvis den orange ende ikke er udvidet gentag trin 1 og trin 2.

Figur e

Trin 4:Reset the Trainer (Figur f)

Sæt den blå sikkerhed på toppen af ​​træneren med det samme. Placer den orange ende på en hård overflade. Klem siderne af den orange ende og skub ned på træneren med den anden hånd. Note: Dette nulstillingstrin bør aldrig bruges med en rigtig gul epipen eller ægte grøn epipen JR auto-injektor, da dette kan resultere i skade.

Læg aldrig tommelfinger andre fingre eller hånd over den orange (nål) ende af den rigtige gule epipen eller ægte grønne epipen JR auto-injektor.

Figur f

Praksis -sessionoplysninger

I tilfælde af en allergisk nødsituation skal du bruge den rigtige gule epipen eller ægte grønne EpiPen JR auto-injektor og ikke den grå træner.

Følg instruktionerne ovenfor. Gentag så ofte som nødvendigt, indtil du er i stand til at injicere hurtigt og korrekt. Praksis regelmæssigt med træneren for at sikre dig, at du er i stand til at bruge den rigtige gule epipen eller ægte grønne EpiPen JR auto-injektor i en nødsituation.

Genlæst:

  • Trænerinstruktionerne til brug
  • Patientinformationsbrættet, der følger med din EpiPen eller EpiPen JR Auto-Injector

Træn andre, der kunne hjælpe dig i en nødsituation:

  • Enhver, der muligvis kan administrere EpiPen eller EpiPen JR Auto-Injector, skal vide, hvordan du kan hjælpe dig under en allergisk nødsituation. Før der opstår en nødsituation har dem:
  • Praksis regelmæssigt at forberede træneren til injektion og simulere en injektion
    • Læs trænerinstruktionerne til brug og Patientinformationsbrættet
    • For mere information om EpiPen og EpiPen JR Auto-Injector og korrekt brug af produkterne går til www.epipen.com.

Denne trænerinstruktioner til brug er godkendt af U.S. Food and Drug Administration.