Oplysningerne På Webstedet Er Ikke Medicinsk Rådgivning. Vi Sælger Ikke Noget. Nøjagtigheden Af Oversættelsen Er Ikke Garanteret. Ansvarsfraskrivelse
Medikamenter
Ketoconazolcreme
Resume af lægemiddeloversigt
Hvad er ketoconazolcreme?
Ketoconazol Topical (for huden) (Brandnavne: Extina Kuric Nizoral A-D Nizoral Topical Xolegel) er en antifungal medicin, der bruges til behandling af svampeinfektioner i huden, såsom atletens fodjock-kløe-ringorm og seborrhea (tør flager hud). Ketoconazol Topical fås som en fløde gel og shampoo. Shampoo bruges til behandling af skæl. Ketoconazol topisk creme fås i generisk form.
Hvad er bivirkninger af ketoconazolcreme?
Almindelige bivirkninger af ketoconazol topisk creme inkluderer
- stikkende
- hævelse
- kløe
- irritation
- tørhed eller
- Rødhed af den behandlede hud.
Hovedpine kan også forekomme. Kontakt din læge, hvis du oplever alvorlige bivirkninger af ketoconazol topisk creme inklusive
- Alvorlig kløe
- forbrænding eller irritation, hvor medicinen påføres;
- oser
- Smerter eller
- rødme af behandlede hudområder;
- hårtab;
- olieagtig eller tør hovedbund; eller øjenrødhed
- hævelse or
- irritation.
Dosering til ketoconazolcreme
At behandle kutan candidiasis tinea corporis tinea cruris tinea pedis og tinea (pityriasis) versicolor Den anbefalede dosis af ketoconazolcreme 2% er at anvende en gang dagligt for at dække det berørte og øjeblikkelige omgivende område. For at behandle seborrheisk dermatitis påføres ketoconazolcreme 2% på det berørte område to gange dagligt i fire uger eller indtil klinisk clearing.
Hvilke stoffer stoffer eller kosttilskud interagerer med ketoconazolcreme?
Andre lægemidler kan påvirke ketoconazol -topisk. Fortæl din læge al recept og medicin, du bruger.
Ketoconazolcreme under graviditet eller amning
Ketoconazol skal kun bruges, hvis det er ordineret under graviditet. Det er ukendt, om dette stof passerer til modermælk. Kontakt din læge inden amning.
Yderligere oplysninger
Vores ketoconazol bivirkninger Drug Center giver et omfattende overblik over tilgængelige lægemiddelinformation om de potentielle bivirkninger, når du tager denne medicin.
FDA -lægemiddelinformation
- Lægemiddelbeskrivelse
- Indikationer
- Bivirkninger
- Advarsler
- Overdosis
- Klinisk farmakologi
- Medicin vejledning
Beskrivelse til ketoconazolcreme
Ketoconazolcreme 2% for topisk administration indeholder kun det bredspektrede syntetiske antifungale middel ketoconazol 2% formuleret i et vandigt flødebil bestående af propylenglycol stearyl og cetylalkoholer sorbitan monostearat polysorbat 60 isopropyl myristat Sodium Sulfite Anhydrous polysorbate 80 og oprørende vand.
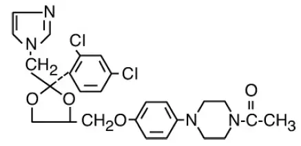
Ketoconazol er CIS-1-acetyl-4- [4-[[2- (24-dichlorophenyl) -2- (1H-Imidazol-1-ylmethyl) -13-dioxolan- 4-yl] methoxy] phenyl] piperazin og har følgende strukturelle formula:
|
Bruger til ketoconazolcreme
Ketoconazolcreme 2% er indikeret til den aktuelle behandling af Tinea Corporis Tinea Cruris og Tinea Pedis forårsaget af Trichophyton rubrum T. Mentagrophytes og Epidermophyton floccosum ; i behandlingen af tinea (pityriasis) versicolor forårsaget af Malassezia Furfur ( Pityrosporum cirkulær ); Ved behandling af kutan candidiasis forårsaget af Candida spp. og i behandlingen af seborrheisk dermatitis.
Dosering til ketoconazolcreme
Kutan candidiasis møll kropsmøl af benet af tinea og møl (pityriasis) versicolor: Det anbefales, at ketoconazolcreme 2% påføres en gang dagligt for at dække det berørte og øjeblikkelige omgivende område. Klinisk forbedring kan ses temmelig kort efter, at behandlingen er påbegyndt; Kandidatinfektioner og tinea cruris og corporis skal dog behandles i to uger for at reducere muligheden for gentagelse. Patienter med Tinea Versicolor kræver normalt to ugers behandling. Patienter med Tinea Pedis kræver seks ugers behandling. Seborrheisk dermatitis: ketoconazolcreme 2% skal påføres det berørte område to gange dagligt i fire uger eller indtil klinisk clearing.
Spironolactone hvad bruges det til
Hvis en patient ikke viser nogen klinisk forbedring efter behandlingsperioden, skal diagnosen ombestemmes.
Hvor leveret
Ketoconazol creme 2% leveres som følger:
15 gram NDC 0168-0099-15
30 gram NDC 0168-0099-30
60 gram NDC 0168-0099-60
Opbevares under 77 ° C (25 ° C).
E. Fougera
Bivirkninger til ketoconazolcreme
Under kliniske forsøg 45 (NULL,0%) af 905 patienter behandlet med ketoconazolcreme 2%og 5 (NULL,4%) af 208 patienter behandlet med placebo -rapporterede bivirkninger bestående hovedsageligt af alvorlig irritation kløe og stikkende. En af de patienter, der blev behandlet med ketoconazolcreme, udviklede en smertefuld allergisk reaktion.
I verdensomspændende oplevelse af postmarkedserfaringer har sjældne rapporter om kontaktdermatitis været forbundet med ketoconazolcreme eller en af dens excipienser, nemlig natriumsulfit eller propylenglycol.
Lægemiddelinteraktioner for ketoconazolcreme
Ingen oplysninger leveret.
Advarsler til ketoconazolcreme
Ketoconazol creme 2% is not for ophthalmic use.
Ketoconazol creme 2% contains sodium sulfite anhydrous a sulfite that may cause allergic-type reactions including anaphylactic symptoms og life-threatening or less severe asthmatic episodes in certain susceptible people. The overall prevalence of sulfite sensitivity in the general population is unknown og probably low. Sulfite sensitivity is seen more frequently in asthmatic than in nonasthmatic people.
Forholdsregler for ketoconazolcreme
Generel
Hvis en reaktion, der antyder, at følsomhed eller kemisk irritation skal forekomme, skal brugen af medicinen afbrydes. Hepatitis (1: 10000 rapporteret forekomst) og ved høje doser sænket testosteron og ACTH inducerede kortikosteroid -serumniveauer med oralt indgivet ketoconazol; Disse effekter er ikke set med topisk ketoconazol.
Karcinogenese mutagenese nedskrivning af fertilitet
En langvarig fodringsundersøgelse i schweiziske albino-mus og i Wistar-rotter viste ingen tegn på onkogen aktivitet. De dominerende Lethal mutationstest hos han- og hunmus afslørede, at enkelt orale doser af ketoconazol så højt som 80 mg/kg ikke producerede nogen mutation i nogen fase af kimcelleudvikling. Ames ' Salmonella Mikrosomal aktivatorassay var også negativ.
Graviditet
Teratogene effekter: Graviditetskategori C
Ketoconazol har vist sig at være teratogen (syndactylia og oligodactylia) i rotten, når den gives oralt i kosten ved 80 mg/kg/dag (10 gange den maksimale anbefalede humane orale dosis). Imidlertid kan disse effekter være relateret til mødretoksicitet, der blev set på dette og højere dosisniveauer.
Der er ingen tilstrækkelige og godt kontrollerede studier hos gravide kvinder. Ketoconazol bør kun bruges under graviditet, hvis den potentielle fordel retfærdiggør den potentielle risiko for fosteret.
Sygeplejerske mødre
Det vides ikke, om ketoconazolcreme 2% administreret topisk kan resultere i tilstrækkelig systemisk absorption til at producere detekterbare mængder i modermælk. Ikke desto mindre skal der træffes en beslutning om at afbryde sygeplejerske eller afbryde stoffet under hensyntagen til morenes betydning for moderen.
Pædiatrisk brug
Sikkerhed og effektivitet hos børn er ikke etableret.
Langsigtede bivirkninger af Lexapro
Overdoseringsoplysninger til ketoconazolcreme
Ingen oplysninger leveret.
Kontraindikationer for ketoconazolcreme
Ketoconazol creme 2% is contraindicated in persons who have shown hypersensitivity to the active or excipient ingredients of this formulation.
Klinisk farmakologi for Ketoconazole Cream
Når ketoconazolcreme 2% blev påført dermalt på intakt eller slidet hud af beaglehunde i 28 på hinanden følgende dage i en dosis på 80 mg var der ingen detekterbare plasmaniveauer ved anvendelse af en assaytetode, der havde en lavere detektionsgrænse på 2 ng/ml.
Efter en enkelt topisk anvendelse på brystet tilbage og armene fra normale frivillige blev systemisk absorption af ketoconazol ikke påvist på 5 ng/ml niveau i blod over en 72-timers periode.
To dermale irritationsundersøgelser En human sensibiliseringstest En fototoksicitetsundersøgelse og en fotoallergi -undersøgelse udført i 38 mandlige og 62 kvindelige frivillige viste ingen kontaktfølsomhed af den forsinkede overfølsomhedstype ingen irritation Ingen fototoksicitet og intet fotorgenisk potentiale på grund af ketoconazolcreme 2%.
Mikrobiologi
Ketoconazol er et bredt spektrum syntetisk antifungalt middel, der hæmmer In vitro Vækst af følgende almindelige dermatofytter og gær ved at ændre permeabiliteten af cellemembranen: dermatophytter: Trichophyton rubrum T. Mentagrophytes T. tonsurans Microsporum canis M.
Audouini M. Gypseum og Epidermophyton floccosum; gær: Albicans candida ovale malasses ( Pityrosporum ovale ) og C. tropicalis ; og den organisme, der er ansvarlig for Tinea Versicolor Malassezia Furfur (Pityrosporum orbiculare). Kun de organismer, der er anført i Indikationer og brug Afsnittet har vist sig at blive klinisk påvirket. Udvikling af resistens over for ketoconazol er ikke rapporteret.
Handlingsmåde
In vitro -undersøgelser antyder, at ketoconazol forringer syntesen af ergosterol, som er en vigtig komponent i svampecellemembraner. Det postuleres, at den terapeutiske virkning af ketoconazol i seborrheisk dermatitis skyldes reduktionen af M. ovale, men dette er endnu ikke bevist.
Patientinformation til ketoconazolcreme
Ingen oplysninger leveret. Please refer to the Advarsler og FORHOLDSREGLER sektioner.