Oplysningerne På Webstedet Er Ikke Medicinsk Rådgivning. Vi Sælger Ikke Noget. Nøjagtigheden Af ​​Oversættelsen Er Ikke Garanteret. Ansvarsfraskrivelse



Lonhala Magnair

Resume af lægemiddeloversigt

Lonhala Magnair (glycopyrrolat) inhalationsopløsning er en Antikolinergisk angivet til langvarig vedligeholdelsesbehandling af luftstrømobstruktion hos patienter med Kronisk obstruktiv lungesygdom ( KOLS ).

Hvad er bivirkninger af Lonhala Magnair?

Almindelige bivirkninger af Lonhala Magnair inkluderer:



  • åndenød
  • Urinvejsinfektion
  • hvæsende
  • Infektion i øvre luftvejsinfektion
  • løbende eller ting næse
  • Hævelse af ekstremiteter
  • og træthed.

Søg medicinsk behandling eller ring 911 på én gang, hvis du har følgende alvorlige bivirkninger:

  • Alvorlige øjesymptomer som pludselig synstab sløret syn
  • Alvorlige hjertesymptomer såsom hurtig uregelmæssige eller bankende hjerteslag; flagrende i brystet; åndenød; og pludselig svimmelhed lethed eller udlevering;
  • Alvorlig hovedpine

Dosis af Lonhala Magnair til vedligeholdelsesbehandling af KOL er indholdet af et Lonhala-hætteglas to gange dagligt.



Hvilke stoffer stoffer eller kosttilskud interagerer med Lonhala Magnair?

Lonhala Magnair kan interagere med andre antikolinergiske lægemidler. Fortæl din læge alle medicin og kosttilskud, du bruger.

Lonhala Magnair under graviditet eller amning

Fortæl din læge, hvis du er gravid eller planlægger at blive gravid, før du bruger Lonhala Magnair; Det er ukendt, hvordan det ville påvirke et foster. Det er ukendt, om Lonhala Magnair passerer til modermælk. Kontakt din læge inden amning.



Yderligere oplysninger

Vores Lonhala Magnair (glycopyrrolat) inhalationsopløsning til oral inhalationsanvendelse af bivirkninger Drug Center giver et omfattende overblik over tilgængelige lægemiddelinformation om de potentielle bivirkninger, når du tager denne medicin.

FDA -lægemiddelinformation

Beskrivelse til Lonhala Magnair

Lonhala Magnair består af Lonhala -hætteglas og et Magnair -forstøvningssystem. Lonhala (glycopyrrolat) inhalationsopløsning er en steril klar farveløs vandig opløsning til oral inhalation.

Glycopyrrolat USP Den aktive komponent af Lonhala-inhalationsopløsning beskrives kemisk som (3RS) -3-[(2SR)-(2-cyclopentyl-2-hydroxy-2-penylacetyl) oxy] -11-dimethlypyrrolidinium-bromid. Glycopyrrolat er en syntetisk kvartær ammoniumforbindelse, der fungerer som en konkurrencedygtig antagonist ved muscarinisk acetylcholinreceptorer også omtalt som en antikolinergisk. Glycopyrrolat C19H28BRNO3 er et hvidt lugtfrit krystallinsk pulver, der er opløseligt i vand og i alkohol. Det har en molekylær masse på 398,33. Den strukturelle formel er:

De inaktive ingredienser i Lonhala er: citronsyre monohydrat natriumchlorid natriumhydroxid og vand til injektion.

Lonhala-inhalationsopløsning leveres i polyethylen (LDPE) enhedsdosis med lav densitet (LDPE), der hver indeholder 1,0 ml af opløsningen. Hver hætteglas med enhedsdosis indeholder 25 mcg glycopyrrolat i en steril isotonisk saltopløsning pH-justeret til 4,0 med citronsyre og natriumhydroxid.

Som alle andre forstøvede behandlinger afhænger det beløb, der leveres til lungerne, af patientfaktorer. Under standardiseret in vitro-test pr. USP <1601> Voksen vejrtrækningsmønster (500 ml tidevandsvolumen 15 åndedræt pr. Minut og inhalation: udåndingsforhold på 1: 1) Den gennemsnitlige leverede dosis fra mundstykket var ca. 14,2 mcg glycopyrrolat (svarende til 11,4 mcg glycopyrronium og 56,8% etiketskrav). Den massemedian aerodynamiske diameter (MMAD) af de nebuliserede aerosolpartikler/dråber er 3,71 μM 95% CI (NULL,92 - 4,49 μm) som bestemt ved anvendelse af den næste generation af Impactor (NGI) metode. Den gennemsnitlige forstøvningstid var cirka 2 til 3 minutter.

Lonhala Magnair er indikeret til langvarig vedligeholdelsesbehandling af luftstrømsobstruktion hos patienter med kronisk obstruktiv lungesygdom (KOL) inklusive kronisk bronkitis og/eller emfysem.

Kun til oral indånding

Sluger ikke Lonhala -løsningen

Lonhala hætteglas bør kun bruges sammen med Magnair [se OVERDOSIS ].

Den anbefalede dosis af Lonhala er inhalation af indholdet af et Lonhala-hætteglas to gange dagligt ved hjælp af Magnair. Lonhala hætteglas bør kun administreres med Magnair. Patienter skal instrueres om den korrekte anvendelse af dette lægemiddelprodukt og -enhed.

Lonhala Magnair skal administreres på samme tid af dagen (1 hætteglas om morgenen og 1 hætteglas om aftenen) hver dag. Hyppigere administration eller et større antal inhalationer (mere end 1 hætteglas to gange dagligt) af Lonhala Magnair anbefales ikke.

Opbevar Lonhala hætteglas i folieposen og fjernes kun umiddelbart før brug med Magnair.

Ingen doseringsjustering er påkrævet for geriatriske patienter med patienter med leverfunktion eller patienter med mild til moderat nyrefunktion.

Hvor leveret

Doseringsformularer og styrker

Lonhala-inhalationsopløsning leveres som en steril klar farveløs vandig opløsning til inhalation i en enheds-dosis engangs-polyethylen (LDPE) til én enhed. Hver 1 ml hætteglas indeholder 25 mcg glycopyrrolat.

Lonhala Magnair Leveres som en 1 ml steril klar farveløs vandig opløsning i polyethylen (LDPE) enhedsdosis, der er over pakket i folie. Lonhala Magnair fås i et startkit, der indeholder 60 enhedsdosis hætteglas pakket med en Magnair og FDA godkendt patientmærkning. Lonhala Magnair leveres også i et påfyldningssæt, der indeholder 60 enhedsdosis hætteglas, der er pakket med et Magnair-udskiftningshåndsæt og FDA-godkendt patientmærkning.

Pakkekonfiguration Doseringsstyrke NDC
Starterkit med 30 dages forsyning (30 folieposer med 2 hætteglas pr. Pose) og komplet Magnair Nebulizer -system 25 mcg NDC : 63402-201-00
Genopfyldesæt med 30 dages forsyning (30 folieposer med 2 hætteglas pr. Pose) og Magnair Replacement Handset 25 mcg NDC : 63402-301-01

Opbevaring og håndtering

Opbevar Lonhala-inhalationsopløsning i den beskyttende foliepose ved 20 ° -25 ° C (68 ° -77 ° F) [se USP-kontrolleret stuetemperatur].

  • Lonhala hætteglas bør kun bruges sammen med Magnair. Brug ikke Magnair med andre hætteglas.
  • Opbevar Lonhala hætteglas i den beskyttende foliepose. Efter åbning af folieposen skal ubrugt enhedsdosis hætteglas returneres til og opbevares i folieposen. Når en foliepose er åbnet, skal du kaste hætteglassene, hvis de ikke bruges inden for 7 dage. Et åbnet enhedsdosis hætteglas skal bruges med det samme. Kasser ethvert enhedsdosis hætteglas, hvis løsningen ikke er farveløs.

Brug altid Magnair -udskiftningshåndsætningsdele, der følger med hver Lonhala Magnair Refill recept.

Opbevares uden for børns rækkevidde.

Fremstillet af: Pari Respiratory Equipment Inc. 2412 Pari Way Midlothian VA 23112. Revideret: juni 2019

Bivirkninger til Lonhala Magnair

Følgende bivirkninger er beskrevet mere detaljeret i andre sektioner:

Kliniske forsøg oplever

Fordi kliniske forsøg udføres under vidt forskellige tilstande, kan der ikke sammenlignes bivirkninger, der er observeret i de kliniske forsøg med et lægemiddel, ikke direkte med hastigheder i de kliniske forsøg med et andet lægemiddel og muligvis ikke afspejler de satser, der er observeret i praksis.

Lonhala Magnair Safety-databasen omfattede 2379 forsøgspersoner med KOL i to 12-ugers effektivitetsundersøgelser og en 48-ugers langsigtet sikkerhedsundersøgelse. I alt 431 forsøgspersoner modtog behandling med Lonhala Magnair 25 mcg to gange dagligt (bud). De nedenfor beskrevne sikkerhedsdata er baseret på de to 12-ugers forsøg og den ene 48-ugers forsøg.

12-ugers forsøg

Lonhala Magnair was studied in two 12-week placebo-controlled trials in subjects with KOLS. In these trials 431 subjects were treated with Lonhala Magnair at the recommended dose of 25 mcg twice daily. De population had a mean age of 63 years (ranging from 40 to 87 years) with 56% males 90% Caucasian og a mean post-bronchodilator forced expiratory volume in one second (FEV 1 ) procent forudsagt af 52%af den forudsagte normale værdi (20%-80%) ved undersøgelsesindgangen. Undersøgelsespopulationen omfattede også personer med allerede eksisterende hjerte-kar-sygdom såvel som forsøgspersoner med fortsat brug af stabil langtidsvirkende bronchodilator (LABA) ± inhaleret kortikosteroid (ICS) og ipratropium bromid baggrundsterapi. Personer med ustabil hjertesygdom smalvinkelglaukom eller symptomatisk prostatahypertrofi eller obstruktion af blæreudløb blev udelukket fra disse undersøgelser.

Tabel 1 viser de mest almindelige bivirkninger, der er større end eller lig med 2,0% i Lonhala Magnair-gruppen og højere end placebo i de to 12-ugers placebokontrollerede forsøg.

Andelen af ​​forsøgspersoner, der afbrød behandlingen på grund af bivirkninger, var 5% for de Lonhala Magnair-behandlede forsøgspersoner og 9% for placebo-behandlede forsøgspersoner.

Tabel 1. Bivirkninger med Lonhala Magnair ≥2,0% forekomst og højere end placebo

Placebo
(N = 430)
N (%)
Financyain
Magnair 25 mcg
BUD
(N = 431)
N (%)
Dyspnø 13 (3.0) 21 (4.9)
Urinvejsinfektion 6 (1.4) 9 (2.1)

Andre bivirkninger defineret som begivenheder med en forekomst på ≥1,0%, men mindre end 2,0% med Lonhala Magnair, men mere almindelig end med placebo inkluderede følgende: hvæsende øvre luftvejsinfektion nasopharyngitis ødemer perifer og træthed.

48-ugers retssag

I et langsigtet åbent sikkerhedsforsøg blev 1086 forsøgspersoner behandlet i op til 48 uger med Lonhala Magnair 50 mcg to gange dagligt (n = 620) eller tiotropium (n = 466). De demografiske og basislinjekarakteristika for det langsigtede sikkerhedsforsøg svarede til dem, der var placeret af de placebokontrollerede effektivitetsundersøgelser beskrevet ovenfor. De bivirkninger, der blev rapporteret i det langsigtede sikkerhedsforsøg, var i overensstemmelse med dem, der blev observeret i de placebokontrollerede undersøgelser af 12 uger. Bivirkninger, der opstod ved en frekvens, der er større end den, der blev set i enten aktiv behandlingsdosis i de samlede 12-ugers placebokontrollerede studier og ≥ 2,0% var: diarréødemperifer bronchitis nasopharyngitis pneumonia bihulere øvre luftvaginfektion infektion. Hypertension.

Lægemiddelinteraktioner for Lonhala Magnair

Sympatomimetik og steroider

I kliniske studier samtidig administration af glycopyrrolat og andre lægemidler, der ofte bruges til behandling af KOLS inklusive sympatomimetik (lang og kortvirkende beta 2 Agonister) Antikolinergika (kortvirkende anti-muskariniske antagonister) og orale og inhalerede steroider viste ingen stigninger i bivirkninger.

Antikolinergika

Der er et potentiale for en additiv interaktion med samtidig anvendte antikolinergiske medikamenter. Undgå derfor unødvendig co-administration af Lonhala Magnair med andre antikolinergiske holdige stoffer, da dette kan føre til en stigning i antikolinergiske effekter [se Advarsler og FORHOLDSREGLER og Bivirkninger ].

Advarsler for Lonhala Magnair

Inkluderet som en del af 'FORHOLDSREGLER' Afsnit

Forholdsregler for Lonhala Magnair

Forringelse af sygdomme og akutte episoder

Lonhala Magnair should not be initiated in patients during acutely deteriorating or potentially life-threatening episodes of KOLS. Lonhala Magnair has not been studied in subjects with acutely deteriorating KOLS. De initiation of Lonhala Magnair in this setting is not appropriate.

Lonhala Magnair should not be used as rescue therapy for the treatment of acute episodes of bronchospasm. Lonhala Magnair has not been studied in the relief of acute symptoms og extra doses should not be used for that purpose. Acute symptoms should be treated with an inhaled short-acting beta 2 Agonist.

KOLS may deteriorate acutely over a period of hours or chronically over several days or longer. If Lonhala Magnair no longer controls symptoms of bronchoconstriction the patient’s inhaled short-acting beta 2 Agonist bliver mindre effektiv; Eller patienten har brug for flere inhalationer af en kortvirkende beta 2 -Agonist end normalt kan disse være markører for forringelse af sygdommen. I denne indstilling skal en reevaluering af patienten og KOLS-behandlingsregimet påføres på én gang. At øge den daglige dosis af Lonhala Magnair ud over den anbefalede dosis er ikke passende i denne situation.

Paradoksal bronchospasme

Som med andre inhalerede lægemidler kan Lonhala Magnair producere paradoksal bronchospasme, der kan være livstruende. Hvis paradoksal bronchospasme forekommer efter dosering med Lonhala Magnair, skal den straks behandles med en inhaleret kortvirkende bronchodilator; Lonhala Magnair skal ophøres med det samme, og alternativ terapi indført.

Umiddelbare overfølsomhedsreaktioner

Umiddelbare overfølsomhedsreaktioner kan forekomme efter administration af Lonhala Magnair. Hvis der antyder tegn, der antyder allergiske reaktioner, forekommer især angioødem (inklusive vanskeligheder med at trække vejret eller sluge hævelse af tunge læber og ansigt) urticaria eller hududslæt lonhala Magnair skal ophøres med det samme, og alternativ terapi blev indført.

Forværring af smal

Vinkel glaukom

Lonhala Magnair should be used with caution in patients with narrow-angle glaukom. Prescribers og patients should be alert for signs og symptoms of acute narrow-angle glaukom (e.g. øjesmerter eller ubehag sløret vision visual halos or colored images in association with Røde øjne from conjunctival congestion og corneal edema). Instruct patients to consult a physician immediately should any of these signs or symptoms develop.

Forværring af urinretention

Lonhala Magnair should be used with caution in patients with urinary retention. Prescribers og patients should be alert for signs og symptoms of urinary retention (e.g. difficulty passing urine smertefuld vandladning) especially in patients with prostatic hyperplasia or bladder-neck obstruction. Instruct patients to consult a physician immediately should any of these signs or symptoms develop.

Oplysninger om patientrådgivning

Rådgiv patienten om at læse den FDA-godkendte patientmærkning ( Patientoplysninger og instruktioner til brug ).

Ikke for akutte symptomer

Informer patienter om, at Lonhala Magnair ikke er beregnet til at lindre akutte symptomer på KOL og ekstra doser ikke bør bruges til dette formål. Rådgiv dem til at behandle akutte symptomer med en redningsinhalator som albuterol. Giv patienterne sådan medicin og instruerer dem i, hvordan det skal bruges [se Advarsler og FORHOLDSREGLER ].

Instruer patienter om straks at søge lægehjælp, hvis de oplever et af følgende:

  • Symptomerne bliver værre
  • Behov for flere inhalationer end normalt af deres redningsinhalator

Patienter bør ikke stoppe terapi med Lonhala Magnair uden læge/udbydervejledning, da symptomer kan gentage sig efter seponering.

Paradoksal bronchospasme

Informer patienter om, at Lonhala Magnair kan forårsage paradoksal bronchospasme. Hvis paradoksal bronchospasme forekommer instruerer patienter om at afbryde Lonhala Magnair.

Forværring af smal

Vinkel glaukom

Hvor meget valium kan du tage

Instruer patienter om at være opmærksomme på tegn og symptomer på akut smalvinklet glaukom (f.eks. Øjensmerter eller ubehag, sløret syn visuelle haloer eller farvede billeder i forbindelse med røde øjne fra konjunktival overbelastning og hornhindeødem). Instruer patienter om at konsultere en læge med det samme, hvis nogen af ​​disse tegn eller symptomer udvikler sig.

Forværring af urinretention

Instruer patienter om at være opmærksomme på tegn og symptomer på urinretention (f.eks. Vanskeligheder, der passerer urin smertefuld vandladning). Instruer patienter om at konsultere en læge med det samme, hvis nogen af ​​disse tegn eller symptomer udvikler sig.

Instruktioner til administration af Lonhala Magnair

Det er vigtigt for patienter at forstå, hvordan man korrekt administrerer Lonhala -hætteglas ved hjælp af Magnair [se instruktioner til brug]. Instruer patienter om, at Lonhala -hætteglas kun skal administreres via Magnair og Magnair ikke bør bruges til administration af andre medicin. Patienter skal instrueres om ikke at injicere eller sluge Lonhala -opløsningen.

Instruer patienter om at opbevare Lonhala hætteglas i den forseglede foliepose og kun åbne folieposen for at fjerne et Lonhala -hætteglas umiddelbart før brug. Informer patienter om, at uåbnede hætteglas skal returneres til den åbnede foliepose til brug ved deres næste behandling og kasseres, hvis de ikke bruges inden for 7 dage, eller det er måske ikke så effektivt.

Informer patienter om at bruge en inhalation af Lonhala Magnair oralt to gange dagligt (1 hætteglas om morgenen og 1 hætteglas om aftenen) på samme tid hver dag.

Informer patienter om, at hvis de går glip af en dosis Lonhala Magnair, skulle de bruge deres næste hætteglas på det sædvanlige tidspunkt. Instruer patienter om ikke at bruge 2 hætteglas på én gang og ikke bruge mere end 2 hætteglas på en dag. Patienter skal kaste plastikdispenseringshætteglas væk umiddelbart efter brug. På grund af deres lille størrelse udgør hætteglassene en fare for at kvæle til små børn.

Informer patienter behandlet med Lonhala Magnair om, at der vil blive leveret et påfyldningssæt til dem månedligt. Genopfyldningssættet vil omfatte folieposer, der indeholder 60 hætteglas af Lonhala (2 hætteglas af Lonhala i hver pose; 1 hætteglas pr. Dosis) og 1 magnair udskiftning håndsæt (der kun indeholder disse udskiftningsdele: medicin cap håndsæt kropsstykket og aerosolhoved; producentens brugsanvisning til brug).

Vigtig

Instruer patienter om at smide de gamle håndsæt dele væk efter at have brugt 60 hætteglas med Lonhala og bruge udskiftning af håndsæt dele med de næste 60 hætteglas i Lonhala.

Ikke -klinisk toksikologi

Karcinogenese mutagenese nedskrivning af fertilitet

Karcinogenicitetsundersøgelser af glycopyrrolat resulterede ikke i en stigning i forekomsten af ​​tumorer i en 2-årig inhalationsundersøgelse af glycopyrrolat i Wistar-rotter ved doser op til 0,56 mg/kg/dag ca. 143 gange mrhdid af Lonhala Magnair i voksne på AUC-basis. Der forekom heller ikke noget bevis for tumorigenicitet i en 26-ugers oral (sonde) undersøgelse hos mandlige og kvindelige TGRASH2-mus, der modtog glycopyrrolat i doser op til 93,8 og 125,1 mg/kg/dag ca. 66 gange MRHDID af Lonhala Magnair.

Glycopyrrolat var ikke mutagen i følgende genotoksicitetsassays: In vitro Ames Assay In vitro Human lymfocytkromosomal aberrationsassay og forgæves Rotte knoglemarv mikronukleus assay.

Nedskrivning af fertilitet blev observeret hos mandlige og kvindelige Wistar -rotter ved en subkutan glycopyrrolatdosis på 1,88 mg/kg/dag (ca. og 2035 og 1136 gange henholdsvis MRHD af Lonhala Magnair på AUC -basis) baseret på fund af nedsat indebrevning af steder og tilsvarende reduktion af live fetuses. Ingen effekter på fertilitet og reproduktiv ydeevne forekom hos han- og hunrotter ved en subkutan glycopyrrolatdosis på 0,63 mg/kg/dag ca. 384 gange MRHD for Lonhala Magnair på AUC -basis).

Brug i specifikke populationer

Graviditet

Risikooversigt

Der er ingen tilstrækkelige og godt kontrollerede studier hos gravide kvinder. Lonhala Magnair bør kun bruges under graviditet, hvis den forventede fordel for patienten opvejer den potentielle risiko for fosteret. Kvinder skal rådes til at kontakte deres læge, hvis de bliver gravide, mens de tager Lonhala Magnair. I dyreproduktionsundersøgelser var der ingen teratogene virkninger hos Wistar -rotter og New Zealand hvide kaniner ved inhalerede doser, der tilnærmede henholdsvis 1521 og 580 gange den maksimale anbefalede humane daglige inhalationsdosis (MRHDID) baseret på en AUC -sammenligning [se Data ].

Den estimerede baggrundsrisiko for store fødselsdefekter og spontanabort for den angivne befolkning er ukendt. I den amerikanske generelle befolkning er den estimerede baggrundsrisiko for større fødselsdefekter og spontanabort i klinisk anerkendte graviditeter henholdsvis 2-4% og 15-20%.

Arbejde eller levering

Den potentielle virkning af Lonhala Magnair på arbejde og levering er ukendt. Lonhala Magnair bør kun bruges under arbejdskraft og levering, hvis den potentielle fordel for patienten retfærdiggør den potentielle risiko for fosteret.

Data

Dyredata

Udviklingsundersøgelser i Wistar -rotter og hvide kaniner i New Zealand, hvor glycopyrrolat blev administreret ved inhalation i perioden med organogenese, resulterede ikke i bevis for teratogenicitet ved eksponeringer ca. 1521 og 580 gange op til 3.8 mg/kg/kg/kg/kg/kg/kg/kg/kg/kg/kg/kg/kg/kg/kg/kg/kg/kg/kg/kg/kg/kg/kg/kg/kg/kg/kg/kg/kg/kg/kg/kg/kg/kg/kg/kg/kg/kg/kg/kg/kg/kG og 4,4 mg/kg/dag hos kaniner).

Glycopyrrolat havde ingen effekter på peri-fødsel og post-fødseludvikling hos rotter efter subkutan eksponering på ca. 1137 gange MRHDID af Lonhala Magnair baseret på en AUC-sammenligning (i en moderlig dosis på op til 1.885 mg/kg/dag).

Amning

Risikooversigt

Der er ingen data om tilstedeværelsen af ​​glycopyrrolat eller dets metabolitter i human mælk virkningerne på det ammede spædbarn eller virkningerne på mælkeproduktionen. I en undersøgelse af ammende rotter var glycopyrrolat imidlertid til stede i mælken [se Data ]. De developmental og health benefits of breastfeeding should be considered along with the mother’s clinical need for Lonhala Magnair og any potential adverse effects on the breastfed infant from Lonhala Magnair or from the underlying maternal condition.

Data

Glycopyrrolat (og dets metabolitter) blev påvist i mælken af ​​ammende rotter efter en enkelt intravenøs injektion af 4 mg/kg radiomærket glycopyrrolat.

Pædiatrisk brug

Lonhala Magnair is not indicated for use in children. De safety og efficacy of Lonhala Magnair in pediatric patients have not been established.

Geriatrisk brug

Baseret på tilgængelige data er ingen justering af doseringen af ​​Lonhala Magnair hos geriatriske patienter berettiget. Lonhala Magnair kan bruges i den anbefalede dosis hos ældre patienter 75 år og ældre.

Af det samlede antal forsøgspersoner i kliniske undersøgelser af Lonhala Magnair var 41% i alderen 65 år og ældre, mens 8% var 75 år og ældre. Der blev ikke observeret nogen samlede forskelle i sikkerhed eller effektivitet mellem disse forsøgspersoner, og yngre forsøgspersoner og andre rapporterede kliniske erfaringer har ikke identificeret forskelle i svar mellem de ældre og yngre patienter, men større følsomhed for nogle ældre personer kan ikke udelukkes.

Nedskærmning af nyren

Ingen dosisjustering er påkrævet for patienter med mild og moderat nedsat nyrefunktion. Virkningerne af nedsat nyrefunktion på farmakokinetikken af ​​glycopyrrolat er ikke undersøgt [se Klinisk farmakologi ].

Leverskrivning i leveren

Ingen dosisjustering er påkrævet for patienter med leverfunktion. Virkningerne af leverindtægter på farmakokinetikken af ​​glycopyrrolat er ikke undersøgt [se Klinisk farmakologi ].

Overdoseringsoplysninger til Lonhala Magnair

En overdosis af glycopyrrolat kan føre til antikolinergiske tegn og symptomer, såsom kvalme opkastning af svimmelhed letthed, sløret syn øgede intraokulært tryk (forårsager forstyrrelser i smerter eller rødme af øjet) forhindring eller vanskeligheder ved annullering.

Hos KOLS -patienter inhalerede oralt indgivelse af Lonhala Magnair ved en samlet daglig dosis på 200 mcg i 28 på hinanden følgende dage (maksimalt 1 mg) tolererede godt. Farmakokinetiske resultater fra adskillige undersøgelser udført hos KOLS-patienter viste, at en enkelt godt tolereret dosis på 1000 mcg havde en Cmax på 1534 pg/ml og AUC0-INF på 5271 pg*HR/ml. Disse værdier er henholdsvis ca. 44 gange og 21 gange højere end den estimerede daglige Cmax på 34,5 pg/ml og AUC0-INF på 255 pg*HR/ml for en 25 mcg BID-dosisregime ved stabil tilstand.

Kontraindikationer for Lonhala Magnair

Lonhala Magnair is contraindicated in patients with a hypersensitivity to glycopyrrolat or any of the ingredients [se Advarsler og FORHOLDSREGLER ].

Klinisk farmakologi for Lonhala Magnair

Handlingsmekanisme

Glycopyrrolat er en langtidsvirkende muskarinantagonist, der ofte omtales som en antikolinergisk. Det har lignende tilknytning til undertyperne af muscarinreceptorer M1 som M5. I luftvejene udviser det farmakologiske virkninger gennem inhibering af M3 -receptor ved den glatte muskel, der fører til bronchodilation. Antagonismes konkurrencedygtige og reversible karakter blev vist med humane og dyrs oprindelsesreceptorer og isolerede organpræparater. I præklinisk In vitro såvel som forgæves Undersøgelser forebyggelse af methacholin og acetylcholin-inducerede bronchokonstriktive virkninger var dosisafhængig og varede længere end 24 timer. Den kliniske relevans af disse fund er ukendt. Bronchodilatationen efter inhalation af glycopyrrolat er overvejende en stedspecifik effekt.

Farmakodynamik

Hjertelektrofysiologi

I dosisområdet og bekræftende kliniske studier demonstrerede administrationen af ​​Lonhala Magnair ikke nogen klinisk relevante ændringer i hjertefunktion, herunder: vitale tegn (hjerterytme blodtryk) elektrokardiogram (inklusive QTC) og Holter -overvågning. Derudover blev der ikke rapporteret om nogen større bivirkning af kardiovaskulære begivenheder (MACE) efter administrationen af ​​Lonhala Magnair 25 mcg i enhver klinisk undersøgelse.

Farmakokinetik

Absorption

Efter oral inhalation ved anvendelse af Magnair glycopyrrolat blev hurtigt absorberet og nået top plasmaniveauer <20 minutes post dose.

Hos patienter med COPD-farmakokinetisk steady-state plasmaniveauer af glycopyrrolat blev nået inden for en uge efter starten af ​​behandlingen. En to gange daglig dosisregime fører til ca. 2-3 gange ophobning af systemisk glycopyrrolateksponering ved stabil tilstand.

Fordeling

De In vitro Human plasmaproteinbinding af glycopyrrolat var 38% til 41% ved koncentrationer på 1 til 10 ng/ml.

Metabolisme

In vitro Metabolismeundersøgelser viser glycopyrrolathydroxylering, hvilket resulterer i en række mono- og bishydroxylerede metabolitter og direkte hydrolyse, hvilket resulterer i dannelsen af ​​et carboxylsyrederivat (M9). Længere In vitro Undersøgelser viste, at flere CYP-isoenzymer bidrager til den oxidative biotransformation af glycopyrrolat og hydrolysen til M9 vil sandsynligvis blive katalyseret af medlemmer fra cholinesterase-familien præ-systemisk og/eller via første pasmetabolisme fra den slukede dødefraktion af oralt inhaleret glycopyrrolat.

Eliminering

Efter intravenøs administration af [3H] -mærket glycopyrrolat til mennesker udgjorde den gennemsnitlige urinudskillelse af radioaktivitet på 48 timer 85% af dosis. Yderligere 5% af dosis blev fundet i endog .

Renal eliminering af forældremedicinen tegner sig for ca. 60 til 70% af den samlede clearance af systemisk tilgængelig glycopyrrolat, mens ikke-renal clearance-processer tegner sig for ca. 30 til 40%. Galdeklarering bidrager til den ikke-renal clearance, men størstedelen af ​​ikke-renal clearance menes at skyldes stofskifte.

Lægemiddelinteraktioner

In vitro Inhiberingsundersøgelser demonstrerede, at glycopyrrolat ikke har nogen relevant kapacitet til at hæmme CYP1A2 CYP2A6 CYP2B6 CYP2C8 CYP2C9 CYP2C19 CYP2D6 CYP2E1 ELLER CYP3A4/5 EFFLUX PANDERSER MDR1 MRP2 ELL 22. oktober. In vitro Enzyminduktionsundersøgelser indikerede ikke en klinisk relevant induktion med glycopyrrolat til cytochrome P450 -isoenzymer eller for UGT1A1 og transportørerne MDR1 og MRP2.

Dere is potential for additive interaction with concomitantly used Antikolinergisk medications. Derefore avoid coadministration of Lonhala Magnair with other Antikolinergisk-containing drugs as this may lead to an increase in Antikolinergisk effects [se Advarsler og FORHOLDSREGLER og Bivirkninger ].

Specifikke populationer

En farmakokinetisk analyse af data hos KOLS -patienter indikerede ingen klinisk relevant virkning af alder (41 til 80 år) eller kropsvægt (NULL,1 til 154,8 kg) på systemisk eksponering for glycopyrrolat. Derudover var der ingen tegn på klinisk signifikant etnisk/raceeffekt.

Nedskærmning af nyren

De effects of renal impairment on the pharmacokinetics of glycopyrrolat have not been studied [se Brug i specifikke populationer ].

Leverskrivning i leveren

De effects of hepatic impairment on the pharmacokinetics of glycopyrrolat have not been studied. Glycopyrrolate is cleared predominantly from systemic circulation by renal excretion [se Brug i specifikke populationer ].

Kliniske studier

De safety og efficacy of Lonhala Magnair were evaluated in 2 dose-ranging studies 2 placebo-controlled confirmatory studies (12-week studies) og a 48-week long-term safety study. De efficacy of Lonhala Magnair is based primarily on the dose-ranging studies in 378 subjects with KOLS og the 2 placebo-controlled confirmatory studies in 1293 subjects with KOLS.

Dosis i områder

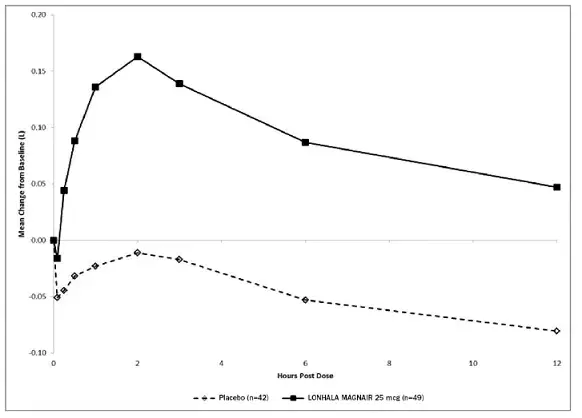
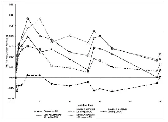
Dosisudvælgelse til de bekræftende KOLS -studier til Lonhala Magnair blev understøttet af to undersøgelser. Undersøgelse A var en randomiseret dobbeltblind placebokontrolleret parallel armundersøgelse med en 28-dages behandlingsperiode. Undersøgelsen omfattede Lonhala Magnair -doser af placebo 12,5 mcg 25 mcg 50 mcg og 100 mcg to gange dagligt. Undersøgelsen demonstrerede en dosis-respons-effekt på spids og truge fev 1 Over 24-timers doseringsperiode hos personer behandlet med Lonhala Magnair to gange dagligt [figur 1 (dag 1) og figur 2 (dag 28)]. Ls betyder forskelle i truget fev 1 Fra baseline efter 28 dage sammenlignet med placebo for 12,5 mcg 25 mcg 50 mcg og 100 mcg to gange daglige doser var 0,117 l (95% Cl: 0,037 0,197); 0,128 L (95% CI: 0,048 0,209) 0,146 L (95% CI: 0,067 0,226) og 0,177 L (95% CI: 0,099 0,255). I undersøgelse havde A alle fag i hver behandlingsgruppe (n = 282) FEV 1 AUC0-12H serielle spirometri-vurderinger, mens en undergruppe af forsøgspersoner (n = 125; vist i figur 1 og figur 2 nedenfor) havde udvidet FEV 1 AUC12-24H-vurderinger på dag 1 og 28.

Undersøgelse B var en randomiseret seks-vejs crossover-undersøgelse med 7-dages behandlingsperioder adskilt med 5-7-dages udvaskningsperioder. Undersøgelse B inkluderede Lonhala Magnair -doser af placebo 3 mcg 6,25 mcg 12,5 mcg og 50 mcg to gange dagligt med aclidiniumbromid 400 mcg bud som en aktiv kontrol.

De dose-ranging results from Study A og Study B supported the evaluation of Lonhala Magnair 25 mcg og 50 mcg twice-daily in the confirmatory KOLS trials. De results of Study A are reported in Figure 1 below.

Figur 1: Ls gennemsnitlig ændring fra baseline i FEV 1 (L) Over tid på dag 1 (undersøgelse A)

LS Mean Change from Baseline in FEV1 (L) Over Time on Day 1 (Study A) - Illustration

Figur 2: Ls gennemsnitlig ændring fra baseline i FEV 1 (L) Over tid på dag 28 (undersøgelse A)

LS Mean Change from Baseline in FEV1 (L) Over Time on Day 28 (Study A) - Illustration

Bekræftende undersøgelser

Dere were 2 confirmatory studies (Undersøgelse 1 og Undersøgelse 2) for Lonhala Magnair. Both studies were rogomized double-blind placebo-controlled parallel-group 12-week studies in subjects with KOLS designed to evaluate the efficacy of Lonhala Magnair on lung function. Dese studies treated subjects who had a clinical diagnosis of KOLS were 40 years of age or older had a history of smoking greater than or equal to 10 pack-years a post –bronchodilator FEV 1 mindre end eller lig med 80% af forudsagte og en FEV 1 /FVC -forholdet mindre end 0,7. Personer havde også allerede eksisterende eller samtidig hjerte-kar-sygdom og stabil baggrundslaba ± ICS og SAMA-brug var tilladt. Personer i undersøgelse 1 og undersøgelse 2 havde en gennemsnitlig alder på 63 år var primært mandlige (56%) kaukasiske (90%) og nuværende rygere (53%) med en gennemsnitlig rygehistorie på 52 pakkeår. Ved screening af den gennemsnitlige post-bronchodilatorprocent forudsagde FEV FEV 1 var 52% (interval: 20% til 80%) den gennemsnitlige post-bronchodilator procent FEV 1 /FVC var 54% (interval: 20% til 71%) og den gennemsnitlige procentdel reversibilitet var 18% (interval: -33% til 86%).

Undersøgelse 1 og undersøgelse 2 evaluerede Lonhala Magnair (glycopyrrolat) 25 mcg og 50 mcg to gange dagligt og placebo to gange dagligt. Det primære slutpunkt var ændringen fra baseline i truget fev 1 På dag 84 sammenlignet med placebo. Lonhala Magnair to gange dagligt demonstrerede en større stigning i LS-gennemsnitsændring fra baseline i Trough Fev 1 sammenlignet med placebo. Sammenlignet med Lonhala Magnair 25 mcg to gange dagligt Lonhala Magnair 50 mcg to gange dagligt gav det ikke tilstrækkeligt yderligere fordele på forskellige slutpunkter, herunder FEV 1 at understøtte brug af højere doser. Tabel 2 viser resultaterne fra undersøgelser 1 og 2 for Lonhala Magnair 25 mcg to gange dagligt.

Tabel 2. ls betyder ændring fra baseline i truget fev 1 (L) På dag 84 (ITT -befolkning*)

Behandling N Ændring fra baseline ls middelværdi (SE) Sammenligning Behandling Difference LS Betyde (SE) 95% der
Undersøgelse 1
Lonhala Magnair 25 mcg BUD 217 0.089
(NULL,014)
Lonhala Magnair -Placebo 0.096
(NULL,019)
0,059 0,133
Placebo 218 -0.008
(NULL,014)
Undersøgelse 2
Lonhala Magnair 25 mcg BUD 214 0.092
(NULL,014)
Lonhala Magnair -Placebo 0.081
(NULL,020)
0,042 0,120
Placebo 212 0.011
(NULL,015)
*Undersøgelsesresultater er fra en behandlingspolitisk strategi, der analyserer alle indsamlede data, herunder data for nogle patienter, der afbrød undersøgelsesbehandling før uge 12 og kan have modtaget anden KOLS -behandling, men blev fulgt. Analyser af effektivitetsdata målt kun under randomiseret blindet undersøgelsesbehandling viste lignende resultater.

I undersøgelse 1 blev serielle spirometriske evalueringer gennem det 12-timers doseringsinterval udført i en undergruppe af forsøgspersoner på dag 1 og dag 84. De spirometriske kurver fra undersøgelse 1 på dag 1 og dag 84 vises i figur 3 og figur 4.

Figur 3: Gennemsnitlig ændring fra baseline i FEV 1 (L) Over tid på dag 1 (substudy befolkning)

Mean Change from Baseline in FEV1 (L) Over Time on Day 1 (Substudy Population) - Illustration

Figur 4: Gennemsnitlig ændring fra baseline i FEV 1 (L) Over tid på dag 84 (substudy befolkning)

Mean Change from Baseline in FEV1 (L) Over Time on Day 84 (Substudy Population) - Illustration

De peak FEV 1 blev defineret som den højeste postdosis fev 1 Inden for de første 12 timer efter morgen dosering for hvert emne på henholdsvis dag 1 og 84 for den substudiepopulation.

De mean peak FEV 1 Forbedring fra baseline for Lonhala Magnair på dag 1 og på dag 84 i undergruppen af ​​forsøgspersoner var henholdsvis 0,228 L og 0,214 L (undersøgelse 1).

De St. George’s Respiratory Questionnaire (SGRQ) was assessed in Studies 1 og 2. In Undersøgelse 1 the SGRQ responder rate (defined as an improvement in score of 4 or more as threshold) for the Lonhala Magnair 25 mcg treatment arm was 51% compared to 40% for placebo [Odds Ratio:1.55; 95% der: 1.03 2.33]. In Undersøgelse 2 the SGRQ responder rate for the Lonhala Magnair 25 mcg treatment arm was 41% compared to 29% for placebo [Odds Ratio: 1.72; 95% der: 1.11 2.67].

Patientinformation til Lonhala Magnair

Lonhala Magnair
(Long-Hah-Luh Magg-Norir)
(glycopyrrolat) inhalationsopløsning til oral indånding af indånding

Vigtig: For oral inhalation only. Gør ikke Injekt eller sluge Lonhala -medicinen. Financyain vials are used only with the MAGNAIR device. Gør ikke use MAGNAIR with any other medicine.

Læs denne patientoplysninger, der følger med Lonhala Magnair, før du begynder at bruge dem, og hver gang du får en påfyldning. Der kan være nye oplysninger. Denne patientinformation indtager ikke stedet for at tale med din sundhedsudbyder om din medicinske tilstand eller behandling.

Hvad er Lonhala Magnair?

Lonhala Magnair is an Antikolinergisk medicine known as glycopyrrolat.

  • Antikolinergiske lægemidler som Lonhala Magnair hjælper musklerne omkring luftvejene i dine lunger med at forblive afslappede for at forhindre symptomer som hvæsende hoste brysttæthed og åndenød. Dette gør det svært at trække vejret.
  • Lonhala Magnair is used for maintenance treatment of Chronic Obstructive Pulmonary Disease (KOLS). KOLS is a long-term (chronic) lung disease that includes chronic bronchitis emphysema or both.
  • Lonhala Magnair is for long-term use og should be taken 2 times each day to improve symptoms of KOLS for better breathing.
  • Lonhala Magnair is not used to treat sudden symptoms of KOLS. Har altid en kortvirkende beta 2 -Anonist Medicine (Rescue Inhalator) med dig til at behandle pludselige symptomer på KOL. Hvis du ikke har en redningsinhalator, skal du kontakte din sundhedsudbyder for at få en ordineret til dig.
  • Lonhala Magnair should not be used in children. Det vides ikke, om Lonhala Magnair er sikker og effektiv hos børn yngre end 18 år.

Brug ikke Lonhala Magnair, hvis du:

  • er allergiske over for glycopyrrolat eller nogen af ​​ingredienserne i Lonhala Magnair. Spørg din sundhedsudbyder, om du ikke er sikker. Se hvad er ingredienserne i Lonhala Magnair? I slutningen af ​​denne patientinformationsbræt til en komplet liste over ingredienser i Lonhala Magnair.

Før du bruger Lonhala Magnair, fortæl din sundhedsudbyder om alle dine medicinske tilstande, herunder hvis du:

  • har nyreproblemer.
  • Har øjenproblemer såsom glaukom. Lonhala Magnair kan gøre din glaukom værre.
  • Har prostata- eller blæreproblemer eller problemer, der passerer urin. Lonhala Magnair kan gøre disse problemer værre.
  • er gravide eller planlægger at blive gravid. Det vides ikke, om Lonhala Magnair kan skade din ufødte baby.
  • er amning eller planlægger at amme. Det vides ikke, om medicinen i Lonhala Magnair passerer ind i din modermælk, og om det kan skade din baby. Du og din sundhedsudbyder skal beslutte, om du vil tage Lonhala Magnair eller amning.
  • er allergiske over for Lonhala Magnair eller nogen af ​​dens ingredienser eller andre medicin.

Fortæl din sundhedsudbyder om alle de medicin, du tager, inklusive Receptpligtig medicin og medicinske medicin og urtetilskud. Lonhala Magnair kan påvirke den måde, andre medicin fungerer på, og andre lægemidler kan påvirke, hvordan Lonhala Magnair fungerer. Brug af Lonhala Magnair med andre lægemidler kan forårsage alvorlige bivirkninger.

Fortæl især din sundhedsudbyder, hvis du tager antikolinergika (inklusive umeclidinium tiotropium ipratropium aclidinium glycopyrrolate).

Kend de medicin, du tager. Opbevar en liste over dine medicin med dig og vis den til din sundhedsudbyder og farmaceut, når du får en ny medicin.

Hvordan skal jeg bruge Lonhala Magnair?

Læs de trinvise instruktioner til brug af Lonhala Magnair i slutningen af ​​denne patient

Informationsbrættet og producentens instruktioner til brugshæfte. De Manufacturer’s Brug til brug booklet provides complete information about how to put together (assemble) prepare use care for og trouble-shoot your MAGNAIR nebulizer system.

  • Gør ikke Brug Lonhala Magnair, medmindre din sundhedsudbyder har lært dig, hvordan du bruger enheden, og du forstår, hvordan du bruger den korrekt.
  • Brug Lonhala Magnair nøjagtigt, som din sundhedsudbyder beder dig om at bruge den. Brug ikke Lonhala Magnair oftere end foreskrevet til dig.
  • Brug kun Lonhala -hætteglas med Magnair -enheden.
  • Gør ikke Injekt eller sluge Lonhala -medicinen.
  • Inhaler medicinen i 1 Lonhala Vial gennem Magnair -enheden 2 gange hver dag (1 hætteglas om morgenen og 1 hætteglas om aftenen) på samme tid hver dag.
  • Hvis du går glip af en dosis Lonhala Magnair, skal du tage din næste dosis på din sædvanlige tid.
    • Gør ikke Brug 2 hætteglas på 1 gang.
    • Gør ikke Brug mere end 2 hætteglas på en dag.
  • Gør ikke Stop med at bruge Lonhala Magnair eller andre medicin til at kontrollere eller behandle din KOLS, medmindre du får besked om at gøre det af din sundhedsudbyder, fordi dine symptomer kan blive værre. Din sundhedsudbyder ændrer dine medicin efter behov.
  • Ring til din sundhedsudbyder eller få akut medicinsk behandling med det samme, hvis Dine åndedrætsproblemer forværres med Lonhala Magnair, du har brug for at bruge din redningsmedicin oftere end normalt, eller din redningsinhalatormedicin fungerer ikke så godt for dig ved at lindre dine symptomer.

Hvad er de mulige bivirkninger af Lonhala Magnair?

Lonhala Magnair can cause serious side effects including:

  • Pludselig åndenød umiddelbart efter brug af Lonhala Magnair. Pludselig åndenød kan være livstruende. Hvis du har pludselige vejrtrækningsproblemer umiddelbart efter indånding af din medicin, skal du stoppe med at tage Lonhala Magnair og ringe til din sundhedsudbyder eller gå til det nærmeste hospitalets akutrum med det samme.
  • Alvorlige allergiske reaktioner. Stop med at bruge Lonhala Magnair og ring til din sundhedsudbyder, eller få akut medicinsk behandling med det samme, hvis du får nogen af ​​følgende symptomer på en seriøs allergisk reaktion:
    • udslæt
    • Hævelse af tunge læber og ansigt
    • elveblest
    • Besvær eller slukning
  • Nye eller forværrede øjenproblemer inklusive akut smalvinklet glaukom. Akut glaukom med smalvinklet kan forårsage permanent synstab, hvis den ikke behandles. Symptomer på akut smalvinklet glaukom kan omfatte:
    • øjesmerter eller ubehag
    • sløret vision
    • kvalme eller opkast
    • Røde øjne
    • At se haloer eller lyse farver omkring lys

Hvis du har nogen af ​​disse symptomer, skal du stoppe med at tage Lonhala Magnair og ringe til din sundhedsudbyder med det samme, før du bruger en anden dosis.

  • Nye eller forværrede problemer med at tømme din blære (urinretention). Mennesker, der bruger Lonhala Magnair, kan udvikle ny eller forværret urinretention. Urinopbevaring kan være forårsaget af en blokering i din blære. Urinretention kan også ske hos mænd, der har en større prostata end normal. Symptomer på urinretention kan omfatte:
    • Sværhedsgrad vandladning
    • tisser ofte
    • smertefuld vandladning
    • Tæk i en svag strøm eller drypp

Hvis du har nogen af ​​disse symptomer, skal du stoppe med at tage Lonhala Magnair og ringe til din sundhedsudbyder med det samme, før du tager en anden dosis.

Almindelige bivirkninger af Lonhala Magnair inkluderer åndenød og urinvejsinfektioner.

Dese are not all of the possible side effects of Lonhala Magnair.

Ring til din læge eller apotek for medicinsk rådgivning om bivirkninger. Du kan rapportere bivirkninger til FDA på 1-800-FDA-1088.

Hvordan skal jeg opbevare Lonhala Magnair?

  • Opbevar Lonhala hætteglas i den beskyttende foliepose ved stuetemperatur mellem 68 ° F og 77 ° F (20 ° C og 25 ° C).
  • Financyain vials should be used with the MAGNAIR device only. Gør ikke use MAGNAIR with any other medicine.

Efter åbning af den beskyttende foliepose skal ubrugte Lonhala -hætteglas returneres til og opbevares i den åbne foliepose. Når en foliepose er åbnet, skal du kaste hætteglassene, hvis de ikke bruges inden for 7 dage.

  • Et åbent Lonhala -hætteglas skal bruges med det samme.
  • Kast Lonhala Vial med det samme efter brug.
  • De medicine in the Financyain vial should be colorless. Throw away the Financyain vial if the medicine is not colorless.
  • Brug altid Magnair -udskiftningshåndsætningsdele, der følger med hver Lonhala Magnair Refill recept.
  • Hold Lonhala Magnair og alle medicin uden for børns rækkevidde.

Generel information om sikker og effektiv anvendelse af Lonhala Magnair.

Medicin er undertiden ordineret til andre formål end dem, der er anført i en patientoplysning. Brug ikke Lonhala Magnair til en betingelse, som den ikke blev ordineret til. Giv ikke Lonhala Magnair til andre mennesker, selvom de har de samme symptomer, du har. Det kan skade dem.

Du kan bede din sundhedsudbyder eller farmaceut om information om Lonhala Magnair, der er skrevet til sundhedsfagfolk.

Hvad er ingredienserne i Lonhala Magnair?

Aktiv ingrediens: glycopyrrolat

Inaktive ingredienser: Citronsyre monohydrat natriumchlorid natriumhydroxid og vand til injektion.

Brug til brug

Lonhala Magnair
(Long-Hah-Luh Magg-Norir)
(glycopyrrolat) inhalationsopløsning til oral indånding af indånding

Læs disse instruktioner til brugsselskab og producentens instruktioner til brugshæfte, før du begynder at bruge Lonhala Magnair, og hver gang du får en påfyldning. Der kan være nye oplysninger. Disse oplysninger indtager ikke stedet for at tale med din sundhedsudbyder om din medicinske tilstand eller behandling. Hvis du har spørgsmål, skal du stille din sundhedsudbyder eller apotek. Producentens instruktioner til brugshæfte giver komplette oplysninger om, hvordan man sammensætter (samler) Forbered brug af pleje til og fejlfinding af dit Magnair Nebulizer -system.

Din Lonhala Magnair:

Magnair er et forstøversystem, der skal bruges af patientens plejeperson eller sundhedsudbyder til at levere medicinen Lonhala. Lonhala Magnair consists of both the MAGNAIR nebulizer system og the medicine Financyain.

De following supplies come with your Lonhala Magnair:

Hvordan fungerer Vistaril for angst

Starter Kit: Folieposer, der indeholder 60 hætteglas af Lonhala (2 hætteglas af Lonhala i hver pose; 1 hætteglas pr. Dosis) instruktionsvideo og 1 Magnair Nebulizer -system med bærepose (inklusive producentens anvisninger til brugsjec og hurtig referencevejledning) (se figuren nedenfor).

Genopfyldesæt: Folieposer, der indeholder 60 hætteglas af Lonhala (2 hætteglas af Lonhala i hver pose; 1 hætteglas pr. Dosis) og 1 Magnair Refill -håndsæt (der kun indeholder disse udskiftningsdele: Medicineringshætte håndsæt kropsstykket og aerosolhoved; producentens instruktioner til brugsbok).

Vigtig: Kast de gamle håndsæt dele væk efter at have brugt 60 hætteglas af Lonhala og brug udskiftning af håndsæt dele i påfyldningssættet med de næste 60 hætteglas af Lonhala.

MAGNAIR Nebulizer system - Illustration

Vigtig: Kontroller, at dit Magnair Nebulizer -system fungerer korrekt, før du bruger Lonhala Magnair for første gang. Se producentens instruktioner til brug, der følger med dit Magnair Nebulizer -system.

Trin 1: Åbn batteridøren på controlleren. Placer tommelfingeren på den sorte fane på batteridøren og skubbe fanen fast for at åbne døren.

Trin til brug af batterier med Magnair

Open the battery door on the Controller. Place your thumb on the black tab of the battery door and firmly push the tab to open the door. - Illustration

Trin 2: Sæt 4 AA -batterier i controlleren som vist.

Put 4 AA batteries in the Controller as shown. - Illustration

Trin 3: Luk batteridøren. Du kan høre et klik.

Close the battery door. You may hear a Click. - Illustration

Vigtig: Sørg for at have et ekstra sæt batterier med dig på alle tidspunkter, hvis du vælger ikke at bruge AC -adapteren.

Trin til brug af vekselstrømsadapteren med Magnair

Plug the AC adapter into the Inlet on the battery door of the Controller.- Illustration

Trin 1: Sæt AC -adapteren i indløbet på batteridøren til controlleren.

Trin 2: Sæt vekselstrømsadapteren i stikkontakten.

Samling af din Magnair

Trin 1: Vask hænder.

Trin 2: Åbn toppen af ​​håndsætets krop ved at løfte låsen.

Open the top of the Handset body by lifting the clasp. - Illustration

Trin 3: Indsæt aerosolhovedet i håndsætets krop som vist. Gør ikke Rør ved midten af ​​aerosolhovedet. Bemærk, at aerosolhovedet har en lille fane på siden. Juster den lille fane med det matchende hak i håndsætets krop.

Insert the Aerosol head into the Handset body as shown. - Illustration

Trin 4: Luk håndsætets krop. Du kan høre et klik.

Close the Handset body. You may hear a Click. - Illustration

Trin 5: Fastgør mundstykket til håndsætets krop. Sørg for, at den blå ventil trykkes ned.

Attach the Mouthpiece to the Handset body. Make sure the Blue valve is pressed down. - Illustration

Trin 6: Tilslut controlleren til håndsætets krop ved hjælp af forbindelsestregen. Du kan høre et klik.

Connect the Controller to the Handset body using the Connection cord. You may hear a Click. - Illustration

Trin 7: Tilslut controlleren til håndsætets krop ved hjælp af forbindelsestraien som vist.

Connect the Controller to the Handset body using the Connection cord as shown. - Illustration

Brug af Lonhala Magnair

Trin 1: Åbn folieposen nok til at fjerne de 2 Lonhala -hætteglas og adskille dem. Returner 1 hætteglas til den åbnede foliepose og opbevares i den bærepose, der skal bruges ved den næste behandling. Kasser hætteglasset, hvis det ikke bruges inden for 7 dage.

Open the foil pouch enough to remove the 2 LONHALA vials and separate them. - Illustration

Trin 2: Indsæt et Lonhala -hætteglas i bunden af ​​medicinhætten, indtil den klikker.

Insert one LONHALA vial into the bottom of the Medication cap until it Clicks. - Illustration

Vigtig: Gør ikke Rør ved den del af det håndsætkrop, der gennemborer hætteglasset.

Do not touch the part of the Handset body that pierces the vial. - Illustration

Trin 3: Sørg for, at aerosolhovedet er installeret, før du vedhæfter medicinhætten, fordi din medicin kan lække, og at du ikke får din fulde behandling. Placer medicinhætten med Lonhala hætteglas på toppen af ​​håndsættet.

Place the Medication cap with LONHALA vial on the top of the Handset body. - Illustration

Trin 4: For at fastgøre medicinhætten til håndsætets krop drej medicinhætten i urets retning som vist, indtil du hører et klik. Hakket i medicinhætten (ved bunden af ​​åbningen) skal stille op med den blå linje på håndsætets krop.

To attach the Medication cap to the Handset body turn the Medication cap in a clockwise direction as shown until you hear a Click. The notch in the Medication cap (at the base of the opening) should line up with the blue line on the Handset body. - Illustration

Trin 5: Indsæt mundstykket i din mund.

Insert the Mouthpiece into your mouth. - Illustration

Vigtig: Gør ikke Vip håndsættet løsner eller fjern medicinhætten eller løsner håndsætets krop, indtil behandlingen er afsluttet, fordi du ikke får din fulde behandling.

Trin 6: Tryk på knappen ON/OFF for at tænde for controlleren som vist, og start din behandling.

Press the On/Off button to turn on the Controller as shown and start your treatment. - Illustration

Trin 7: Træk ind (inhaler) og indånder (udånder) normalt gennem mundstykket.

Breathe in (inhale) and breathe out (exhale) normally through the Mouthpiece. - Illustration

I slutningen af ​​din behandling vil du høre en biplyd, og controlleren lukkes automatisk. Din behandling skal tage ca. 2 til 3 minutter.

At the end of your treatment you will hear a beeping sound and the Controller will automatically shut off. Your treatment should take about 2 to 3 minutes. - Illustration

Rengøring af håndsættet

Trin 1: Frakobl håndsættet fra forbindelsesledningen.

Disconnect the Handset from the Connection cord. - Illustration

Trin 2: Drej medicinhætten i en retning mod uret som vist for at fjerne det fra håndsætets krop.

Turn the Medication cap in a counterclockwise direction as shown to remove it from the Handset body. - Illustration

Trin 3: Placer toppen af ​​medicinhætten i håndfladen og skub op som vist for at fjerne Lonhala -hætteglasset. Kast Lonhala -hætteglasset i affaldsbasket.

Place the top of the Medication cap into the palm of your hand and push up as shown to remove the LONHALA vial. - Illustration

Trin 4: Fjern mundstykket fra håndsætets krop ved at give det en blid drejning og træk for at adskille sig fra håndsættet.

Remove the Mouthpiece from the Handset body by giving it a gentle twist and pull to separate from the Handset body. - Illustration

Trin 5: Løsn den blå ventil forsigtigt fra spalten i mundstykket. Sørg for, at ventilen stadig er fastgjort på den ene side til mundstykket.

Carefully loosen the Blue valve from the slot in the Mouthpiece. - Illustration

Trin 6: Fjern aerosolhovedet fra håndsætets krop ved at løfte låsen på siden af ​​håndsættet som vist.

Gør ikke Rør ved midten af ​​aerosolhovedet.

Remove the Aerosol head from the Handset body by lifting the clasp on the side of the Handset body as shown. - Illustration

Trin 7: Set aside the Aerosol head to be cleaned separately (see Step 10). Skyl alle håndsæt dele godt med varmt rindende vand i cirka 10 sekunder.

Rinse all Handset parts well with warm running water for about 10 seconds. - Illustration

Trin 8: Vask alle håndsæt dele i varmt sæbevand (vand og klar flydende opvaskning sæbe) i cirka 10 sekunder.

Wash all Handset parts in warm soapy water (water and clear liquid dishwashing soap) for about 10 seconds. - Illustration

Trin 9: Skyl håndsættets dele godt med varmt rindende vand i cirka 10 sekunder for at fjerne al sæbe.

Rinse the Handset parts well with warm running water for about 10 seconds to remove all of the soap. - Illustration

Trin 10: Rengør aerosolhovedet ved hjælp af instruktionerne i trin 7 til 10.

10a. Skyl hver side af aerosolhovedet godt med varmt rindende vand i cirka 10 sekunder.

10b. Hold aerosolhovedet ved håndtaget og sving det frem og tilbage i det varme sæbevand i ca. 10 sekunder.

10c. Skyl derefter begge sider af aerosolhovedet godt med varmt rindende vand i cirka 10 sekunder på hver side.

Clean the aerosol head - Illustration

Skylning af aerosolhovedet godt hjælper med at forhindre tilstopning og sikre korrekt drift.

Trin 11: Undersøg alle håndsæt dele for at sikre, at de er helt rene. Hvis nogle håndsæt dele stadig er beskidte, blødes delene i varmt sæbevand i 5 minutter til. Skyl godt med varmt rindende vand, indtil håndsættets dele er rene.

Inspect all Handset parts to make sure they are completely clean. - Illustration

Ryst håndsæt dele for at fjerne overskydende vand. Lufttør alle håndsæt dele på et fnugfrit håndklæde.

Gør ikke Sæt håndsættets dele sammen, indtil de er klar til brug igen til din næste behandling af Lonhala.

Trin 12: Opbevar håndsætningsdelene i den leverede bærepose.

Store the Handset parts in the carrying bag provided. - Illustration

Advarsler og forholdsregler:

Undladelse af at følge advarslerne og forholdsreglerne nedenfor kan medføre alvorlig skade eller kan føre til død i nogle tilfælde:

  • Kontroller alle dele af din Lonhala Magnair for at sikre sig, at de er rene og ikke beskadigede.
  • Rengør håndsættet inden den første brug og efter hver brug. Hvis du ikke renser håndsættet efter hver brug, kan din behandling tage mere end 3 minutter.
  • Gør ikke Efterlad aerosolhovedet i dit håndsæt.
  • Gør ikke Vask controllerforbindelsestraien eller AC -adapteren.
  • Brug kun Klar flydende opvaskesæbe At vaske håndsættets dele. Gør ikke Brug enhver anden type sæbe.
    • Gør ikke Brug antibakteriel sæbe. Antibakteriel sæbe kan skade aerosolhovedet.
  • Gør ikke Brug en mikrobølgeovn til at tørre alle dele af din Lonhala Magnair.
  • Lad alle dele af din Lonhala Magnair lufttørre helt.

Brug til brug

Magnair ™
Nebulizer System Instructions til brug

Til brug med Lonhala ™ (glycopyrrolat) indåndingsløsning

Assembly required. LONHALA vials packaged separately. - Illustration

Forsamling krævet. Lonhala hætteglas pakket separat.

Advarsel

Læs og forstå disse Brug til brug og all safety precautions it contains. Improper use can cause serious or fatal injury/illness.

Advarsel

Læs og forstå den fulde patientinformation (PI) for information og advarsler relateret til Lonhala. PI er indeholdt i Lonhala -boksen.

A. Sikkerhedsforholdsregler

Dese Brug til brug contain information og safety precautions for MAGNAIRTM (MAGG-nair) Nebulizer System for use with FinancyainTM (lon-HAL-luh) (glycopyrrolat) Inhalation Solution.

Advarsel

Magnair er kun designet til brug med Lonhala. At reducere risikoen for alvorlig eller dødelig skade/sygdom Aldrig Brug andre medicin i Magnair. Læs og følg alle advarsler og instruktioner i instruktionerne til brug, inden du bruger denne enhed.

Gem disse Brug til brug til fremtidig reference.

Hvis du af en eller anden grund ikke forstår nogen del af disse brugsinstruktioner, bedes du kontakte Sunovion kundeservicelinie 1-888-394-7377, før du fortsætter med din behandling.

Bemærk specielt af alle markerede sikkerhedsforholdsregler Fare og Advarsel.

Vigtig information til brug

  • Amerikansk føderal lov begrænser denne enhed til salg af eller efter ordre af en læge.

Læs alle farer og advarsler, før du bruger.

Fares

For at reducere risikoen for alvorlig eller dødelig skade fra elektrokution:

  1. Gør ikke Sted eller opbevar Magnair, hvor det kan være i vand eller falde i vand (f.eks. I nærheden af ​​et badekar eller vask).
  2. Gør ikke Sted eller fald i vand eller anden væske. Gør ikke Brug under badning.

  3. Gør ikke Nå på Magnair, hvis det er faldet i vand eller anden væske. Hvis du bruger AC -adapter, skal du fjerne stikket.
  4. Hent Magnair først, efter at det er blevet frakoblet.

Advarsels

  1. De MAGNAIR Hogset is intended for Enkelt patientbrug kun. Del ikke Din Magnair med nogen anden.
  2. Magnair er kun designet til brug med Lonhala. At reducere risikoen for alvorlig eller dødelig skade/sygdom Aldrig Brug andre medicin i Magnair.
  3. Læs og følg alle advarsler og instruktioner i instruktionerne til brug, inden du bruger denne enhed.
  4. For at reducere risikoen for alvorlig eller dødelig skade fra elektricutionsbrandforbrændinger og for at reducere risikoen for skader og funktionsfejl på enheden:
    1. Gør ikke Overbelastning af vægudgange eller brug forlængelsestilter.
    2. Hold alle elektriske ledninger væk fra opvarmede overflader.
    3. Gør ikke Sprøjtningsvæsker på controllerens hus. Væske kan forårsage skade på de elektriske dele og kan føre til en funktionsfejl. I tilfælde af, at væsker kommer ind i controlleren, kontakt Sunovion kundeservicelinje (1-888-394-7377).
    4. Gør ikke Slip eller indsæt ethvert objekt i enhver åbning på Magnair.
    5. Gør ikke Betjen, hvor ilt administreres i et lukket miljø, såsom et ilttelt.
  5. Frakobl altid dette produkt fra AC -strøm umiddelbart efter brug og før rengøring.
  6. Advarsels

  7. Før brug Kontroller din controller og håndsæt for korrekt samling. Alle dele skal være tilsluttet og fast på plads. Brug af en forkert samlet Magnair kan mindske eller eliminere effektiviteten af ​​behandlingen.
  8. Brug kun Adaptere og tilbehør, der er autoriseret til Magnair. Brug af ikke -godkendte adaptere og tilbehør kan føre til forkert behandlingsskade eller skade på controlleren.
  9. Aldrig Betjen controlleren, hvis den er forkert eller ufuldstændigt samlet eller beskadiget.
    Hvis du har mistanke om, at enten situation, skal du ringe til Sunovion kundeservicelinje (1-888-394-7377).
  10. Aldrig Betjen Magnair hvis:
    1. Det har beskadigede ledninger eller stik;
    2. Det fungerer ikke korrekt;
    3. Indersiden af ​​controlleren er blevet udsat for væsker.
  11. For at opretholde effektiviteten af ​​Magnair skal du fjerne aerosolhovedet fra Magnair-håndsætets krop og rent og lufttørre alle Magnair-håndsæt dele efter hver behandling. Følg instruktionerne i Afsnit F At rengøre Magnair -håndsættet korrekt.
  12. Rengøring af Magnair -håndsættet korrekt vil hjælpe med at forhindre, at aerosolhovedet tilstoppes. Hvis aerosolhovedet bliver tilstoppet, kan aerosolmistet reduceres eller stoppes, hvilket kan øge forstøvningstiden (op til 15 minutter) og/eller formindske effektiviteten af ​​behandlingen. Gør ikke Stop Behandling Indtil Magnair slukker.
  13. Dette produkt indeholder små dele, der kan udgøre en kvælningsfare for små børn.
    De MAGNAIR AC -adapter og Connection cord also presents a strangulation hazard.
  14. Nært tilsyn er nødvendigt, når dette produkt bruges i nærheden af ​​børn eller det fysisk eller mentalt nedsat.
  15. Gør ikke Tillad kæledyr i nærheden af ​​forbindelsesledningen eller vekselstrømsadapteren, som de kan tygge på og beskadige dem.
  16. Gør ikke Brug din Magnair under kørsel eller i enhver situation, der fjerner din fulde opmærksomhed.
  17. Gør ikke Demonter den blå controller til enhver tid. Der er ingen brugers brugbare dele inde i controlleren. Kontakt Sunovion kundeservicelinje (1-888-394-7377) for hjælp.
  18. Gør ikke Brug alkohol til rengøring og desinfektion. Nogle dele vil blive beskadiget af alkohol.
  19. De Financyain vial is for single use only og must not be reused refilled or used in any other device.
  20. Brug kun AC -adaptere og tilbehør, der er autoriseret af Pari. Brug af ikke -godkendte adaptere eller tilbehør kan føre til forkert behandlingsskade eller årsag/modtage interferens, der fører til skade på controlleren.
  21. Gør ikke Ændre controlleren uden tilladelse fra producenten.
  22. Gør ikke Brug controlleren i områder, der er udsat for forhøjet elektromagnetisk eller elektrisk stråling, såsom en MR -scanner eller kirurgisk udstyr med høj frekvens.
  23. Gør ikke Placer controlleren i nærheden af ​​andre medicinske udstyr under drift, medmindre begge enheder konstant overvåges for at sikre, at begge fungerer korrekt.
  24. Gør ikke Brug controlleren inden for 30 cm (30 cm) fra bærbare trådløse kommunikationsenheder, såsom mobiltelefoner eller antennekabler eller eksterne antenner.
  25. Gør ikke Brug controlleren i nærheden af ​​fly- eller togkontrolsystemer. Begrænse kun brug til passagerområder. Brug ikke ombord på fly.
  26. Gør ikke Brug controlleren i nærheden af ​​anti-tyveri-systemer og radiofrekvensidentifikation (RFID) læsere, der bruges i en lang række indstillinger, herunder butikkers biblioteker og hospitaler. Tænd ikke på controlleren, når du passerer gennem sikkerhedsscreening eller tyveri beskyttelse (RFID) systemer ved indgange eller udgange af butikkers biblioteker eller hospitaler. Bemærk, at nogle indgangs- og udgangssikkerhedssystemer ikke er synlige.

Tekniske elektromagnetiske kompatibilitetsdata er tilgængelige i tabelformat efter anmodning fra Pari Pharma GmbH eller på Internettet på https://www.pari.com/fileadmin/electromagnetic-compatibility-4.pdf.

B. Kom godt i gang

Kontroller for at sikre dig, at du har alle følgende Magnair -dele og bliver fortrolig med, hvordan du identificerer hvert stykke. Hvis der mangler dele, skal du ringe til Sunovion kundeservicelinje (1-888-394-7377).

Se fig. B1.

Fig. B1 Magnair Nebulizer System

MAGNAIR Nebulizer System - Illustration

Financyain vials packaged separately.

C. Trin til brug af batterier eller vekselstrømsadapter med Magnair

Magnair er designet til at blive brugt med AA -batterier eller med vekselstrømsadapteren.

Trin til brug af batterier med Magnair

Fire (4) AA -batterier af høj kvalitet giver cirka 2 ugers behandling.

C1. Åbn batteridøren På controlleren ved at placere tommelfingeren på den sorte fane på batteridøren og skubbe fanen fast for at åbne døren. Bemærk, at batteridøren er designet til at have en tæt pasform. Se fig. C1.

Fig. C1 Åbn batteridøren til controlleren.

Open the battery door of the Controller. - Illustration

C2. Indlæs batterierne.

Hvert batterikammer har en lille figur, der viser den rette placering af hvert batteri. Brug af batteritips som guider og startende venstre til højre indsæt batterierne: spids spids i spids tip i Se fig. C2.

Fig. C2 indlæser batterierne.

Load the batteries. - Illustration

C3. Luk batteridøren.

For at lukke batteridøren skal du skubbe den lukket, indtil du hører den klik på plads. Se fig. C3.

NOTE: Genopladelige og engangsbatterier varierer betydeligt med hensyn til opbevaringstid og output. Hvis der udelukkende bruges batterier, har en driftsliv på ~ 2 uger baseret på engangs -batterier af høj kvalitet, der opfylder de specifikationer, der er anført i Afsnit H og following the cleaning procedure described in Afsnit F .

For at reducere risikoen for batterilækage anbefales det at fjerne batterierne, hvis du planlægger at opbevare controlleren i mere end 30 på hinanden følgende dage.

Hvis du vælger ikke at bruge AC -adapteren, anbefales det stærkt at have et ekstra sæt batterier med dig på alle tidspunkter.

Fig. C3 Luk batteridøren til controlleren.

Close the battery door of the Controller. - Illustration

Trin til brug af vekselstrømsadapteren med Magnair

De AC -adapter will automatically adjust to the incoming voltage. De AC -adapter will power MAGNAIR with og without installed batteries.

C4. Sæt AC -adapteren i controlleren.

For at forbinde AC -adapteren til controlleren skal du placere controlleren på en flad stabil overflade.

De inlet is located on the underside of the black battery door. Push the round end of the AC -adapter cord into the inlet. Gør ikke Prøv at indsætte AC -adapteren i den blåfarvede del af controlleren. Se fig. C4-C5.

C5. Sæt vekselstrømsadapteren i stikkontakten.

NOTE: the AC -adapter will not charge the batteries in the Controller. Se fig. C4-C5.

Fig. C4-C5 tilslutter AC-adapteren i indløbet på den sorte batteridør til controlleren. Sæt derefter vekselstrømsadapteren i stikkontakten.

Plug the AC adapter into the inlet on the black battery door of the Controller. - Illustration

D. Montering af din Magnair

Dine håndsæt dele (medicinhætte aerosolhoved håndsæt krop og mundstykke) udskiftes, når du modtager din næste forsyning med Lonhala. Kasser dine gamle håndsæt dele, og brug de nye håndsæt dele hver gang du får et Lonhala Magnair Refill Kit.

Advarsel

Rengør håndsættet inden den første brug og efter hver brug. (Se Afsnit F .) Kontroller alle håndsætdele for at sikre, at de er rene og ikke beskadigede. Gør ikke Forlad aerosolhovedet i håndsætets krop efter brug og Gør ikke Brug beskidte eller beskadigede dele, fordi dette kan forringe håndsættets funktion.

D1. Vask hænder.

D2. Åbn toppen af ​​håndsætets krop.

Løft låsen på toppen af ​​håndsætets krop lidt, og vend den op for at åbne. Se fig. D2.

Fig. D2 Åbn håndsætets krop.

Open the Handset body. - Illustration

D3. Indsæt aerosolhovedet ind i håndsættet som vist, skal du passe på Ikke at røre ved midten af ​​aerosolhovedet. Hold aerosolhovedet som om du ville holde en lille stegepande, så sølvtekstsiden vender opad, og den brune ring vender ned. Bemærk, at aerosolhovedet har en lille fane på siden. Juster den lille fane med det matchende hak i håndsætets krop. Se fig. D3.

Fig. D3 Indsæt aerosolhovedet i håndsætets krop. Rør ikke ved midten af ​​aerosolhovedet.

Insert the Aerosol head into the Handset body. Do not touch the center of the Aerosol head. - Illustration

D4. Luk håndsættets krop Sørg for, at aerosolhovedet indsættes korrekt, og fanen er på linje med hakket og niveauet med håndsætets krop. Du kan høre et klik. Hvis du ikke lukker dit håndsætkrop helt eller justerer aerosolhovedet korrekt, kan din medicin lække, og du får ikke din fulde behandling. Se fig. D4.

Gør ikke force the top of the Hogset body closed. If the top of the Hogset body cannot close (no Click is heard) make sure that the Aerosol head is seated correctly og level.

Fig. D4 Luk håndsætets krop.

Close the Handset body. - Illustration

D5. Fastgør mundstykket til håndsætets krop. Sørg for, at den blå ventil presses ned i spalten på mundstykket og er placeret på toppen af ​​mundstykket, inden du fastgør mundstykket på håndsætets krop. Se fig. D5.

Fig. D5 Fastgør mundstykket.

Attach the Mouthpiece. - Illustration

D6a. Tilslut controlleren til håndsætets krop ved hjælp af forbindelsestregen.

  • Den ene ende af forbindelsesledningen har et blåt runde stik. Indsæt forbindelsesledningen i indløbet på den blå side af controlleren. Skub forbindelsesledningen så vidt den vil gå. Du hører muligvis et let klik, hvis det indsættes korrekt. Se fig. D6A.

Fig. D6A. Tilslut forbindelsestregen TE -controlleren.

Connect the Connection cord te the Controller. - Illustration

D6b. Tilslut controlleren til håndsætets krop ved hjælp af forbindelsestraien som vist.

  • De other end of the Connection cord is blue og gray. Insert the Connector (with gray mark facing up) into the Hogset body as far as it will go ensuring the gray mark on the Connection cord lines up with the blue mark on the Hogset body.
  • Kontroller, at enderne af forbindelsesledningen er fuldt indsat i controlleren og håndsættet. Hvis de ikke er håndsættet, fungerer muligvis ikke korrekt. Se fig. D6B.

Fig. D6B Tilslut den anden ende af forbindelsesledningen til håndsætets krop.

Connect the other end of the Connection cord to the Handset body. - Illustration

E. Brug af Lonhala Magnair

E1. Med rene hænder åbner folieposen nok til at fjerne de 2 Lonhala -hætteglas.

Adskilles manuelt ved at dreje de 2 Lonhala -hætteglas fra hinanden og returner 1 hætteglas tilbage til den åbne foliepose og opbevares i den bærepose, der skal bruges ved den næste behandling. Kasser hætteglasset, hvis det ikke bruges inden for 7 dage. Se fig. E1.

Advarsel

Magnair vil kun operere med hætteglas, der indeholder Lonhala. Forsøg ikke at bruge nogen anden type medicin med din Magnair eller bruge hætteglassene i nogen anden type enhed.

Fig. E1 Fjern Lonhala -hætteglassene og adskill dem.

Remove the LONHALA vials and separate them. - Illustration

E2. Indsæt 1 Lonhala hætteglas i medicinhætten.

De Medication cap has a top og a bottom. Insert a Financyain vial with the flat tab first through the bottom of the Medication cap og press it in as far as it will go. You should hear a Click if the Financyain vial was inserted correctly. Se fig. E2.

Du skal være i stand til at høre et klik, når Lonhala -hætteglasset indsættes korrekt.

Fig. E2 Indsæt Lonhala -hætteglasset i bunden af ​​medicinhætten, indtil den klikker.

Insert the LONHALA vial into the bottom of the Medication cap until it Clicks. - Illustration

E3. Forbered dig på at tilslutte medicinhætten. Gør ikke Rør ved den del af det håndsætkrop, der gennemborer Lonhala -hætteglasset. Se fig. E3A.

Sørg for, at aerosolhovedet er installeret, før du vedhæfter medicinhætten, fordi din medicin kan lække, og at du ikke får din fulde behandling.

Placer medicinhætten med Lonhala -hætteglasset oven på håndsætets krop. Se fig. E3B.

Drej medicinhætten i urets retning. Når du drejer medicinhætten, åbnes Lonhala Vial, og du skal høre et klik. Hakket (ved bunden af ​​åbningen) i medicinhætten skal stille op med den blå linje på håndsætets krop. Se fig. E3c.

Fig. E3A rører ikke den del, der gennemborer hætteglasset.

Do not touch the part that pierces the vial. - Illustration

Fig. E3B Placer medicinhætten med Lonhala -hætteglas oven på håndsætets krop.

Place the Medication cap with LONHALA vial on top of the Handset body. - Illustration

Fig. E3c Drej medicinhætten på håndsætets krop, indtil du hører et klik.

Turn the Medication cap onto the Handset body until you hear a Click. - Illustration

Advarsel

Gør ikke Løsn eller fjern medicinhætten eller løsnet håndsættet, indtil behandlingen er afsluttet, fordi din medicin kan lække, og du får ikke din fulde behandling.

E4. Indsæt mundstykket i din mund.

  • Sid i en opretstående position og slap af. Dette gør indånding lettere.
  • Hold håndsætets krop med din hånd, placer derefter mundstykket i munden, og forsegle dine læber omkring det.
  • Gør ikke Vip håndsættet. Sørg for, at håndsættet er niveau.
  • Gør ikke Dæk den blå ventil med dine læber.
  • Gør ikke Løsn eller fjern medicinhætten, indtil din behandling er afsluttet, fordi din medicin kan lække, og du får ikke din fulde behandling. Se fig. E4.

Fig. E4 Indsæt mundstykket i munden. Tilt ikke håndsættet.

Insert the Mouthpiece into your mouth. Do not tilt the Handset. - Illustration

E5. Tænd for controlleren.

  • Tryk på knappen ON/OFF for at starte din behandling.
  • Et grønt LED -lys ved siden af ​​ON/OFF -knappen lyser op, og en enkelt Bip vil blive hørt for at indikere korrekt funktion. Se fig. E5.

Fig. E5 Tænd for controlleren.

Turn on the Controller. - Illustration

E6. Træk ind (inhaler) og indånder (udånder) normalt gennem mundstykket.

De Mouthpiece should remain in your mouth throughout the treatment period.

Gør ikke breathe through your nose.

Mens du udånder, kan du se den blå klapløft og en eller anden tåge flygte. Se fig. E6.

  • Fortsæt med at indånde og udånde gennem mundstykket, indtil controlleren bip og lukker af.
  • For at sætte din behandling på pause tryk på Theon/Off -knappen. For at fortsætte din behandling skal du trykke på knappen ON/OFF igen. Se fig. E5.

Fig. E6 Inhalerer og udånder normalt.

Inhale and exhale normally. - Illustration

E7. Ved afslutningen af ​​behandlingen lukkes controlleren automatisk.

Når al medicin er leveret, vil du høre 2 bip, det grønne LED -lys slukker, og controlleren lukkes automatisk.

Din behandling skal tage 2 til 3 minutter. Se fig. E7.

Fig. E7 Din behandling skal tage ca. 2 til 3 minutter.

Your treatment should take about 2 to 3 minutes. - Illustration

Advarsel

Hvis du ikke renser håndsættets dele efter hver brug af din behandlingstid, kan det tage mere end 3 minutter. Hvis behandlingen tager længere end 3 minutter, skal du fortsætte med din behandling, indtil controlleren lukker for at sikre dig, at du får din fulde behandling.

F. Rengøring af håndsættet

Advarsel

At sikre korrekt drift og for at reducere risikoen for alvorlig eller dødelig skade/sygdom.

Vigtig: Rinse og clean the MAGNAIR Hogset parts after every use. Use Klar flydende opvaskesæbe. Gør ikke Brug hvid opvaskesæbe (f.eks. Elfenben eller due) eller antibakterielle flydende opvaskesæber, da disse kan indeholde tilsætningsstoffer, der er skadelige for aerosolhovedet. Gør ikke Efterlad aerosolhovedet i dit håndsæt. Gør ikke Vask controllerforbindelsestraien eller AC -adapteren.

Forsigtighed

  • Gør ikke Sæt Magnair -dele i en mikrobølgeovn.
  • Gør ikke Rengør Magnair -delene i en opvaskemaskine.
  • Gør ikke Rengør aerosolhovedet og håndsættets dele med børster eller slibemidler.

Rengøring af håndsættet

F1. Frakobl håndsættet fra forbindelsesledningen . Se fig. F1.

Fig. F1 Frakobl håndsættet.

Disconnect the Handset. - Illustration

F2. Drej medicinhætten i en retning mod uret, som det er vist for at fjerne fra håndsætets krop. Se fig. F2.

Fig. F2 Fjern medicinhætten.

Remove the Medication cap. - Illustration

F3. Fjern Lonhala -hætteglasset.

Placer toppen af ​​medicinhætten i håndfladen og skub op som vist for at fjerne Lonhala -hætteglasset.

Kast Lonhala -hætteglasset i affaldsbasket. Se fig. F3.

Fig. F3 Fjern Lonhala -hætteglasset.

Remove the LONHALA vial. - Illustration

F4. Fjern mundstykket Fra håndsætets krop ved at give det en blid vri og træk for at adskille sig fra håndsætets krop. Se fig. F4.

Fig. F4 Fjern mundstykket.

Remove the Mouthpiece. - Illustration

F5. Løsn den blå ventil. Løsn den blå ventil forsigtigt fra spalten i mundstykket. Sørg for, at ventilen stadig er fastgjort på den ene side til mundstykket. Se fig. F5.

Fig. F5 løsner den blå ventil.

Loosen the blue valve. - Illustration

F6. Fjern aerosolhovedet Fra håndsætets krop ved at løfte låsen på siden af ​​håndsættet. Fjern derefter aerosolhovedet ved at løfte håndtaget.

Gør ikke Rør ved midten af ​​aerosolhovedet. Se fig. F6.

Sæt aerosolhovedet til side for at rengøres separat i trin F10.

Fig. F6 Fjern aerosolhovedet fra håndsætets krop. Rør ikke ved midten af ​​aerosolhovedet.

Remove the Aerosol head from the Handset body. Do not touch the center of the Aerosol head. - Illustration

F7. Skylle Hver af de adskilte håndsæt dele godt under varm (over 105 ° F) løbende vand fra hanen. (ca. 10 sekunder). Se fig. F7.

Fig. F7 skyl alle håndsæt dele med varmt rindende vand i cirka 10 sekunder.

Rinse all Handset parts with warm running water for about 10 seconds. - Illustration

F8. Vask alle håndsæt dele I varm (over 105 ° F) sæbevand fremstillet ved at tilføje et par dråber (~ ¼ tsk) af klar flydende opvaskning sæbe i en skål (~ 1 kvart) rent varmt vand fra hanen. Svør håndsættets dele rundt i sæbevandet for at rengøre. Se fig. F8.

  • Gør ikke Vask forbindelsestregulatoren og AC -adapteren.
  • Gør ikke Brug hvid opvaskesæbe eller antibakteriel fig. F8 håndsæber, fordi de kan tilstoppe aerosolhovedet.
  • Gør ikke Brug en børste eller slibemiddel til at rengøre nogen af ​​håndsætningsdelene, fordi det kan skade dem.

Fig. F8 Vask alle håndsæt dele i varmt sæbevand i ca. 10 sekunder.

Wash all Handset parts in warm soapy water for about 10 seconds. - Illustration

F9. Skyl håndsættets dele godt under at køre varmt ledningsvand (ca. 10 sekunder). Se fig. F9.

Fig. F9 skyl håndsæt dele godt med varmt rindende vand i cirka 10 sekunder.

Rinse Handset parts well with warm running water for about 10 seconds. - Illustration

F10. Rengør aerosolhovedet efter instruktionerne i trin 7 til 10.

10a. Skylle Begge sider af aerosolhovedet med varmt rindende vand i ca. 10 sekunder på hver side.

10b. Vask Aerosolhovedet ved at holde håndtaget og svæve det frem og tilbage i det varme sæbevand i cirka 10 sekunder.

10c. Skylle Begge sider af aerosolhovedet med varmt rindende vand i ca. 10 sekunder på hver side.

Skylning af aerosolhovedet godt hjælper med at forhindre tilstopning og sikrer korrekt drift.

Fig. 10A Skyl aerosolhoved med varmt rindende vand i ca. 10 sekunder.

10A Rinse Aerosol head with warm running water for about 10 seconds. - Illustration

Fig. 10b Vask aerosolhoved i varmt sæbevand i ca. 10 sekunder.

10B Wash Aerosol head in warm soapy water for about 10 seconds. - Illustration

Fig. 10C Skyl aerosolhoved med varmt rindende vand i ca. 10 sekunder.

10C Rinse Aerosol head with warm running water for about 10 seconds. - Illustration
  • Gør ikke Tilsæt opvaskevæske direkte på aerosolhovedet Tilsæt kun til vand.
  • Gør ikke Brug en børste eller slibemiddel til at rengøre aerosolhovedet, fordi det kan skade den.

F11. Undersøg alle håndsæt dele For at sikre, at de er helt rene. Hvis nogle håndsæt dele stadig er beskidte, blødes delene i varmt sæbevand i 5 minutter til. Skyl godt med varmt rindende vand, indtil det er rent.

Advarsel

Forurening og fugt kan påvirke aerosolhovedet og tilskynde til vækst af bakterier.

Derefore it is important to remove the Aerosol head from the Hogset body og clean the Hogset parts after every use. If Hogset parts are still dirty after cleaning then soak og rinse as described in step F11.

F12. Lufttør alle håndsæt dele.

Fjern overskydende vand ved at ryste alle dele. Placer alle håndsætdele på en tør ren fnugfrit håndklæde, og lad dem lufttørre. Gør ikke Tør ved hjælp af et papirhåndklæde.

Gør ikke Rør ved midten af ​​aerosolhovedet. See Fig. F12.

Fig. F12 lufttør alle håndsæt dele.

F12 Air-dry all Handset parts. - Illustration

F13. Opbevar demonterede håndsæt dele.

Efter at håndsættets dele er helt tørt, skal du placere dem i den medfølgende bærepose eller et tørt støvfrit miljø til opbevaring.

Gør ikke Sæt håndsættets dele sammen, indtil de er klar til brug igen til din næste behandling af Lonhala.

Advarsel

Et fugtigt miljø tilskynder til vækst af bakterier. Sørg for, at alle håndsætningsdele er tørret korrekt.

  • Sørg for, at controlleren er væk. Fjern forbindelsestraien og vekselstrømsskabinet fra controlleren.
  • Fjern vekselstrømsadapteren fra vægstikket.
  • Rengør controlleren, der huser forbindelsesledningen og vekselstrømsadapteren med en fugtig klud.

Advarsel

  • Aldrig let the Controller come in contact with water og never use cleaning agents.
  • Hvis væske kommer ind i controlleren, skal du kontakte Sunovion-kundeservicelinjen (1-888-394-7377).

G. Fejlfinding

Controller -feedback -indikatorer

Controller hørbart signal Controller visuelt signal Betingelser Krævet handling
1 1 Kort bip ved starten af ​​dosis. Solid grøn LED i varighed af dosis. Normal: Generering af aerosolmist ingen fejl, der er registreret. Ingen handling kræves. Magnair er på og fungerer korrekt.
2 1 Kort bip ved starten af ​​dosis. Blinkende orange-grøn LED. Lav batteri strøm. Udskift batterier eller brug AC -adapter.
3 1 Kort bip ved starten af ​​dosis efterfulgt af et 2-tone bip. Grøn LED efterfulgt af blinkende orange-grøn og lukker derefter af. Ingen forbindelse detekteret. Kontroller forbindelsen mellem controlleren og håndsættet.
To bip opstod umiddelbart efter start. Kontroller for at bekræfte, at et Lonhala -hætteglas er indsat, og håndsættet er lukket korrekt.
Intet lægemiddel detekteret. To-tone bip forekom 10-30 sekunder efter start. Vip håndsættet fra side til side og tryk derefter på håndsættet for at fjerne Lonhala og genstarte controlleren.
4 1 kort bip. LED starter grønt, bliver derefter orange og lukker af. Behandling interrupted. De Controller On/Off button has been intentionally or unintentionally pressed. Tryk på knappen Controller til/fra for at genoptage behandlingen.
5 2 korte bip. LED blinker grønt i 2 sekunder og lukker derefter af. Normal: slutningen af ​​dosis. Ingen handling kræves. Lonhala Vial indhold er tomt.
6 2-tone bip. LED blinker orange-grøn. Maksimal forstøvningstid nået (15 minutter). Aerosolhoved tilstoppet. Tryk på/fra for at genoptage behandlingen, hvis der stadig er medicin. Rengør aerosolhovedet.

Potentielle fejl og mulige årsager / beslutninger

Fejl Fejl Possible Causes / Resolutions
1 Magnair kan ikke tændes - ingen grøn LED og intet bip. Ingen magt
De batteries are discharged. Replace them or use the AC -adapter.
De batteries are not inserted correctly. Remove batteries og reinsert following diagram on the battery compartment.
De AC -adapter is not connected correctly. Check the wall connection og the Controller connection.
2 De LED flashes orange-green there is a 2-tone Bip og the Controller turns off. Ingen forbindelse mellem håndsæt og controller
Kontroller forbindelsen mellem controlleren og håndsættet.
3 Ingen aerosoltåge vises, når Magnair først er tændt, eller Magnair slukker efter et par sekunder. Lav effekt
Kontroller for dårlige batterier.
Manglende eller forkert indsættelse/samling af Lonhala Vial
Bekræft, at der er indsat et nyt Lonhala -hætteglas.
Tap Magnair lidt for at flytte væsken til bunden af ​​Lonhala -hætteglasset. Hvis aerosoltåge stadig ikke genereres, efter at Magnair er genstartet, er Lonhala -hætteglasset muligvis ikke gennemboret eller er tom. Udskift hætteglasset, hvis det er tomt.
Hvis der er modtaget delvis dosis, skal du kontakte din sundhedsudbyder for instruktioner.
4 De indicator light (LED) flashes orange-green during operation. Lav batteri strøm
Udskift batterierne, eller brug vekselstrømmen.
5 Mist vises, men controlleren slukker for tidligt. Lav batteri strøm
Udskift batterierne, eller brug vekselstrømmen.
De Hogset was not being held upright
Hold håndsættet lodret, og tryk på knappen til/fra.
Utilstrækkelig medicin
Hvis der er modtaget delvis dosis, og/eller medicinsk spild, skal du ringe til din sundhedsudbyder.
Hvis håndsættet er brudt og/eller lukker ikke korrekt, ring Sunovion kundeservice korrekt (1-888-394-7377).
6 Magnair slukker ikke automatisk. Sluk Magnair ved at trykke på knappen ON/OFF.
7 Aerosol Mist slipper kontinuerligt i store mængder fra åbningsspalterne i medicinhætten. Forkert håndsæt samling. Kontroller, at håndsættet er samlet korrekt, og den blå ventilklap skubbes ned.
8 De Medication cap will not close. Financyain vial is not seated properly. Press the Financyain vial base toward the cap until you hear it snap into place.
LONHALA vial is not seated properly. Press the LONHALA vial base toward the cap until you hear it snap into place. - Illustration
9 De Financyain vial has been inserted incorrectly. Hvis Lonhala -hætteglasset er indsat forkert, skal de følgende trin udføres:
  1. Åbn medicinhætten.
  2. Hvis Lonhala -hætteglas er blevet åbnet, skal du kaste Lonhala Vial skylning og tørre håndsættets dele, indsæt et nyt hætteglas.
  3. Hvis Lonhala -hætteglasset ikke er blevet åbnet, skal du placere medicinhætten tilbage på håndsættet og dreje medicinhætten, der indeholder dit Lonhala -hætteglas med uret, indtil den klikker, genstarter derefter din behandling ved at trykke på knappen til/fra.
10 Stigende eller lang indåndingstid. 1 Behandling time may vary up to 15 minutes if the Aerosol head has become clogged. De Aerosol head may be clogged. Clean the Aerosol head by soaking it in soapy water for 5 minutes og rinse both sides well ( Afsnit F ).
11 Øverst på håndsættet er blevet løsrevet fra bunden af ​​håndsættet. Line op på hængselsdelen på toppen af ​​håndsætets krop med hængselsdelen af ​​bunden af ​​håndsætets krop. Tryk fast, indtil delene klikker sammen. Du skal høre et klik.
Line up the hinge part on the top of the Handset body with the hinge portion of the bottom of the Handset body. Press firmly until the parts snap together. You should hear a Click. - Illustration
1 Hvis fejlen ikke kan fjernes efter at have fulgt disse trin, skal du ringe til Sunovion kundeservicelinje (1-888-394-7377) med det samme.

H. Specifikationer

Elektrisk

AC -adapter
Input
Produktion
Batterier
Engang
Genopladelig

Operationel

Temperatur
Relativ fugtighed (ikke-kondensering)
Lufttryk
Aerosolproduktion
Aerosolproduktion

MEKANISK

Magnair håndsæt vægt uden medicin
Magnair Controller vægt (med batterier)
Nebulisator Dimensions (W X H X D)
Controller -dimensioner

Transport / opbevaring

Temperatur
Relativ fugtighed (ikke-kondensering)
Lufttryk

Håndsætmaterialer

Polypropylen polyoxymethylen polyamid silikone rustfrit stål termoplastiske elastomerer.

Indeholder ikke nogen naturgummi (latex).

Bortskaffelse

De MAGNAIR parts og batteries must be thrown away in accordance with local (state county or municipal) regulations.

Præstationsegenskaber

Financyain (glycopyrrolat) Inhalation Solution 25 mcg/mL Betyde 1 95% konfidensområde 2
Leveret dosis ved åndedrætssimulering (MCG) 14.20 11.11-17.29
Leveret dosis ved åndedrætssimulering (% etiketkrav) 56.80 44.45–69.16
Person 3 (μm) NGI 4 3.71 2.92–4.49
Grove partikler (dia.> 5 um) af NGI (MCG) 5.83 2.32–9.33
Grove partikler (dia.> 5 um) af NGI i % af leveret dosis 27.72 11.20–44.24
Fine partikler (dia. ≤5 μm) af NGI (MCG) 15.20 11.46–18.93
Fine partikler (dia. ≤5 μm) af NGI i % af leveret dosis 72.28 55,77–88,79
Ekstra-fine partikler (dia. <1 μm) Af nngi (mcg) 0.11 0,03–0,20
Ekstra-fine partikler (dia. <1 μm) Af nngi in % of Delivered Dose 0.55 0,15–0,94
GSD 5 Af nngi 1.66 1,49–1,83
1 n = 15 enheder fra 3 enhedspartier; 5 testede enheder pr. Lægemiddelprodukt batch x 3 batches lægemiddelprodukt
2 95% konfidensområde: Two-sided tolerance interval Proportion of total population=0.95 Confidence (1- Alpha)=0.95
3 Person: Mass Median Aerodynamic Diameter
4 NGI: Next Generation Impactor
5 GSD: Geometric Stogard Deviation

Denne brugsanvisning er godkendt af U.S. Food and Drug Administration.

Hvorfor brænder gærinfektionscreme