Oplysningerne På Webstedet Er Ikke Medicinsk Rådgivning. Vi Sælger Ikke Noget. Nøjagtigheden Af ​​Oversættelsen Er Ikke Garanteret. Ansvarsfraskrivelse



C-R-fartøj

Resume af lægemiddeloversigt

Hvad er Bicillin C-R?

Bicillin C-R (Penicillin G benzathin og penicillin G Procaine) Injicerbar suspension er et antibiotikum, der bruges til at behandle mange forskellige typer af alvorlige infektioner, herunder Strep og Staph-infektioner Diphtheria meningitis gonoré og syfilis. Bicillin C-R bruges også til at forhindre infektioner i hjerteklapperne hos mennesker med visse hjertesygdomme, der har brug for tandlægearbejde eller kirurgi.

Hvad er bivirkninger af bicillin C-R?

C-R-fartøj



  • elveblest
  • Besvær
  • Hævelse af dine ansigtslæber tunge eller hals
  • ledssmerter
  • kulderystelser
  • Smerter følelsesløshed prikkende brændende eller føler sig kold
  • Bleg eller plettet hud
  • Blåfarvede læber fingre eller tæer
  • Alvorlig smerte prikkende svaghed eller hævelse i underbenet
  • Svaghed i dine arme eller ben
  • Blærende skrælning af misfarvning eller smertefulde hudændringer, hvor medicinen blev injiceret
  • Alvorlig mavesmerter
  • Diarré, der er vandig eller blodig (selvom det forekommer måneder efter sidste dosis)
  • Lightheadedness
  • langsom hjerterytme
  • svag puls
  • besvimende
  • langsom vejrtrækning
  • PUNKING HJERDEBESKRIVNINGER
  • Fladere i dit bryst
  • forvirring
  • Agitation
  • Hallucinationer
  • ekstrem frygt
  • anfald
  • Varme rødme blødning af en klump eller hud ændres, hvor medicinen blev injiceret
  • let blå mærker eller blødning
  • Bleg eller gulnet hud
  • Mørk farvet urin
  • vandladningsproblemer
  • feber
  • kulderystelser
  • Mundsår
  • varme eller rødme under din hud og
  • Vaginal kløe eller udflod

Få medicinsk hjælp med det samme, hvis du har nogen af ​​de symptomer, der er anført ovenfor.



Almindelige bivirkninger af bicillin C-R inkluderer:

  • reaktioner på injektionsstedet (smerter med at hævde blå mærker eller en hård klump)
  • kvalme
  • opkast
  • sløret vision
  • Ringer i dine ører
  • hovedpine
  • svimmelhed eller
  • Skinudslæt.

Fortæl din læge, hvis du har alvorlige bivirkninger af bicillin C-R inklusive:



  • Alvorlig smerte eller skrælende hud på injektionsstedet
  • led eller muskelsmerter
  • åndenød
  • svimmelhed
  • Vision ændres
  • Hurtig/langsom/bankende hjerteslag
  • følelsesløshed eller prikken af ​​våben eller ben
  • Smerter/rødme/hævelse af våben eller ben
  • Ændring i hudfarve nær injektionssted eller på arme eller ben
  • ukontrollerede bevægelser
  • manglende evne til at bevæge sig
  • Ændring i mængden af ​​urin
  • Nye tegn på infektion (f.eks. Feber vedvarende ondt i halsen)
  • let blå mærker eller blødning
  • ekstrem træthed
  • Mørk eller overskyet urin
  • anfalds or
  • Mental/humørændringer (f.eks. Depression Agitation).

Søg medicinsk behandling eller ring 911 på én gang, hvis du har følgende alvorlige bivirkninger:

  • Alvorlige øjensymptomer såsom pludseligt synstab sløret synet tunnel vision øje smerter eller hævelse eller at se haloer omkring lys;
  • Alvorlige hjertesymptomer såsom hurtig uregelmæssige eller bankende hjerteslag; flagrende i brystet; åndenød; og pludselig svimmelhed letthed eller udlevering;
  • Alvorlig hovedpine forvirring sløret talearm eller ben svaghed problemer med at gå tab af koordination føles ustabil meget stive muskler høj feber voldsom sved eller rysten.

Dette dokument indeholder ikke alle mulige bivirkninger, og andre kan forekomme. Kontakt din læge for yderligere oplysninger om bivirkninger.

Dosering til bicillin C-R

Bicillin C-R er givet ved injektion under lægeovervågning. Dosis af bicillin C-R bestemmes af den type infektion, patientens aldersvægt og respons på behandlingen.

Hvilke lægemiddelstoffer eller kosttilskud interagerer med bicillin C-R?

Bicillin C-R kan interagere med probenecid blodfortyndere methotrexat eller tetracyclin-antibiotika. Fortæl din læge alle medicin og kosttilskud, du bruger.

Bicillin C-R under graviditet eller amning

Fortæl din læge, hvis du er gravid eller planlægger at blive gravid under behandling med Bicillin C-R; Det forventes ikke at være skadeligt for et foster. Bicillin C-R passerer ind i modermælk. Kontakt din læge inden amning.

Yderligere oplysninger

Vores bicillin C-R (Penicillin G benzathin og penicillin G Procaine) Injicerbar suspension bivirkninger Drug Center giver et omfattende overblik over tilgængelige lægemiddelinformation om de potentielle bivirkninger, når man tager denne medicin.

FDA -lægemiddelinformation

ADVARSEL

Ikke til intravenøs brug. Injicerer ikke intravenøst ​​eller administrer med andre intravenøse opløsninger. Der har været rapporter om utilsigtet intravenøs administration af penicillin g benzathin, som har været forbundet med kardiorespiratorisk arrestation og død. Før administration af dette lægemiddel læste omhyggeligt ADVARSELS Bivirkninger og Dosering og administration sektioner af mærkningen.

Beskrivelse af bicillin CR

Bicillin C-R (penicillin G benzathin og penicillin G Procaine injicerbar suspension) indeholder lige store mængder af benzathin- og procaine-salte af penicillin G. Det er tilgængeligt til dyb intramuskulær injektion.

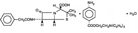
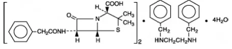
Penicillin G benzathin fremstilles ved reaktionen af ​​dibenzylethylendiamin med to molekyler af penicillin G. Det betegnes kemisk som (2 S 5 R 6 R ) -33-dimethyl-7-oxo-6- (2- phenylacetamido) -4-thia-1-azabicyclo [3.2.0] Heptan-2-carboxylsyreforbindelse med Nn ' - Dibenzylethylenediamin (2: 1) tetrahydrat. Det forekommer som et hvidt krystallinsk pulver og er meget lidt opløseligt i vand og sparsomt opløselig i alkohol. Dens kemiske struktur er som følger:

Penicillin G Procaine (2 S 5 R 6 R )-33-Dimethyl-7-oxo-6-(2-phenylacetamido)-4-thia-1- azabicyclo[3.2.0]heptane-2-carboxylic acid compound with 2-(diethylamino)ethyl paminobenzoate (1:1) monohydrate is an equimolar salt of procaine and penicillin G. It occurs as white Krystaller eller et hvidt mikrokrystallinsk pulver og er lidt opløseligt i vand. Dens kemiske struktur er som følger:

Hver engangssprøjte (2 ml størrelse) indeholder ækvivalent med 1200000 enheder penicillin G, der omfatter: ækvivalenten af ​​600000 enheder af penicillin G som benzathinsalt og ækvivalent med 600000 enheder af penicillin G som Procaine -salt i et stabiliseret vandig suspension med Sodium citrat buffer; og som w/v ca. 0,5% lecithin 0,55% carboxymethylcellulose 0,55% povidon 0,1% methylparaben og 0,01% propylparaben.

Bicillin C-R injicerbar suspension i den disponible-syringe-formulering er viskøs og uigennemsigtig.

Læse Kontraindikationer ADVARSELS FORHOLDSREGLER og Dosering og administration sektioner inden brug.

Bruger til bicillin CR

For at reducere udviklingen af ​​lægemiddelresistente bakterier og opretholde effektiviteten af ​​bicillin CR og andre antibakterielle lægemidler skal bicillin C-R kun anvendes til behandling eller forhindring af infektioner, der er bevist eller stærkt mistænkt for at være forårsaget af bakterier. Når information om kultur og følsomhed er tilgængelige, skal de overvejes ved valg eller ændring af antibakteriel terapi. I mangel af sådanne data kan lokal epidemiologi og følsomhedsmønstre bidrage til det empiriske udvalg af terapi.

Dette lægemiddel er indikeret i behandlingen af ​​moderat alvorlige infektioner på grund af penicillin-gsusceptable mikroorganismer, der er modtagelige for serumniveauer, der er fælles for denne særlige doseringsform. Terapi skal styres af bakteriologiske undersøgelser (inklusive følsomhedstest) og ved klinisk respons.

Bicillin C-R er indikeret i behandlingen af ​​følgende hos voksne og pædiatriske patienter:

Moderat alvorlige til alvorlige infektioner i den øverste respiratoriske kanl-feber erysipelas og hud- og bløddelsinfektioner på grund af modtagelige streptokokker.

Note

Streptokokker i grupper A C G H L og M er meget følsomme over for penicillin G. Andre grupper, herunder gruppe D (enterococci), er resistente. Penicillin G natrium eller kalium anbefales til streptokokkinfektioner med bakteræmi.

Moderat svær lungebetændelse og otitis medier på grund af modtagelige Streptococcus pneumoniae.

Note

Alvorlig lungebetændelse Empyema bakteræmi pericarditis meningitis peritonitis og arthritis af pneumokokketiologi behandles bedre med penicillin G natrium eller kalium i det akutte stadium.

Når der kræves høje vedvarende serumniveauer, skal penicillin g natrium eller kalium enten IM eller IV anvendes. Dette lægemiddel bør ikke bruges til behandling af veneriske sygdomme, herunder syfilis gonorrhea yaws bejel og pinta.

Dosering for Bicillin CR

Streptokokkinfektioner Group

Infektioner i den øvre respiratoriske kanalhud og blødvævsinfektioner skarlagensfeber og erysipelas.

Følgende doser anbefales:

Voksne og pædiatriske patienter over 60 kg. I vægt: 2400000 enheder.

Pædiatriske patienter fra 30 til 60 lbs.: 900000 enheder til 1200000 enheder.

Pædiatriske patienter under 30 kg.: 600000 enheder.

Note

Behandling med den anbefalede dosering gives normalt på en enkelt session ved hjælp af flere IM -steder, når det er angivet. En alternativ doseringsplan kan bruges til at give halvdelen (1/2) den samlede dosis på dag 1 og en halv (1/2) på dag 3. Dette vil også sikre, at den penicillinæmi kræves over en 10-dages periode; Imidlertid bør denne alternative tidsplan kun bruges, når lægen kan være sikker på patientens samarbejde.

Pneumokokkinfektioner (undtagen pneumokokk meningitis)

600000 enheder hos pædiatriske patienter og 1200000 enheder hos voksne gentages hver 2. eller 3 dage, indtil temperaturen er normal i 48 timer. Andre former for penicillin kan være nødvendige for alvorlige tilfælde.

Administrationsmetode

Bicillin C-R er kun beregnet til intramuskulær injektion. Injicer ikke i eller i nærheden af ​​en arterie eller nerve eller intravenøst ​​eller bland med andre intravenøse opløsninger. (Se ADVARSELS afsnit).

Administrer ved dyb intramuskulær injektion i den øverste ydre kvadrant af balderen (dorsogluteal) eller det anterolaterale lår (ventrogluteal). Hos nyfødte kan spædbørn og små børn det midlaterale aspekt af låret foretrækkes. Når doser gentages, varierer injektionsstedet.

På grund af den høje koncentration af suspenderet materiale i dette produkt kan nålen blokeres, hvis injektionen ikke foretages i en langsom stabil hastighed.

Parenterale lægemiddelprodukter skal inspiceres visuelt for partikler og misfarvning inden administration hver gang løsning og containertilladelse.

Hvor leveret

Bicillin C-R (Penicillin G benzathin og penicillin g Procaine injicerbar suspension) leveres i pakker med 10 engangssprøjter som følger:

2 ml størrelse indeholdende 1200000 enheder pr. Sprøjte (21 gauge tyndvæg 1 tommer nål til pædiatrisk brug) NDC 60793-601-10.

2 ml størrelse indeholdende 1200000 enheder pr. Sprøjte (21 gauge tyndvæg 1-1/2 tommer nål) NDC 60793-600-10.

Opbevares i køleskab 2 ° til 8 ° (36 ° til 46 ° F).

Bliv ved med at fryse.

5 år Mirena IUD bivirkninger

Distribueret af: Pfizer Inc New York NY 10017. Revideret: Aug 2019

Bivirkninger for Bicillin CR

Som med andre penicilliner vil uheldige reaktioner af følsomhedsfænomenerne sandsynligvis forekomme, især hos individer, der tidligere har demonstreret overfølsomhed over for penicilliner eller hos dem med en historie med allergi astma høfeber eller urticaria.

Følgende er rapporteret med parenteral penicillin G:

Generel: Overfølsomhedsreaktioner inklusive følgende: hududbrud (makulopapulær til eksfoliativ dermatitis) urticaria laryngeal ødem feber eosinophilia; Andre serumsyge-lignende reaktioner (inklusive kulderystelsesødemsarthralgi og udmattelse); og anafylaksi inklusive chok og død. Bemærk: urticaria Andre hududslæt og serumsyge-lignende reaktioner kan kontrolleres med antihistaminer og om nødvendigt systemiske kortikosteroider. Hver gang sådanne reaktioner forekommer, skal penicillin g ophidses, medmindre den vil behandles, medmindre lægen, der behandles, er livstruende og kun tilgængelig for terapi med penicillin G. Alvorlige anafylaktiske reaktioner kræver øjeblikkelig akutbehandling med epinephrin. Oxygen intravenøse steroider og luftvejsstyring inklusive intubation bør også administreres som angivet.

Gastrointestinal: Pseudomembranøs colitis. Indtræden af ​​pseudomembranøse colitis -symptomer kan forekomme under eller efter antibakteriel behandling. (Se ADVARSELS afsnit.)

Hæmatologisk: Hemolytisk anæmi leukopeni trombocytopeni.

Neurologisk: Neuropati.

Urogenital: Nefropati.

Følgende bivirkninger er midlertidigt forbundet med parenterale administrationer af penicillin g benzathin:

Krop som helhed: Overfølsomhedsreaktioner inklusive allergisk vaskulitis kløe træthed astheni og smerte; forværring af eksisterende lidelse; hovedpine.

Kardiovaskulær: Hjertestop; hypotension; takykardi; hjertebanken; pulmonal hypertension; lungeemboli; vasodilation; vasovagal reaktion; cerebrovaskulær ulykke; Synkope.

Gastrointestinal: Kvalme opkast; blod i afføring; tarmnekrose.

Hemisk og lymfatisk: Lymfadenopati.

Injektionssted: Reaktioner på injektionsstedet inklusive smertebetændelse klump abscess nekrose ødemblødning cellulitis overfølsomhed atrofi ecchymose og hudsår. Neurovaskulære reaktioner inklusive varme vasospasme -blødding med gangren -følelsesløshed i ekstremiteterne cyanose i ekstremiteterne og neurovaskulære skader.

Metabolisk: Forhøjet Bun Creatinine og SGOT.

Muskuloskeletal: Fælles lidelse periostitis; forværring af gigt; myoglobinuria; Rhabdomyolyse.

Nervesystem: Nervøsitet; rysten; svimmelhed; Somnolence; forvirring; angst; euphoria; tværgående myelitis; anfald; koma. Et syndrom, der manifesteres af en række CNS -symptomer, såsom alvorlig agitation med forvirring af forvirring og auditive hallucinationer og en frygt for forestående død (Hoignes syndrom) er rapporteret efter administration af penicillin g Procaine og mindre almindeligt efter injektion af kombinationen af ​​penicillin g benzathin og penicillin g procaine. Andre symptomer forbundet med dette syndrom, såsom psykosebeslag, svimmelhed tinnitus cyanose -hjertebanken takykardi og/eller unormal opfattelse i smag kan også forekomme.

Respiratorisk: Hypoxia; apnø; dyspnø.

Hud: Diaphorese.

Særlige sanser: Sløret syn; blindhed.

Urogenital: Neurogen blære; hæmaturi; proteinuri; nyresvigt; impotens; Priapisme.

Lægemiddelinteraktioner for Bicillin CR

Tetracyclin Et bakteriostatisk antibiotikum kan modvirke den bakteriedræbende virkning af penicillin og samtidig anvendelse af disse lægemidler bør undgås.

Samtidig administration af penicillin og probenecid øges og forlænger serumpenicillinniveauer ved at reducere det tilsyneladende distributionsvolumen og bremse udskillelseshastigheden ved konkurrerende inhibering af renal tubulær sekretion af penicillin.

Patienter, der administreres lokalbedøvelse, har en øget risiko for at udvikle methemoglobinæmi, når de samtidig udsættes for følgende lægemidler, der kan omfatte andre lokale anæstetika:

Eksempler på medikamenter forbundet med methemoglobinæmi:

Klasse Eksempler
Nitrater/nitriter nitroglycerin nitroprusside nitrogenoxid nitrogenoxid
Lokale anæstetika Articaine benzocaine bupivacaine lidocaine mepivacaine prilocaine procaine ropivacaine tetracaine
Antineoplastiske midler Cyclophosphamid flutamid hydroxyurea ifosfamid Rasburicase
Antibiotika Dapsone nitrofurantoin paraaminosalicylsyre sulfonamider
Antimalarials Chlorokin primaquin
Anticonvulsiva phenobarbital natrium valproat
Andre stoffer acetaminophen metoclopramid kininsulfasalazin

Advarsler for Bicillin CR

Ikke til intravenøs brug. Injicerer ikke intravenøst ​​eller administrer med andre intravenøse opløsninger. Der har været rapporter om utilsigtet intravenøs administration af penicillin g benzathin, som har været forbundet med kardiorespiratorisk arrestation og død. Før administration af dette lægemiddel læste omhyggeligt ADVARSELS Bivirkninger og Dosering og administration sektioner af mærkningen.

Kombinationen af ​​penicillin G benzathin og penicillin G Procaine bør kun ordineres til de indikationer, der er anført i dette indsats.

Anafylaksi

Der er rapporteret om alvorlige og lejlighedsvis dødelige overfølsomhed (anafylaktiske) reaktioner hos patienter på penicillinbehandling. Disse reaktioner er mere tilbøjelige til at forekomme hos personer med en historie med penicillin -overfølsomhed og/eller en historie med følsomhed over for flere allergener. Der har været rapporter om individer med en historie med penicillin -overfølsomhed, der har oplevet alvorlige reaktioner, når de behandles med cephalosporiner. Før der initierer terapi med bicillin C-R omhyggelig undersøgelse bør foretages om tidligere overfølsomhedsreaktioner på penicilliner cephalosporiner eller andre allergener. Hvis der opstår en allergisk reaktion, skal bicillin C-R afbrydes og passende terapi indført. Alvorlige anafylaktiske reaktioner kræver øjeblikkelig akutbehandling med epinephrin. Oxygen intravenøse steroider og luftvejsstyring inklusive intubation bør også administreres som angivet.

Methemoglobinæmi

Tilfælde af methemoglobinæmi er rapporteret i forbindelse med lokalbedøvelsesbrug. Selvom alle patienter er i fare for methemoglobinæmi-patienter med glukose-6-phosphatdehydrogenase-mangel medfødt eller idiopatisk methemoglobinæmi hjerte eller lungepromitterende spædbørn under 6 måneders alder og samtidigt eksponering for oxidationsmidler eller deres metabolitter er mere modtagelige for at udvikle kliniske manifferationer i betingelsen. Hvis der skal anvendes lokalbedøvelsesmidler til disse patienter, der er tæt på overvågning af symptomer og tegn på methemoglobinæmi.

Tegn på methemoglobinæmi kan forekomme øjeblikkeligt eller kan blive forsinket nogle timer efter eksponering og er kendetegnet ved en cyanotisk misfarvning af hud og/eller unormal farve af blodet. Methemoglobinniveauer kan fortsætte med at stige; Derfor kræves øjeblikkelig behandling for at afværge mere alvorlige centralnervesystem (CNS) og kardiovaskulære bivirkninger, herunder anfald koma arytmier og død. Afbryd bicillin C-R og andre oxidationsmidler. Afhængig af sværhedsgraden af ​​tegn og symptomer kan patienter muligvis reagere på understøttende pleje, dvs. iltbehandlingshydrering. En mere alvorlig klinisk præsentation kan kræve behandling med methylenblå udvekslingstransfusion eller hyperbar ilt.

Clostridium difficile I forbindelse med diarré (CDAD) er rapporteret ved anvendelse af næsten alle antibakterielle midler, herunder bicillin C-R og kan variere i sværhedsgrad fra mild diarré til dødelig colitis. Behandling med antibakterielle midler ændrer den normale flora i tyktarmen, der fører til overvækst af C. vanskelig.

C. vanskelig Producerer toksiner A og B, der bidrager til udviklingen af ​​CDAD. Hypertoxinproducerende stammer af C. vanskelig Årsag øget sygelighed og dødelighed, da disse infektioner kan være ildfaste over for antimikrobiel terapi og kan kræve kolektomi. CDAD skal overvejes hos alle patienter, der præsenterer med diarré efter antibiotisk brug. Omhyggelig medicinsk historie er nødvendig, da CDAD er rapporteret at forekomme over to måneder efter administration af antibakterielle midler.

Hvis CDAD er mistænkt eller bekræftes ved løbende antibiotikamisbrug, der ikke er rettet mod C. vanskelig kan være nødvendigt at afbryde. Passende væske- og elektrolytstyringsproteintilskud Antibiotikabehandling af C. vanskelig og surgical evaluation should be instituted as clinically indicated.

Administrationsmetode

Injicer ikke i eller i nærheden af ​​en arterie eller nerven.

Injektion i eller i nærheden af ​​en nerve kan resultere i permanent neurologisk skade.

Utilsigtet intravaskulær administration, herunder utilsigtet direkte intra-arteriel injektion eller injektion umiddelbart ved siden af ​​arterier af bicillin C-R og andre penicillinpræparater, har resulteret i alvorlige neurovaskulære skader, herunder tværgående myelitis med permanent lamyse-vandhøjde, der kræver amputation af cifre og mere proximale dele af ekstremiteterne og nekrosen og slog ved og omgivende nedskæring. Der er rapporteret om sådanne alvorlige effekter efter injektioner i områderne bagdellår og deltoid. Andre alvorlige komplikationer af mistænkt intravaskulær administration, som er rapporteret, inkluderer øjeblikkelig bleklagermord eller cyanose i ekstremiteten både distal og proximal til injektionsstedet efterfulgt af BLEB -dannelse; Alvorligt ødem, der kræver anterior og/eller posterior rum fasciotomi i den nedre ekstremitet. De ovennævnte alvorlige effekter og komplikationer har ofte forekommet hos spædbørn og små børn. Hurtig konsultation med en passende specialist er angivet, om der opstår et bevis på kompromis med blodforsyningen ved proximal til eller distalt til injektionsstedet. 1-9 (Se FORHOLDSREGLER og Dosering og administration sektioner.)

Injicerer ikke intravenøst ​​eller administrer med andre intravenøse opløsninger. Der har været rapporter om utilsigtet intravenøs administration af penicillin g benzathin, som har været forbundet med kardiorespiratorisk arrestation og død. (Se Dosering og administration afsnit.)

Quadriceps femoris fibrose og atrofi er rapporteret efter gentagne intramuskulære injektioner af penicillinpræparater i det anterolaterale lår.

Forholdsregler for Bicillin CR

Generel

Det er usandsynligt, at ordinering af bicillin C-R i fravær af en bevist eller stærkt mistænkt bakterieinfektion eller en profylaktisk indikation giver fordel for patienten og øger risikoen for en udvikling af lægemiddelresistente bakterier.

Penicillin skal bruges med forsigtighed hos personer med historier om betydelige allergier og/eller astma.

Der skal udvises omhu for at undgå intravenøs eller intra-arteriel administration eller injektion i eller i nærheden af ​​større perifere nerver eller blodkar, da sådanne injektioner kan producere neurovaskulær skade. (Se ADVARSELS og Dosering og administration sektioner.)

En lille procentdel af patienterne er følsomme over for Procaine. Hvis der er en historie med følsomhed, skal du foretage den sædvanlige test: injicere intradermalt 0,1 ml af en 1 til 2 procent Procaine -opløsning. Udvikling af en erythema hvalflare eller udbrud indikerer procain -følsomhed. Følsomhed bør behandles ved de sædvanlige metoder, herunder barbiturater og procaine penicillinpræparater, bør ikke anvendes. Antihistaminer forekommer fordelagtige ved behandling af procaine -reaktioner.

Anvendelsen af ​​antibiotika kan resultere i overvækst af ikke -optagelige organismer. Konstant observation af patienten er vigtig. Hvis der vises nye infektioner på grund af bakterier eller svampe under terapi, skal lægemidlet afbrydes og passende foranstaltninger truffet.

Hver gang der forekommer allergiske reaktioner, skal penicillin trækkes tilbage, medmindre den af ​​den læge, der behandles, er livstruende og kun tilgængelig for penicillinbehandling.

I langvarig terapi med penicillin og især med højdoseringsplaner anbefales periodisk evaluering af nyre- og hæmatopoietiske systemer.

Laboratorieundersøgelser

Ved streptokokkinfektioner skal terapi være tilstrækkelig til at eliminere organismen; Ellers kan efterfølgeren af ​​streptokokk sygdom forekomme. Kulturer bør tages efter afslutningen af ​​behandlingen for at afgøre, om streptokokker er blevet udryddet.

Graviditet

Reproduktionsundersøgelser udført i musens rotte og kanin har ikke afsløret noget bevis for nedsat fertilitet eller skade på fosteret på grund af penicillin G. menneskelig oplevelse med penicillinerne under graviditeten har ikke vist nogen positive bevis for bivirkninger på fosteret. Der er dog ingen tilstrækkelige og godt kontrollerede undersøgelser af gravide kvinder, der viser endeligt, at skadelige virkninger af disse lægemidler på fosteret kan udelukkes. Fordi dyreproduktionsundersøgelser ikke altid er forudsigelige for menneskelig respons, skal dette lægemiddel kun bruges under graviditet, hvis det er klart nødvendigt.

Sygeplejerske mødre

Opløselig penicillin g udskilles i modermælk. Der skal udvises forsigtighed, når penicillin g benzathin og penicillin g Procaine administreres til en sygeplejekvinde.

Karcinogenese mutagenese nedskrivning af fertilitet

Der er ikke udført nogen langvarige dyreforsøg med disse lægemidler.

Pædiatrisk brug

(Se Indikationer og Dosering og administration sektioner.)

Geriatrisk brug

Kliniske undersøgelser af penicillin G benzathin og penicillin G Procaine inkluderede ikke tilstrækkeligt antal forsøgspersoner i alderen 65 år og derover for at afgøre, om de reagerer forskelligt fra yngre forsøgspersoner. Andre rapporterede kliniske erfaringer har ikke identificeret forskelle i responser mellem de ældre og yngre patienter. Generelt skal valg af dosis for en ældre patient være forsigtig, der normalt starter ved den lave ende af doseringsområdet, der afspejler den større hyppighed af nedsat leverrenal eller hjertefunktion og af samtidig sygdom eller anden lægemiddelterapi. Det er kendt, at dette lægemiddel er væsentligt udskilt af nyrerne, og risikoen for toksiske reaktioner på dette lægemiddel kan være større hos patienter med nedsat nyrefunktion (se Klinisk farmakologi ). Fordi ældre patienter er mere tilbøjelige til at have nedsat nyrefunktionspleje, bør udtages i dosisudvælgelse, og det kan være nyttigt at overvåge nyrefunktionen.

Er der en generisk for flonase

Referencer

1. Shaw E.: Transverse myelitis fra injektion af penicillin. Er. J. Dis. Barn. 111: 548 1966.

2. Knowles J.: Utilsigtet intra-arteriel injektion af penicillin. Er. J. Dis. Barn. 111: 552 1966.

3. Darby C. et al: Iskæmi efter en intragluteal injektion af benzathin-procaine penicillin G-blanding i en et år gammel dreng. Clin. Pædiatri 12: 485 1973.

4. Brown L. Bue. Surg. 94: 652 1967.

5. Borenstine J.: Transverse myelitis og penicillin (korrespondance). Er. J. Dis. Barn. 112: 166 1966.

6. Atkinson J.: Transverse myelopati sekundær til penicillininjektion. J. Pediatrics 75: 867 1969.

7. Talbert J. et al: Gangren af ​​foden efter intramuskulær injektion i det laterale lår: en sagsrapport med anbefalinger til forebyggelse. J. Pediatrics 70: 110 1967.

8. Fisher T.: Medicolegal Affairs. dosis betyder. Assoc. J. 112: 395 1975.

9. Schanzer H. et al: Utilsigtet intra-arteriel injektion af penicillin G. Top 242: 1289 1979.

Overdoseringsoplysninger til bicillin CR

Penicillin i overdosering har potentialet til at forårsage neuromuskulær hyperirritabilitet eller krampagtig anfald.

Kontraindikationer for bicillin CR

En tidligere overfølsomhedsreaktion på enhver penicillin eller for prokaine er en kontraindikation.

Klinisk farmakologi for Bicillin CR

Generel

Penicillin G benzathin og penicillin G Procaine har en lav opløselighed, og dermed frigøres lægemidlerne langsomt fra intramuskulære injektionssteder. Lægemidlerne hydrolyseres til penicillin G. Denne kombination af hydrolyse og langsom absorption resulterer i blodserumniveauer meget lavere, men mere langvarig end andre parenterale penicilliner.

Intramuskulær administration af 600000 enheder af bicillin C-R hos voksne producerer normalt maksimale blodniveauer på 1,0 til 1,3 enheder pr. Ml inden for 3 timer; Dette niveau falder til en gennemsnitlig koncentration på 0,32 enheder pr. Ml ved 12 timer 0,19 enheder pr. Ml ved 24 timer og 0,03 enheder pr. Ml efter syv dage.

Intramuskulær administration af 1200000 enheder af bicillin C-R hos voksne producerer normalt maksimale blodniveauer på 2,1 til 2,6 enheder pr. Ml inden for 3 timer; Dette niveau falder til en gennemsnitlig koncentration på 0,75 enheder pr. Ml ved 12 timer 0,28 enheder pr. Ml ved 24 timer og 0,04 enheder pr. Ml efter syv dage.

Cirka 60% af penicillin G er bundet til serumprotein. Lægemidlet er fordelt over hele kropsvævet i vidt forskellige mængder. Højeste niveauer findes i nyrerne med mindre mængder i leverhuden og tarmen. Penicillin G trænger ind i alt andet væv og rygmarvsvæske i mindre grad. Med normal nyrefunktion udskilles lægemidlet hurtigt ved rørformet udskillelse. Hos nyfødte og unge spædbørn og hos personer med nedsat nyrefunktion er udskillelse af nyrefunktionen betydeligt forsinket.

Mikrobiologi

Handlingsmekanisme

Penicillin G udøver en bakteriedræbende virkning mod penicillin-følsomme mikroorganismer i stadiet af aktiv multiplikation. Det virker gennem inhibering af biosyntese af celle-væg peptidoglycan, der gør cellevæggen osmotisk ustabil, hvilket resulterer i død af bakterien.

Modstand

Penicillin er ikke aktiv mod penicillinase-producerende bakterier eller mod organismer, der er resistente over for beta-lactams på grund af ændringer i de penicillin-bindende proteiner. Modstand mod penicillin g er ikke rapporteret i Streptococcus pyogenes.

Penicillin har vist sig at være aktiv mod de fleste isolater af følgende bakterier begge In vitro og in clinical infections as described in the Indikationer afsnit.

Gram-positive bakterier

Beta-hemolytisk streptokokker (grupper A B C G H L og M)

Streptococcus pneumoniae (kun penicillin-følsomme isolater)

Følsomhedstest

For specifikke oplysninger om fortolkningskriterier for følsomhedstest og tilknyttede testmetoder og kvalitetskontrolstandarder, der er anerkendt af FDA for dette lægemiddel, se: https://www.fda.gov/stic.

Patientinformation til bicillin CR

Informer patienter om, at brug af lokalbedøvelse kan forårsage methemoglobinæmi en alvorlig tilstand, der skal behandles straks. Rådgive patienter eller plejere om at søge øjeblikkelig lægehjælp, hvis de eller nogen i deres pleje oplever følgende tegn eller symptomer: lysegrå eller blåfarvet hud (cyanose); hovedpine; hurtig hjerterytme; åndenød; fyrtødhed; eller træthed.

Diarré er et almindeligt problem forårsaget af antibiotika, som normalt slutter, når antibiotikumet afbrydes. Undertiden efter start af behandling med antibiotika kan patienter udvikle vandige og blodige afføring (med eller uden mavekramper og feber), selv så sent som to måneder efter at have taget den sidste dosis af antibiotikumet. Hvis dette forekommer, skal patienter kontakte deres læge så hurtigt som muligt.

Patienter skal rådes om, at antibakterielle lægemidler inklusive bicillin C-R kun bør bruges til behandling af bakterieinfektioner. De behandler ikke virusinfektioner (f.eks. Koldkølelsen). Når bicillin C-R er ordineret til behandling af en bakterieinfektionspatienter, skal patienterne fortælles, at selv om det er almindeligt at føle sig bedre tidligt i løbet af terapien, skal medicinen tages nøjagtigt som anført. Spring over doser eller ikke gennemførelse af det fulde terapiforløb kan (1) mindske effektiviteten af ​​den øjeblikkelige behandling og (2) øge sandsynligheden for, at bakterier vil udvikle resistens og ikke kan behandles med bicillin C-R eller andre antibakterielle lægemidler i fremtiden.