Oplysningerne På Webstedet Er Ikke Medicinsk Rådgivning. Vi Sælger Ikke Noget. Nøjagtigheden Af Oversættelsen Er Ikke Garanteret. Ansvarsfraskrivelse
HMG-CoA-reduktaseinhibitorer
Slak
Resume af lægemiddeloversigt
Hvad er Lescol?
Lescol (fluvastatin natrium) er en Kolesterol -Læsen medicin, der bruges til at reducere lipoprotein (LDL) kolesterol med lav densitet (LDL) og totalt kolesterol i blod hjerteanfald Slag og vaskulær sygdom.
Hvad er bivirkninger af Lescol?
Almindelige bivirkninger af lescol inkluderer:
- maveforstyrret eller smerter
- dårlig fordøjelse
- kvalme
- Muskelsmerter/ømhed/svaghed (især med feber eller usædvanlig træthed)
- Ændringer i mængden af urin
- hovedpine
- diarre
- søvnproblemer (søvnløshed) eller
- Koldt symptomer såsom indelukket næse nyser eller ondt i halsen.
Fortæl din læge, hvis du har sjældne bivirkninger af Lescol inklusive:
- milde hukommelsesproblemer eller
- forvirring.
Sjældent kan statiner som Lescol forårsage eller forværre diabetes.
Dosering til Lescol
Dosisområdet af Lescol er 20 mg til 80 mg/ dag.
Hvilke stoffer stoffer eller kosttilskud interagerer med Lescol?
Lescol kan interagere med mavesyre reducere cholestyramin Danazol diclofenac glyburid nefazodon niacin phenytoin rifampin gemfibrozil eller Fenofibrat Lægemidler, der svækker dit immunsystem, såsom kræftmedicin eller steroider cyclosporin tacrolimus og andre; Amiodarone Diltiazem eller Verapamil Antibiotics Antifungals Blood Thiners eller Hiv / AIDS Medicine. Fortæl din læge alle medicin, du tager.
Lescol under graviditet eller amning
Lescol må ikke bruges under graviditet. Det kan forårsage fødselsdefekter. Denne medicin passerer ind i modermælk og kan have uønskede effekter på et sygeplejemiddel. Amning, mens du bruger dette lægemiddel, anbefales ikke.
Yderligere oplysninger
Vores lescol (fluvastatin natrium) bivirkninger Drug Center giver et omfattende overblik over tilgængelige lægemiddelinformation om de potentielle bivirkninger, når du tager denne medicin.
FDA -lægemiddelinformation
- Lægemiddelbeskrivelse
- Indikationer
- Dosering
- Bivirkninger
- Lægemiddelinteraktioner
- Advarsler
- Overdosis
- Kontraindikationer
- Klinisk farmakologi
- Medicin vejledning
Beskrivelse for Lescol
Lescol er et vandopløseligt kolesterol-sænkningsmiddel, der virker gennem inhiberingen af 3-hydroxy-3-methylglutaryl-coenzym A (HMG-CoA) reduktase.
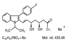
Fluvastatin-natrium er [R*S*-(E)]-(±) -7- [3- (4-fluorophenyl) -1- (1-methylethyl) -1H-Indol-2-yl] -35-dihydroxy-6-he-patteoinsyre monosodiumsalt. Den empiriske formel for fluvastatin -natrium er C 24 H 25 Fno 4 • Na dens molekylvægt er 433,46, og dens strukturelle formel er:
|
This molecular entity is the first entirely synthetic HMG-CoA reductase inhibitor and is in part structurally distinct from the fungal derivatives of this therapeutic class.
Fluvastatin -natrium er en hvid til lysegul hygroskopisk pulveropløselig i vandethanol og methanol. Lescol leveres som kapsler indeholdende fluvastatin -natrium svarende til 20 mg eller 40 mg fluvastatin til oral administration. Lescol XL leveres som tabletter med udvidet frigivelse indeholdende fluvastatin-natrium svarende til 80 mg fluvastatin til oral administration.
Aktiv ingrediens: Fluvastatin -natrium
Inaktive ingredienser i kapsler: Calciumcarbonatgelatin -magnesiumstaratmikrokrystallinsk cellulosepregelatiniseret stivelse (majs) rødt jernoxid natriumbicarbonat talkum titandioxid gul jernoxid og andre ingredienser.
Kapsler kan også omfatte: Benzylalkohol sort jernoxid Butylparaben carboxymethylcellulose natriumdetat Calcium Disodium Methylparaben Propylparaben Silicium Dioxid Sodium Lauryl Sulfate and Sodium Propionat.
Inaktive ingredienser i tabletter med udvidet frigivelse: Mikrokrystallinsk cellulosehydroxypropylcellulosehydroxypropylmethylcellulosekaliumbicarbonat povidon magnesiumstearat gult jernoxid titandioxid og polyethylenglycol 8000.
Du bruger til lescol
Terapi med lipidændrende midler skal kun være en komponent i multiple risikofaktorintervention hos individer med signifikant øget risiko for aterosklerotisk vaskulær sygdom på grund af hypercholesterolæmi. Lægemiddelterapi er indikeret som et supplement til diæt, når responsen på en diæt begrænset i mættet fedt og kolesterol og andre ikke-farmakologiske foranstaltninger alene har været utilstrækkelig.
Hypercholesterolæmi (heterozygot familiær og ikke -familiær) og blandet dyslipidæmi
Lescol og Lescol XL er indikeret
- Som et supplement til diæt for at reducere forhøjet total kolesterol (total-C) lipoprotein-kolesterol med lav densitet (LDL-C) triglycerid (TG) og apolipoprotein B (apo B) niveauer og for at øge lipoprotein-cholesterol (fredrick i patienter med primær hypercholesterolemia og blandet dyslipidemia (FredRicklype).
- Som et supplement til diæt for at reducere total-C LDL-C- og APO B-niveauer hos unge drenge og unge piger, der er mindst et år efter menarche 10-16 år med heterozygot familiær hypercholesterolæmi og følgende fund er til stede:
- LDL-C forbliver ≥ 190 mg/dl eller
- LDL-C forbliver ≥ 160 mg/dL og:
- Der er en positiv familiehistorie med for tidlig hjerte -kar -sygdom eller
- To eller flere andre risikofaktorer for hjerte -kar -sygdomme er til stede
NCEP -klassificeringen af kolesterolniveauer hos pædiatriske patienter med en familiær historie med hypercholesterolæmi eller for tidlig CVD er sammenfattet nedenfor.
| Kategori | Total-C (Mg/DL) | LDL-C (Mg/DL) |
| Acceptabel | <170 | <110 |
| Borderline | 170-199 | 110-129 |
| Høj | ≥ 200 | ≥ 130 |
Børn, der blev behandlet med fluvastatin i ungdomsårene, bør evalueres i voksen alder og passende ændringer foretaget i deres kolesterolsenkende regime for at nå voksne behandlingsmål.
Sekundær forebyggelse af hjerte -kar -sygdomme
Hos patienter med klinisk tydelige CHD -lescol og Lescol XL er indikeret til:
- Reducer risikoen for at gennemgå koronar revaskulariseringsprocedurer
- Sænk udviklingen af koronar aterosklerose
Begrænsninger af brug
Hverken Lescol eller Lescol XL er blevet undersøgt under tilstande, hvor den største abnormitet er forhøjelse af chylomicroner VLDL eller IDL (dvs. hyperlipoproteinæmi typer I III IV eller V).
Dosering til Lescol
Generel doseringsinformation
Range dosis : 20 mg til 80 mg/ dag.
Lescol/Lescol XL kan administreres oralt som en enkelt dosis med eller uden mad.
Bryt ikke knus eller tygg Lescol XL -tabletter eller åbne Lescol -kapsler inden administration.
Tag ikke to lescol 40 mg kapsler på én gang.
Da den maksimale virkning af en given dosis ses inden for 4 ugers periodiske lipidbestemmelser bør udføres på dette tidspunkt, og doseringen justeres i henhold til patientens respons på terapi og etablerede behandlingsretningslinjer.
For patienter, der kræver LDL-C-reduktion til et mål på ≥ 25%, er den anbefalede startdosis 40 mg som en kapsel om aftenen 80 mg som en Lescol XL-tablet indgivet som en enkelt dosis på ethvert tidspunkt af dagen eller 80 mg i opdelte doser af de 40 mg kapsel, der blev givet to gange dagligt. For patienter, der kræver LDL-C-reduktion til et mål om <25% a starting dose of 20 mg may be used.
Voksne patienter med hypercholesterolæmi (heterozygot familiær og ikke -filemiddel) og blandet dyslipidæmi
Voksne patienter kan startes på enten Lescol eller Lescol XL. Den anbefalede startdosis for Lescol er en 40 mg kapsel om aftenen eller en Lescol 40 mg kapsel to gange dagligt. Tag ikke to lescol 40 mg kapsler på én gang.
Den anbefalede startdosis for Lescol XL er en 80 mg tablet indgivet som en enkelt dosis på ethvert tidspunkt af dagen.
Pædiatriske patienter (10-16 år) med heterozygot familiær hypercholesterolæmi
Den anbefalede startdosis er en 20 mg lescol -kapsel. Dosisjusteringer op til en maksimal daglig dosis indgivet enten som Lescol -kapsler 40 mg to gange dagligt eller en Lescol XL 80 mg tablet en gang dagligt skal laves med 6 ugers intervaller. Doser skal individualiseres i henhold til målet om terapi [se NCEP -pædiatriske panelretningslinjer og Kliniske studier ] 1 .
Brug med cyclosporin
Overskrid ikke en dosis på 20 mg B.I.D. Lescol hos patienter, der tager cyclosporin [se Lægemiddelinteraktioner ].
Brug med fluconazol
Overskrid ikke en dosis på 20 mg B.I.D. Lescol hos patienter, der tager fluconazol [se Lægemiddelinteraktioner ].
Hvor leveret
Dosering Forms And Strengths
- Lescol 20 mg kapsler er brune og lysebrune præget to gange med og 20 på den ene halvdel og Lescol og Lescol® (fluvastatin natrium) logo to gange på den anden halvdel af kapslen.
- Lescol 40 mg kapsler er brune og guld præget to gange med og 40 på halvdelen og Lescol og Lescol ® (Fluvastatin natrium) Logo to gange på den anden halvdel af kapslen.
- Lescol XL 80 mg tabletter er gule runde lidt biconvex filmovertrukket tablet med skrå kanter, der er afbosset med Lescol XL på den ene side og 80 på den anden.
Opbevaring og håndtering
Lescol ® (fluvastatin natrium) kapsler
20 mg
Brun og lysebrun præget to gange med logo og 20 på den ene halvdel og Lescol og Lescol® (fluvastatin natrium) logo to gange på den anden halvdel af kapslen.
Flasker med 30 kapsler ……………………… ... NDC 0078-0176-15
Flasker med 100 kapsler ………………………… ... NDC 0078-0176-05
40 mg
Brun og guld prægede to gange med logo og 40 på den ene halvdel og Lescol og Lescol® (Fluvastatin Sodium) logo to gange på den anden halvdel af kapslen.
Flasker med 30 kapsler ……………………… ... NDC 0078-0234-15
Flasker med 100 kapsler ………………………… ... NDC 0078-0234-05
Lescol® XL (fluvastatin natrium) Tabletter med udvidet frigivelse
80 mg
Gul runde lidt biconvex filmovertrukket tablet med skrå kanter, der er afbosset med Lescol XL på den ene side og 80 på den anden.
Flasker med 30 tabletter ……………………… ... NDC 0078-0354-15
Flaske med 100 tabletter ……………………… ... NDC 0078-0354-05
Opbevares og dispensere
Opbevares ved 25 ° C (77 ° F); Udflugter tilladt til 15-30 ° C (59-86 ° F) [Se USP -kontrolleret stuetemperatur ]. Dispense in a tight container. Protect from light.
Referencer
1 National Cholesterol Education Program (NCEP): Højdepunkter i rapporten fra ekspertpanelet om blodcholesterolniveauer hos børn og unge. Pædiatri. 89 (3): 495-501. 1992.
Distribueret af: Novartis Pharmaceuticals Corporation. East Hanover New Jersey 07936. Revideret februar 2012
Bivirkninger for Lescol
Følgende alvorlige bivirkninger diskuteres mere detaljeret i andre sektioner af etiketten:
- Rhabdomyolyse med myoglobinuri og akut nyresvigt og myopati (inklusive myositis) [se Advarsler og FORHOLDSREGLER ].
- Leverenzym abnormiteter [se Advarsler og FORHOLDSREGLER ].
Kliniske studier Experience in Adult Patients
Fordi kliniske undersøgelser af LESCOL/LESCOL XL udføres i forskellige undersøgelsespopulationer, og undersøgelsesdesign hyppigheden af bivirkninger, der er observeret i de kliniske undersøgelser af Lescol/Lescol XL, kan ikke sammenlignes direkte med den i de kliniske undersøgelser af andre statiner og afspejler muligvis ikke hyppigheden af bivirkninger, der er observeret i klinisk praksis.
I Lescol-placebokontrollerede kliniske forsøgsdatabase på 2326 patienter behandlet med Lescol 1 (aldersområde 18-75 år 44% Kvinder 94% kaukasiere 4% sorte 2% andre etniske grupper) med en median behandlingsvarighed på 24 uger 3,4% af patienterne på LESCOL og 2,3% patienter på placebo ophørte på grund af bivirkninger uanset årsagssammenhæng. De mest almindelige bivirkninger, der førte til seponering af behandlingen og forekom ved en forekomst, der var større end placebo, var: transaminase steg (NULL,8%) øvre abdominal smerte (NULL,3%) dyspepsi (NULL,3%) træthed (NULL,2%) og diarré (NULL,2%).
I LESCOL XL-databasen over kontrollerede kliniske forsøg med 912 patienter behandlet med Lescol XL (aldersområde 21-87 år 52% kvinder 91% Kaukasiere 4% sort 5% andre etniske grupper) med en median behandlingsvarighed på 24 uger 3,9% af patienterne på lescol XL ophørte på grund af negative reaktioner uanset causalitet. De mest almindelige bivirkninger, der førte til seponering af behandling, var mavesmerter (NULL,7%) diarré (NULL,5%) kvalme (NULL,4%) dyspepsi (NULL,4%) og brystsmerter (NULL,3%).
Klinisk relevante bivirkninger, der forekommer i Lescol og Lescol XL -kontrollerede undersøgelser med en frekvens> 2% uanset årsagssammenhæng, omfattede følgende:
Tabel 1: Kliniske bivirkninger rapporteret hos> 2% hos patienter behandlet med Lescol/Lescol XL og ved en forekomst, der er større end placebo i placebo-kontrollerede forsøg uanset kausalitet (% af patienterne) samlede doseringer
| Slak 1 N = 2326 (%) | Placebo 1 N = 960 (%) | Slak XL 2 N = 912 (%) | ||
| Muskuloskeletal | Myalgi | 5.0 | 4.5 | 3.8 |
| Artritis | 2.1 | 2.0 | 1.3 | |
| Leddyr | Na | Na | 3.2 | |
| Åndedrætsværn | Bihulebetændelse | 2.6 | 1.9 | 3.5 |
| Bronchitis | 1.8 | 1.0 | 2.6 | |
| Gastrointestinal | Dyspepsi | 7.9 | 3.2 | 3.5 |
| Diarre | 4.9 | 4.2 | 3.3 | |
| Mavesmerter | 4.9 | 3.8 | 3.7 | |
| Kvalme | 3.2 | 2.0 | 2.5 | |
| Flatulens | 2.6 | 2.5 | 1.4 | |
| Tandforstyrrelse | 2.1 | 1.7 | 1.4 | |
| Psykiatrisk | Søvnløshed | 2.7 | 1.4 | 0.8 |
| Genitourinary | Urinvejsinfektion | 1.6 | 1.1 | 2.7 |
| Diverse | Hovedpine | 8.9 | 7.8 | 4.7 |
| Influenza-lignende symptomer | 5.1 | 5.7 | 7.1 | |
| Tilfældigt traume | 5.1 | 4.8 | 4.2 | |
| Træthed | 2.7 | 2.3 | 1.6 | |
| Allergi | 2.3 | 2.2 | 1.0 | |
| 1 Kontrollerede forsøg med Lescol -kapsler (20 og 40 mg dagligt og 40 mg to gange dagligt) sammenlignet med placebo 2 Kontrollerede forsøg med Lescol XL 80 mg tabletter sammenlignet med Lescol -kapsler |
Slak Intervention Prevention Study
I LESCOL -interventionsforebyggelsesundersøgelsen (LIPS) blev virkningen af LESCOL 40 mg indgivet to gange dagligt på risikoen for tilbagevendende hjertebegivenheder vurderet hos 1677 patienter med CHD, der havde gennemgået en perkutan koronar intervention (PCI) procedure. Dette var en multicenter randomiseret dobbeltblind placebokontrollerede undersøgelsespatienter blev behandlet med diæt/livsstilsrådgivning og enten Lescol 40 mg (n = 844) eller placebo (n = 833) givet to gange dagligt i en median på 3,9 år [se Kliniske studier ].
Tabel 2: Kliniske bivirkninger rapporteret hos ≥ 2% hos patienter behandlet med Lescol/Lescol XL og ved en forekomst, der er større end placebo i LIPS -forsøget uanset årsagssammenhæng (% af patienterne)
| Slak 40 mg b.i.d N = 822 (%) | Placebo N = 818 (%) | ||
| Hjerteforstyrrelser | Atrieflimmer | 2.4 | 2.0 |
| Gastrointestinal disorders | Mavesmerter upper | 6.3 | 4.5 |
| Forstoppelse | 3.3 | 2.1 | |
| Dyspepsi | 4.5 | 4.0 | |
| Gastrisk lidelse | 2.7 | 2.1 | |
| Kvalme | 2.7 | 2.3 | |
| Generelle lidelser | Træthed | 4.7 | 3.8 |
| Ætemperiferisk | 4.4 | 2.9 | |
| Infektioner og angreb | Bronchitis | 2.3 | 2.0 |
| Nasopharyngitis | 2.8 | 2.1 | |
| Muskuloskeletal og connective tissue disorders | Arthralgia | 2.1 | 1.8 |
| Myalgi | 2.2 | 1.6 | |
| Smerter i ekstremitet | 4.1 | 2.7 | |
| Nervesystemforstyrrelser | Svimmelhed | 3.9 | 3.5 |
| Synkope | 2.4 | 2.2 | |
| Åndedrætsværn disorders | Dyspnø -anstrengelse | 2.8 | 2.4 |
| Vaskulære lidelser | Hypertension | 5.8 | 4.2 |
| Intermitterende claudication | 2.3 | 2.1 |
Kliniske studier Experience in Pædiatrisk Patients
Hos patienter i alderen <18 years efficacy og safety have not been studied for treatment periods longer than two years.
I to åbne ukontrollerede undersøgelser i to åbne undersøgelser og 48 piger med heterozygot familiær hypercholesterolæmi (9-16 år 80% kaukasiske 19% andre [blandede etnicitet] 1% asiater) blev behandlet med fluvastatin natrium-indgivet som lescol Capsules 20 mg -40 mg to gange eller lescol xl 80 mgape udvidet som lescoles 20 mg -40 mg to gange eller lescol xl 80 mgape udvidet Release Release Release Release Release Release Release Release Release Release Release Release Release Release Release Release Release Release Release Release Release Release Release Release Release Release Release Release dercase dercase der skulle have lescole blev 20 mg 20 mg -400 [Se Kliniske studier og Brug i specifikke populationer ].
Oplevelse af postmarketing
Because adverse reactions from spontaneous reports are reported voluntarily from a population of uncertain size it is generally not possible to reliably estimate their frequency or establish a causal relationship to drug exposure. The following effects have been reported with drugs in this class. Not all the effects listed below have necessarily been associated with fluvastatin sodium therapy.
Muskuloskeletal: Muskelkramper Myalgi Myopati Rhabdomyolyse Arthralgias Muskelspasmer Muskelsvaghed Myositis.
Neurologisk: Dysfunktion af visse kraniale nerver (inklusive ændring af smagsnedsættelse af ekstra-okulær bevægelse Ansigtsparese) Tremor svimmelhed Vertigo Paræstesi Hypoestesi Dysestesi Perifer neuropati Perifer nerveparese.
Der har været sjældne postmarkedsrapporter om kognitiv svækkelse (f.eks. Hukommelsestab glemsomhed amnesi Hukommelsesnedsættelse Forvækkelse) forbundet med statinbrug. Disse kognitive problemer er rapporteret for alle statiner. Rapporterne er generelt ikke -seriøse og reversible ved statinoptaget med variable tider til symptomdebut (1 dag til år) og symptomopløsning (median på 3 uger).
Psykiatrisk: Angst Insomnia depression psykiske forstyrrelser
Overfølsomhedsreaktioner: Der er rapporteret om et tilsyneladende overfølsomhedssyndrom sjældent, som har inkluderet en eller flere af følgende funktioner: anafylaxis angioedema lupus erythematosus-lignende syndrom polymyalgi rheumatica vaskulitis purpura thrombocytopenia leukopenia hemolytisk anæmi positiv ana esrocyte stuet) øgning) Arthritis Arthralgia urticaria asthenia Fotosensitivitetsreaktion Feber Chills Flushing Malaise Dyspnea Toxic Epidermal Necrolysis Erythema multiforme inklusive Stevens-Johnson syndrom.
Gastrointestinal: Pancreatitis hepatitis inklusive kronisk aktiv hepatitis cholestatisk gulsot fedtændring i levercirrhose fulminant lever nekrose hepatomaanorexia opkast dødelig og ikke-dødelig leverfejl.
Hud: Udslæt dermatitis inklusive bullous dermatitis eksem alopecia kløe en række hudændringer (f.eks. Noduler misfarvning tørhed af hud/slimhinder membraner ændrer sig til hår/negle).
Reproduktiv: Gynecomastia -tab af libido erektil dysfunktion.
Øje: Progression af grå stær (objektivopaciteter) oftalmoplegi.
Laboratorie abnormiteter: Forhøjede transaminaser alkaliske phosphatase gamma-glutamyltranspeptidase og bilirubin; Skjoldbruskkirtelfunktions abnormiteter.
Lægemiddelinteraktioner for Lescol
Cyclosporin
Cyclosporin coadministration increases fluvastatin exposure. Therefore in patients taking cyclosporine therapy should be limited to Slak 20 mg twice daily [see Advarsler og FORHOLDSREGLER og Klinisk farmakologi ].
Fluconazol
Administration af fluvastatin 40 mg enkelt dosis til raske frivillige, der er forudbehandlet med fluconazol i 4 dage, resulterer i en stigning i fluvastatineksponering. Derfor bør hos patienter, der tager fluconazolbehandling, begrænses til Lescol 20 mg to gange dagligt [se Klinisk farmakologi ].
Gemfibrozil
På grund af en øget risiko for myopati/rhabdomyolyse, når HMG-COA-reduktaseinhibitorer samtidig administreres med gemfibrozil-samtidig administration af Lescol/Lescol XL med gemfibrozil, bør man undgå.
Andre fibrater
Fordi det er kendt, at risikoen for myopati under behandling med HMG-CoA-reduktaseinhibitorer øges med samtidig administration af andre fibrater, skal Lescol/Lescol XL administreres med forsigtighed, når det bruges samtidig med andre fibrater [se Advarsler og FORHOLDSREGLER og Klinisk farmakologi ].
Niacin
Risikoen for knoglemuskeleffekter kan forbedres, når LESCOL anvendes i kombination med lipidmodificerende doser (≥ 1 g/dag) af niacin; En reduktion i lescol -dosering skal overvejes i denne indstilling [se Advarsler og FORHOLDSREGLER ].
Glyburid
Samtidig administration af fluvastatin og glyburid øgede eksponeringer af glyburid. Patienter med samtidig terapi af glyburid og fluvastatin bør fortsat overvåges korrekt [se Klinisk farmakologi ].
Phable
Samtidig administration af fluvastatin og phenytoin øgede fenytoineksponeringer. Patienterne skal fortsat overvåges korrekt, når fluvastatinbehandling initieres, eller når fluvastatindosis ændres [se Klinisk farmakologi ].
Warfarin
Blødning og/eller øget protrombin-tider er rapporteret hos patienter, der tager coumarin-antikoagulanter samtidig med andre HMG-CoA-reduktaseinhibitorer. Derfor bør patienter, der får krigsfarin-antikoagulanti, have deres protrombin-gange nøje overvåget, når fluvastatin-natrium initieres, eller doseringen af fluvastatin-natrium ændres.
Colchicine
Tilfælde af myopati, herunder rhabdomyolyse, er rapporteret med fluvastatin coadministreret med colchicin og forsigtighed bør udøves, når der ordineres fluvastatin med colchicine.
Advarsler for Lescol
Inkluderet som en del af FORHOLDSREGLER afsnit.
Forholdsregler for Lescol
Skeletmuskel
Rhabdomyolysis with acute renal failure secondary to myoglobinuria have been reported with LESCOL/LESCOL XL and other drugs in this class.
Lescol/Lescol XL skal ordineres med forsigtighed hos patienter med disponerende faktorer for myopati. Disse faktorer inkluderer avanceret alder (> 65 år) nedsat nyrefunktion og utilstrækkeligt behandlet hypothyreoidisme.
Risikoen for myopati og/eller rhabdomyolyse med statiner øges med samtidig terapi med cyclosporin erythromycin -fibrater eller niacin. Myopati blev ikke observeret i et klinisk forsøg hos 74 patienter, der involverede patienter, der blev behandlet med Lescol/Lescol XL sammen med niacin. Isolerede tilfælde af myopati er rapporteret under erfaring efter markedsføring med samtidig administration af Lescol/Lescol XL og colchicine. Der er ingen oplysninger om den farmakokinetiske interaktion mellem Lescol/Lescol XL og Colchicine.
Ukompliceret myalgi er også rapporteret hos Lescol-behandlede patienter [se Bivirkninger ]. In clinical trials uncomplicated myalgia has been observed infrequently in patients treated with Slak at rates indistinguishable from placebo. Myopathy defined as muscle aching or muscle weakness in conjunction with increases in CPK values to greater than 10 times the upper limit of normal was <0.1% in fluvastatin clinical trials. Myopathy should be considered in any patient with diffuse myalgias muscle tenderness or weakness og/or marked elevation of CPK. Patients should be advised to report promptly unexplained muscle pain tenderness or weakness particularly if accompanied by malaise or fever.
Slak/Slak XL therapy should be discontinued if markedly elevated CPK levels occur or myopathy is diagnosed or suspected. Slak/Slak XL therapy should also be temporarily withheld in any patient experiencing an acute or serious condition predisposing to the development of renal failure secondary to rhabdomyolysis e.g. sepsis; hypotension; major surgery; trauma; severe metabolic endocrine or electrolyte disorders; or uncontrolled epilepsy.
Leverenzymer
Stigninger i serumtransaminaser (aspartataminotransferase [AST]/serum glutamisk-oxaloacetic transaminase eller alaninaminotransferase [ALT]/serum glutamisk-pyruvisk transaminase) er rapporteret med HMG-COA-reduktionsinhibitorer inklusive LESCOL/LESCOL XL. I de fleste tilfælde blev højderne kortvarige og løst eller forbedret ved fortsat terapi eller efter en kort afbrydelse i terapi.
Cirka 1,1% af patienterne, der blev behandlet med Lescol-kapsler i verdensomspændende forsøg, udviklede dosisrelaterede vedvarende forhøjelser af serumtransaminase-niveauer til mere end 3 gange den øvre normale grænse. Fjorten af disse patienter (NULL,6%) blev afbrudt fra terapi. I alle kliniske forsøg havde i alt 33/2969 patienter (NULL,1%) vedvarende transaminaseforhøjelser med en gennemsnitlig LESCOL -eksponering på cirka 71,2 uger; 19 af disse patienter (NULL,6%) blev afbrudt. Størstedelen af patienter med disse unormale biokemiske fund var asymptomatiske.
I en samlet analyse af alle placebokontrollerede undersøgelser, hvor Lescol-kapsler blev anvendt vedvarende transaminaseforhøjelser (> 3 gange den øvre grænse for normale [ULN] på to på hinanden følgende ugentlige målinger) forekom i 0,2% 1,5% og 2,7% af patienterne behandlet med daglige doser på henholdsvis 20 40 og 80 mg (titreret til 40 MG to gange dagligt) lescol-kapsler. Enoghalvfjerds procent af tilfældene med vedvarende leverfunktionstest abnormiteter (20 af 22 patienter) forekom inden for 12 uger efter terapi, og i alle patienter med vedvarende leverfunktionstest abnormiteter var der en unormal leverfunktionstest til stede ved baseline eller i uge 8.
I den samlede analyse af de 24-ugers kontrollerede forsøg forekom vedvarende transaminasehøjde i 1,9% 1,8% og 4,9% af patienterne behandlet med Lescol XL 80 mg Lescol 40 mg og LESCOL 40 mg to gange dagligt dagligt. Hos 13 ud af 16 patienter, der blev behandlet med Lescol XL, forekom abnormaliteten inden for 12 uger efter påbegyndelse af behandling med Lescol XL 80 mg.
Det anbefales, at leverenzymtest udføres inden påbegyndelsen af Lescol/Lescol XL, og hvis der opstår tegn eller symptomer på leverskade.
Der har været sjældne postmarketingrapporter om dødelige og ikke-dødelige leverfejl hos patienter, der tager statiner, herunder fluvastatin. Hvis alvorlig leverskade med kliniske symptomer og/eller hyperbilirubinæmi eller gulsot forekommer under behandling med Lescol/Lescol XL, afbryder straks terapi. Hvis en alternativ etiologi ikke findes, skal du ikke genstarte Lescol/Lescol XL.
I meget sjældne tilfælde blev der muligvis observeret medikamentrelateret hepatitis, der blev opløst ved seponering af behandlingen. 1 Aktiv leversygdom eller uforklarlig serumtransaminaseforhøjelser er kontraindikationer til brugen af Lescol og Lescol XL [se Kontraindikationer. Der skal udvises forsigtighed, når Lescol administreres til patienter med en historie med leversygdom eller tung alkoholindtagelse [se Klinisk farmakologi ]. Such patients should be closely monitored.
Endokrine effekter
Stigninger i HbA1c og fastende serumglukoseniveauer er rapporteret med HMG-CoA-reduktaseinhibitorer inklusive LESCOL/LESCOL XL.
Statiner interfererer med kolesterolsyntese og lavere cirkulerende kolesterolniveauer og som sådan kan teoretisk stump binyre eller gonadal steroidhormonproduktion.
Slak/Slak XL exhibited no effect upon non-stimulated cortisol levels og demonstrated no effect upon thyroid metabolism as assessed by measurement of thyroid stimulating hormone (TSH). Small declines in total serum testosterone have been noted in treated groups but no commensurate elevation in LH occurred suggesting that the observation was not due to a direct effect upon testosterone production. No effect upon FSH in males was noted. Due to the limited number of premenopausal females studied to date no conclusions regarding the effect of Slak/Slak XL upon female sex hormones may be made.
To kliniske undersøgelser hos patienter, der modtog fluvastatin i doser op til 80 mg dagligt i perioder på 24 til 28 uger, demonstrerede ingen virkning af behandlingen på binyreesponsen på ACTH -stimulering. En klinisk undersøgelse evaluerede virkningen af LESCOL i doser op til 80 mg dagligt i 28 uger på gonadal respons på HCG -stimulering. Selvom den gennemsnitlige samlede testosteronrespons blev reduceret signifikant (P <0.05) relative to baseline in the 80 mg group it was not significant in comparison to the changes noted in groups receiving either 40 mg of Slak or placebo.
Patienter behandlet med Lescol/Lescol XL, der udvikler klinisk bevis for endokrin dysfunktion, bør evalueres korrekt. Der skal udvises forsigtighed, hvis en statin eller et andet middel, der bruges til at sænke kolesterolniveauer, administreres til patienter, der får andre lægemidler (f.eks. Ketoconazol spironolacton cimetidin), der kan reducere niveauerne af endogene steroidhormoner.
CNS -toksicitet
CNS effects as evidenced by decreased activity ataxia loss of righting reflex and ptosis were seen in the following animal studies: the 18-month mouse carcinogenicity study at 50 mg/kg/day the 6-month dog study at 36 mg/kg/day the 6-month hamster study at 40 mg/kg/day and in acute high-dose studies in rats and hamsters (50 mg/kg) rabbits (300 mg/kg) and mice (1500 mg/kg). CNS toxicity in the acute high-dose studies was characterized (in mice) by conspicuous vacuolation in the ventral white columns of the spinal cord at a dose of 5000 mg/kg and (in rats) by edema with separation of myelinated fibers of the ventral spinal tracts and sciatic nerve at a dose of 1500 mg/kg. CNS toxicity characterized by periaxonal vacuolation was observed in the medulla of dogs that died after treatment for 5 weeks with 48 mg/kg/day; this finding was not observed in the remaining dogs when the dose level was lowered to 36 mg/kg/day. CNS vascular lesions characterized by perivascular hemorrhages edema and mononuclear cell infiltration of perivascular spaces have been observed in dogs treated with other members of this drug class. No CNS lesions have been observed after chronic treatment for up to 2 years with fluvastatin in the mouse (at doses up to 350 mg/kg/day) rat (up to 24 mg/kg/day) or dog (up to 16 mg/kg/day).
Fremtrædende bilaterale posterior y suturlinjer i den okulære linse blev set hos hunde efter behandling med 1 8 og 16 mg/kg/dag i 2 år.
Oplysninger om patientrådgivning
Information til patienter
Patienter, der tager Lescol/Lescol XL, skal rådes om, at højt kolesterol er en kronisk tilstand, og de bør overholde deres medicin sammen med deres nationale kolesteroluddannelsesprogram (NCEP) -kompiceret diæt et regelmæssigt træningsprogram og en periodisk test af et fastende lipidpanel for at bestemme målopfyldning.
Patienter skal rådes om stoffer, de ikke bør tage samtidig med Lescol/Lescol XL [se advarsler og forholdsregler]. Patienter bør også rådes til at informere andre sundhedsfagfolk, der ordinerer en ny medicin, som de tager Lescol/Lescol XL.
Muskelsmerter
Patienter, der starter terapi med Lescol/Lescol XL, bør rådes om risikoen for myopati og beder om hurtigt at rapportere enhver uforklarlig muskelsmerterhed eller svaghed, især hvis det ledsages af ubehag eller feber.
Leverenzymer
Det anbefales, at leverenzymtest udføres inden påbegyndelsen af Lescol/Lescol XL, og hvis der opstår tegn eller symptomer på leverskade. Alle patienter, der behandles med Lescol/Lescol XL, skal rådes til straks at rapportere eventuelle symptomer, der kan indikere leverskade, herunder træthedsanorexia højre abdominal ubehag mørk urin eller gulsot.
Graviditet
Kvinder i den fødedygtige alder bør rådes til at bruge en effektiv metode til prævention for at forhindre graviditet, mens de bruger Lescol/Lescol XL. Diskuter fremtidige graviditetsplaner med dine patienter og diskuter, hvornår de skal stoppe med at tage Lescol/Lescol XL, hvis de prøver at blive gravid. Patienter skal rådes om, at hvis de bliver gravide, skulle de stoppe med at tage Lescol/Lescol XL og ringe til deres sundhedspersonale.
Amning
Kvinder, der ammer, bør ikke bruge Lescol/Lescol XL. Patienter, der har en lipidforstyrrelse og ammer, bør rådes til at diskutere mulighederne med deres sundhedspersonale.
Ikke -klinisk toksikologi
Karcinogenese mutagenese nedskrivning af fertilitet
En 2-årig undersøgelse blev udført i rotter i dosisniveauer på 6 9 og 18-24 (eskaleret efter 1 år) mg/kg/dag. Disse behandlingsniveauer repræsenterede plasmamedicinske niveauer på cirka 9 13 og 26-35 gange den gennemsnitlige humane plasmamedicinskoncentration efter en 40 mg oral dosis. En lav forekomst af skovomrisk pladepapillomer og 1 carcinom i skovomacen ved 24 mg/kg/dag dosisniveau blev betragtet som at afspejle den langvarige hyperplasi induceret ved direkte kontakteksponering for fluvastatinnatrium snarere end for en systemisk virkning af lægemidlet. Derudover blev der registreret en øget forekomst af skjoldbruskkirtelcelle-adenomer og carcinomer for mænd behandlet med 18-24 mg/kg/dag. Den øgede forekomst af skjoldbruskkirtelfollikulær celle-neoplasma hos hanrotter med fluvastatin-natrium ser ud til at være i overensstemmelse med fund fra andre HMG-CoA-reduktaseinhibitorer. I modsætning til andre HMG-CoA-reduktaseinhibitorer blev der ikke observeret nogen leveradenomer eller carcinomer.
Karcinogenicitetsundersøgelsen udført i mus i dosisniveauer på 0,3 og 30 mg/kg/dag afsløret som hos rotter en statistisk signifikant stigning i skovomriske cellepapillomer hos mænd og kvinder ved 30 mg/kg/dag og hos kvinder ved 15 mg/kg/dag. Disse behandlingsniveauer repræsenterede plasmavedicinniveauer på ca. 0,05 2 og 7 gange den gennemsnitlige humane plasmamedicinskoncentration efter en 40 mg oral dosis.
Der blev ikke observeret noget bevis for mutagenicitet in vitro med eller uden metabolisk aktivering af rotte-lever i følgende undersøgelser: mikrobielle mutagen-tests ved anvendelse af mutante stammer af Salmonella typhimurium eller Escherichia coli; Ondartet transformationsassay i BALB/3T3 -celler; uplanlagt DNA -syntese i primære hepatocytter fra rotte; Kromosomale afvigelser i V79 kinesiske hamsterceller; HGPRT V79 kinesiske hamsterceller. Derudover var der ingen tegn på mutagenicitet in vivo i hverken en rotte- eller mus micronucleus -test.
I en undersøgelse i rotter i dosisniveauer for kvinder på 0,6 2 og 6 mg/kg/dag og ved dosisniveauer for mænd på 2 10 og 20 mg/kg/dag fluvastatinnatrium havde ingen bivirkninger på fertiliteten eller reproduktiv ydelse.
Seminalvesikler og testikler var små i hamstere behandlet i 3 måneder ved 20 mg/kg/dag (ca. tre gange den 40 mg human daglige dosis baseret på overfladeareal Mg/m²). Der var rørformet degeneration og aspermatogenese i testikler såvel som vesiculitis af sædvesikler. Vesiculitis af sædvesikler og ødemer i testiklerne blev også set hos rotter behandlet i 2 år ved 18 mg/kg/dag (ca. 4 gange den humane Cmax opnåede med en 40 mg daglig dosis).
Fluvastatin -natrium producerede forsinkelser i skeletudviklingen i rotter i doser på 12 mg/kg/dag og i kaniner i doser på 10 mg/kg/dag. Malalignede thorax ryghvirvler blev set hos rotter ved 36 mg/kg en dosis, der producerede mødre -toksicitet. Disse doser resulterede i 2 gange (rotte ved 12 mg/kg) eller 5 gange (kanin ved 10 mg/kg) den 40 mg menneskelig eksponering baseret på mg/m 2 Overfladeareal. En undersøgelse, hvor kvindelige rotter blev doseret i tredje trimester ved 12 og 24 mg/kg/dag, resulterede i mødredødelighed på eller på kort sigt og postpartum. Derudover var føtal og neonatal dødelighed synlig. Ingen effekter på dæmningen eller fosteret forekom ved 2 mg/kg/dag. En anden undersøgelse på niveauer på 2 6 12 og 24 mg/kg/dag bekræftede resultaterne i den første undersøgelse med neonatal dødelighed, der begyndte ved 6 mg/kg. En modificeret segment III-undersøgelse blev udført ved dosisniveauer på 12 eller 24 mg/kg/dag med eller uden tilstedeværelsen af samtidig tilskud med mevalonsyre et produkt af HMG-CoA-reduktase, som er essentiel for cholesterolbiosyntese. Den samtidige administration af mevalonsyre forhindrede fuldstændigt moderens og neonatal dødelighed, men forhindrede ikke lave kropsvægte i hvalpe ved 24 mg/kg på dag 0 og 7 postpartum.
Brug i specifikke populationer
Graviditet
Graviditet Kategori X
Slak/Slak XL is contraindicated in women who are or may become pregnant [see Kontraindikationer ].
Lipid -sænkningsmedicin er kontraindiceret under graviditet, fordi der er behov for kolesterol og kolesterolderivater til normal føtaludvikling. Serumcholesterol og triglycerider stiger under normal graviditet. Aterosklerose er en kronisk proces, og seponering af lipidsænkende lægemidler under graviditet skal have ringe indflydelse på langsigtede resultater af primær hypercholesterolæmibehandling
Der er ingen tilstrækkelige og godt kontrollerede undersøgelser af brug med Lescol/Lescol XL under graviditet. Sjældne rapporter om medfødte afvigelser er blevet modtaget efter intrauterin eksponering for andre statiner. I en gennemgang 2 Af omkring 100 fulgte prospektivt graviditeter hos kvinder, der blev udsat for andre statiner, forekommer forekomsten af medfødte anomalier spontane aborter og føtaldødsfald/dødfødsler ikke overskred den forventede sats i den generelle befolkning. Antallet af tilfælde er tilstrækkeligt kun til at udelukke en 3-til 4 gange stigning i medfødte afvigelser over baggrundsforekomst. I 89% af prospektivt fulgte graviditeter blev lægemiddelbehandling initieret før graviditet og blev afbrudt på et tidspunkt i første trimester, da graviditet blev identificeret.
Teratologistudier med fluvastatin hos rotter og kaniner viste mødrekosticitet ved høje dosisniveauer, men der var ingen tegn på embryotoksisk eller teratogent potentiale [se Ikke-klinisk toksikologi ].
Slak or Slak XL should be administered to women of child-bearing potential only when such patients are highly unlikely to conceive og have been informed of the potential hazards. If a woman becomes pregnant while taking Slak or Slak XL the drug should be discontinued og the patient advised again as to the potential hazards to the fetus.
Hvor meget T3 skal jeg tage
Sygeplejerske mødre
Baseret på dyredata er fluvastatin til stede i modermælk i et forhold på 2: 1 (mælk: plasma). På grund af potentialet for alvorlige bivirkninger hos sygepleje spædbørn børnehvinder bør ikke tage Lescol eller Lescol XL [se Kontraindikationer ].
Pædiatrisk brug
Sikkerheden og effektiviteten af Lescol og Lescol XL hos børn og unge patienter 9-16 år med heterozygot familiær hypercholesterolæmi er blevet evalueret i åbent ukontrollerede kliniske forsøg i en varighed på to år. De mest almindelige bivirkninger, der blev observeret, var influenza og infektioner. I disse begrænsede ukontrollerede undersøgelser var der ingen påviselig effekt på vækst eller seksuel modning hos de unge drenge eller på menstruationscykluslængde hos piger [se Kliniske studier Bivirkninger og Dosering og administration ]. Adolescent females should be counseled on appropriate contraceptive methods while on Slak therapy [see Kontraindikationer ].
Geriatrisk brug
Fluvastatin -eksponeringer var ikke signifikant forskellige mellem de ikke -elendige og ældre populationer (alder ≥ 65 år) [se Klinisk farmakologi ]. Siden Advanced Age (> 65 år) er en disponerende faktor for myopati Lescol/Lescol XL skal ordineres med forsigtighed hos ældre.
Leverskrivning i leveren
Slak og Slak XL are contraindicated in patients with active liver disease or unexplained persistent elevations in serum transaminases [see Klinisk farmakologi ].
Nedskærmning af nyren
Dosisjusteringer for mild til moderat nedsat nyrefunktion er ikke nødvendige. Fluvastatin er ikke undersøgt i doser større end 40 mg hos patienter med alvorlig nedsat nyrefunktion; Derfor bør der udvises forsigtighed, når man behandler sådanne patienter i højere doser [se Klinisk farmakologi ].
Referencer
1. National Cholesterol Education Program (NCEP): Højdepunkter i rapporten fra ekspertpanelet om blodcholesterolniveauer hos børn og unge. Pædiatri. 89 (3): 495-501.1992.
2. Manson J.M. Freyssinges C. Ducrocq M.B. Stephenson W.P. Postmarkedets overvågning af Lovastatin og Simvastatin-eksponering under graviditets reproduktiv toksikologi 10 (6): 439-446 1996.
Overdosis Information for Lescol
Til dato har der været begrænset erfaring med overdosering af fluvastatin. Hvis der opstår en overdosis, skal den behandles symptomatisk med laboratorieovervågning og understøttende foranstaltninger bør indføres efter behov. Dialyzabiliteten af fluvastatin -natrium og dets metabolitter hos mennesker er ikke kendt i øjeblikket [se Advarsler og FORHOLDSREGLER ].
I den pædiatriske population har der været rapporter om overdosering med fluvastatinnatrium hos børn, herunder en 2-årig, og de andre 3 år, som hverken kan have indtaget fluvastatin-natrium. Den maksimale mængde fluvastatinnatrium, der kunne have været indtaget, var 80 mg (4 x 20 mg kapsler). Opkast blev induceret af IPECAC hos begge børn, og der blev ikke observeret nogen kapsler i deres emesis. Ingen af børnene oplevede nogen negative symptomer og begge kom sig efter hændelsen uden problemer.
I postmarketingoplevelsen har der været rapporter om utilsigtet indtagelse af Lescol -tabletter hos spædbørn op til 3 år. I et tilfælde blev der noteret forøgede serum -CPK -værdier. Der har været rapporter om forsætlig overdosis hos unge med udviklingen af leverenzymforhøjelser kramper og gastroenteritis/opkast/diarré. Et tilfælde af forsætlig overdosis som selvmordsforsøg hos en 15-årig kvinde rapporterede indtagelse af 2800 mg Lescol XL med leverenzymhøjde.
Kontraindikationer for Lescol
Overfølsomhed over for enhver komponent i denne medicin
Slak og Slak XL are contraindicated in patients with hypersensitivity to any component of this medication.
Aktiv leversygdom
Slak og Slak XL are contraindicated in patients with active liver disease or unexplained persistent elevations in serum transaminases [see Advarsler og FORHOLDSREGLER ].
Graviditet
Slak og Slak XL are contraindicated in women who are pregnant or may become pregnant. Serum Kolesterol og triglycerides increase during normal pregnancy og Kolesterol or Kolesterol derivatives are essential for fetal development. Slak og Slak XL may cause fetal harm when administered to pregnant women. Atherosclerosis is a chronic process og the discontinuation of lipid-lowering drugs during pregnancy should have little impact on the outcome of long-term therapy of primary hyperKolesterolemia.
Slak og Slak XL should be administered to women of childbearing age only when such patients are highly unlikely to conceive og have been informed of the potential hazards. If the patient becomes pregnant while taking this drug Slak og Slak XL should be discontinued og the patient should be apprised of the potential hazard to the fetus [see Brug i specifikke populationer ].
Sygeplejerske mødre
Fluvastatin udskilles i modermælken hos dyr, og fordi HMG-CoA-reduktaseinhibitorer har potentialet til at forårsage alvorlige bivirkninger hos sygepleje spædbørn, der har brug for behandling med Lescol eller Lescol XL, bør rådes til ikke at amme deres spædbørn [se Brug i specifikke populationer ].
Klinisk farmakologi for Lescol
Handlingsmekanisme
Slak is a competitive inhibitor of HMG-CoA reductase the rate limiting enzyme that converts 3-hydroxy-3-methylglutaryl-coenzyme A (HMG-CoA) to mevalonate a precursor of sterols including Kolesterol. The inhibition of Kolesterol biosynthesis reduces the Kolesterol in hepatic cells which stimulates the synthesis of Ldl receptors og thereby increases the uptake of Ldl particles. The end result of these biochemical processes is a reduction of the plasma Kolesterol concentration.
Farmakokinetik
Absorption
Følgende oral administration af kapselfluvastatin når topkoncentrationer på mindre end 1 time. Den absolutte biotilgængelighed er 24%(område 9%-50%) efter administration af en 10 mg dosis.
Ved stabil statsadministration af fluvastatin med aftenmåltid resulterer i et 50% fald i Cmax A 11% fald i AUC og en mere end dobbelt stigning i Tmax sammenlignet med administration 4 timer efter aftenmåltidet. Der blev ikke observeret nogen signifikante forskelle i de lipidsænkende virkninger mellem de to administrationer. Efter enkelt- eller flere doser over 20 mg fluvastatin udviser mættelig første-pass metabolisme, hvilket resulterer i mere end dosis proportional plasma fluvastatinkoncentrationer.
Fluvastatin indgivet som Lescol XL 80 mg tabletter når topkoncentration på cirka 3 timer under fastende forhold efter et fedtfattigt måltid eller 2,5 timer efter et fedtfattigt måltid. Den gennemsnitlige relative biotilgængelighed af XL-tabletten er ca. 29%(interval: 9%-66%) sammenlignet med den for Lescol-kapsel med øjeblikkelig frigivelse, der administreres under fastende forhold. Administration af et måltid med højt fedtindhold forsinkede absorptionen (Tmax: 6H) og øgede biotilgængeligheden af XL-tabletten med ca. 50%. Imidlertid er den maksimale koncentration af Lescol XL set efter et måltid med højt fedtindhold mindre end den maksimale koncentration efter en enkelt dosis eller to gange daglig dosis af den 40 mg Lescol-kapsel.
Fordeling
Fluvastatin er 98% bundet til plasmaproteiner. Det gennemsnitlige distributionsvolumen (VDSS) estimeres til 0,35 l/kg. Ved terapeutiske koncentrationer påvirkes proteinbindingen af fluvastatin ikke af krigsfarinsyreasyre og glyburid.
Metabolisme
Fluvastatin metaboliseres i leveren primært via hydroxylering af indolringen ved 5- og 6-positionerne. N-dealkylering og beta-oxidation af sidekæden forekommer også. Hydroxymetabolitterne har en vis farmakologisk aktivitet, men cirkulerer ikke i blodet. Fluvastatin har to enantiomerer. Begge enantiomerer af fluvastatin metaboliseres på en lignende måde.
In vitro Data indikerer, at fluvastatinmetabolisme involverer flere cytochrome P450 (CYP) isozymer. CYP2C9 -isoenzym er primært involveret i metabolismen af fluvastatin (ca. 75%), mens CYP2C8 og CYP3A4 isoenzymer er involveret i meget mindre grad, dvs. ca. 5% og ca. 20%.
Udskillelse
Følgende oral administration fluvastatin udskilles primært (ca. 90%) i fæces som metabolitter med mindre end 2% til stede som uændret lægemiddel. Cirka 5% af en radiomærket oral dosis blev udvundet i urin. Eliminationshalveringstiden (T½) af fluvastatin er cirka 3 timer.
Specifikke populationer
Nedskærmning af nyren
Hos patienter med moderat til alvorlig nedsat nyrefunktion (CLCR 10-40 ml/min) steg AUC og Cmax ca. 1,2 gange efter administration af en enkelt dosis på 40 mg fluvastatin sammenlignet med raske frivillige. Hos patienter med nyresygdom i slutstadiet på hæmodialyse steg AUC med cirka 1,5 gange. Lescol XL blev ikke evalueret hos patienter med nedsat nyrefunktion. Systemiske eksponeringer efter administration af Lescol XL er imidlertid lavere end efter den 40 mg øjeblikkelige frigørelseskapsel.
Leverskrivning i leveren
Hos patienter med levestillingsfald på grund af levercirrhose øgede fluvastatin AUC og CMAX ca. 2,5 gange sammenlignet med raske forsøgspersoner efter administration af en enkelt 40 mg dosis. De enantiomerforhold for de to isomerer af fluvastatin hos patienter med nedsat leverfunktion var sammenlignelige med dem, der blev observeret hos raske forsøgspersoner.
Geriatrisk
Plasmaniveauer af fluvastatin er ikke signifikant forskellige hos patienters alder> 65 år sammenlignet med patienter i alderen 21 til 49 år.
Køn
I en undersøgelse, der vurderede virkningen af alder og køn på fluvastatin farmakokinetik, var der ingen signifikante forskelle i fluvastatin-eksponeringer mellem mænd og hunner undtagen mellem yngre hunner og yngre mænd (begge aldre 21-49 år), hvor der var en omtrentlig 30% stigning hos AUC hos hunner. Justering for kropsvægt reducerer størrelsen af de ste forskelle. For Lescol XL øges AUC 67% og 77% for kvinder sammenlignet med mænd under henholdsvis fast og fedtfattig måltider.
Pædiatrisk
Farmakokinetiske data i den pædiatriske population er ikke tilgængelige.
Interaktioner med lægemiddel-lægemidler
Data fra medikament-lægemiddelinteraktioner undersøgelser, der involverer samtidig administration af gemfibrozil niacin itraconazol erythromycin tolbutamid eller clopidogrel indikerer, at PK-dispositionen af fluvastatin ikke ændres signifikant, når fluvastatin er tilgivet med nogen af disse lægemidler.
Nedenstående listede lægemiddelinteraktionsinformation er afledt af undersøgelser ved hjælp af Lescol. Lignende undersøgelser er ikke blevet udført ved hjælp af Lescol XL -tabletten.
Tabel 3: Effekt af co-administrerede lægemidler på fluvastatin-systemisk eksponering
| Co-administreret lægemiddel og doseringsregime | Fluvastatin | ||
| Dosis (mg)* | Ændring i AUC ** | Ændring i Cmax ** | |
| Cyclosporin – stable dose (b.i.d)† | 20 mg QD for 14 weeks | ↑ 90% | ↑ 30% |
| Fluconazol 400 mg QD day 1 200 mg b.i.d. day 2-4† | 40 mg QD | ↑ 84% | ↑ 44% |
| Cholestyramine 8 g Qd | 20 mg QD administered 4 hrs after a meal plus cholestyramine | ↓ 51% | ↓ 83% |
| Rifampicin 600 mg QD i 6 dage | 20 mg QD | ↓ 53% | ↓ 42% |
| Cimetidin 400 mg B.I.D. I 5 dage QD på dag 6 | 20 mg QD | ↑ 30% | ↑ 40% |
| Ranitidin 150 mg B.I.D. I 5 dage QD på dag 6 | 20 mg QD | ↑ 10% | ↑ 50% |
| Omeprazol 40 mg QD i 6 dage | 20 mg QD | ↑ 20% | ↑ 37% |
| Phable 300 mg QD | 40 mg b.i.d. for 5 days | ↑ 40 % | ↑ 27% |
| Propranolol 40 mg B.I.D. i 3,5 dage | 40 mg QD | ↓ 5% | Ingen ændring |
| Digoxin 0,1 - 0,5 mg QD i 3 uger | 40 mg QD | Ingen ændring | ↑ 11% |
| Diclofenac 25 mg qd | 40 mg QD for 8 days | ↑ 50 % | ↑ 80% |
| Glyburid 5 – 20 mg QD for 22 days | 40 mg b.i.d for 14 days | ↓ 51% | ↑ 44% |
| *Enkelt dosis, medmindre andet er angivet ** Gennemsnitlig forhold (med/uden coadministreret lægemiddel og ingen ændring = 1 gange) eller % ændring (med/uden coadministeret lægemiddel og ingen ændring = 0 %); Symboler på ↑ og ↓ angiver henholdsvis eksponeringsforøgelsen og falder. † betragtes som klinisk signifikant [se Dosering og administration og Lægemiddelinteraktioner ] |
Data fra lægemiddel-medicinske interaktionsundersøgelser, der involverer fluvastatin og samtidig administration af enten gemfibrozil tolbutamid eller lorsartan, indikerer, at PK-dispositionen af enten gemfibrozil tolbutamid eller lorsartan ikke ændres signifikant, når de coadministeres med fluvastatin.
Tabel 4: Effekt af fluvastatin-co-administration på systemisk eksponering af andre lægemidler
| Fluvastatin dosage regimen | Co-administreret lægemiddel | ||
| Navn og dosis (mg)* | Ændring i AUC* | Ændring i Cmax* | |
| 40 mg QD for 5 days | Phable 300 mg QDf | ↑ 20% | ↑ 5% |
| 40 mg b.i.d. for 21 days | Glyburid 5 - 20 mg QD for 22 days f | ↑ 70% | ↑ 50% |
| 40 mg QD for 8 days | Diclofenac 25 mg qd | ↑ 25% | ↑ 60% |
| 40 mg QD for 8 days | Warfarin 30 mg QD | S-Warfarin: ↑ 7% R-Warfarin: Ingen ændring | S-Warfarin: ↑ 10% R-Warfarin: ↑ 6% |
| *Enkelt dosis, medmindre andet er angivet ** Gennemsnitlig forhold (med/uden coadministreret lægemiddel og ingen ændring = 1 gange) eller % ændring (med/uden coadministeret lægemiddel og ingen ændring = 0 %); Symboler på ↑ og ↓ angiver henholdsvis eksponeringsforøgelsen og falder. † betragtes som klinisk signifikant [se Dosering og administration og Lægemiddelinteraktioner ] |
Kliniske studier
Hypercholesterolæmi (heterozygot familiær og ikke -familiær) og blandet dyslipidæmi
I 12 placebokontrollerede undersøgelser hos patienter med primær hypercholesterolæmi og blandet dyslipidæmi blev Lescol administreret til 1621 patienter i daglige dosisregimer på 20 mg 40 mg og 80 mg (40 mg to gange dagligt) i mindst 6 ugers varighed (tabel 5). Efter 24 ugers behandlingsbehandling med LESCOL resulterede i signifikant reduceret plasma LDL-C TC TG og APO B sammenlignet med placebo og var forbundet med variable stigninger i HDL-C over dosisområdet.
Slak XL has been studied in five controlled studies of patients with primary hyperKolesterolemia og mixed dyslipidemia. Slak XL was administered to over 900 patients in trials from 4 to 26 weeks in duration. In the three largest of these studies Slak XL given as a single daily dose of 80 mg significantly reduced Total-C Ldl-C TG og Apo b og resulted in increases in HDL-C (Table 5).
Hos patienter med primær blandet dyslipidæmi som defineret af baseline plasma TG -niveauer ≥ 200 mg/dL og <400 mg/dL treatment with Slak/Slak XL produced significant decreases in Total-C Ldl-C TG og Apo b og variable increases in HDL-C (Table 5).
Tabel 5: Medianprocentændring i lipidparametre fra basislinje til uge 24 Endpoint Alle placebokontrollerede studier (LESCOL) og Active Controled Trials (Lescol XL)
| Dosis | Total Chol | TG | Ldl | Apo b | HDL | |||||
| N | % D | N | %D | N | % D | N | % D | N | %D | |
| Alle patienter | ||||||||||
| Slak 20 mg 1 | 747 | -17 | 747 | -12 | 747 | -22 | 114 | -19 | 747 | 3 |
| Slak 40 mg 1 | 748 | -19 | 748 | -14 | 748 | -25 | 125 | -18 | 748 | 4 |
| Slak 40 mg twice daily 1 | 257 | -27 | 257 | -18 | 257 | -36 | 232 | -28 | 257 | 6 |
| Slak XL 80 mg 2 | 750 | -25 | 750 | -19 | 748 | -35 | 745 | -27 | 750 | 7 |
| Baseline TG ≥ 200 mg/dL | ||||||||||
| Slak 20 mg 1 | 148 | -16 | 148 | -17 | 148 | -22 | 23 | -19 | 148 | 6 |
| Slak 40 mg 1 | 179 | -18 | 179 | -20 | 179 | -24 | 47 | -18 | 179 | 7 |
| Slak 40 mg twice daily 1 | 76 | -27 | 76 | -23 | 76 | -35 | 69 | -28 | 76 | 9 |
| Slak XL 80 mg 2 | 239 | -25 | 239 | -25 | 237 | -33 | 235 | -27 | 239 | 11 |
| 1 Data til Lescol fra 12 placebokontrollerede forsøg 2 Data til Lescol XL 80 mg tablet fra tre 24-ugers kontrollerede forsøg |
Heterozygot familiær hypercholesterolæmi hos pædiatriske patienter
Lescol blev undersøgt i to open-label ukontrollerede dosis-titreringsundersøgelser. Den første undersøgelse tilmeldte 29 før-pubertal drenge 9-12 år, der havde et LDL-C-niveau> 90. percentil for alder og en forælder med primær hypercholesterolæmi og enten en familiehistorie med for tidligt iskæmisk hjertesygdom eller senhomas. Den gennemsnitlige baseline LDL-C var 226 mg/dL (interval: 137-354 mg/dL). Alle patienter blev startet på Lescol-kapsler 20 mg dagligt med dosisjusteringer hver 6. uge til 40 mg dagligt og derefter 80 mg dagligt (40 mg B.I.D.) for at opnå et LDL-C-mål mellem 96,7-123,7 mg/dl. Endpoint-analyser blev udført i år 2. Lescol nedsatte plasmaniveauer af total-C og LDL-C med henholdsvis 21% og 27%. Den gennemsnitlige opnåede LDL-C var 161 mg/dL (interval: 74-336 mg/dL).
Den anden undersøgelse tilmeldte 85 mandlige og kvindelige patienter 10 til 16 år, der havde en LDL-C> 190 mg/dL eller LDL-C> 160 mg/dL og en eller flere risikofaktorer for koronar hjertesygdom eller LDL-C> 160 mg/dL og en påviste LDL-receptordefekt. Den gennemsnitlige baseline LDL-C var 225 mg/dL (interval: 148-343 mg/dL). Alle patienter blev startet på Lescol-kapsler 20 mg dagligt med dosisjusteringer hver 6. uge til 40 mg dagligt derefter 80 mg dagligt (Lescol 80 mg XL-tablet) for at opnå et LDL-C-mål på <130 mg/dL. Endpoint analyses were performed at Week 114. Slak decreased plasma levels of Total-C og Ldl-C by 22% og 28% respectively. The mean achieved Ldl-C was 159 mg/dL (range: 90-295 mg/dL).
Størstedelen af patienterne i begge undersøgelser (83% i den første undersøgelse og 89% i den anden undersøgelse) blev titreret til den maksimale daglige dosis på 80 mg. Ved studieendingspunkt opnåede 26% til 30% af patienterne i begge undersøgelser et målrettet LDL-C-mål om <130 mg/dL. The long-term efficacy of Slak or Slak XL therapy in childhood to reduce morbidity og mortality in adulthood has not been established.
Sekundær forebyggelse af hjerte -kar -sygdomme
I LESCOL -interventionsforebyggelsesundersøgelsen (LIPS) administrerede virkningen af LESCOL 40 mg to gange dagligt på risikoen for tilbagevendende hjertebegivenheder (tid til første forekomst af hjertedød ikke -dødelig myokardieinfarkt eller revaskularisering) i 1677 patienter med CHD, der havde undergrænset en percutan koronar intervention (PCI) procedure (gennemsnitlig tid fra PCI til randomisering = 3 dage). I denne multicenter randomiserede dobbeltblind placebo-kontrollerede undersøgelse patienter blev behandlet med diæt/livsstilsrådgivning og enten LESCOL 40 mg (n = 844) eller placebo (n = 833) givet to gange dagligt i en median på 3,9 år. Undersøgelsespopulationen var 84% mandlige 98% kaukasiske med 37%> 65 år. Gennemsnitlige baseline-lipidkoncentrationer var: total kolesterol 201 mg/dl LDL-C 132 mg/dl triglycerider 70 mg/dL og HDL-C 39 mg/dL.
LESCOL reducerede signifikant risikoen for tilbagevendende hjertebegivenheder (figur 1) med 22% (P = 0,013 181 patienter i Lescol -gruppen mod 222 patienter i placebogruppen). Revaskulariseringsprocedurer omfattede størstedelen af de indledende tilbagevendende hjertebegivenheder (143 revaskulariseringsprocedurer i Lescol -gruppen og 171 i placebogruppen). Konsistente tendenser i risikoreduktion blev observeret hos patienter> 65 år.
Figur 1: Primært slutpunkt - tilbagevendende hjertebegivenheder (hjerte -død ikke -dødelig MI eller revaskulariseringsprocedure) (ITT -befolkning)
|
Resultatdata for Lescol -interventionsforebyggelsesundersøgelsen er vist i figur 2. efter udelukkelse af revaskulariseringsprocedurer (CABG og gentagen PCI), der forekom inden for de første 6 måneder af den indledende procedure, der involverede den oprindeligt instrumentale stedbehandling med LESCOL, var forbundet med et 32% (P = 0,002) reduktion i risikoen for sen revaskulariseringsprocedurer (CABG eller PCI, der forekommer på det oprindelige sted> 6 måneder efter den indledende procedure).
Figur 2: Lescol® -interventionsforebyggelsesundersøgelse -Primær og sekundære slutpunkter
|
I lipoprotein- og koronar ateroskleroseundersøgelse (LCAS) blev virkningen af Lescol-terapi på koronar aterosklerose vurderet ved kvantitativ koronar angiografi (QCA) hos patienter med CAD og mild til moderat hypercholesterolæmi (baseline LDL-C-rækkevidde 115-190 MG/DL). I dette randomiserede dobbeltblinde placebokontrollerede forsøg blev 429 patienter behandlet med konventionelle mål (trin 1 AHA-diæt) og enten Lescol 40 mg/dag eller placebo. For at tilvejebringe behandling til patienter, der modtog placebo med LDL-C-niveauer ≥ 160 mg/dL ved baseline-supplerende terapi med cholestyramin, blev tilsat efter uge 12 til alle patienter i undersøgelsen med baseline LDL-C-værdier på ≥ 160 mg/dL, som var til stede i 25% af undersøgelsespopulationen. Kvantitative koronarangiogrammer blev evalueret ved baseline og 2,5 år i 340 (79%) angiografiske evaluable patienter.
Sammenlignet med placebo-lescol bremsede signifikant progressionen af koronar aterosklerose målt ved ændring inden for patienten pr. Lesion i minimum lumendiameter (MLD) det primære endepunkt (figur 3 nedenfor) procent diameter stenose (figur 4) og dannelsen af nye læsioner (13% af alle fluVastatinpatienter mod 22% af alle placeringspatienter). En signifikant forskel til fordel for Lescol blev fundet mellem al fluvastatin og alle placebo -patienter i fordelingen mellem de tre kategorier af bestemt progression bestemt regression og blandet eller ingen ændring. Gunstige angiografiske resultater (ændring i MLD) var uafhængige af patienternes køn og konsistente på tværs af en række baseline LDL-C-niveauer.
Figur 3: Ændring i minimum lumendiameter (MM)
|
Figur 4: Ændring i stenose på % diameter
|
Patientinformation til Lescol
Slak®
(fluvastatin natrium) kapsler 20 mg 40 mg
Slak ® XL
(fluvastatin natrium) tabletter med udvidet frigivelse 80 mg
Du skal læse og følge alle instruktioner, før du bruger Lescol eller Lescol XL.
Læs patientoplysningerne hver gang du eller et familiemedlem får Lescol eller Lescol XL. Der kan være nye oplysninger. Denne patientinformation indtager ikke stedet for at tale med din læge om din medicinske tilstand eller behandling. Hvis du har spørgsmål om Lescol eller Lescol XL, så spørg din læge eller farmaceut.
Hvad er Lescol og Lescol XL?
Slak og Slak XL are prescription medicines called statins that lower Kolesterol in your blood. They lower the bad Kolesterol og triglycerides in your blood. They can raise your good Kolesterol as well.
Slak og Slak XL are for people whose Kolesterol does not come down enough with exercise og a low-fat diet alone.
Slak og Slak XL may be used in patients with heart disease (coronary artery disease) to:
- Sænk chancerne for hjerteproblemer, som kræver procedurer for at hjælpe med at genoprette blodgennemstrømningen til hjertet.
- Sænk opbygningen af for meget kolesterol i hjertets arterier.
Behandling med Lescol eller Lescol XL har ikke vist sig at forhindre hjerteanfald eller slagtilfælde.
Slak og Slak XL have the same active ingredient fluvastatin. However Slak is a capsule that is taken one or two times a day og Slak XL is an extended-release tablet that is only taken one time a day.
Hvem skal ikke tage Lescol eller Lescol XL?
Tag ikke Lescol eller Lescol XL, hvis du:
- er gravide eller tror, at du måske er gravid eller planlægger at blive gravid. Lescol og Lescol XL kan skade din ufødte baby. Hvis du bliver gravid, skal du stoppe med at tage Lescol eller Lescol XL og ringe til din læge med det samme.
- er amning. Lescol og Lescol XL kan passere ind i din modermælk og kan skade din baby
- har leverproblemer
- er allergiske over for lescol eller lescol xl eller nogen af dens ingredienser. Den aktive ingrediens i Lescol og Lescol XL er fluvastatin. Se slutningen af denne indlægsseddel for en komplet liste over ingredienser i Lescol og Lescol XL.
Slak og Slak XL have not been studied in children under 9 years of age.
Før du tager Lescol eller Lescol XL, fortæl din læge, hvis du:
- har muskelsmerter eller svaghed
- Drik mere end 2 glas alkohol dagligt
- har diabetes
- har et skjoldbruskkirtelproblem
- har nyreproblemer
Nogle lægemidler bør ikke tages med Lescol eller Lescol XL. Fortæl din læge om alle de medicin, du tager, inklusive receptpligtige og receptpligtige lægemidler vitaminer og urtetilskud. Lescol og Lescol XL og visse andre lægemidler kan interagere med at forårsage alvorlige bivirkninger. Fortæl især din læge, hvis du tager medicin til:
- Dit immunsystem
- Kolesterol
- infektioner
- hjertesvigt
- anfald
- diabetes
- halsbrand eller mavesår
Kend alle de medicin, du tager. Opbevar en liste over alle de medicin, du tager med dig for at vise din læge og farmaceut.
Hvordan skal jeg tage Lescol eller Lescol XL?
- Din læge vil ordinere den medicin, der passer til dig. Tag Lescol eller Lescol XL nøjagtigt som foreskrevet. Skift ikke din dosis eller stop Lescol eller Lescol XL uden at tale med din læge. Din læge udfører muligvis blodprøver for at kontrollere dine kolesterolniveauer under behandling med Lescol og Lescol XL. Din dosis af Lescol eller Lescol XL kan ændres baseret på disse blodprøvesultater.
- Slak XL tablets may be taken at any time of the day. Take Slak capsules at the same time every evening. When Slak capsules are taken twice daily the capsules may be taken once in the morning og once in the evening. Slak og Slak XL can be taken with or without food.
- Slak XL tablets must be swallowed whole with a liquid. Do not break crush or chew Slak XL tablets or open Slak capsules. Tell your doctor if you cannot swallow tablets whole. You may need Slak capsules or a different medicine instead of Slak XL tablets.
- Din læge skal starte dig på en fedtfattig og fedt-cholesterol-diæt, før du giver dig Lescol eller Lescol XL. Bliv på denne fedtfattige og lavt kolesteroldiæt, mens du tager Lescol eller Lescol XL.
- Hvis du går glip af en dosis af Lescol eller Lescol XL, skal du tage det, så snart du husker det. Tag ikke Lescol eller Lescol XL, hvis det er mere end 12 timer siden din sidste dosis. Vent og tag den næste dosis på dit almindelige tidspunkt. Tag ikke 2 doser Lescol eller Lescol XL på samme tid.
- Hvis du tager for meget Lescol eller Lescol XL eller overdosis, skal du ringe til dit læge eller giftkontrolcenter med det samme. Eller gå til det nærmeste akutte rum.
Hvad skal jeg undgå, mens jeg tager Lescol eller Lescol XL?
- Tal med din læge, inden du starter nye medicin. Dette inkluderer receptpligtige og receptpligtige medicin vitaminer og urtetilskud. Lescol og Lescol XL og visse andre lægemidler kan interagere med at forårsage alvorlige bivirkninger.
- Bliv ikke gravid. Hvis du bliver gravid, skal du stoppe med at tage Lescol eller Lescol XL med det samme og ringe til din læge.
Hvad er de mulige bivirkninger af Lescol og Lescol XL?
Når man tager Lescol og Lescol XL, kan nogle patienter udvikle alvorlige bivirkninger, herunder:
Muskelproblemer. Disse alvorlige muskelproblemer kan undertiden føre til nyreproblemer, herunder nyresvigt. Du har en større chance for muskelproblemer, hvis du tager visse andre medicin med Lescol eller Lescol XL. Ring til din læge med det samme, hvis du har:
- Muskelproblemer som svaghed ømhed eller smerter, der sker uden en god grund, især hvis du også har feber eller føler dig mere træt end normalt
leverproblemer. Din læge skal udføre blodprøver for at kontrollere din lever, før du begynder at tage Lescol eller Lescol XL, og hvis du har symptomer på leverproblemer, mens du tager Lescol eller Lescol XL. Ring med din læge med det samme, hvis du har følgende symptomer på leverproblemer:
- føler dig træt eller svag
- Tab af appetit
- øvre mavesmerter
- Mørk ravfarvet urin
- gulning af din hud eller de hvide i dine øjne
De mest almindelige bivirkninger af Lescol eller Lescol XL er hovedpineforstyrrelse mave og mavesmerter diarré influenzalignende symptomer muskelsmerter sinus infektion træthed eller problemer med at sove. Disse bivirkninger er normalt milde og kan forsvinde. Følgende yderligere bivirkninger er rapporteret med Lescol/Lescol XL: hukommelsestab og forvirring.
Tal med din læge eller farmaceut, hvis du har bivirkninger, der generer dig, eller som ikke vil forsvinde.
Dette er ikke alle bivirkninger af Lescol og Lescol XL. Bed din læge eller farmaceut om en komplet liste.
Hvordan skal jeg opbevare Lescol og Lescol XL?
- Opbevar Lescol og Lescol XL ved stuetemperatur 59 ° til 86 ° F (15 ° til 30 ° C). Beskyt mod lys.
- Hold ikke medicin, der er forældet, eller som du ikke længere har brug for.
- Hold Lescol og Lescol XL uden for børns rækkevidde. Sørg for, at hvis du smider medicin væk, er det uden for børns rækkevidde.
Generel information om Lescol og Lescol XL
Medicin er undertiden ordineret til tilstande, der ikke er nævnt i patientinformationsoplysninger. Brug ikke Lescol eller Lescol XL til en betingelse, som den ikke blev ordineret til. Giv ikke Lescol eller Lescol XL til andre mennesker, selvom de har det samme problem, du har; Det kan skade dem.
For mere information kan du også besøge Novartis-webstedet på www.lescolxl.com eller ringe til Novartis Help Line på 1-888-669-6682.
Hvad er ingredienserne i Lescol og Lescol XL?
Aktiv ingrediens: Fluvastatin -natrium
Inaktive ingredienser:
Slak Capsules: Calciumcarbonatgelatin -magnesiumstaratmikrokrystallinsk cellulosepregelatiniseret stivelse (majs) rødt jernoxid natriumbicarbonat talkum titandioxid gul jernoxid og andre ingredienser. Kapslerne kan også indeholde benzylalkohol sort jernoxid butylparaben carboxymethylcellulose natriumdetat calcium disodium methylparaben propylparaben siliciumdioxid natrium lauryl sulfat og natriumpropionat.
Slak XL Tablets: Mikrokrystallinsk cellulosehydroxypropylcellulosehydroxypropylmethylcellulosekaliumbicarbonat povidon magnesiumstearat gult jernoxid titandioxid og polyethylenglycol 8000.