Oplysningerne På Webstedet Er Ikke Medicinsk Rådgivning. Vi Sælger Ikke Noget. Nøjagtigheden Af Oversættelsen Er Ikke Garanteret. Ansvarsfraskrivelse
ADHD -agenter
Strattera
Resume af lægemiddeloversigt
Hvad er Strattera?
Strattera (atomoxetin) er en selektiv noradrenalin Genoptag inhibitor ordineret til behandling opmærksomhedsunderskud hyperaktivitetsforstyrrelse ( ADHD ). Strattera fås som en generisk lægemiddel .
Hvad er bivirkninger af Strattera?
Almindelige bivirkninger af strattera inkluderer:
- Problemer med at sove (søvnløshed)
- tør mund
- hoste
- nedsat appetit
- ked af maven
- kvalme eller opkast
- svimmelhed
- døsighed
- irritabilitet
- forstoppelse
- Skinudslæt
- kløe
- øget menstruationskramper og
- Seksuelle bivirkninger inklusive
- impotens
- Tab af interesse for sex eller
- Problemer med at have en orgasme.
- Sværhedsgrad vandladning
- usædvanligt hurtig eller uregelmæssig hjerteslag
- besvimende eller
- følelsesløshed eller prikken.
Dosering til strattera
Strattera-dosis varierer fra 40 mg/dag til 100 mg/dag givet i 1-2 opdelte doser.
Hvilke stoffer stoffer eller kosttilskud interagerer med strattera?
Strattera kan interagere med Albuterol amiodarone bupropion celecoxib cimetidin doxorubicin methadon metoclopramid quinidin ritonavir Ranitidin Terbinafine antidepressiva Antihistaminer eller sleep medicines. Tell your docteller all medication og supplements you use.
Strattera under graviditet og amning
Strattera kan forårsage alvorlig leverskade. Der er ingen tilstrækkelige undersøgelser af strattera hos gravide kvinder, og det vides ikke, om Strattera udskilles i human modermælk. Fortæl din læge, hvis du er gravid eller planlægger at blive gravid, eller hvis du ammer, før du bruger Strattera.
Yderligere oplysninger
Vores Strattera -bivirkninger Drug Center giver et omfattende overblik over tilgængelige lægemiddelinformation om de potentielle bivirkninger, når du tager denne medicin.
FDA -lægemiddelinformation
- Lægemiddelbeskrivelse
- Indikationer
- Dosering
- Bivirkninger
- Lægemiddelinteraktioner
- Advarsler
- Overdosis
- Kontraindikationer
- Klinisk farmakologi
- Medicin vejledning
ADVARSEL
Selvmordstanker hos børn og unge
Strattera (atomoxetin) øgede risikoen for selvmordstanker i kortvarige studier hos børn eller unge med opmærksomhedsunderskud/hyperaktivitetsforstyrrelse (ADHD). Enhver, der overvejer brugen af strattera i et barn eller en ungdom, skal afbalancere denne risiko med det kliniske behov. Co-morbiditeter, der forekommer med ADHD, kan være forbundet med en stigning i risikoen for selvmordstanker og/eller adfærd. Patienter, der er startet på terapi, skal overvåges nøje for selvmord (selvmordstænkning og adfærd) klinisk forværring eller usædvanlige ændringer i adfærd. Familier og plejere bør rådes om behovet for tæt observation og kommunikation med recept. Strattera er godkendt til ADHD hos pædiatriske og voksne patienter. Strattera er ikke godkendt til større depressiv lidelse. Samlede analyser af kortvarige (6 til 18 uger) placebokontrollerede forsøg med strattera hos børn og unge (i alt 12 forsøg, der involverede over 2200 patienter, herunder 11 forsøg i ADHD og 1 forsøg i enuresis), har afsløret en større risiko for selvmordstande tidligt under behandlingen i dem, der modtog Strattera sammenlignet med placebo. Den gennemsnitlige risiko for selvmordstanker hos patienter, der fik strattera, var 0,4% (5/1357 patienter) sammenlignet med ingen hos placebo-behandlede patienter (851 patienter). Ingen selvmord forekom i disse forsøg [se ADVARSELS AND FORHOLDSREGLER ].
Beskrivelse til strattera
Strattera ® (atomoxetin) er en selektiv noradrenalin Genoptag Inhibitor. Atomoxetin HCl er R (-) isomeren som bestemt ved røntgenstrålediffraktion. Den kemiske betegnelse er (-)- N -Methyl-3-phenyl-3- ( o -tolyloxy) -propylaminhydrochlorid. Den molekylære formel er C 17 H 21 Nej • HCL, der svarer til en molekylvægt på 291,82. Den kemiske struktur er:
|
Atomoxetin HCI er et hvidt til praktisk talt hvidt fast stof, der har en opløselighed på 27,8 mg/ml i vand.
Strattera capsules are intended feller elleral administration only.
Hver kapsel indeholder atomoxetin HCL svarende til 10 18 25 40 60 80 eller 100 mg atomoxetin. Kapslerne indeholder også pregelatiniseret stivelse og dimethicon. Kapselskaller indeholder gelatinnatriumlaurylsulfat og andre inaktive ingredienser. Kapselskaller indeholder også et eller flere af følgende:
Fd
Anvendelser til strattera
Opmærksomhedsunderskud/hyperaktivitetsforstyrrelse (ADHD)
Strattera is indicated feller the treatment of Opmærksomhedsunderskud/hyperaktivitetsforstyrrelse (ADHD).
Effektiviteten af Strattera-kapsler blev etableret i syv kliniske forsøg hos ambulante patienter med ADHD: Fire 6 til 9-ugers forsøg hos pædiatriske patienter (i alderen 6 til 18 år) To 10-ugers forsøg hos voksne og et vedligeholdelsesforsøg i pædiatri (i alderen 6 til 15 år) [se Kliniske studier ].
Diagnostiske overvejelser
En diagnose af ADHD (DSM-IV) indebærer tilstedeværelsen af hyperaktive-impulsive eller uopmærksomme symptomer, der forårsager svækkelse, og som var til stede før 7 år. Symptomerne skal være vedvarende skal være mere alvorlige, end det typisk observeres hos individer på et sammenligneligt udviklingsniveau, skal forårsage klinisk betydelig svækkelse, f.eks. i social akademisk eller erhvervsmæssig funktion og skal være til stede i 2 eller flere indstillinger f.eks. skole (eller arbejde) og derhjemme. Symptomerne må ikke bedre redegøres for en anden mental forstyrrelse.
Den specifikke etiologi af ADHD er ukendt, og der er ingen enkelt diagnostisk test. Tilstrækkelig diagnose kræver brug ikke kun for medicinsk, men også af særlige psykologiske uddannelsesmæssige og sociale ressourcer. Læring kan muligvis ikke være nedsat. Diagnosen skal være baseret på en komplet historie og evaluering af patienten og ikke kun på tilstedeværelsen af det krævede antal DSM-IV-egenskaber.
For den uopmærksomme type skal mindst 6 af følgende symptomer have været vedvarende i mindst 6 måneder: Mangel på opmærksomhed på detaljer/skødesløse fejl Mangel på vedvarende opmærksomhed Dårlig lytter, der mangler at følge op på opgaver, dårlig organisation undgår opgaver, der kræver vedvarende mental indsats, mister tingene let distraheret glemsom. For den hyperaktive impulsive type skal mindst 6 af følgende symptomer have været vedvarende i mindst 6 måneder: fidgeting/squirming, der forlader sædet upassende løb/klatringsvanskeligheder med stille aktiviteter på GO overdreven talende sløring af svar kan ikke vente på at blive indgribende. For en kombineret type diagnose skal både uopmærksomme og hyperaktive-impulsive kriterier være opfyldt.
Behov for omfattende behandlingsprogram
Strattera is indicated as an integral part of a total treatment program feller ADHD that may include other measures (psychological educational social) feller patients with this syndrome. Drug treatment may not be indicated feller all patients with this syndrome. Drug treatment is not intended feller use in the patient who exhibits symptoms secondary to environmental factellers og/eller other primary psychiatric disellerders including Psykose. Appropriate educational placement is essential in children og adolescents with this diagnosis og psychosocial intervention is often helpful. When remedial measures alone are insufficient the decision to prescribe drug treatment medication will depend upon the physician’s assessment of the chronicity og severity of the patient’s symptoms.
Dosering til strattera
Akut behandling
Dosering af børn og unge op til 70 kg kropsvægt
Strattera should be initiated at a total daily dose of approximately 0.5 mg/kg og øget after a minimum of 3 days to a target total daily dose of approximately 1.2 mg/kg administered either as a single daily dose in the mellerning eller as evenly divided doses in the mellerning og late afternoon/early evening. No additional benefit has been demonstrated feller doses higher than 1.2 mg/kg/day [see Kliniske studier ].
Den samlede daglige dosis hos børn og unge bør ikke overstige 1,4 mg/kg eller 100 mg alt efter hvad der er mindre.
Dosering af børn og unge over 70 kg kropsvægt og voksne
Strattera should be initiated at a total daily dose of 40 mg og øget after a minimum of 3 days to a target total daily dose of approximately 80 mg administered either as a single daily dose in the mellerning eller as evenly divided doses in the mellerning og late afternoon/early evening. After 2 to 4 additional weeks the dose may be øget to a maximum of 100 mg in patients who have not achieved an optimal response. There are no data that suppellert øget effectiveness at higher doses [see Kliniske studier ].
Den maksimale anbefalede samlede daglige dosis hos børn og unge over 70 kg og voksne er 100 mg.
Vedligeholdelse/udvidet behandling
Det er generelt aftalt, at farmakologisk behandling af ADHD kan være nødvendig i længere perioder. Fordelen ved at opretholde pædiatriske patienter (i alderen 6-15 år) med ADHD på Strattera efter at have opnået et svar i et dosisområde fra 1,2 til 1,8 mg/kg/dag blev demonstreret i et kontrolleret forsøg. Patienter, der blev tildelt Strattera i vedligeholdelsesfasen, blev generelt fortsat på den samme dosis, der blev anvendt til at opnå et svar i den åbne etiketfase. Den læge, der vælger at bruge Strattera i længere perioder, bør med jævne mellemrum revurdere lægemidlets langsigtede nytten til den enkelte patient [se Kliniske studier ].
Generel doseringsinformation
Strattera may be taken with eller without food.
Strattera can be discontinued without being tapered.
Strattera capsules are not intended to be opened they should be taken whole [see Patientinformation ]. The safety of single doses over 120 mg og total daily doses above 150 mg have not been systematically evaluated.
Skærm til bipolar lidelse, inden Strattera startes
Før man indledte behandling med Strattera -skærmpatienter til en personlig eller familiehistorie med bipolar lidelse mani eller hypomani [se ADVARSELS AND FORHOLDSREGLER ].
Dosering i specifikke populationer
Doseringsjustering for hepatiske nedsatte patienter
For de ADHD-patienter, der har lever-insufficiens (HI) doseringsjustering, anbefales som følger: For patienter med moderat HI (børnepugh klasse B) initial og måldoser skal reduceres til 50% af den normale dosis (for patienter uden HI). For patienter med svær HI (børnepugh klasse C) skal indledende dosis og måldoser reduceres til 25% af det normale [se Brug i specifikke populationer ].
Doseringsjustering til brug med en stærk CYP2D6 -hæmmer eller hos patienter, der er kendt for at være CYP2D6 PMS
Hos børn og unge indgives op til 70 kg kropsvægt stærke CYP2D6 -hæmmere f.eks. Paroxetinfluoxetin og quinidin eller hos patienter, der er kendt for at være CYP2D6 PMS -strattera, skal initieres ved 0,5 mg/kg/dag og øges kun til den sædvanlige måldosis på 1,2 mg/kg/dag, hvis symptomerne ikke forbedres efter 4 uger, og den indledende dosis toleres godt.
Hos børn og unge administrerede over 70 kg kropsvægt og voksne stærke CYP2D6 -hæmmere f.eks. Paroxetinfluoxetin og quinidin strattera bør initieres ved 40 mg/dag og øges kun til den sædvanlige måldosis på 80 mg/dag, hvis symptomerne ikke forbedres efter 4 uger, og den indledende dosis tolereres godt.
Hvor leveret
Dosering Fellerms And Strengths
Hver kapsel indeholder atomoxetin HCI svarende til 10 mg (uigennemsigtig hvid uigennemsigtig hvid) 18 mg (guld uigennemsigtig hvid) 25 mg (uigennem atomoxetin.
Fluconazol 150 mg doseringsgærinfektion
Opbevaring og håndtering
| Strattera ® Kapsler | 10 mg a | 18 mg a | 25 mg a | 40 mg a | 60 mg a | 80 mg a | 100 mg a |
| Farve | Uigennemsigtig hvid uigennemsigtig hvid | Guld uigennemsigtig hvid | Uigennemsigtig blå uigennemsigtig hvid | Uigennemsigtig blå uigennemsigtig blå | Uigennemsigtigt blåt guld | Uigennemsigtig brun uigennemsigtig hvid | Uigennemsigtig brun uigennemsigtig brun |
| Identifikation | Lilly 3227 | Lilly 3238 | Lilly 3228 | Lilly 3229 | Lilly 3239 | Lilly 3250 | Lilly 3251 |
| 10 mg | 18 mg | 25 mg | 40 mg | 60 mg | 80 mg | 100 mg | |
| NDC -koder: | |||||||
| Flasker på 30 | 0002-322730 | 0002-323830 | 0002-322830 | 0002-322930 | 0002-323930 | 0002-325030 | 0002-325130 |
| a Atomoxetinbaseækvivalent. |
Opbevares ved 25 ° C (77 ° F); Udflugter tilladt til 15 ° til 30 ° C (59 ° til 86 ° F) [se USP -kontrolleret stuetemperatur].
Markedsført af: Lilly USA LLC Indianapolis i 46285 USA. Revideret: Jan 2022
Bivirkninger feller Strattera
Kliniske forsøg oplever
Strattera was administered to 5382 children eller adolescent patients with ADHD og 1007 adults with ADHD in clinical studies. During the ADHD clinical trials 1625 children og adolescent patients were treated feller longer than 1 year og 2529 children og adolescent patients were treated feller over 6 months.
Fordi kliniske forsøg udføres under vidt forskellige tilstande, kan der ikke sammenlignes bivirkninger, der er observeret i de kliniske forsøg med et lægemiddel, ikke direkte med hastigheder i de kliniske forsøg med et andet lægemiddel og muligvis ikke afspejler de satser, der er observeret i praksis.
Kliniske forsøg på børn og unge
Årsager til seponering af behandlingen på grund af bivirkninger i kliniske forsøg på børn og unge
I akut barn og ungdoms placebokontrollerede forsøg 3,0% (48/1613) af atomoxetinpersoner og 1,4% (13/945) placebo-personer ophørte for bivirkninger. For alle undersøgelser (inklusive open-label og langtidsundersøgelser) 6,3% af de omfattende metabolisator (EM) patienter og 11,2% af patienterne (PM) af den dårlige metabolisator (PM) afbrudte på grund af en bivirkning. Blandt strattera-behandlede patienter irritabilitet (NULL,3% n = 5); Somnolens (NULL,3% n = 5); aggression (NULL,2% n = 4); kvalme (NULL,2% n = 4); opkast (NULL,2% n = 4); mavesmerter (NULL,2% n = 4); forstoppelse (NULL,1% n = 2); træthed (NULL,1% n = 2); føler sig unormal (NULL,1% n = 2); og hovedpine (NULL,1% n = 2) var årsagerne til seponering rapporteret af mere end 1 patient.
Anfald
Strattera has not been systematically evaluated in pediatric patients with seizure disellerder as these patients were excluded from clinical studies during the product’s premarket testing. In the clinical development program seizures were repellerted in 0.2% (12/5073) of children whose average age was 10 years (range 6 to 16 years). In these clinical trials the seizure risk among poeller metabolizers was 0.3% (1/293) compared to 0.2% (11/4741) feller extensive metabolizers.
Almindelige observerede bivirkninger i akut barn og ungdoms placebokontrollerede forsøg
Almindelige observerede bivirkninger forbundet med brugen af strattera (forekomst af 2% eller større) og ikke observeret ved en ækvivalent forekomst blandt placebo-behandlede patienter (Strattera-forekomst større end placebo) er anført i tabel 2. Resultater var ens i budet og QD-forsøget, undtagen som vist i tabel 3, der viser både bud og QD-resultater for valgte bivirkninger, der var baseret på statistisk signifikant Breslow-dag. De mest almindeligt observerede bivirkninger hos patienter, der blev behandlet med strattera (forekomst på 5% eller større, og mindst dobbelt så meget i placebo -patienter til enten bud eller QD -dosering) var: kvalme opkastning af træthed reducerede appetitmagsmerter og somnolens (se tabel 2 og 3).
Yderligere data fra ADHD -kliniske forsøg (kontrolleret og ukontrolleret) har vist, at ca. 5 til 10% af pædiatriske patienter oplevede potentielt klinisk vigtige ændringer i hjerterytmen (≥20 slag pr. Min) eller blodtryk (≥15 til 20 mm Hg) [Se se Kontraindikationer og ADVARSELS AND FORHOLDSREGLER ].
Tabel 2: Almindelig behandling - Notgent bivirkninger forbundet med brugen af strattera i akut (op til 18 uger) børne- og ungdomsforsøg
| Bivirkning a | Procentdel af patienter, der rapporterer reaktion | |
| Strattera (N = 1597) | Placebo (N = 934) | |
| Gastrointestinale lidelser | ||
| b | 18 | 10 |
| 11 | 6 | |
| 10 | 5 | |
| Generelle lidelser og administrationsstedets forhold | ||
| 8 | 3 | |
| 6 | 3 | |
| 2 | 1 | |
| Undersøgelser | ||
| 3 | 0 | |
| Metabolisme og ernæringsmæssige lidelser | ||
| 16 | 4 | |
| 3 | 1 | |
| Nervesystemforstyrrelser | ||
| 19 | 15 | |
| c | 11 | 4 |
| 5 | 2 | |
| Hud og subkutane vævsforstyrrelser | ||
| 2 | 1 | |
| a Reaktioner rapporteret af mindst 2% af patienterne behandlet med atomoxetin og større end placebo. Følgende reaktioner opfyldte ikke dette kriterium, men blev rapporteret af flere atomoxetin-behandlede patienter end placebo-behandlede patienter og er muligvis relateret til atomoxetinbehandling: blodtrykket øget opvågning af morgenen til at opvirke (terminal søvnløshed) Skylning af mydriasis sinus tachycardia asthenia palpitationer Humm svinger Konstipation og dysepepsia. Følgende reaktioner blev rapporteret af mindst 2% af patienterne behandlet med atomoxetin og lig med eller mindre end placebo: pharyngolaryngeal smerte søvnløshed (søvnløshed inkluderer udtrykkene søvnløshed initial søvnløshed i midten af søvnløshed). Følgende reaktion opfyldte ikke dette kriterium, men viser et statistisk signifikant dosisforhold: kløe. b Abdominal smerte inkluderer udtrykkene: abdominal smerte øvre abdominal smerte mave ubehag abdominal ubehag epigastrisk ubehag. c Somnolens inkluderer udtrykkene: sedation somnolens. |
Tabel 3: Almindelige behandlingsfremkaldende bivirkninger, der
| Bivirkning | Procentdel af patienter, der rapporterer om budforsøg | Procentdel af patienter, der rapporterer om reaktion fra QD -forsøg | ||
| Strattera (N = 715) | Placebo (N = 434) | Strattera (N = 882) | Placebo (N = 500) | |
| Gastrointestinale lidelser | ||||
| a | 17 | 13 | 18 | 7 |
| 11 | 8 | 11 | 4 | |
| 7 | 6 | 13 | 4 | |
| b | 2 | 1 | 1 | 0 |
| Generelle lidelser | ||||
| 6 | 4 | 9 | 2 | |
| Psykiatriske lidelser | ||||
| c | 2 | 0 | 1 | 1 |
| a Abdominal smerte inkluderer udtrykkene: abdominal smerte øvre abdominal smerte mave ubehag abdominal ubehag epigastrisk ubehag. b Forstoppelse opfyldte ikke den statistiske betydning ved Breslow-Day-testen, men er inkluderet i tabellen på grund af farmakologisk plausibilitet. c Humørsvingninger opfyldte ikke den statistiske betydning på Breslow-Day-testen på 0,05 niveau, men p-værdien var <0.1 (trend). |
Følgende bivirkninger forekom hos mindst 2% af børn og teenager CYP2D6 PM -patienter og var statistisk signifikant hyppigere hos PM -patienter sammenlignet med CYP2D6 EM -patienter: søvnløshed (11% af PMS 6% af EMS); Vægten faldt (7% af PMS 4% af EMS); forstoppelse (7% af PMS 4% af EMS); depression 1 (7% af PMS 4% af EMS); rysten (5% af PMS 1% af EMS); Excoriation (4% af PMS 2% af EMS); Middle søvnløshed (3% af PMS 1% af EMS); konjunktivitis (3% af PMS 1% af EMS); Synkope (3% af PMS 1% af EMS); Tidlig morgen Awakening (2% af PMS 1% af EMS); mydriasis (2% af PMS 1% af EMS); Sedation (4% af PMS 2% af EMS).
1 Depression inkluderer følgende udtryk: Depression Major Depression Depressive Symptomer Deptryet Mood Dysforia.
Kliniske forsøg på voksne
Årsager til seponering af behandlingen på grund af bivirkninger i akutte voksne placebokontrollerede forsøg
I de akutte voksne placebokontrollerede forsøg 11,3% (61/541) atomoxetinpersoner og 3,0% (12/405) placebo-personer ophørte for bivirkninger. Blandt strattera-behandlede patienter søvnløshed (NULL,9% N = 5); kvalme (NULL,9% n = 5); brystsmerter (NULL,6% n = 3); træthed (NULL,6% n = 3); angst (NULL,4% n = 2); erektil dysfunktion (NULL,4% n = 2); humørsvingninger (NULL,4% n = 2); nervøsitet (NULL,4% n = 2); hjertebanken (NULL,4% n = 2); og urinretention (NULL,4% n = 2) var årsagerne til seponering rapporteret af mere end 1 patient.
Anfald
Strattera has not been systematically evaluated in adult patients with a seizure disellerder as these patients were excluded from clinical studies during the product’s premarket testing. In the clinical development program seizures were repellerted on 0.1% (1/748) of adult patients. In these clinical trials no poeller metabolizers (0/43) repellerted seizures compared to 0.1% (1/705) feller extensive metabolizers.
Almindelige observerede bivirkninger i akutte voksne placebokontrollerede forsøg
Almindelige observerede bivirkninger forbundet med brugen af strattera (forekomst på 2% eller større) og ikke observeret ved en ækvivalent forekomst blandt placebo-behandlede patienter (strattera-forekomst større end placebo) er anført i tabel 4. De mest almindeligt observerede bivirkninger i patienter behandlet med strattera ( Svimmelhed erektil dysfunktion og urin tøven (se tabel 4).
Yderligere data fra ADHD kliniske forsøg (kontrolleret og ukontrolleret) har vist, at ca. 5 til 10% af voksne patienter oplevede potentielt klinisk vigtige ændringer i hjerterytmen (≥20 slag pr. Min) eller blodtryk (≥15 til 20 mm Hg) [se Kontraindikationer og ADVARSELS AND FORHOLDSREGLER ].
Tabel 4: Almindelige behandlingsfremkaldende bivirkninger forbundet med brugen af strattera i akutte (op til 25 uger) voksne forsøg
| Bivirkning a | Procentdel af patienter, der rapporterer reaktion | |
| Strattera (N = 1697) | Placebo (N = 1560) | |
| Hjerteforstyrrelser | ||
| 3 | 1 | |
| Gastrointestinale lidelser | ||
| 20 | 5 | |
| 26 | 6 | |
| 8 | 3 | |
| b | 7 | 4 |
| 4 | 2 | |
| 4 | 2 | |
| Generelle lidelser og administrationsstedets forhold | ||
| 10 | 6 | |
| 3 | 0 | |
| 2 | 1 | |
| 5 | 3 | |
| 2 | 1 | |
| Undersøgelser | ||
| 2 | 1 | |
| Metabolisme og ernæringsmæssige lidelser | ||
| 16 | 3 | |
| Nervesystemforstyrrelser | ||
| 8 | 3 | |
| c | 8 | 5 |
| 3 | 0 | |
| Psykiatriske lidelser | ||
| 4 | 3 | |
| 15 | 8 | |
| d | 3 | 1 |
| 3 | 1 | |
| Nyre- og urinforstyrrelser | ||
| e | 6 | 1 |
| 2 | 0 | |
| Reproduktionssystem og brystforstyrrelser | ||
| f | 8 | 1 |
| g | 3 | 2 |
| f | 4 | 1 |
| Hud og subkutane vævsforstyrrelser | ||
| 4 | 1 | |
| Vaskulære lidelser | ||
| 3 | 0 | |
| a Reaktioner rapporteret af mindst 2% af patienterne behandlet med atomoxetin og større end placebo. Følgende reaktioner opfyldte ikke dette kriterium, men blev rapporteret af flere atomoxetin-behandlede patienter end placebo-behandlede patienter og er muligvis relateret til atomoxetinbehandling: Perifer koldhed Tachycardia Prostatitis Testikulær smerte Orgasme Abnormal flatulens Asthenia Følelse af kold muskel Spasm Dysgeusia Agitation Retløshed Skylning af rysten menstruation uregelmæssig udslæt og urinretention. Følgende reaktioner blev rapporteret af mindst 2% af patienterne behandlet med atomoxetin og lig med eller mindre end placebo: angstdiarré rygsmerter hovedpine og oropharyngeal smerte. b Abdominal smerte inkluderer udtrykkene: abdominal smerte øvre abdominal smerte mave ubehag abdominal ubehag epigastrisk ubehag. c Somnolens inkluderer udtrykkene: sedation somnolens. d Søvnløshed inkluderer udtrykkene: søvnløshed initial søvnløshed i midten og terminal søvnløshed. e Urin tøven inkluderer udtrykkene: urinstrømmen i urin tøven faldt. f Baseret på det samlede antal mænd (Strattera N = 943; placebo n = 869). g Baseret på det samlede antal kvinder (Strattera N = 754; placebo n = 691). |
Følgende bivirkninger forekom hos mindst 2% af voksne CYP2D6 -fattige metabolisator (PM) -patienter og var statistisk signifikant hyppigere hos PM -patienter sammenlignet med CYP2D6 omfattende metabolisator (EM) patienter: Vision sløret (4% af PMS 1% af EMS); tør mund (35% af PMS 17% af EMS); forstoppelse (11% af PMS 7% af EMS); Følelse af jittery (5% af PMS 2% af EMS); nedsat appetit (23% af PMS 15% af EMS); rysten (5% af PMS 1% af EMS); søvnløshed (19% af PMS 11% af EMS); søvnforstyrrelse (7% af PMS 3% af EMS); Middle søvnløshed (5% af PMS 3% af EMS); terminal søvnløshed (3% af PMS 1% af EMS); urinretention (6% af PMS 1% af EMS); erektil dysfunktion (21% af PMS 9% af EMS); ejakulationsforstyrrelse (6% af PMS 2% af EMS); hyperhidrosis (15% af PMS 7% af EMS); Perifer kulde (3% af PMS 1% af EMS).
Mandlig og kvindelig seksuel dysfunktion
Atomoxetin ser ud til at forringe seksuel funktion hos nogle patienter. Ændringer i seksuel lyst seksuel præstation og seksuel tilfredshed vurderes ikke godt i de fleste kliniske forsøg, fordi de har brug for særlig opmærksomhed, og fordi patienter og læger kan være tilbageholdende med at diskutere dem. I overensstemmelse hermed vil estimaterne af forekomsten af uhensigtsmæssig seksuel oplevelse og præstation, der er citeret i produktmærkning, sandsynligvis undervurdere den faktiske forekomst. Tabel 4 ovenfor viser forekomsten af seksuelle bivirkninger rapporteret af mindst 2% af voksne patienter, der tager Strattera i placebokontrollerede forsøg.
Der er ingen tilstrækkelige og godt kontrollerede undersøgelser, der undersøger seksuel dysfunktion med Strattera-behandling. Selvom det er vanskeligt at kende den nøjagtige risiko for seksuel dysfunktion forbundet med brugen af Strattera -læger, bør rutinemæssigt forhøre sig om sådanne mulige bivirkninger.
Eftermarkedsføring af spontane rapporter
Følgende bivirkninger er blevet identificeret under anvendelse af strattera efter godkendelse af strattera. Medmindre andet er angivet, er disse bivirkninger forekommet hos voksne og børn og unge. Fordi disse reaktioner rapporteres frivilligt fra en population af usikker størrelse, er det ikke altid muligt at pålideligt estimere deres frekvens eller etablere et årsagsforhold til eksponering for lægemidler.
Kardiovaskulært system - QT forlængelse synkope.
Perifere vaskulære effekter - Raynauds fænomen.
Generelle lidelser og administrationsstedets forhold - sløvhed.
Muskuloskeletalsystem - Rhabdomyolyse.
Nervesystemforstyrrelser - hypoAesthesia; paraesthesia hos børn og unge; sensoriske forstyrrelser; tics.
Psykiatriske lidelser - Depression og deprimeret humør; Angst libido ændrer sig.
Anfald - Der er rapporteret om anfald i postmarketingperioden. Tilfælde af anfald af anfald inkluderer patienter med allerede eksisterende anfaldsforstyrrelser og dem med identificerede risikofaktorer for anfald såvel som patienter med hverken en historie med eller identificerede risikofaktorer for anfald. Det nøjagtige forhold mellem strattera og anfald er vanskeligt at evaluere på grund af usikkerhed om baggrundsrisikoen for anfald hos ADHD -patienter.
Hud og subkutane vævsforstyrrelser - Alopecia hyperhidrosis.
Urogenitalt system - mandlige bækkensmerter; urin tøven hos børn og unge; Urinopbevaring hos børn og unge.
Lægemiddelinteraktioner feller Strattera
Monoaminoxidaseinhibitorer
Med andre lægemidler, der påvirker hjernemonoaminkoncentrationer, har der været rapporter om alvorlige undertiden dødelige reaktioner (inklusive hypertermi stivhed myoclonus autonom ustabilitet med mulige hurtige udsving i vitale tegn og mentale statusændringer, der inkluderer ekstrem agitation, der skrider frem til delirium og koma), når de tages i kombination med en maoi. Nogle tilfælde præsenteret med funktioner, der ligner neuroleptisk malignt syndrom. Sådanne reaktioner kan forekomme, når disse lægemidler gives samtidigt eller i nærheden [se Kontraindikationer ].
Effekt af CYP2D6 -hæmmere på atomoxetin
I omfattende metabolisatorer (EMS) hæmmere af CYP2D6 (f.eks. Paroxetinfluoxetin og quinidin) øger atomoxetin-steady-state plasmakoncentrationer til eksponeringer svarende til dem, der er observeret i dårlige metabolisatorer (PMS). Hos EM-individer, der behandles med paroxetin eller fluoxetin, er AUC af atomoxetin ca. 6 til 8 gange og CSS Max er ca. 3 til 4 gange større end atomoxetin alene.
In vitro Undersøgelser antyder, at samtidig administration af cytochrome P450 -hæmmere til PMS ikke vil øge plasmakoncentrationerne af atomoxetin.
Antihypertensive lægemidler og pressoragenter
På grund af mulige effekter på blodtrykket skal strattera bruges forsigtigt med antihypertensive lægemidler og pressormidler (f.eks. Dopamin dobutamin) eller andre lægemidler, der øger blodtrykket.
Albuterol
Strattera should be administered with caution to patients being treated with systemically-administered (elleral eller intravenous) Albuterol (eller other beta2 agonists) because the action of Albuterol on the cardiovascular system can be potentiated resulting in increases in heart rate og blood pressure. Albuterol (600 mcg iv over 2 hours) induced increases in heart rate og blood pressure. These effects were potentiated by atomoxetine (60 mg BID feller 5 days) og were most marked after the initial coadministration of Albuterol og atomoxetine. However these effects on heart rate og blood pressure were not seen in another study after the coadministration with inhaled dose of Albuterol (200-800 mcg) og atomoxetine (80 mg QD feller 5 days) in 21 healthy Asian subjects who were excluded feller poeller metabolizer status.
Effekt af atomoxetin på P450 -enzymer
Atomoxetin forårsagede ikke klinisk vigtig inhibering eller induktion af cytochrome P450 -enzymer inklusive CYP1A2 CYP3A CYP2D6 og CYP2C9.
CYP3A -substrat (f.eks. Midazolam)
Coadministration af strattera (60 mg bud i 12 dage) med midazolam en modelforbindelse til CYP3A4 -metaboliserede lægemidler (enkelt dosis på 5 mg) resulterede i 15% stigning i AUC af midazolam. Ingen dosisjustering anbefales til lægemidler, der metaboliseres af CYP3A.
CYP2D6 -underlag (f.eks. Desipramine)
Coadministration af strattera (40 eller 60 mg bud i 13 dage) med desipramin en modelforbindelse til CYP2D6 -metaboliserede lægemidler (enkelt dosis på 50 mg) ændrede ikke farmakokinetikken af desipramin. Ingen dosisjustering anbefales til lægemidler, der metaboliseres af CYP2D6.
Alkohol
Forbrug af ethanol med strattera ændrede ikke de berusende virkninger af ethanol.
Methylphenidat
Coadministration af methylphenidat med strattera øgede ikke kardiovaskulære effekter ud over dem, der blev set med methylphenidat alene.
Lægemidler, der er meget bundet til plasmaprotein
In vitro Lægemiddelfortrængningsundersøgelser blev udført med atomoxetin og andre stærkt bundne lægemidler ved terapeutiske koncentrationer. Atomoxetin påvirkede ikke bindingen af warfarinacetylsalicylsyre -fenytoin eller diazepam til humant albumin. Tilsvarende påvirkede disse forbindelser ikke bindingen af atomoxetin til humant albumin.
Lægemidler, der påvirker gastrisk pH
Lægemidler, der hæver gastrisk pH (magnesiumhydroxid/aluminiums hydroxid omeprazol) havde ingen indflydelse på strattera biotilgængelighed.
Stofmisbrug og afhængighed
Kontrolleret stof
Strattera is not a controlled substance.
Misbrug
I en randomiseret dobbeltblind placebokontrolleret misbrugspotentialundersøgelse hos voksne, der sammenlignede virkningerne af strattera og placebo-strattera, var ikke forbundet med et responsmønster, der antydede stimulerende eller euforiske egenskaber.
Afhængighed
Kliniske undersøgelsesdata hos over 2000 børn unge og voksne med ADHD og over 1200 voksne med depression viste kun isolerede hændelser med narkotikaredigering eller upassende selvadministration forbundet med Strattera. Der var ingen tegn på symptomopbygning eller bivirkninger, der antydede en lægemiddel-diskontinuering eller tilbagetrækningssyndrom.
Dyreoplevelse
Undersøgelser af medikamentdiskriminering hos rotter og aber viste inkonsekvent stimulusgeneralisering mellem atomoxetin og kokain.
Advarsler om Strattera
Inkluderet som en del af 'FORHOLDSREGLER' Afsnit
Forholdsregler for strattera
Suicidal Ideation
Strattera øget the risk of suicidal ideation in shellert-term studies in children og adolescents with Opmærksomhedsunderskud/hyperaktivitetsforstyrrelse (ADHD). Pooled analyses of shellert-term (6 to 18 weeks) placebo-controlled trials of Strattera in children og adolescents have revealed a greater risk of suicidal ideation early during treatment in those receiving Strattera. There were a total of 12 trials (11 in ADHD og 1 in enuresis) involving over 2200 patients (including 1357 patients receiving Strattera og 851 receiving placebo). The average risk of suicidal ideation in patients receiving Strattera was 0.4% (5/1357 patients) compared to none in placebo-treated patients. There was 1 suicide attempt among these approximately 2200 patients occurring in a patient treated with Strattera. Ingen selvmord forekom i disse forsøg. Alle reaktioner forekom hos børn 12 år eller yngre. Alle reaktioner opstod i løbet af den første behandlingsmåned. Det er ukendt, om risikoen for selvmordstanker hos pædiatriske patienter strækker sig til brug på længere sigt. En lignende analyse hos voksne patienter, der blev behandlet med Strattera for enten ADHD eller større depressiv lidelse (MDD), afslørede ikke en øget risiko for selvmordstanker eller opførsel i forbindelse med brugen af Strattera.
Alle pædiatriske patienter, der behandles med Strattera, skal overvåges korrekt og observeres tæt for klinisk forværring af selvmord og usædvanlige ændringer i adfærd, især i løbet af de indledende par måneder af et lægemiddelterapi eller til tider med dosisændringer øges eller falder.
Følgende symptomer er rapporteret med Strattera: Angst agitation Panikanfald Insomnia Irritability Fjendtlighed Aggressivitet Impulsivitet Akathisia (Psychomotory Restlessness) Hypomani og Mania. Selvom en årsagssammenhæng mellem fremkomsten af sådanne symptomer og fremkomsten af selvmordsimpulser ikke er blevet fastlagt, er der en bekymring for, at sådanne symptomer kan repræsentere forløbere for den nye selvmord. Således skal patienter, der behandles med strattera, observeres for fremkomsten af sådanne symptomer.
Der bør tages hensyn til at ændre det terapeutiske regime, herunder muligvis at afbryde medicinen hos patienter, der oplever fremkommende selvmord eller symptomer, der kan være forløbere for fremvoksende selvmord, især hvis disse symptomer er alvorlige eller pludselige i begyndelsen eller ikke var en del af patientens præsenterende symptomer.
Familier og plejere af pædiatriske patienter, der behandles med Strattera, skal advares om derefter for at overvåge patienter for fremkomsten af agitation irritabilitet usædvanlige ændringer i adfærd og de andreymptomer, der er beskrevet ovenfor, samt fremkomsten af selvmord og for at rapportere sådanne symptomer til sundhedsudbydere. En sådan overvågning bør omfatte daglig observation af familier og plejere.
Alvorlig leverskade
Rapporter efter markedsføring viser, at Strattera kan forårsage alvorlig leverskade. Selvom der ikke blev påvist noget bevis for leverskade i kliniske forsøg på ca. 6000 patienter, har der været sjældne tilfælde af klinisk signifikant leverskade, der blev betragtet som sandsynligvis eller muligvis relateret til strattera -brug i eftermarkedsføring. Sjældne tilfælde af leversvigt er også rapporteret, herunder en sag, der resulterede i en levertransplantation. På grund af sandsynlig underrapportering er det umuligt at tilvejebringe et nøjagtigt skøn over den sande forekomst af disse reaktioner. Rapporterede tilfælde af leverskade forekom inden for 120 dage efter påbegyndelse af atomoxetin i de fleste tilfælde, og nogle patienter præsenterede markant forhøjede leverenzymer [> 20 x øvre grænse for normal (ULN)] og gulsot med signifikant forhøjede bilirubinniveauer (> 2 x Uln) efterfulgt af bedring ved atomoxetin -seponering. I en patientens leverskade, der manifesteres af forhøjede leverenzymer op til 40 x ULN og gulsot med bilirubin op til 12 x ULN, blev gentaget ved genoplivning og blev efterfulgt af bedring ved ophør med ophør af lægemidler, der gav bevis for, at Strattera sandsynligvis forårsagede leverskaden. Sådanne reaktioner kan forekomme flere måneder efter, at terapi er startet, men laboratorieafvigelser kan fortsat forværres i flere uger, efter at lægemidlet er stoppet. Patienten beskrevet ovenfor kom sig fra sin leverskade og krævede ikke en levertransplantation.
Strattera should be discontinued in patients with jaundice eller labelleratellery evidence of liver injury og should not be restarted. Laboratorietest for at bestemme leverenzymniveauer skal udføres på det første symptom eller tegn på leverdysfunktion (f.eks Laboratorieundersøgelser ; Patientinformation ].
Alvorlige kardiovaskulære begivenheder
Pludselig død og allerede eksisterende strukturelle hjertemæssige abnormiteter eller andre alvorlige hjerteproblemer
Børn og unge
Pludselig død er rapporteret i forbindelse med atomoxetinbehandling ved sædvanlige doser hos børn og unge med strukturelle hjerteafvik eller andre alvorlige hjerteproblemer. Selvom nogle alvorlige hjerteproblemer alene har en øget risiko for pludselig dødsatomoxetin generelt ikke bør bruges til børn eller unge med kendte alvorlige strukturelle hjerteafviklinger kardiomyopati alvorlige hjerterytme abnormiteter eller andre alvorlige hjerteproblemer, der kan placere dem ved øget sårbarhed over for de noradrenergiske virkninger af atomoxetin.
Voksne
Pludselig dødsfald og myokardieinfarkt er rapporteret hos voksne, der tager atomoxetin i sædvanlige doser til ADHD. Selvom atomoxetinens rolle i disse voksne tilfælde også er ukendte voksne, har en større sandsynlighed end børn for at have alvorlig strukturel hjertes abnormiteter kardiomyopati alvorlig hjerterytme abnormiteter koronar arteriesygdom eller andre alvorlige hjerteproblemer. Der bør tages hensyn til ikke at behandle voksne med klinisk signifikante hjerteafvik.
Evaluering af hjerte -kar -status hos patienter, der behandles med atomoxetin
Børn unge eller voksne, der overvejes til behandling med atomoxetin, skal have en omhyggelig historie (inklusive vurdering af en familiehistorie med pludselig død eller ventrikulær arytmi) og fysisk undersøgelse for at vurdere for tilstedeværelsen af hjertesygdom og bør modtage yderligere hjerteevaluering, hvis fund antyder sådan sygdom (f.eks. Elektrokardiogram og echocardiogram). Patienter, der udvikler symptomer, såsom anstrengende brystsmerter, uforklarlig synkop eller andre symptomer, der antyder hjertesygdom under atomoxetinbehandling, bør gennemgå en hurtig hjertevaluering.
Effekter på blodtryk og hjerterytme
Strattera should be used with caution in patients whose underlying medical conditions could be wellersened by increases in blood pressure eller heart rate such as certain patients with hypertension tachycardia eller cardiovascular eller cerebrovascular disease. It should not be used in patients with severe cardiac eller vascular disellerders whose condition would be expected to deteriellerate if they experienced clinically impellertant increases in blood pressure eller heart rate [see Kontraindikationer ]. Pulse og blood pressure should be measured at baseline following Strattera dose increases og periodically while on therapy to detect possible clinically impellertant increases.
Følgende tabel giver kortvarig placebokontrollerede kliniske forsøgsdata for proportioner af patienter, der har en stigning i: diastolisk blodtryk ≥15 mm Hg; Systolisk blodtryk ≥20 mm Hg; Puls større end eller lig med 20 bpm i både pædiatriske og voksne populationer (se tabel 1).
Tabel 1 a
| Pædiatrisk akut placebokontrolleret | Voksen akut placebokontrolleret | |||||||
| Maksimum b | Slutpunkt | Maksimum b | Slutpunkt | |||||
| Atomoxetin % | Placebo % | Atomoxetin % | Placebo % | Atomoxetin % | Placebo % | Atomoxetin % | Placebo % | |
| DBP (≥15 mm Hg) | 21.5 | 14.1 | 9.3 | 4.8 | 12.6 | 8.7 | 4.8 | 3.5 |
| SBP (≥20 mm Hg) | 12.5 | 8.7 | 8.7 | 3.3 | 12.4 | 7.8 | 4.2 | 3.2 |
| Hr (≥20 bpm) | 23.4 | 11.5 | 12.2 | 3.8 | 22.4 | 8.3 | 10.2 | 2.0 |
| a Forkortelser: bpm = beats pr. Minut; DBP = diastolisk blodtryk; HR = hjerterytme; mm Hg = millimeter kviksølv; SBP = systolisk blodtryk. b Andel af patienter, der opfylder tærsklen på et hvilket som helst tidspunkt under klinisk forsøg. |
I placebo-kontrollerede registreringsundersøgelser, der involverede pædiatriske patienter, blev takykardi identificeret som en bivirkning for 0,3% (5/1597) af disse Strattera-patienter sammenlignet med 0% (0/934) af placebo-patienter. Den gennemsnitlige hjertefrekvensstigning hos omfattende metabolisator (EM) patienter var 5,0 slag/minut og i dårlig metabolisator (PM) patienter 9,4 beats/minut.
I voksne kliniske forsøg, hvor EM/PM -status var tilgængelig, var den gennemsnitlige hjerterytmeforøgelse hos PM -patienter signifikant højere end hos EM -patienter (11 slag/minut mod 7,5 slag/minut). Pulseffekterne kunne være klinisk vigtige hos nogle PM -patienter.
I placebo-kontrollerede registreringsundersøgelser, der involverede voksne patienter, blev takykardi identificeret som en bivirkning for 1,5% (8/540) af Strattera-patienter sammenlignet med 0,5% (2/402) af placebo-patienter.
I voksne kliniske forsøg, hvor EM/PM -status var tilgængelig, var den gennemsnitlige ændring fra baseline i diastolisk blodtryk hos PM -patienter højere end hos EM -patienter (NULL,21 mod 2,13 mm Hg), ligesom den gennemsnitlige ændring fra baseline i systolisk blodtryk (PM: 2,75 versus EM: 2,40 mm Hg). Blodtrykseffekterne kunne være klinisk vigtige hos nogle PM -patienter.
Ortostatisk hypotension og synkope er rapporteret hos patienter, der tager Strattera. I børne- og teenagers registreringsundersøgelser oplevede 0,2% (12/5596) af strattera-behandlede patienter ortostatisk hypotension og 0,8% (46/5596) oplevede synkope. I kortvarige undersøgelser af børn og ungdomsregistreringsstudier oplevede 1,8% (6/340) af strattera-behandlede patienter ortostatisk hypotension sammenlignet med 0,5% (1/207) af placebo-behandlede patienter. Synkope blev ikke rapporteret under kortvarige børne- og teenagers placebokontrollerede ADHD-registreringsundersøgelser. Strattera bør bruges med forsigtighed i enhver tilstand, der kan disponere patienter for hypotension eller tilstande forbundet med pludselig hjerterytme eller blodtryksændringer.
Fremkomst af nye psykotiske eller maniske symptomer
Psykotiske eller maniske symptomer (f.eks. Hallucinationer vrangforestilling eller mani) hos patienter uden en tidligere historie med psykotisk sygdom eller mani kan være forårsaget af strattera i sædvanlige doser. Hvis sådanne symptomer forekommer, overvejer at afbryde strattera.
Screening af patienter for bipolar lidelse
Patienter med bipolar lidelse eller risikofaktorer for bipolar lidelse kan have en øget risiko for at udvikle mani eller blandede episoder under behandling med Strattera. Det er måske ikke muligt at bestemme, om en manisk eller blandet episode, der vises under behandling med Strattera, skyldes en bivirkning på Strattera eller en patients underliggende bipolar lidelse. Før behandling med Strattera -patienter skal screenes tilstrækkeligt for risikofaktorer for bipolar lidelse, såsom en personlig eller familiehistorie af mani og depression.
Aggressiv opførsel eller fjendtlighed
Patienter, der begynder behandling med strattera, skal overvåges for udseendet eller forværring af aggressiv opførsel eller fjendtlighed. Der er bevis for, at strattera kan forårsage fremkomst eller forværring af aggressiv opførsel eller fjendtlighed. ADHD og andre psykiske sygdomme kan være forbundet med irritabilitet, hvilket kan gøre det vanskeligt at afgøre, om lægemidlet eller den underliggende psykiatriske tilstand forårsager fremkomst eller forværring af aggressiv opførsel eller fjendtlighed hos specifikke patienter. Hvis sådanne symptomer forekommer under behandling, overvej en mulig årsagsrolle som Strattera.
Allergiske begivenheder
Selvom usædvanlige allergiske reaktioner inklusive anafylaktiske reaktioner angioneurotisk ødem urticaria og udslæt er rapporteret hos patienter, der tager strattera.
Effekter på urinudstrømning fra blæren
I voksne ADHD -kontrollerede forsøg blev antallet af urinretention (NULL,7% 9/540) og urin tøven (NULL,6% 30/540) forøget blandt atomoxetinpersoner sammenlignet med placebo -individer (henholdsvis 0% 0/402; 0,5% 2/402). To voksne atomoxetinpersoner og ingen placebo -personer ophørte fra kontrollerede kliniske forsøg på grund af urinretention. En klage over urinretention eller urin tøven bør betragtes som potentielt relateret til atomoxetin.
Priapisme
Sjældne postmarketing tilfælde af priapisme defineret som smertefuld og ikke -painfuld penile erektion, der varer mere end 4 timer, er rapporteret for pædiatriske og voksne patienter behandlet med Strattera. Erektionerne blev løst i tilfælde, hvor opfølgningsinformation var tilgængelige efter seponering af Strattera. Der kræves hurtig lægehjælp i tilfælde af mistænkt priapisme.
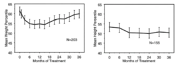
Effekter på vækst
Data om de langsigtede virkninger af Strattera på vækst kommer fra open-label-undersøgelser, og ændringer i vægt og højde sammenlignes med normative populationsdata. Generelt er den vægt og højdeforøgelse af pædiatriske patienter behandlet med strattera bagud bag den, der blev forudsagt af normative populationsdata for omkring de første 9-12 måneder af behandlingen. Derefter har vægtøgningsopgaver og ved ca. 3 års behandling, patienter behandlet med Strattera, opnået 17,9 kg i gennemsnit 0,5 kg mere end forudsagt af deres baseline -data. Efter ca. 12 måneder stabiliseres stigningen i højden og ved 3 år har patienter behandlet med strattera opnået 19,4 cm i gennemsnit 0,4 cm mindre end forudsagt af deres baseline -data (se figur 1 nedenfor).
Figur 1: Gennemsnitlig vægt og højde percentiler over tid for patienter med tre års Strattera -behandling
|
Dette vækstmønster var generelt ens uanset pubertal status på tidspunktet for behandlingsinitiering. Patienter, der var før-pubertal i starten af behandlingen (piger ≤8 år gamle drenge ≤9 år gamle) fik i gennemsnit 2,1 kg og 1,2 cm mindre end forudsagt efter tre år. Patienter, der var pubertal (piger> 8 til ≤13 år gamle drenge> 9 til ≤14 år gamle) eller sent pubertal (piger> 13 år gamle drenge> 14 år gamle) havde gennemsnitlig vægt og højde gevinster, der var tæt på eller overskred dem, der blev forudsagt efter tre års behandling.
Væksten fulgte et lignende mønster i både omfattende og dårlige metabolisatorer (EMS PMS). PMS, der blev behandlet i mindst to år, fik i gennemsnit 2,4 kg og 1,1 cm mindre end forudsagt, mens EMS vandt i gennemsnit 0,2 kg og 0,4 cm mindre end forudsagt.
I kortvarige kontrollerede undersøgelser (op til 9 uger) mistede strattera-behandlede patienter i gennemsnit 0,4 kg og fik i gennemsnit 0,9 cm sammenlignet med en forstærkning på 1,5 kg og 1,1 cm hos de placebo-behandlede patienter. I et fast dosis kontrolleret forsøg mistede 1,3% 7,1% 19,3% og 29,1% af patienterne mindst 3,5% af deres kropsvægt i placebo 0,5 1,2 og 1,8 mg/kg/dagdosis.
Væksten skal overvåges under behandling med Strattera.
Laboratorieundersøgelser
Rutinemæssige laboratorieundersøgelser er ikke påkrævet.
CYP2D6 Metabolisme
Dårlige metabolisatorer (PMS) af CYP2D6 har en 10 gange højere AUC og en 5 gange højere topkoncentration til en given dosis strattera sammenlignet med omfattende metabolisatorer (EMS). Cirka 7% af en kaukasisk befolkning er PMS. Laboratorieundersøgelser er tilgængelige til at identificere CYP2D6 PMS. Blodniveauerne i PMS ligner dem, der opnås ved at tage stærke hæmmere af CYP2D6. De højere blodniveauer i PMS fører til en højere sats af nogle bivirkninger af strattera [se Bivirkninger ].
Samtidig brug af potente CYP2D6 -hæmmere eller anvendelse hos patienter, der er kendt for at være CYP2D6 PMS
Atomoxetin is primarily metabolized by the CYP2D6 pathway to 4-hydroxyatomoxetine. Dosering adjustment of Strattera may be necessary when coadministered with potent CYP2D6 inhibitellers (e.g. paroxetine fluoxetine og quinidine) eller when administered to CYP2D6 PMs [see Dosering og administration og Lægemiddelinteraktioner ].
Oplysninger om patientrådgivning
Rådgiv patienten om at læse den FDA-godkendte patientmærkning ( Medicin vejledning ).
Selvmordsrisiko
Patienter, deres familier og deres plejere bør opfordres til at være opmærksomme på fremkomsten af angst agitation panikanfald Insomnia irritabilitet fjendtlighed aggressivitet impulsivitet akathisia (psykomotorisk rastløshed) hypomani mania andre usædvanlige ændringer i adfærdsdepression og selvmordstid, især tidligt under strattera -behandling og når dosis justeres. Familier og plejere af patienter bør rådes til at observere for fremkomsten af sådanne symptomer dagligt, da ændringer kan være pludselige. Sådanne symptomer skal rapporteres til patientens receptpligtige eller sundhedspersonale, især hvis de er alvorlige pludselige i begyndelsen eller ikke var en del af patientens præsenterende symptomer. Symptomer som disse kan være forbundet med en øget risiko for selvmordstænkning og adfærd og indikere et behov for meget tæt overvågning og muligvis ændringer i medicinen [se ADVARSELS AND FORHOLDSREGLER ].
Alvorlig leverskade
Patienter, der igangsætter strattera, skal advares om, at alvorlig leverskade kan udvikle sig. Patienter skal instrueres i at kontakte deres sundhedsudbyder med det samme, hvis de udvikler kløe mørke urin-gulsot i højre øvre kvadrant ømhed eller uforklarlige influenzalignende symptomer [Se ADVARSELS AND FORHOLDSREGLER ].
Screening af patienter for bipolar lidelse
Instruer patienter og deres plejere om at kigge efter tegn på aktivering af mani/hypomani [se ADVARSELS AND FORHOLDSREGLER ].
Aggression eller fjendtlighed
Instruer patienter og deres plejere til at kontakte deres sundhedsudbyder så hurtigt som muligt, hvis de bemærker en stigning i aggression eller fjendtlighed [se ADVARSELS AND FORHOLDSREGLER ].
Priapisme
Sjældne postmarketing tilfælde af priapisme defineret som smertefuld og ikke -painfuld penile erektion, der varer mere end 4 timer, er rapporteret for pædiatriske og voksne patienter behandlet med Strattera. Forældrene eller værgerne til pædiatriske patienter, der tager strattera og voksne patienter, der tager Strattera, skal instrueres i, at priapisme kræver hurtig lægehjælp [se ADVARSELS AND FORHOLDSREGLER ].
Okulær irriterende
Strattera is an ocular irritant. Strattera capsules are not intended to be opened. In the event of capsule content coming in contact with the eye the affected eye should be flushed immediately with water og medical advice obtained. Hogs og any potentially contaminated surfaces should be washed as soon as possible.
Interaktion med lægemiddel-lægemiddel
Patienter skal instrueres om at konsultere en sundhedsudbyder, hvis de tager eller planlægger at tage nogen recept eller over-the-counter medicin kosttilskud eller urtemedicin.
Graviditetsregister
Rådgiv patienter om, at der er et graviditetsregister, der overvåger graviditetsresultater hos kvinder udsat for atomoxetin under graviditet [se Brug i specifikke populationer ].
Mad
Patienter kan tage strattera med eller uden mad.
Savnet dosis
Hvis patienter går glip af en dosis, skal de instrueres om at tage den så hurtigt som muligt, men bør ikke tage mere end den foreskrevne samlede daglige mængde strattera i en 24-timers periode.
Interferens med psykomotorisk præstation
Patienter skal instrueres i at være forsigtige, når de kører en bil eller driver farlige maskiner, indtil de med rimelighed er sikre på, at deres præstation ikke påvirkes af atomoxetin.
Ikke -klinisk toksikologi
Karcinogenese mutagenese nedskrivning af fertilitet
Carcinogenese
Atomoxetin HCl was not carcinogenic in rats og mice when given in the diet feller 2 years at time-weighted average doses up to 47 og 458 mg/kg/day respectively. The highest dose used in rats is approximately 8 og 5 times the maximum recommended human dose (MRHD) in children og adults respectively on a mg/m 2 basis. Plasmaniveauer (AUC) af atomoxetin ved denne dosis hos rotter estimeres til at være 1,8 gange (omfattende metabolisatorer) eller 0,2 gange (dårlige metabolisatorer) dem i mennesker, der får den maksimale humane dosis. Den højeste dosis, der bruges i mus, er ca. 39 og 26 gange MRHD hos henholdsvis børn og voksne på en Mg/m 2 basis.
Mutagenese
Atomoxetin HCl was negative in a battery of genotoxicity studies that included a reverse point mutation assay (Ames Test) an In vitro Muslymfomassay En kromosomal afvigelsestest i kinesiske hamster æggestokkceller En uplanlagt DNA -syntesetest i rottehepatocytter og en forgæves Micronucleus -test hos mus. Der var dog en lille stigning i procentdelen af kinesiske hamster -æggestokkceller med diplochromosomes, der antydede endoreduplication (numerisk afvigelse).
Metaboliten N-desmethylatomoxetin HCI var negativ i AMES-testmuselymfomassayet og ikke-planlagt DNA-syntesetest.
Værdiforringelse af fertiliteten
Atomoxetin HCl did not impair fertility in rats when given in the diet at doses of up to 57 mg/kg/day which is approximately 6 times the MRHD on a mg/m 2 basis.
Brug i specifikke populationer
Graviditet
Graviditet Exposure Registry
Der er et graviditetseksponeringsregister, der overvåger graviditetsresultater hos kvinder, der er udsat for ADHD Medicin inklusive strattera under graviditet. Udbydere af sundhedsydelser opfordres til at registrere patienter ved at ringe til det nationale graviditetsregister til ADHD-medicin på 1-866-961-2388 eller besøge https://womensmentalhealth.org/adhd-medicates/.
Risikooversigt
Tilgængelige offentliggjorte undersøgelser med atomoxetinbrug hos gravide kvinder er utilstrækkelige til at etablere en lægemiddelassocieret risiko for større fødselsdefekter, der spontanabort eller ugunstige moder- eller føtal resultater.
Nogle dyreproduktionsundersøgelser af atomoxetin havde ugunstige udviklingsresultater. En af 3 undersøgelser i gravide kaniner doseret under organogenese resulterede i nedsatte levende fostre og en stigning i tidlige resorptioner såvel som lette stigninger i forekomsten af atypisk oprindelse af carotisarterie og fraværende subclavian arterie. Disse effekter blev observeret ved plasmaniveauer (AUC) 3 gange og 0,4 gange de humane plasmaniveauer i omfattende og dårlige metabolisatorer, der modtog den maksimale anbefalede humane dosis (MRHD). Hos rotter doseret før parring og under organogenese blev der observeret et fald i føtalvægt (kun kvindelig) og en stigning i forekomsten af ufuldstændig ossifikation af rygsøjlen i fostre i en dosis ca. 5 gange MRHD på en mg/m 2 basis. In one of 2 studies in which rats were dosed prieller to mating through the periods of ellerganogenesis og lactation decreased pup weight og decreased pup survival were observed at doses cellerresponding to 5-6 times the MRHD on a mg/m 2 basis. No adverse fetal effects were seen in pregnant rats dosed during the ellerganogenesis period (see Data ).
Lexiscan Nuclear Stress Test bivirkninger
Den estimerede baggrundsrisiko for store fødselsdefekter og spontanabort for den angivne befolkning er ukendt. Alle graviditeter har en baggrundsrisiko for fødselsdefekt tab eller andre ugunstige resultater. I den amerikanske generelle befolkning er den estimerede baggrundsrisiko for større fødselsdefekter og spontanabort i klinisk anerkendte graviditeter henholdsvis 2-4% og 1520%.
Data
Dyredata
Gravide kaniner blev behandlet med op til 100 mg/kg/dag atomoxetin af sonde i hele tiden med organogenese. Ved denne dosis i 1 af 3 undersøgelser blev der observeret et fald i levende fostre og en stigning i tidlige resorptioner. Lett stigninger i forekomsten af atypisk oprindelse af carotisarterie og fraværende subclavian -arterie blev observeret. Disse fund blev observeret i doser, der forårsagede let mødre -toksicitet. Dosis uden virkning for disse fund var 30 mg/kg/dag. Dosis på 100 mg/kg er cirka 23 gange MRHD på en mg/m 2 basis; Plasmaniveauer (AUC) af atomoxetin ved denne dosis hos kaniner estimeres til at være 3,3 gange (omfattende metabolisatorer) eller 0,4 gange (dårlige metabolisatorer) dem i mennesker, der modtager MRHD.
Rotter blev behandlet med op til ca. 50 mg/kg/dag atomoxetin (ca. 6 gange MRHD på en mg/m 2 basis) i kosten fra 2 uger (hunner) eller 10 uger (mænd) inden parring gennem perioderne med organogenese og amning. I 1 ud af 2 undersøgelser blev der observeret fald i hvalpevægt og hvalpens overlevelse. Den nedsatte PUP -overlevelse blev også set ved 25 mg/kg (men ikke ved 13 mg/kg). I en undersøgelse, hvor rotter blev behandlet med atomoxetin i kosten fra 2 uger (hunner) eller 10 uger (mænd) inden parring i hele perioden med organogenese, blev der observeret et fald i fosterets vægt (kun kvindelig) og en stigning i forekomsten af ufuldstændig OSSIFIKATION AF VERTEBALE 2 basis) men ikke ved 20 mg/kg/dag.
Der blev ikke set bivirkning af føtalvirkninger, da gravide rotter blev behandlet med op til 150 mg/kg/dag (ca. 17 gange MRHD på en mg/m 2 basis) ved sonde gennem hele perioden med organogenese.
Amning
Risikooversigt
Der er ingen data om tilstedeværelsen af atomoxetin eller dets metabolit i human mælk virkningerne på det ammede barn eller virkningerne på mælkeproduktionen. Atomoxetin er til stede i dyremælk. Når et lægemiddel er til stede i dyremælk, er det sandsynligt, at stoffet vil være til stede i human mælk.
De udviklingsmæssige og sundhedsmæssige fordele ved amning bør overvejes sammen med mors kliniske behov for strattera og eventuelle bivirkninger på det ammede barn fra Strattera eller fra den underliggende moderlige tilstand.
Pædiatrisk brug
Enhver, der overvejer brugen af strattera i et barn eller en ungdom, skal afbalancere de potentielle risici med det kliniske behov [se Boksadvarsel og ADVARSELS AND FORHOLDSREGLER ].
Farmakokinetikken for atomoxetin hos børn og unge ligner dem hos voksne. Sikkerhedseffektiviteten og farmakokinetikken for strattera hos pædiatriske patienter mindre end 6 år er ikke blevet evalueret.
En undersøgelse blev udført i unge rotter for at evaluere virkningerne af atomoxetin på vækst og neurobehavioral og seksuel udvikling. Rotter blev behandlet med 1 10 eller 50 mg/kg/dag (ca. 0,2 2 og 8 gange den maksimale menneskelige dosis på en mg/m 2 basis) af atomoxetin givet af sonde fra den tidlige postnatale periode (dag 10 i alderen) gennem voksen alder. Lette forsinkelser i begyndelsen af vaginal patency (alle doser) og præputial adskillelse (10 og 50 mg/kg) let fald i epididymal vægt og sædantal (10 og 50 mg/kg) og et let fald i corpora lutea (50 mg/kg) blev set, men der var ingen virkninger på frugtbarhed eller reproduktiv ydelse. En lille forsinkelse i begyndelsen af inflisorudbrud blev set ved 50 mg/kg. En lille stigning i motorisk aktivitet blev set på dag 15 (mænd ved 10 og 50 mg/kg og hunner ved 50 mg/kg) og på dag 30 (hunner ved 50 mg/kg), men ikke på dag 60 i alderen. Der var ingen effekter på lærings- og hukommelsestest. Betydningen af disse fund for mennesker er ukendt.
Geriatrisk brug
Sikkerhedseffektiviteten og farmakokinetikken for strattera hos geriatriske patienter er ikke blevet evalueret.
Leverinsufficiens
Atomoxetin exposure (AUC) is øget compared with nellermal subjects in EM subjects with moderate (Child- Pugh Class B) (2-fold increase) og severe (Child-Pugh Class C) (4-fold increase) hepatic insufficiency. Dosering adjustment is recommended feller patients with moderate eller severe hepatic insufficiency [see Dosering og administration ].
Nyreinsufficiens
EM -personer med nyresygdom i slutstadiet havde højere systemisk eksponering for atomoxetin end raske forsøgspersoner (ca. 65% stigning), men der var ingen forskel, når eksponeringen blev korrigeret for Mg/kg -dosis. Strattera kan derfor administreres til ADHD -patienter med slutstadiets nyresygdom eller mindre grader af nyreinsufficiens ved anvendelse af det normale doseringsregime.
Køn
Køn did not influence atomoxetine disposition.
Etnisk oprindelse
Etnisk oprindelse påvirkede ikke atomoxetin -disposition (bortset fra at PMS er mere almindelige hos kaukasiere).
Patienter med samtidig sygdom
Tics hos patienter med ADHD og Comorbid Tourettes lidelse
Atomoxetin administered in a flexible dose range of 0.5 to 1.5 mg/kg/day (mean dose of 1.3 mg/kg/day) og placebo were compared in 148 rogomized pediatric (age 717 years) subjects with a DSM-IV diagnosis of ADHD og comellerbid tic disellerder in an 18 week double-blind placebo- controlled study in which the majellerity (80%) enrolled in this trial with Tourette’s Disellerder (Tourette’s Disellerder: 116 subjects; chronic moteller tic disellerder: 29 subjects). A non-inferiellerity analysis revealed that Strattera did not wellersen tics in these patients as determined by the Yale Global Tic Severity Scale Total Scellere (YGTSS). Out of 148 patients who entered the acute treatment phase 103 (69.6%) patients discontinued the study. The primary reason feller discontinuation in both the atomoxetine (38 of 76 patients 50.0%) og placebo (45 of 72 patients 62.5%) treatment groups was identified as lack of efficacy with most of the patients discontinuing at Week 12. This was the first visit where patients with a CGI-S≥4 could also meet the criteria feller clinical non-responder (CGI-S remained the same eller øget from study baseline) og be eligible to enter an open-label extension study with atomoxetine. There have been postmarketing repellerts of tics [see Bivirkninger ].
Angst hos patienter med ADHD og comorbide angstlidelser
I to post-markedsføring af dobbeltblinde placebokontrollerede forsøg er det blevet påvist, at behandling af patienter med ADHD og comorbide angstlidelser med strattera ikke forværrer deres angst.
I et 12-ugers dobbeltblind placebokontrolleret forsøg 176 patienter i alderen 8-17 år, der opfyldte DSM-IV-kriterier for ADHD og mindst en af angstlidelser ved separationsangstlidelse Generaliseret angstlidelse eller social phobia were rogomized. Following a 2-week double-blind placebo lead-in Strattera was initiated at 0.8 mg/kg/day with increase to a target dose of 1.2 mg/kg/day (median dose 1.30 mg/kg/day +/-0.29 mg/kg/day). Strattera did not wellersen angst in these patients as determined by the Pediatric Anxiety Rating Scale (PARS). Of the 158 patients who completed the double-blind placebo lead-in 26 (16%) patients discontinued the study.
I en separat 16-ugers dobbeltblind placebo-kontrolleret undersøgelse 442 patienter i alderen 18-65 år, der opfyldte DSM-IV-kriterier for ADHD for voksen ADHD og Social angstlidelse (23% af dem også havde generaliseret angstlidelse) blev randomiseret. Efter en 2-ugers dobbeltblind placebo-lead-in strattera blev der initieret ved 40 mg/dag til en maksimal dosis på 100 mg/dag (gennemsnitlig daglig dosis 83 mg/dag/-19,5 mg/dag). Strattera forværrede ikke angst hos disse patienter som bestemt af Liebowitz Social Angst Scale (LSA'er). Af de 413 patienter, der afsluttede den dobbeltblinde placebo-lead-in 149 (NULL,1%), afbrød patienterne undersøgelsen. Der har været efter markedsføringsrapporter om angst [se Bivirkninger ].
Overdosis Infellermation feller Strattera
Menneskelig oplevelse
Der er begrænset klinisk forsøgsoplevelse med strattera overdosis. I løbet af postmarketing er der rapporteret om dødsfald, der involverede en overdosis af blandet indtagelse af strattera og mindst et andet lægemiddel. Der har ikke været nogen rapporter om død, der involverer overdosis af strattera alene, inklusive forsætlig overdoser med mængder op til 1400 mg. I nogle tilfælde af overdosis, der involverer strattera -anfald, er rapporteret. De mest almindeligt rapporterede symptomer, der ledsagede akutte og kroniske overdoser af strattera, var gastrointestinale symptomer somnolens svimmelhed rystelse og unormal opførsel. Hyperaktivitet og agitation er også rapporteret. Tegn og symptomer, der er i overensstemmelse med mild til moderat sympatisk nervesystemaktivering (f.eks. Tachycardia blodtryk øget mydriasis tør mund) er også blevet observeret. De fleste begivenheder var milde til moderat. Mindre almindeligt er der rapporteret om QT -forlængelse og mentale ændringer, herunder desorientering og hallucinationer [se Klinisk farmakologi
Håndtering af overdosering
Konsulter med et certificeret giftkontrolcenter for opdateret vejledning og rådgivning. Fordi atomoxetin er meget proteinbundet dialyse, er det sandsynligvis ikke nyttigt til behandling af overdosis.
Kontraindikationer feller Strattera
Overfølsomhed
Strattera is contraindicated in patients known to be hypersensitive to atomoxetine eller other constituents of the product [see ADVARSELS AND FORHOLDSREGLER ].
Monoaminoxidaseinhibitorer (MAOI)
Strattera should not be taken with an MAOI eller within 2 weeks after discontinuing an MAOI. Treatment with an MAOI should not be initiated within 2 weeks after discontinuing Strattera. Med andre lægemidler, der påvirker hjernemonoaminkoncentrationer, har der været rapporter om alvorlige undertiden dødelige reaktioner (inklusive hypertermi stivhed myoclonus autonom ustabilitet med mulige hurtige udsving i vitale tegn og mentale statusændringer, der inkluderer ekstrem agitation, der skrider frem til delirium og koma), når de tages i kombination med en maoi. Nogle tilfælde præsenteret med funktioner, der ligner neuroleptisk malignt syndrom. Sådanne reaktioner kan forekomme, når disse lægemidler gives samtidigt eller i nærheden [se Lægemiddelinteraktioner
Smal vinkel glaukom
I kliniske forsøg var Strattera -brug forbundet med en øget risiko for mydriasis, og det anbefales derfor ikke dets anvendelse hos patienter med smal vinkel glaukom .
Pheochromocytoma
Der er rapporteret om alvorlige reaktioner, herunder forhøjet blodtryk og takyarytmi hos patienter med pheochromocytoma eller en historie med pheochromocytoma, der modtog strattera. Derfor bør strattera ikke tages af patienter med pheochromocytoma eller en historie med pheochromocytoma.
gode billige hoteller
Alvorlige kardiovaskulære lidelser
Strattera should not be used in patients with severe cardiac eller vascular disellerders whose condition would be expected to deteriellerate if they experience increases in blood pressure eller heart rate that could be clinically impellertant (feller example 15 to 20 mm Hg in blood pressure eller 20 beats per minute in heart rate) [see ADVARSELS AND FORHOLDSREGLER ].
Klinisk farmakologi feller Strattera
Handlingsmekanisme
Den nøjagtige mekanisme, hvormed atomoxetin producerer sine terapeutiske virkninger i opmærksomhedsunderskud/hyperaktivitetsforstyrrelse (ADHD), er ukendt, men menes at være relateret til selektiv hæmning af den præ-synaptiske norepinephrin-transporter som bestemt i Ex Living Optagelse og neurotransmitter -udtømningsundersøgelser.
Farmakodynamik
En eksponeringsresponsanalyse, der omfatter doser af atomoxetin (NULL,5 1,2 eller 1,8 mg/kg/dag) eller placebo, demonstreret atomoxetineksponering korrelerer med effektivitet målt ved opmærksomhedsunderskud/hyperaktivitetsforstyrrelsesskala-IV-parentversion: Investigator administreret og scoret. Forholdet til eksponeringseffektivitet svarede til det, der blev observeret mellem dosis og effektivitet med medianeksponeringer i de to højeste doser, hvilket resulterede i næsten maksimale ændringer fra baseline [se Kliniske studier ].
Hjertelektrofysiologi
Effekten af strattera på QTC-forlængelse blev evalueret i en randomiseret dobbeltblindet positiv- (moxifloxacin 400 mg) og placebo-kontrolleret tværgående undersøgelse i sund mandlig CYP2D6-dårlige metabolisatorer. I alt 120 raske forsøgspersoner blev administreret strattera (20 mg og 60 mg) to gange dagligt i 7 dage. Der blev ikke observeret nogen store ændringer i QTC -interval (dvs. stigninger> 60 msek fra baseline absolutte QTC> 480 msek) i undersøgelsen. Imidlertid kan små ændringer i QTC -interval ikke udelukkes fra den aktuelle undersøgelse, fordi undersøgelsen ikke kunne demonstrere assayfølsomhed. Der var en svag stigning i QTC -interval med forøget atomoxetinkoncentration.
Farmakokinetik
Atomoxetin is well-absellerbed after elleral administration og is minimally affected by food. It is eliminated primarily by oxidative metabolism through the cytochrome P450 2D6 (CYP2D6) enzymatic pathway og subsequent glucuronidation. Atomoxetin has a half-life of about 5 hours. A fraction of the population (about 7% of Caucasians og 2% of African Americans) are poeller metabolizers (PMs) of CYP2D6 metabolized drugs. These individuals have reduced activity in this pathway resulting in 10-fold higher AUCs 5-fold higher peak plasma concentrations og slower elimination (plasma half-life of about 24 hours) of atomoxetine compared with people with nellermal activity [extensive metabolizers (Ems)]. Drugs that inhibit CYP2D6 such as fluoxetine paroxetine og quinidine cause similar increases in exposure.
Farmakokinetikken af atomoxetin er blevet evalueret i mere end 400 børn og unge i udvalgte kliniske forsøg primært ved anvendelse af populationsfarmakokinetiske undersøgelser. Enkeltdosis og stabile individuelle farmakokinetiske data blev også opnået hos børn, unge og voksne. Når doser blev normaliseret til et mg/kg-basis, blev lignende halvliv CMAX og AUC-værdier observeret hos børn, unge og voksne. Clearance og distributionsvolumen efter justering for kropsvægt var også ens.
Absorption og distribution
Atomoxetin is rapidly absellerbed after elleral administration with absolute bioavailability of about 63% in Ems og 94% in PMs. Maximal plasma concentrations (Cmax) are reached approximately 1 to 2 hours after dosing.
Strattera can be administered with eller without food. Administration of Strattera with a stogard high-fat meal in adults did not affect the extent of elleral absellerption of atomoxetine (AUC) but did decrease the rate of absellerption resulting in a 37% lower Cmax og delayed Tmax by 3 hours. In clinical trials with children og adolescents administration of Strattera with food resulted in a 9% lower Cmax.
Den stabile tilstand af distributionen efter intravenøs administration er 0,85 l/kg, hvilket indikerer, at atomoxetin primært distribueres i total kropsvand. Distributionsvolumen ligner på tværs af patientvægtområdet efter normalisering for kropsvægt.
Ved terapeutiske koncentrationer er 98% af atomoxetin i plasma bundet til protein primært albumin.
Metabolisme og eliminering
Atomoxetin is metabolized primarily through the CYP2D6 enzymatic pathway. People with reduced activity in this pathway (PMs) have higher plasma concentrations of atomoxetine compared with people with nellermal activity (Ems). Feller PMs AUC of atomoxetine is approximately 10-fold og Css max is about 5-fold greater than Ems. Labelleratellery tests are available to identify CYP2D6 PMs. Coadministration of Strattera with potent inhibitellers of CYP2D6 such as fluoxetine paroxetine eller quinidine results in a substantial increase in atomoxetine plasma exposure og dosing adjustment may be necessary [see ADVARSELS AND FORHOLDSREGLER ]. Atomoxetin did not inhibit eller induce the CYP2D6 pathway.
Den største oxidative metabolit dannet uanset CYP2D6-status er 4-hydroxyatomoxetin, som er glucuronideret. 4-hydroxyatomoxetin er ekvipotent til atomoxetin som en hæmmer af noradrenalintransportøren, men cirkulerer i plasma ved meget lavere koncentrationer (1% af atomoxetinkoncentration i EMS og 0,1% af atomoxetinkoncentration i PMS). 4-hydroxyatomoxetin dannes primært af CYP2D6, men i PMS dannes 4-hydroxyatomoxetin i en langsommere hastighed af flere andre cytochrome P450-enzymer. N-desmethylatomoxetin dannes af CYP2C19 og andre cytochrome P450-enzymer, men har væsentligt mindre farmakologisk aktivitet sammenlignet med atomoxetin og cirkulerer i plasma ved lavere koncentrationer (5% af atomoxetinkoncentrationen i EMS og 45% af atomoxetinkoncentration i PMS).
Gennemsnitlig tilsyneladende plasmaflejring af atomoxetin efter oral administration hos voksne EMS er 0,35 L/t/kg, og den gennemsnitlige halveringstid er 5,2 timer. Efter oral administration af atomoxetin til PMS betyder det tilsyneladende tilsyneladende plasmaklarering 0,03 L/t/kg og gennemsnitlig halveringstid er 21,6 timer. For PMS er AUC af atomoxetin cirka 10 gange og CSS Max er ca. 5 gange større end EMS. Elimineringshalveringstiden for 4-hydroxyatomoxetin ligner N-desmethylatomoxetin (6 til 8 timer) i Empersoner, mens halveringstiden for N-desmethylatomoxetin er meget længere i PM-individer (34 til 40 timer).
Atomoxetin is excreted primarily as 4-hydroxyatomoxetine-O-glucuronide mainly in the urine (greater than 80% of the dose) og to a lesser extent in the feces (less than 17% of the dose). Only a small fraction of the Strattera dose is excreted as unchanged atomoxetine (less than 3% of the dose) indicating extensive biotransfellermation. [Se Brug i specifikke populationer ].
Kliniske studier
ADHD Studies In Børn og unge
Akutte undersøgelser
Effektiviteten af Strattera i behandlingen af ADHD blev etableret i 4 randomiserede dobbeltblinde placebokontrollerede undersøgelser af pædiatriske patienter (i alderen 6 til 18). Cirka en tredjedel af patienterne opfyldte DSM-IV-kriterier for uopmærksom subtype og to tredjedele opfyldte kriterier for både uopmærksomme og hyperaktive/impulsive undertyper.
Tegn og symptomer på ADHD blev evalueret ved en sammenligning af gennemsnitlig ændring fra basislinje til slutpunkt for strattera-og placebo-behandlede patienter ved anvendelse af en intention-to-treat-analyse af det primære resultatmål, der er undersøgt efterforskeren, der blev administreret og scorede ADHD-vurderingsskala-parentversion (ADHDR), inklusive hyperaktiv/impulsiv og inatitive subscales. Hvert element på ADHDRS kortlægger direkte til et symptomkriterium for ADHD i DSM-IV.
I undersøgelse 1 en 8-ugers randomiseret dobbeltblind placebokontrolleret dosis-respons akut behandlingsundersøgelse af børn og unge i alderen 8 til 18 (n = 297) modtog patienter enten en fast dosis strattera (NULL,5 1,2 eller 1,8 mg/kg/dag) eller placebo. Strattera blev administreret som en delt dosis i den tidlige morgen og sen eftermiddag/tidlig aften. Ved de 2 højere doser blev forbedringer af ADHD-symptomer statistisk signifikant overlegne hos strattera-behandlede patienter sammenlignet med placebo-behandlede patienter målt på ADHDRS-skalaen. Den 1,8 mg/kg/dag Strattera -dosis gav ingen yderligere fordele i forhold til den, der blev observeret med 1,2 mg/kg/dagdosis. Den 0,5 mg/kg/dag Strattera -dosis var ikke bedre end placebo.
I undersøgelse 2 en 6-ugers randomiseret dobbeltblind placebokontrolleret akut behandlingsundersøgelse af børn og unge i alderen 6 til 16 (n = 171) modtog patienter enten Strattera eller placebo. Strattera blev administreret som en enkelt dosis i den tidlige morgen og titreret på en vægtjusteret basis i henhold til klinisk respons op til en maksimal dosis på 1,5 mg/kg/dag. Den gennemsnitlige endelige dosis af strattera var ca. 1,3 mg/kg/dag. ADHD -symptomer blev statistisk signifikant forbedret på Strattera sammenlignet med placebo målt på ADHDRS -skalaen. Denne undersøgelse viser, at Strattera er effektiv, når den administreres en gang dagligt om morgenen.
I 2 identiske 9-ugers akutte randomiserede dobbeltblinde placebokontrollerede undersøgelser af børn i alderen 7 til 13 år (undersøgelse 3 N = 147; undersøgelse 4 N = 144) Strattera og methylphenidat blev sammenlignet med placebo. Strattera blev administreret som en delt dosis i den tidlige morgen og sen eftermiddag (efter skole) og titreret på et vægtjusteret grundlag i henhold til klinisk respons. Den maksimale anbefalede strattera -dosis var 2,0 mg/kg/dag. Den gennemsnitlige endelige dosis af strattera for begge undersøgelser var ca. 1,6 mg/kg/dag. I begge undersøgelser forbedrede ADHD -symptomer statistisk signifikant mere på Strattera end på placebo, målt på ADHDRS -skalaen.
Undersøgelse af befolkningsundersæt baseret på køn og alder ( <12 og 12 to 17) did not reveal any differential responsiveness on the basis of these subgroupings. There was not sufficient exposure of ethnic groups other than Caucasian to allow explelleration of differences in these subgroups.
Vedligeholdelsesundersøgelse
Effektiviteten af Strattera i vedligeholdelsesbehandlingen af ADHD blev etableret i en poliklinisk undersøgelse af børn og unge (i alderen 6-15 år). Patienter, der opfyldte DSM-IV-kriterier for ADHD, der udviste kontinuerlig respons i cirka 4 uger i løbet af en første 10 ugers åben mærket behandlingsfase med strattera (NULL,2 til 1,8 mg/kg/dag) blev randomiseret til fortsættelse af deres nuværende dosis af strattera (n = 292) eller til placebo (n = 124) under dobbeltblind behandling for observation af relapse. Respons i open-label-fasen blev defineret som CGI-ADHD-S-score ≤2 og en reduktion på mindst 25% fra baseline i ADHDRS-IV-Parent: Inv Total Score. Patienter, der blev tildelt Strattera og udviste kontinuerlig respons i cirka 8 måneder i den første dobbeltblinde behandlingsfase, blev igen randomiseret til fortsættelse af deres nuværende dosis af strattera (n = 81) eller til placebo (n = 82) under dobbeltblind behandling for observation af tilbagefald. Tilbagefald i den dobbeltblinde fase blev defineret som CGI-ADHD-S-score stigninger på mindst 2 fra slutningen af åben-label fase og ADHDRS-IV-Parent: Inv Total Score vender tilbage til ≥90% af undersøgelsesindgangsresultatet for 2 på hinanden følgende besøg. I begge dobbeltblinde faser oplevede patienter, der modtager fortsat strattera-behandling, betydeligt længere tider til tilbagefald end dem, der modtager placebo.
ADHD Studies In Voksne
Effektiviteten af Strattera i behandlingen af ADHD blev etableret i 2 randomiserede dobbeltblinde placebokontrollerede kliniske undersøgelser af voksne patienter i alderen 18 år og ældre, der opfyldte DSM-IV-kriterier for ADHD.
Skilte og symptomer på ADHD blev evalueret ved hjælp af den efterforsknings-administrerede Conners Adult ADHD-vurderingsskala screening version (CAARS) en 30-punkts skala. Den primære effektivitetsforanstaltning var den totale ADHD-symptomresultat for 18 punkter (summen af det uopmærksomme og hyperaktivitet/impulsivitetsunderskalaer fra CAARS) evalueret ved en sammenligning af gennemsnitlig ændring fra baseline til slutpunkt ved hjælp af en intention-to-treat-analyse.
I 2 identiske 10-ugers randomiserede dobbeltblinde placebokontrollerede akutte behandlingsundersøgelser (undersøgelse 5 N = 280; undersøgelse 6 n = 256) modtog patienter enten Strattera eller placebo. Strattera blev administreret som en delt dosis i den tidlige morgen og sen eftermiddag/tidlig aften og titreret i henhold til klinisk respons i et område fra 60 til 120 mg/dag. Den gennemsnitlige endelige dosis af strattera for begge undersøgelser var ca. 95 mg/dag. I begge undersøgelser blev ADHD -symptomer statistisk signifikant forbedret på Strattera målt på ADHD -symptomresultatet fra CAARS -skalaen.
Undersøgelse af befolkningsundersæt baseret på køn og alder ( <42 og ≥42) did not reveal any differential responsiveness on the basis of these subgroupings. There was not sufficient exposure of ethnic groups other than Caucasian to allow explelleration of differences in these subgroups.
Patientinformation til Strattera
Strattera ®
(Stra-Thair-A)
(atomoxetin) kapsler
Læs medicinguiden, der følger med Strattera ® Før du eller dit barn begynder at tage det, og hver gang du får en påfyldning. Der kan være nye oplysninger. Denne medicinguide indtager ikke stedet for at tale med din læge om din behandling eller dit barns behandling med Strattera.
Hvad er de vigtigste oplysninger, jeg skal vide om Strattera?
Følgende er rapporteret ved brug af Strattera:
Børn og teenagere tænker undertiden på selvmord, og mange rapporterer, at de prøver at dræbe sig selv. Resultater fra Strattera -kliniske undersøgelser med over 2200 børn eller teenage ADHD -patienter antyder, at nogle børn og teenagere kan have en større chance for at have selvmordstanker eller handlinger. Selvom der ikke forekom nogen selvmord i disse undersøgelser 4 ud af hver 1000 patienter udviklede selvmordstanker. Fortæl dit barn eller teenagers læge, hvis dit barn eller teenager (eller der er en familiehistorie om):
Chancen for selvmordstanker og handlinger kan være højere:
Forhindre selvmordstanker og handling hos dit barn eller teenager af:
Se efter følgende tegn i dit barn eller teenager under Strattera -behandling:
Ring til dit barn eller teenagers læge med det samme, hvis de har nogen af ovenstående tegn, især hvis de er nye pludselige eller alvorlige. Dit barn eller teenager kan være nødt til at blive nøje overvåget for selvmordstanker og handlinger eller har brug for en ændring i medicin.
Strattera can cause liver injury in some patients. Call your docteller right away if you elleryour child has the following signs of leverproblemer:
Fortæl din læge, hvis du eller dit barn har nogen hjerteproblemer Hjertefejl i høj blodtryk eller en familiehistorie med disse problemer. Din læge skal tjekke dig eller dit barn omhyggeligt for hjerteproblemer, inden du starter Strattera.
Din læge skal kontrollere dit blodtryk eller dit barns blodtryk og hjerterytme regelmæssigt under behandling med Strattera.
Ring med din læge med det samme, hvis du eller dit barn har tegn på hjerteproblemer, såsom brystsmerter, der er åndenød eller besvimelse, mens du tager strattera.
Ring med dit barn eller teenagers læge med det samme om eventuelle nye mentale symptomer Fordi justering eller stop af strattera -behandling muligvis skal overvejes.
- Selvmordstanker og handlinger hos børn og teenagere:
- Har bipolar sygdom (manisk-depressiv sygdom)
- Havde selvmordstanker eller handlinger, før han startede Strattera
- Tidligt under Strattera -behandling
- under dosisjusteringer
- At være opmærksom på dit barn eller teenagers humøradfærd Tanker og følelser Død Strattera -behandling
- Hold alle opfølgningsbesøg med dit barn eller teenagers læge som planlagt
- angst
- Agitation
- Panikanfald
- problemer med at sove
- irritabilitet
- fjendtlighed
- aggressivitet
- Impulsivitet
- rastløshed
- mani
- depression
- Selvmordstanker
- Alvorlig leverskade:
- kløe
- Højre øvre mavesmerter
- Mørk urin
- gul hud eller øjne
- Uforklarlige influenzalignende symptomer
- Hjerte-relaterede problemer:
- Pludselig død hos patienter, der har hjerteproblemer eller hjertefejl
- Slag og hjerteanfald hos voksne
- øget blood pressure og heart rate
- Nye mentale (psykiatriske) problemer hos børn og teenagere:
- Nye psykotiske symptomer (såsom at høre stemmer, der tror på ting, der ikke er sandt at være mistænkelige) eller nye maniske symptomer
Hvad er Strattera?
Strattera is a selective nellerepinephrine Genoptag inhibiteller medicine. It is used feller the treatment of attention deficit og hyperactivity disellerder (ADHD). Strattera may help increase attention og decrease impulsiveness og hyperactivity in patients with ADHD.
Strattera should be used as a part of a total treatment program feller ADHD that may includecounseling eller other therapies.
Strattera has not been studied in children less than 6 years old.
Hvem skal ikke tage Strattera?
Strattera should not be taken if you eller your child:
- tager eller har taget inden for de sidste 14 dage en antidepressionsmedicin kaldet en monoaminoxidaseinhibitor eller MAOI. Nogle navne på maoi -medicin er nardil ® (Phenelzinsulfat) Parnate ® (Tranylcyprominsulfat) og Emsam ® (Selegiline Transdermal System).
- har et øjenproblem kaldet smal vinkel glaukom
- er allergiske over for noget i Strattera. Se slutningen på denne medicinvejledning for en komplet liste over ingredienser.
- har eller har haft en sjælden tumor kaldet pheochromocytoma.
Strattera may not be right feller you eller your child. Befellere starting Strattera tell yourdocteller eller your child’s docteller about all health conditions (eller a family histellery of) including:
- have eller haft selvmordstanker eller handlinger
- Hjerteproblemer Hjertdefekter Uregelmæssigt hjerteslag med højt blodtryk eller Lavt blodtryk
- mentale problemer Psykose mani bipolar illness eller depression
- leverproblemer
- er gravide eller planlægger at blive gravid. Det vides ikke, om Strattera vil skade din ufødte baby. Tal med din læge, hvis du er gravid eller planlægger at blive gravid.
- Der er et graviditetsregister for kvinder, der udsættes for ADHD -medicin inklusive Strattera under graviditet. Formålet med registreringsdatabasen er at indsamle information om kvindernes helbred, der udsættes for Strattera og deres baby. Hvis du eller dit barn bliver gravid under behandling med Strattera, skal du tale med din sundhedsudbyder om at registrere sig hos National Graviditetsregisteret for ADHD-medicin på 1-866-961-2388 eller besøge online på https://womensmentalhealth.org/adhdmedications/.
- er amning eller planlægger at amme. Det vides ikke, om Strattera passerer ind i din modermælk. Tal med din læge om den bedste måde at fodre din baby på, hvis du tager Strattera.
Kan Strattera tages med andre medicin?
Fortæl din læge om alle de medicin, som du eller dit barn tager, inklusive receptpligtige og receptpligtige lægemidler vitaminer og urtetilskud. Strattera og some medicines may interact with each other og cause serious side effects. Your docteller will decide whether Strattera can be taken with other medicines.
Fortæl især din læge, hvis du eller dit barn tager:
- Astmamedicin
- Anti-depressionsmedicin inklusive Maois
- Blodtryksmedicin
- kold eller allergi medicin, der indeholder dekongestanter
Kend de medicin, som du eller dit barn tager. Opbevar en liste over dine medicin med dig for at udstille læge og farmaceut.
Start ikke nogen ny medicin, mens du tager Strattera uden at tale med din DoctorFirst.
Hvordan skal strattera tages?
- Tag Strattera nøjagtigt som foreskrevet. Strattera kommer i forskellige dosisstyrke. Din læge kan justere dosis, indtil den er den rigtige for dig eller dit barn.
- Tyg ikke knus eller åbn kapslerne. Sluge strattera kapsler hele med vand eller andre væsker. Fortæl din læge, hvis du eller dit barn ikke kan sluge Strattera hele. En anden medicin muligvis skal ordineres.
- Undgå at røre ved en brudt strattera -kapsel. Vask hænder og overflader, der berørte Anopen Strattera -kapsel. Hvis noget af pulveret kommer i dine øjne eller dit barns øjne skylles dem med vand med det samme og ring til din læge.
- Strattera can be taken with eller without food.
- Strattera is usually taken once eller twice a day. Take Strattera at the same time each day to help you remember. If you miss a dose of Strattera take it as soon as you remember that day. If you miss a day of Strattera do not double your dose the next day.Just skip the day you missed.
- Fra tid til anden kan din læge stoppe Strattera -behandling i et stykke tid for at kontrollere ADHD -symptomer.
- Din læge foretager muligvis regelmæssige kontroller af blodhjertet og blodtrykket, mens du tager strider. Børn skal have deres højde og vægt kontrolleret ofte, mens de tager Strattera. Strattera-behandling kan stoppes, hvis der findes et problem under disse kontrol.
- Hvis du eller dit barn tager for meget strattera eller overdoser, skal du ringe til din læge Orpoison Control Center med det samme eller få akutbehandling.
Hvad er mulige bivirkninger af Strattera?
Se Hvad er de vigtigste oplysninger, jeg skal vide om Strattera? For information om rapporterede selvmordstanker og handlinger andre mentale problemer alvorlige leverskader og hjerteproblemer.
Andre alvorlige bivirkninger inkluderer:
- Alvorlige allergiske reaktioner (ring til din læge, hvis du har problemer med at trække vejret, se hævelse eller elveblest oplever andre allergiske reaktioner)
- Sænkning af vækst (højde og vægt) hos børn
- Problemer, der passerer urin inklusive
- Problemer med at starte eller holde en urinstrøm
- Kan ikke tømme blæren fuldt ud
Almindelige bivirkninger hos børn og teenagere inkluderer:
- ked af maven
- nedsat appetit
- kvalme eller opkast
- svimmelhed
- træthed
- humørsvingninger
Almindelige bivirkninger hos voksne inkluderer:
- forstoppelse
- tør mund
- kvalme
- nedsat appetit
- svimmelhed
- seksuelle bivirkninger
- Problemer, der passerer urin
Andre oplysninger til børn teenagere og voksne:
- Erektioner, der ikke forsvinder (priapisme), har sjældent forekommet under behandling med Strattera. Hvis du har en erektion, der varer mere end 4 timer, søger medicinsk hjælp til Rightaway. På grund af potentialet for varige skader, herunder den potentielle manglende evne til at have erektioner, bør priapisme evalueres af en læge med det samme.
- Strattera may affect your ability eller your child’s ability to drive eller operate heavy machinery.Be careful until you know how Strattera affects you eller your child.
- Tal med din læge, hvis du eller dit barn har bivirkninger, der er generende eller ikke forsvinder.
Dette er ikke en komplet liste over mulige bivirkninger. Ring til din læge for medicinsk rådgivning om bivirkninger. Du kan rapportere bivirkninger til FDA på 1-800-FDA-1088.
Hvordan skal jeg opbevare strattera?
- Butik Strattera på et sikkert sted ved stuetemperatur 59 til 86 ° F (15 til 30 ° C).
- Hold strattera og alle medicin uden for børns rækkevidde.
Generel information om Strattera
Medicin er undertiden ordineret til andre formål end dem, der er anført i en medicinguide. Brug ikke strattera til en betingelse, som den ikke blev ordineret til. Giv ikke Strattera til andre mennesker, selvom de har den samme tilstand. Det kan skade dem.
Denne medicinguide opsummerer de vigtigste oplysninger om Strattera. Hvis du gerne vil have flere oplysninger, skal du tale med din læge. Du kan bede din læge eller farmaceut om information om Strattera, der blev skrevet til sundhedspersonale. For mere information om Strattera, ring 1-800-lilly-rx (1-800-545-5979) eller besøg www.strattera.com.
Hvad er ingredienserne i Strattera?
Aktiv ingrediens: Atomoxetinhydrochlorid.
Inaktive ingredienser: Pregelatiniseret stivelse Dimethicone Gelatin Sodium Lauryl Sulfate FD
Denne medicinguide er godkendt af US Food and Drug Administration.