Oplysningerne På Webstedet Er Ikke Medicinsk Rådgivning. Vi Sælger Ikke Noget. Nøjagtigheden Af ​​Oversættelsen Er Ikke Garanteret. Ansvarsfraskrivelse

Timoptic-Xe

Resume af lægemiddeloversigt

Hvad er Timoptic Xe?

Timoptic -Xe (timolol maleat oftalmisk løsning) er en betablokker, der bruges til at behandle Åbenvinklet glaukom og andre årsager til højt tryk inde i øjet. Timoptic-xe er tilgængelig i generisk form.

Hvad er bivirkninger af Timoptic Xe?

Timoptic-XE may cause serious side effects including:

  • elveblest
  • Besvær
  • Hævelse af dine ansigtslæber tunge eller hals
  • hvæsende
  • brystsmerter
  • langsomme hjerteslag
  • Lightheadedness
  • muskelsvaghed
  • depression
  • forvirring
  • Hallucinationer
  • usædvanlige tanker eller adfærd
  • følelsesløshed eller kold følelse i dine hænder og fødder
  • Alvorlig stikkende eller forbrænding efter at have brugt medicinen
  • Øjen hævelse
  • rødme eller alvorligt ubehag i øjnene
  • Skorpning eller dræning af øjet
  • sløret vision
  • Tunnelvision
  • øjesmerter og
  • At se haloer omkring lysene

Få medicinsk hjælp med det samme, hvis du har nogen af ​​de symptomer, der er anført ovenfor.



Almindelige bivirkninger af timoptic-xe inkluderer:

  • Midlertidig sløret vision
  • Dobbelt vision
  • hængende øjenlåg
  • Midlertidig forbrænding/stikkende/kløe/rødme i øjet
  • vandige øjne
  • Tørre øjne
  • føler som om noget er i øjet
  • hovedpine
  • svaghed
  • svimmelhed
  • døsighed
  • følelsesløshed/prikken/kold følelse i dine hænder eller fødder
  • Ringer i dine ører
  • tør mund
  • kvalme
  • diarre
  • Tab af appetit
  • ked af maven
  • hududslæt eller forværring
  • Psoriasis
  • Søvnproblemer (søvnløshed)
  • hoste eller
  • Snerpet næse

Søg medicinsk behandling eller ring 911 på én gang, hvis du har følgende alvorlige bivirkninger:

  • Alvorlige øjensymptomer såsom pludseligt synstab sløret synet tunnel vision øje smerter eller hævelse eller at se haloer omkring lys;
  • Alvorlige hjertesymptomer såsom hurtig uregelmæssige eller bankende hjerteslag; flagrende i brystet; åndenød; og pludselig svimmelhed letthed eller udlevering;
  • Alvorlig hovedpine forvirring sløret talearm eller ben svaghed problemer med at gå tab af koordination føles ustabil meget stive muskler høj feber voldsom sved eller rysten.

Dette dokument indeholder ikke alle mulige bivirkninger, og andre kan forekomme. Kontakt din læge for yderligere oplysninger om bivirkninger.

Dosering til Timoptic XE

Dosis af timoptic-xe er en dråbe (enten 0,25% eller 0,5%) i det berørte øje (r) en gang om dagen.

Hvilke stoffer stoffer eller kosttilskud interagerer med Timoptic XE?

Timoptic-XE may interact with clonidine quinidine reserpine digitalis Acetazolamid dichlorphenamid methazolamid oral timolol andre betablokkere calciumkanalblokkere eller Antidepressiva . Fortæl din læge alle medicin og kosttilskud, du bruger.

Timoptic XE During Graviditet or Breastfeeding

Timoptic-XE should be used only when prescribed during pregnancy. This drug passes into breast milk. Consult your doctor before breastfeeding.

Yderligere oplysninger

Vores Timoptic-XE (Timolol Maleat) bivirkninger Drug Center giver et omfattende overblik over tilgængelige lægemiddelinformation om de potentielle bivirkninger, når du tager denne medicin.

FDA -lægemiddelinformation

Beskrivelse til Timoptic-Xe

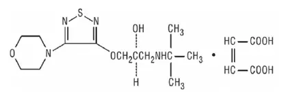
Timoptic-XE® (Timolol Maleat Ophthalmic Gel Forming Solution) er en ikke-selektiv beta-adrenerg receptorblokeringsmiddel. Dets kemiske navn er (-)-1- (tert-butylamino) -3 [(4-morpholino-125-thiadiazol-3-yl) oxy] -2-propanol maleat (1: 1) (salt). Timolol Maleat har et asymmetrisk carbonatom i sin struktur og leveres som levo-isomer. Den optiske rotation af Timolol Maleat er:

Dens molekylære formel er C 13 H 24 N 4 O 3 S · c 4 H 4 O 4 Og dens strukturelle formel er:

Timolol Maleat har en molekylvægt på 432,50. Det er et hvidt lugtfrit krystallinsk pulver, der er opløseligt i vandmethanol og alkohol.

Timoptic-XE steril oftalmisk gelformningsløsning leveres som en steril isotonisk bufret vandig opløsning af timolol-maleat i to doseringsstyrker. Opløsningens pH er ca. 7,0, og osmolariteten er 260-330 mosm. Hver ml timoptic-xe 0,25% indeholder 2,5 mg timolol (NULL,4 mg timolol maleat). Hver ml timoptic-xe 0,5% indeholder 5 mg timolol (NULL,8 mg timolol maleat). Inaktive ingredienser: Gellan gummi tromethamin mannitol og vand til injektion. Konserveringsmiddel: Benzododecinium bromid 0,012%.

hvor meget guaifenesin kan du tage

Gelformningsopløsningen indeholder en oprenset anionisk heteropolysaccharid afledt af gellan tyggegummi. En vandig opløsning af gellan tyggegummi i nærvær af en kation har evnen til at gelere. Ved kontakt med den preorneale tårefilm danner Timoptic-XE en gel, der derefter fjernes ved strømmen af ​​tårer.

Bruger til Timoptic-Xe

Timoptic-XE steril oftalmisk gelformningsløsning er indikeret i behandlingen af ​​forhøjet intraokulært tryk hos patienter med okulær hypertension eller åbenvinklet glaukom.

Dosering til timoptic-xe

Patienter skal instrueres i at vende den lukkede beholder og ryste en gang før hver brug. Det er ikke nødvendigt at ryste containeren mere end én gang. Andre topisk anvendte oftalmiske medicin skal administreres mindst 10 minutter før Timopticxe [se FORHOLDSREGLER Patientinformation og ledsagende Brug til brug ].

Timoptic-XE steril oftalmisk gelformningsløsning er tilgængelig i koncentrationer på 0,25% og 0,5%. Dosis er en dråbe timoptic-xe (enten 0,25% eller 0,5%) i det berørte øje (r) en gang om dagen.

Fordi hos nogle patienter kan det tryksænkende respons på Timoptic-XE kræve et par uger for at stabilisere evalueringen bør omfatte en bestemmelse af intraokulært tryk efter ca. 4 ugers behandling med Timoptic-XE. Doseringer højere end en dråbe 0,5% timoptic-xe en gang om dagen er ikke undersøgt. Hvis patientens intraokulære tryk stadig ikke er på et tilfredsstillende niveau på dette regime, kan samtidig terapi overvejes. Den samtidige anvendelse af to aktuelle beta-adrenergiske blokeringsmidler anbefales ikke [se FORHOLDSREGLER Lægemiddelinteraktioner Beta-adrenerge blokerende agenter ].

Når patienter er skiftet fra terapi med timoptisk indgivet to gange dagligt til Timoptic-XE, der blev administreret en gang dagligt, er den okulære hypotensive effekt forblevet konsistent.

Hvor leveret

Timoptic-Xe® (Timolol Maleat Ophthalmic Gel Forming Solution) er en farveløs til næsten farveløs lidt opalescent og let viskøs opløsning.

Timoptic-Xe® (Timolol Maleat oftalmic Gel Forming Solution) 0,25% Timolol -ækvivalent leveres i en hvid lav densitet polyethylen (LDPE) dispenser med en kontrolleret drop -spids og en gul polypropylenhætte som følger:

NDC 24208-814-25 5 ml i en 7,5 ml kapacitetsflaske.

Hvad er B50 -kompleks godt til

Timoptic-Xe® (Timolol Maleat Oftalmisk gelformningsløsning) 0,5% Timolol -ækvivalent leveres i en hvid lav densitet polyethylen (LDPE) dispenser med en kontrolleret drop -spids og en gul polypropylenhætte som følger:

NDC 24208-816-05 5 mL in a 7.5 mL capacity bottle.

Opbevaring

Opbevares ved 15-25 ° C (59-77 ° F). Undgå frysning . Beskyt mod lys.

Distribueret af: Bausch Lomb En afdeling af Valeant Pharmaceuticals North America LLC Bridgewater NJ 08807 USA.

Bivirkninger for Timoptic-XE

I kliniske forsøg blev forbigående sløret syn ved instillation af drop rapporteret hos ca. en ud af tre patienter (der varer fra 30 sekunder til 5 minutter). Mindre end 1% af patienterne afbrød fra undersøgelserne på grund af sløret syn. Hyppigheden af ​​patienter, der rapporterede om forbrænding og stikkende ved instillation, var sammenlignelig mellem Timoptic-XE og Timoptic (ca. en ud af otte patienter).

Bivirkninger rapporteret hos 1-5% af patienterne var:

Okulær: Smerter konjunktivitis udladning (f.eks. Skorpning) fremmedkropsfølelse kløe og rivning;

Systemisk: Hovedpine svimmelhed og øvre luftvejsinfektioner.

Følgende yderligere bivirkninger er rapporteret med den okulære administration af denne eller andre Timolol Maleat -formuleringer:

Krop som helhed

Asthenia/træthed og brystsmerter.

Kardiovaskulær

Bradycardia Arrytmia Hypotension Hypertension Synkope Hjerteblok Cerebral vaskulær ulykke Cerebral iskæmi Hjertsvigt forværring af angina pectoris palpitation hjertearrest pulmonal ødemødem Claudication Raynauds fænomen og kolde hænder og fødder.

Fordøjelsesmulighed

Kvalme diarré dyspepsi anoreksi og tør mund.

Immunologisk

Systemisk lupus erythematosus.

Nervesystem/psykiatrisk

Stigning i tegn og symptomer på myasthenia gravis paræstesi somnolens søvnløshed mareridt adfærdsændringer og psykiske forstyrrelser, herunder depression forvirring hallucinationer angst Desorientering nervøsitet og hukommelsestab.

Hud

Alopecia og psoriasiform udslæt eller forværring af psoriasis.

Overfølsomhed

Tegn og symptomer på systemiske allergiske reaktioner inklusive anafylaksi angioødema urticaria lokaliseret og generaliseret udslæt.

Åndedrætsværn

Bronchospasme (overvejende hos patienter med forudgående eksisterende bronkospastisk sygdom) åndedrætssvigt dyspnø nasal overbelastning hoste og øvre luftvejsinfektioner.

Endokrin

Maskerede symptomer på hypoglykæmi hos diabetespatienter [se Advarsler ].

Særlige sanser

Tegn og symptomer på okulær irritation inklusive blepharitis keratitis og tørre øjne; ptosis; nedsat hornhindefølsomhed; cystoid makulær ødem; visuelle forstyrrelser inklusive brydningsændringer og diplopi; pseudopemphigoid; Choroidal løsrivning efter filtreringskirurgi [se FORHOLDSREGLER Generel ]; og tinnitus.

Urogenital

Retroperitoneal fibrose nedsatte libido -impotens og Peyronies sygdom. Følgende yderligere bivirkninger er rapporteret i klinisk erfaring med oral timolol-maleat eller andre orale betablokerende midler og kan betragtes som potentielle virkninger af oftalmisk timolol-maleat: allergisk: erytematøs udslæt feber kombineret med aching og ondt i halsen laryngospasm med åndedrætsdistress; Krop som helhed: ekstremitetssmerter nedsat træningstolerance vægttab; Kardiovaskulær: forværring af arteriel insufficiens -vasodilatation; Fordøjelsesmulighed: gastrointestinal smerte hepatomegali opkast mesenterisk arteriel trombose iskæmisk colitis; Hematologisk: ikke -thrombocytopenisk purpura -thrombocytopenisk purpura agranulocytose; Endokrin: hyperglykæmi hypoglykæmi; Hud: kløehudirritation øget pigmentering svedt; Muskuloskeletal: Arthralgia; Nervesystem/Psykiatrisk: Vertigo Lokal svaghed formindsket koncentration reversibel mental depression, der gik videre til katatonier, et akut reversibelt syndrom, der er kendetegnet ved desorientering for tid og sted følelsesmæssig labilitet let overskyet sensorium og nedsat ydelse på neuropsykometri; Åndedræt: Rales bronchial obstruktion; Urogenitalt: vandladningsvanskeligheder.

Lægemiddelinteraktioner for Timoptic-XE

Beta-adrenerge blokerende agenter

Patienter, der modtager et beta-adrenerg blokeringsmiddel oralt og timoptic-xe, skal observeres for potentielle additive effekter af beta-blokade både systemisk og på intraokulært tryk. Den samtidige anvendelse af to aktuelle beta-adrenergiske blokeringsmidler anbefales ikke.

Calciumantagonister

Forsigtighed bør anvendes til samtidig administration af beta-adrenergiske blokeringsmidler, såsom timoptisk-xe og oral eller intravenøs calciumantagonister på grund af mulige atrioventrikulære ledningsforstyrrelser til venstre ventrikulær svigt eller hypotension. Hos patienter med nedsat hjertefunktion bør coadministration undgås.

Catecholamine-udtømmende lægemidler

Nær observation af patienten anbefales, når en betablokker administreres til patienter, der får catecholamin-udtømmende lægemidler, såsom reserpin på grund af mulige additive effekter og produktionen af ​​hypotension og/eller markeret bradykardi, hvilket kan resultere i svimmelhedssynkop eller postural hypotension.

Digitalis og calciumantagonister

Den samtidige anvendelse af beta-adrenerge blokerende midler med digitalis og calciumantagonister kan have additive effekter til forlængelse af atrioventrikulær ledningstid.

CYP2D6 -hæmmere

Potentieret systemisk beta-blokade (f.eks. Nedsat hjerterytdepression) er rapporteret under kombineret behandling med CYP2D6-hæmmere (f.eks. Quinidin SSRI'er) og timolol.

Clonidin

Oral beta-adrenerge blokeringsmidler kan forværre rebound-hypertensionen, der kan følge tilbagetrækningen af ​​klonidin. Der har ikke været nogen rapporter om forværring af rebound -hypertension med oftalmisk timolol -maleat.

Injicerbar epinephrin

[Se FORHOLDSREGLER Generel Anafylaksi ]

Advarsler for Timoptic-XE

Som med mange topisk anvendte oftalmiske lægemidler absorberes dette lægemiddel systemisk. De samme bivirkninger, der findes med systemisk administration af betaadrenergiske blokeringsmidler, kan forekomme med topisk oftalmisk administration. F.eks Kontraindikationer ].

Hjertefejl

Sympatisk stimulering kan være vigtig for støtte til cirkulationen hos individer med formindsket myokardial kontraktilitet, og dens hæmning ved beta-adrenerg receptorblokade kan udfælde mere alvorlig svigt. Hos patienter uden en historie med hjertesvigt fortsatte depression af myokardiet med betablokerende midler over en periode i nogle tilfælde føre til hjertesvigt. Ved det første tegn eller symptom på hjertesvigt skal Timoptic-XE afbrydes.

Obstruktiv lungesygdom

Patienter med kronisk obstruktiv lungesygdom (f.eks. Kronisk bronkitisemfysem) af mild eller moderat sværhedsgrad bronkospastisk sygdom eller en historie med bronkospastisk sygdom (bortset fra bronchial astma eller en historie med bronchial astma, hvor timoptisk-xe er kontraindiceret [se Kontraindikationer ] bør generelt ikke modtage betablokkere inklusive timoptic-xe.

Større kirurgi

Nødvendigheden eller ønskværdigheden af ​​tilbagetrækning af beta-adrenerg blokeringsmidler inden større kirurgi er kontroversiel. Beta-adrenerg receptorblokade forringer hjertets evne til at reagere på beta-adrenergisk medierede refleksstimuli. Dette kan øge risikoen for generel anæstesi i kirurgiske procedurer. Nogle patienter, der modtager betaadrenergiske receptorblokeringsmidler, har oplevet langvarig alvorlig hypotension under anæstesi. Sværhedsgrad ved genstart og vedligeholdelse af hjerteslag er også rapporteret. Af disse grunde hos patienter, der gennemgår valgfri kirurgi, anbefaler nogle myndigheder gradvis tilbagetrækning af beta-adrenerg receptorblokeringsmidler. Om nødvendigt under operationen kan virkningerne af beta-adrenergiske blokeringsmidler vendes med tilstrækkelige doser af adrenergiske agonister.

Diabetes mellitus

Beta-adrenerge blokerende agenter should be administered with caution in patients subject to spontaneous hypoglycemia or to diabetic patients (especially those with labile diabetes) who are receiving insulin or oral hypoglycemic agents. Beta-adrenergic receptor blocking agents may mask the signs og symptoms of acute hypoglycemia.

Thyrotoksikose

Beta-adrenerge blokerende agenter may mask certain clinical signs (e.g. tachycardia) of hyperthyroidism. Patients suspected of developing thyrotoxicosis should be managed carefully to avoid abrupt withdrawal of beta-adrenergic blocking agents that might precipitate a thyroid storm.

Forholdsregler for Timoptic-XE

Generel

På grund af potentielle virkninger af beta-adrenergiske blokeringsmidler på blodtryk og puls skal disse midler bruges med forsigtighed hos patienter med cerebrovaskulær insufficiens. Hvis tegn eller symptomer, der antyder reduceret cerebral blodgennemstrømning, udvikler sig efter initiering af terapi med timoptic-xe alternativ terapi, bør overvejes.

Der har været rapporter om bakteriel keratitis forbundet med brugen af ​​multiple-dosis containere med aktuelle oftalmiske produkter. Disse containere var utilsigtet forurenet af patienter, der i de fleste tilfælde havde en samtidig hornhindesygdom eller en forstyrrelse af den okulære epiteloverflade [se FORHOLDSREGLER Patientinformation ].

Keflex -generation

Choroidal løsrivelse efter filtreringsprocedurer er rapporteret ved indgivelse af vandig undertrykkende terapi (f.eks. Timolol).

Vinkel-lukning glaukom

Hos patienter med vinkel-lukning glaukom er det øjeblikkelige mål at behandlingen igen at åbne vinklen igen. Dette kan kræve indsnævring af eleven. Timolol Maleat har ringe eller ingen indflydelse på eleven. Timoptic-XE bør ikke bruges alene til behandling af vinkel-lukning glaukom.

Anafylaksi

Mens de tager betablokkere med en historie med atopi eller en historie med alvorlige anafylaktiske reaktioner på en række allergener kan være mere reaktive over for gentagen utilsigtet diagnostisk eller terapeutisk udfordring med sådanne allergener. Sådanne patienter kan ikke reagere på de sædvanlige doser af epinephrin, der anvendes til behandling af anafylaktiske reaktioner.

Muskelsvaghed

Beta-adrenerg blokade er rapporteret at styrke muskelsvaghed i overensstemmelse med visse myastheniske symptomer (f.eks. Diplopia ptosis og generaliseret svaghed). Timolol er sjældent rapporteret for at øge muskelsvaghed hos nogle patienter med myasthenia gravis eller myastheniske symptomer.

Information til patienter

Patienter skal instrueres i at undgå at tillade spidsen af ​​dispenseringscontaineren at kontakte øjet eller omgivende strukturer.

Patienter skal også instrueres i, at okulære opløsninger, hvis de håndteres forkert,, eller hvis spidsen af ​​dispenseringsbeholderen kontakter øjet eller omgivende strukturer kan blive forurenet af almindelige bakterier, der er kendt for at forårsage okulære infektioner. Alvorlig skade på øjet og efterfølgende synstab kan være resultatet af at bruge forurenede løsninger [se FORHOLDSREGLER Generel ].

Patienter skal også rådes om, at hvis de har okulær kirurgi eller udvikler en samtidig okulær tilstand (f.eks. Traumer eller infektion), skal de straks søge deres læges råd om den fortsatte brug af den nuværende multidosebeholder.

Patienter skal instrueres i at vende den lukkede beholder og ryste en gang før hver brug. Det er ikke nødvendigt at ryste containeren mere end én gang.

Patienter, der kræver samtidig topisk oftalmiske medikamenter, bør instrueres til at administrere disse mindst 10 minutter, før de indfører timoptic-xe.

Patienter med bronchial astma En historie med bronchial astma alvorlig kronisk obstruktiv lungesygdom sinus bradykardi anden eller tredje grad atrioventrikulær blokering eller hjertesvigt skal rådes til ikke at tage dette produkt [se Kontraindikationer ].

Forbigående sløret syn, der generelt varer fra 30 sekunder til 5 minutter efter instillation og potentielle visuelle forstyrrelser, kan forringe evnen til at udføre farlige opgaver, såsom betjeningsmaskiner eller køre et motorkøretøj.

Karcinogenese mutagenese nedskrivning af fertilitet

I en to-årig undersøgelse af timolol maleat indgivet oralt til rotter var der en statistisk signifikant stigning i forekomsten af ​​binyrepheochromocytomer i mandlige rotter administreret 300 mg/kg/dag (ca. 42000 gange den systemiske eksponering efter den maksimale anbefalede humane ophthalmiske dosis). Lignende forskelle blev ikke observeret i rotter, der blev administreret orale doser svarende til ca. 14000 gange den maksimale anbefalede humane oftalmiske dosis.

I en levetid mundtlig undersøgelse hos mus var der statistisk signifikante stigninger i forekomsten af ​​godartede og ondartede lungetumorer godartede livmoderpolypper og brystadenocarcinomer i hunmus ved 500 mg/kg/dag (ca. 71000 gange den systemiske eksponering efter den maksimale anbefalede humane ophthalmiske dosis), men ikke 5 eller 50 mg/kg/dag (ca. Henholdsvis 7000 gange den systemiske eksponering efter den maksimale anbefalede humane oftalmiske dosis). I en efterfølgende undersøgelse af hunmus, hvor undersøgelser efter slagtning var begrænset til livmoderen og lungerne, blev en statistisk signifikant stigning i forekomsten af ​​lungetumorer igen observeret ved 500 mg/kg/dag.

Den øgede forekomst af brystadenocarcinomer var forbundet med forhøjninger i serumprolactin, der forekom hos hunmus, der blev indgivet oral timolol ved 500 mg/kg/dag, men ikke ved orale doser på 5 eller 50 mg/kg/dag. En øget forekomst af brystadenocarcinomer i gnavere har været forbundet med indgivelse af flere andre terapeutiske midler, der hæver serumprolactin, men der er ikke etableret nogen sammenhæng mellem serumprolactinniveauer og brysttumorer i mennesker.

Desuden hos voksne humane kvindelige forsøgspersoner, der modtog orale doser på op til 60 mg timolol -maleat (den maksimale anbefalede humane orale dosering), var der ingen klinisk meningsfulde ændringer i serumprolactin.

Timolol Maleat var blottet for mutagen potentiale, da han blev testet forgæves (mus) i mikronukleus -testen og cytogenetisk assay (doser op til 800 mg) og In vitro i et neoplastisk celletransformationsassay (op til 100 mcg/ml). I AMES -test var de højeste koncentrationer af Timolol anvendt 5000 eller 10000 mcg/plade forbundet med statistisk signifikante forhøjninger af reverTants observeret med testerbelastning TA 100 (i syv replikatassays), men ikke i de resterende tre stammer. I assays med testerstamme ta 100 blev der ikke observeret noget konsistent dosisresponsforhold, og forholdet mellem test og kontrol med at revertanter nåede ikke 2. Et forhold på 2 betragtes normalt som kriteriet for en positiv AMES -test.

Reproduktions- og fertilitetsundersøgelser hos rotter demonstrerede ingen negativ indvirkning på mandlig eller kvindelig fertilitet ved doser op til 21000 gange den systemiske eksponering efter den maksimale anbefalede humane oftalmiske dosis.

Graviditet

Teratogene effekter

Teratogenicitetsundersøgelser med timolol i musrotter og kaniner ved orale doser op til 50 mg/kg/dag (7000 gange den systemiske eksponering efter den maksimale anbefalede humane oftalmiske dosis) demonstrerede ingen bevis for føtal misdannelser. Selvom forsinket føtal ossifikation blev observeret i denne dosis hos rotter, var der ingen bivirkninger på postnatal udvikling af afkom. Doser på 1000 mg/kg/dag (142000 gange den systemiske eksponering efter den maksimale anbefalede humane oftalmiske dosis) var maternotoksisk hos mus og resulterede i et øget antal føtale resorptioner. Forøgede føtalresorptioner blev også set hos kaniner i doser på 14000 gange den systemiske eksponering efter den maksimale anbefalede humane oftalmiske dosis i dette tilfælde uden tilsyneladende modnotoksicitet.

leveomkostninger Cambodja

Der er ingen tilstrækkelige og godt kontrollerede studier hos gravide kvinder. Timoptic-XE bør kun bruges under graviditet, hvis den potentielle fordel retfærdiggør den potentielle risiko for fosteret.

Sygeplejerske mødre

Timolol Maleat er blevet påvist i human mælk efter oral og oftalmisk lægemiddeladministration. På grund af potentialet for alvorlige bivirkninger fra Timopticxe hos sygeplejebørn skal der træffes en beslutning om at afbryde sygeplejerske eller afbryde stoffet under hensyntagen til stoffets betydning for moderen.

Pædiatrisk brug

Sikkerhed og effektivitet hos pædiatriske patienter er ikke etableret.

Geriatrisk brug

Der er ikke observeret nogen samlede forskelle i sikkerhed eller effektivitet mellem ældre og yngre patienter.

Overdoseringsoplysninger til timoptic-xe

Ingen data er tilgængelige med hensyn til human overdosering med eller utilsigtet oral indtagelse af timoptic-xe.

Der har været rapporter om utilsigtet overdosering med timoptisk oftalmisk opløsning, hvilket resulterer i systemiske effekter, der ligner dem, der ses med systemisk betaadrenergisk blokeringsmidler, såsom svimmelhed hovedpine korthed af åndedrættet bradykardi bronchospasme og hjertearrest [se også [se også Bivirkninger ]. Overdosage has been reported with timolol maleate tablets. A 30-year-old female ingested 650 mg of timolol maleate tablets (maximum recommended oral daily dose is 60 mg) og experienced second og third degree heart block. She recovered without treatment but approximately two months later developed irregular heartbeat hypertension svimmelhed tinnitus faintness increased pulse rate og borderline first degree heart block.

En In vitro Hemodialyseundersøgelse ved hjælp af 14 C Timolol tilsat til humant plasma eller helblod viste, at timolol let blev dialyseret fra disse væsker; En undersøgelse af patienter med nyresvigt viste imidlertid, at Timolol ikke dialyserede let.

Kontraindikationer for timoptic-xe

Timoptic-XE er kontraindiceret hos patienter med (1) bronchial astma; (2) en historie med bronchial astma; (3) Alvorlig kronisk obstruktiv lungesygdom [se Advarsler ]; (4) bihule Bradycardia; (5) anden eller tredje grad atrioventrikulær blok; (6) åbenlyst hjertesvigt [se Advarsler )]; (7) Kardiogen stød ; eller (8) overfølsomhed over for enhver komponent i dette produkt.

Klinisk farmakologi for Timoptic-XE

Handlingsmekanisme

Timolol Maleat er en beta1 og beta2 (ikke-selektiv) adrenerg receptorblokeringsmiddel, der ikke har signifikant iboende sympatomimetisk direkte myocardial depressiv eller lokalbedøvelsesmiddel (membranstabiliserende) aktivitet.

Timoptic-xe, når det påføres topisk på øjet, har virkningen af ​​at reducere forhøjet såvel som normalt intraokulært tryk, uanset om det ledsages af eller ej glaukom . Forhøjet intraokulært tryk er en vigtig risikofaktor i patogenesen af ​​glaukomatøst synsfelttab og optisk nerveskade.

Den nøjagtige mekanisme for den okulære hypotensive virkning af timoptic-xe er ikke klart etableret på dette tidspunkt. Tonografi og fluorofotometriundersøgelser af Timoptic® (Timolol Maleat oftalmisk opløsning) hos mennesker antyder, at dens overvejende virkning kan være relateret til reduceret vandig dannelse. I nogle undersøgelser blev der imidlertid også observeret en svag stigning i udstrømningsanlægget.

Beta-adrenerg receptorblokade reducerer hjerteproduktionen hos både sunde forsøgspersoner og patienter med hjertesygdom. Hos patienter med alvorlig svækkelse af myokardiefunktion kan beta-adrenerg receptorblokade hæmme den stimulerende virkning af det sympatiske nervesystem, der er nødvendigt for at opretholde tilstrækkelig hjertefunktion.

Beta-adrenerg receptorblokade i bronchi- og bronchiolerne resulterer i øget luftvejsresistens fra uoplivet parasympatisk aktivitet. En sådan effekt hos patienter med astma eller andre bronkospastiske tilstande er potentielt farlig.

Farmakokinetik

I en undersøgelse af plasma-lægemiddelkoncentration hos seks forsøgspersoner blev den systemiske eksponering for timolol bestemt efter en gang daglig administration af Timoptic-XE 0,5% om morgenen. Den gennemsnitlige topplasmakoncentration efter i morges dosis var 0,28 ng/ml.

Kliniske studier

I kontrollerede dobbeltmaskede multicenter-kliniske undersøgelser, der sammenlignede timoptic-XE 0,25% med timoptisk 0,25% og timoptic-xe 0,5% til timoptisk 0,5% timopticxe, der blev administreret en gang om dagen, blev det vist sig at være lige så effektivt til at sænke intraokulært tryk som den ækvivalente koncentration af timoptisk, der blev administreret to gange. Effekten af ​​timolol i sænkning af intraokulært tryk var tydelig i 24 timer med en enkelt dosis timoptic-xe. Gentagne observationer over en periode på seks måneder indikerer, at den intraokulære tryksænkende virkning af timoptic-xe var konsekvent. Resultaterne fra de største amerikanske og internationale kliniske forsøg, der sammenligner timoptic-xe 0,5% med timoptiske 0,5%, er vist i figur 1.

Figur 1: Gennemsnitlig IOP- og STD -afvigelse (MM Hg) efter behandlingsgruppe
U.S. -undersøgelse

Mupirocin salve USP 2 i næsen
Mean IOP and Std Deviation (mm Hg) - Illustration

International undersøgelse

Mean IOP and Std Deviation (mm Hg) - Illustration

Timoptic-XE, der blev administreret en gang dagligt, havde en sikkerhedsprofil svarende til en ækvivalent koncentration af timoptisk indgivet to gange dagligt. På grund af de fysiske egenskaber ved formuleringen var der en højere forekomst af kortvarig sløret syn hos patienter, der blev administreret Timoptic-XE. En lille reduktion i hvilepulsen blev observeret hos nogle patienter, der fik Timoptic-Xe 0,5% (gennemsnitlig reduktion 24 timer efter dosis 0,8 slag/minuts middelreduktion 2 timer efter dosis 3,8 slag/minut) [Se Bivirkninger ].

Timoptic-XE er ikke undersøgt hos patienter, der bærer kontaktlinser.

Patientinformation til timoptic-xe

Brug til brug

Timoptic-Xe®
(Tim-op´tik-xe)
(Timolol Maleat Oftalmisk gelformende opløsning) 0,25% og 0,5%

Læs disse instruktioner til brug, der følger med Timoptic-XE, før du begynder at bruge den, og hver gang du får en påfyldning. Der kan være nye oplysninger. Disse oplysninger indtager ikke stedet for at tale med din læge om din medicinske tilstand eller behandling.

Vigtig information om timoptic-xe:

  • Brug Timoptic-XE nøjagtigt, som din læge beder dig om at bruge den. Din læge vil fortælle dig, hvor meget timoptic-xe du skal bruge, og hvornår du skal bruge den.
  • Hvis du bruger andre medicin i dit øje, skal du vente mindst 10 minutter mellem at bruge Timoptic-XE og dine andre øjenmedicin.
  • Rør ikke ved dit øje eller områder omkring dit øje med spidsen af ​​Timopticxe -flasken. Du kan få bakterier på spidsen af ​​flasken, der kan få dig til at få en øjeninfektion, der kan føre til alvorlig øjenskade eller synstab.

Hvordan skal jeg bruge timoptic-xe?

Trin 1. Vask hænder.

Trin 2. Drej din lukkede flaske Timoptic-Xe på hovedet (inverter) og ryst en gang.

Trin 3. Fjern Timoptic-Xe-hætten ved at dreje hætten i retning af de viste pile (se Figur a ). Læg hætten i et rent og tørt område. Lad ikke spidsen af ​​flasken røre ved dine fingre eller andre overflader.

Figur a

Remove the TIMOPTIC-XE cap - Illustration

Trin 4. Hold flasken mellem tommelfingeren og pegefingeren med 1 hånd. Brug pegefingeren på den anden hånd til at trække det nedre øjenlåg ned for at danne en lomme til øjendråbet (se Figur b ). Tillevt dit hoved baglæns.

Figur b

pull down the lower eyelid - Illustration

Trin 5. Placer spidsen af ​​flasken tæt på dit øje. Vær forsigtig med ikke at røre ved dit øje med spidsen af ​​flasken. Klem forsigtigt flasken og lad 1 dråbe falde i mellemrummet mellem dit nedre øjenlåg og dit øje (se Figur c ). Hvis en dråbe går glip af dit øje, skal du følge instruktionerne i trin 4 og 5 igen.

Figur c

Let 1 drop fall - Illustration

Trin 6. Hvis din læge har bedt dig om at bruge Timoptic-Xe i begge øjne gentager trin 4 og 5 for dit andet øje.

Trin 7. Sæt hætten tilbage på flasken og luk.

  • Timoptic-Xe-flaske tip er lavet til at give 1 dråbe ad gangen. Forsøg ikke at gøre hullet i spidsen af ​​din flaske større.
  • Vask ikke flaskespidsen.
  • Når du har brugt alle dine Timoptic-XE-doser, vil der være nogle Timoptic-Xe tilbage i flasken. Forsøg ikke at fjerne den ekstra timoptic-xe fra flasken. Smid det væk.

Hvordan skal jeg opbevare Timoptic-Xe?

  • Opbevar timoptic-xe ved stuetemperatur mellem 59 ° F til 77 ° F (20 ° C til 25 ° C) i en opretstående position.
  • Frys ikke Timoptic-Xe.
  • Hold Timoptic-Xe ude af lys.

Opbevar Timoptic-XE og alle medicin uden for børns rækkevidde.

Hvis du gerne vil have flere oplysninger, skal du tale med din læge. Du kan bede din farmaceut eller læge om mere information om Timoptic-Xe, der er skrevet til sundhedspersonale.