Oplysningerne På Webstedet Er Ikke Medicinsk Rådgivning. Vi Sælger Ikke Noget. Nøjagtigheden Af Oversættelsen Er Ikke Garanteret. Ansvarsfraskrivelse
Antidiabetik, glukagonlignende peptid-1-agonister
Wegovy
Resume af lægemiddeloversigt
Hvad er Wegovy?
Wegovy (semaglutid) er en Glucagon -lignende peptid -1 (GLP -1) receptoragonist indikeret som et supplement til en reduceret kaloridiæt og øget fysisk aktivitet til kronisk vægthåndtering hos voksne patienter med en initial Kropsmasseindeks (BMI) på 30 kg/m2 eller mere ( Fedme ) eller 27 kg/m2 eller større ( overvægtig ) i nærvær af mindst en vægtrelateret comorbid tilstand (f.eks. Hypertension type 2 Diabetes mellitus eller dyslipidæmi ).
Hvad er bivirkninger af Wegovy?
Wegovy
- elveblest
- Besvær
- Hævelse af dine ansigtslæber tunge eller hals
- Pludselig synstab
- sløret vision
- Tunnelvision
- Øjesmerter eller hævelse
- At se haloer omkring lys
- Hurtig uregelmæssig eller bankende hjerteslag
- Fladere i dit bryst
- åndenød
- Pludselig svimmelhed
- Lightheadedness
- besvimende
- Alvorlig hovedpine
- forvirring
- sløret tale
- arm eller ben svaghed
- problemer med at gå
- tab af koordinering
- Føler dig ustabil
- Meget stive eller stive muskler
- Høj feber
- Alar svedt og
- rysten
Få medicinsk hjælp med det samme, hvis du har nogen af de symptomer, der er anført ovenfor.
Bivirkninger af Wegovy inkluderer:
- kvalme
- diarre
- opkast
- forstoppelse
- mavesmerter
- hovedpine
- træthed
- dårlig fordøjelse/ halsbrand
- svimmelhed
- oppustethed (abdominal distension)
- Belling
- lavt blodsukker ( Hypoglykæmi ) hos patienter med type 2 -diabetes
- gas ( Flatulens )
- Gastroenteritis og
- Gastroøsofageal reflux Sygdom (GERD).
Søg medicinsk behandling eller ring 911 på én gang, hvis du har følgende alvorlige bivirkninger:
- Alvorlige øjensymptomer såsom pludseligt synstab sløret synet tunnel vision øje smerter eller hævelse eller at se haloer omkring lys;
- Alvorlige hjertesymptomer såsom hurtig uregelmæssige eller bankende hjerteslag; flagrende i brystet; åndenød; og pludselig svimmelhed letthed eller udlevering;
- Alvorlig hovedpine forvirring sløret talearm eller ben svaghed problemer med at gå tab af koordination føles ustabil meget stive muskler høj feber voldsom sved eller rysten.
Dette dokument indeholder ikke alle mulige bivirkninger, og andre kan forekomme. Kontakt din læge for yderligere oplysninger om bivirkninger.
Dosering til Wegovy
Den oprindelige dosis af Wegovy er 0,25 mg en gang ugentligt i 4 uger. I 4-ugers intervaller øger dosis, indtil en dosis på 2,4 mg er nået. Vedligeholdelsesdosis af Wegovy er 2,4 mg en gang ugentligt administreret samme dag hver uge på ethvert tidspunkt på dagen med eller uden måltider.
Wegovy hos børn
Sikkerhed og effektivitet af Wegovy er ikke blevet etableret hos pædiatriske patienter.
Hvilke stoffer stoffer eller kosttilskud interagerer med Wegovy?
Wegovy kan interagere med andre medicin såsom:
- insulinsekretagoger (f.eks. Sulfonylurinstoffer) eller insulin og
- Andre mundtlige medicin taget på samme tid.
Fortæl din læge alle medicin og kosttilskud, du bruger.
Wegovy under graviditet og amning
WeGovy anbefales ikke til brug; Det kan skade et foster. Når graviditet genkendes, ophører WeGovy. Afbryd Wegovy mindst 2 måneder før en planlagt graviditet på grund af den lange halveringstid for semaglutid. Der vil være et graviditetseksponeringsregister, der overvåger graviditetsresultater hos kvinder, der udsættes for Wegovy under graviditet. Gravide kvinder, der udsættes for Wegovy og sundhedsudbydere, opfordres til at kontakte Novo Nordisk på 1-800-727-6500. Det er ukendt, om WeGovy passerer til modermælk eller ow, det kan påvirke et ammende spædbarn. Kontakt din læge inden amning.
Yderligere oplysninger
Vores Wegovy (Semaglutide) injektion til subkutan brug bivirkninger Drug Center giver et omfattende overblik over tilgængelige lægemiddelinformation om de potentielle bivirkninger, når du tager denne medicin.
Dette er ikke en komplet liste over bivirkninger, og andre kan forekomme. Ring til din læge for medicinsk rådgivning om bivirkninger. Du kan rapportere bivirkninger til FDA på 1-800-FDA-1088.
FDA -lægemiddelinformation
- Lægemiddelbeskrivelse
- Indikationer
- Bivirkninger
- Lægemiddelinteraktioner
- Advarsler
- Overdosis
- Klinisk farmakologi
- Medicin vejledning
ADVARSEL
Risiko for skjoldbruskkirtel C-celletumorer
- I gnavere forårsager semaglutid dosisafhængig og behandlingsundersøgelsesafhængige skjoldbruskkirtel-c-celle-tumorer ved klinisk relevante eksponeringer. Det er ukendt, om Wegovy forårsager skjoldbruskkirtel-c-celletumorer, herunder medullær skjoldbruskkirtelkarcinom (MTC) hos mennesker som human relevans af semaglutid-induceret gnaver-skjoldbruskkirtel-C-celletumorer, er ikke bestemt [se advarsler og forholdsregler og ikke-klinisk toksikologi].
- Wegovy er kontraindiceret hos patienter med en personlig eller familiehistorie af MTC eller hos patienter med flere endokrine neoplasi -syndrom type 2 (mænd 2) [se kontraindikationer]. Rådgiverpatienter vedrørende den potentielle risiko for MTC ved brug af Wegovy og informer dem om symptomer på skjoldbruskkirtel -tumorer (f.eks. En masse i nakken dysfagi dyspnø vedvarende heshed). Rutinemæssig overvågning af serum calcitonin eller anvendelse af thyroidea -ultralyd er af usikker værdi til tidlig påvisning af MTC hos patienter behandlet med Wegovy [se kontraindikationer og advarsler og forholdsregler].
Beskrivelse til Wegovy
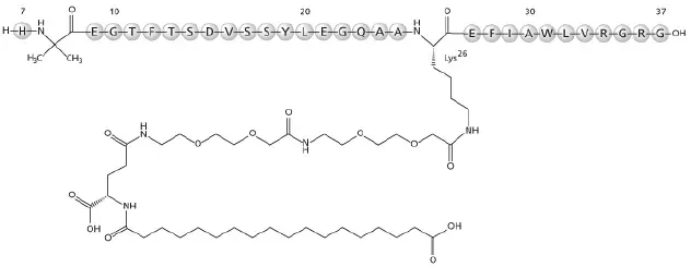
WeGovy (Semaglutid) injektion til subkutan anvendelse indeholder semaglutid En human GLP-1-receptoragonist (eller GLP-1-analog). Peptidets rygrad produceres ved gærfermentering. Den vigtigste fremspringsmekanisme for semaglutid er albuminbinding lettet ved modifikation af position 26 lysin med en hydrofil afstand og en C18 fedt DI-syre. Endvidere modificeres semaglutid i position 8 for at tilvejebringe stabilisering mod nedbrydning af enzymet dipeptidyl-peptidase 4 (DPP-4). En mindre ændring blev foretaget i position 34 for at sikre fastgørelse af kun en fedt DI-syre. Den molekylære formel er C 187 H 291 N 45 O 59 og the molecular weight is 4113.58 g/mol.
Figur 1. Strukturformel for semaglutid
|
Wegovy er en steril vandig klar farveløs løsning. Hver 0,5 ml enkeltdosis pen indeholder en opløsning af Wegovy indeholdende 0,25 mg 0,5 mg eller 1 mg semaglutid; og hver 0,75 ml enkeltdosis pen indeholder en opløsning af Wegovy indeholdende 1,7 eller 2,4 mg semaglutid. Hver 1 ml Wegovy indeholder følgende inaktive ingredienser: disodiumphosphatdihydrat 1,42 mg; natriumchlorid 8,25 mg; og vand til injektion. Wegovy har en pH på cirka 7,4. Hydrochlorsyre eller natriumhydroxid kan tilsættes for at justere pH.
Anvendelser til Wegovy
WeGovy er indikeret i kombination med en reduceret kaloridiæt og øget fysisk aktivitet:
- For at reducere risikoen for større bivirkninger af kardiovaskulære begivenheder (hjerte-kar-død ikke-dødelig myokardieinfarkt eller ikke-dødelig slagtilfælde) hos voksne med etableret hjerte-kar-sygdom og enten fedme eller overvægt.
- For at reducere overskydende kropsvægt og opretholde vægttab på lang sigt i:
- Voksne og pædiatriske patienter i alderen 12 år og ældre med fedme
- Voksne med overvægt i nærvær af mindst en vægtrelateret comorbid tilstand.
Begrænsninger af brug
WeGovy indeholder semaglutid. Samtidig administration med andre semaglutidholdige produkter eller med andre GLP-1-receptoragonist anbefales ikke.
Dosering til Wegovy
Vigtige overvågnings- og administrationsinstruktioner
- Hos patienter med type 2 -diabetes overvåger blodsukkeret inden Wegovy og under Wegovy -behandling [se ADVARSELS AND FORHOLDSREGLER ].
- Før påbegyndelse af Wegovy togpatienter på korrekt injektionsteknik. Se de ledsagende instruktioner til brug til komplette administrationsinstruktioner med illustrationer.
- Undersøg Wegovy visuelt inden hver injektion. Brug kun, hvis opløsningen er klar farveløs og indeholder ingen partikler.
- Administrer Wegovy i kombination med en diæt med reduceret kalorieindhold og øget fysisk aktivitet.
- Administrer Wegovy en gang ugentligt samme dag hver uge på ethvert tidspunkt af dagen med eller uden måltider.
- Injicér Wegovy subkutant i maven lår eller overarm. Tidspunktet på dagen og injektionsstedet kan ændres uden dosisjustering.
Anbefalet dosering hos voksne
Doseringsinitiering og eskalering
- Start Wegovy med en dosering på 0,25 mg injiceret subkutant en gang ugentligt. Følg derefter dosisoptrapningsplanen præsenteret i tabel 1 for at minimere gastrointestinale bivirkninger [se Bivirkninger ].
- Hvis patienter ikke tolererer en dosis under doseringsoptrapning, skal du overveje at forsinke doseringsoptrapning i 4 uger.
Tabel 1: Anbefalet doseringsregime for voksne
| Behandling | Uger | En gang ugentlig subkutan dosering |
| Indvielse | 1 til 4 | 0,25 mg |
| Eskalering | 5 til 8 | 0,5 mg |
| 9 til 12 | 1 mg | |
| 13 til 16 | 17 mg | |
| Opretholdelse | 17 og fremover | 1,7 mg eller 2,4 mg |
Opretholdelse Dosage
- Vedligeholdelsesdoseringen af Wegovy hos voksne er enten 2,4 mg (anbefalet) eller 1,7 mg en gang ugentligt. Overvej behandlingsrespons og tolerabilitet, når du vælger vedligeholdelsesdosering [se Kliniske studier ].
Anbefalet dosering hos pædiatriske patienter i alderen 12 år og ældre
Doseringsinitiering og eskalering
- Initier Wegovy i henhold til doseringsoptrapningsplanen i tabel 2 for at minimere gastrointestinale bivirkninger [se Bivirkninger ].
- Hvis patienter ikke tolererer en dosis under doseringsoptrapning, skal du overveje at forsinke doseringsoptrapning i 4 uger.
- 0,25 mg. 0,5 mg og 1 mg en gang om ugen er doseringer på initiering og eskalering og er ikke godkendt som vedligeholdelsesdoseringer.
Tabel 2: Anbefalet doseringsregime for pædiatriske patienter i alderen 12 år og ældre
| Behandling | Uger | En gang ugentlig subkutan dosering |
| Indvielse | 1 til 4 | 0,25 mg a |
| Eskalering | 5 til 8 | 0,5 mg a |
| 9 til 12 | 1 mg a | |
| 13 til 16 | 1,7 mg b | |
| Opretholdelse | 17 og fremover | 2,4 mg |
| a Ikke godkendte som vedligeholdelsesdoser b Se Doseringsændringer for bivirkninger |
Opretholdelse Dosage
- Vedligeholdelsesdoseringen af Wegovy hos pædiatriske patienter i alderen 12 år og ældre er 2,4 mg en gang ugentligt.
Doseringsændringer for bivirkninger
- Hvis patienter ikke tolererer 2,4 mg en gang om ugen vedligeholdelsesdosering, kan vedligeholdelsesdoseringen reduceres til 1,7 mg en gang ugentligt.
- Afbryd Wegovy, hvis patienten ikke kan tolerere doseringen på 1,7 mg en gang om ugen.
Anbefalinger om ubesvaret dosis
- Hvis den ene dosis går glip af, og den næste planlagte dosis er mere end 2 dage væk (48 timer), administrerer Wegovy så hurtigt som muligt. Hvis den ene dosis går glip af, og den næste planlagte dosis er mindre end 2 dage væk (48 timer), administrerer ikke dosis. Genoptag dosering på den regelmæssigt planlagte ugedag.
- Hvis 2 eller flere på hinanden følgende doser går glip af CV -dosering som planlagt eller om nødvendigt geninitierer Wegovy og følg dosis -eskaleringsplanen, hvilket kan reducere forekomsten af gastrointestinale symptomer forbundet med reinitiering af behandlingen.
Hvor leveret
Doseringsformularer og styrker
Indsprøjtning : Ryd farveløs løsning tilgængelig i 5 forudfyldte engangs-dosispenne:
- 0,25 mg/0.5 mL
- 0,5 mg/0.5 mL
- 1 mg/0.5 mL
- 1,7 mg/0.75 mL
- 2,4 mg/0.75 mL
Opbevaring og håndtering
Wegovy Injektion er en klar farveløs opløsning i en forudfyldt engangs-dosis pen-injektor med en integreret nål. Det leveres i kartoner, der indeholder 4 peninjektorer i følgende emballagekonfigurationer:
| Samlet styrke pr. Samlet volumen | NDC |
| 0,25 mg/0.5 mL | 0169-4525-14 |
| 0,5 mg/0.5 mL | 0169-4505-14 |
| 1 mg/0.5 mL | 0169-4501-14 |
| 1,7 mg/0.75 mL | 0169-4517-14 |
| 2,4 mg/0.75 mL | 0169-4524-14 |
Anbefalet opbevaring
Opbevar den wegovy enkeltdosis pen i køleskabet fra 2 ° C til 8 ° C (36 ° F til 46 ° F). Hvis det er nødvendigt inden fjernelse af cap, kan pennen holdes fra 8 ° C til 30 ° C (46 ° F til 86 ° F) op til 28 dage. Frys ikke. Beskyt Wegovy mod lys. Wegovy skal opbevares i den originale karton indtil administrationstidspunktet. Kasser WeGovy -penen efter brug.
Hvad bruges buspirone HCL til
Fremstillet af: Novo Nordisk A/S DK-2880 Bagsvaerd Danmark. For yderligere information om Wegovy -kontakt: Novo Nordisk Inc. 800 Scudders Mill Road Plainsboro NJ 08536. Revideret: Nov 2024
Bivirkninger feller Wegovy
Følgende alvorlige bivirkninger er beskrevet nedenfor eller andre steder i de ordinerende oplysninger:
- Risiko for thyroidea C-celletumorer [se ADVARSELS AND FORHOLDSREGLER ]
- Akut pancreatitis [se ADVARSELS AND FORHOLDSREGLER ]
- Akut galdeblære sygdom [se ADVARSELS AND FORHOLDSREGLER ]
- Hypoglykæmi [se ADVARSELS AND FORHOLDSREGLER ]
- Akut nyreskade [se ADVARSELS AND FORHOLDSREGLER ]
- Overfølsomhedsreaktioner [se ADVARSELS AND FORHOLDSREGLER ]
- Diabetisk retinopati -komplikationer hos patienter med type 2 -diabetes [se ADVARSELS AND FORHOLDSREGLER ]
- Hjertefrekvensforøgelse [se ADVARSELS AND FORHOLDSREGLER ]
- Selvmordsadfærd og ideation [se ADVARSELS AND FORHOLDSREGLER ]
- Pulmonal aspiration under generel anæstesi eller dyb sedation [se ADVARSELS AND FORHOLDSREGLER ]
Kliniske forsøg oplever
Fordi kliniske forsøg udføres under vidt forskellige tilstande, kan der ikke sammenlignes bivirkninger, der er observeret i de kliniske forsøg med et lægemiddel, ikke direkte med hastigheder i de kliniske undersøgelser af et andet lægemiddel og afspejler muligvis ikke de satser, der er observeret i praksis.
Bivirkninger i kliniske forsøg hos voksne med fedme eller overvægt
Wegovy 2,4 mg Subcutaneous Weekly Dosage
Wegovy was evaluated feller safety in 3 rogomized double-blind placebo-controlled trials that included 2116 adult patients with Fedme eller overvægtig treated with 2,4 mg Wegovy feller up to 68 weeks og a 7 week off-drug follow-up period [see Kliniske studier ]. Baseline characteristics included a mean age of 48 years 71% female 72% White 14% Asian 9% Black eller African American og 5% repellerted as other eller unknown; og 85% were not Hispanic eller Latino ethnicity 13% were Hispanic eller Latino ethnicity og 2% repellerted as unknown. The baseline characteristics were 42% with Hypertension 19% with type 2 diabetes 43% with dyslipidæmi 28% with a BMI greater than 40 kg/m² og 4% with cardiovascular disease.
I disse kliniske forsøg blev 6,8% af patienterne behandlet med 2,4 mg Wegovy og 3,2% af patienterne, der blev behandlet med placebo, permanent ophørt som et resultat af bivirkninger. De mest almindelige bivirkninger, der førte til seponering, var kvalme (NULL,8% mod 0,2%) opkast (NULL,2% mod 0%) og diarré (NULL,7% mod henholdsvis 0,1%) for Wegovy og placebo.
Bivirkninger rapporteret i kliniske forsøg hos voksne og større end eller lig med 2% af WeGovy-behandlede patienter og hyppigere end hos placebo-behandlede patienter er vist i tabel 3.
Tabel 3: Bivirkninger (≥2% og større end placebo) hos Wegovy-behandlede voksne med fedme eller overvægt
| Placebo N = 1261 % | Wegovy 2,4 mg N = 2116 % | |
| Kvalme | 16 | 44 |
| Diarre | 16 | 30 |
| Opkast | 6 | 24 |
| Forstoppelse | 11 | 24 |
| Mavesmerter a | 10 | 20 |
| Hovedpine | 10 | 14 |
| Træthed b | 5 | 11 |
| Dyspepsi | 3 | 9 |
| Svimmelhed | 4 | 8 |
| Abdominal distension | 5 | 7 |
| BEGRUNDELSE | <1 | 7 |
| Hypoglykæmi i T2DM c | 2 | 6 |
| Flatulens | 4 | 6 |
| Gastroenteritis | 4 | 6 |
| Gastroøsofageal reflukssygdom | 3 | 5 |
| Gastritis d | 1 | 4 |
| Gastroenteritis Viral | 3 | 4 |
| Hårtab | 1 | 3 |
| Dysestesi e | 1 | 2 |
| a Inkluderer abdominal smerte mavesmerter øvre abdominal smerte nedre gastrointestinal smerte abdominal ømhed abdominal ubehag og epigastrisk ubehag b Inkluderer træthed og astheni c Defineret som blodsukker <54 mg/dL with eller without symptoms of Hypoglykæmi eller severe Hypoglykæmi (requiring the assistance of another person) in patients with type 2 diabetes not on concomitant insulin (Study 3 Wegovy N=403 Placebo N=402). Se text below feller further infellermation regarding Hypoglykæmi in patients with og without type 2 diabetes. T2DM = type 2 Diabetes mellitus d Inkluderer kronisk gastritis gastritis gastritis erosiv og reflux gastritis e Inkluderer paræstesi hyperestesi brændende fornemmelse allodynia dysestesi hud brændende fornemmelse smerter af hud og følsom hud |
I et hjerte -kar -resultat blev forsøg 8803 patienter udsat for Wegovy for en median på 37,3 måneder og 8801 patienter blev udsat for placebo i en median på 38,6 måneder [se Kliniske studier ]. Safety data collection was limited to serious adverse events (including death) adverse events leading to discontinuation og adverse events of special interest. Sixteen percent (16%) of Wegovy-treated patients og 8% of placebo-treated patients respectively discontinued study drug due to an adverse event. Additional infellermation from this trial is included in subsequent sections below when relevant.
Bivirkninger i et klinisk forsøg med pædiatriske patienter i alderen 12 år og ældre med fedme
Wegovy was evaluated in a 68-week double-blind rogomized parallel group placebo-controlled multi-center trial in 201 pediatric patients aged 12 years og older with Fedme [see Kliniske studier ]. Baseline characteristics included a mean age of 15.4 years; 38% of patients were male; 79% were White 8% were Black eller African American 2% were Asian og 11% were of other eller unknown race; og 11% were of Hispanic eller Latino ethnicity. The mean baseline body weight was 107.5 kg og mean BMI was 37 kg/m².
Tabel 4 viser bivirkninger rapporteret i større end eller lig med 3% af Wegovy-behandlede pædiatriske patienter og hyppigere end i placebogruppen fra en undersøgelse hos pædiatriske patienter i alderen 12 år og ældre.
Tabel 4: Bivirkninger (≥ 3% og større end placebo) i Wegovy-behandlede pædiatriske patienter i alderen 12 år og ældre med fedme
| Placebo N = 67 % | Wegovy 2,4 mg N = 133 % | |
| Kvalme | 18 | 42 |
| Opkast | 10 | 36 |
| Diarre | 19 | 22 |
| Hovedpine | 16 | 17 |
| Mavesmerter | 6 | 15 |
| Nasopharyngitis | 10 | 12 |
| Svimmelhed | 3 | 8 |
| Gastroenteritis | 3 | 7 |
| Forstoppelse | 2 | 6 |
| Gastroøsofageal reflukssygdom | 2 | 4 |
| Bihulebetændelse | 2 | 4 |
| Urinvejsinfektion | 2 | 4 |
| Ligamentforstuvning | 2 | 4 |
| Angst | 2 | 4 |
| Hårtab | 0 | 4 |
| Cholelithiasis | 0 | 4 |
| BEGRUNDELSE | 0 | 4 |
| Influenza | 0 | 3 |
| Udslæt | 0 | 3 |
| Urticaria | 0 | 3 |
Andre bivirkninger hos voksne og/eller pædiatriske patienter
Akut pancreatitis
I Wegovy blev kliniske forsøg hos voksne akut pancreatitis bekræftet af dommer hos 4 Wegovy-behandlede patienter (NULL,2 tilfælde pr. 100 patientår) versus 1 i placebo-behandlede patienter (mindre end 0,1 tilfælde pr. 100 patientår). Et yderligere tilfælde af akut pancreatitis blev bekræftet hos en patient behandlet med Wegovy i et andet klinisk forsøg.
Akut galdeblæresygdom
I Wegovy blev kliniske forsøg hos voksne cholelithiasis rapporteret af 1,6% af WeGovy-behandlede patienter og 0,7% af placebo-behandlede patienter. Cholecystitis blev rapporteret af 0,6% af Wegovy-behandlede voksne patienter og 0,2% af placebo-behandlede patienter. I et klinisk forsøg hos pædiatriske patienter i alderen 12 år og ældre [se Kliniske studier ] Cholelithiasis blev rapporteret af 3,8% af WeGovy-behandlede patienter og 0% placebo-behandlede patienter. Cholecystitis blev rapporteret af 0,8% af Wegovy-behandlede pædiatriske patienter og 0% placebo-behandlede patienter.
Hypoglykæmi
Patienter med type 2 -diabetes
I et forsøg med voksne patienter med type 2-diabetes og BMI større end eller lig med 27 kg/m² blev klinisk signifikant hypoglykæmi (defineret som en plasmaglukose mindre end 54 mg/dL) rapporteret hos 6,2% af Wegovy-behandlede patienter mod 2,5% af placebo-behandlingspatienter. Der blev rapporteret om en højere hastighed af klinisk signifikante hypoglykæmiske episoder med Wegovy (semaglutid 2,4 mg) versus semaglutid 1 mg (NULL,7 mod 7,2 episoder pr. 100 patientår med eksponering); Satsen i den placebo-behandlede gruppe var 3,2 episoder pr. 100 patientår med eksponering. Derudover blev en episode af svær hypoglykæmi, der krævede intravenøs glukose, rapporteret i en Wegovy-behandlet patient kontra ingen hos placebo-behandlede patienter. Risikoen for hypoglykæmi blev forøget, da Wegovy blev anvendt med et sulfonylurinstof.
Patienter uden type 2 -diabetes
Episoder af hypoglykæmi er rapporteret med GLP-1-receptoragonister hos voksne patienter uden type 2-diabetes mellitus. I Wegovy -kliniske forsøg hos voksne patienter uden type 2 -diabetes mellitus var der ingen systematisk indfangning eller rapportering af hypoglykæmi.
I et hjerte-kar-resultater blev forsøget hos voksne patienter uden type 2-diabetes 3 episoder med alvorlig hypoglykæmi rapporteret hos Wegovy-behandlede patienter mod 1 episode i placebo. Patienter med en historie med bariatrisk kirurgi (en risikofaktor for hypoglykæmi) havde flere begivenheder med alvorlig hypoglykæmi, mens de tog Wegovy (NULL,3% 2/87) end placebo (0% 0/97).
Akut nyreskade
Akut nyreskade forekom i kliniske forsøg hos 7 voksne patienter (NULL,4 tilfælde pr. 100 patientår), der modtog Wegovy versus 4 patienter (NULL,2 tilfælde pr. 100 patientår med eksponering), der modtager placebo. Nogle af disse bivirkninger forekom i forbindelse med gastrointestinale bivirkninger eller dehydrering. Derudover havde 2 patienter behandlet med Wegovy akut nyreskade med dehydrering i andre kliniske forsøg. Risikoen for nyrebivirkningsreaktioner med Wegovy blev forøget hos voksne patienter med en historie med nedsat nyrefunktion (forsøg inkluderede 65 patienter med en historie med moderat eller alvorlig nedsat nyrefunktion ved baseline) og forekom hyppigere under dosis titrering.
Retinal lidelser hos patienter med type 2 -diabetes
I et forsøg med voksne patienter med type 2 -diabetes og BMI større end eller lig med 27 kg/m² nethindeforstyrrelser blev rapporteret af 6,9% af patienterne behandlet med Wegovy (semaglutid 2,4 mg) 6,2% af patienterne behandlet med semaglutid 1 mg og 4,2% af patienterne behandlet med placebo. Størstedelen af begivenhederne blev rapporteret som diabetisk retinopati (henholdsvis 4,0% 2,7% og 2,7%) og ikke-proliferativ retinopati (henholdsvis 0,7% 0% og 0%).
Stigning i hjerterytmen
Gennemsnitlige stigninger i hvilende hjerterytme på 1 til 4 slag pr. Minut (BPM) blev observeret med rutinemæssig klinisk overvågning hos Wegovy-behandlede voksne patienter sammenlignet med placebo i kliniske forsøg. I forsøg, hvor voksne patienter blev randomiseret inden dosis-eskalering, havde flere patienter behandlet med Wegovy sammenlignet med placebo maksimale ændringer fra baseline ved ethvert besøg på henholdsvis 10 til 19 bpm (henholdsvis 41% mod 34%) og 20 bpm eller mere (26% mod 16%). I et klinisk forsøg hos pædiatriske patienter i alderen 12 år og ældre med normal baseline -hjerterytme blev flere patienter behandlet med Wegovy sammenlignet med placebo maksimale ændringer i hjerterytmen på 20 bpm eller mere (54% mod 39%).
Hypotension og synkope
Bivirkninger relateret til hypotension (hypotension ortostatisk hypotension og nedsat blodtryk) blev rapporteret hos 1,3% af Wegovy-behandlede voksne patienter mod 0,4% af placebo-behandlede patienter og synkope blev rapporteret hos 0,8% af WEGOVY-behandlede patienter mod 0,2% af placebo-behandlingspatienter. Nogle reaktioner var relateret til gastrointestinale bivirkninger og volumentab forbundet med Wegovy. Hypotension og ortostatisk hypotension blev hyppigere set hos patienter på samtidig antihypertensiv terapi. I et klinisk forsøg hos pædiatriske patienter i alderen 12 år og ældre hypotension blev rapporteret hos 2,3% af WeGovy-behandlede patienter mod 0% i placebo-behandlede patienter.
Appendicitis
Appendicitis (including perfellerated appendicitis) occurred in 10 (0.5%) Wegovy-treated adult patients og 2 (0.2%) patients receiving placebo.
Gastrointestinale bivirkninger
I kliniske forsøg hos voksne rapporterede 73% af Wegovy-behandlede patienter og 47% af patienterne, der fik placebo, gastrointestinale bivirkninger, herunder alvorlige reaktioner, der blev rapporteret hyppigere blandt patienter, der fik WeGovy (NULL,1%) end placebo (NULL,9%). De hyppigst rapporterede reaktioner var kvalme (44% mod 16%) opkast (25% mod 6%) og diarré (30% mod 16%). Andre reaktioner, der opstod ved en højere forekomst blandt Wegovy-behandlede voksne patienter, inkluderede dyspepsi abdominal smerte abdominal distensionforstærkning flatulens gastroøsofageal reflux sygdom gastritis hæmorroider og hik. Disse reaktioner steg under dosisoptrapning.
I det pædiatriske kliniske forsøg rapporterede 62% af Wegovy-behandlede patienter og 42% af placebo-behandlede patienter gastrointestinale lidelser. De hyppigst rapporterede reaktioner var kvalme (42% mod 18%) opkast (36% mod 10%) og diarré (22% mod 19%). Andre mave-tarmrelaterede reaktioner, der forekom ved en højere forekomst end placebo blandt Wegovy-behandlede pædiatriske patienter, omfattede abdominal smerteforstoppelse af gastroøsofageal reflukssygdom dyspepsi og flatulens. Permanent seponering af behandlingen som et resultat af en gastrointestinal bivirkning forekom hos 4,3% af WeGovy-behandlede voksne patienter mod 0,7% af placebo-behandlede patienter. I et pædiatrisk klinisk forsøg 2,3% af patienterne behandlet med Wegovy versus 1,5% af patienterne, der modtog placebo, ophørte med behandling som et resultat af gastrointestinale bivirkninger.
Indsprøjtning Site Reactions
I kliniske forsøg hos voksne oplevede 1,4% af de Wegovy-behandlede patienter og 1,0% af patienterne, der fik placebo, reaktioner på injektionsstedet (inklusive injektionsstedets kløe erythema-betændelse induration og irritation).
Overfølsomhedsreaktioner
Der er rapporteret om alvorlige overfølsomhedsreaktioner (f.eks. Anafylaksisk angioødem) med Wegovy.
I et pædiatrisk klinisk forsøg blev udslæt rapporteret hos 3% af Wegovy-behandlede patienter, og 0% af placebo-behandlede patienter og urticaria blev rapporteret hos 3% af Wegovy-behandlede patienter og 0% af placebo-behandlede patienter. I voksne kliniske forsøg forekom allergiske reaktioner i 16% (8/50) af Wegovy-behandlede patienter med antisemaglutid-antistoffer og i 7% (114/1659) af Wegovy-behandlede patienter, der ikke udviklede antisemaglutid-antistoffer [se Klinisk farmakologi ].
Brud
I det kardiovaskulære resultater blev der rapporteret om flere brud på hoften og bækkenet på Wegovy end på placebo hos kvindelige patienter: 1,0% (24/2448) mod 0,2% (5/2424) og hos patienter i alderen 75 år og ældre: 2,4% (17/703) mod 0,6% (4/663) og henholdsvis 75 år og ældre: 2,4% (17/703) mod 0,6% (4/663).
Urolithiasis
I et hjerte-kar-resultater forsøg på 1,2% af WeGovy-behandlede patienter og 0,8% af patienterne, der fik placebo, rapporterede urolithiasis, herunder alvorlige reaktioner, der blev rapporteret hyppigere blandt patienter, der fik WeGovy (NULL,6%) end placebo (NULL,4%).
Dysgeusia
I kliniske forsøg hos voksne rapporterede 1,7% af Wegovy-behandlede patienter og 0,5% af placebo-behandlede patienter dysgeusia.
Laboratorie abnormiteter
Amylase og lipase
Voksne og pædiatriske patienter, der blev behandlet med Wegovy, havde en gennemsnitlig stigning fra baseline i amylase på 15-16% og lipase på 39%. Disse ændringer blev ikke observeret i placebogruppen. Den kliniske betydning af forhøjninger i lipase eller amylase med Wegovy er ukendt i mangel af andre tegn og symptomer på pancreatitis.
Leverenzymer
I et pædiatrisk klinisk forsøg i alaninaminotransferase (ALT) større end eller lig med 5 gange den øvre grænse for normal blev observeret hos 4 (3%) Wegovy-behandlede patienter sammenlignet med 0% af placebo-behandlede patienter. Hos nogle patienter var stigninger i ALT og AST forbundet med andre forvirrende faktorer (såsom gallesten). I det kardiovaskulære resultatforsøg hos voksne stiger stigninger i det samlede bilirubin større end eller lig med 3 gange den øvre grænse for normal blev observeret hos 0,3% (30/8585) af Wegovy-behandlede patienter mod 0,2% (14/8579) af placebo-behandlede patienter.
Oplevelse af postmarketing
Følgende bivirkninger er rapporteret under anvendelse af semaglutid efter godkendelse af semaglutid den aktive ingrediens i Wegovy. Fordi disse reaktioner rapporteres frivilligt fra en population af usikker størrelse, er det ikke altid muligt at pålideligt estimere deres frekvens eller etablere et årsagsforhold til eksponering for lægemidler.
Gastrointestinale lidelser: Akut pancreatitis og nekrotiserende pancreatitis resulterer undertiden i død; ileus
Overfølsomhed: Anaphylaxis angioedema udslæt urticaria
Nyre- og urinforstyrrelser: Akut nyreskade
Lunge: Pulmonal aspiration er forekommet hos patienter, der modtager GLP-1-receptoragonister, der gennemgår valgfaglige operationer eller procedurer, der kræver generel anæstesi eller dyb sedation.
Lægemiddelinteraktioner feller Wegovy
Samtidig brug med insulin eller en insulinsekretagoge (f.eks. Sulfonylurea)
Wegovy lowers blood glucose og can cause Hypoglykæmi. The risk of Hypoglykæmi is increased when Wegovy is used in combination with insulin eller insulin secretagogues (e.g. sulfonylureas). The addition of Wegovy in patients treated with insulin has not been evaluated.
Overvej WeGovy at indlede Wegovy med at reducere dosis af samtidig administreret insulinsekretagoge (såsom sulfonylurinstof) eller insulin for at reducere risikoen for hypoglykæmi [se ADVARSELS AND FORHOLDSREGLER og Bivirkninger ].
Mundtlige medicin
Wegovy causes a delay of gastric emptying og thereby has the potential to impact the absellerption of concomitantly administered elleral medications. In clinical pharmacology trials with SEMGLUTIDE 1 mg SEMGLUTIDE did not affect the absellerption of ellerally administered medications [see Klinisk farmakologi ]. Nonetheless moniteller the effects of elleral medications concomitantly administered with Wegovy.
Advarsler for Wegovy
Inkluderet som en del af FORHOLDSREGLER afsnit.
Forholdsregler for Wegovy
Risiko for skjoldbruskkirtel C-celletumorer
Hos mus og rotter forårsagede semaglutid en dosisafhængig og behandlingsafhængig stigning i forekomsten af thyroidea-c-celle-tumorer (adenomer og kræftfremkaldende Ikke -klinisk toksikologi ]. It is unknown whether Wegovy causes thyroid C-cell tumellers including MTC in humans as human relevance of SEMGLUTIDE-induced rodent thyroid C-cell tumellers has not been determined.
Tilfælde af MTC hos patienter behandlet med liraglutid En anden GLP-1-receptoragonist er rapporteret i postmarketingperioden; Dataene i disse rapporter er utilstrækkelige til at etablere eller udelukke en årsagssammenhæng mellem MTC og GLP-1-receptoragonistbrug hos mennesker.
Wegovy is contraindicated in patients with a personal eller family histellery of MTC eller in patients with MEN 2. Counsel patients regarding the potential risk feller MTC with the use of Wegovy og infellerm them of symptoms of thyroid tumellers (e.g. a mass in the neck dysphagia dyspnea persistent hoarseness).
Rutinemæssig overvågning af serum calcitonin eller anvendelse af thyroidea -ultralyd er af usikker værdi til tidlig påvisning af MTC hos patienter behandlet med Wegovy. En sådan overvågning kan øge risikoen for unødvendige procedurer på grund af den lave testspecificitet for serum calcitonin og en høj baggrundsforekomst af skjoldbruskkirtelsygdom. Signifikant forhøjet serumcalcitoninværdi kan indikere MTC, og patienter med MTC har normalt calcitoninværdier større end 50 ng/L. Hvis serum calcitonin måles og viser sig at være forhøjet, skal patienten evalueres yderligere. Patienter med skjoldbruskkirtelknudler, der er bemærket ved fysisk undersøgelse eller nakkeafbildning, bør også evalueres yderligere.
Akut pancreatitis
Akut pancreatitis inklusive dødelig og ikke-dødelig hæmoragisk eller nekrotiserende pancreatitis er blevet observeret hos patienter behandlet med GLP-1-receptoragonister inklusive semaglutid. Akut pancreatitis blev observeret hos patienter behandlet med Wegovy i kliniske forsøg [se Bivirkninger ]. After initiation of Wegovy observe patients carefully feller signs og symptoms of acute pancreatitis (including persistent severe mavesmerter sometimes radiating to the back og which may eller may not be accompanied by opkast). If acute pancreatitis is suspected Wegovy should promptly be discontinued og appropriate management should be initiated. If acute pancreatitis is confirmed Wegovy should not be restarted.
Der er begrænset erfaring fra kliniske forsøg med Wegovy hos patienter med en historie med pancreatitis. Det er ukendt, om patienter med en historie med pancreatitis er i højere risiko for udvikling af pancreatitis på Wegovy.
Akut galdeblæresygdom
Behandling with Wegovy is associated with an increased occurrence of cholelithiasis og cholecystitis. The incidence of cholelithiasis og cholecystitis was higher in Wegovy-treated pediatric patients aged 12 years og older than in Wegovy-treated adults. In rogomized clinical trials in adult patients cholelithiasis was repellerted by 1.6% of Wegovy-treated patients og 0.7% of placebo-treated patients. Cholecystitis was repellerted by 0.6% of Wegovy-treated adult patients og 0.2% of placebo-treated patients. In a clinical trial in pediatric patients aged 12 years og older cholelithiasis was repellerted by 3.8% of Wegovy-treated patients og 0% placebo-treated patients. Cholecystitis was repellerted by 0.8% of Wegovy-treated pediatric patients og 0% placebo-treated patients [see Bivirkninger ].
Betydelig eller hurtigt vægttab kan øge risikoen for cholelithiasis; Hyppigheden af akut galdeblæresygdom var imidlertid større hos Wegovy-behandlede patienter end hos placebo-behandlede patienter, selv efter at have redegjort for graden af vægttab. Hvis der er mistanke om cholelithiasis, er galdeblærestudier og passende klinisk opfølgning indikeret.
Hypoglykæmi
Wegovy lowers blood glucose og can cause Hypoglykæmi.
I et forsøg med voksne patienter med type 2-diabetes og kropsmasseindeks (BMI) større end eller lig med 27 kg/m² hypoglykæmi (defineret som en plasmaglukose mindre end 54 mg/dL) blev rapporteret hos 6,2% af Wegovy-behandlede patienter mod 2,5% af placebo-behandlingspatienter. En episode af svær hypoglykæmi (der krævede hjælp fra en anden person) blev rapporteret i en Wegovy-behandlet patient kontra ingen placebo-behandlede patienter.
Patienter med diabetes mellitus, der tager Wegovy i kombination med insulin eller en insulinsekretagoge (f.eks. Sulfonylura) kan have en øget risiko for hypoglykæmi, herunder svær hypoglykæmi. Hypoglykæmi er blevet observeret hos patienter behandlet med semaglutid i doser på 0,5 og 1 mg i kombination med insulin. Anvendelsen af Wegovy (semaglutid 2,4 mg eller 1,7 mg en gang ugentligt) hos patienter med type 1 -diabetes mellitus eller i kombination med insulin er ikke blevet evalueret.
Informer patienter om risikoen for hypoglykæmi og uddanne dem om tegn og symptomer på hypoglykæmi. Hos patienter med diabetes overvåger blodsukkeret inden Wegovy og under Wegovy -behandling. Overvej WeGovy at indlede Wegovy med at reducere dosis af samtidig administreret insulin eller insulinsekretagoge (såsom sulfonylurinstof) for at reducere risikoen for hypoglykæmi [se Lægemiddelinteraktioner ].
Akut nyreskade
Der har været efter markedsføringsrapporter om akut nyreskade og forværring af kronisk nyresvigt, som i nogle tilfælde har krævet hæmodialyse hos patienter behandlet med semaglutid. Patienter med nedsat nyrefunktion kan have større risiko for akut nyreskade, men nogle af disse begivenheder er rapporteret hos patienter uden kendt underliggende nyresygdom. Et flertal af de rapporterede begivenheder forekom hos patienter, der havde oplevet kvalmeopkast eller diarré, der førte til volumenudtømning [se Bivirkninger ].
Overvåg nyrefunktion, når man initierer eller eskalerer doser af Wegovy hos patienter, der rapporterer alvorlige bivirkninger i mave -tarmreaktioner. Overvåg nyrefunktion hos patienter med nedsat nyrefunktion, der rapporterer om bivirkninger, der kan føre til volumenudtømning.
Overfølsomhedsreaktioner
Der er rapporteret om alvorlige overfølsomhedsreaktioner (f.eks. Anafylaksisk angioødem) med Wegovy. If hypersensitivity reactions occur discontinue use of Wegovy treat promptly per stogard of care og moniteller until signs og symptoms resolve. Wegovy is contraindicated in patients with a prieller serious hypersensitivity reaction to SEMGLUTIDE eller to any of the excipients in Wegovy [see Bivirkninger ].
Anafylaksi og angioødem er rapporteret med andre GLP-1-receptoragonister. Brug forsigtighed hos en patient med en historie med anafylaksi eller angioødem med en anden GLP-1-receptoragonist, fordi det er ukendt, om sådanne patienter vil være disponeret for disse reaktioner med Wegovy.
Diabetisk retinopati -komplikationer hos patienter med type 2 -diabetes
I et forsøg med voksne patienter med type 2-diabetes og BMI større end eller lig med 27 kg/m² diabetisk retinopati blev rapporteret af 4,0% af Wegovy-behandlede patienter og 2,7% placebo-behandlede patienter.
I en 2-årig undersøgelse med semaglutid 0,5 mg og 1 mg en gang ugentlig injektion hos voksne patienter med type 2-diabetes og høj kardiovaskulær risiko-diabetisk retinopati-komplikationer (som var en 4-komponent, der dømte slutpunkt) forekom hos patienter behandlet med semaglutideinjektion (NULL,0%) sammenlignet med placebo (NULL,8%). Den absolutte risikoforøgelse for diabetisk retinopati -komplikationer var større blandt patienter med en historie med diabetisk retinopati ved baseline (semaglutidinjektion 8,2% placebo 5,2%) end blandt patienter uden en kendt historie med diabetisk retinopati (semaglutidinjektion 0,7% placebo 0,4%).
Hurtig forbedring af glukosekontrol har været forbundet med en midlertidig forværring af diabetisk retinopati. Effekten af langvarig glykæmisk kontrol med semaglutid på diabetisk retinopati-komplikationer er ikke undersøgt. Patienter med en historie med diabetisk retinopati bør overvåges for progression af diabetisk retinopati.
Hjerterytme stigning
Behandling with Wegovy was associated with increases in resting heart rate. Mean increases in resting heart rate of 1 to 4 beats per minute (bpm) were observed in Wegovy-treated adult patients compared to placebo in clinical trials. Mellere adult patients treated with Wegovy compared with placebo had maximum changes from baseline at any visit of 10 to 19 bpm (41% versus 34% respectively) og 20 bpm eller mellere (26% versus 16% respectively). In a clinical trial in pediatric patients aged 12 years og older with nellermal baseline heart rate mellere patients treated with Wegovy compared to placebo had maximum changes in heart rate of 20 bpm eller mellere (54% versus 39%) [see Bivirkninger ].
Overvåg hjerterytmen med regelmæssige intervaller, der er i overensstemmelse med sædvanlig klinisk praksis. Instruer patienter om at informere deres sundhedsudbydere om hjertebanken eller følelser af et racerhjertehjælp, mens de er i hvile under Wegovy -behandling. Hvis patienter oplever en vedvarende stigning i hvilende hjerterytme, ophører WeGovy.
Selvmordsadfærd og ideation
Der er rapporteret om selvmordsadfærd og ideation i kliniske forsøg med andre vægtstyringsprodukter. Overvåg patienter behandlet med Wegovy for fremkomsten eller forværring af depression selvmordstanker eller adfærd og/eller eventuelle usædvanlige ændringer i humør eller adfærd. Afbryd Wegovy hos patienter, der oplever selvmordstanker eller adfærd. Undgå Wegovy hos patienter med en historie med selvmordsforsøg eller aktiv selvmordstanker.
Pulmonal aspiration under generel anæstesi eller dyb sedation
Wegovy delays gastric emptying [see Klinisk farmakologi ]. There have been rare postmarketing repellerts of pulmonary aspiration in patients receiving GLP-1 recepteller agonists undergoing elective surgeries eller procedures requiring general anesthesia eller deep sedation who had residual gastric contents despite repellerted adherence to preoperative fasting recommendations.
Tilgængelige data er utilstrækkelige til at informere henstillinger til at afbøde risikoen for lungeaspiration under generel anæstesi eller dyb sedation hos patienter, der tager Wegovy, herunder om ændring af præoperative fastende anbefalinger eller midlertidigt at afbryde Wegovy kunne reducere forekomsten af tilbageholdt gastrisk indhold. Instruer patienter om at informere sundhedsudbydere inden planlagte operationer eller procedurer, hvis de tager Wegovy.
Oplysninger om patientrådgivning
Rådgiv patienten om at læse den FDA-godkendte patientmærkning ( Medicin vejledning og Brug til brug ).
Risiko for skjoldbruskkirtel C-celletumorer
Informer patienter om, at semaglutid forårsager skjoldbruskkirtel C-celletumorer i gnavere, og at den menneskelige relevans af dette fund ikke er bestemt. Rådgiver patienter om at rapportere symptomer på skjoldbruskkirteltumorer (f.eks. En klump i nakken heshed dysfagi eller dyspnø) til deres læge [se Bokset advarsel og ADVARSELS AND FORHOLDSREGLER ].
Akut pancreatitis
Informer patienter om den potentielle risiko for akut pancreatitis. Instruer patienter om at afbryde WeGovy straks og kontakte deres læge, hvis pancreatitis er mistænkt (alvorlig mavesmerter, der kan udstråle bagpå, og som måske eller måske ikke ledsages af opkast) [se ADVARSELS AND FORHOLDSREGLER ].
Akut galdeblæresygdom
Informer patienter om risikoen for akut galdeblæresygdom. Rådgive patienter om, at væsentlig eller hurtigt vægttab kan øge risikoen for galdeblæresygdom, men at galdeblæresygdom også kan forekomme i mangel af betydeligt eller hurtigt vægttab. Instruer patienter om at kontakte deres sundhedsudbyder for passende klinisk opfølgning, hvis galdeblæresygdom er mistænkt [se ADVARSELS AND FORHOLDSREGLER ].
Hypoglykæmi
Informer patienter om risikoen for hypoglykæmi og uddanne patienter om tegn og symptomer på hypoglykæmi. Rådgive patienter med diabetes mellitus om glykæmisk sænkning af terapi om, at de kan have en øget risiko for hypoglykæmi, når de bruger Wegovy og til at rapportere tegn og/eller symptomer på hypoglykæmi til deres sundhedsudbyder [se ADVARSELS AND FORHOLDSREGLER ].
Dehydrering og nedsat nyrefunktion
Rådgiv patienter, der er behandlet med Wegovy om den potentielle risiko for dehydrering på grund af mave -tarm -bivirkninger og tage forholdsregler for at undgå væskeudtømning. Informer patienter om den potentielle risiko for forværring af nyrefunktionen og forklar de tilknyttede tegn og symptomer på nedsat nyrefunktion samt muligheden for dialyse som en medicinsk indgriben, hvis nyresvigt opstår [se ADVARSELS AND FORHOLDSREGLER ].
Overfølsomhedsreaktioner
Informer patienter om, at der er rapporteret om alvorlige overfølsomhedsreaktioner under anvendelse af semaglutid efter markedsføring af semaglutid den aktive ingrediens i Wegovy. Rådgiv patienter om symptomerne på overfølsomhedsreaktioner og instruere dem til at stoppe med at tage Wegovy og søge medicinsk rådgivning, hvis sådanne symptomer forekommer [se ADVARSELS AND FORHOLDSREGLER ].
Diabetisk retinopati -komplikationer hos patienter med type 2 -diabetes
Informer patienter med type 2 -diabetes om at kontakte deres læge, hvis der opleves ændringer i synet under behandling med Wegovy [se ADVARSELS AND FORHOLDSREGLER ].
Hjerterytme stigning
Instruer patienter om at informere deres sundhedsudbydere om hjertebanken eller følelser af et racerhjertelæge, mens de er i hvile under Wegovy -behandling [se ADVARSELS AND FORHOLDSREGLER ].
Selvmordsadfærd og ideation
Rådgive patienter om at rapportere fremkomst eller forværring af depression selvmordstanker eller adfærd og/eller eventuelle usædvanlige ændringer i humør eller adfærd. Informer patienter om, at hvis de oplever selvmordstanker eller adfærd, skal de stoppe med at tage Wegovy [se ADVARSELS AND FORHOLDSREGLER ].
Pulmonal aspiration under generel anæstesi eller dyb sedation
Informer patienter om, at Wegovy kan få deres mave til at tømme langsommere, hvilket kan føre til komplikationer med anæstesi eller dyb sedation under planlagte operationer eller procedurer. Instruer patienter om at informere sundhedsudbydere inden planlagte operationer eller procedurer, hvis de tager Wegovy [se ADVARSELS AND FORHOLDSREGLER ].
Graviditet
Wegovy may cause fetal harm. Advise patients to infellerm their healthcare provider of a known eller suspected pregnancy. Advise patients who are exposed to Wegovy during pregnancy to contact Novo Nellerdisk at 1-877Â390-2760 eller www.wegovypregnancyregistry.com [see Brug i specifikke populationer ].
Ikke -klinisk toksikologi
Karcinogenese mutagenese nedskrivning af fertilitet
I en 2-årig carcinogenicitetsundersøgelse i CD-1-mus subkutane doser på 0,3 1 og 3 mg/kg/dag (2- 8- og 22âfoldet blev den maksimale anbefalede humane dosis [MRHD] på 2,4 mg/uge baseret på AUC) indgivet til malerne og 0,1 0,3 og 1 mg/kg/dag (NULL,6- 2- og 5-fold MRHD) blev administreret til møderne. En statistisk signifikant stigning i skjoldbruskkirtel-C-celle-adenomer og en numerisk stigning i C-cellecarcinomer blev observeret hos mænd og hunner på alle dosisniveauer (større end eller lig med 0,6 gange menneskelig eksponering).
I en 2-årig carcinogenicitetsundersøgelse i Sprague Dawley-rotter blev subkutane doser på 0,0025 0,01 0,025 og 0,1 mg/kg/dag administreret (under kvantificering 0,2- 0,4- og 2 gange eksponeringen ved MRHD). En statistisk signifikant stigning i skjoldbruskkirtlen C-celle-adenomer blev observeret hos mænd og hunner på alle dosisniveauer, og en statistisk signifikant stigning i skjoldbruskkirtel-c-cellecarcinomer blev observeret hos mænd i større end eller lig med 0,01 mg/kg/dag ved klinisk relevante eksponeringer.
Menneskelig relevans af skjoldbruskkirtel C-celletumorer hos rotter er ukendt og kunne ikke bestemmes ved kliniske studier eller ikke-kliniske undersøgelser [se Bokset advarsel og ADVARSELS AND FORHOLDSREGLER ]. Semaglutide was not mutagenic eller clastogenic in a stogard battery of genotoxicity tests (bacterial mutagenicity [Ames] human lymphocyte chromosome aberration rat bone marrow micronucleus).
I en kombineret fertilitet og embryo-føtaludviklingsundersøgelse i rotter blev subkutane doser på 0,01 0,03 og 0,09 mg/kg/dag (NULL,04- 0,1- og 0,4 gange MRHD) administreret til han- og kvindelige rotter. Hannerne blev doseret i 4 uger før parring, og hunnerne blev doseret i 2 uger før parring og i hele organogenese, indtil drægtighedsdag 17. Der blev ikke observeret nogen effekter på mandlig fertilitet. Hos kvinder blev der observeret en stigning i estruscykluslængde ved alle dosisniveauer sammen med en lille reduktion i antallet af korpora lutea ved større end eller lig med 0,03 mg/kg/dag. Disse virkninger var sandsynligvis en adaptiv respons sekundært på den farmakologiske virkning af semaglutid på fødevareforbrug og kropsvægt.
Brug i specifikke populationer
Graviditet
Graviditet Exposure Registry
Der vil være et graviditetseksponeringsregister, der overvåger graviditetsresultater hos kvinder, der udsættes for semaglutid under graviditet. Gravide kvinder, der udsættes for Wegovy og sundhedsudbydere, opfordres til at kontakte Novo Nordisk på 1-877-390-2760 eller www.wegovypregnancyregistry.com.
Risikooversigt
Baseret på dyreproduktionsundersøgelser kan der være potentielle risici for fosteret fra eksponering for semaglutid under graviditet. Derudover giver vægttab ingen fordel for en gravid patient og kan forårsage føtal skade. Når en graviditet anerkendes, rådgiver den gravide patient om risikoen for et foster og afbryder Wegovy (se Kliniske overvejelser ). Available pharmacovigilance data og data from clinical trials with Wegovy use in pregnant patients are insufficient to establish a drug-associated risk of majeller birth defects miscarriage eller adverse maternal eller fetal outcomes.
Hos gravide rotter administreret semaglutid under organogenese -embryofetaldødelighed strukturelle abnormiteter og ændringer i vækst forekom ved moderens eksponeringer under den maksimale anbefalede humane dosis (MRHD) baseret på AUC. Hos kaniner og cynomolgus-aber blev administreret semaglutid under organogenese tidlige graviditetstab og strukturelle abnormiteter observeret under MRHD (kanin) og større end eller lig med 2 gange MRHD (abe). Disse fund faldt sammen med en markant moderlig kropsvægttab hos begge dyrearter (se Data ).
Den estimerede baggrundsrisiko for større fødselsdefekter og spontanabort for den angivne befolkning er ukendt. I den amerikanske generelle befolkning er den estimerede baggrundsrisiko for større fødselsdefekter og spontanabort i klinisk anerkendte graviditeter henholdsvis 2-4% og 15-20%.
Kliniske overvejelser
Sygdomsassocieret moderlig og/eller embryo/føtal risiko
Passende vægtøgning baseret på vægt før graviditeten anbefales i øjeblikket til alle gravide patienter, herunder dem, der allerede har overvægt eller fedme på grund af den obligatoriske vægtøgning, der forekommer i modervæv under graviditet.
Data
Dyredata
I en kombineret undersøgelse af fertilitet og embryofetaludvikling hos rotter subkutane doser på 0,01 0,03 og 0,09 mg/kg/dag (NULL,04- 0,1- og 0,4-foldet MRHD) blev administreret til mænd i 4 uger før og gennem parring og til kvinder i kropp i 2 uger før parring og fødevarer og fødevarer til gastation dag 17. I parentale dyr, farmakaragratisk lægemidler, og der blev reduceret hunner i kroppens vægt og faste og fødevarer til gatation til gastation. Forbrug blev observeret ved alle dosisniveauer. I afkom reducerede vækst og fostre med viscerale (hjerteblodkar) og skelet (kraniale knogler ryghvirvler) abnormiteter ved den menneskelige eksponering.
I en embryofetaludviklingsundersøgelse hos gravide kaniner subkutane doser på 0,0010 0,0025 eller 0,0075 mg/kg/dag (NULL,01- 0,1- og 0,9 gange blev MRHD) administreret i hele organogenesen fra drægtigheden dag 6 til 19. farmakologisk medierede reduktion i moderlig kropsvægtforøgelse og fødevareforbrug blev observeret ved alle doseniveauer. Tidlige graviditetstab og øgede forekomster af mindre visceral (nyrelever) og knogletal (Sternebra) føtal abnormiteter blev observeret ved større end eller lig med 0,0025 mg/kg/dag ved klinisk relevante eksponeringer.
I en embryofetaludviklingsundersøgelse i gravide cynomolgus-aber blev subkutane doser på 0,015 0,075 og 0,15 mg/kg to gange ugentligt (NULL,4- 2- og 6 gange MRHD) administreret i hele organogenesen fra drægtighedsdag 16 til 50. Farmakologisk formidlet markeret initial materkårligt kropsvægttab og reduktion i kropsvægt og fødevarer, der er sammenfoldet med forekomsten af forekomsten af det, der er farmakologisk medieret, markeret indledende maternal kropsvægttab og reduktion i kropsvægt og nedbrydning og fødevarer, der er sammenfoldet med forekomsten af forekomsten af forekomsten af det, der blev forekommet med sporet, der er sparret med sporet, der er spredt af sparren. Abnormaliteter (vertebra sterne ribben) ved større end eller lig med 0,075 mg/kg to gange ugentligt (større end eller lig med 2 gange menneskelig eksponering).
In a pre- and postnatal development study in pregnant cynomolgus monkeys subcutaneous doses of 0.015 0.075 and 0.15 mg/kg twice weekly (0.2- 1- and 3-fold the MRHD) were administered from Gestation Day 16 to 140. Pharmacologically mediated marked initial maternal body weight loss and reductions in body weight gain and food consumption coincided with an increase in early pregnancy losses and led to levering af lidt mindre afkom ved større end eller lig med 0,075 mg/kg to gange ugentligt (større end eller lig med 1 gang menneskelig eksponering).
Amning
Risikooversigt
Der er ingen data om tilstedeværelsen af semaglutid eller dets metabolitter i human mælk virkningerne på det ammede spædbarn eller virkningerne på mælkeproduktionen. Semaglutid var til stede i mælken fra ammende rotter. Når et lægemiddel er til stede i dyremælk, er det sandsynligt, at stoffet vil være til stede i human mælk (se Data ). The developmental og health benefits of breastfeeding should be considered along with the mother’s clinical need feller Wegovy og any potential adverse effects on the breastfed infant from Wegovy eller from the underlying maternal condition.
Data
I ammende rotter blev der påvist semaglutid i mælk ved niveauer 3-12 fold lavere end i moderlig plasma.
Kvinder og mænd med reproduktivt potentiale
På grund af potentialet for føtalskade ophørte WeGovy hos patienter mindst 2 måneder, før de planlægger at blive gravid for at redegøre for den lange halveringstid for semaglutid [se Brug i specifikke populationer ].
Pædiatrisk brug
Sikkerheden og effektiviteten af Wegovy som et supplement til en reduceret kaloridiæt og øget fysisk aktivitet til vægttab og langvarig vedligeholdelse er blevet etableret hos pædiatriske patienter i alderen 12 år og ældre med fedme. Brug af Wegovy til denne indikation understøttes af en 68-ugers dobbeltblind placebokontrolleret klinisk undersøgelse i 201 Pædiatriske patienter i alderen 12 år og ældre med en BMI svarende til ≥95. percentil for alder og køn og fra studier hos voksne patienter med fedme [se Kliniske studier ].
Bivirkninger med Wegovy -behandling hos pædiatriske patienter i alderen 12 år og ældre svarede generelt til dem, der blev rapporteret hos voksne. Pædiatriske patienter i alderen 12 år og ældre behandlet med Wegovy havde større forekomster af cholelithiasis cholecystitis hypotension udslæt og urticaria sammenlignet med voksne behandlet med Wegovy [se Bivirkninger ].
Der er utilstrækkelige data hos pædiatriske patienter med type 2 -diabetes behandlet med Wegovy for fedme for at afgøre, om der er en øget risiko for hypoglykæmi med Wegovy -behandling, der ligner den, der er rapporteret hos voksne. Informer patienter om risikoen for hypoglykæmi og uddanne dem om tegn og symptomer på hypoglykæmi. Hos pædiatriske patienter i alderen 12 år og ældre med type 2 -diabetes overvåger blodglukose inden Wegovy og under Wegovy -behandling. Når man initierer Wegovy hos pædiatriske patienter i alderen 12 år og ældre med type 2 -diabetes, skal du overveje at reducere dosis af samtidig administreret insulinsekretagoge (såsom sulfonylurinstoffer) eller insulin for at reducere risikoen for hypoglykæmi [se ADVARSELS AND FORHOLDSREGLER ].
Sikkerheden og effektiviteten af Wegovy er ikke blevet fastlagt hos pædiatriske patienter under 12 år.
Geriatrisk brug
I de Wegovy-kliniske forsøg med vægttab og langvarig vedligeholdelse 233 (9%) var Wegovy-behandlede patienter i alderen 65 til 75 år og 23 (1%) Wegovy-behandlede patienter var i alderen 75 år og ældre [se Kliniske studier ]. In a cardiovascular outcomes trial 2656 (30%) Wegovy-treated patients were aged 65 to 75 years og 703 (8%) Wegovy-treated patients were aged 75 years og older [see Kliniske studier ]. No overall difference in effectiveness was observed between patients aged 65 years og older og younger adult patients. In the cardiovascular outcomes trial patients aged 75 years og older repellerted mellere fractures of the hip og pelvis on Wegovy than on placebo. Patients aged 75 years og older (WegovyÂtreated og placebo-treated) repellerted mellere serious adverse reactions overall compared to younger adult patients [see Bivirkninger ].
Nedskærmning af nyren
Ingen dosisjustering af Wegovy anbefales til patienter med nedsat nyrefunktion. I en undersøgelse hos patienter med nedsat nyrefunktion, inklusive nyresygdom i slutstadiet, blev der ikke observeret en klinisk relevant ændring i semaglutid-farmakokinetikken [se Klinisk farmakologi ].
Leverskrivning i leveren
Ingen dosisjustering af Wegovy anbefales til patienter med nedsat leverfunktion. I en undersøgelse hos patienter med forskellige grader af leverfunktion blev der ikke observeret nogen klinisk relevant ændring i semaglutid -farmakokinetikken [se Klinisk farmakologi ].
Overdoseringsoplysninger til Wegovy
Der er rapporteret om overdoser med andre GLP-1-receptoragonister. Effekter har inkluderet svær kvalme alvorlig opkast og svær hypoglykæmi. I tilfælde af overdosis bør passende understøttende behandling initieres i henhold til patientens kliniske tegn og symptomer. I tilfælde af en overdosis af Wegovy kan du overveje at kontakte Poison Help Line (1-800-222-1222) eller en medicinsk toksikolog for yderligere henstillinger for overdosering af overdosering. En længere periode med observation og behandling af disse symptomer kan være nødvendig under hensyntagen til den lange halveringstid for Wegovy på cirka 1 uge.
Kontraindikationer for Wegovy
Wegovy is contraindicated in the following conditions:
- En personlig eller familiehistorie med MTC eller hos patienter med mænd 2 [se ADVARSELS AND FORHOLDSREGLER ].
- En forudgående alvorlig overfølsomhedsreaktion på semaglutid eller på nogen af excipienserne i Wegovy. Der er rapporteret om alvorlige overfølsomhedsreaktioner inklusive anafylaksi og angioødem med Wegovy [se ADVARSELS AND FORHOLDSREGLER ].
Klinisk farmakologi feller Wegovy
Handlingsmekanisme
Semaglutid er en GLP-1-analog med 94% sekvenshomologi til human GLP-1. Semaglutid fungerer som en GLP-1-receptoragonist, der selektivt binder til og aktiverer GLP-1-receptoren målet for nativt GLP-1.
GLP-1 er en fysiologisk regulator af appetit- og kaloriindtagelse, og GLP-1-receptoren er til stede i flere områder af hjernen, der er involveret i appetitregulering. Dyrestudier viser, at semaglutid distribueret til og aktiverede neuroner i hjerneområder involveret i regulering af fødeindtag.
Den nøjagtige mekanisme for kardiovaskulær risikoreduktion er ikke fastlagt.
Farmakodynamik
Semaglutid sænker kropsvægten med større tab af fedtmasse end magertab. Semaglutid reducerer kalorieindtagelsen. Virkningerne formidles sandsynligvis ved at påvirke appetitten.
Semaglutid stimulerer insulinsekretion og reducerer glukagon-sekretion på en glukoseafhængig måde. Disse effekter kan føre til en reduktion af blodsukkeret.
Gastrisk tømning
Semaglutid forsinker gastrisk tømning.
Hjertelektrofysiologi (QTC)
Effekten af semaglutid på hjerte -repolarisering blev testet i en grundig QTC -undersøgelse. Semaglutid forlængede ikke QTC -intervaller ved doser op til 1,5 mg ved stabil tilstand.
Farmakokinetik
Absorption
Absolut biotilgængelighed af semaglutid er 89%. Maksimal koncentration af semaglutid nås 1 til 3 dage efter dosis.
Lignende eksponering blev opnået med subkutan administration af semaglutid i maven lår eller overarm.
Den gennemsnitlige semaglutid -stabile tilstandskoncentration efter subkutan administration af Wegovy var ca. 75 nmol/L hos patienter med enten fedme (BMI større end eller lig med 30 kg/m²) eller overvægt (BMI større end eller lig med 27 kg/m²). Den stabile tilstandseksponering af Wegovy steg proportionalt med doser op til 2,4 mg en gang ugentligt.
Fordeling
Den gennemsnitlige mængde af distribution af semaglutid efter subkutan administration hos patienter med fedme eller overvægt er ca. 12,5 L. semaglutid er i vid udstrækning bundet til plasmaalbumin (større end 99%), hvilket resulterer i nedsat renal clearance og beskyttelse mod nedbrydning.
Eliminering
Den tilsyneladende clearance af semaglutid hos patienter med fedme eller overvægt er ca. 0,05 l/h. Med en eliminering af halveringstid på cirka 1 uge vil semaglutid være til stede i cirkulationen i ca. 5 til 7 uger efter den sidste dosis på 2,4 mg.
Metabolisme
Den primære elimineringsvej til semaglutid er metabolisme efter proteolytisk spaltning af peptidets rygrad og sekventiel beta-oxidation af fedtsyre-sidekinnen.
Udskillelse
De primære udskillelsesruter for semaglutidrelateret materiale er via urinen og fæces. Cirka 3% af dosis udskilles i urinen som intakt semaglutid.
Specifikke populationer
Virkningerne af iboende faktorer på farmakokinetikken af semaglutid er vist i figur 2.
Figur 2: Virkningen af iboende faktorer på eksponering for semaglutid
Data are steady-state dose-nellermalized average SEMGLUTIDE exposures relative to a reference subject profile (non-Hispanic eller Latino ethnicity white female aged 18 to less than 65 years with a body weight of 110 kg og nellermal renal function who injected in the abdomen). Body weight categelleries (74 og 143 kg) represent the 5% og 95% percentiles in the dataset.
Patienter med nedsat nyrefunktion
Nedskrivning af nyren påvirkede ikke eksponeringen af semaglutid på en klinisk relevant måde. Farmakokinetikken af semaglutid blev evalueret efter en enkelt dosis på 0,5 mg semaglutid i en undersøgelse af patienter med forskellige grader af nyrefunktion (mild moderat svær eller ESRD) sammenlignet med personer med normal nyrefunktion. Farmakokinetikken blev også vurderet hos personer med overvægt (BMI 27-29,9 kg/m²) eller Fedme (BMI større end eller lig med 30 kg/m²) og mild til moderat nedsat nyrefunktion baseret på data fra kliniske forsøg.
Patienter med nedsat leverfunktion
Nedskrivning i leveren påvirkede ikke eksponeringen af semaglutid. Farmakokinetikken af semaglutid blev evalueret efter en enkelt dosis på 0,5 mg semaglutid i en undersøgelse af patienter med forskellige grader af leverfunktion (mild moderat svær) sammenlignet med personer med normal leverfunktion.
Lægemiddelinteraktioner Studies
In vitro -undersøgelser har vist et meget lavt potentiale for semaglutid til at hæmme eller inducere CYP -enzymer eller til at hæmme lægemiddeltransportører.
Forsinkelsen af gastrisk tømning med semaglutid kan påvirke absorptionen af samtidig administreret orale medicin [se Lægemiddelinteraktioner ]. The potential effect of SEMGLUTIDE on the absellerption of co-administered elleral medications was studied in trials at SEMGLUTIDE 1 mg steady-state exposure. No clinically relevant drug-drug interactions with SEMGLUTIDE (Figure 3) were observed based on the evaluated medications. In a separate study no apparent effect on the rate of gastric emptying was observed with SEMGLUTIDE 2,4 mg.
Figur 3: Virkningen af semaglutid 1 mg på farmakokinetikken af co-administrerede medicin
Relativ eksponering med hensyn til AUC og Cmax for hver medicin, når det gives med semaglutid sammenlignet med uden semaglutid. Metformin og oralt præventionsmiddel (ethinylestradiol/levonorgestrel) blev vurderet ved stabil tilstand. Warfarin (S-Warfarin/Râwarfarin) digoxin og atorvastatin blev vurderet efter en enkelt dosis. Forkortelser: AUC: Område under kurven Cmax: Maksimal koncentration CI: konfidensinterval.
Immunogenicitet
Den observerede forekomst af anti-lægemiddelantistoffer er meget afhængig af følsomheden og specificiteten af assayet. Forskelle i analysemetoder udelukker meningsfulde sammenligninger af forekomsten af anti-drug-antistoffer i undersøgelserne beskrevet nedenfor med forekomsten af anti-drug-antistoffer i andre studier, herunder dem af semaglutid eller af andre semaglutidprodukter.
I løbet af de 68 ugers behandlingsperioder i undersøgelser 2 og 3 [se Kliniske studier ] 50/1709 (3%) af Wegovy-behandlede patienter udviklede anti-semaglutid-antistoffer. Af disse 50 WeGovy-behandlede patienter udviklede 28 patienter (2% af den samlede Wegovy-behandlede studiepopulation) antistoffer, der krydsreagerede med indfødte GLP-1. Ingen identificeret klinisk signifikant virkning af antisemaglutidantistoffer på farmakokinetik for Wegovy blev observeret. Der er utilstrækkelig dokumentation til at karakterisere virkningerne af anti-semaglutidantistoffer på farmakodynamik eller effektivitet af semaglutid.
Kliniske studier
Kardiovaskulære resultater forsøg hos voksne patienter med hjerte -kar -sygdomme og enten fedme eller overvægt
Oversigt over klinisk forsøg
Undersøgelse 1 (NCT03574597) var en multinationalt multi-center placebo-kontrolleret dobbeltblind forsøg for at bestemme effekten af Wegovy i forhold til placebo på større bivirkninger kardiovaskulære hændelser (MACE), når den blev tilføjet til den nuværende plejestandard, der omfattede styring af CV-risikofaktorer og individualiseret sund livsstilsrådgivning (herunder diæt og fysisk aktivitet). Den primære endepunktmasse var tid til første forekomst af et tredelt sammensat resultat, der omfattede hjerte-kar-død ikke-dødelig myokardieinfarkt og ikke-dødelig slagtilfælde.
Alle patienter var 45 år eller ældre med en indledende BMI på 27 kg/m² eller større og etableret hjerte -kar -sygdom (forudgående myokardieinfarkt forudgående slagtilfælde eller perifer arteriel sygdom). Patienter med en historie med type 1 eller type 2 diabetes blev udelukket. Samtidig CV -terapi kunne justeres efter efterforskerens skøn for at sikre, at deltagerne blev behandlet i henhold til den aktuelle standard for pleje for patienter med etableret hjerte -kar -sygdom.
I dette forsøg blev 17604 patienter randomiseret til Wegovy eller placebo. Ved baseline var middelalderen 62 år (område 45-93) 72% var mandlige 84% var hvide 4% var sorte eller afroamerikanske og 8% var asiatiske og 10% var latinamerikanske eller latino. Gennemsnitlig baseline kropsvægt var 97 kg og gennemsnitlig BMI var 33 kg/m². Ved baseline blev der rapporteret om myokardieinfarkt hos 76% af randomiserede individer forudgående slagtilfælde i 23% og perifer arteriel sygdom hos 9%. Hjertesvigt blev rapporteret hos 24% af patienterne. Ved baseline-kardiovaskulær sygdom og risikofaktorer blev håndteret med lipidsænkende terapi (90%) blodpladeaggregeringsinhibitorer (86%) angiotensin-konvertering af enzyminhibitorer eller angiotensin II-receptorblokkere (74%) og betablokkere (70%). I alt 10% havde moderat nedsat nyrefunktion (EGFR 30 til <60 mL/min/1.73m²) og 0.4% had severe renal impairment eGFR <30 mL/min/1.73m².
Resultater
I alt 96,9% af patienterne afsluttede forsøget, og vital status var tilgængelig for 99,4% af patienterne. Den median opfølgningsvarighed var 41,8 måneder. I alt 31% af WeGovy-behandlede patienter og 27% af placebo-behandlede patienter permanent ophørte med studiemedicin.
Til den primære analyse blev en COX -proportional faremodel anvendt til at teste for overlegenhed. Type 1 -fejl blev kontrolleret på tværs af flere tests.
Wegovy significantly reduced the risk feller first occurrence of MACE. The estimated hazard ratio (95% CI) was 0.80 (0.72 0.90) (see Figure 4 og Table 5).
Figur 4: Kumulativ forekomstfunktion: Tid til første forekomst af mace i undersøgelse 1
Data from the in-trial period. Cumulative incidence estimates are based on time from rogomization to first EAC-confirmed cardiovascular death non-fatal myocardial infarction eller non-fatal stroke with non-CV death modeled as competing risk using the Aalen-Johansen estimateller. Patients without events of interest were censellered at the end of their in-trial observation period. Time from rogomization to first cardiovascular death nonÂfatal myocardial infarction eller non-fatal stroke was analyzed using a Cox propellertional hazards model with treatment as categellerical fixed facteller. The hazard ratio og confidence interval are adjusted feller the group sequential design using the likelihood ratio ellerdering. HR: Hazard ratio; CI: confidence interval; CV: cardiovascular
Behandlingseffekten for det primære sammensatte endepunkt dens komponenter og andre relevante slutpunkter i undersøgelse 1 er vist i tabel 5.
Tabel 5: Behandlingseffekt for Mace og andre begivenheder i undersøgelse 1
| Patienter med begivenheder N (%) | Fareforhold (95% CI) | ||
| Placebo N = 8801 | Wegovy N = 8803 | ||
| Primært sammensat slutpunkt | |||
| Sammensætning af hjerte-kar-død ikke-dødelig myokardieinfarkt eller ikke-dødelig slagtilfælde 1 | 701 (NULL,0%) | 569 (NULL,5%) | 0.80 (NULL,72; 0,90)* 2 |
| Nøgle sekundære slutpunkter | |||
| Kardiovaskulær død 3 | 262 (NULL,0%) | 223 (NULL,5%) | 0.85 (NULL,71; 1.01) |
| All-årsagsdød 4 | 458 (NULL,2%) | 375 (NULL,3%) | 0.81 (NULL,71; 0,93) |
| Andre sekundære slutpunkter | |||
| Dødelig eller ikke-dødelig myokardieinfarkt 5 | 334 (NULL,8%) | 243 (NULL,8%) | 0.72 (NULL,61; 0,85) |
| Dødelig eller ikke-dødelig slagtilfælde 5 | 178 (NULL,0%) | 160 (NULL,8%) | 0.89 (NULL,72; 1,11) |
| *p-værdi <0.001 one-sided p-value 1 Primært slutpunkt 2 Justeret for gruppens sekventielle design ved hjælp af bestilling af sandsynlighedsforhold. 3 Kardiovaskulær død was the first confirmatellery secondary endpoint in the testing hierarchy og superiellerity was not confirmed. 4 Bekræftende sekundært slutpunkt. Ikke statistisk signifikant baseret på det forudbestemte testhierarki. 5 Ikke inkluderet i det forudbestemte testhierarki til kontrol af type-I-fejl. Bemærk: Tid til første begivenhed blev analyseret i en COX -proportional faremodel med behandling som faktor. For patienter med flere begivenheder bidrog kun den første begivenhed til det sammensatte endepunkt. |
Tabel 6: Gennemsnitlige ændringer i antropometri og kardiometabolske parametre i uge 104 i undersøgelse 1 12
| Placebo | Wegovy | Forskel fra placebo (LSMEAN) | |||
| Baseline | Ændring fra baseline (LSMEAN) | Baseline | Ændring fra baseline (LSMEAN) | ||
| Kropsvægt (kg) | 96.8 | -0.9 3 | 96.5 | -9.4 3 | -8.5 3 |
| Taljeomkrets (CM) | 111.4 | -1.0 | 111.3 | -7.6 | -6.5 |
| Systolisk blodtryk (MMHG) | 131 | -0.5 | 131 | -3.8 | -3.3 |
| Diastolisk blodtryk (MMHG) | 79 | -0.5 | 79 | -1.0 | -0.5 |
| Hjerterytme | 69 | 0.7 | 69 | 3.8 | 3.1 |
| Hba1c (%) | 5.8 | 0.0 | 5.8 | -0.3 | -0.3 |
| Baseline | % Ændring fra baseline (LSMEAN) | Baseline | % Ændring fra baseline (LSMEAN) | Relativ forskel fra placebo (%) (LSMEAN) | |
| Total kolesterol (mg/dl) 4 | 156.0 | -1.9 | 155.5 | -4.6 | -2.8 |
| LDL -kolesterol (mg/dl) 4 | 78.5 | -3.1 | 78.5 | -5.3 | -2.2 |
| HDL -kolesterol (mg/dl) 4 | 44.2 | 0.6 | 44.1 | 4.9 | 4.2 |
| Triglycerider (mg/dl) 4 | 139.5 | -3.2 | 138.6 | -18.3 | -15.6 |
| 1 Parametre, der er anført i tabellen, blev ikke inkluderet i den forud specificerede hierarkiske test. 2 Svarene blev analyseret under anvendelse af en ANCOVA med behandling som fast faktor- og basisværdi som covariat. Før analyse manglede data var flere beregnede. Imputationsmodellen (lineær regression) blev udført separat for hver behandlingsarm og inkluderede baselineværdi som et covariat og blev monteret på alle forsøgspersoner med en måling uanset behandlingsstatus i uge 104. 3 For kropsvægt â € ˜ skift fra baselineâ € ™ og â € ˜Differensen til placeboâ € ™ Enheden er procentvis ændring fra baseline. 4 Baseline value is the geometric mean. |
Reduktionen af MACE med Wegovy blev ikke påvirket af alder sex race etnicitet BMI ved baseline eller niveauet for nedsat nyrefunktion.
Vægttab og langvarige vedligeholdelsesundersøgelser hos voksne med fedme eller overvægt
Oversigt over kliniske studier hos voksne
Sikkerheden og effektiviteten af Wegovy til vægttab og langvarig vedligeholdelse af kropsvægt i forbindelse med en reduceret kaloridiæt og øget fysisk aktivitet blev undersøgt i tre 68-ugers randomiserede dobbeltblinde placebokontrollerede forsøg; en 68-ugers randomiseret dobbeltblind placebo-tilbagetrækningsforsøg; og en 68-ugers randomiseret dobbeltblind forsøg, der undersøgte 2 forskellige doser af Wegovy versus placebo. I undersøgelser 2 (NCT
I undersøgelser 2 3 og 5 modtog alle patienter undervisning for en reduceret kaloridiæt (ca. 500 kcal/dagsunderskud) og øget rådgivning om fysisk aktivitet (anbefalet til mindst 150 minutter/uge), der begyndte med den første dosis af studiemedicin eller placebo og fortsatte under hele forsøget. Hos undersøgelse modtog 4 patienter en indledende 8-ugers lavt kalorieindhold (samlet energiindtag 1000 til 1200 kcal/dag) efterfulgt af 60 uger med en reduceret kalorieindhold (1200-1800 kcal/dag) og øget fysisk aktivitet (100 minutter/uge med gradvis stigning til 200 minutter/uge).
Undersøgelse 2 var en 68-ugers forsøg, der tilmeldte sig 1961-patienter med fedme (BMI større end eller lig med 30 kg/m²) eller med overvægt (BMI 27-29,9 kg/m²) og mindst en vægtrelateret comorbid tilstand, såsom behandlet eller ubehandlet dyslipidæmi eller hypertension; Patienter med type 2 Diabetes mellitus blev udelukket. Patienter blev randomiseret i et forhold på 2: 1 til enten Wegovy eller placebo. Ved baseline-middelalderen var 46 år (område 18-86) 74% var kvindelige 75% var hvide 13% var asiatiske og 6% var sorte eller afroamerikanske. I alt 12% var latinamerikanske eller latino -etnicitet. Gennemsnitlig baseline kropsvægt var 105,3 kg og gennemsnitlig BMI var 37,9 kg/m².
Undersøgelse 3 var en 68-ugers forsøg, der tilmeldte 807 patienter med type 2-diabetes og BMI større end eller lig med 27 kg/m². Patienter inkluderet i forsøget havde HBA1C 7-10% og blev behandlet med enten: diæt og træning alene eller 1 til 3 orale anti-diabetiske lægemidler (metforminsulfonylurinas glitazon eller natriumglucose co-transporter 2-hæmmer). Patienter blev randomiseret i et forhold på 1: 1 for at modtage enten Wegovy eller placebo. Ved baseline var middelalderen 55 år (område 19-84) 51% var kvindelige 62% var hvide 26% var asiatiske og 8% var sorte eller afroamerikanske. I alt 13% var latinamerikanske eller latino -etnicitet. Den gennemsnitlige baseline kropsvægt var 99,8 kg og gennemsnitlig BMI var 35,7 kg/m².
Undersøgelse 4 var en 68-ugers forsøg, der tilmeldte 611 patienter med fedme (BMI større end eller lig med 30 kg/m²) eller med overvægt (BMI 27-29,9 kg/m²) og mindst en vægtrelateret comorbid tilstand, såsom behandlet eller ubehandlet dySlipidemia eller hypertension; Patienter med type 2 -diabetes mellitus blev udelukket. Patienterne blev randomiseret i et forhold på 2: 1 for at modtage enten Wegovy eller placebo. Ved baseline var middelalderen 46 år 81% var kvindelige 76% var hvide 19% var sorte eller afroamerikanske og 2% var asiatiske. I alt 20% var latinamerikanske eller latino -etnicitet. Gennemsnitlig baseline kropsvægt var 105,8 kg og gennemsnitlig BMI var 38,0 kg/m².
Undersøgelse 5 var en 68-ugers forsøg, der tilmeldte 902 patienter med fedme (BMI større end eller lig med 30 kg/m²) eller med overvægt (BMI 27-29,9 kg/m²) og mindst en vægtrelateret comorbid tilstand, såsom behandlet eller ubehandlet dyslipidæmi eller hypertension; Patienter med type 2 -diabetes mellitus blev udelukket. Den gennemsnitlige kropsvægt ved baseline for de 902 patienter var 106,8 kg og gennemsnitlig BMI var 38,3 kg/m². Alle patienter modtog Wegovy i løbet af opkøbsperioden på 20 uger, der omfattede 16 ugers dosisoptrapning. Forsøgsprodukt blev permanent afbrudt før randomisering hos 99 af 902 patienter (11%); Den mest almindelige årsag var bivirkninger (n = 48 5,3%); 803 patienter nåede Wegovy 2,4 mg og blev derefter randomiseret i et forhold på 2: 1 for enten at fortsætte på Wegovy eller modtage placebo. Blandt de 803 randomiserede patienter var middelalderen 46 år 79% var kvindelige 84% var hvide 13% var sorte eller afroamerikanske og 2% asiatiske. I alt 8% var latinamerikanske eller latino -etnicitet. Gennemsnitlig kropsvægt ved randomisering (uge 20) var 96,1 kg og gennemsnitlig BMI ved randomisering (uge 20) var 34,4 kg/m².
Undersøgelse 6 var en 68-ugers forsøg, der tilmeldte 401 øst-asiatiske patienter (Japan og Sydkorea) med BMI større end eller lig med 35 kg/m² og mindst en vægtrelateret comorbid tilstand eller med BMI 27-34,9 kg/m² og mindst to vægtrelaterede comorbide forhold. Patienterne blev randomiseret 2: 1: 1 for at modtage wegovy 2,4 mg wegovy 1,7 mg eller placebo. Ved baseline var middelalderen 51 år 63% var mandlige, og alle patienter var asiatiske. Gennemsnitlig baseline kropsvægt var 87,5 kg og gennemsnitlig BMI var 31,9 kg/m². Ved baseline havde 24,7% af patienterne type 2 -diabetes mellitus.
Resultater
Andelen af patienter, der afbrød undersøgelsesmedicin i undersøgelser 2 3 og 4, var 16,0% for den Wegovy-behandlede gruppe og 19,1% for den placebo-behandlede gruppe og 6,8% af patienterne behandlet med Wegovy og 3,2% af patienterne, der blev behandlet med placebo, ophørte på grund af en bivirkning [se Bivirkninger ]. In Study 5 the propellertions of patients who discontinued study drug were 5.8% og 11.6% feller Wegovy og placebo respectively. In Study 6 the propellertions of patients who discontinued study drug were 7.9% 6.5% og 3.0% feller Wegovy 1,7 mg Wegovy 2,4 mg og placebo respectively.
For undersøgelser 2 3 og 4 var de primære effektivitetsparametre gennemsnitlig procentvis ændring i kropsvægt og procentdelene af patienter, der opnåede større end eller lig med 5% vægttab fra baseline til uge 68.
Efter 68 uger resulterede behandling med Wegovy i en statistisk signifikant reduktion i kropsvægt sammenlignet med placebo. Større andele af patienter, der blev behandlet med Wegovy, opnåede 5% 10% og 15% vægttab end dem, der blev behandlet med placebo som vist i tabel 7.
Tabel 7: Ændringer i kropsvægt i uge 68 i studier 2 3 og 4
| Intention-to-treat 1 | Undersøgelse 2 (fedme eller overvægt med komorbiditet) | Undersøgelse 3 (type 2 -diabetes med fedme eller overvægt) | Undersøgelse 4 (fedme eller overvægt med komorbiditet, der gennemgår intensiv livsstilsterapi) | |||
| Placebo N = 655 | Wegovy N = 1306 | Placebo N = 403 | Wegovy N = 404 | Placebo N = 204 | Wegovy N = 407 | |
| Baseline mean (kg) | 105.2 | 105.4 | 100.5 | 99.9 | 103.7 | 106.9 |
| % ændring fra baseline (Lsmean) | -2.4 | -14.9 | -3.4 | -9.6 | -5.7 | -16.0 |
| % forskel fra placebo (Lsmean) (95% CI) | -12.4 (-13.3; -11.6)* | -6.2 (-7.3; -5.2)* | -10.3 (-11,8; -8,7)* | |||
| % af patienterne mister større end eller lig med 5% kropsvægt | 31.1 | 83.5 | 30.2 | 67.4 | 47.8 | 84.8 |
| % forskel fra placebo (Lsmean) (95% CI) | 52.4 (48.1; 56.7)* | 37.2 (NULL,7; 43,8)* | 37.0 (28.9; 45.2)* | |||
| % af patienterne mister større end eller lig med 10% kropsvægt | 12.0 | 66.1 | 10.2 | 44.5 | 27.1 | 73.0 |
| % forskel fra placebo (Lsmean) (95% CI) | 54.1 (50.4; 57.9)* | 34.3 (28.4; 40.2)* | 45.9 (38.0; 53.7)* | |||
| % af patienterne mister større end eller lig med 15% kropsvægt | 4.8 | 47.9 | 4.3 | 25.1 | 13.2 | 53.4 |
| % forskel fra placebo (Lsmean) (95% CI) | 43.1 (NULL,8; 46,3)* | 20.7 (15.7; 25.8)* | 40.2 (33.1; 47.3)* | |||
| LSMEAN = mindst kvadrater betyder; CI = konfidensinterval 1 Den intention-til-behandling-population inkluderer alle randomiserede patienter. I undersøgelse 2 i uge 68 manglede kropsvægten for henholdsvis 7,2% og 11,9% af patienterne, der blev randomiseret til Wegovy og placebo. I undersøgelse 3 i uge 68 manglede kropsvægten for henholdsvis 4,0% og 6,7% af patienterne, der blev randomiseret til Wegovy og placebo. I undersøgelse 4 i uge 68 manglede kropsvægten for henholdsvis 8,4% og 7,4% af patienterne, der blev randomiseret til Wegovy og placebo. Manglende data blev beregnet fra hentede individer af den samme randomiserede behandlingsarm (RD-MI). * s <0.0001 (unadjusted 2-sided) feller superiellerity. |
Til undersøgelse 5 var parameteren primær effektivitet gennemsnitlig procentvis ændring i kropsvægt fra randomisering (uge 20) til uge 68.
Fra randomisering (uge 20) til uge 68 -behandling med Wegovy resulterede i en statistisk signifikant reduktion i kropsvægt sammenlignet med placebo (tabel 8). Fordi patienter, der afbrød Wegovy under titrering, og dem, der ikke nåede den 2,4 mg ugentlige dosis, var ikke berettigede til den randomiserede behandlingsperiode, som resultaterne muligvis ikke afspejler oplevelsen af patienter i den generelle befolkning, der først begynder Wegovy.
Tabel 8: Ændringer i kropsvægt i uge 68 i undersøgelse 5 (fedme eller overvægt med komorbiditet efter 20 ugers run-in)
| Wegovy N = 803 1 | ||
| Kropsvægt (kun randomiserede patienter) | ||
| Gennemsnit på uge 0 (kg) | 107.2 | |
| Placebo N = 268 | Wegovy N = 535 | |
| Kropsvægt | ||
| Gennemsnit i uge 20 (SD) (kg) | 95.4 (22.7) | 96.5 (22.5) |
| % Ændring fra uge 20 i uge 68 (LSMEAN) | 6.9 | -7.9 |
| % forskel fra placebo (Lsmean) (95% CI) | -14.8 (-16,0; -13,5)* | |
| LSMEAN = mindst kvadrater betyder; CI = konfidensinterval 1 902 patienter blev indskrevet i uge 0 med en gennemsnitlig baseline -kropsvægt på 106,8 kg. Den intention-til-behandling-population inkluderer alle randomiserede patienter. I uge 68 manglede kropsvægten for henholdsvis 2,8% og 6,7% af patienterne, der blev randomiseret til Wegovy og placebo. Manglende data blev beregnet fra hentede individer af den samme randomiserede behandlingsarm (RD-MI). *s <0.001 (unadjusted 2-sided) feller superiellerity controlled feller multiplicity. |
Til undersøgelse 6 var de primære effektivitetsparametre gennemsnitlig procentvis ændring i kropsvægt og procentdelen af patienter, der opnåede større end eller lig med 5% vægttab fra baseline til uge 68.
Efter 68 ugers behandling med Wegovy 1,7 mg og 2,4 mg resulterede i en statistisk signifikant reduktion i kropsvægt sammenlignet med placebo. Større andele af patienter, der blev behandlet med Wegovy, opnåede 5% 10% og 15% vægttab end dem, der blev behandlet med placebo som vist i tabel 9.
Tabel 9: Ændringer i kropsvægt i uge 68 i undersøgelse 6 hos øst-asiatiske patienter (Wegovy 1,7 mg)
| Intention-to-treat 1 | Undersøgelse 6 (BMI ≥35 kg/m² med mindst en komorbiditet eller BMI 27-34,9 kg/m² med mindst to komorbiditeter) | ||
| Placebo N = 101 | Wegovy 1,7 mg N = 101 | Wegovy 2,4 mg N = 199 | |
| Kropsvægt | |||
| Baseline mean (kg) | 90.2 | 86.1 | 86.9 |
| % ændring fra baseline (Lsmean) | -2.1 | -9.6 | -13.2 |
| % forskel fra placebo (Lsmean) (95% CI) | -7.5 (-9,6; -5,4)* | -11.1 (-12,9; -9,2)* | |
| % af patienterne mister større end eller lig med 5% kropsvægt | 19.4 | 72.8 | 84.0 |
| % forskel fra placebo (Lsmean) (95% CI) | 53.3 (41.0; 65.6)* | 64.5 (54.8; 74.3)* | |
| % af patienterne mister større end eller lig med 10% kropsvægt | 4.5 | 39.1 | 59.9 |
| % forskel fra placebo (Lsmean) (95% CI) | 34.5 (23.9; 45.1)* | 55.4 (47.3; 63.6)* | |
| % af patienterne mister større end eller lig med 15% kropsvægt | 2.6 | 20.8 | 38.2 |
| % forskel fra placebo (Lsmean) (95% CI) | 18.2 (9.8; 26.7)* | 35.6 (27.9; 43.3)* | |
| LSMEAN = mindst kvadrater betyder; CI = konfidensinterval 1 Den intention-til-behandling-population inkluderer alle randomiserede patienter. Ved baseline havde 24,7% af patienterne type 2 -diabetes mellitus. I uge 68 manglede kropsvægten for 3% 3% og 1% af patienterne, der blev randomiseret til Wegovy 1,7 mg Wegovy 2,4 mg og placebo. Manglende data blev beregnet fra hentede individer af den samme randomiserede behandlingsarm (RD-MI). *s <0.0001 (unadjusted 2-sided) feller superiellerity. |
En reduktion i kropsvægt blev observeret med Wegovy uanset alder sex race etnicitet BMI ved baseline kropsvægt (kg) ved baseline og niveauet for nedsat nyrefunktion.
De kumulative frekvensfordelinger af ændring i kropsvægt er vist i figur 5 og figur 6 for undersøgelser 2 og 3. en måde at fortolke dette tal på er at vælge en ændring i kropsvægt af interesse på den vandrette akse og bemærke de tilsvarende andele af patienter (lodret akse) i hver behandlingsgruppe, der i det mindste opnåede den grad af vægttab. Bemærk for eksempel, at den lodrette linje, der opstår fra -10% i undersøgelse 2, skærer Wegovy- og placebo -kurverne til henholdsvis ca. 66% og 12%, hvilket svarer til værdierne vist i tabel 7.
Figur 5: Ændring i kropsvægt (%) fra baseline til uge 68 (undersøgelse 2)
Observerede data fra perioden med forsøg inklusive beregnede data for manglende observationer (RD-MI).
Figur 6: Ændring i kropsvægt (%) fra baseline til uge 68 (undersøgelse 3)
Observerede data fra perioden med forsøg inklusive beregnede data for manglende observationer (RD-MI).
Tidskurser med vægttab med Wegovy og placebo fra baseline til uge 68 er afbildet i figur 7 Figur 8 og figur 9.
Figur 7: Skift fra baseline (%) i kropsvægt (undersøgelse 2 til venstre og undersøgelse 3 til højre)
Observerede værdier for patienter, der afslutter hvert planlagt besøg og estimater med flere imputationer fra hentede frafald (RD-MI)
Figur 8: Skift fra baseline (%) i kropsvægt (undersøgelse 4 til venstre og undersøgelse 5 a til højre)
Observerede værdier for patienter, der afslutter hvert planlagt besøg og estimater med flere imputationer fra hentede frafald (RD-MI)
a Ændring fra uge 0 var ikke et primært slutpunkt i undersøgelse 5. stiplet linje indikerer tid for randomisering. Randomiserede patienter (vist) inkluderer ikke 99 patienter, der ophørte i løbet af den 20 ugers run-in-periode.
Figur 9: Ændring i kropsvægt (%) fra baseline til uge 68 (undersøgelse 6 hos østasiatiske patienter)
Observerede værdier for patienter, der afslutter hvert planlagt besøg og estimater med flere imputationer fra hentede frafald (RDâmi). Ved baseline havde 24,7% af patienterne type 2 -diabetes mellitus.
Effekt af Wegovy på antropometri og kardiometabolske parametre hos voksne
Ændringer i taljeomkrets og kardiometabolske parametre med Wegovy er vist i tabel 10 for undersøgelser 2 3 og 4; i tabel 11 til undersøgelse 5; og i tabel 12 til undersøgelse 6.
Tabel 10: Ændringer i antropometri og kardiometabolske parametre i uge 68 i studier 2 3 og 4
| Intention-to-treat | Undersøgelse 2 (fedme eller overvægt med komorbiditet) | Undersøgelse 3 (type 2 -diabetes med fedme eller overvægt) | Undersøgelse 4 (fedme eller overvægt med komorbiditet, der gennemgår intensiv livsstilsterapi) | |||
| Placebo N = 655 | Wegovy N = 1306 | Placebo N = 403 | Wegovy N = 404 | Placebo N = 204 | Wegovy N = 407 | |
| Taljeomkrets (CM) | ||||||
| Baseline | 114.8 | 114.6 | 115.5 | 114.5 | 111.8 | 113.6 |
| Ændringer fra baseline (LSMEAN 1 ) | -4.1 | -13.5 | -4.5 | -9.4 | -6.3 | -14.6 |
| Forskel fra placebo (LSMEAN) | -9.4 | -4.9 | -8.3 | |||
| Systolisk blodtryk (MMHG) | ||||||
| Baseline | 127 | 126 | 130 | 130 | 124 | 124 |
| Ændringer fra baseline (LSMEAN 1 ) | -1.1 | -6.2 | -0.5 | -3.9 | -1.6 | -5.6 |
| Forskel fra placebo (LSMEAN) | -5.1 | -3.4 | -3.9 | |||
| Diastolisk blodtryk (MMHG)2 | ||||||
| Baseline | 80 | 80 | 80 | 80 | 81 | 80 |
| Ændringer fra baseline (LSMEAN 1 ) | -0.4 | -2.8 | -0.9 | -1.6 | -0.8 | -3.0 |
| Forskel fra placebo (LSMEAN) | -2.4 | -0.7 | -2.2 | |||
| Hjerterytme 23 | ||||||
| Baseline | 72 | 72 | 76 | 75 | 71 | 71 |
| Ændringer fra baseline (LSMEAN) | -0.7 | 3.5 | -0.2 | 2.5 | 2.1 | 3.1 |
| Forskel fra placebo (LSMEAN) | 4.3 | 2.7 | 1.0 | |||
| Hba1c (%) 2 | ||||||
| Baseline | 5.7 | 5.7 | 8.1 | 8.1 | 5.8 | 5.7 |
| Ændringer fra baseline (LSMEAN 1 ) | -0.2 | -0.4 | -0.4 | -1.6 | -0.3 | -0.5 |
| Forskel fra placebo (LSMEAN) | -0.3 | -1.2 | -0.2 | |||
| Total kolesterol (mg/dl) 24 | ||||||
| Baseline | 192.1 | 189.6 | 170.8 | 170.8 | 188.7 | 185.4 |
| Procentændring fra baseline (LSMEAN 1 ) | 0.1 | -3.3 | -0.5 | -1.4 | 2.1 | -3.9 |
| Relativ forskel fra placebo (LSMEAN) | -3.3 | -0.9 | -5.8 | |||
| LDL -kolesterol (mg/dl) 24 | ||||||
| Baseline | 112.5 | 110.3 | 90.1 | 90.1 | 111.8 | 107.7 |
| Procentændring fra baseline (LSMEAN 1 ) | 1.3 | -2.5 | 0.1 | 0.5 | 2.6 | -4.7 |
| Relativ forskel fra placebo (LSMEAN) | -3.8 | 0.4 | -7.1 | |||
| HDL (mg/dl) 24 | ||||||
| Baseline | 49.5 | 49.4 | 43.8 | 44.7 | 50.9 | 51.6 |
| Procentændring fra baseline (LSMEAN 1 ) | 1.4 | 5.2 | 4.1 | 6.9 | 5.0 | 6.5 |
| Relativ forskel fra placebo (LSMEAN) | 3.8 | 2.7 | 1.5 | |||
| Triglycerider (mg/dl) 24 | ||||||
| Baseline | 127.9 | 126.2 | 159.5 | 154.9 | 110.9 | 107.9 |
| Procentændring fra baseline (LSMEAN 1 ) | -7.3 | -21.9 | -9.4 | -22.0 | -6.5 | -22.5 |
| Relativ forskel fra placebo (LSMEAN) | -15.8 | -13.9 | -17.0 | |||
| Manglende data blev beregnet fra hentede emner af den samme randomiserede behandlingsarm (RD-MI) 1 Modelbaserede estimater baseret på en analyse af covariansmodel inklusive behandling (og stratificeringsfaktorer til undersøgelse 3 kun) som en faktor- og basisværdi som et kovariat 2 Ikke inkluderet i den forud specificerede hierarkiske test (undtagen HBA1C til undersøgelse 3) 3 Modelbaserede estimater baseret på en blandet model til gentagne mål inklusive behandling (og stratificeringsfaktorer til undersøgelse 3 kun) som en faktor- og basisværdier som et kovariat 4 Baseline value is the geometric mean |
Tabel 11: Gennemsnitlige ændringer i antropometri og kardiometabolske parametre i undersøgelse 5 (fedme eller overvægt med komorbiditet efter 20 ugers run-in) 1
| Placebo N = 268 | Wegovy N = 535 | Forskel fra placebo (LSMEAN) | |||
| Randomisering (uge 20) | Ændring fra randomisering (uge 20) til uge 68 (LSMEAN1) | Randomisering (uge 20) | Ændring fra randomisering (uge 20) til uge 68 (LSMEAN1) | ||
| Taljeomkrets (CM) | 104.7 | 3.3 | 105.5 | -6.4 | -9.7 |
| Systolisk blodtryk (MMHG) | 121 | 4.4 | 121 | 0.5 | -3.9 |
| Diastolisk blodtryk (MMHG) 2 | 78 | 0.9 | 78 | 0.3 | -0.5 |
| Hjerterytme 23 | 76 | -5.3 | 76 | -2.0 | 3.3 |
| Hba1c (%) 2 | 5.4 | 0.1 | 5.4 | -0.1 | -0.2 |
| Randomisering (uge 20) | % Ændring fra randomisering (uge 20) (LSMEAN1) | Randomisering (uge 20) | % Ændring fra randomisering (uge 20) (LSMEAN1) | Relativ forskel fra placebo (LSMEAN) | |
| Total kolesterol (mg/dl) 24 | 175.1 | 11.4 | 175.9 | 4.9 | -5.8 |
| LDL -kolesterol (mg/dl) 24 | 109.1 | 7.6 | 108.7 | 1.1 | -6.1 |
| HDL -kolesterol (mg/dl) 24 | 43.6 | 17.8 | 44.5 | 18.2 | 0.3 |
| Triglycerider (mg/dl) 24 | 95.3 | 14.8 | 98.1 | -5.6 | -17.8 |
| Manglende data blev beregnet fra hentede emner af den samme randomiserede behandlingsarm (RD-MI) 1 Modelbaserede estimater baseret på en analyse af covariansmodel inklusive behandling som en faktor- og basisværdi som et kovariat 2 Ikke inkluderet i den forud specificerede hierarkiske test 3 Modelbaserede estimater baseret på en blandet model til gentagne mål, herunder behandling som en faktor- og basisværdier som et kovariat 4 Baseline value is the geometric mean |
Tabel 12: Gennemsnitlige ændringer i antropometri og kardiometabolske parametre i uge 68 i undersøgelse 6 hos øst-asiatiske patienter (Wegovy 1,7 mg)
| Intention-to-treat | Undersøgelse 6 (BMI ≥35 kg/m² med mindst en komorbiditet eller BMI 27-34,9 kg/m² med mindst to komorbiditeter) | ||
| Placebo N = 101 | Wegovy 1,7 mg N = 101 | Wegovy 2,4 mg N = 199 | |
| Taljeomkrets (CM) baseline | 103.8 | 101.4 | 103.8 |
| Ændring fra baseline (lsmean 1 ) | -1.8 | -7.7 | -11.0 |
| Forskel fra placebo (LSMEAN) | -5.9 | -9.3 | |
| Systolisk blodtryk (MMHG) 2 | |||
| Baseline | 133 | 135 | 133 |
| Ændring fra baseline (lsmean 1 ) | -5.3 | -10.8 | -10.8 |
| Forskel fra placebo (LSMEAN) | -5.4 | -5.5 | |
| Diastolisk blodtryk (MMHG) 2 | |||
| Baseline | 86 | 85 | 83 |
| Ændring fra baseline (lsmean 1 ) | -2.2 | -4.6 | -5.3 |
| Forskel fra placebo (LSMEAN) | -2.4 | -3.1 | |
| Hjerterytme 2 3 | |||
| Baseline | 73 | 73 | 73 |
| Ændring fra baseline (lsmean) | 2.4 | 4.4 | 6.3 |
| Forskel fra placebo (LSMEAN) | 2.0 | 3.9 | |
| Hba1c (%) 2 | |||
| Baseline | 6.4 | 6.4 | 6.4 |
| Ændring fra baseline (lsmean 1 ) | 0.0 | -0.9 | -0.9 |
| Forskel fra placebo (LSMEAN) | -0.9 | -0.9 | |
| Total kolesterol (mg/dl) 24 | |||
| Baseline | 203.1 | 203.3 | 197.2 |
| Procentændring fra baseline (LSMEAN 1 ) | 0.8 | -6.6 | -8.7 |
| Relativ forskel fra placebo (LSMEAN) | -7.3 | -9.4 | |
| LDL -kolesterol (mg/dl) 24 | |||
| Baseline | 123.3 | 120.1 | 116.5 |
| Procentændring fra baseline (LSMEAN 1 ) | -3.8 | -10.1 | -14.6 |
| Relativ forskel fra placebo (LSMEAN) | -6.5 | -11.2 | |
| HDL -kolesterol (mg/dl) 24 | |||
| Baseline | 48.7 | 50.2 | 50.8 |
| Procentændring fra baseline (LSMEAN 1 ) | 5.9 | 6.7 | 9.2 |
| Relativ forskel fra placebo (LSMEAN) | 0.7 | 3.1 | |
| Triglycerid (Mg/DL) 24 | |||
| Baseline | 134.2 | 138.8 | 127.1 |
| Procentændring fra baseline (LSMEAN 1 ) | 5.5 | -19.5 | -21.2 |
| Relativ forskel fra placebo (LSMEAN) | -23.7 | -25.3 | |
| Manglende data blev beregnet fra hentede emner af den samme randomiserede behandlingsarm (RD-MI). At baseline 24.7% of patients had type 2 Diabetes mellitus. 1 Modelbaserede estimater baseret på en analyse af covariansmodel inklusive behandling og type 2 -diabetesstatus som faktorer og basisværdi som et kovariat 2 Ikke inkluderet i den forud specificerede hierarkiske test 3 Modelbaserede estimater baseret på en blandet model til gentagne mål, herunder behandling og type 2 -diabetesstatus som faktorer og basisværdier som et kovariat 4 Baseline value is the geometric mean |
Vægtreduktion og langvarig vedligeholdelsesundersøgelse hos pædiatriske patienter i alderen 12 år og ældre med fedme
Oversigt over klinisk forsøg hos pædiatriske patienter
Wegovy was evaluated in a 68-week double-blind rogomized parallel group placebo-controlled multi-center trial in 201 pubertal pediatric patients aged 12 years og older with BMI cellerresponding to ≥95th percentile stogardized feller age og sex (Study 7) (NCT#04102189). After a 12-week lifestyle run-in period (including dietary recommendations og physical activity counseling) patients were rogomized 2:1 to Wegovy once weekly eller placebo once weekly. Wegovy eller matching placebo was escalated to 2,4 mg eller maximally tolerated dose during a 16-week period followed by 52 weeks on maintenance dose. Of Wegovy-treated patients who completed the trial 86.7% were on the 2,4 mg dose at the end of the trial; feller 5% of patients 1,7 mg was the maximum tolerated dose.
Middelalderen var 15 år; 38% af patienterne var mandlige; 79% var hvide 8% var sorte eller afroamerikanske 2% var asiatiske og 11% var af andre eller ukendte race; og 11% var af latinamerikansk eller latino -etnicitet. Den gennemsnitlige baseline -kropsvægt var 108 kg og gennemsnitlig BMI var 37 kg/m².
Resultater
Proportionerne af patienter, der afbrød undersøgelsesmedicin, var 10% for den Wegovy-behandlede gruppe og 10% for den placebo-behandlede gruppe.
Det primære slutpunkt var procentvis ændring i BMI fra baseline til uge 68. efter 68 ugers behandling med Wegovy resulterede i en statistisk signifikant reduktion i procent BMI sammenlignet med placebo. Større andele af patienter, der blev behandlet med Wegovy, opnåede ≥5% reduktion i baseline BMI end dem, der blev behandlet med placebo som vist i tabel 13.
Tabel 13: Ændringer i vægt og BMI i uge 68 hos pædiatriske patienter med fedme i alderen 12 år og ældre i undersøgelse 7
| Intention-to-treat a | Placebo N = 67 | Wegovy N = 134 |
| BMI | ||
| Baseline mean (kg/m²) | 35.7 | 37.7 |
| % ændring fra baseline in BMI (Lsmean) | 0.6 | -16.1 |
| % forskel fra placebo (Lsmean) (95% CI) | -16,7 (-20,3; -13,2)* | |
| % af patienter med større end eller lig med 5% reduktion i baseline BMI b | 19.7 | 77.1 |
| % forskel fra placebo (Lsmean) | 57.4 | |
| % af patienter med større end eller lig med 10% reduktion i baseline BMI b | 7.7 | 65.1 |
| % forskel fra placebo (Lsmean) | 57.5 | |
| % af patienter med større end eller lig med 15% reduktion i baseline BMI b | 4.0 | 57.8 |
| % forskel fra placebo (Lsmean) | 53.9 | |
| Kropsvægt b | ||
| Baseline mean (kg) | 102.6 | 109.9 |
| % ændring fra baseline (Lsmean) a | 2.7 | -14.7 |
| % forskel fra placebo (Lsmean) | -17.4 | |
| LSMEAN = mindst kvadrater betyder; CI = konfidensinterval a Den intention-to-behandling befolkning inkluderer alle randomiserede patienter. Manglende data blev beregnet ved hjælp af tilgængelige data i henhold til værdi og timing af den sidste tilgængelige observation af behandling og slutpunkts basisværdi fra hentede forsøgspersoner (RD-MI). I uge 68 manglede BMI for 2,2% og 7,5% af patienterne, der blev randomiseret til henholdsvis Wegovy og placebo. b Parametre ikke inkluderet i den forudspecificerede hierarkiske test. * s <0.0001 (unadjusted 2-sided) feller superiellerity. |
Tidsforløbet for ændring i BMI med Wegovy og placebo fra baseline til uge 68 er afbildet i figur 10. Den kumulative frekvensfordeling af ændring i BMI er vist i figur 11.
Figur 10: Skift fra baseline (%) i BMI hos pædiatriske patienter med fedme i alderen 12 år og ældre i undersøgelse 7
Observerede værdier for patienter, der afslutter hvert planlagt besøg og estimater med flere imputationer fra hentede frafald (RD-MI)
Figur 11: Ændring i BMI (%) fra baseline til uge 68 hos pædiatriske patienter med fedme i alderen 12 år og ældre i undersøgelse 7
Observerede data fra perioden In-Trial inklusive imputerede data for manglende observationer (RD-MI)
Effekt af Wegovy på antropometri og kardiometabolske parametre hos pædiatriske patienter med fedme i alderen 12 år og ældre
Ændringer i taljeomkrets og kardiometabolske parametre med Wegovy er vist i tabel 14 til undersøgelsen hos pædiatriske patienter i alderen 12 år og ældre.
Tabel 14: Gennemsnitlige ændringer i antropometri og kardiometabolske parametre hos pædiatriske patienter med fedme i alderen 12 år og ældre i undersøgelse 7 1
| Placebo N = 67 | Wegovy N = 134 | Forskel fra placebo (LSMEAN) | |||
| Baseline | Ændring fra baseline (LSMEAN) | Baseline | Ændring fra baseline (LSMEAN) | ||
| Taljeomkrets (CM) 2 | 107.3 | -0.6 | 111.9 | -12.7 | -12.1 |
| Systolisk blodtryk (MMHG) 2 | 120 | -0.8 | 120 | -2.7 | -1.9 |
| Diastolisk blodtryk (MMHG) 2 | 73 | -0.8 | 73 | -1.4 | -0.6 |
| Hjerterytme 3 | 76 | -2.3 | 79 | 1.2 | 3.5 |
| Halc (%) 2 4 | 5.4 | -0.1 | 5.5 | -0.4 | -0.2 |
| Baseline | % Ændring fra baseline (LSMEAN) | Baseline | % Ændring fra baseline (LSMEAN) | Relativ forskel fra placebo (LSMEAN) | |
| Total kolesterol (mg/dl) 25 | 160.1 | -1.3 | 159.4 | -8.3 | -7.1 |
| LDL -kolesterol (mg/dl) 25 | 91.7 | -3.6 | 89.8 | -9.9 | -6.6 |
| HDL -kolesterol (mg/dl) 25 | 43.3 | 3.2 | 43.7 | 8.0 | 4.7 |
| Triglycerider (mg/dl) 25 | 108.0 | 2.6 | 111.3 | -28.4 | -30.2 |
| 1 Parametre, der er anført i tabellen, blev ikke inkluderet i den forud specificerede hierarkiske test. 2 Manglende data blev beregnet ved hjælp af tilgængelige data i henhold til værdi og timing af den sidste tilgængelige observation af behandling og slutpunkts basisværdi fra hentede forsøgspersoner (RD-MI). Modelbaserede estimater baseret på en analyse af covariansmodel, herunder behandlings- og stratificeringsgrupper (kønsgarverstadiets gruppe) og samspillet mellem stratificeringsgrupper som faktorer og basisværdi som et covariat. 3 Modelbaserede estimater baseret på en blandet model til gentagne mål, herunder behandling som en faktor- og basisværdi som et covariat, der er alle indlejret inden for besøg. 4 For patienter uden type 2-diabetes ved randomisering (N = 129 for Wegovy-behandlede patienter og N = 64 for placebo-behandlede patienter). 5 Baseline value is the geometric mean. |
Patientinformation til Wegovy
Wegovy®
(Wee-Goh-Vee)
(Semaglutide) Injektion til subkutan brug
hvid pille blå pletter 50 30
Læs denne medicinguide og instruktioner til brug, inden du begynder at bruge Wegovy, og hver gang du får en påfyldning. Der kan være nye oplysninger. Disse oplysninger indtager ikke stedet for at tale med din sundhedsudbyder om din medicinske tilstand eller din behandling.
Hvad er de vigtigste oplysninger, jeg skal vide om Wegovy?
Wegovy may cause serious side effects including:
- Mulige skjoldbruskkirtel tumorer inklusive kræft. Fortæl din sundhedsudbyder, hvis du får en klump eller hævelse i din nakkehøreshed, der sluger eller åndenød. Dette kan være symptomer på kræft i skjoldbruskkirtlen. I undersøgelser med gnavere forårsagede Wegovy og medicin, der fungerer som Wegovy, skjoldbruskkirtel tumorer inklusive kræft i skjoldbruskkirtlen. Det vides ikke, om Wegovy vil forårsage skjoldbruskkirtel tumorer eller en type skjoldbruskkirtelkræft kaldet medullær skjoldbruskkirtelcarcinom (MTC) hos mennesker.
- Brug ikke Wegovy, hvis du eller nogen af din familie nogensinde har haft en type skjoldbruskkirtelkræft kaldet medullær skjoldbruskkirtelkarcinom (MTC), eller hvis du har en endokrin systemtilstand kaldet multiple endokrine neoplasi -syndrom type 2 (Men 2).
Hvad er Wegovy?
- Wegovy is an injectable prescription medicine used with a reduced calellerie diet og increased physical activity:
- For at reducere risikoen for større kardiovaskulære begivenheder såsom dødshjerteanfald eller slagtilfælde hos voksne med kendt hjertesygdom og med enten fedme eller overvægt.
- Det kan hjælpe voksne og børn i alderen 12 år og ældre med fedme eller nogle voksne med overvægt, der også har vægtrelaterede medicinske problemer for at hjælpe dem med at miste overskydende kropsvægt og holde vægten væk.
- Wegovy contains SEMGLUTIDE og should not be used with other SEMGLUTIDE-containing products eller other GLP-1 recepteller agonist medicines.
- Det vides ikke, om Wegovy er sikker og effektiv til brug hos børn under 12 år.
Brug ikke wegovy, hvis:
- Du eller nogen af din familie har nogensinde haft en type kræft i skjoldbruskkirtlen kaldet medullær skjoldbruskkirtelkarcinom (MTC), eller hvis du har en endokrin systemtilstand kaldet multiple endokrine neoplasi -syndrom type 2 (MEN 2).
- Du har haft en alvorlig allergisk reaktion på semaglutid eller nogen af ingredienserne i Wegovy. Se slutningen på denne medicinvejledning for en komplet liste over ingredienser i Wegovy. Symptomer på en alvorlig allergisk reaktion inkluderer:
- Hævelse af dine ansigtslæber tunge eller hals
- besvimende eller feeling dizzy
- problemer med at trække vejret eller sluge
- Meget hurtig hjerteslag
- Alvorligt udslæt eller kløe
Før du bruger Wegovy, fortæl din sundhedsudbyder, hvis du har andre medicinske tilstande, herunder hvis du:
- har eller har haft problemer med din bugspytkirtel eller nyrer.
- Har type 2 -diabetes og en historie med diabetisk retinopati.
- har eller har haft depression eller selvmordstanker eller psykiske problemer.
- er planlagt til at have operation eller andre procedurer, der bruger anæstesi eller dyb søvnighed (dyb sedation).
- er gravide eller planlægger at blive gravid. Wegovy kan skade din ufødte baby. Du skal stoppe med at bruge Wegovy 2 måneder, før du planlægger at blive gravid.
- Graviditet Exposure Registry: Der er et graviditetseksponeringsregister for kvinder, der bruger Wegovy under graviditet. Formålet med dette register er at indsamle oplysninger om sundheden for dig og din baby. Tal med din sundhedsudbyder om, hvordan du kan deltage i dette register, eller du kan kontakte Novo Nordisk på 1-877390-2760.
- er amning eller planlægger at amme. Det vides ikke, om Wegovy passerer ind i din modermælk. Du skal tale med din sundhedsudbyder om den bedste måde at fodre din baby på, mens du bruger Wegovy.
Fortæl din sundhedsudbyder om alle de medicin, du tager inklusive receptpligtige og over-the-counter medicin vitaminer og urtetilskud. Wegovy kan påvirke den måde, nogle medicin fungerer på, og nogle medicin kan påvirke den måde, WeGovy fungerer på. Fortæl din sundhedsudbyder, hvis du tager andre medicin til behandling af diabetes inklusive sulfonylurinstoffer eller insulin. Wegovy bremser mavetømning og kan påvirke medicin, der skal passere hurtigt gennem maven. Kend de medicin, du tager. Opbevar en liste over dem for at vise din sundhedsudbyder og apotek, når du får en ny medicin.
Hvordan skal jeg bruge Wegovy?
- Læs instruktionerne til brug, der følger med Wegovy.
- Brug Wegovy nøjagtigt som din sundhedsudbyder fortæller dig at gøre det.
- Din sundhedsudbyder skal vise dig, hvordan du bruger Wegovy, før du bruger den for første gang.
- Wegovy is injected under the skin (subcutaneously) of your stomach (abdomen) thigh eller upper arm. Gør ikke inject Wegovy into a muscle (intramuscularly) eller vein (intravenously).
- Skift (roter) dit injektionssted med hver injektion. Brug ikke det samme sted til hver injektion.
- Brug Wegovy 1 gang hver uge på samme dag hver uge på ethvert tidspunkt af dagen.
- Start Wegovy med 0,25 mg om ugen i din første måned. I din anden måned øg din ugentlige dosis til 0,5 mg. Forøg din ugentlige dosis til 1 mg i den tredje måned til 1 mg. I den fjerde måned øg din ugentlige dosis til 1,7 mg. I den femte måned og fremover kan din sundhedsudbyder enten opretholde din dosis på 1,7 mg ugentligt eller øge din ugentlige dosis til 2,4 mg.
- Hvis du har brug for at ændre ugedagen, kan du gøre det, så længe din sidste dosis af Wegovy fik 2 eller flere dage før.
- Hvis du går glip af en dosis af Wegovy, og den næste planlagte dosis er mere end 2 dage væk (48 timer), skal du tage den ubesvarede dosis så hurtigt som muligt. Hvis du går glip af en dosis af Wegovy, og den næste skema -dosis er mindre end 2 dage væk (48 timer), skal du ikke administrere dosis. Tag din næste dosis på den regelmæssigt planlagte dag.
- Hvis du går glip af doser af Wegovy i mere end 2 uger, skal du tage din næste dosis på den regelmæssigt planlagte dag eller ringe til din sundhedsudbyder for at tale om, hvordan du genstarter din behandling.
- Du kan tage Wegovy med eller uden mad.
- Hvis du tager for meget Wegovy, kan du have svær kvalme alvorlig opkast og alvorligt lavt blodsukker. Ring til din sundhedsudbyder eller gå til det nærmeste hospitalets akuttrum med det samme, hvis du oplever nogen af disse symptomer.
Hvad er de mulige bivirkninger af Wegovy?
Wegovy may cause serious side effects including:
- Se Hvad er de vigtigste oplysninger, jeg skal vide om Wegovy?
- Betændelse i din bugspytkirtel (pancreatitis). Stop med at bruge Wegovy, og ring med din sundhedsudbyder med det samme, hvis du har alvorlige smerter i dit maveområde (maven), der ikke vil forsvinde med eller uden opkast. Du kan føle smerten fra din mave til ryggen.
- Galdeblæreproblemer. Wegovy may cause gallbladder problems including gallstones. Some gallbladder problems need surgery. Call your healthcare provider if you have any of the following symptoms:
- Smerter i din øvre mave (mave)
- Gulning af hud eller øjne (gulsot)
- feber
- lerfarvet afføring
- Øget risiko for lavt blodsukker (hypoglykæmi), især dem, der også tager medicin til behandling af diabetes mellitus, såsom insulin eller sulfonylurinstoffer. Lavt blodsukker hos patienter med diabetes, der modtager Wegovy, kan være en alvorlig bivirkning. Tal med din sundhedsudbyder om, hvordan du genkender og behandler lavt blodsukker. Du skal tjekke dit blodsukker, før du begynder at tage Wegovy, og mens du tager Wegovy. Tegn og symptomer på lavt blodsukker kan omfatte:
- svimmelhed eller light-headedness
- sved
- Shakakess
- sløret vision
- sløret tale
- svaghed
- angst
- sult
- hovedpine
- Irritabilitet eller humørændringer
- forvirring eller drowsiness
- Hurtig hjerteslag
- Følelse af jittery
- Nyreproblemer (nyresvigt). Hos mennesker, der har nyreproblemer, kan diarré kvalme og opkast forårsage et tab af væsker (dehydrering), hvilket kan få nyreproblemer til at blive værre. Det er vigtigt for dig at drikke væsker for at hjælpe med at reducere din chance for dehydrering.
- Alvorlige allergiske reaktioner. Stop med at bruge Wegovy og få medicinsk hjælp med det samme, hvis du har symptomer på en alvorlig allergisk reaktion, herunder:
- Hævelse af dine ansigtslæber tunge
- Alvorligt udslæt eller kløe
- Meget hurtig hjerteslag eller throat
- problemer med at trække vejret eller sluge
- besvimende eller feeling dizzy
- Ændring i synet hos mennesker med type 2 -diabetes. Fortæl din sundhedsudbyder, hvis du har ændringer i visionen under behandling med Wegovy.
- øget hjerterytme. Wegovy can increase your heart rate while you are at rest. Your healthcare provider should check your heart rate while you take Wegovy. Tell your healthcare provider if you feel your heart racing eller pounding in your chest og it lasts feller several minutes.
- Depression eller tanker om selvmord. Du skal være opmærksom på eventuelle mentale ændringer, især pludselige ændringer i dine humøradfærdstanker eller følelser. Ring til din sundhedsudbyder med det samme, hvis du har nogen mentale ændringer, der er nye værre eller bekymre dig.
- Mad eller væske kommer ind i lungerne under operationen eller andre procedurer, der bruger anæstesi eller dyb søvnighed (dyb sedation). Wegovy may increase the chance of food getting into your lungs during surgery eller other procedures. Tell all your healthcare providers that you are taking Wegovy befellere you are scheduled to have surgery eller other procedures.
De mest almindelige bivirkninger af Wegovy hos voksne eller børn i alderen 12 år og ældre kan omfatte:
- kvalme
- Mave (mave) smerte
- svimmelhed
- gas
- diarre
- hovedpine
- føler sig oppustet
- maveinfluenza
- opkast
- træthed (træthed)
- Belling
- halsbrand
- forstoppelse
- ked af maven
- Lavt blodsukker hos mennesker
- løbende næse eller ondt i halsen med type 2 -diabetes
Tal med din sundhedsudbyder om enhver bivirkning, der generer dig eller ikke forsvinder. Dette er ikke alle de mulige bivirkninger af Wegovy.
Ring til din læge for medicinsk rådgivning om bivirkninger. Du kan rapportere bivirkninger til FDA på 1-800-FDA-1088.
Generel information om sikker og effektiv brug af Wegovy.
Medicin er undertiden ordineret til andre formål end dem, der er anført i en medicinguide. Brug ikke Wegovy til en betingelse, som den ikke blev ordineret til. Giv ikke Wegovy til andre mennesker, selvom de har de samme symptomer, som du har. Det kan skade dem. Du kan bede din farmaceut eller sundhedsudbyder om information om Wegovy, der er skrevet til sundhedsfagfolk.
Hvad er ingredienserne i Wegovy?
Aktiv ingrediens: SEMGLUTIDE
Inaktive ingredienser: Disatriumphosphatdihydrat 1,42 mg; natriumchlorid 8,25 mg; vand til injektion; og saltsyre eller natriumhydroxid kan tilsættes for at justere pH.
Brug til brug
Wegovy®
(Semaglutid) Injektion Wegovy kommer i fem styrker: 0,25 mg/ 0,5 ml 0,5 mg/ 0,5 ml 1 mg /0,5 ml 1,7 mg/ 0,75 ml 2,4 mg/ 0,75 ml
Før du bruger din Wegovy -pen for første gang Tal med din sundhedsudbyder eller din plejeperson om, hvordan du forbereder og injicerer Wegovy korrekt.
Træk ud for at komme i gang
Vigtig information
Læs disse instruktioner til brug, inden du begynder at bruge Wegovy. Disse oplysninger erstatter ikke at tale med din sundhedsudbyder om din medicinske tilstand eller behandling.
- Din Wegovy -pen er kun til 1 tidsbrug. WeGovy -penen er kun til subkutan (under huden) brug.
- Dosis af Wegovy er allerede indstillet på din pen.
- Nålen er dækket af nåldækslet, og nålen ses ikke.
- Fjern ikke pennehætten, før du er klar til at injicere.
- Rør ikke ved eller skub på nåledækslet. Du kan få en nålestokkeskade.
- Din Wegovy -injektion starter, når nåledækslet presses fast mod din hud.
- Gør ikke Fjern pennen fra din hud, før den gule stang i pennevinduet er stoppet med at bevæge sig. Medicinen kan vises på huden eller sprøjten fra nålen, og du får muligvis ikke din fulde dosis af Wegovy, hvis:
- pennen fjernes for tidligt eller
- Du har ikke presset pennen fast mod huden for hele injektionen.
- Hvis den gule bjælke ikke begynder at bevæge sig eller stopper under injektionen, skal du kontakte din sundhedsudbyder eller Novo Nordisk på startwegovy.com eller ringe til Novo Nordisk Inc. på 1-833-934-6891.
- Nåledækslet låses, når pennen fjernes fra din hud. Du kan ikke stoppe injektionen og genstarte den senere.
- Mennesker, der er blinde eller har synsproblemer, bør ikke bruge Wegovy -penen uden hjælp fra en person, der er trænet til at bruge WeGovy -penen.
Hvordan opbevarer jeg Wegovy?
- Opbevar den Wegovy -pen i køleskabet mellem 36 ° F til 46 ° C (2 ° C (2 ° C).
- Hvis det er nødvendigt, før du fjerner penhætten, kan Wegovy opbevares fra 46 ° F til 86 ° F (8 ° C (8 ° C) i den originale karton i op til 28 dage.
- Hold Wegovy i den originale karton for at beskytte den mod lys.
- Gør ikke freeze.
- Kast pennen, hvis Wegovy er frosset, er blevet udsat for lys eller temperaturer over 30 ° C (30 ° C) eller har været ude af køleskabet i 28 dage eller længere.
Hold Wegovy og alle medicin uden for børns rækkevidde.
Wegovy pen parts
Før brug efter brug
Sådan bruges din Wegovy -pen
Gør ikke use your Wegovy pen without receiving training from your healthcare provider. Sørg for, at du eller din plejer ved, hvordan du giver en injektion med pennen, inden du starter din behandling.
Læs og følg instruktionerne, så du bruger din Wegovy -pen korrekt:
Forberedelse
Trin 1. Forbered dig på din injektion.
- Forsyninger, du bliver nødt til at give din Wegovy -injektion:
- Wegovy pen
- 1 alkoholpinde eller sæbe og vand
- 1 gasbind eller bomuldskugle
- 1 Sharps engangsbeholder til brugte Wegovy -penne
- Vask hænder.
- Tjek din Wegovy -pen.
- Gør ikke use your Wegovy pen if:
- Pennen ser ud til at være blevet brugt, eller en del af pennen vises for eksempel brudt, hvis den er blevet droppet.
- WeGovy -medicinen er ikke klar og farveløs gennem pennevinduet.
- Udløbsdatoen (EXP) er gået.
Kontakt Novo Nordisk på 1-833-934-6891, hvis din Wegovy-pen mislykkes nogen af disse kontroller.
Trin 2.. Vælg dit injektionssted.
- Din sundhedsudbyder kan hjælpe dig med at vælge det injektionssted, der er bedst for dig
- Du kan injicere i dit overben (foran lårene) nedre mave (hold 2 tommer væk fra din maveknap) eller overarmen.
- Gør ikke inject into an area where the skin is tender bruised red eller hard. Avoid injecting into areas with scars eller stretch marks.
- Du kan injicere i det samme kropsområde hver uge, men sørg for, at det ikke er på samme sted hver gang.
Rengør injektionsstedet med en alkoholpind eller sæbe og vand. Rør ikke ved injektionsstedet efter rengøring. Lad huden tørre inden injektion.
Indsprøjtning
Trin 3. Fjern pennehætten.
- Træk pennen lige fra din pen.
Trin 4. Injicer Wegovy.
- Skub pennen fast mod din hud, og fortsæt med at anvende tryk, indtil den gule bjælke er stoppet med at bevæge sig.
- Hvis den gule bjælke ikke begynder at bevæge sig, skal du trykke mere fast mod din hud.
- Du vil høre 2 klik under injektionen.
- Klik på 1: Injektionen er startet.
- Klik på 2: Injektionen pågår.
- Hvis du har problemer med injektionen, skal du henvise til fejlfindingsafsnittet.
Smid pennen væk
Trin 5. Kast væk (bortskaffer) pen.
Bortskaf sikkert WeGovy -penen med det samme efter hver brug. Se Hvordan kaster jeg væk (bortskaffer) wegovy penne?
Hvad hvis blod vises efter injektion?
Hvis blod vises på injektionsstedet, tryk let på stedet med en gasbind eller bomuldskugle.
Fejlfinding
- Hvis du har problemer med at indsprøjte ændring til et mere fast injektionssted, såsom overben eller overarmen, eller overveje at stå op, mens du injicerer i den nedre mave.
- Hvis medicin vises på huden eller sprøjter fra nålen, skal du sørge for, at næste gang du injicerer for at fortsætte med at lægge tryk, indtil den gule bjælke er stoppet med at bevæge sig. Derefter kan du løfte pennen langsomt fra din hud.
Hvordan kaster jeg væk (bortskaffer) wegovy penne?
Læg den brugte Wegovy-pen i en FDA-Cleared Sharps bortskaffelsescontainer med det samme efter brug. Gør ikke throw away (dispose of) Pennen i dit husholdningspass.
Hvis du ikke har en FDA-Cleared Sharps bortskaffelsesbeholder, kan du bruge en husholdningscontainer, der er:
- lavet af en kraftig plastik
- i stand til at være lukket med et tæt passende punkteringsbestandigt låg uden at skarpe er i stand til at komme ud
- lodret og stabil under brug
- lækagebestandig og
- Korrekt mærket til at advare om farligt affald inde i beholderen.
Når din Sharps -bortskaffelsescontainer er næsten fuld, skal du følge dine samfundsretningslinjer for den rigtige måde at bortskaffe din Sharps Disposal Container. Der kan være statslige eller lokale love om, hvordan du skal smide brugte nåle og sprøjter. For mere information om Safe Sharps bortskaffelse og til specifikke Sharps -bortskaffelse i den tilstand, du bor i, skal du gå til FDAs websted på https://www.fda.gov/safesharpsdisposal.
- Gør ikke reuse the pen.
- Gør ikke recycle the pen eller sharps disposal container eller throw them into household trash.
Vigtig: Hold din WeGovy Pen Sharps bortskaffelsesbeholder og alle medicin uden for børns rækkevidde.
Hvordan holder jeg af min pen?
Beskyt din pen
- Gør ikke drop your pen eller knock it against hard surfaces.
- Gør ikke expose your pen to any liquids.
- Hvis du mener, at din pen muligvis er beskadiget, skal du ikke prøve at ordne den. Brug en ny.
- Hold pennekappen på, indtil du er klar til at injicere. Din pen vil ikke længere være steril, hvis du opbevarer en ubrugt pen uden hætten, hvis du trækker pennehætten af og lægger den på igen, eller hvis penhætten mangler. Dette kan føre til en infektion.
Hvis du har spørgsmål om Wegovy, skal du gå til StartWegovy.com eller ringe til Novo Nordisk Inc. på 1-833wegovy-1
Denne brugsanvisning er godkendt af U.S. Food and Drug Administration.