Oplysningerne På Webstedet Er Ikke Medicinsk Rådgivning. Vi Sælger Ikke Noget. Nøjagtigheden Af Oversættelsen Er Ikke Garanteret. Ansvarsfraskrivelse
Stimulanter
Provigil
Resume af lægemiddeloversigt
Hvad er provigil?
Provigil (modafinil) er et stimulerende middel, der er foreskrevet til at øge vågenheden hos patienter med overdreven søvnighed relateret til narkolepsi Skiftarbejde søvnforstyrrelse og obstruktiv søvnapnø / hypopnea syndrom.
Hvad er bivirkninger af provigil?
Almindelige bivirkninger af provigil er:
- hovedpine
- svimmelhed
- Infektion i øvre luftvejsinfektion
- kvalme
- diarre
- nervøsitet
- angst
- Agitation
- tør mund og
- Problemer med at sove (søvnløshed).
Fortæl din læge, hvis du oplever alvorlige bivirkninger af provigil inklusive:
- feber
- let blå mærker eller blødning
- Hallucinationer
- depression
- brystsmerter
- Hurtig/bankende/uregelmæssig hjerteslag eller
- Mental/humørændringer (såsom forvirring depression hallucinationer sjældne tanker om selvmord).
Dosering til provigil
Provigil dosering er 200 eller 400 mg dagligt.
Hvilke stoffer stoffer eller kosttilskud interagerer med provigil?
Provigil lægemiddelinteraktioner inkluderer cyclosporin ( Sandimmune ) Theophylline (TheO-24) Hormonelle prævention (for eksempel Micronor) Warfarin ( Coumadin ) Diazepam (Valium) propranolol ( Inderal ) efterligning (tofranil) desipramine ( Norpram ) Jeg phenticerede ( Dantin ) carbamazepin (tegretol) rifampin ( Reb ) Ketoconazol ( Nizoral ) og itraconazol ( Sportanox ).
Provigil under graviditet og amning
Provigil er ikke blevet undersøgt tilstrækkeligt hos gravide kvinder, og det er ukendt, om det udskilles i modermælk. Kontakt din læge inden amning.
Yderligere oplysninger
Vores Provigil Bivirkning Drug Center giver et omfattende overblik over tilgængelige lægemiddelinformation om de potentielle bivirkninger, når du tager denne medicin.
FDA -lægemiddelinformation
- Lægemiddelbeskrivelse
- Indikationer
- Bivirkninger
- Lægemiddelinteraktioner
- Advarsler
- Overdosis
- Klinisk farmakologi
- Medicin vejledning
Beskrivelse for provigil
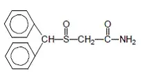
Provigil (Modafinil) er et vågenhedsfremmende middel til oral administration. Modafinil er en racemisk forbindelse. Det kemiske navn for modafinil er 2-[(diphenylmethyl) sulfinyl] acetamid. Den molekylære formel er C 15 H 15 INGEN 2 S og molekylvægten er 273,35.
Den kemiske struktur er:
|
Modafinil er en hvid til off-white krystallinsk pulver, der praktisk talt er uopløselig i vand og cyclohexan. Det er sparsomt til lidt opløseligt i methanol og acetone.
Provigil -tabletter indeholder 100 mg eller 200 mg modafinil og følgende inaktive ingredienser: croscarmellose natriumlactose monohydrat magnesiumstearat mikrokrystallinsk cellulosepovidon og pregelatiniseret stivelse.
Anvendelser til provigil
Provigil er indikeret for at forbedre vågenhed hos voksne patienter med overdreven søvnighed forbundet med narkolepsi -obstruktiv søvnapnø (OSA) eller skiftarbejde (SWD).
Begrænsninger af brug
I OSA er Provigil indikeret at behandle overdreven søvnighed og ikke som behandling af den underliggende hindring. Hvis kontinuerligt positivt luftvejstryk (CPAP) er den valgte behandling for en patient, skal en maksimal indsats for at behandle med CPAP i en passende periode foretages, inden den indledes og under behandling med Provigil for overdreven søvnighed.
Dosering til provigil
Dosering i narkolepsi og obstruktiv søvnapnø (OSA)
Den anbefalede dosering af provigil til patienter med narkolepsi eller OSA er 200 mg taget oralt en gang om dagen som en enkelt dosis om morgenen.
Doser op til 400 mg/dag, der er givet som en enkelt dosis, er blevet godt tolereret, men der er ingen konsekvent bevis for, at denne dosis giver yderligere fordel ud over den i 200 mg/dagdosis [se Klinisk farmakologi og Kliniske studier ].
Dosering i Shift Work Disorder (SWD)
Den anbefalede dosering af Provigil til patienter med SWD er 200 mg taget oralt en gang om dagen som en enkelt dosis ca. 1 time før starten af deres arbejdsskift.
Doseringsændringer hos patienter med alvorlig nedsat leverfunktion
Hos patienter med alvorlig nedsættelse af leveren skal doseringen af provigil reduceres til halvdelen af det, der er anbefalet til patienter med normal leverfunktion [se Brug i specifikke populationer og Klinisk farmakologi ].
Brug hos geriatriske patienter
Der skal tages hensyn til brugen af lavere doser og tæt overvågning hos geriatriske patienter [se Brug i specifikke populationer ].
Hvor leveret
Doseringsformularer og styrker
- 100 mg - kapselformet hvid til off -hvid tablet, der blev udpeget med provigil på den ene side og 100 mg på den anden.
- 200 mg - kapselformet hvid til off -hvid scorede tablet, der blev afbosset med provigil på den ene side og 200 mg på den anden.
Opbevaring og håndtering
Provigil ® (modafinil) tabletter er tilgængelige som følger:
100 mg
Hver kapselformet hvid til off den hvide tablet er udslettet med provigil på den ene side og 100 mg på den anden.
NDC 63459-101-30-flasker på 30
200 mg
Hver kapselformet hvid til off-hvid scoret tablet er afbosset med provigil på den ene side og 200 mg på den anden.
NDC 63459-201-30-flasker på 30
bivirkninger af Xanax hos ældre
Opbevaring
Opbevares ved 20 ° -25 ° C (68 ° -77 ° F).
Fremstillet til: Teva Pharmaceuticals Parsippany NJ 07054. Revideret: Dec 2022.
Bivirkninger for Provigil
Følgende alvorlige bivirkninger er beskrevet andetsteds i mærkningen:
- Alvorligt udslæt inklusive Stevens-Johnson syndrom [se Advarsler og forholdsregler ]
- Angioødem og anafylaksiske reaktioner [se Advarsler og forholdsregler ]
- Multi-organisationsoverfølsomhedsreaktioner [se Advarsler og forholdsregler ]
- Vedvarende søvnighed [se Advarsler og forholdsregler ]
- Psykiatriske symptomer [se Advarsler og forholdsregler ]
- Effekter på evnen til at drive og bruge maskiner [se Advarsler og forholdsregler ]
- Kardiovaskulære begivenheder [se Advarsler og forholdsregler ]
Kliniske forsøg oplever
Fordi kliniske forsøg udføres under vidt forskellige tilstande, kan der ikke sammenlignes bivirkninger, der er observeret i de kliniske forsøg med et lægemiddel, ikke direkte med hastigheder i de kliniske forsøg med et andet lægemiddel og muligvis ikke afspejler de satser, der er observeret i praksis.
Provigil has been evaluated for safety in over 3500 patients of whom more than 2000 patients with excessive sleepiness associated with Del SWD og narkolepsi.
Mest almindelige bivirkninger
I placebo-kontrollerede kliniske forsøg var de mest almindelige bivirkninger (≥ 5%) forbundet med brugen af Provigil oftere end placebo-behandlede patienter hovedpine kvalme nervøsitet rhinitis diarré rygsmerter angst søvnløshed svimmelhed og dyspepsi. Den bivirkningsprofil var ens på tværs af disse undersøgelser.
Tabel 1 viser de bivirkninger, der opstod med en hastighed på 1% eller mere og var hyppigere hos provigil-behandlede patienter end hos placebo-behandlede patienter i de placebokontrollerede kliniske forsøg.
Tabel 1: Bivirkninger i samlede placebokontrollerede forsøg* i narkolepsi OSA og SWD
| Provigil (%) (n = 934) | Placebo (%) (n = 567) | |
| Hovedpine | 34 | 23 |
| Kvalme | 11 | 3 |
| Nervøsitet | 7 | 3 |
| Rhinitis | 7 | 6 |
| Rygsmerter | 6 | 5 |
| Diarre | 6 | 5 |
| Angst | 5 | 1 |
| Svimmelhed | 5 | 4 |
| Dyspepsi | 5 | 4 |
| Søvnløshed | 5 | 1 |
| Anorexia | 4 | 1 |
| Tør mund | 4 | 2 |
| Pharyngitis | 4 | 2 |
| Brystsmerter | 3 | 1 |
| Hypertension | 3 | 1 |
| Unormal leverfunktion | 2 | 1 |
| Forstoppelse | 2 | 1 |
| Depression | 2 | 1 |
| Palpitation | 2 | 1 |
| Paræstesi | 2 | 0 |
| Somnolence | 2 | 1 |
| Takykardi | 2 | 1 |
| Vasodilatation | 2 | 0 |
| Unormal vision | 1 | 0 |
| Agitation | 1 | 0 |
| Astma | 1 | 0 |
| Kulderystelser | 1 | 0 |
| Forvirring | 1 | 0 |
| Dyskinesi | 1 | 0 |
| Ødemer | 1 | 0 |
| Følelsesmæssig labilitet | 1 | 0 |
| Eosinophilia | 1 | 0 |
| Epistaxis | 1 | 0 |
| Flatulens | 1 | 0 |
| Hyperkinesi | 1 | 0 |
| Hypertension | 1 | 0 |
| Mundsår | 1 | 0 |
| Sved | 1 | 0 |
| Smag perversion | 1 | 0 |
| Tørst | 1 | 0 |
| Rysten | 1 | 0 |
| Urin abnormitet | 1 | 0 |
| Vertigo | 1 | 0 |
| *Bivirkninger, der opstod hos ≥ 1% af de provigil-behandlede patienter (enten 200 300 eller 400 mg en gang dagligt) og større forekomst end placebo |
Dosisafhængige bivirkninger
I de placebo-kontrollerede kliniske forsøg, der sammenlignede doser på 200 300 og 400 mg/dag af Provigil og placebo, var følgende bivirkninger dosisrelateret: hovedpine og angst.
Bivirkninger, der resulterer i ophør med behandlingen
I placebo-kontrollerede kliniske forsøg 74 af de 934 patienter (8%), der modtog Provigil, ophørte på grund af en bivirkning sammenlignet med 3% af patienterne, der modtog placebo.
De hyppigste grunde til seponering, der opstod med en højere hastighed for provigil end placebo -patienter, var hovedpine (2%) kvalme angst svimmelhed søvnløshed i brystet og nervøsitet (hver <1%).
Laboratorie abnormiteter
Klinisk kemi -hæmatologi og urinalyseparametre blev overvåget i undersøgelserne.
Gennemsnitlige plasmaniveauer af gamma glutamyltransferase (GGT) og alkalisk phosphatase (AP) viste sig at være højere efter administration af provigil, men ikke placebo. Få patienter havde imidlertid GGT- eller AP -højder uden for det normale interval. Skift til højere, men ikke klinisk signifikant unormale GGT- og AP-værdier syntes at stige med tiden i befolkningen behandlet med provigil i de placebokontrollerede kliniske forsøg. Ingen forskelle var synlige i alaninaminotransferase (ALT) aspartataminotransferase (AST) total proteinalbumin eller total bilirubin.
Oplevelse af postmarketing
Følgende bivirkninger er blevet identificeret under anvendelse af Provigil efter godkendelse. Fordi disse reaktioner rapporteres frivilligt fra en population af usikker størrelse, er det ikke altid muligt at pålideligt estimere deres frekvens eller etablere et årsagsforhold til eksponering for lægemidler.
Hæmatologisk: Agranulococytisis
Psykiatriske lidelser: Psykomotorisk hyperaktivitet
Lægemiddelinteraktioner for Provigil
Effekter af provigil på CYP3A4/5 -underlag
Clearance af medikamenter, der er substrater til CYP3A4/5 (f.eks. Steroidale præventionsmidler, cyclosporin midazolam og triazolam) kan øges med provigil via induktion af metaboliske enzymer, hvilket resulterer i lavere systemisk eksponering. Doseringsjustering af disse lægemidler skal overvejes, når disse lægemidler bruges samtidig med Provigil [se Klinisk farmakologi ].
Effektiviteten af steroidale prævention kan reduceres, når de bruges med provigil og i en måned efter seponering af terapi. Alternative eller samtidige metoder til prævention anbefales til patienter, der tager steroide prævention (f.eks. Ethinyløstradiol), når de behandles samtidigt med provigil og i en måned efter seponering af Provigil -behandlingen.
Blodniveauer af cyclosporin kan reduceres, når det bruges sammen med Provigil. Overvågning af cirkulerende cyclosporinkoncentrationer og passende doseringsjustering for cyclosporin bør overvejes, når det anvendes samtidig med Provigil.
Effekter af provigil på CYP2C19 -underlag
Eliminering af medikamenter, der er substrater til CYP2C19 (f.eks. Phenytoin diazepam propranolol omeprazol og clomipramin) kan blive forlænget af provigil via inhibering af metaboliske enzymer med resulterende højere systemisk eksponering. Hos individer, der mangelfulde i CYP2D6-enzymet, niveauerne af CYP2D6-substrater, der har supplerende elimineringsveje gennem CYP2C19, såsom tricykliske antidepressiva og selektive serotonin-genoptagelsesinhibitorer, kan øges ved samarbejdet. Dosisjusteringer af disse lægemidler og andre lægemidler, der er underlag til CYP2C19, kan være nødvendige, når de bruges samtidig med provigil [se Klinisk farmakologi ].
Warfarin
Hyppigere overvågning af protrombin gange/INR skal overvejes, når Provigil er coadministreret med warfarin [se Klinisk farmakologi ].
Monoaminoxidase (MAO) hæmmere
Der skal anvendes forsigtighed, når man samtidig administrerer MAO -hæmmere og provigil.
Stofmisbrug og afhængighed
Kontrolleret stof
Provigil contains Modafinil a Schedule IV controlled substance.
Misbrug
Hos mennesker producerer modafinil psykoaktive og euforiske effekter ændringer i humøropfattelsestænkning og følelser, der er typiske for andre CNS -stimulanter. I In vitro Bindende undersøgelser Modafinil binder til dopamin -genoptagelsesstedet og forårsager en stigning i ekstracellulær dopamin, men ingen stigning i dopaminfrigivelse. Modafinil forstærker som det fremgår af dens selvadministration i aber, der tidligere var uddannet til selvadministrator kokain. I nogle undersøgelser blev modafinil også delvist diskrimineret som stimulant-lignende. Læger skal følge patienter nøje, især dem med en historie med stof og/eller stimulant (f.eks. Methylphenidat amfetamin eller kokain) misbrug. Patienter skal observeres for tegn på misbrug eller misbrug (f.eks. Forøgelse af doser eller lægemiddel-søgende adfærd).
Misbrugspotentialet for Modafinil (200 400 og 800 mg) blev vurderet i forhold til methylphenidat (45 og 90 mg) i en ambulant undersøgelse hos individer, der blev oplevet med misbrugsmedicin. Resultater fra denne kliniske undersøgelse demonstrerede, at modafinil producerede psykoaktive og euforiske virkninger og følelser, der var i overensstemmelse med andre planlagte CNS -stimulanter (methylphenidat).
Afhængighed
I en placebokontrolleret klinisk forsøg blev virkningerne af modafinil-tilbagetrækning overvåget efter 9 ugers modafinil-anvendelse. Der blev ikke rapporteret om abstinenssymptomer med modafinil i løbet af 14 dages observation, skønt søvnighed vendte tilbage hos narcoleptiske patienter.
Advarsler for Provigil
Inkluderet som en del af 'FORHOLDSREGLER' Afsnit
Forholdsregler for Provigil
Alvorligt udslæt inklusive Stevens-Johnson syndrom
Der er rapporteret om alvorlig udslæt, der kræver indlæggelse og seponering af behandlingen, i forbindelse med brugen af modafinil.
I kliniske forsøg med modafinil var forekomsten af udslæt, hvilket resulterede i ophør, ca. 0,8% (13 pr. 1585) hos pædiatriske patienter (alder <17 years); these rashes included 1 case of possible Stevens-Johnson Syndrome (SJS) og 1 case of apparent multi-organ hypersensitivity reaction.
Flere af tilfældene var forbundet med feber og andre abnormiteter (f.eks. Opkast leukopeni). Den median tid til udslæt, der resulterede i seponering, var 13 dage. Der blev ikke observeret sådanne tilfælde blandt 380 pædiatriske patienter, der modtog placebo. Provigil er ikke godkendt til brug hos pædiatriske patienter til nogen indikation [se Brug i specifikke populationer ].
Sjældne tilfælde af alvorlige eller livstruende udslæt, inklusive SJS-giftig epidermal nekrolyse (ti) og medikamentudslæt med eosinophilia og systemiske symptomer (kjole), er rapporteret hos voksne og børn i verdensomspændende eftermarkedsoplevelse. Rapporteringsgraden på ti og SJ'er, der er forbundet med modafinil -brug, som generelt accepteres at være en undervurdering på grund af underrapportering, overstiger baggrundshastigheden. Estimater af baggrundsforekomsten for disse alvorlige hudreaktioner i den generelle befolkning ligger mellem 1 til 2 tilfælde pr. Million-person år.
Der er ingen faktorer, der vides at forudsige risikoen for forekomst eller sværhedsgraden af udslæt, der er forbundet med Provigil. Næsten alle tilfælde af alvorligt udslæt forbundet med modafinil forekom inden for 1 til 5 uger efter behandlingsinitiering. Imidlertid er der rapporteret om isolerede tilfælde efter langvarig behandling (f.eks. 3 måneder). Følgelig kan behandlingsvarigheden ikke påberåbes som et middel til at forudsige den potentielle risiko, der er indberettet af det første udseende af et udslæt.
Selvom godartede udslæt også forekommer med Provigil, er det ikke muligt at forudsige pålideligt, hvilke udslæt der vil vise sig at være alvorlige. I overensstemmelse hermed bør provigil afbrydes ved det første tegn på udslæt, medmindre udslæt tydeligvis ikke er lægemiddelrelateret. Afbrydelse af behandlingen forhindrer muligvis ikke, at udslæt bliver livstruende eller permanent deaktivering eller vanvittig.
asien rygsækrejse
Angioødem og anafylaksiske reaktioner
Angioødem og overfølsomhed (med udslæt dysfagi og bronchospasme) blev observeret hos patienter behandlet med armmodafinil r enantiomeren af modafinil (som er den racemiske blanding).
Der blev ikke observeret sådanne tilfælde i Modafinil -kliniske forsøg. Imidlertid er angioødem rapporteret i postmarketing -erfaring med Modafinil. Patienter skal rådes til at afbryde terapi og straks rapportere til deres læge eventuelle tegn eller symptomer, der antyder angioødem eller anafylaksi (f.eks. Hævelse af ansigt øjne læber tunge eller larynx; vanskeligheder med at sluge eller trække vejret; heshed).
Multi-organisationsoverfølsomhedsreaktioner
Multi-organisationsoverfølsomhedsreaktioner, herunder mindst en dødelighed i eftermarkedsføringsoplevelsen, er forekommet i tæt tidsmæssig tilknytning (mediantid til detektion 13 dage: område 4-33) til initiering af modafinil.
Selvom der har været et begrænset antal rapporter på multi-organ-overfølsomhedsreaktioner, kan det resultere i hospitalisering eller være livstruende. Der er ingen faktorer, der er kendt for at forudsige risikoen for forekomst eller sværhedsgraden af multi-organisationsoverfølsomhedsreaktioner. Tegn og symptomer på denne lidelse var forskellige; Imidlertid præsenteres patienter typisk ikke udelukkende med feber og udslæt, der er forbundet med andet organdsysteminddragelse. Andre tilknyttede manifestationer inkluderede myocarditis hepatitis leverfunktionstest abnormaliteter hæmatologiske abnormaliteter (f.eks. Eosinophilia leukopenia thrombocytopeni) kløe og astheni. Fordi multi-organ-overfølsomhed er variabel i sit udtryk andre organsystemsymptomer og tegn, der ikke er nævnt her, kan forekomme.
Hvis der er mistanke om en multi-organ-overfølsomhedsreaktion, bør der mistænkes, at der skal afbrudt. Selvom der ikke er nogen sagsrapporter for at indikere tværsensitivitet med andre lægemidler, der producerer dette syndrom, ville oplevelsen med lægemidler, der er forbundet med multi-organ-overfølsomhed, indikere, at dette er en mulighed.
Vedvarende søvnighed
Patienter med unormale niveauer af søvnighed, der tager Provigil, skal rådes om, at deres niveau af vågenhed muligvis ikke vender tilbage til det normale. Patienter med overdreven søvnighed inklusive dem, der tager Provigil, bør ofte revurderes for deres grad af søvnighed og omtalt rådes til at undgå at køre eller anden potentielt farlig aktivitet. Rekressører bør også være opmærksomme på, at patienter muligvis ikke anerkender søvnighed eller døsighed, før de direkte stilles spørgsmålstegn ved døsighed eller søvnighed under specifikke aktiviteter.
Psykiatriske symptomer
Psykiatriske bivirkninger er rapporteret hos patienter behandlet med modafinil.
I de voksne provigil kontrollerede forsøg psykiatriske symptomer, der resulterede i seponering af behandlingen (ved en frekvens ≥0,3%) og rapporterede oftere hos patienter behandlet med Provigil sammenlignet med dem, der blev behandlet med placebo, var angst (1%) nervøsitet (1%) søvnløshed ( <1%) forvirring ( <1%) Agitation ( <1%) og depression ( <1%).
Postmarkedsføring af bivirkninger, der er forbundet med brugen af modafinil, har inkluderet Mania -vrangforestillinger Hallucinationer Selvmordstanker og aggression nogle resulterede i indlæggelse.
Mange, men ikke alle patienter havde en tidligere psykiatrisk historie. En sund mandlig frivillig udviklede ideer om referenceparanoide vrangforestillinger og auditive hallucinationer i forbindelse med flere daglige 600 mg doser af provigil (tre gange den anbefalede dosis) og søvnmangel.
Der var ingen bevis for psykose 36 timer efter ophør med lægemidlet.
Der skal udvises forsigtighed, når der gives provigil til patienter med en historie med psykosepression eller mani. Der skal tages hensyn til den mulige fremkomst eller forværring af psykiatriske symptomer hos patienter behandlet med Provigil. Hvis psykiatriske symptomer udvikler sig i forbindelse med Provigil -administration, overvej at afbryde Provigil.
Effekter på evnen til at drive og bruge maskineri
Selvom Provigil ikke har vist sig at producere funktionsnedsættelse, kan ethvert lægemiddel, der påvirker CNS, ændre domstænkning eller motoriske færdigheder. Patienter skal advares om at betjene en bil eller andet farligt maskineri, indtil det er rimeligt sikkert, at Provigil -terapi ikke vil have negativ indflydelse på deres evne til at deltage i sådanne aktiviteter.
Kardiovaskulære begivenheder
I modafinil-kliniske undersøgelser af kardiovaskulære bivirkninger, herunder håndtering af brystsmerter, forekommer dyspnø og kortvarig iskæmisk T-bølgeændringer på EKG i tre individer i forbindelse med mitralventilprolaps eller venstre ventrikulær hypertrofi. I et canadisk klinisk forsøg oplevede en 35 år gammel overvægtig narcoleptisk mand med en tidligere historie med synkopale episoder en 9-sekunders episode af asystol efter 27 dages modafinil-behandling (300 mg/dag i opdelte doser). Provigil anbefales ikke hos patienter med en historie med venstre ventrikulær hypertrofi eller hos patienter med mitralventilprolaps, der har oplevet mitralventilprolapssyndromet, når de tidligere modtog CNS -stimulanter. Resultater, der tyder på mitralventilprolaps -syndrom, inkluderer, men er ikke begrænset til iskæmiske EKG -ændringer brystsmerter eller arytmi. Hvis der forekommer en ny begyndelse af nogen af disse fund, skal du overveje hjerteevaluering. Overvej øget overvågning hos patienter med en nylig historie med myokardieinfarkt eller ustabil angina.
Overvågning af blodtryk på kort sigt (≤ 3 måneder) kontrollerede forsøg viste ingen klinisk signifikante ændringer i gennemsnitlig systolisk og diastolisk blodtryk hos patienter, der fik Provigil sammenlignet med placebo. En retrospektiv analyse af brugen af antihypertensiv medicin i disse undersøgelser viste imidlertid, at en større andel af patienterne på Provigil krævede ny eller øget anvendelse af antihypertensive medicin (NULL,4%) sammenlignet med patienter på placebo (NULL,7%). Den differentielle anvendelse var lidt større, når kun undersøgelser i OSA blev inkluderet med 3,4% af patienterne på Provigil og 1,1% af patienterne på placebo, der krævede sådanne ændringer i brugen af antihypertensiv medicin. Øget overvågning af hjerterytme og blodtryk kan være passende hos patienter på provigil. Der skal udvises forsigtighed, når man ordinerer Provigil til patienter med kendt hjerte -kar -sygdom.
Oplysninger om patientrådgivning
Rådgiv patienten om at læse den FDA-godkendte patientmærkning ( Medicin vejledning ).
Allergiske reaktioner
Rådgive patienter om at stoppe med at tage Provigil og til at underrette deres læge med det samme, hvis de udvikler et udslæt bikuber mundsår, der skræller hudproblemer, der sluger eller vejrtrækninger eller et beslægtet allergisk fænomen.
Kørsel og farlige aktiviteter
Rådgiver patienter om ikke at ændre deres tidligere opførsel med hensyn til potentielt farlige aktiviteter (f.eks. Drivende driftsmaskiner) eller andre aktiviteter, der kræver passende niveauer af vågenhed, indtil og medmindre behandling med Provigil har vist sig at producere niveauer af vågenhed, der tillader sådanne aktiviteter. Rådgiv patienter om, at Provigil ikke er en erstatning for søvn.
Fortsat tidligere foreskrevne behandlinger
Informer patienter om, at det kan være kritisk, at de fortsat tager deres tidligere foreskrevne behandlinger (f.eks. Patienter med OSA, der modtager CPAP, bør fortsat gøre det).
At afbryde lægemiddel på grund af bivirkninger
Rådgive patienter om at stoppe med at tage provigil og kontakte deres læge med det samme, hvis de oplever brystsmerter udslæt depression angst eller tegn på psykose eller mani.
Graviditet
Rådgive patienter om at underrette deres læge, hvis de bliver gravide eller har til hensigt at blive gravide under terapi. FORSIGTIG Patienter vedrørende den potentielle øgede risiko for graviditet, når de bruger steroidale prævention (inklusive depot eller implanterbare prævention) med provigil og i en måned efter seponering af terapi.
Sygepleje
Rådgive patienter om at underrette deres læge, hvis de ammer et spædbarn.
Samtidig medicin
Rådgiv patienter om at informere deres læge, hvis de tager eller planlægger at tage nogen recept eller over-tæller medicin på grund af potentialet for interaktioner mellem provigil og andre lægemidler.
Alkohol
Rådgive patienter om, at brugen af provigil i kombination med alkohol ikke er undersøgt. Rådgiv patienter om, at det er forsigtigt at undgå alkohol, mens de tager provigil.
Ikke -klinisk toksikologi
Karcinogenese mutagenese nedskrivning af fertilitet
Carcinogenese
Karcinogenicitetsundersøgelser blev udført, hvor modafinil (en blanding af R- og S-modafinil) blev administreret i kosten til mus i 78 uger og til rotter i 104 uger i doser på 6 30 og 60 mg/kg/dag. De højeste doser, der blev undersøgt, var forbundet med plasmamodafinil -eksponeringer (AUC) mindre end hos mennesker ved den anbefalede humane dosis (RHD) af Provigil (200 mg/dag). Der var ingen tegn på tumorigenese forbundet med modafinil -administration i disse undersøgelser. Musundersøgelsen var imidlertid utilstrækkelig, fordi den høje dosis ikke var en maksimal tolereret dosis (MTD). I en musekarcinogenicitetsundersøgelse, hvor armmodafinil (R-enantiomeren af modafinil) blev administreret ved orale doser på op til 300 mg/kg/dag hos mænd og 100 mg/kg/dag hos kvinder i ca. 2 år blev der ikke observeret nogen tumorigeniske effekter. De højeste doser, der blev undersøgt, som blev betragtet som MTD'er, var forbundet med plasma -armmodafinil -eksponeringer mindre end (hunner) eller 2 gange (mænd), der hos mennesker ved Rhd of Provigil.
Mutagenese
Modafinil var negativ i en serie af In vitro (dvs. bakteriel omvendt mutation muselymfom TK -kromosomal afvigelse i humane lymfocytter celletransformation i BALB/3T3 musembryo -celler) eller forgæves (Mus knoglemarv mikronukleus) Assays.
Værdiforringelse af fertiliteten
Oral administration af modafinil (doser på op til 480 mg/kg/dag) til mandlige og kvindelige rotter før og gennem parring og fortsat i kvinder gennem dag 7 af drægtighed producerede en stigning i tiden til at parre sig i den højeste dosis; Der blev ikke observeret nogen effekter på andre fertilitets- eller reproduktionsparametre. Dosis uden virkning på 240 mg/kg/dag var forbundet med en plasmamodafinil AUC mindre end hos mennesker ved Provigil Rhd.
Brug i specifikke populationer
Graviditet
Graviditet Category C
There are no adequate and well-controlled studies of modafinil in pregnant women. Intrauterine growth restriction and spontaneous abortion have been reported in association with modafinil (a mixture of R- and S-modafinil) and armodafinil (the R-enantiomer of modafinil). Although the pharmacology of modafinil is not identical to that of the sympathomimetic amines it does share some pharmacologic properties with this class. Certain of these drugs have been associated with intrauterine growth restriction and spontaneous abortions. Whether the cases reported with modafinil are drug-related is unknown. In studies of modafinil and armodafinil conducted in rats (modafinil armodafinil) and rabbits (modafinil) developmental toxicity was observed at clinically relevant plasma exposures. PROVIGIL should be used during pregnancy only if the potential benefit justifies the potential risk to the fetus.
Modafinil (50 100 eller 200 mg/kg/dag) indgivet oralt til gravide rotter i hele organogenese forårsaget i fravær af mødre -toksicitet en stigning i resorptioner og en øget forekomst af viscerale og skeletvariationer i afkom ved den højeste dosis testede.
Den højere dosis uden virkning til embryofetal udviklingstoksicitet hos rotter (100 mg/kg/dag) var forbundet med en plasmamodafinil AUC mindre end hos mennesker ved den anbefalede humane dosis (RHD) af Provigil (200 mg/dag). I en efterfølgende undersøgelse af op til 480 mg/kg/dag med modafinil blev der imidlertid ikke observeret nogen bivirkninger på embryofetaludvikling. Oral administration af armmodafinil (60 200 eller 600 mg/kg/dag) til gravide rotter i hele organogenese resulterede i øgede forekomster af føtal viscerale og knoglelevariationer og nedsat føtal kropsvægt i den højeste dosis testet. Den højeste dosis uden virkning til embryofetal udviklingstoksicitet hos rotter (200 mg/kg/dag) var forbundet med en plasmaarmmodafinil AUC mindre end den hos mennesker ved Provigil Rhd.
Modafinil administreret oralt til gravide kaniner i hele organogenese i doser på op til 100 mg/kg/dag havde ingen indflydelse på embryofetaludvikling; Imidlertid var de anvendte doser for lave til tilstrækkeligt at vurdere virkningerne af modafinil på embryofetaludvikling. I en efterfølgende udvikling af toksicitetstoksicitet, der vurderede doser på 45 90 og 180 mg/kg/dag i gravide kaniner, blev forekomsten af føtal strukturelle ændringer og embryofetaldød forøget i den højeste dosis. Den højeste dosis uden virkning til udviklingstoksicitet (100 mg/kg/dag) var forbundet med en plasmamodafinil AUC svarende til den hos mennesker ved Rhd of Provigil.
Modafinil -administration til rotter i hele drægtighed og amning ved orale doser på op til 200 mg/kg/dag resulterede i nedsat levedygtighed i afkomene ved doser større end 20 mg/kg/dag en dosis, hvilket resulterede i en plasmamodafinil AUC mindre end hos mennesker ved Rhd af beviset.
Der blev ikke observeret nogen effekter på postnatal udviklings- og neurobehaviorale parametre i overlevende afkom.
Graviditet Registry
Der er oprettet et graviditetsregister for at indsamle information om graviditetsresultaterne af kvinder, der udsættes for Provigil. Udbydere af sundhedsydelser opfordres til at registrere gravide patienter eller gravide kvinder kan tilmelde sig i registreringsdatabasen ved at ringe til 1-866-404-4106 (gratis).
Sygepleje Mothers
Det vides ikke, om modafinil eller dens metabolitter udskilles i human mælk. Fordi mange lægemidler udskilles i menneskelig mælkeforsyning bør udøves, når der administreres provigil til en sygeplejekvinde.
Pædiatrisk brug
Sikkerhed og effektivitet hos pædiatriske patienter er ikke etableret. Provigil er ikke godkendt i denne befolkning for nogen indikation.
Alvorlige hududslæt inklusive erythema multiforme major (EMM) og Stevens-Johnson syndrom (SJS) er blevet forbundet med modafinil-brug hos pædiatriske patienter [se Advarsler og forholdsregler ].
I en kontrolleret 6-ugers undersøgelse blev 165 pædiatriske patienter (5-17 år) med narkolepsi behandlet med modafinil (n = 123) eller placebo (n = 42). Der var ingen statistisk signifikante forskelle, der favoriserede modafinil i forhold til placebo i forlængelse af søvn latenstid målt ved MSLT eller i opfattelsen af søvnighed som bestemt af den kliniske globale indtrykskliniker skala (CGI-C).
I de kontrollerede og åbne mærket kliniske undersøgelser af kliniske undersøgelser inkluderede nye bivirkninger af det psykiatriske og nervesystem Tourettes syndrom søvnløshed for øget kataplexi øgede hypnagogiske hallucinationer og selvmordstanker. Forbigående leukopeni, der blev besluttet uden medicinsk indgriben, blev også observeret. I den kontrollerede kliniske undersøgelse oplevede 3 af 38 piger i alderen 12 år eller ældre behandlet med Modafinil dysmenorrhea sammenlignet med 0 af 10 piger, der modtog placebo.
Der var tre 7 til 9 ugers dobbeltblind placebokontrollerede parallelle gruppestudier hos børn og unge (i alderen 6-17 år) med opmærksomhedsunderskud hyperaktivitetsforstyrrelse (ADHD). To af undersøgelserne var fleksible dosisundersøgelser (op til 425 mg/dag), og den tredje var en fast dosisundersøgelse (340 mg/dag for patienter <30 kg og 425 mg/day for patients ≥30 kg). Although these studies showed statistically significant differences favoring Modafinil over placebo in reducing ADHD symptoms as measured by the ADHD-RS (school version) there were 3 cases of serious rash including one case of possible SJS among 933 patients exposed to Modafinil in this program. Modafinil is not approved for use in treating ADHD.
Geriatrisk brug
I kliniske forsøg på et begrænset antal modafinil-behandlede patienter, der var større end 65 år, viste en forekomst af bivirkninger, der ligner andre aldersgrupper. Hos ældre patienter kan eliminering af modafinil og dens metabolitter reduceres som en konsekvens af aldring. Derfor bør der tages hensyn til brugen af lavere doser og tæt overvågning i denne population [se Dosering og administration og Klinisk farmakologi ].
Leverskrivning i leveren
Hos patienter med alvorlig levering af leveren skal dosis af provigil reduceres til halvdelen af det, der er anbefalet til patienter med normal leverfunktion [se Dosering og administration og Klinisk farmakologi ].
Overdoseringsoplysninger til Provigil
I kliniske forsøg i alt 151 protokolspecificerede doser, der spænder fra 1000 til 1600 mg/dag (5 til 8 gange den anbefalede daglige dosis af Provigil), er blevet administreret til 32 forsøgspersoner inklusive 13 forsøgspersoner, der modtog doser på 1000 eller 1200 mg/dag i 7 til 21 på hinanden følgende dage.
Derudover forekom flere forsætlige akutte overdoser; De to største er 4500 mg og 4000 mg taget af to forsøgspersoner, der deltager i udenlandske depressionstudier. Ingen af disse undersøgelsesemner oplevede nogen uventede eller livstruende effekter. Bivirkninger, der blev rapporteret i disse doser, omfattede excitation eller agitation søvnløshed og lette eller moderate højder i hæmodynamiske parametre. Andre observerede højdosiseffekter i kliniske studier har inkluderet angstirritabilitet Aggressivitet Forvirring Nervøsitet Forstyrrelser Palpitations Sleep Forstyrrelser kvalme diarré og nedsat protrombintid.
Fra eftermarkedsføringserfaring har der været rapporter om dødelige overdoser, der involverer modafinil alene eller i kombination med andre lægemidler. Symptomer oftest ledsager Provigil
overdosis alene eller i kombination med andre lægemidler har inkluderet søvnløshed; Symptomer til centralnervesystemer såsom rastløshed Desorientering forvirring Agitation angst excitation og hallucination; Fordøjelsesændringer såsom kvalme og diarré; og kardiovaskulære ændringer såsom takykardi bradykardi hypertension og brystsmerter.
Tilfælde af utilsigtet indtagelse/overdosis er rapporteret hos børn så unge som 11 måneders alder. Den højest rapporterede utilsigtede indtagelse på mg/kg-basis forekom i en tre år gammel dreng, der indtog 800-1000 mg (50-63 mg/kg) Provigil. Barnet forblev stabilt. Symptomerne forbundet med overdosering hos børn svarede til dem, der blev observeret hos voksne.
Der findes ingen specifik modgift for de giftige virkninger af en provigil overdosis. Sådanne overdoser bør styres med primært understøttende pleje inklusive hjerte -kar -overvågning.
Kontraindikationer for provigil
Provigil is contraindicated in patients with known hypersensitivity to Modafinil or arModafinil or its inactive ingredients [see Advarsler og forholdsregler ].
Bivirkninger af Actos 15 mg
Klinisk farmakologi for Provigil
Handlingsmekanisme
Mekanismen / mekanismene, hvorigennem modafinil fremmer vågenhed er ukendt. Modafinil har wakepromotering af handlinger, der ligner sympatomimetiske midler, herunder amfetamin og methylphenidat, selvom den farmakologiske profil ikke er identisk med de sympatomimetiske aminer.
Modafinil-induceret vågenhed kan svækkes af den A1-adrenerg receptorantagonist-prazosin; Modafinil er dog inaktiv i andre In vitro Assay-systemer, der er kendt for at være lydhøre over for A-adrenergiske agonister, såsom rotte-vas deferens-forberedelsen.
Modafinil er ikke en direkte eller indirekte virkende dopaminreceptoragonist. Imidlertid In vitro Modafinil binder til dopamintransportøren og hæmmer dopaminoptagelse. Denne aktivitet er blevet forbundet forgæves med øgede ekstracellulære dopaminniveauer i nogle hjerneområder af dyr.
I genetisk konstruerede mus manglede modafinil dopamintransportøren (DAT) modafinil, hvilket antydede, at denne aktivitet var DAT-afhængig. Imidlertid blev de vågnefremmende virkninger af modafinil i modsætning til amfetamin ikke modsat af dopaminreceptorantagonist-haloperidolen hos rotter. Derudover blokerer alfa-methyl-P-tyrosin A dopaminsynteseinhibitor virkningen af amfetamin, men blokerer ikke lokomotorisk aktivitet induceret af modafinil.
I katten øgede lige vågenhedsfremmende doser af methylphenidat og amfetamin neuronal aktivering i hele hjernen. Modafinil ved en ækvivalent vågenhedsfremmende dosis selektivt og fremtrædende forøget neuronal aktivering i mere diskrete regioner i hjernen. Forholdet mellem denne konstatering hos katte til virkningerne af modafinil hos mennesker er ukendt.
Ud over dets vågnefremmende virkninger og evnen til at øge lokomotorisk aktivitet i dyren modafinil producerer psykoaktive og euforiske effekter ændringer i humøropfattelsestænkning og følelser, der er typiske for andre CNS-stimulanter hos mennesker. Modafinil har styrket egenskaber, som det fremgår af dens selvadministration i aber, der tidligere var uddannet til selvadministrerende kokain; Modafinil blev også delvist diskrimineret som stimulant-lignende.
De optiske enantiomerer af modafinil har lignende farmakologiske handlinger hos dyr. To hovedmetabolitter af modafinil modafinil syre og modafinil sulfon ser ikke ud til at bidrage til de CNS-aktiverende egenskaber af modafinil.
Farmakokinetik
Modafinil er en 1: 1 racemisk forbindelse, hvis enantiomerer har forskellige farmakokinetik (f.eks. Halveringstiden for R-modafinil er cirka tre gange den af S-modafinil hos voksne mennesker). Enantiomererne interkonverter ikke. Ved stabil tilstand er total eksponering for R-modafinil cirka tre gange det for S-modafinil. Trough-koncentrationen (CMINSS) af cirkulerende modafinil efter en gang daglig dosering består af 90% af R-modafinil og 10% af S-modafinil. Den effektive eliminationshalveringstid for modafinil efter flere doser er ca. 15 timer. Enantiomerer af modafinil udviser lineær kinetik ved flere dosering på 200-600 mg/dag en gang dagligt hos raske frivillige.
Tilsyneladende stabile tilstande med total modafinil og R-modafinil nås efter 2-4 dages dosering.
Absorption
Provigil is readily absorbed after oral administration with peak plasma concentrations occurring at 2-4 hours. The bioavailability of Provigil tablets is approximately equal to that of an aqueous suspension. The absolute oral bioavailability was not determined due to the aqueous insolubility ( <1 mg/mL) of Modafinil which precluded intravenous administration. Food has no effect on overall Provigil bioavailability; however time to reach peak concentration (tmax) may be delayed by approximately one hour if taken with food.
Fordeling
Provigil has an apparent volume of distribution of approximately 0.9 L/kg. In human plasma In vitro Modafinil er moderat bundet til plasmaprotein (ca. 60%) hovedsageligt til albumin. Potentialet for interaktion mellem provigil med stærkt proteinbundne lægemidler anses for at være minimalt.
Metabolisme og eliminering
Den vigtigste elimineringsvej er metabolisme (ca. 90%) primært af leveren med efterfølgende nyrealiminering af metabolitterne. Urinalkalinisering har ingen indflydelse på eliminering af modafinil.
Metabolisme forekommer gennem hydrolytisk deamidation S-oxidation Aromatisk ringhydroxylering og glukuronidkonjugering. Mindre end 10% af en administreret dosis udskilles som moderforbindelsen. I en klinisk undersøgelse ved anvendelse af radiomærket modafinil blev i alt 81% af den administrerede radioaktivitet genvundet i 11 dage efter dosis overvejende i urinen (80% mod 1,0% i fæces). Den største brøkdel af lægemidlet i urin var modafinilsyre, men mindst seks andre metabolitter var til stede i lavere koncentrationer. Kun to metabolitter når mærkbare koncentrationer i plasma, dvs. modafinil syre og modafinil sulfon. I prækliniske modeller modafinil syre modafinil sulfon 2-[(diphenylmethyl) sulfonyl] eddikesyre og 4-hydroxy modafinil var inaktive eller syntes ikke at mediere de ophidsede virkninger af modafinil.
Hos voksne er der undertiden observeret fald i trugniveauer af modafinil efter flere ugers dosering, der antyder autoinduktion, men størrelsen af faldet og inkonsekvensen af deres forekomst antyder, at deres kliniske betydning er minimal. Der er observeret betydelig ophobning af modafinil sulfon efter flere doser på grund af dens lange elimineringshalveringstid på 40 timer. Auto-induktion af metaboliserende enzymer vigtigst af alt er cytochrome P-450 CYP3A4 også blevet observeret In vitro Efter inkubation af primære kulturer af humane hepatocytter med modafinil og forgæves Efter udvidet administration af modafinil ved 400 mg/dag.
Specifikke populationer
Alder
Et lille fald (ca. 20%) i den orale clearance (CL/F) af modafinil blev observeret i en enkelt dosisundersøgelse ved 200 mg hos 12 forsøgspersoner med en gennemsnitlig alder på 63 år (område 53 - 72 år), men ændringen blev betragtet som ikke sandsynlig at være klinisk signifikant. I en multiple dosisundersøgelse (300 mg/dag) hos 12 patienter med en gennemsnitlig alder på 82 år (område 67 - 87 år) var de gennemsnitlige niveauer af modafinil i plasma cirka to gange dem, der historisk opnåede i matchede yngre emner. På grund af potentielle effekter fra de multiple samtidige medicin, som de fleste af patienterne blev behandlet for den tilsyneladende forskel i modafinil farmakokinetik, kan muligvis ikke kun tilskrives virkningerne af aldring. Resultaterne antyder imidlertid, at godkendelsen af modafinil kan reduceres hos ældre [se Dosering og administration og Brug i specifikke populationer ].
Køn
Farmakokinetikken for modafinil påvirkes ikke af køn.
Race
Raceens indflydelse på farmakokinetikken af modafinil er ikke blevet undersøgt.
Nedskærmning af nyren
I en enkelt dosis 200 mg modafinil-undersøgelse påvirkede alvorlig kronisk nyresvigt (kreatinin-clearance ≤20 ml/min) ikke signifikant farmakokinetikken for modafinil, men eksponering for modafinilsyre (en inaktiv metabolit) blev forøget 9 gange.
Leverskrivning i leveren
Farmakokinetikken og metabolismen af modafinil blev undersøgt hos patienter med cirrhose af leveren (6 mænd og 3 kvinder). Tre patienter havde fase B eller B-cirrhose, og 6 patienter havde fase C eller C-cirrhose (pr. Kriterier for børnepugh-score). Klinisk 8 af 9 patienter var icteric og havde alle ascites. Hos disse patienter blev den orale clearance af modafinil reduceret med ca. 60%, og den stabile tilstandskoncentration blev fordoblet sammenlignet med normale patienter [se Dosering og administration og Brug i specifikke populationer ].
Lægemiddelinteraktioner
In vitro Data demonstrerede, at modafinil svagt inducerer CYP1A2 CYP2B6 og muligvis CYP3A-aktiviteter på en koncentrationsrelateret måde, og at CYP2C19-aktiviteten hæmmes reversibelt af modafinil. In vitro Data demonstrerede også, at modafinil producerede en tilsyneladende koncentrationsrelateret undertrykkelse af ekspression af CYP2C9 -aktivitet. Andre CYP -aktiviteter syntes ikke at være påvirket af modafinil.
Potentielle interaktioner med lægemidler, der hæmmer inducerer eller metaboliseres af cytochrome P450 isoenzymer og andre leverenzymer
Eksistensen af flere veje til modafinil-metabolisme såvel som det faktum, at en ikke-CYP-relateret vej er den hurtigst tidlige til metaboliserende modafinil, antyder, at der er en lav sandsynlighed for materielle effekter på den samlede farmakokinetiske profil af Prisigil på grund af CYP-inhibering ved sammenhængende medikationer. På grund af den delvise involvering af CYP3A -enzymer i den metaboliske eliminering af modafinil -samtidig administration af potente inducerere CYP3A4/5 (f.eks. Carbamazepin -phenobarbital -rifampin) eller hæmmere af CYP3A4/5 (f.eks. Ketoconazol erythromycin) kunne ændre plasma -koncentrationerne af OffaFinil.
Potentialet ved provigil til at ændre metabolismen af andre lægemidler ved enzyminduktion eller hæmning
Lægemidler metaboliseret af CYP3A4/5
- In vitro Data demonstrerede, at modafinil er en svag inducer af CYP3A-aktivitet på en koncentrationsrelateret måde. Derfor er blodniveauerne og effektiviteten af medikamenter, der er substrater for CYP3A -enzymer (f.eks. Steroidale prævention, cyclosporin midazolam og triazolam) kan reduceres efter påbegyndelse af samtidig behandling med beviset [se Lægemiddelinteraktioner ].
- Ethinyl østradiol - Administration af modafinil til kvindelige frivillige en gang dagligt ved 200 mg/dag i 7 dage efterfulgt af 400 mg/dag i 21 dage resulterede i et gennemsnitligt 11% fald i gennemsnitlig Cmax og 18% fald i middel AUC0-24 af ethinyløstradiol (EE2; 0,035 MG; administreret oralt med norestimatet). Der var ingen åbenbar ændring i elimineringshastigheden for ethinyløstradiol.
- Triazolam - I lægemiddelinteraktionsundersøgelsen mellem provigil og ethinyl østradiol (EE2) på de samme dage som dem til plasma -sampling til EE2 farmakokinetik blev en enkelt dosis triazolam (NULL,125 mg) også administreret. Gennemsnitlig Cmax og AUC0-∞ af triazolam blev reduceret med henholdsvis 42% og 59%, og dens elimineringshalveringstid blev reduceret med ca. en time efter modafinil-behandlingen.
- Cyclosporin - Et tilfælde af en interaktion mellem modafinil og cyclosporin Et substrat af CYP3A4 er rapporteret hos en 41 år gammel kvinde, der havde gennemgået en organtransplantation. Efter en måned med administration af 200 mg/dag blev modafinil cyclosporin -blodniveauer reduceret med 50%. Interaktionen blev postuleret til at skyldes den øgede metabolisme af cyclosporin, da ingen anden faktor, der forventes at påvirke dispositionen af lægemidlet, var ændret.
- Midazolam - I en klinisk undersøgelse resulterede samtidig administration af armmodafinil 250 mg i en reduktion i systemisk eksponering for midazolam med 32% efter en enkelt oral dosis (5 mg) og 17% efter en enkelt intravenøs dosis (2 mg).
- Quetiapin - I en separat klinisk undersøgelse resulterede samtidig administration af armmodafinil 250 mg med quetiapin (300 mg til 600 mg daglige doser) i en reduktion i den gennemsnitlige systemiske eksponering af quetiapin med ca. 29%.
Lægemidler metaboliseret af CYP1A2
- In vitro Data demonstrerede, at modafinil er en svag inducer af CYP1A2 på en koncentrationsrelateret måde. I en klinisk undersøgelse med armodafinil under anvendelse af koffein som et sondeunderlag blev der imidlertid ikke observeret nogen signifikant effekt på CYP1A2 -aktivitet.
Medicin metaboliseret af CYP2B6
- In vitro Data demonstrerede, at modafinil er en svag inducer af CYP2B6-aktivitet på en koncentrationsrelateret måde.
Lægemidler metaboliseret af CYP2C9
- In vitro Data demonstrerede, at modafinil producerede en tilsyneladende koncentrationsrelateret undertrykkelse af ekspression af CYP2C9-aktivitet, der antyder, at der er et potentiale for en metabolisk interaktion mellem modafinil og substraterne af dette enzym (f.eks. S-Warfarin og phenytoin) [se Lægemiddelinteraktioner ].
- Warfarin: Concomitant administration of Modafinil with warfarin did not produce significant changes in the pharmacokinetic profiles of R- og S-warfarin. However since only a single dose of warfarin was tested in this study an interaction cannot be ruled out [see Lægemiddelinteraktioner ].
Lægemidler metaboliseret af CYP2C19
- In vitro Data demonstrerede, at modafinil er en reversibel hæmmer af CYP2C19 -aktivitet.
- CYP2C19 inhiberes også reversibelt med lignende styrke ved en cirkulerende metabolitmodafinil sulfon. Selvom de maksimale plasmakoncentrationer af modafinil sulfon er meget lavere end dem for overordnet modafinil, kunne den kombinerede virkning af begge forbindelser frembringe vedvarende delvis inhibering af enzymet. Derfor eksponering for nogle lægemidler, der er substrater for CYP2C19 (f.eks. Phenytoin diazepam propranolol omeprazol og clomipramin) kan øges, når det bruges samtidig med provigil [se Lægemiddelinteraktioner ].
- I en klinisk undersøgelse resulterede samtidig administration af armodafinil 400 mg i en 40% stigning i eksponering for omeprazol efter en enkelt oral dosis (40 mg) som et resultat af moderat inhibering af CYP2C19 -aktivitet.
Interaktioner med CNS aktive lægemidler
- Samtidig administration af modafinil med methylphenidat eller dextroamphetamin producerede ingen signifikante ændringer på den farmakokinetiske profil af modafinil eller enten stimulant, selvom absorptionen af modafinil blev forsinket i cirka en time.
- Samtidig modafinil eller clomipramin ændrede ikke den farmakokinetiske profil af ethvert lægemiddel; Imidlertid blev der rapporteret om en hændelse af øgede niveauer af clomipramin og dens aktive metabolit desmethylclomipramin hos en patient med narkolepsi under behandling med modafinil.
- CYP2C19 tilvejebringer også en supplerende vej til metabolismen af visse tricykliske antidepressiva (f.eks. Clomipramin og desipramin) og selektive serotonin genoptagelsesinhibitorer, der primært metaboliseres af CYP2D6. Hos tricykliske-behandlede patienter, der mangler CYP2D6 (dvs. dem, der er dårlige metabolisatorer af affald, kan 7-10% af den kaukasiske befolkning; lignende eller lavere i andre populationer) mængden af metabolisme ved CYP2C19 øges væsentligt. Provigil kan forårsage forhøjelse af niveauerne af tricyklikken i denne undergruppe af patienter [se Lægemiddelinteraktioner ].
- Samtidig administration af armmodafinil med quetiapin reducerede den systemiske eksponering af quetiapin.
Interaktion med P-glycoprotein
- En In vitro Undersøgelse demonstrerede, at armmodafinil er et substrat af P-glycoprotein. Virkningen af inhibering af P-glycoprotein er ikke kendt.
Kliniske studier
Narkolepsi
Effektiviteten af Provigil til forbedring af vågenhed hos voksne patienter med overdreven søvnighed forbundet med narkolepsi blev etableret i to amerikanske 9-ugers multicenter placebokontrolleret parallel-gruppe dobbeltblinde undersøgelser af ambulante patienter, der opfyldte kriterierne for narkolepsi.
Hvad bruges gurkemeje curcumin til
I alt 558 patienter blev randomiseret til at modtage Provigil 200 eller 400 mg/dag eller placebo.
Kriterierne for narkolepsi inkluderer enten: 1) tilbagevendende dagtimerne eller bortfald i søvn, der forekommer næsten dagligt i mindst tre måneder plus pludseligt bilateralt tab af postural muskel tone i forbindelse med intens følelser (kataplexi); eller 2) en klage over overdreven søvnighed eller pludselig muskelsvaghed med tilknyttede træk: søvnlammelse Hypnagogiske hallucinationer Automatisk adfærd forstyrrede den store søvnepisode; og polysomnografi, der demonstrerer et af følgende: søvn latenstid mindre end 10 minutter eller hurtig øjenbevægelse (REM) søvn latenstid mindre end 20 minutter. Til indrejse i disse undersøgelser blev alle patienter forpligtet til at have objektivt dokumenteret overdreven søvnighed om dagen via en multiple søvn latency test (MSLT) med to eller flere søvnindtræden REM -perioder og fraværet af nogen anden klinisk signifikant aktiv medicinsk eller psykiatrisk lidelse. MSLT En objektiv polysomnografisk vurdering af patientens evne til at falde i søvn i et ustimulerende miljø målt latenstid (i minutter) til at sove indtræden i gennemsnit over 4 testsessioner med 2-timers intervaller. For hver testsession blev emnet bedt om at ligge stille og forsøge at sove. Hver testsession blev afsluttet efter 20 minutter, hvis der ikke skete nogen søvn eller 15 minutter efter søvnindtræden.
I begge undersøgelser var de primære mål for effektivitet: 1) søvnforsinkelse som vurderet ved vedligeholdelse af wakefulness -test (MWT); og 2) ændringen i patientens samlede sygdomsstatus målt ved det kliniske globale indtryk af ændring (CGI-C). For en vellykket retssag måtte begge foranstaltninger vise statistisk signifikant forbedring.
MWT måler latenstid (i minutter) for at sove i gennemsnit over 4 testsessioner med 2 timers intervaller efter natlig polysomnografi. For hver testsession blev emnet bedt om at forsøge at forblive vågen uden at bruge ekstraordinære foranstaltninger. Hver testsession blev afsluttet efter 20 minutter, hvis der ikke forekom nogen søvn eller 10 minutter efter søvnindtræden. CGI-C er en 7-punkts skala, der er centreret uden ændring og spænder fra Meget værre for meget forbedret .
Patienter blev bedømt af evaluatorer, der ikke havde adgang til nogen data om de andre patienter end et mål for deres basisgrad. Evaluerere fik ikke nogen specifik vejledning om de kriterier, de skulle anvende, når de vurderede patienter.
Begge undersøgelser viste forbedring af objektive og subjektive mål for overdreven søvnighed om dagen for både 200 mg og 400 mg doser sammenlignet med placebo. Patienter, der blev behandlet med Provigil, viste en statistisk signifikant forbedret evne til at forblive vågen på MWT ved hver dosis sammenlignet med placebo ved sidste besøg (tabel 2). Et statistisk signifikant større antal patienter, der blev behandlet med provigil ved hver dosis, viste forbedring i den samlede kliniske tilstand, som det blev vurderet af CGI-C-skalaen i det sidste besøg (tabel 3).
Nat -søvn målt med polysomnografi blev ikke påvirket af brugen af provigil.
Obstruktiv søvnapnø (OSA)
Effektiviteten af provigil til forbedring af vågenhed hos patienter med overdreven søvnighed forbundet med OSA blev etableret i to multicenter placebokontrollerede kliniske undersøgelser af patienter, der opfyldte kriterierne for OSA. Kriterierne inkluderer enten: 1) overdreven søvnighed eller søvnløshed plus hyppige episoder med nedsat vejrtrækning under søvn og tilknyttede funktioner såsom høj snorken morgenpine og tør mund ved opvågning; eller 2) overdreven søvnighed eller søvnløshed og polysomnografi, der demonstrerer et af følgende: mere end fem obstruktive apnøer hver større end 10 sekunder i varighed pr. Time af søvn og en eller flere af følgende: hyppige arousals fra søvn forbundet med apnas bradytachykardi og arteriel ilt desaturation i tilknytning til apnas. Derudover var det nødvendigt at have overdreven søvnighed som demonstreret ved en score ≥10 på Epworth Sleepiness -skalaen (ESS) på trods af behandling med kontinuerligt positivt luftvejstryk (CPAP). Bevis for, at CPAP var effektiv til at reducere episoder af apnø/hypopnea, var påkrævet sammen med dokumentation af CPAP -brug.
I den første undersøgelse blev en 12-ugers forsøg i alt 327 patienter med OSA randomiseret til at modtage Provigil 200 mg/dag Provigil 400 mg/dag eller matchende placebo. Størstedelen af patienterne (80%) var fuldt ud i overensstemmelse med CPAP defineret som CPAP -brug mere end 4 timer/nat på> 70% af nætterne. Resten var delvist CPAP -kompatible defineret som CPAP -brug <4 hours/night on> 30% af nætterne. CPAP -brug fortsættes i hele undersøgelsen. De primære mål for effektivitet var 1) søvnforsinkelse som vurderet ved vedligeholdelse af vågenhedstest (MWT) og 2) ændringen i patientens samlede sygdomsstatus målt ved det kliniske globale indtryk af forandring (CGI-C) ved det sidste besøg [se Narkolepsi For en beskrivelse af disse foranstaltninger].
Patienter, der blev behandlet med Provigil, viste en statistisk signifikant forbedring af evnen til at forblive vågen sammenlignet med placebo-behandlede patienter målt ved MWT ved det sidste besøg (tabel 2). Et statistisk signifikant større antal patienter, der blev behandlet med Provigil, viste forbedring i den samlede kliniske tilstand som vurderet af CGI-C-skalaen i det sidste besøg (tabel 3).
De 200 mg og 400 mg doser af Provigil producerede statistisk signifikante effekter af lignende størrelse på MWT og også på CGI-C.
I den anden undersøgelse blev en 4-ugers forsøg 157 patienter med OSA randomiseret til at modtage Provigil 400 mg/dag eller placebo. Dokumentation af regelmæssig CPAP -brug (mindst 4 timer/nat på 70% af nætterne) var påkrævet for alle patienter. Det primære mål for effektiviteten var ændringen fra baseline ved ESS ved det sidste besøg. Baseline ESS -score for Provigil og placebogrupper var henholdsvis 14,2 og 14,4. I uge 4 blev ESS reduceret med 4,6 i Provigil -gruppen og med 2,0 i placebogruppen en forskel, der var statistisk signifikant.
Nat -søvn målt med polysomnografi blev ikke påvirket af brugen af provigil.
Shift Work Disorder (SWD)
Effektiviteten af provigil til forbedring af vågenhed hos patienter med overdreven søvnighed forbundet med SWD blev demonstreret i et 12-ugers placebokontrolleret klinisk forsøg. I alt 209 patienter med kronisk SWD blev randomiseret til at modtage Provigil 200 mg/dag eller placebo. Alle patienter opfyldte kriterierne for kronisk SWD. Kriterierne inkluderer: 1) enten a) en primær klage over overdreven søvnighed eller søvnløshed, som midlertidigt er forbundet med en arbejdsperiode (normalt natarbejde), der forekommer i den sædvanlige søvnfase eller b) polysomnografi og MSLT demonstrerer tab af et normalt søvn-vågne mønster (dvs. forstyrret kronobiologisk rythmicitet); og 2) ingen anden medicinsk eller mental lidelse tegner sig for symptomerne og 3) symptomerne opfylder ikke kriterierne for nogen anden søvnforstyrrelse, der producerer søvnløshed eller overdreven søvnighed (f.eks. Tidszoneændring [Jet Lag] syndrom).
Det skal bemærkes, at ikke alle patienter med en klage over søvnighed, der også beskæftiger sig med skiftarbejde, opfylder kriterierne for diagnosen SWD. I det kliniske forsøg blev kun patienter, der var symptomatiske i mindst 3 måneder, tilmeldt.
Tilmeldte patienter blev også forpligtet til at arbejde mindst 5 natskift om måneden har overdreven søvnighed på tidspunktet for deres natskift (MSLT -score <6 minutes) og have daytime insomnia documented by a daytime polysomnogram.
De primære mål for effektivitet var 1) søvnforsinkelse som vurderet af MSLT, der blev udført under et simuleret natskift ved det sidste besøg og 2) ændringen i patientens samlede sygdomsstatus målt ved CGI-C ved det sidste besøg [Se Narkolepsi For en beskrivelse af disse foranstaltninger.].
Patienter, der blev behandlet med Provigil, viste en statistisk signifikant forlængelse i tiden til at sove indtræden sammenlignet med placebo-behandlede patienter målt ved den natlige MSLT ved det endelige besøg (tabel 2). Et statistisk signifikant større antal patienter, der blev behandlet med Provigil, viste forbedring i den samlede kliniske tilstand som vurderet af CGI-C-skalaen i det sidste besøg (tabel 3).
Søvn på dagen målt med polysomnografi blev ikke påvirket af brugen af provigil.
Tabel 2: Gennemsnitlig baseline søvn latenstid og ændring fra baseline ved det sidste besøg (MWT og MSLT på få minutter)
| Sygdom | Måle | Provigil 200 mg* | Provigil 400 mg* | Placebo | |||
| Baseline | Skift fra baseline | Baseline | Skift fra baseline | Baseline | Skift fra baseline | ||
| Narkolepsi I | Mwt | 5.8 | 2.3 | 6.6 | 2.3 | 5.8 | -0.7 |
| Narkolepsi II | Mwt | 6.1 | 2.2 | 5.9 | 2.0 | 6.0 | -0.7 |
| Del | Mwt | 13.1 | 1.6 | 13.6 | 1.5 | 13.8 | -1.1 |
| SWD | MSLT | 2.1 | 1.7 | - | - | 2.0 | 0.3 |
| *Markant anderledes end placebo for alle forsøg (P <0.01 for all trials but SWD which was p <0.05) |
Tabel 3: Klinisk globalt indtryk af forandring (CGI-C) (procent af patienterne, der forbedrede sig ved det sidste besøg)
| Sygdom | Provigil 200 mg* | Provigil 400 mg* | Placebo |
| Narkolepsi I | 64% | 72% | 37% |
| Narkolepsi II | 58% | 60% | 38% |
| Del | 61% | 68% | 37% |
| SWD | 74% | - | 36% |
| *Markant anderledes end placebo for alle forsøg (P <0.01) |
Patientinformation til provigil
Provigil ®
(Pro-vij-el)
(modafinil) tabletter
Læs denne medicin guide, før du begynder at tage provigil, og hver gang du får en påfyldning. Der kan være nye oplysninger. Disse oplysninger indtager ikke stedet for at tale med din læge om din medicinske tilstand eller behandling.
Hvad er de vigtigste oplysninger, jeg skal vide om Provigil?
Provigil may cause serious side effects including a serious rash or a serious allergic reaction that may affect parts of your body such as your liver or blood cells. Eny of these may need to be treated in a hospital og may be life-threatening.
Stop med at tage provigil og ring til din læge med det samme, eller få hjælp til nødsituation, hvis du har nogen af disse symptomer:
- Hududslæt bikuber i din mund eller dine hudblister og skræl
- Hævelse af dine ansigts øjne læber tunge eller hals
- Problemer med at sluge eller trække vejret
- feber shortness of breath swelling of the legs yellowing of the skin or whites of the eyes or dark urine
Hvis du har et alvorligt udslæt med Provigil, der stopper medicinen, kan det ikke forhindre udslæt i at blive livstruende eller få dig til at være permanent handicappet eller vanæret.
Provigil is not approved for use in children for any medical condition.
Det vides ikke, om Provigil er sikker eller effektiv hos børn under 17 år.
Hvad er provigil?
Provigil is a prescription medicine used to improve wakefulness in adults who are very sleepy due to one of the following diagnosed sleep disorders:
- narkolepsi
- Obstruktiv søvnapnø (OSA). Provigil bruges til at behandle overdreven søvnighed, men ikke den hindring eller medicinske tilstand, der forårsager OSA. Du skal tale med din læge om behandlinger til OSA, før du begynder at tage Provigil og under behandling med Provigil. Provigil indtager ikke stedet for behandlinger, som din læge har ordineret til OSA. Det er vigtigt, at du fortsætter med at bruge disse behandlinger som foreskrevet af din læge.
- Shift Work Disorder (SWD)
Provigil will not cure these sleep disorders. Provigil may help the sleepiness caused by these conditions but it may not stop all your sleepiness. Provigil does not take the place of getting enough sleep. Follow your doctor’s advice about good sleep habits og using other treatments.
Provigil is a federally controlled substance (C-IV) because it can be abused or lead to dependence. Keep Provigil in a safe place to prevent misuse og abuse. Selling or giving away Provigil may harm others og is against the law. Tell your doctor if you have ever abused or been dependent on alcohol prescription medicines or street drugs.
Hvem skal ikke tage Provigil?
Tag ikke provigil, hvis du:
- er allergisk eller udviklet et udslæt til modafinil eller armmodafinil (Nuvigil ® ) eller nogen af ingredienserne i provigil. Se slutningen på denne medicinvejledning for en komplet liste over ingredienser i Provigil.
Hvad skal jeg fortælle min læge, før jeg tager provigil?
Fortæl din læge om alle dine medicinske tilstande, herunder hvis du: har en historie med psykiske problemer inklusive psykose
- har hjerteproblemer eller haft en hjerteanfald
- har højt blodtryk. Dit blodtryk skal muligvis kontrolleres oftere, mens du tager provigil.
- har lever- eller nyreproblemer
- har en historie med stof- eller alkoholmisbrug eller afhængighed
- er gravide eller planlægger at blive gravid. Det vides ikke, om Provigil vil skade din ufødte baby.
Graviditet Registry: Der er et register for kvinder, der bliver gravide under behandling med Provigil. Formålet med dette register er at indsamle oplysninger om Provigils sikkerhed under graviditet. Kontakt registreringsdatabasen, så snart du får at vide, at du er gravid eller beder din læge om at kontakte registreringsdatabasen for dig. Du eller din læge kan få information og tilmelde dig registreringsdatabasen ved at ringe til 1-866-404-4106.
- er amning. Det vides ikke, om Provigil passerer ind i din modermælk. Tal med din læge om den bedste måde at fodre din baby på, hvis du tager Provigil.
Fortæl din læge om alle de medicin, du tager inklusive receptpligtige og over-the-counter medicin vitaminer og urtetilskud. Provigil og mange andre lægemidler kan interagere med hinanden undertiden forårsage bivirkninger. Provigil kan påvirke den måde, andre medicin fungerer på, og andre lægemidler kan påvirke, hvordan Provigil fungerer. Din dosis af provigil eller visse andre lægemidler kan muligvis ændres.
Fortæl især din læge, hvis du bruger eller tager:
- En hormonel præventionsmetode, såsom p -piller, implantaterer pletter med vaginale ringe og intrauterine enheder (IUD'er). Hormonelle præventionsmetoder fungerer muligvis ikke, mens du tager Provigil. Kvinder, der bruger en af disse metoder til fødselsbekæmpelse, kan have en større chance for at blive gravid, mens de tager Provigil og i en måned efter at have stoppet Provigil. Tal med din læge om valg af fødselsbekæmpelse, der er rigtige for dig, mens du tager Provigil.
Kend de medicin, du tager. Opbevar en liste over dem og vis den for din læge og farmaceut, når du får en ny medicin. Din læge eller apotek vil fortælle dig, om det er sikkert at tage provigil og andre medicin sammen. Start ikke nye medicin med provigil, medmindre din læge har fortalt dig, at det er okay.
Hvordan skal jeg tage provigil?
- Tag provigil nøjagtigt som foreskrevet af din læge. Din læge vil ordinere den dosis af Provigil, der passer til dig. Skift ikke din dosis af Provigil uden at tale med din læge.
- Din læge vil fortælle dig det rigtige tidspunkt på dagen for at tage Provigil.
- Mennesker med narkolepsi eller OSA tager normalt provigil 1 gang hver dag om morgenen.
- Mennesker med SWD tager normalt provigil ca. 1 time før deres arbejdsskift.
- Skift ikke det tidspunkt på dagen, du tager Provigil, medmindre du har talt med din læge. Hvis du tager Provigil for tæt på din sengetid, kan du have det sværere at gå i dvale.
- Du kan tage provigil med eller uden mad.
- Hvis du tager mere end din foreskrevne dosis, eller hvis du tager en overdosis af Provigil, skal du ringe til din læge eller gå til det nærmeste hospitalets akutrum med det samme.
Symptomer på en overdosis af provigil kan omfatte:
- problemer med at sove
- rastløshed
- forvirring
- føler sig desorienteret
- føler sig ophidset
- Hørelse af at se følelse eller sensing af ting, der ikke rigtig er der (hallucinationer)
- kvalme og diarre
- En hurtig eller langsom hjerteslag
- brystsmerter
- øget blodtryk
Hvad skal jeg undgå, mens jeg tager provigil?
- Kør ikke en bil eller udfør andre farlige aktiviteter, før du ved, hvordan provigil påvirker dig. Mennesker med søvnforstyrrelser skal altid være forsigtige med at gøre ting, der kan være farlige. Skift ikke dine daglige vaner, før din læge fortæller dig, at det er okay.
- Du bør undgå at drikke alkohol. Det vides ikke, hvordan drikke alkohol vil påvirke dig, når du tager provigil.
Hvad er mulige bivirkninger af provigil?
Provigil may cause serious side effects. Stop med at tage Provigil og ring med din læge med det samme eller få nødhjælp, hvis du får noget af følgende: et alvorligt udslæt eller seriøs allergisk reaktion. (Se hvad er de vigtigste oplysninger, jeg skal vide om Provigil?)
Mental (psykiatriske) symptomer inklusive:
- depression
- føler sig ængstelig
- Hørelse af at se følelse eller sensing af ting, der ikke rigtig er der (hallucinationer)
- En ekstrem stigning i aktivitet og tale (Mania)
- Tanker om selvmord
- Aggressiv opførsel
- Andre mentale problemer
- Symptomer på et hjerteproblem inklusive unormal hjerteslag og problemer med brystsmerter og problemer med at trække vejret.
Almindelige bivirkninger, der kan ske i alle, der tager Provigil, inkluderer:
- hovedpine
- Rygsmerter
- kvalme
- føler sig nervøs
- Snerpet næse
- diarre
- føler sig ængstelig
- problemer med at sove
- svimmelhed
- ked af maven
Provigil is not approved for use in children For enhver medicinsk tilstand, der inkluderer opmærksomhedsunderskud hyperaktivitetsforstyrrelse (ADHD). I undersøgelser af provigil hos børn med narkolepsi -bivirkninger inkluderede:
- Tourettes syndrom
- fjendtlig opførsel
- stigning i pludseligt tab af muskeltonus og alvorlig muskelsvaghed
- stigning i at se og høre ting, når man falder i søvn
- stigning i selvmordstanker
- Lavt hvidt blodantal
- Smertefulde menstruationsperioder
Fortæl din læge, hvis du får nogen bivirkning, der generer dig, eller som ikke forsvinder, mens du tager provigil.
Dette er ikke alle bivirkninger af provigil. For mere information spørg din læge eller farmaceut.
Nogle effekter af provigil på hjernen er de samme som andre lægemidler, der kaldes stimulanter. Disse effekter kan føre til misbrug eller afhængighed af provigil.
Ring til din læge for medicinsk rådgivning om bivirkninger. Du kan rapportere bivirkninger til FDA på 1-800-FDA-1088.
Hvilken type antibiotikum er cephalexin
Hvordan skal jeg opbevare provigil?
Butikprovigil ved stuetemperatur mellem 68 ° og 77 ° F (20 ° og 25 ° C).
Hold provigil og alle medicin uden for børns rækkevidde.
Generel information om den sikre og effektive brug af provigil.
Medicin er undertiden ordineret til andre formål end dem, der er anført i en medicinguide. Brug ikke provigil til en betingelse, som den ikke blev ordineret til. Giv ikke provigil til andre mennesker, selvom de har de samme symptomer, du har. Det kan skade dem, og det er imod loven.
Denne medicinguide opsummerer de vigtigste oplysninger om Provigil. Hvis du gerne vil have flere oplysninger, skal du tale med din læge. Du kan bede din læge eller farmaceut om information om Provigil, der er skrevet til sundhedsfagfolk. For mere information ring 1-888-483-8279.
Hvad er ingredienserne i provigil?
Aktiv ingrediens: Modafinil
Inaktive ingredienser: Lactose monohydratmikrokrystallinsk cellulose -pregelatiniseret stivelsesmarkedskarme natriumpovidon og magnesiumstearat.
Denne medicinguide er godkendt af U.S. Food and Drug Administration.